Initial-Condition Effects on a Two-Memristor-Based Jerk System
Abstract
:1. Introduction
2. The TMJ System with Complex Dynamics
2.1. Mathematical Modeling
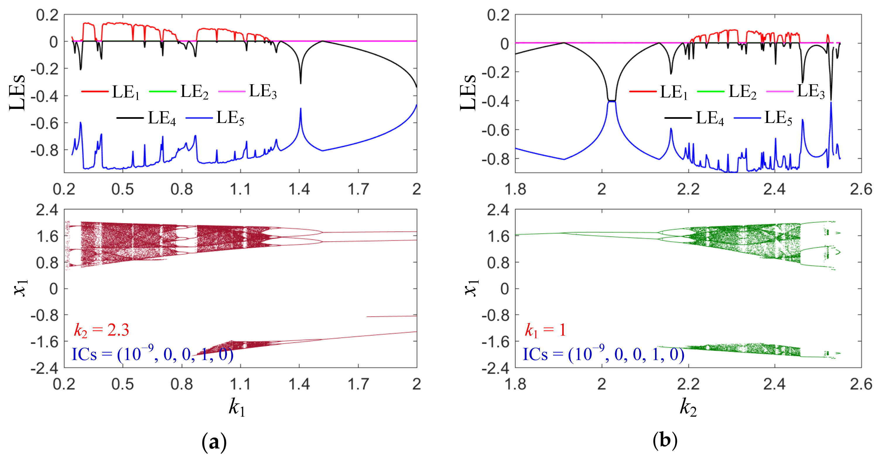
2.2. Coupling Coefficient-Reliant Complex Dynamics
3. Memristor and Non-Memristor Initial-Condition Effects
3.1. Stability Distribution for Plane Equilibrium Point
3.2. Initial-Condition-Related Extreme Multi-Stability
4. Analog and Digital Implementations
4.1. Analog Circuit Design and PSIM Circuit Simulations
4.2. Digital Hardware Platform and Experiments
5. Conclusions
Author Contributions
Funding
Institutional Review Board Statement
Informed Consent Statement
Data Availability Statement
Conflicts of Interest
References
- Almatroud, O.A.; Tamba, V.K.; Grassi, G.; Pham, V.T. An oscillator without linear terms: Infinite equilibria, chaos, realization, and application. Mathematics 2021, 9, 3315. [Google Scholar] [CrossRef]
- He, S.B.; Wang, H.H.; Sun, K.H. Solutions and memory effect of fractional-order chaotic system: A review (Interdisciplinary Physics). Chin. Phys. B 2021. [Google Scholar] [CrossRef]
- Volos, C.K.; Akgul, A.; Pham, V.T.; Baptista, M.S. Antimonotonicity, crisis and multiple attractors in a simple memristive circuit. Circuits Syst. J. Comput. 2018, 27, 1850026. [Google Scholar] [CrossRef]
- Vijayakumar, M.D.; Karthikeyan, A.; Zivcak, J.; Krejcar, O.; Namazi, H. Dynamical behavior of a new chaotic system with one stable equilibrium. Mathematics 2021, 9, 3217. [Google Scholar]
- Rajagopal, K.; Shekofteh, Y.; Nazarimehr, F.; Li, C.; Jafari, S. A new chaotic multi-stable hyperjerk system with various types of attractors. Indian J. Phys. 2021, 2021, 1–7. [Google Scholar] [CrossRef]
- Jin, M.X.; Sun, K.H.; Wang, H.H. Dynamics and synchronization of the complex simplified Lorenz system. Nonlinear Dyn. 2021, 106, 2667–2677. [Google Scholar] [CrossRef]
- Pham, V.T.; Jafari, S.; Kapitaniak, T. Constructing a chaotic system with an infinite number of equilibrium points. Int. J. Bifurc. Chaos 2016, 26, 1650225. [Google Scholar] [CrossRef]
- Danca, M.-F.; Kuznetsov, N. D3 dihedral Logistic map of fractional order. Mathematics 2022, 10, 213. [Google Scholar] [CrossRef]
- Zhou, L.; Wang, C.H.; Zhou, L.L. A novel no-equilibrium hyperchaotic multiwing system via introducing memristor. Int. J. Circuit Theory Appl. 2018, 46, 84–98. [Google Scholar] [CrossRef]
- Nazarimehr, F.; Rajagopal, K.; Kengne, J.; Jafari, S.; Pham, V.T. A new four-dimensional system containing chaotic or hyper-chaotic attractors with no equilibrium, a line of equilibria and unstable equilibria. Chaos Solitions Fractals 2018, 111, 108–118. [Google Scholar] [CrossRef]
