Abstract
In this paper, we study contact magnetic geodesics in a 3-dimensional Lie group G endowed with a left invariant almost cosymplectic structure. We distinguish the two cases: G is unimodular, and G is nonunimodular. We pay a careful attention to the special case where the structure is cosymplectic, and we write down explicit expressions of magnetic geodesics and corresponding magnetic Jacobi fields.
MSC:
53B21; 53C15; 53C25; 53C80
1. Introduction
The study of magnetic trajectories has its origin in physics, where a magnetic field is given by a divergence-free vector field. Magnetic curves in physics represent the trajectories of charged particles moving on a Riemannian manifold under the influence of magnetic forces. The Landau–Hall problem refers to the study of the motion of charged particles on a Riemannian surface in the presence of a constant and static magnetic field. Later on, the problem was extended for higher dimensions. Since on a 3-dimensional Riemannian manifold vector fields and differential 2-forms may be identified, a magnetic field can be thought as a closed 2-form. Magnetic fields and their corresponding trajectories represent an important field of study, since this topic is situated at the interplay of Riemannian geometry and dynamical systems. Magnetic trajectories generalize geodesics (and for this reason they are also known as magnetic geodesics); therefore, they are used as a tool for better understanding of the geometry of ambient spaces. As a matter of fact, one of the most beautiful and difficult problems in dynamical systems on manifolds is finding closed trajectories. The existence of closed trajectories is closely related to topology and geometric structures of the manifolds.
The structure of this paper is the following. Section 2 and Section 3 give some basic aspects on the geometry of (almost)cosymplectic manifolds, magnetic trajectories, and magnetic Jacobi fields. Theorem 1, due to Perrone, is the result that inspired us to write this paper. In Section 4, we study magnetic geodesics in a 3-dimensional Lie group G. For this purpose, we distinguish two cases: G is unimodular and G is nonunimodular. Particular attention is paid to the case when the almost contact metric structure is cosymplectic. In the unimodular case, we write the expression of contact magnetic geodesics in Euclidean motion group . Moreover, we obtain magnetic Jacobi fields in Lie group . In the nonunimodular case, we study contact magnetic geodesics and the corresponding magnetic Jacobi fields in Lie group . We consider a multiplication low on semidirect product , obtaining a nonunimodular Lie group, and we write the expression of contact magnetic geodesics corresponding to the cosymplectic structure naturally defined on this group.
2. Homogeneous Almost Cosymplectic 3-Manifolds
Let M be a smooth manifold. On M, consider the following geometric objects:
- a tensor field , such that , where I is the identity,
- a vector field ,
- a 1-form ,
satisfying the conditions:
Consequently, the dimension of M is odd; let it be . Then, is an almost contact manifold. When a Riemannian metric g, compatible with the almost contact structure defined above, is considered, manifold M is called an almost contact metric manifold. The compatibility condition writes as
An almost contact metric structure on an orientable -dimensional manifold M is a reduction in the structure group of M to . An almost contact metric manifold is said to be homogeneous if there exists a connected Lie group G of isometries acting transitively on M and leaving invariant.
The fundamental 2-form on M is defined by:
An almost contact Riemannian manifold with and is an almost cosymplectic manifold. The almost contact structure is called normal if , where is the Nijenhius tensor defined by:
If an almost cosymplectic structure is normal, we obtain a cosymplectic manifold. The notion of cosymplectic manifold was independently introduced by Blair (in his Ph.D. thesis []) and by Ogiue (in []) under the name cocomplex. The authors in [] showed that the cosymplectic structure is characterized among the almost contact metric structures, by the parallelism of , that is, , where ∇ is the Levi-Civita connection on M. It follows that and are also parallel.
Recall the following important result:
Theorem 1
([]). Let M be a simply connected homogeneous almost cosymplectic 3-manifold. Then M is
- (1)
- either one of the product Riemannian symmetric spaces
- (2)
- or M is a Lie group equipped with a left invariant almost cosymplectic structure.
Magnetic curves in and are investigated in [,]. See also []. The study of magnetic Jacobi fields in 3-dimensional cosymplectic manifolds (in particular in and ) was developed in a very recent paper [].
In this paper, we study magnetic curves and magnetic Jacobi fields in a Lie group of dimension 3 endowed with a left invariant almost cosymplectic structure. All the necessary tools to understand the ambient space (the case 2 of Theorem 1) are described in the same paper [].
