Next Article in Journal
Rolling Geodesics, Mechanical Systems and Elastic Curves
Previous Article in Journal
About Some Monge–Kantovorich Type Norm and Their Applications to the Theory of Fractals
 
 
Font Type:
Arial Georgia Verdana
Font Size:
Aa Aa Aa
Line Spacing:
Column Width:
Background:
Article

The E-Bayesian Methods for the Inverse Weibull Distribution Rate Parameter Based on Two Types of Error Loss Functions

by
Hassan M. Okasha
1,*,
Abdulkareem M. Basheer
2 and
Yuhlong Lio
3
1
Department of Statistics, Faculty of Science, King Abdulaziz University, Jeddah 21589, Saudi Arabia
2
Faculty of Administrative Sciences, Albaydha University, Albaydha, Yemen
3
Department of Mathematical Sciences, University of South Dakota, Vermillion, SD 57069, USA
*
Author to whom correspondence should be addressed.
Mathematics 2022, 10(24), 4826; https://doi.org/10.3390/math10244826
Submission received: 20 November 2022 / Revised: 12 December 2022 / Accepted: 15 December 2022 / Published: 19 December 2022

Abstract

Given a sample, E-Bayesian estimates, which are the expected Bayesian estimators over the joint distributions of two hyperparameters in the prior distribution, are developed for the inverse Weibull distribution rate parameter under the scaled squared error and linear exponential error loss functions, respectively. The corresponding expected mean square errors, EMSEs, of E-Bayesian estimators based on the sample are derived. Moreover, the theoretical properties of EMSEs are established. A Monte Carlo simulation study is conducted for the performance comparison. Finally, three data sets are given for illustration.

1. Introduction

In the reliability inference and survival analysis, the Weibull distribution has been a very popular distribution for the lifetime data analysis due to the flexibility of the probability density function (PDF) and hazard function (HF). Much research work has been accomplished based on the Weibull distribution from the frequentist and Bayesian view points. For example, the book by Johnson et al. [1] provides an excellent review and Kundu [2] investigated Bayesian inference and reliability sampling plan for the Weibull distribution. The PDF can be either decreasing or uni-model, and HF can be either decreasing or increasing depending upon the different values of the shape parameter. Hence, Kundu and Howlader [3] and Singh et al. [4] mentioned that the Weibull distribution could not be appropriate for the data analysis when the mortality study based on a data set indicates the lifetime distribution could have a non-monotone hazard function, such as in the studies of lung and breast cancer patients’ mortalities by Bennette [5] and Langlands et al. [6], respectively. Therefore, it is important to search for an appropriate probability model to analyze such kind of data sets. The inverse Weibull distribution (IWD) could be an alternative probability model. The PDF and cumulative distribution function (CDF) of the IWD are respectively given by
f ( x ) = α β x ( β + 1 ) e α x β , x 0 , α > 0 , β > 0 ,
and
F ( x ) = e α x β , x 0 , α > 0 , β > 0 ,
where α and β are the rate and shape parameters, respectively. The survival function (SF) is SF(x) = 1 F ( x ) and HF(x) = f ( x ) 1 F ( x ) . The IWD has been studied and applied to diverse fields ranging from Engineering to Medical science. For example, Keller and Kamath [7] and Keller et al. [8] derived the IWD as a suitable model to describe degradation phenomena of mechanical components such as the dynamic components of diesel engines; Erto [9] showed the IWD as goodness-of-fits to several data sets given in literature including the times to breakdown of an insulating fluid subject to the action of a constant tension. Kundu and Howlader [3] showed the IWD as a good of fit model for the survival times of guinea pigs injected with different doses of tubercle bacilli. It can be shown that the IWD hazard function is an unimodal but not a monotone one by using the derivative of basic mathematics. Figure 1 shows more information about PDF, CDF, HF and SF for various values of α and β = 1.0 . Hence, when the empirical study demonstrates the hazard function could be unimodal, the IWD will be an appropriate model instead of the Weibull distribution.
The Bayesian method in statistical inference depends upon the choice of prior distribution and loss function. Many loss functions, such as squared error (SE) loss, linear exponential (LINEX) loss, generalized entropy loss, scaled square error (SSE) loss and precautionary loss functions, have been used to develop the Bayesian method estimates. The SE loss function is the most widely used loss function that can easily be justified based on the minimum variance unbiased estimation. The SE loss function is symmetric, and its disadvantage is placing equal weight on over- and underestimates of same magnitudes. The LINEX loss function is an asymmetric loss function, proposed by Varian [10] and popularized by Zellner [11]. However, numerous scholars had pointed out that the LINEX loss function is not as suitable for estimating scale (or rate) parameter as for the location one. Hence, Basu and Ebrahimi [12] defined a modified LINEX loss function. Kundu and Howlader [3] discussed the Bayesian inference under the SE loss function and constructed the credible interval for future order statistics of the IWD based on Type-II censored data through a Gibbs sampling procedure to draw Markov Chain Monte Carlo samples. Meanwhile, they claimed other loss functions could be applied, too. In the study of Bayesian estimations for the IWD parameters based on complete, type I and II censored samples, respectively, Singh et al. [4] used the SE loss function and a suitable alternative to the modified LINEX loss function that is the general entropy loss function proposed by Calabria and Pulcini [13]. The SSE loss function, proposed by Lehmann and Casella [14], is symmetric. Norstrom [15] introduced an alternative asymmetric loss function called precautionary loss function and provided a very detail discussion regarding risk analysis within the Bayesian framework. It should be mentioned that the SSE loss function is different from the precautionary loss function in the denominator and both loss functions have the SE loss function as a special case when the denominator has zero power. Yahgmaei et al. [16] investigated Bayesian estimates of scale parameter using quasi, gamma, and uniform priors under the SE, entropy, and precautionary loss functions based on random sample. Calabria and Pulcini [17] investigated the Bayes prediction of the ordered statistic of lifetimes for a future sample, from the IWD without using loss function, under the type I or II sampling.
Moreover, in the Bayesian estimation procedure, the joint prior distribution of population parameters often relies on the selection of hyperparameters. To resolve this issue, the hierarchical Bayesian method was initially proposed by Lindley and Smith [18]. Han [19] also investigated the hierarchical Bayesian method and proposed E-Bayesian estimation. The hierarchical Bayesian procedure needs two steps of setting the joint prior. Therefore, it makes Bayesian estimate less impact from the selection of hyperparameters. The proposed E-Bayesian estimation method uses a suitable joint prior distribution for the hyperparameters to prevent the impact of subjective selection. Since then, the E-Bayesian estimation method has been studied by many researchers, for example, Han [20] utilized the E-Bayesian estimation method to estimate the failure rate derived from exponential distribution and discussed the relationship between E-Bayesian and hierarchical Bayesian estimations. Han [21] developed the formulas of E-Bayesian and hierarchical Bayesian estimations for the reliability derived from Binomial distribution. Han [22] investigated the E-Bayesian and hierarchical Bayesian estimations of the shape parameter of Pareto distribution under the known scale parameter. By utilizing there different joint priors for hyperparameters, Han [23] explored E-Bayesian estimation method to compute the estimates of exponential distribution parameter and corresponding expected mean square errors (EMSEs) based on a conjugate prior distribution under the SSE loss function. Han [24] studied the E-Bayesian estimates for the Pareto index and EMSEs based on a conjugate prior distribution under SE, weighted squared error (WSE) loss and precautionary loss functions, respectively. Jaheen and Okasha [25] utilized the E-Bayesian method for evaluating estimates of the parameter and reliability function of the Burr type XII distribution based on type-II censored samples under SE and LINEX loss functions. Okasha [26] developed the E-Bayesian estimates for the parameter, reliability (series system and parallel system) and hazard functions via type-II censored sample from the Weibull distribution with known shape parameter based on a conjugate prior and SE loss function. To deal with the hyperparameter choices, Karimnezhad and Moradi [27] used E-Bayes and robust Bayes approaches for the Bayesian estimation of parameter and prediction based on type-II sample from the exponential distribution under precautionary loss function and Gamma prior. Yousefzadeh and Hadi [28] explored the E-Bayesian and hierachical Bayesian estimations of the parameter and the system reliability parameter of Pascal distribution under LINEX and entropy loss functions. In view of existing research works, it can be noticed that the hierarchical Bayesian estimation often involves in complicated integrals and the E-Bayesian estimation method is relatively much simple.
Assuming the shape parameter is known, Gupta and Gupta [29] compared the Bayesian and E-Bayesian estimators of exponentiated IWD rate parameter by using gamma prior and Degroot, Al-Bayyati and minimum expected loss functions. For E-Bayesian estimate, they used the uniform prior distribution over ( 0 , 1 ) interval for shape hyperparameter and three different priors for rate hyperparameter. However, the uniform prior distribution is less flexible for random variable over ( 0 , 1 ) . Basheer et al. [30] investigated E-Bayesian and hierarchical Bayesian estimates for the rate parameter of IWD by using the LINEX loss function and exponential prior. For the E-Bayesian estimate, the three different priors by Gupta and Gupta [29] were used for the rate hyperparameter in the exponential prior. However, the exponential prior is not flexible enough to model a positive random variable. It can be seen that the SSE loss function has an SE loss function as a special case and LINEX loss function has an SE loss function as the special case in the limit concept. Using SSE and LINEX loss functions and gamma prior for the Bayesian and E-Bayesian estimates (with three different joint priors for hyperparameters) for the IWD rate parameter has not been seen in the literature. The aim of this article is to investigate the Bayesian and E-Bayesian estimation methods for the unknown IWD rate parameter by using gamma prior under the SSE and LINEX loss functions and the related EMSEs. For E-Bayesian estimator, Beta prior is used for shape hyperparameter and three different priors by Gupta and Gupta [29] are used for rate hyperparameter of gamma prior. The current approach has not been seen from the works by Gupta and Gupta [29] and Basheer et al. [30].
Since a lifetime power function, which has a shape parameter, β , as the power, happens in the exponential function for the two-parameter IWD density function, the E-Bayesian estimate of shape parameter, β , is not trackable in this study. Kundu and Howlader [3] mentioned that in many practical problems, it is not unreasonable to assume the shape parameter β as a known constant. Nelson [31] also provided several reliability and survival analysis applications of the inverse Rayleigh that is a member of the IWD with β = 2 . Therefore, the E-Bayesian estimate of the rate parameter, α , of the IWD will be the focus. The definition of E-Bayesian estimator of the IWD rate parameter will be given in Section 2. In Section 3, the EMSEs will be defined and the closed-form formulas of the E-Bayesian estimators of the IWD rate parameter based on different loss functions and three joint priors for two hyperparamters will be obtained. The theoretical properties of EMSEs for E-Bayesian estimators are discussed in Section 4. Section 5 describes the simulation procedure and results. Section 6 illustrates the applications of proposed methodologies by using three application examples. Finally, conclusions and remarks are addressed in Section 7.