- Yang, Q.G.; Yang, L.B.; Ou, B. Hidden hyperchaotic attractors in a new 5D system based on chaotic system with two stable node-foci. Int. J. Bifurcation Chaos 2019, 29, 1950092. [Google Scholar] [CrossRef]
- Li, K.X.; Bao, H.; Li, H.Z.; Ma, J.; Hua, Z.Y.; Bao, B.C. Memristive Rulkov neuron model with magnetic induction effects. IEEE Trans. Ind. Inform. 2022, 18, 1726–1736. [Google Scholar] [CrossRef]
- Bao, H.; Hua, Z.Y.; Li, H.Z.; Chen, M.; Bao, B.C. Memristor-based hyperchaotic maps and application in auxiliary classifier generative adversarial nets. IEEE Trans. Ind. Inform. 2021. [Google Scholar] [CrossRef]
- Cang, S.J.; Li, Y.; Zhang, R.Y.; Wang, Z.H. Hidden and self-excited coexisting attractors in a Lorenz-like system with two equilibrium points. Nonlinear Dyn. 2019, 95, 381–390. [Google Scholar] [CrossRef]
- Mezatio, B.A.; Motchongom, M.T.; Tekam, B.R.W.; Kengne, R.; Tchitnga, R.; Fomethe, A. A novel memristive 6D hyperchaotic autonomous system with hidden extreme multistability. Chaos Solitions Fractals 2019, 120, 100–115. [Google Scholar] [CrossRef]
- Njitacke, Z.T.; Koumetio, B.N.; Ramakrishnan, B.; Leutcho, G.D.; Fozin, T.F.; Tsafack, N.; Rajagopal, K.; Kengne, J. Hamiltonian energy and coexistence of hidden firing patterns from bidirectional coupling between two different neurons. Cogn. Neurodyn. 2021, 1–18. [Google Scholar] [CrossRef]
- Chen, B.; Xu, Q.; Chen, M.; Wu, H.G.; Bao, B.C. Initial condition-switched boosting extreme multistability and mechanism analysis in memcapacitive oscillator. Front. Inform. Technol. Electron. Eng. 2021, 22, 1517–1531. [Google Scholar] [CrossRef]
- Njitacke, Z.T.; Kengne, J.; Kengne, L.K. Antimonotonicity, chaos and multiple coexisting attractors in a simple hybrid diode-based jerk circuit. Chaos Solitions Fractals 2017, 105, 77–99. [Google Scholar] [CrossRef]
- Chen, M.; Sun, M.X.; Bao, H.; Hu, Y.H.; Bao, B.C. Flux-charge analysis of two-memristor-based Chua’s circuit: Dimensionality decreasing model for detecting extreme multistability. IEEE Trans. Ind. Electron. 2020, 67, 2197–2206. [Google Scholar] [CrossRef]
- Wang, C.H.; Xia, H.; Zhou, L. A memristive hyperchaotic multiscroll jerk system with controllable scroll numbers. Int. J. Bifurcation Chaos 2017, 27, 1750091. [Google Scholar] [CrossRef] [Green Version]
- Zhang, H.Y.; Sun, K.H.; He, S.B. A fractional-order ship power system with extreme multistability. Nonlinear Dyn. 2021, 106, 1027–1040. [Google Scholar] [CrossRef]
- Hou, L.P.; Bao, H.; Xu, Q.; Chen, M.; Bao, B.C. Coexisting infinitely many nonchaotic attractors in a memristive weight-based tabu learning neuron. Int. J. Bifurcation Chaos 2021, 31, 2150189. [Google Scholar] [CrossRef]