3. Magnetic Jacobi Fields
Magnetic curves represent an important topic in differential geometry not only because the problem originates from physics (in 3-dimensional Euclidean ambient), but also because a magnetic curve is a natural generalization of a geodesic. A magnetic field on M is defined by a closed 2-form F on M. A curve is called a magnetic curve or a magnetic geodesic if it is a solution of Lorentz equation
where stands for the covariant derivative along , and is the Lorentz force corresponding to the magnetic field F defined as . Since any magnetic geodesic has constant speed, it is natural to work with arc-length parametrized magnetic curves; the case when is known as a normal magnetic geodesic.
Magnetic geodesics are solutions of a variational problem, i.e., they are the critical points of the Landau–Hall functional (on )
where is the Dirichlet energy of and A is the potential 1-form generating the magnetic field F. A second variational formula for integral gives rise to the concept of a magnetic Jacobi field. W is a magnetic Jacobi field along the magnetic geodesic if it satisfies the following second-order differential equation:
Here, R denotes the Riemannian curvature tensor of M. See, e.g., [,].
To solve the magnetic Jacobi equation is a true challenge. The major difficulty is the presence of the last term in (1). When the covariant derivative of the Lorentz force has a particular concrete expression, we can think about solving Equation (1).
Let us indicate some particular situations.
- A first example of a magnetic Jacobi field is velocity vector field of a magnetic geodesic (see, e.g., []).
- In a Kähler manifold , one considers (Kähler) magnetic fields that are uniform, meaning that Lorentz force , is parallel; thus, the last term in (1) vanishes (see, e.g., [,]).
- In a Sasakian manifold , covariant derivative can be expressed by a concrete formula. More precisely, The Lorentz force is defined by and . The classification of nonuniform Jacobi magnetic fields is given in [,].
- In a cosymplectic manifold , the magnetic field is again uniform. The Lorentz force is parallel; hence, the last term of the Equation (1) vanishes. See [].
In the case when the magnetic field is uniform, that is, the Lorentz force is parallel, i.e., , we retrieve the equation of a magnetic Jacobi field given by Gouda in []
In [], the authors solved (2) in order to find all uniform magnetic fields in 3-dimensional cosymplectic space forms. In the same paper [], a characterization of magnetic Jacobi fields in the product spaces and was also given. Equation (2) is still of interest to study the magnetic Jacobi fields in three-dimensional Lie groups endowed with a left invariant (almost) cosymplectic structure.
4. Magnetic Geodesics in a 3-Dimensional Lie Group
Let be a Lie group of dimension 3. In fact, Lie group G is diffeomorphic to M via map , where is a certain fixed point of M. All geometric structures can be moved from M to G via (and ); hence, we consider M as the Lie group G endowed with a left invariant almost cosymplectic structure . We have , where ∇ is the Levi-Civita connection of g and . We know from [] that h commutes with left invariant translations, and the eigenvectors of h are left invariant. Indeed, if (the Lie algebra of G) and such that , it follows that vector field , where , is left invariant and satisfies . As a consequence, eigenvalues and of h are constant.
Due to Milnor [], Lie group G can be either unimodular or nonunimodular. A Lie group G is called unimodular if its left invariant Haar measure is also right invariant. In terms of Lie algebra , Lie group G is unimodular if and only if linear transformation is traceless for any .
4.1. Unimodular Case
We can consider an orthonormal basis of given by a basis, such that , , which satisfies
where are constants. Since the structure is almost cosymplectic, we must have . Therefore, from now on, we denote G by . The Lie brackets are now given by
The Levi-Civita connection on is expressed by
Remark 1.
ξ is parallel if and only if .
We can compute the eigenvalue of h:
It follows and hence .
For later use, we give the expressions of Riemannian curvature R, Ricci tensor , and Ricci operator Q:
Remark 2.
The metric g is flat if and only if .
Remark 3.
The basis diagonalizes the Ricci operator Q.
The covariant derivative of is given by
Proposition 1.
is cosymplectic if and only if .
Recall also the following fact due to Olszak [].
Proposition 2.
An almost contact Riemannian 3-manifold is cosymplectic if and only if ξ is parallel.
As a matter of fact, recall an interesting result obtained in [].
Proposition 3.
The almost cosymplectic unimodular Lie group has vanishing characteristic Jacobi operator if and only if .
4.1.1. Contact Magnetic Geodesics in
We study arc-length parametrized curves in the almost cosymplectic Lie group , which satisfy the Lorentz equation
First, we decompose in basis , that is,
where and are smooth functions on I. Second, we compute the acceleration of using (4)
Thus, the Lorentz equation can be written as the following ordinary differential equation (ODE) system:
Remark 4.
The contact angle θ, which is the angle between the velocity vector and the characteristic vector , is not automatically constant. However, if , then contact angle θ is constant (see also []).
Remark 5.
The first curvature of a normal contact magnetic curve in an almost cosymplectic manifold is . Hence, it is not always constant. A normal contact magnetic curve in a cosymplectic manifold is a helix (see also []).