2. Bayesian Estimation

Let a random sample X = ( x 1 , x 2 , , x n ) of size n be from the IWD that has PDF given by (1), the likelihood function can be represented as,
L ( α , β | X ) = α n τ ( β ; X ) e α Z ,
where
τ ( β ; X ) = β n i = 1 n x i ( β + 1 ) and Z Z ( β ; X ) = i = 1 n x i β .
In the current model, it is difficult to investigate E-Bayesian estimation of shape parameter, β , because of complicated power exponents. Therefore, β is assumed to be a known constant for the IWD in this study. When β is known in the IWD, the maximum likelihood estimate (MLE) of the parameter α , can be derived as the following closed form,
α ^ M L E = n Z .
Thanks to a flexible probability modeling, gamma distribution has been often used as the model of any positive random varaible. For the Bayesian estimation of the parameter α > 0 , the gamma conjugate prior density,
g ( α a , b ) = b a Γ ( a ) α a 1 e b α , α > 0 ,
where a > 0 and b > 0 are two hyperparameters, is used. The gamma prior density has the exponential distribution used by Han [24] as a special case. Following a Bayesian framework and the definition, the posterior density of α based on the given random sample, X, can be obtained from (3) and (5) as
q ( α | Z ) = ( b + Z ) n + a Γ ( n + a ) α n + a 1 e ( b + Z ) α , α > 0 .
Under the SSE loss function, L ( α , α ^ ) = ( α α ^ ) 2 α k , proposed by Lehmann and Casella [14], the Bayesian estimate of α can be shown, followed by the procedure of Lehmann and Casella [14], as
α ^ B S S ( a , b ) = E ( α 1 k | Z ) E ( α k | Z ) = n + a k b + Z ,
where k 0 and
E ( α ν | Z ) = 0 α ν q ( α | a , b ) d α = Γ ( n + a + ν ) ( b + Z ) ν Γ ( n + a ) , ν = k , 1 k .
In the practical application, k = 0 , 1 , 2 , are usually considered. When k = 0 , the SSE loss function is called the SE loss function and (7) is the posterior mean E ( α | Z ) and the Bayesian estimate under the SE loss function. When k = 1 , the SSE loss function is named as the WSE loss function and (7) is [ E ( α 1 | Z ) ] 1 . When k = 2 , the SSE loss function is known as the quadratic squared error (QSE) loss function and (7) is E ( α 1 | Z ) E ( α 2 | Z ) . Han [23] provided more detailed information about the SSE loss function that covers both the SE and WSE loss functions used by Han [24] as two special cases.
Varian [10] introduced an asymmetric loss function, L ( θ ^ , θ ) = e x p ( w ( θ ^ θ ) ) w ( θ ^ θ ) 1 , for a given real number, w 0 , which is well known as the LINEX loss function. The LINEX loss function has been considered for the Bayesian estimations by numerous scholars, for example, Zellner [11], Basu and Ebrahimi [12], Pandy [32], Soliman [33] and Nassar and Eissa [34]. Han [24] did not include the LINEX loss function. Under the LINEX loss function, the Bayes estimate of α can be shown, following the same procedure of Varian [10], as
α ^ B L = 1 w ln ( E ( e x p ( w α ) | Z ) ) = ( n + a ) w ln ( b + Z b + Z + w ) ,
where w 0 and b + Z > w to ensure b + Z b + Z + w > 0 in the domain of logarithm function based on e. Moreover, it can be shown that α ^ B L α ^ B S S with k = 0 when w 0 by using defintion and basic calculus; that is, lim w 0 α ^ B L = α ^ S E . Therefore, mathematically, when w = 0 , α ^ B L can be defined as α ^ S E to make α ^ B L be a continuous function with respect to w over w > b Z .

MSE for Estimators

Three widely used measures for an estimator performance evaluation are the expectation, variance and mean square error (MSE). It can be shown that Z has a gamma ( n , α ) distribution for any given α and β regardless of being known or unknown by using the transformation method. Therefore, the expectations and mean square errors for all estimators mentioned above are obtained, respectively, as follows: for the MLE, α ^ M L E , of α ,
E ( α ^ M L E ) ( α ) = E ( α ^ M L E | α ) = 0 n z α n Γ ( n ) z n 1 e α z d z = n n 1 α ,
and
MSE ( α ^ M L E ) ( α ) = E ( ( α α ^ M L E | Z ) 2 | α ) = α 2 2 α E ( α ^ M L E | α ) + E ( ( α ^ M L E ) 2 | α ) = n + 2 ( n 1 ) ( n 2 ) α 2 .
Given a sample X, which implies given Z because β is a known constant, the Bayesian estimator, α ^ B S S ( a , b ) , has the following result,
MSE ( α ^ B S S ( a , b ) | Z ) = E ( ( α α ^ B S S ( a , b ) ) 2 | Z ) = E ( α 2 | Z ) 2 α ^ B S S ( a , b ) E ( α | Z ) + ( α ^ B S S ( a , b ) ) 2 = ( n + a + 1 ) ( n + a ) ( b + Z ) 2 2 n + a k b + Z n + a b + Z + n + a k b + Z 2 = n + a + k 2 ( b + Z ) 2 ,
and the Bayesian estimator, α ^ B L ( a , b ) , has the following result,
MSE ( α ^ B L ( a , b ) | Z ) = E ( ( α α ^ B L ( a , b ) ) 2 | Z ) = E ( α 2 | Z ) 2 α ^ B L ( a , b ) E ( α | Z ) + ( α ^ B L ( a , b ) ) 2 = ( n + a + 1 ) ( n + a ) ( b + Z ) 2 2 n + a w ln ( 1 + w b + Z ) n + a b + Z + ( n + a ) 2 1 w ln ( 1 + w b + Z ) 2 = n + a ( b + Z ) 2 + n + a b + Z 2 1 ( b + Z ) w l n ( 1 + w ( b + Z ) ) 2 ,
It should be noticed that (12) is true for w 0 and b + Z > w . b + Z > w is equivalent to 1 < w / ( b + Z ) . When 1 < w / ( b + Z ) < 1 , (12) can be represented as
MSE ( α ^ B L ( a , b ) | Z ) = n + a ( b + Z ) 2 + n + a b + Z 2 i = 2 w ( i 1 ) ( 1 ) ( i 1 ) i ( b + Z ) ( i 1 ) 2 ,
where the series i = 2 w ( i 1 ) ( 1 ) ( i 1 ) i ( b + Z ) ( i 1 ) 2 is absolutely convergent. When w = 0 , it can be defined that MSE ( α ^ B L ( a , b ) | Z ) = MSE ( α ^ B S S ( a , b ) | Z ) with k = 0 according to the asymptotic link between α ^ B L and α ^ B S S with k = 0 when w 0 . When w / ( b + Z ) = 1 , (12) can be represented as
MSE ( α ^ B L ( a , b ) | Z ) = n + a ( b + Z ) 2 + n + a b + Z 2 ( 1 ln ( 2 ) ) 2 .
When w / ( b + Z ) > 1 , (12) is continuous function of w. Therefore, it can be shown that for the given Z and hyperparameters a > 0 and b > 0 , (12) is a continuous function of w over w > ( b + Z ) by using basic calculus technique.
It should be mentioned that E ( α ^ M L E ) ( α ) and MSE ( α ^ M L E ) ( α ) are independent of Z and depend upon random variable α , and MSE ( α ^ B S S ( a , b ) | Z ) and MSE ( α ^ B L ( a , b ) | Z ) are independent of α but depend upon hyperparameters and Z.