- Xu, Q.; Liu, T.; Feng, C.T.; Bao, H.; Wu, H.G.; Bao, B.C. Continuous non-autonomous memristive Rulkov model with extreme multistability. Chin. Phys. B 2021, 30, 128702. [Google Scholar] [CrossRef]
- Jafari, S.; Sprott, J.C.; Molaie, M. A simple chaotic flow with a plane of equilibria. Int. J. Bifurcation Chaos 2016, 26, 1650098. [Google Scholar] [CrossRef]
- Ye, X.L.; Wang, X.Y.; Zhao, H.Y.; Gao, H.; Zhang, M. Extreme multistability in a new hyperchaotic meminductive circuit and its circuit implementation. Eur. Phys. J. Plus 2019, 134, 206. [Google Scholar] [CrossRef]
- Pham, V.T.; Volos, C.K.; Kapitaniak, T.; Jafari, S.; Wang, X. Dynamics and circuit of a chaotic system with a curve of equilibrium points. Int. J. Electron. 2018, 105, 385–397. [Google Scholar] [CrossRef]
- Bao, H.; Chen, M.; Wu, H.G.; Bao, B.C. Memristor initial-boosted coexisting plane bifurcations and its extreme multi-stability reconstitution in two-memristor-based dynamical system. Sci. China Technol. Sci. 2020, 63, 603–613. [Google Scholar] [CrossRef]
- Zhang, J.H.; Liao, X.F. Synchronization and chaos in coupled memristor-based FitzHugh-Nagumo circuits with memristor synapse. AEÜ Int. J. Electron. Commun. 2017, 75, 82–90. [Google Scholar] [CrossRef]
- Ding, D.W.; Luo, J.; Shan, X.Y.; Hu, Y.B.; Yang, Z.L.; Ding, L.H. Coexisting behaviors of a fraction-order novel hyperbolic-type memristor Hopfield neuron network based on three neurons. Int. J. Modern Phys. B 2020, 34, 2050302. [Google Scholar] [CrossRef]
- Jafari, S.; Ahmadi, A.; Panahi, S.; Rajagopal, K. Extreme multi-stability: When imperfection changes quality. Chaos Solitions Fractals 2018, 108, 182–186. [Google Scholar] [CrossRef]
- Njitacke, Z.T.; Kengne, J.; Tapche, R.W.; Pelap, F.B. Uncertain destination dynamics of a novel memristive 4D autonomous system. Chaos Solitions Fractals 2018, 107, 177–185. [Google Scholar] [CrossRef]
- Yuan, F.; Wang, G.Y.; Wang, X.W. Extreme multistability in a memristor-based multi-scroll hyper-chaotic system. Chaos 2016, 26, 073107. [Google Scholar] [CrossRef]
- Li, C.B.; Sprott, J.C. An infinite 3-D quasiperiodic lattice of chaotic attractors. Phys. Lett. A 2018, 382, 581–587. [Google Scholar] [CrossRef]
- Li, C.B.; Peng, Y.X.; Tao, Z.; Sprott, J.C.; Jafari, S. Coexisting infinite equilibria and chaos. Int. J. Bifurcation Chaos 2021, 31, 2130014. [Google Scholar] [CrossRef]
- Zhang, Y.Z.; Liu, Z.; Wu, H.G.; Chen, S.Y.; Bao, B.C. Two-memristor-based chaotic system and its extreme multistability reconstitution via dimensionality reduction analysis. Chaos Solitions Fractals 2019, 127, 354–363. [Google Scholar] [CrossRef]
- Xu, Q.; Ju, Z.T.; Ding, S.K.; Feng, C.T.; Chen, M.; Bao, B.C. Electromagnetic induction effects on electrical activity within a memristive Wilson neuron model. Cogn. Neurodyn. 2022, 1–11. [Google Scholar] [CrossRef]