In the sequel, we study this system by distinguishing two cases:
Case U1. The unimodular Lie group is locally isometric either to (when ), or to the Euclidean space (when ).
One obtains that ; hence, . Then, the first two equations in (10) become
Denote . It follows that the solution of the system above is
where such that .
Case U2 As we saw, the Lie group is not a cosymplectic manifold. The possible situations are
- the Heisenberg group when the Perrone invariant p vanishes;
- the universal covering of the group motions of Euclidean 2-space, when ;
- the group of rigid motions of Minkowski 2-space when .
The Perrone invariant is defined by
In ODE System (10), multiply the first equation by , and the second by ; then, add the two obtained equations to obtain
Using the third equation in (10), we get
Hence, the expression is constant. Denote it by . Taking into account the arc-length condition, we immediately obtain
and can be obtained by integration from the third equation of System (10), which can be written in the following form:
where P is a polynomial of degree four if , respectively of degree three if .
The integration in (13) involves elliptic functions that are not easy to work with.
Remark 6.
Milnor’s table shows that is represented by the Heisenberg group when or (but not both). The Heisenberg group can carry one almost contact structure that leads to a Sasakian space form, and another almost contact structure that leads to an almost cosymplectic manifold (see, e.g., [] Example 5.3). Analogously, the space admits both a left invariant contact metric structure and a left invariant almost cosymplectic structure.
We already indicated that a magnetic curve in a cosymplectic 3-manifold is slant, that is, its contact angle is constant. Moreover, it is a helix, meaning that curvatures and are also constant. Since Case U1 leads to a cosymplectic structure on , we are interested to obtain the situations when a magnetic curve in (with ) is slant. If this is the case, we must locally have . This leads to the following possibilities:
- (i)
- ;
- (ii)
- and , ;
- (iii)
- and , .
As a consequence, we can easily prove the following proposition.
Proposition 4.
Let γ be a slant contact normal magnetic curve in the almost cosymplectic unimodular Lie group (with ). Then
- (i)
- either γ is an integral curve of ξ case when it is a geodesic,
- (ii)
- or γ is a helix with curvatures and ,
- (iii)
- or γ is a helix with curvatures and .
Remark 7.
In the case (ii) of the previous proposition, curvature may be rewritten as . In Case (iii), we rewrite . See the analogy with the expression of the curvature obtained in [].
Remark 8.
The study in [] is an interesting survey on slant curves in 3-dimensional almost contact metric geometry where the slant curves in 3-dimensional solvable Lie groups equipped with natural left invariant almost contact metric structure are studied as well. Slant magnetic curves in almost cosymplectic space are studied in []. Lie group may be realized as the unimodular Lie group with (see, for example, §3 in []).
We continue our investigation in the Lie group endowed with its cosymplectic structure. In [], we focused on cosymplectic manifolds , where is a complex space form of complex dimension 1. In particular, we obtained important geometric properties for normal contact magnetic curves in and (see also [,]).
Example 1
(Contact magnetic geodesics in the Euclidean space ). For , the Lie group is nothing but the Euclidean 3-space . If we denote the global coordinates by and z, the multiplication law is the standard one:
and the left invariant vector fields (that appear, previously, in the general description) are
Thus, we find and
with .
Setting and , such that , we immediately find
See also [].
4.1.2. Contact Magnetic Geodesics in the Euclidean Motion Group
This space is realized as , on which we denote the global coordinates by , z and set the multiplication
Let and define three left invariant vector fields
whose Lie brackets are given by
Hence, the Lie group is the unimodular Lie group with and . The dual basis is given by
The left invariant metric g is determined by the condition that is an orthonormal basis with respect to it, and it can be expressed as
Defining and as before, i.e., , , , we obtain a homogeneous almost contact structure which is almost cosymplectic. It can be easily check that is cosymplectic if and only if . In this case the metric g is flat and takes an easier form
In order to obtain an explicit expression for contact normal magnetic geodesics , we need to express velocity vector in terms of the basis and then to use the obtained results in Case U1. For this end, we consider ; hence, is obtained as with . Then we obtain
where we denoted , and so on. Subsequently, component functions and z satisfy the following ordinary differential equation system:
where and .
ODE System (14) can be rewritten as
Taking into account that , we obtain
Setting initial conditions , , with , we conclude with the explicit expression for the magnetic curve
See the analogy with the expression of magnetic geodesics in Euclidean space .