3. E-Bayesian and EMSE Estimations

According to Han [19], the prior parameters a and b should be selected to guarantee that the prior g ( α | a , b ) in (5) is a decreasing function of α . The derivative of g ( α | a , b ) with respect to α is
d g ( α | a , b ) d α = b a Γ ( a ) α a 2 e b α [ ( a 1 ) b α ] .
Thus, for 0 < a < 1 , b > 0 , the prior g ( α | a , b ) is a decreasing function of α because d g ( α | a , b ) d α < 0 when 0 < a < 1 and b > 0 . Assuming that the hyperparameters a and b are independent random variables and their density functions are π 1 ( a ) and π 2 ( b ) , respectively, then the joint bivariate density function of a and b can be represented as follows,
π ( a , b ) = π 1 ( a ) π 2 ( b ) .
When the SSE loss function is used, the E-Bayesian estimate of α , given Z, is defined as
α ^ E B S S = ϱ α ^ B S S ( a , b ) π ( a , b ) d a d b ,
and the related EMSE, given Z, is defined as
EMSE ( α ^ E B S S | Z ) = ϱ MSE ( α ^ B S S ( a , b ) | Z ) π ( a , b ) d a d b ,
where α ^ B S S ( a , b ) is the Bayesian estimator of α given by (7), MSE ( α ^ B S S ( a , b ) | Z ) is the MSE of Bayesian estimator of α given by (11) and ϱ is the domain of a and b for which the prior density is decreasing in α . When the LINEX loss function is used, the E-Bayesian estimate of α , given Z, is defined as
α ^ E B L = ϱ α ^ B L ( a , b ) π ( a , b ) d a d b ,
and the related EMSE, given Z, is defined as
EMSE ( α ^ E B L | Z ) = ϱ MSE ( α ^ B L ( a , b ) | Z ) π ( a , b ) d a d b ,
where α ^ B L ( a , b ) is the Bayesian estimator of α given by (9), MSE ( α ^ B L ( a , b ) | Z ) is the MSE of Bayesian estimator of α given by (12) and ϱ is the domain of a and b for which the prior density is decreasing in α . For more details on E-Bayesian, readers may refer to References [35,36].

3.1. E-Bayesian Estimations of α

In this study, there are two hyperparameters a and b and the properties of E-Bayesian estimates of α rely on different distributions of the hyperparameters a and b. Let the distribution of a be Beta distribution with parameters u > 0 and v > 0 ,
π 1 ( a ) = 1 B ( u , v ) a u 1 ( 1 a ) v 1 , 0 < a < 1
and three distributions for b be respectively given as follows,
π 21 ( b ) = 1 s , 0 < b < s
π 22 ( b ) = 2 s 2 ( s b ) , 0 < b < s
and
π 23 ( b ) = 2 b s 2 , 0 < b < s
where B ( u , v ) is the beta function. It should be mentioned that Beta distribution is a flexible distribution model for random varaiable over ( 0 , 1 ) and the aforementioned three distributions have been proposed as priors for gamma rate parameter in E-Bayesian estimation. See Han [24] and Okasha et al. [37]. Therefore, to investigate the E-Bayesian estimations of α , the following three joint distributions, π j ( a , b ) = π 1 ( a ) π 2 j ( b ) of 0 < a < 1 and 0 < b < s for j = 1 , 2 , 3 , which ensure the gamma prior, g ( α | a , b ) of (5), is a decrease function of α , are given as follows,
π 1 ( a , b ) = 1 s B ( u , v ) a u 1 ( 1 a ) v 1 , π 2 ( a , b ) = 2 s 2 B ( u , v ) ( s b ) a u 1 ( 1 a ) v 1 , π 3 ( a , b ) = 2 b s 2 B ( u , v ) a u 1 ( 1 a ) v 1 .
The E-Bayesian estimates of the parameter α , given X that implies given Z, under the SSE loss function can be derived by using (7), (13) and (17). Therefore, given Z and under the SSE loss function, the E-Bayesian estimates of α based on π 1 ( a , b ) , π 2 ( a , b ) and π 3 ( a , b ) are, respectively, given as follows,
α ^ E B S S 1 = ϱ α ^ B S S ( a , b ) π 1 ( a , b ) d a d b = 1 s B ( u , v ) 0 s 0 1 n + a k b + Z a u 1 ( 1 a ) v 1 d a d b = 1 s n k + u u + v ln s + Z Z , k = 0 , 1 , 2 ,
α ^ E B S S 2 = 2 s n k + u u + v Z + s s ln s + Z Z 1 , k = 0 , 1 , 2 ,
and
α ^ E B S S 3 = 2 s n k + u u + v 1 Z s ln s + Z Z , k = 0 , 1 , 2 .
The E-Bayesian estimates of the parameter α , given X that implies given Z, under the LINEX loss function can be derived by using (9), (15) and (17). Hence, given Z and under the LINEX loss function, the E-Bayesian estimates of α based on π 1 ( a , b ) , π 2 ( a , b ) and π 3 ( a , b ) are, respectively, given as follows,
α ^ E B L 1 = ϱ α ^ B L ( a , b ) π 1 ( a , b ) d b d a = 1 w s B ( u , v ) 0 1 0 s ( n + a ) a u 1 ( 1 a ) v 1 ln ( 1 + w b + Z ) d b d a = 1 w s ( n + u u + v ) 0 s ln ( 1 + w b + Z ) d b = 1 w s ( n + u u + v ) { s ln ( 1 + w s + Z ) + ( Z + w ) ln ( 1 + s w + Z ) Z ln ( Z + s Z ) } ,
α ^ E B L 2 = ϱ α ^ B L ( a , b ) π 2 ( a , b ) d b d a = 2 w s 2 B ( u , v ) 0 1 0 s ( n + a ) ( s b ) a u 1 ( 1 a ) v 1 ln ( 1 + w b + Z ) d b d a = ( n + u u + v ) [ 1 w ln ( 1 + w Z ) ( s + Z ) 2 s 2 w ln ( 1 + s Z ) + ( s + Z + w ) 2 s 2 w ln ( 1 + s Z + w ) 1 s ] ,
and
α ^ E B L 3 = ϱ α ^ B L ( a , b ) π 3 ( a , b ) d b d a = 2 w s 2 B ( u , v ) 0 1 0 s ( n + a ) a u 1 ( 1 a ) v 1 b ln ( 1 + w b + Z ) d b d a = ( n + u u + v ) [ 1 w ln ( 1 + w Z + s ) + Z 2 s 2 w ln ( 1 + s Z ) ( Z + w ) 2 s 2 w ln ( 1 + s Z + w ) + 1 s ] .

3.2. EMSE Estimations of α

In this section, the closed forms of EMSE estimators of the IWD rate parameter are discussed. Using (11), (14) and (17), the EMSE estimates of the parameter α , given a sample X, under the SSE loss function and based on π 1 ( a , b ) , π 2 ( a , b ) and π 3 ( a , b ) can be, respectively, obtained as
EMSE ( α ^ E B S S 1 | Z ) = 0 s 0 1 MSE [ α ^ B S S ( a , b ) | Z ] π 1 ( a , b ) d a d b = 1 s B ( u , v ) 0 s 0 1 ( n + a + k 2 ) ( b + Z ) 2 a u 1 ( 1 a ) v 1 d a d b = 1 s 0 s d b ( b + Z ) 2 0 1 ( n + a + k 2 ) B ( u , v ) a u 1 ( 1 a ) v 1 d a = 1 Z ( Z + s ) ( n + k 2 + u u + v ) , k = 0 , 1 , 2 ,
EMSE ( α ^ E B S S 2 | Z ) = 2 s 2 ( n + k 2 + u u + v ) s Z ln ( 1 + s Z ) , k = 0 , 1 , 2 ,
and
EMSE ( α ^ E B S S 3 | Z ) = 2 s 2 ( n + k 2 + u u + v ) ln ( 1 + s Z ) s Z + s , k = 0 , 1 , 2 .
Using (12), (16) and (17), the EMSE estimates of the parameter α , given a sample X, under LINEX loss function with 1 < w / Z and based on π 1 ( a , b ) , π 2 ( a , b ) and π 3 ( a , b ) can be respectively obtained as
EMSE ( α ^ E B L 1 | Z ) = 0 s 0 1 MSE [ α ^ B L ( a , b ) | Z ] π 1 ( a , b ) d a d b = 0 s 0 1 n + a ( b + Z ) 2 + n + a b + Z 2 1 ( b + Z ) w ln ( 1 + w ( b + Z ) ) 2 × π 1 ( a , b ) d a d b = 0 s 0 1 n + a b + Z 2 1 ( b + Z ) w ln ( 1 + w ( b + Z ) ) 2 π 1 ( a , b ) d a d b + EMSE ( α ^ E B S S 1 | Z ) ( k = 0 ) ,
EMSE ( α ^ E B L 2 | Z ) = 0 s 0 1 MSE [ α ^ B L ( a , b ) | Z ] π 2 ( a , b ) d a d b = 0 s 0 1 n + a ( b + Z ) 2 + n + a b + Z 2 1 ( b + Z ) w ln ( 1 + w ( b + Z ) ) 2 × π 2 ( a , b ) d a d b = 0 s 0 1 n + a b + Z 2 1 ( b + Z ) w ln ( 1 + w ( b + Z ) ) 2 π 2 ( a , b ) d a d b + EMSE ( α ^ E B S S 2 | Z ) ( k = 0 ) ,
and
EMSE ( α ^ E B L 3 | Z ) = 0 s 0 1 MSE [ α ^ B L ( a , b ) | Z ] π 3 ( a , b ) d a d b = 0 s 0 1 n + a ( b + Z ) 2 + n + a b + Z 2 1 ( b + Z ) w ln ( 1 + w ( b + Z ) ) 2 × π 3 ( a , b ) d a d b = 0 s 0 1 n + a b + Z 2 1 ( b + Z ) w ln ( 1 + w ( b + Z ) ) 2 π 3 ( a , b ) d a d b + EMSE ( α ^ E B S S 3 | Z ) ( k = 0 ) .
It should be mentioned that for comparison purposes, the generalized entropy and precautionary loss functions are not considered in this study because it is difficult to derive nice closed forms of E-Bayesian estimation and EMSE for IWD under the generalized entropy as well as precautionary loss functions.