- Min, F.H.; Cheng, Y.Z.; Lu, L.; Li, X.Y. Extreme multistability and antimonotonicity in a Shinriki oscillator with two flux-controlled memristors. Int. J. Bifurcation Chaos 2021, 31, 2150167. [Google Scholar] [CrossRef]
- Li, C.B.; Min, F.H.; Jin, Q.S.; Ma, H.Y. Extreme multistability analysis of memristor-based chaotic system and its application in image decryption. AIP Adv. 2017, 7, 125204. [Google Scholar] [CrossRef]
- Kengne, J.; Njitacke, Z.T.; Fotsin, H.B. Dynamical analysis of a simple autonomous jerk system with multiple attractors. Nonlinear Dyn. 2016, 83, 751–765. [Google Scholar] [CrossRef]
- Strelioff, C.C.; Hübler, A.W. Medium-term prediction of chaos. Phys. Rev. Lett. 2006, 96, 044101. [Google Scholar] [CrossRef] [Green Version]












| μ, η | Nonzero Roots | Stabilities | Attractor Types |
|---|---|---|---|
| −0.7, 1 | 0.7398, −0.7699 ± j2.0261 | USF (1P2N) | Infinite |
| −0.6, 1 | 0.6908, −0.7454 ± j1.9786 | USF (1P2N) | Chaotic attractor |
| −0.5, 1 | 0.6308, −0.7154 ± j1.9236 | USF (1P2N) | Period-2 attractor |
| −0.2, 1 | 0.3495, −0.5747 ± j1.7080 | USF (1P2N) | Point |
| 0, 0 | 0, −0.400 ± j1.5297 | SNF (0P3N) | Point |
| 0.2, 0 | −0.4836, −0.1582 ± j1.5238 | SNF (0P3N) | Point |
| 0.36312, 0 | −0.8002, ±j1.5812 | HB point | Point |
| 0.4, 0 | −0.8571, 0.0286 ± j1.5963 | USF (2P1N) | Period-1 attractor |
| 0.9, 0 | −1.3043, 0.2522 ± j1.7590 | USF (2P1N) | Period-4 attractor |
| 1, 0 | −1.3503, 0.2752 ± j1.7797 | USF (2P1N) | Chaotic attractor |
| 1.25, 0 | −1.4323, 0.3161 ± j1.8181 | USF (2P1N) | Infinite |
Publisher’s Note: MDPI stays neutral with regard to jurisdictional claims in published maps and institutional affiliations. |
© 2022 by the authors. Licensee MDPI, Basel, Switzerland. This article is an open access article distributed under the terms and conditions of the Creative Commons Attribution (CC BY) license (https://creativecommons.org/licenses/by/4.0/).
Share and Cite
Bao, H.; Ding, R.; Hua, M.; Wu, H.; Chen, B. Initial-Condition Effects on a Two-Memristor-Based Jerk System. Mathematics 2022, 10, 411. https://doi.org/10.3390/math10030411
Bao H, Ding R, Hua M, Wu H, Chen B. Initial-Condition Effects on a Two-Memristor-Based Jerk System. Mathematics. 2022; 10(3):411. https://doi.org/10.3390/math10030411
Chicago/Turabian StyleBao, Han, Ruoyu Ding, Mengjie Hua, Huagan Wu, and Bei Chen. 2022. "Initial-Condition Effects on a Two-Memristor-Based Jerk System" Mathematics 10, no. 3: 411. https://doi.org/10.3390/math10030411
APA StyleBao, H., Ding, R., Hua, M., Wu, H., & Chen, B. (2022). Initial-Condition Effects on a Two-Memristor-Based Jerk System. Mathematics, 10(3), 411. https://doi.org/10.3390/math10030411