4.1.3. Magnetic Jacobi Fields on
We have at least two advantages in considering Lie group (endowed with its homogeneous almost cosymplectic structure defined before) as the background for this study. The first is the parallelism of Lorentz force , since the space is cosymplectic. The second is the flatness of the metric. Therefore, the Jacobi magnetic equation reduces a lot. More precisely, if is a magnetic Jacobi field along the normal contact magnetic geodesic , then it satisfies the following ODE:
To find explicit solutions of this equation, we use basis .
Let , where are smooth functions on I. Even if velocity vector does not appear explicitly in the Equation (16), it is obtained from (11) togeher with the condition for of being slant. Equation (16) becomes
where , as before. The general solution of this system is
where are real constants.
To find magnetic Jacobi field , where are smooth function on I, we integrate equation . We have
It is straightforward to show that the solution of this system is given by
where and are real constants.
Remark 9.
In the special case when , equivalently to , the above expressions simplify. Moreover, functions , , and are no longer independent.
Example 2.
In the Euclidean case, we have ; hence, . Consequently, magnetic Jacobi field can be expressed as
where and are real constants. See also [] (Theorem 3.1).
Remark 10.
When magnetic geodesic γ in unimodular Lie group is not an integral curve of the characteristic vector field, that is, if is not collinear to ξ, magnetic Jacobi field may be expressed in the basis . It is straightforward to compute coefficients of decomposition . We find
where constants , , and are those obtained before. See also [].
4.2. Nonunimodular Case
Let us now consider a (simply connected) three dimensional nonunimodular Lie group G equipped with a left invariant almost cosymplectic structure. We briefly describe a basis and emphasize the commutation relations in the corresponding Lie algebra following the construction given by Perrone [].
A first remark is that belongs to kernel , which is two-dimensional and unimodular. Then, we consider an orthonormal basis of . Hence, belongs to orthogonal complement of . Since preserves , and taking into account that is closed and , we obtain that
where and are constants with . We denote this Lie algebra by . Explicit descriptions of and of corresponding simply connected Lie group are presented in [].
The Levi-Civita connection on is given by
Remark 11.
Characteristic vector field ξ is parallel if and only if .
We give the expressions of operator h, Riemannian curvature R, Ricci tensor and Ricci operator Q:
Remark 12.
Since , the metric g cannot be flat.
Remark 13.
The basis diagonalizes Ricci tensor Q if and only if .
Lastly, the covariant derivatives of are computed as
As a consequence, is parallel if and only if . Hence, we state:
Proposition 5.
Almost cosymplectic nonunimodular Lie group is cosymplectic if and only if .
In analogy with Proposition 3 we recall the following result obtained in [].
Proposition 6.
Almost cosymplectic nonunimodular Lie group has a vanishing characteristic Jacobi operator if and only if .
4.2.1. Contact Magnetic Geodesics in
We study arc-length parametrized curves in almost cosymplectic Lie group that satisfies Lorentz equation
In order to compute the acceleration of , we need to decompose its speed in basis as
Thus, we write
Hence, the Lorentz equation leads to the following ODE system:
Remark 14.
The contact angle θ is, as expected, not automatically constant. Nevertheless, when , the third equation in (24) implies that is constant. This reminds us that a contact magnetic curve in a cosymplectic manifold is slant.
Let us study Case NU1: .
A special case is furnished by the integral curves of , the case in which is a geodesic. Suppose now that . Since it follows that there exists (locally) a function u, such that
Plugging these expressions in the first two equations of (24), we obtain
A particular solution is which can be obtained when and only when .
In this situation .
Other constant solution (for u) may be obtained as ; in this case, we need to have .
In this situation .
Suppose that u is not a constant function. The general solution of the ODE
is , where
- (i)
- if , then , where ;
- (ii)
- if , then , where ;
- (iii)
- if , then where .
Here . Hence, and .
Almost cosymplectic nonunimodular Lie group is cosymplectic if and only if . Since every contact magnetic curve in a cosymplectic manifold is slant, we are interested to find when a magnetic curve in (with ) is slant. The third equation in (24) yields (locally). Thus, we obtain the following possibilities:
- (i)
- ;
- (ii)
- and , .
Compare with the unimodular case.
As a consequence, we can easily prove the following proposition.
Proposition 7.
Let γ be a slant contact normal magnetic curve in the almost cosymplectic nonunimodular Lie group with . Then,
- (i)
- either γ is an integral curve of the ξ case when it is a geodesic;
- (ii)
- or γ is a helix with curvatures and .
Again, it is interesting to compare from (ii) with the expression of curvature , obtained in [].
Example 3.
Let , on which we consider the following multiplication law:
In fact, G is semidirect product . The set of left invariant vector fields on G is generated by
We can also identify G with the set of all matrices of the following form:
In this interpretation, the set of left invariant vector fields is generated by the three following matrices:
Under identification we obtain the correspondence for the left invariant vector fields and
With no danger of confusion, we denote by
the generators for Lie algebra .