4. Properties of EMSE Estimations of α

In this section, given a sample, X, and β > 0 , which implies a given Z, the relations among the EMSE estimations will be discussed.
Proposition 1.
Let 0 < s , u > 0 , v > 0 and EMSE ( α ^ E B S S j | Z ) , j = 1 , 2 , 3 , be given by (24)–(26). Then, given a sample X and β > 0 that implies a given Z, the following inequalities are true for any given k 0 , especially, k = 0 , 1 , 2 ,
  • EMSE ( α ^ E B S S 3 | Z ) < EMSE ( α ^ E B S S 1 | Z ) < EMSE ( α ^ E B S S 2 | Z ) .
Remark 1.
Proposition 1 shows that for i = 0 , 1 , 2
  • EMSE ( α ^ E B S S 3 | Z ) ( k = i ) < EMSE ( α ^ E B S S 1 | Z ) ( k = i ) < EMSE ( α ^ E B S S 2 | Z ) ( k = i ) .
Proposition 2.
For 1 < w / Z , EMSE ( α ^ E B L 1 | Z ) , EMSE ( α ^ E B L 2 | Z ) and EMSE ( α ^ E B L 2 | Z ) are given by (27)–(29), respectively. Then, given a sample X and β > 0 that implies a given Z, the following inequalities are true for any given u > 0 , v > 0 and s > 0
  • EMSE ( α ^ E B L 3 | Z ) < EMSE ( α ^ E B L 1 | Z ) < EMSE ( α ^ E B L 2 | Z ) .
Remark 2.
Proposition 2 shows that for w > Z
  • EMSE ( α ^ E B L 3 | Z ) < EMSE ( α ^ E B L 1 | Z ) < EMSE ( α ^ E B L 2 | Z ) under the LINEX loss function.
Proposition 3.
For any given s ( > 0 ) , EMSE ( α ^ E B S S 1 | Z ) given by (24) with π 1 ( a , b ) for k = 0 , 1 , 2 and for any given w ( > Z ) , EMSE ( α ^ E B L 1 ) given by (27) with π 1 ( a , b ) have the following properties for any given β > 0 ,
(i) 
Given a sample X, there exists w 0 with 0 < w 0 / Z < 1 such that for | w | < w 0
EMSE ( α ^ E B S S 1 | Z ) ( k = 0 ) ≤ EMSE ( α ^ E B L 1 | Z )
< EMSE ( α ^ E B S S 1 | Z ) ( k = 1 ) < EMSE ( α ^ E B S S 1 | Z ) ( k = 2 ) ;
(ii) 
lim Z EMSE ( α ^ E B S S 1 | Z ) = 0 , for given k ( = 0 , 1 , 2 ) ;
(iii) 
lim Z EMSE ( α ^ E B L 1 | Z ) = 0 .
Remark 3.
Proposition 3 shows there exists w 0 ( 0 < w 0 / Z ) such that for 0 < | w | < w 0
  • EMSE ( α ^ E B S S 1 | Z ) ( k = 0 ) < EMSE ( α ^ E B L 1 | Z ) < EMSE ( α ^ E B S S 1 | Z ) ( k = 1 )
  • < EMSE ( α ^ E B S S 1 | Z ) ( k = 2 ) .
  • When w = 0 , EMSE ( α ^ E B S S 1 | Z ) ( k = 0 ) = EMSE ( α ^ E B L 1 | Z ) .
Proposition 4.
For any given s > 0 , EMSE ( α ^ E B S S 2 | Z ) given by (25) with π 2 ( a , b ) for k = 0 , 1 , 2 and for any given w > Z , EMSE ( α ^ E B L 2 ) given by (28) with π 2 ( a , b ) have the following properties for any given β > 0 ,
(i) 
Given a sample X there exists w 0 with 0 < w 0 / Z < 1 such that for | w | < w 0
EMSE ( α ^ E B S S 2 | Z ) ( k = 0 ) ≤ EMSE ( α ^ E B L 2 | Z ) < EMSE ( α ^ E B S S 2 | Z ) ( k = 1 )
< EMSE ( α ^ E B S S 2 | Z ) ( k = 2 ) ;
(ii) 
lim Z EMSE ( α ^ E B S S 2 | Z ) = 0 , for any k = 0 , 1 , 2 ;
(iii) 
lim Z EMSE ( α ^ E B L 2 | Z ) = 0 .
Remark 4.
Proposition 4 shows there exists w 0 > 0 such that for 0 < | w | < w 0
  • EMSE ( α ^ E B S S 2 | Z ) ( k = 0 ) < EMSE ( α ^ E B L 2 | Z ) < EMSE ( α ^ E B S S 2 | Z ) ( k = 1 )
  • < EMSE ( α ^ E B S S 2 | Z ) ( k = 2 ) .
  • When w = 0 , EMSE ( α ^ E B S S 2 | Z ) ( k = 0 ) = EMSE ( α ^ E B L 2 | Z ) .
Proposition 5.
For any given s > 0 , EMSE ( α ^ E B S S 3 | Z ) given by (26) with π 3 ( a , b ) for k = 0 , 1 , 2 and for any given w > Z , EMSE ( α ^ E B L 3 ) given by (29) with π 3 ( a , b ) have the following properties for any given β > 0 ,
(i) 
Given a sample X, there exists w 0 with 0 < w 0 / Z < 1 such that for | w | < w 0
EMSE ( α ^ E B S S 3 | Z ) ( k = 0 ) ≤ EMSE ( α ^ E B L 3 | Z ) < EMSE ( α ^ E B S S 3 | Z ) ( k = 1 )
< EMSE ( α ^ E B S S 3 | Z ) ( k = 2 ) ;
(ii) 
lim Z EMSE ( α ^ E B S S 3 | Z ) = 0 , for given k = 0 , 1 , 2 ;
(iii) 
lim Z EMSE ( α ^ E B L 3 | Z ) = 0 .
Remark 5.
Proposition 5 shows there exists w 0 > 0 such that for 0 < | w | < w 0
  • EMSE ( α ^ E B S S 3 | Z ) ( k = 0 ) < EMSE ( α ^ E B L 3 | Z ) < EMSE ( α ^ E B S S 3 | Z ) ( k = 1 )
  • < EMSE ( α ^ E B S S 3 | Z ) ( k = 2 ) .
  • When w = 0 , EMSE ( α ^ E B S S 3 | Z ) ( k = 0 ) = EMSE ( α ^ E B L 3 | Z ) .
  • From Propositions 3–5, Z is equivalent to sample size n which can be verified through the series concept.

5. Monte Carlo Simulation and Comparisons

Section 4 established the theoretical comparisons among all E-Bayesian estimators in terms of EMSE, given a sample X and a shape parameter β > 0 . The theoretical properties for E-Bayesian estimates under SSE loss function are true for any given k 0 that implies the properties for E-Bayesian estimates under SSE loss function must be true for k = 0 , k = 1 and k = 2 , too. When comparing E-Bayesian estimates under LINEX loss function and under SSE loss function with k = 0 , 1 , 2 , the theoretical properties only conclude that there exists a value w near zero for the E-Bayesian estimate under LINEX loss function which is between E-Bayesian estimate under SSE loss function with k = 0 and E-Bayesian estimate under SSE loss function with k = 1 . However, the true value of w has not been provided in a closed form. This section presents the Monte Carlo simulation procedure that will be conducted to compare the performance of the proposed estimation methods over the entire population.
To compare the performance among all E-Bayesian estimators, the expected EMSE ( α ^ E B L j | Z ) for j = 1 , 2 , 3 and EMSE ( α ^ E B S S j | Z ) ( k = i ) , for i = 0 , 1 , 2 over the sampling distribution of sample X will be used. Meanwhile, the comparison among Bayesian estimators and MLE will also be considered. For this purpose, the expected MSE ( α ^ B S S ( a , b ) | Z ) and MSE ( α ^ B L ( a , b ) | Z ) for all Bayesian estimators and the expected MSE ( α ^ M L E ) ( α ) for MLE will be calculated over the sampling distribution of Z and across over all populations of α by using Beta distribution for a and the three distributions of b mentioned in Section 3.1.
The Monte Carlo simulation procedure is conducted for each combination setting of sample size n = 25 , 50 , 75 , 100 , β = 0.9 , 1.5 , 3.0 , three joint distributions, π j ( a , b ) j = 1 , 2 , 3 from (19) with s = 0.9 , 10 , 50 , 100 , 500 , 1000 , u = 3, 4 and v = 4, 5, three SSE loss functions with k = 0, 1, 2, and a given w for LINEX loss function through the following steps by utilizing Maple 12 :
Step 1:
Set j = 1 ;
Step 2:
For j 3 , select a joint distribution, π j ( a , b ) = π 1 ( a ) π 2 j ( b ) of (17), with given values of ( u , v ) and s; otherwise, go to Step 7;
Step 3:
Randomly generate a and b from the beta prior, π 1 ( a ) , and prior, π 2 j ( b ) , respectively;
Step 4:
For the values of ( a , b ) from Step 3, α is randomly generated from the gamma prior of (5);
Step 5:
For the value of α from Step 4, randomly generate a sample, X, of size n from the IW ( α , β ) of (1);
Step 6:
For j 3 , evaluate the values of EMSE ( α ^ E B S S j | Z ) ( k ) , for k = 0 , 1 , 2 , respectively, and EMSE ( α ^ E B L j | Z ) ;
Step 7:
For j = 4 ,
(a)
Evaluate the value of MSE ( α ^ M L E ) ( α ) , by using α from Step 4 and sample size n, and
(b)
Evaluate the value of MSE ( α ^ B S S ( a , b ) | Z ) for k = 0 , 1 , 2 and the value of MSE ( α ^ B L ( a , b ) | Z ) by using a, b from Step 3 and the sample X;
Step 8:
Repeat Step 3 to Step 7 for 10,000 times. The average of 10,000 calculated values for EMSE ( α ^ E B S S j | Z ) ( k ) , for k = 0 , 1 , 2 , and EMSE ( α ^ E B L j | Z ) are calculated and labeled as EMSE ( α ^ E B S S j ) , for k = 0 , 1 , 2 , and EMSE ( α ^ E B L j ) , respectively. The the average of 10,000 calculated values for MSE ( α ^ B S S ( a , b ) | Z ) for k = 0 , 1 , 2 , MSE ( α ^ B L | Z ) and MSE ( α ^ M L E ) ( α ) are calculated and labeled as MSE ( α ^ B S S ) for k = 0 , 1 , 2 , MSE ( α ^ B L | Z ) and MSE ( α ^ M L E ) , respectively;
Step 9:
Set j = j + 1 and repeat Step 2 to Step 8 until j > 4 .
The structure of the simulation study can be simply represented by the following flowchart.
The simulation procedure established here is different from the simulation procedure used by Han [23] who assumed the two parameters from Pareto were known such that a random sample could be drawn from the same Pareto distribution immediately. As the rate parameter α for IWD is a random variable that has gamma distribution, α was drawn before random sample was drawn. For each i = 0 , 1 , 2 , EMSE ( α ^ E B S S j | Z ) ( k = i ) , for j = 1 , 2 , 3 were calculated by using (24)–(26), respectively. EMSE ( α ^ E B L j | Z ) for j = 1 , 2 , 3 were respectively calculated by using (27)–(29), where the entire double integral was obtained by Maple 12 after Z, n and w were plug-in. For each k = 0 , 1 , 2 , MSE ( α ^ B S S ( a , b ) | Z ) were respectively calculated by using (11) for k = 0 , 1 , 2 and MSE ( α ^ B L ( a , b ) | Z ) was calculated by using (12).
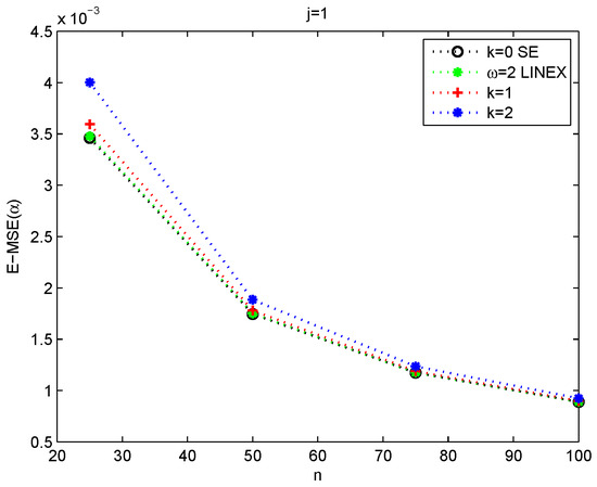
Table 1 and Table 2 only show the simulation results for β = 3 , s = 0.9 , u = 4 and v = 5 by using π 1 ( a , b ) , π 2 ( a , b ) and π 3 ( a , b ) because these two tables show the same pattern of comparisons from all simulation cases. For easy viewing of the comparison pattern, Figure 2 displays the simulation results obtained by using the π 1 ( a , b ) of (17). In order to view the impact from the range of b, the simulation results for a wide range, s, of b for the same sample size 50, 72 are also included in Table 3 and Table 4, respectively. More simulation results were also placed in Appendix A.
Generally, under Beta distribution for a and the three priors for b mentioned in Section 3.1, the simulated average of MSEs for Bayesian estimates of α regardless of loss functions considered in the study are less than the simulated average of MSEs for MLEs of α across over the population of α and the simulated average of MSE for Bayesian estimate of α under the LINEX loss function with w = 2 is between the simulated average of MSE for Bayesian estimate of α under the SSE loss function with k = 0 and the simulated average of MSE for Bayesian estimate of α under the SSE loss function with k = 1 across over the population of α . It should be mentioned that for any j = 1 , 2 , 3 , EMSE ( α ^ E B S S j ) for k = 0 , 1 , 2 and EMSE ( α ^ E B L j ) are considered as the MSEs for α ^ E B S S j for k = 0 , 1 , 2 and α ^ E B L j , respectively, across over the population of α . When n increases, all simulated averages of MSEs decrease and the E-Bayes estimates could turn to have the smallest average of simulated averages of MSEs across over population as compared with their corresponding Bayes estimates. For the comparison among E-Bayes estimators, based on Table 1, Table 2, Table 3 and Table 4 and Figure 3, the following conclusions can be drawn:
(1)
When sample size n is increasing the simulated average of EMSE is decreasing;
(2)
Given a value of k from { 0 , 1 , 2 } , all simulated averages of EMSEs across over population of α under SSE loss function preserve Proposition 1, i.e.,
EMSE ( α ^ E B S S 3 | Z ) < EMSE ( α ^ E B S S 1 | Z ) < EMSE ( α ^ E B S S 2 | Z ) for any given sample Z;
(3)
Given a prior π j ( a , b ) , j = 1 , 2 , 3 , from (17), all four simulated averages of EMSEs corresponding to three different SSE and LINEX loss functions, respectively, preserve the Propositions 3–5, for carefully selected w,
i.e., EMSE ( α ^ E B S S j | Z ) ( k = 0 ) < EMSE ( α ^ E B L j | Z ) < EMSE ( α ^ E B S S j | Z ) ( k = 1 )
< EMSE ( α ^ E B S S j | Z ) ( k = 2 ) for any given sample Z;
(4)
All three simulated averages of EMSEs under the LINEX loss function preserve Proposition 2, i.e., EMSE ( α ^ E B L 3 | Z ) < EMSE ( α ^ E B L 1 | Z ) < EMSE ( α ^ E B L 2 | Z ) for any given Z;
(5)
Table 1 and Table 2 show that the sample size has no impact on the comparison results among all EMSEs;
(6)
Table 3 and Table 4 show that s value has no impact on the comparison results among all EMSEs;
(7)
The shape parameter β of IWD has no impact on the comparison results among all EMSEs. It can be shown from additional tables in Appendix A as well as from the properties in Section 4.
Figure 3. Relationship between n and EMSE( α ^ ) ( k = 0 , 1 , 2 ).
Figure 3. Relationship between n and EMSE( α ^ ) ( k = 0 , 1 , 2 ).
Mathematics 10 04826 g003

6. Application Examples

In this section, a random sample generated from the IWD of parameters, ( α , β ) = ( 3.5 , 3.0 ) and two real data sets will be used to illustrate all the aforementioned estimation methods for the IWD rate parameter, α . The first real data set contains 19 oberved times in terms of minute to breakdown from an insulating fluid between electrodes at a voltage of 34 KV. The data set was presented by Nelson [31] for Weibull distribution and used by Abd Ellah [37] for the IWD applications. However, Abd Ellah [37] did not examine the goodness-of-fit of the IWD. The second real data set regarding the 72 survival times (in days) of guinea pigs injected with different doses of tubercle bacilli was presented by Bjerkedal [38]. Kundu and Howlader [3] had indicated the IWD as a suitable model for the 72 guinea pigs survival times by using the scaled total time on test (TTT) plot mentioned in Aarset [39] and Kolmogorov–Smirnov (K-S) test before they applied the Bayesian estimation method for the IWD parameters. Since guinea pigs have a high susceptibility to human tuberculosis, it is worth using in this section to compare among all the proposed estimation methods of the IWD rate parameter in the current study.
In this section, the scaled TTT and K-S test will be applied to the other two data sets. Since the K-S test can be conducted through many current existing software, we only address the scaled TTT transform briefly. The survival function is defined by S ( t ) = 1 F ( t ) and the scaled TTT transform is defined as g ( t ) = H 1 ( t ) / H 1 ( 1 ) where H 1 ( t ) = 0 t S ( u ) d u and 0 t 1 . The corresponding empirical scaled TTT transform will be presented by g n ( r / n ) = H n 1 ( r / n ) / H n 1 ( 1 ) where H n 1 ( r / n ) = i = 1 r t ( i ) + ( n r ) t ( r ) , H n 1 ( 1 ) = i = 1 n t ( i ) , { t ( i ) , i = 1 , 2 , , n } denotes the order statistic of the lifetime sample { t i , i = 1 , 2 , n } and r = 1 , 2 , , n . Then, the empirical scaled TTT plot will be { ( x , g n ( x ) ) | 0 x 1 } . Aarset [39] mentioned that the scaled TTT transform is convex (concave) if the hazard function is decreasing (increasing). Therefore, the hazard function is bathtub (unimodal) if the scaled TTT transform changes from convex (concave) to concave (convex). It should also be mentioned that there is only one sample provided in each example. Therefore, Z is given for each example.