It is easy to check that the commuting relations are
hence, G is a nonunimodular Lie group on that we can define, as usual, the cosymplectic structure. Let us indicate that the left invariant metric is
Consider now a normal contact magnetic geodesic , . Since velocity vector field was computed, we must solve the following ODE system in order to obtain explicit parametrization. for
The third coordinate z can be easily obtained as .
Let us now obtain and .
Then, we draw, in a series of figures, magnetic curve (in ) and its projection on the hyperbolic plane. We need to indicate that this model is nothing but the product space . The hyperbolic metric on is . We also consider the upper-half plane model for the hyperbolic plane via transformation and . Thus, for each projection curve, we draw two pictures, one (central) lying in and one (on the right) lying in the upper-half plane model of with coordinates u and .
We have and .
Case (i), where
Set such that ; hence . Then,
and
Integrating, we obtain
Since
we find
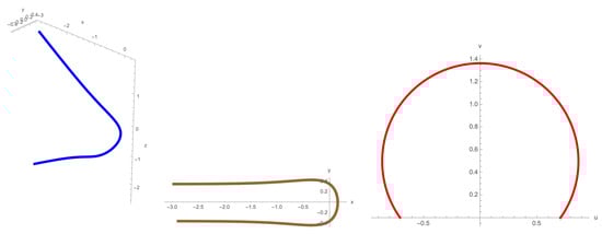
In Figure 1 we draw the magnetic curve in (left), its corresponding projection in (center) and the projection on the hyperbolic plane (right).

Figure 1.
, , , , , .
Case (ii)
Integrating, we obtain
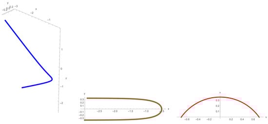
In Figure 2 we draw the magnetic curve in (left), its corresponding projection in (center) and the projection on the hyperbolic plane (right).

Figure 2.
, , , , , , .
Case (iii) We need to distinguish three subcases. Before this, let us introduce , such that , and .
Subcase (iii)-1
Integrating, we obtain
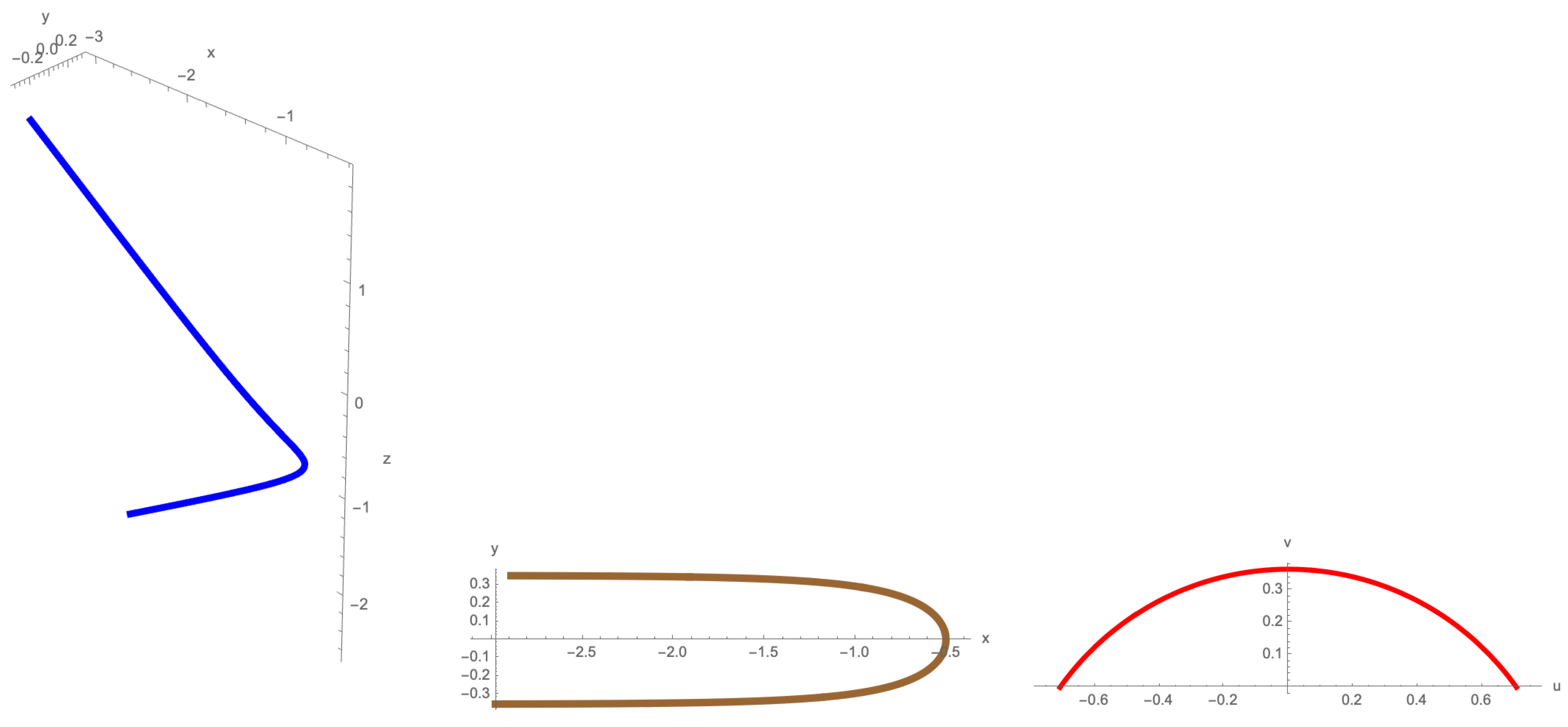
As before, in Figure 3 we draw the magnetic curve in (left), its corresponding projection in (center) and the projection on the hyperbolic plane (right).