6.1. Example 1

A random sample of size n = 50 is generated from the IWD with α = 3.5 and β = 3.0 and displayed in Table 5 for easy reference. First, the empirical scaled TTT plot is applied to check the empirical hazard function based on the data in Table 5 and the result is displayed in Figure 4. Figure 4 appears concave in the lower left corner and convex in the upper right corner. It indicates that the empirical hazard function has unimodal shape. Furthermore, the K-S test statistic with distance 0.073433 and p-value is 0.932. The IWD is suitable for the data set shown in Table 5.
Numerical results of Table 6, Table 7, Table 8 and Table 9 are obtained by using the sample displayed in Table 5. Table 8 and Table 9 show that the comparisons established in Proposition 1 that are compared among α ^ E B S S j , j = 1 , 2 , 3 for any given k = 0, 1 or 2 and Proposition 2 that are compared among α ^ E B L j , j = 1 , 2 , 3 for w = 2 are true. Additionally, Table 8 indicates that the comparisons among α ^ E B S S j for k = 0 , 1 , 2 and any given j = 1, 2 or 3 match Propositions 3, 4 and 5. However, Table 8 shows that EMSE ( α ^ E B L j | Z ) with w = 2 is too large to fit between EMSE ( α ^ E B S S j | Z ) ( k = 0 ) and EMSE ( α ^ E B S S j | Z ) ( k = 1 ) for j = 1, 2 or 3. Table 9 shows that all Propositions are true except j = 1 . Again, w = 2.0 is not really closed to 0 to make EMSE ( α ^ E B L 1 | Z ) be between EMSE ( α ^ E B S S 1 | Z ) ( k = 0 ) and EMSE ( α ^ E B S S 1 | Z ) ( k = 1 ) . The numerical results of Table 6 and Table 7 are used to compare MLE and all Bayesian estimators. For the comparison, the hyperparameters a = 0.5 and b = 0.5 are selected obviously to make the posterior mean not too far way the MLE. Table 6 shows that all Bayesian estimations are below MLE and all E-Bayesian estimations are below all Bayesian estimations. However, Table 7 shows that all the MSEs for Bayesian estimations are smaller than MSE of MLE except the MSE for the Bayesian estimation under LINEX loss function with w = 2 which is the largest one after the adjustment from posterior distribution of α .

6.2. Example 2. Breakdown Times at Voltage 34 KV

The 19 observed times in terms of minute to breakdown from an insulating fluid between electrodes at a voltage of 34 KV given by Nelson [31] are represented as 0.96, 4.15, 0.19, 0.78, 8.01, 31.75, 7.35, 6.50, 8.27, 33.91, 32.52, 3.16, 4.85, 2.78, 4.67, 1.31, 12.06, 36.71, 72.89. The empirical scaled TTT plot is also applied to examine the empirical hazard function based on these 19 observed times and the result is displayed in Figure 5. Figure 5 appears slightly concave in the lower left corner and convex in the upper right corner. It indicates the empirical hazard function could be unimodal in shape or possibly strictly decrease. Checking the K-S test, the distance statistic is 0.15796 and p-value is 0.6732. Therefore, the IWD may be applied for these 19 observations.
Numerical results of Table 10, Table 11, Table 12 and Table 13 are obtained by using these 19 breakdown times. Table 12 and Table 13 show that the comparisons established in Proposition 1 that are compared among α ^ E B S S j , j = 1 , 2 , 3 for any given k = 0, 1 or 2 and Proposition 2 that are compared among α ^ E B L j , j = 1 , 2 , 3 for w = 0 are true for this data set. Table 12 only shows that the comparisons among α ^ E B S S j for k = 0 , 1 , 2 and any given j = 1, 2 or 3 match Propositions 3, 4 and 5. However, Table 12 shows that EMSE ( α ^ E B L j | Z ) with w = 2 is too large to fit between EMSE ( α ^ E B S S j | Z ) ( k = 0 ) and EMSE ( α ^ E B S S j | Z ) ( k = 1 ) for j = 1 or 2. Table 13 shows that all Propositions are true except j = 1 . Again, w = 2.0 is not really closed to 0 to make EMSE ( α ^ E B L 1 | Z ) be between EMSE ( α ^ E B S S 1 | Z ) ( k = 0 ) and EMSE ( α ^ E B S S 1 | Z ) ( k = 1 ) . The numerical results of Table 10 and Table 11 are used to compare MLE and all Bayesian estimators. For the comparison the hyperparameters a = 0.5 b = 0.5 are selected obviously to make posterior mean not too far way the MLE. Table 10 shows that all Bayesian estimations are below MLE and all E-Bayesian estimations are below all Bayesian estimations. However, Table 11 shows that all the MSEs for Bayesian estimations are smaller than MSE of MLE after the adjustment from the posterior distribution of α .

6.3. Example 3. Survival Times of Guinea Pigs

The 72 survival times, in days, of guinea pigs injected with different doses of tubercle bacilli mentioned in Bjerkedal [38] and Kundu and Howlader [3] are listed in Table 14 for easy reference. Kundu and Howlader [3] showed that the empirical hazard function is unimodal through the scaled TTT transform plot of the data set and K-S test has K-S distance 0.1364 and the p-value is 0.137. Hence, the IWD is a reasonable model for the 72 survival times of guinea pigs and the model fitting with α = 0.0169 and β = 1.4142 .
Numerical results in Table 15, Table 16, Table 17 and Table 18 are obtained by using the sample from Table 14. Table 17 and Table 18 show that the comparisons established in Propositions 1–5 are all true for given this data set. The numerical results of Table 15 and Table 16 are used to compare MLE and all Bayesian estimators. For the comparison, the hyperparameters a = 0.5 b = 0.5 are selected obviously to make the posterior mean not too far way the MLE. Table 15 shows that almost all Bayesian estimations are slightly below MLE and all estimations are vary closed. However, Table 16 shows that all the MSEs for Bayesian estimations are smaller than MSE of MLE after the adjustment from the posterior distribution of α .
Based on these values s ( 50 , 100 , 500 , 1000 ) , EMSEs estimates (EMSE ( α ^ E B L j | Z ) with w = 2 , EMSE ( α ^ E B S S j | Z ) for k = 0 , 1 , 2 and j = 1 , 2 , 3 ) are obtained and the results are displayed in Table 17 which shows the comparison results established in Propositions 1–5 are true.

7. Conclusions

The E-Bayesian estimators of the rate parameter of the IWD were studied under the SSE and LINEX loss functions. The formulas of E-Bayesian estimators’ EMSEs were developed. Given a data set, many theoretical properties of EMSEs were established for comparison. The simulation study also confirms the properties across overall the populations of α . Three real-world examples were used to address the applications. All important results are mentioned in Section 5 and Section 6. When the shape parameter, β , is unknown, the MLE of β cannot be obtained in a closed form. There is no conjugate prior for β , all the Bayesian estimators of β will be difficult and not tractable in the study, either. A possible adjustment would be suggested to provide a gamma prior for β > 0 because the gamma distribution is a very common and flexible probability model for any non-negative random variable, since all propositions in Section 4 are true for any given β > 0 . Taking additional expectation with respect to β over the gamma prior, all propositions of Section 4 would be still true for α Bayesian estimators. Meanwhile, the E-Bayesian estimate method applied to both parameters of the IWD simultanously is an open problem that is under investigation.
Furthermore, the extension to a censoring case is not simple because the survival function for IWD is 1 F ( x ) = 1 e α x β that makes the original structure of the likelihood function of random sample change to a different structure for any censoring. There is no other transformation process that can release this complexity generated from any censoring case. It is due to the space issue that the censoring case will be a future possible research project. Additionally, releasing the prior condition and using the empirical Bayes approach, which require higher-level mathematical skills, are currently under investigation.

Author Contributions

Investigation, H.M.O., A.M.B. and Y.L.; methodology, H.M.O., A.M.B. and Y.L.; software, H.M.O., A.M.B. and Y.L.; Funding acquisition, H.M.O.; Writing—original draft, H.M.O. and Y.L.; Writing—review and editing, H.M.O. and Y.L. All authors have read and agreed to the published version of the manuscript.

Funding

This research work was funded by Institutional Fund Projects under no. (IFPIP: 1262-130-1443). The authors gratefully acknowledge technical and financial support provided by the Ministry of Education and King Abdulaziz University, DSR, Jeddah, Saudi Arabia (IFPIP: 1262-130-1443).

Institutional Review Board Statement

Not applicable.

Informed Consent Statement

Not applicable.

Data Availability Statement

Two Data sets are contained within the article.

Acknowledgments

The authors would like to express their appreciation to the editor and anonymous referees for valuable guidance and useful comments to improve the quality of paper.

Conflicts of Interest

The authors declare no conflict of interest.

Appendix A

Table A1. Simulated EMSE of α ^ with s = 0.9 , β = 1.5 , u = 4 and v = 5 .
Table A1. Simulated EMSE of α ^ with s = 0.9 , β = 1.5 , u = 4 and v = 5 .
k = 0 w = 2 k = 1 k = 2
n j EMSE ( α ^ EBSSj ) EMSE ( α ^ EBLj ) EMSE ( α ^ EBSSj ) EMSE ( α ^ EBSSj )
10.00317960.00319430.00330450.0036794
2520.00319110.00320670.00331640.0036926
30.00316810.00318390.00329270.0036662
10.00160430.00160960.00163610.0017315
5020.00160710.00161250.00163890.0017345
30.00160150.00160680.00163320.0017285
10.00107980.00108020.00109410.0011371
7520.00108110.00108150.00109530.0011383
30.00107850.00107910.00109280.0011357
10.00081760.00081770.00082570.0008501
10020.00081830.00081840.00082640.0008509
30.00081680.00081710.00082500.0008494
Table A2. Simulated MSE of α ^ using Uniform b over [0, 1], β = 1.5 , u = 4 and v = 5 .
Table A2. Simulated MSE of α ^ using Uniform b over [0, 1], β = 1.5 , u = 4 and v = 5 .
k = 0 w = 2 k = 1 k = 2
n MSE ( α ^ MLE ) MSE ( α ^ BSS ) MSE ( α ^ BL ) MSE ( α ^ BSS ) MSE ( α ^ BSS )
250.0038130.0031830.00319910.00330970.0036886
500.0018910.0016050.00161030.00163690.0017328
750.0012110.0010810.00108050.00109440.0011375
1000.0009060.0008170.00081790.00082590.0011357
Table A3. Simulated EMSE of α ^ with n = 50 , β = 1.5 , u = 3 and v = 4 .
Table A3. Simulated EMSE of α ^ with n = 50 , β = 1.5 , u = 3 and v = 4 .
k = 0 w = 2 k = 1 k = 2
s j EMSE( α ^ EBSSj )EMSE( α ^ EBLj )EMSE( α ^ EBSSj )EMSE( α ^ EBSSj )
10.02764080.02872520.02815010.0297922
5020.0375790.03762240.03826280.0404948
30.01770250.01774590.01803740.0190896
10.01651960.01707730.01682680.0178084
10020.02479340.02480460.02524970.0267226
30.00824570.00825690.00840390.0088942
10.00391910.00403150.00399260.0042256
50020.00699060.00699110.00712120.0075366
30.00084750.0008480.00086410.0009145
10.00200640.00206260.00204410.0021633
100020.00373580.00373590.00380580.0040278
30.0002770.00027710.00028240.0002989
Table A4. Simulated EMSE of α ^ with s = 0.9 , β = 0.9 , u = 4 and v = 5 .
Table A4. Simulated EMSE of α ^ with s = 0.9 , β = 0.9 , u = 4 and v = 5 .
k = 0 w = 2 k = 1 k = 2
n j EMSE ( α ^ EBSSj ) EMSE ( α ^ EBLj ) EMSE ( α ^ EBSSj ) EMSE ( α ^ EBSSj )
10.00290110.00291450.00301510.0033572
2520.00291110.00292450.00302550.0033687
30.00289120.00290450.00300480.0033457
10.00146340.00146810.00149240.0015795
5020.00146590.00147050.00149490.0015821
30.00146100.00146560.00148990.0015768
10.00098490.00098520.00099790.0010371
7520.00098600.00098630.00099910.0010382
30.00098380.00098410.00099680.0010359
10.00074570.00074580.00075310.0007754
10020.00074630.00074640.00075370.0007760
30.00074510.00074520.00075250.0007747
Table A5. Simulated MSE of α ^ using Uniform b over [0, 1], β = 0.9 , u = 4 and v = 5 .
Table A5. Simulated MSE of α ^ using Uniform b over [0, 1], β = 0.9 , u = 4 and v = 5 .
k = 0 w = 2 k = 1 k = 2
n MSE ( α ^ MLE ) MSE ( α ^ BSS ) MSE ( α ^ BL ) MSE ( α ^ BSS ) MSE ( α ^ BSS )
250.0034770.0029020.00291560.00301740.0033629
500.0017250.0014630.00146810.00149260.0015801
750.0011050.0009840.00098520.0009980.0010372
1000.0008260.0007450.00074580.00075310.0007754
Table A6. Simulated EMSE of α ^ with n = 50 , β = 0.9 , u = 3 and v = 4 .
Table A6. Simulated EMSE of α ^ with n = 50 , β = 0.9 , u = 3 and v = 4 .
k = 0 w = 2 k = 1 k = 2
s j EMSE( α ^ EBSSj )EMSE( α ^ EBLj )EMSE( α ^ EBSSj )EMSE( α ^ EBSSj )
10.02760710.02868780.02819030.0298347
5020.03752690.03757010.03832610.0405617
30.01768720.01773050.01805450.0191077
10.01650170.01705760.01684790.0178307
10020.02476290.0247740.02528630.0267613
30.00824050.00825160.00840960.0089002
10.00391540.00402740.0039970.0042301
50020.00698350.0069840.00712960.0075454
30.00084730.00084770.00086440.0009148
10.00200460.00206060.00204630.0021656
100020.00373220.00373230.003810.0040323
30.00027690.00027710.00028250.000299
Proof of Proposition 1.
From (24)–(26), we have
EMSE ( α ^ E B S S 2 | Z ) − EMSE ( α ^ E B S S 1 | Z ) = EMSE ( α ^ E B S S 1 | Z ) − EMSE ( α ^ E B S S 3 | Z )
= ( n + k 2 + u u + v ) 2 s 2 ( s Z ln ( 1 + s Z ) ) 1 Z ( Z + s )
Let t = s Z , we get
2 s 2 ( s Z ln ( 1 + s Z ) ) 1 Z ( Z + s ) = 2 t 2 Z 2 ( t ln ( 1 + t ) ) 1 Z ( Z + t Z ) = 1 t Z 2 ( 1 + 1 t + 1 2 ln ( 1 + t ) t ) > 0 .
The above inequality can be shown to be true for t > 0 . Thus, for any given k 0
EMSE ( α ^ E B S S 3 | Z ) < EMSE ( α ^ E B S S 1 | Z ) < EMSE ( α ^ E B S S 2 | Z ) , s > 0 , u > 0 , v > 0 . □
Proof of Proposition 2.
From (27)–(29), we have
  • EMSE ( α ^ E B L 2 | Z ) − EMSE ( α ^ E B L 1 | Z ) = EMSE ( α ^ E B S S 2 | Z ) ( k = 0 ) − EMSE ( α ^ E B S S 1 | Z ) ( k = 0 )
  • EMSE ( α ^ E B L 1 | Z ) − EMSE ( α ^ E B L 3 | Z ) = EMSE ( α ^ E B S S 1 | Z ) ( k = 0 ) − EMSE ( α ^ E B S S 3 | Z ) ( k = 0 )
Then Proposition 1 implies that EMSE ( α ^ E B L 3 | Z ) < EMSE ( α ^ E B L 1 | Z ) < EMSE ( α ^ E B L 2 | Z ) when 1 < w / Z . □
Proof of Proposition 3.
(i)
From (24), put y 1 ( x ) = 1 Z ( Z + s ) ( n + x 2 + u u + v ) .
Let d y 1 d x = 2 x Z ( Z + s ) = 0 , we get x = 0 . When x 0 , d y 1 d x = 2 x Z ( Z + s ) 0 , thus y 1 ( x ) increasing function of x. Also, d 2 y 1 d x 2 = 2 Z ( Z + s ) > 0 . Therefore, when x = 0 , y 1 ( x ) take the minimum value
m i n [ y 1 ( k ) ] = y 1 ( 0 ) = 1 Z ( Z + s ) ( n + u u + v ) .
For k = 0 , 1 , 2 and discussion above, we have
  • EMSE ( α ^ E B S S 1 | Z ) ( k = 0 ) < EMSE ( α ^ E B S S 1 | Z ) ( k = 1 ) < EMSE ( α ^ E B S S 1 | Z ) ( k = 2 ) .
  • From Equation (27), EMSE ( α ^ E B L 1 | Z ) - EMSE ( α ^ E B S S 1 | Z ) ( k = 0 ) > 0 for given w 0 and 1 < w / Z < 1 .
From (27) and discussion below (12) for 1 < w / ( b + Z ) < 1 , we have
EMSE ( α ^ E B L 1 | Z ) = 0 s 0 1 n + a b + Z 2 i = 2 w ( i 1 ) ( 1 ) ( i 1 ) i ( b + Z ) ( i 1 ) 2 π 1 ( a , b ) d a d b + EMSE ( α ^ E B S S 1 | Z ) ( k = 0 )
and
i = 2 w ( i 1 ) ( 1 ) ( i 1 ) i ( b + Z ) ( i 1 ) 2 = w 2 ( b + Z ) 2 + w 2 i = 3 w ( i 3 ) ( 1 ) ( i 1 i ( b + Z ) i 2 = w 2 4 ( b + Z ) 4 w 3 ( b + Z ) 2 i = 3 w ( i 3 ) ( 1 ) ( i 1 ) i ( b + Z ) i + w 4 i = 3 w ( i 3 ) ( 1 ) ( i 1 ) i ( b + Z ) i 2 .
Therefore,
0 s 0 1 n + a b + Z 2 i = 2 w ( i 1 ) ( 1 ) ( i 1 ) i ( b + Z ) ( i 1 ) 2 π 1 ( a , b ) d a d b = { w 2 0 s 0 1 ( n + a ) 2 4 ( b + Z ) 4 π 1 ( a , b ) d a d b w 3 0 s 0 1 ( n + a ) 2 ( b + Z ) 2 i = 3 w ( i 3 ) ( 1 ) ( i 1 ) i ( b + Z ) i × π 1 ( a , b ) d a d b + w 4 0 s 0 1 ( n + a ) 2 i = 3 w ( i 3 ) ( 1 ) ( i 1 ) i ( b + Z ) i 2 π 1 ( a , b ) d a d b } .
and
lim w 0 0 s 0 1 n + a b + Z 2 i = 2 w ( i 1 ) ( 1 ) ( i 1 ) i ( b + Z ) ( i 1 ) 2 π 1 ( a , b ) d a d b = 0 .
Hence, there exists w 0 with 0 < w 0 / Z < 1 such that when 0 < | w | < w 0 ,
  • EMSE ( α ^ E B S S 1 | Z ) ( k = 0 ) < EMSE ( α ^ E B L 1 | Z ) < EMSE ( α ^ E B S S 1 | Z ) ( k = 1 )
  • < EMSE ( α ^ E B S S 1 | Z ) ( k = 2 ) .
  • The discussion at the end of Section 2 implies that for w = 0
  • EMSE ( α ^ E B S S 1 | Z ) ( k = 0 ) = EMSE ( α ^ E B L 1 | Z ) .
(ii)
lim Z EMSE ( α ^ E B S S 1 | Z ) = lim Z 1 Z ( Z + s ) ( n + k 2 + u u + v ) = 0 .
(iii)
For 0 b s and | w | w 0 , | f r a c w Z | w 0 Z < 1 , Equation (A2) can be represented as
w 2 4 ( b + Z ) 4 w 3 ( b + Z ) 5 i = 3 w ( i 3 ) ( 1 ) ( i 3 ) i ( b + Z ) i 3 + w 4 ( b + Z ) 6 i = 3 w ( i 3 ) ( 1 ) ( i 3 ) i ( b + Z ) i 3 2
0 w 2 4 ( b + Z ) 4 w 2 4 Z 4 ,
| w 3 ( b + Z ) 5 i = 3 w ( i 3 ) ( 1 ) ( i 3 ) i ( b + Z ) ( i 3 ) | | w | 3 3 Z 5 i = 3 | w | ( i 3 ) Z ( i 3 ) = | w | 3 3 Z 5 1 ( 1 | w Z | )
| w 4 ( b + Z ) 6 i = 3 w ( i 3 ) ( 1 ) ( i 3 ) i ( b + Z ) i 3 2 | w 4 3 Z 6 i = 3 | w | ( i 3 ) Z ( i 3 ) 2 = w 4 3 Z 6 1 ( 1 | w Z | ) .
Therefore,
| 0 s 0 1 n + a b + Z 2 i = 2 w ( i 1 ) ( 1 ) ( i 1 ) i ( b + Z ) ( i 1 ) 2 π 1 ( a , b ) d a d b |
0 s 0 1 ( n + a ) π 1 ( a , b ) d a d b w 2 4 Z 4 + | w | 3 3 Z 5 1 ( 1 | w Z | ) + w 4 3 Z 6 1 ( 1 | w Z | )
and
lim Z | 0 s 0 1 n + a b + Z 2 i = 2 w ( i 1 ) ( 1 ) ( i 1 ) i ( b + Z ) ( i 1 ) 2 π 1 ( a , b ) d a d b | = 0
Hence, lim Z EMSE ( α ^ E B L 1 | Z ) = 0. □
Proof of Proposition 4.
(i)
From (25), put y 2 ( x ) = 2 s 2 ( n + x 2 + u u + v ) ( s Z ln ( 1 + s Z ) ) ,
  • where ( s Z ln ( 1 + s Z ) ) > 0 . By using the same argument for the proof of (i) in Proposition 3, the following can be proven, there exists w 0 with 0 < w 0 / Z < 1 such that when 0 < | w | < w 0 ,
  • EMSE ( α ^ E B S S 2 | Z ) ( k = 0 ) < EMSE ( α ^ E B L 2 | Z ) < EMSE ( α ^ E B S S 2 | Z ) ( k = 1 )
  • < EMSE ( α ^ E B S S 2 | Z ) ( k = 2 ) .
  • The discussion at the end of Section 2 implies that for w = 0
  • EMSE ( α ^ E B S S 2 | Z ) ( k = 0 ) = EMSE ( α ^ E B L 2 | Z ) .
(ii)
lim Z EMSE ( α ^ E B S S 2 | Z ) = lim Z 2 s 2 ( n + k 2 + u u + v ) ( s Z ln ( 1 + s Z ) ) = 0 .
(iii)
Following a similar procedure for the proof of Proposition 3,
lim Z EMSE ( α ^ E B L 2 | Z ) = 0 is proved.
Proof of Proposition 5.
(i)
From (26) put y 3 ( x ) = 2 s 2 ( n + x 2 + u u + v ) ln ( 1 + s Z ) s Z + s ,
  • where ( ln ( 1 + s Z ) s Z + s ) > 0 . By using the same argument of the proof for (i) in Proposition 3, the following can be proved, there exists w 0 with 0 < w 0 / Z < 1 such that when 0 < | w | < w 0 ,
  • EMSE ( α ^ E B S S 3 | Z ) ( k = 0 ) < EMSE ( α ^ E B L 3 | Z ) < EMSE ( α ^ E B S S 3 | Z ) ( k = 1 )
  • < EMSE ( α ^ E B S S 3 | Z ) ( k = 2 ) .
  • The discussion at the end of Section 2 implies that for w = 0
  • EMSE ( α ^ E B S S 3 | Z ) ( k = 0 ) = EMSE ( α ^ E B L 3 | Z ) .
(ii)
lim Z EMSE ( α ^ E B S S 3 | Z ) = lim Z 2 s 2 ( n + k 2 + u u + v ) ln ( 1 + s Z ) s Z + s = 0 .
(iii)
Following a similar procedure for the proof of Proposition 3,
lim Z EMSE ( α ^ E B L 3 | Z ) = 0 is proved.