Figure 3.
, , , , , , .
Subcase (iii)-2 (this leads to a constant solution for u)
It follows that and are constant; hence,
Figure 4 represents the magnetic curve in (left) and its corresponding projection in (center) and on the hyperbolic plane (right), respectively.

Figure 4.
, , , , , , .
Subcase (iii)-3
Integrating, we obtain
Figure 5 represents the magnetic curve in (left) and its corresponding projection in (center) and on the hyperbolic plane (right), respectively.

Figure 5.
, , , , , , .
Remark 15.
The nonunimodular Lie group can be also considered as the set of all matrices of the following form:
where ,
One can obtain a simply connected Lie group whose Lie algebra is
A basis in is defined by
with the property
In fact, Lie group is simply connected Lie group .
Identify with with global coordinates and set the following geometric objects:
- the metric: , where
- 1-form ;
- vector field .
Left invariant vector fields obtained from , and are
The construction above is from [] (see also [,]).
4.2.2. Magnetic Jacobi Fields on
Contrary to the unimodular case, when the metric on is flat, for nonunimodular group , curvature R plays its role in the magnetic Jacobi equation. Therefore, we must pay attention to term , where is a contact normal magnetic geodesic on , and W is the magnetic Jacobi field along . We use Equation (20) with .
So, if we take and , we immediately find
This can be rewritten as
where the “det” product of the three vectors is considered with respect to the orthonormal basis . Thus, the magnetic Jacobi equation becomes
We compute , where
and
Equation (28) can be written as
In the following, we use (29) and (24) to obtain
Particular solution , and corresponds to .
Remark 16.
Expression is constant; this can be interpreted as a conservation law.
ODE System (31) seems to be very complicated to be solved. Let us make some notations:
The first equation yields , where is the constant involved in Remark 16. Plugging in the second equation of System (32), we obtain
The solution of this ODE depends on the sign of expression . This sign was also used when we classified the normal contact magnetic geodesics in .
Case (i) If , let .
The equation becomes with the general solution
We obtain
Case (ii) If , we obtain
where .
Case (iii) If , let .
We find
where .
We obtained a and b in all the three situations. Returning to coefficients and is only one more step to do, that is, we need to take into account that
where and should be taken keeping in mind the sign of expression .
To finalize this section, we indicate that the third equation in (31) yielding is an affine function on s.
Remark 17.
Since endowed with the cosymplectic structure is a cosymplectic space form with constant φ-sectional curvature we invite the reader to read our paper in [].
Remark 18.
In [], the author was interested in magnetic trajectories in Lie groups equipped with bi-invariant Riemannian metric. We add some comments on this problem. Recall that (e.g., []) 3-dimensional Lie groups with bi-invariant metrics are: , (both non-abelian) and commutative groups , , and . In this regard, three recent works studied magnetic trajectories: ref. [] (3-dimensional Berger spheres, especially ), ref. [] (unit tangent sphere bundles, in particular ) and ref. [] (3-dimensional torus ).
5. Conclusions
The study of magnetic fields and their corresponding trajectories on different Riemannian manifolds plays an important role in differential geometry, physics, and dynamical systems. With the origin in the classical problem (in a Euclidean 3-dimensional space), when magnetic geodesics describe trajectories of charged particles moving under the influence of a magnetic field, the problem was extended to several ambient spaces, the magnetic fields being defined by other geometrical structure compatible with the Riemannian metric on the manifold. The easiest example is to consider a constant vector (which is Killing) in a 3-dimensional Euclidean space that canonically defines a magnetic field. The corresponding magnetic geodesics are helices with that vector field as axis. Because helices are important tools in the study of the geometry of 3-dimensional spaces, many geometers have studied the geometric properties of magnetic geodesics in different ambient spaces. The study of magnetic geodesics in arbitrary Riemannian manifolds has developed since the 1990s, and some early works may be found in the literature. Several classifications of magnetic geodesics in Riemannian manifolds were obtained. The aim is a better understanding of the geometry of the underlying space. To conclude, we choose a few works from the huge list of papers studying this topic: [,,,,,,,] (see also references therein). In this paper, we investigated magnetic geodesics in a 3-dimensional Lie group endowed with a left invariant almost cosymplectic structure that defined the magnetic field. Explicit expressions of magnetic geodesics and the corresponding magnetic Jacobi fields were obtained.
Funding
The author was supported by a grant of the Romanian Ministry of Research and Innovation, CNCS–UEFISCDI, project number PN-III-P1-1.1-PD-2019-0253, within PNCDI III.
Institutional Review Board Statement
Not applicable.
Informed Consent Statement
Not applicable.
Acknowledgments
The author wishes to express his deepest thanks to Jun-ichi Inoguchi for several discussions that they have had on Lie groups over the course of the last five years (at least). The author gratefully thanks to all the referees for the constructive comments and recommendations that definitely helped in improving the readability and quality of the paper.
Conflicts of Interest
The author declares no conflict of interest.
References
- Blair, D.E. The Theory of Quasi-Sasakian Structures. Ph.D. Thesis, University of Illinois, Champaign, IL, USA, 1966. [Google Scholar]
- Ogiue, K. G-structures defined by tensor fields. Kodai Math. Sem. Rep. 1968, 20, 54–75. [Google Scholar] [CrossRef]
- Blair, D.E. The theory of quasi-Sasakian structure. J. Differ. Geom. 1967, 1, 331–345. [Google Scholar] [CrossRef]
- Perrone, D. Classification of homogeneous almost cosymplectic three-maifolds. Diff. Geom. Appl. 2012, 30, 49–58. [Google Scholar] [CrossRef] [Green Version]
- Munteanu, M.I.; Nistor, A.I. The classification of Killing magnetic curves in . J. Geom. Phys. 2012, 62, 170–182. [Google Scholar] [CrossRef]
- Nistor, A.I. Motion of charged particles in a Killing magnetic field in . Rend. Sem. Mat. Univ. Politec. Torino 2015, 73, 161–170. [Google Scholar]
- Druţă-Romaniuc, S.L.; Inoguchi, J.; Munteanu, M.I.; Nistor, A.I. Magnetic curves in cosymplectic manifolds. Rep. Math. Phys. 2016, 78, 33–48. [Google Scholar] [CrossRef]
- Munteanu, M.I.; Nistor, A.I. Magnetic Jacobi fields in 3-dimensional cosymplectic manifolds. Mathematics 2021, 9, 3220. [Google Scholar] [CrossRef]
- Adachi, T. A comparison theorem on magnetic Jacobi fields. Proc. Edinb. Math. Soc. 1997, 40, 293–308. [Google Scholar] [CrossRef] [Green Version]
- Gouda, N. The theorem of E. Hopf under uniform magnetic fields. J. Math. Soc. Jpn. 1998, 50, 767–779. [Google Scholar] [CrossRef]
- Gouda, N. Magnetic flows of Anosov type. Tohoku Math. J. 1997, 49, 165–183. [Google Scholar] [CrossRef]
- Adachi, T. Magnetic Jacobi fields for Kähler magnetic fields. In Recent Progress in Differential Geometry and Its Related Fields; Adachi, T., Hashimoto, H., Hristov, M., Eds.; World Scientific: Singapore, 2011; pp. 41–53. [Google Scholar]
- Shi, O. Magnetic Jacobi fields for surface magnetic fields. In Current Developments in Differential Geometry and Its Related Fields; Adachi, T., Hashimoto, H., Hristov, M., Eds.; World Scientific: Singapore, 2016; pp. 215–224. [Google Scholar]
- Inoguchi, J.; Munteanu, M.I. Magnetic Jacobi fields in 3-dimnesional Sasakian space forms. J. Geom. Anal. 2022, 32, 1–26. [Google Scholar] [CrossRef]
- Inoguchi, J.; Munteanu, M.I. Magnetic Jacobi fields in Sasakian space forms. submitted.
- Milnor, J. Curvature of left invariant metrics on Lie groups. Adv. Math. 1976, 21, 293–329. [Google Scholar] [CrossRef] [Green Version]
- Olszak, Z. On almost cosymplectic manifold. Kodai Math. J. 1981, 4, 239–250. [Google Scholar] [CrossRef]
- Inoguchi, J. Characteristic Jacobi operator an almost cosymplectic 3-manifolds. Internat. Electron. J. Geom. 2019, 12, 276–299. [Google Scholar] [CrossRef]
- Inoguchi, J.; Lee, J.E. Slant curves in 3-dimensional almost contact metric geometry. Internat. Electron. J. Geom. 2015, 8, 106–146. [Google Scholar] [CrossRef] [Green Version]
- Erjavec, Z.; Inoguchi, J. On Magnetic Curves in Almost Cosymplectic Sol Space. Results Math. 2020, 75, 1–16. [Google Scholar] [CrossRef]
- Inoguchi, J.; Van der Veken, J. Parallel surfaces in the motion groups E(1, 1) and E(2). Bull. Belg. Math. Soc. Simon Stevin 2007, 14, 321–332. [Google Scholar] [CrossRef]
- Druţă-Romaniuc, S.L.; Munteanu, M.I. Magnetic curves corresponding to Killing magnetic fields in E3. J. Math. Phys. 2011, 52, 113506. [Google Scholar] [CrossRef] [Green Version]
- Meeks, W.H., III; Mira, P.; Pérez, J. The geometry of stable minimal surfaces in metric Lie groups. Trans. Amer. Math. Soc. 2019, 372, 1023–1056. [Google Scholar] [CrossRef]
- Inoguchi, J.; Naitoh, H. Grassmann geometry on the 3-dimensional non-unimodular Lie groups. Hokkaido Math. J. 2019, 48, 385–406. [Google Scholar] [CrossRef]
- Turhan, T. Magnetic trajectories in three-dimensional Lie groups. Math. Meth. Appl. Sci. 2020, 43, 2747–2758. [Google Scholar] [CrossRef]
- do Espírito-Santo, N.; Fornari, S.; Frensel, K.; Ripoll, J. Constant mean curvature hypersurfaces in a Lie group with a bi-invariant metric. Manuscripta Math. 2003, 111, 459–470. [Google Scholar] [CrossRef]
- Inoguchi, J.; Munteanu, M.I. Periodic magnetic curves in Berger spheres. Tohoku Math. J. 2017, 69, 113–128. [Google Scholar] [CrossRef]
- Inoguchi, J.; Munteanu, M.I. Magnetic curves on tangent sphere bundles. RACSAM 2019, 113, 2087–2112. [Google Scholar] [CrossRef]
- Munteanu, M.I.; Nistor, A.I. On some closed magnetic curves on a 3-torus. Math. Phys. Anal. Geom. 2017, 20, 1–13. [Google Scholar] [CrossRef]
- Barros, M.; Cabrerizo, J.L.; Fernández, M.; Romero, A. Magnetic vortex filament flows. J. Math. Phys. 2007, 48, 082904. [Google Scholar] [CrossRef]
- Barros, M.; Romero, A.; Cabrerizo, J.L.; Fernández, M. The Gauss-Landau-Hall problem on Riemannian surfaces. J. Math. Phys. 2005, 46, 112905. [Google Scholar] [CrossRef] [Green Version]
- Barros, M.; Romero, A. Magnetic vortices. EPL 2007, 77, 34002. [Google Scholar] [CrossRef]
- Erjavec, Z. On Killing magnetic curves in SL(2, R) geometry. Rep. Math. Phys. 2019, 84, 333–350. [Google Scholar] [CrossRef]
- Ginzburg, V.L. A charge in a magnetic field: Arnold’s problems 1981–9, 1982–24, 1984–4, 1994–14, 1994–35, 1996–17, 1996–18. In Arnold’s Problems; Arnold, V.I., Ed.; Springer: Berlin/Heidelberg, Germany, 2004; pp. 395–401. [Google Scholar]
- Munteanu, M.I. Magnetic curves in a Euclidean space: One example, several approaches. Publ. l’Institut Math. (Beograd) 2013, 94, 141–150. [Google Scholar] [CrossRef]
- Sunada, T. Magnetic flows on a Riemann surface. In Proceedings of the KAIST Mathematics Workshop: Analysis and Geometry, KAIST, Taejeon, Korea, 3–6 August 1993. [Google Scholar]
Publisher’s Note: MDPI stays neutral with regard to jurisdictional claims in published maps and institutional affiliations. |
© 2022 by the author. Licensee MDPI, Basel, Switzerland. This article is an open access article distributed under the terms and conditions of the Creative Commons Attribution (CC BY) license (https://creativecommons.org/licenses/by/4.0/).