References

  1. Johnson, R.; Kotz, S.; Balakrishnan, N. Continuous Univariate Distribution, 2nd ed.; Wiley and Sons: New York, NY, USA, 1995. [Google Scholar]
  2. Kundu, D. Bayesian inference and reliability sampling plan for Weibull distribution. Technometrics 2008, 50, 144–154. [Google Scholar] [CrossRef]
  3. Kundu, D.; Howlader, H. Bayesian Inference and prediction of the Inverse Weibull Distribution for Type- II Censored Data. Comput. Stat. Data Anal. 2010, 54, 1547–1558. [Google Scholar] [CrossRef]
  4. Singh, S.K.; Singh, U.; Kumar, D. Bayesian estimation of parameters of inverse Weibull distribution. J. Appl. Stat. 2013, 40, 1597–1607. [Google Scholar] [CrossRef]
  5. Bennett, S. Log-logistic regression models for survival data. J. R. Stat. Soc. Ser. Appl. Stat. 1983, 32, 165–171. [Google Scholar] [CrossRef]
  6. Langlands, A.O.; Pocock, S.J.; Kerr, G.R.; Gore, S.M. Long term survival of patients with breast cancer: A study of curability of the disease. Br. Med. J. 1979, 2, 1247–1251. [Google Scholar] [CrossRef] [PubMed]
  7. Keller, A.Z.; Kamath, A.R.R. Alternative Reliability Models for Mechanical Systems. In Proceedings of the 3rd International Conference on Reliability and Maintainability, Paris, France, 19–23 June 1982. [Google Scholar]
  8. Keller, A.Z.; Goblin, M.T.; Farnworth, N.R. Reliability analysis of commercial vehicle engines. Reliab. Engine Ering 1982, 10, 15–25. [Google Scholar] [CrossRef]
  9. Erto, P. Genesis, properties and identification of the inverse Weibull lifetime model. Stat. Appl. 1989, 1, 117–128. [Google Scholar]
  10. Varian, H.R. A Bayesian approach to real estate assessment. In Studies in Bayesian Econometrics and Statistics in Honor of Leonard; Savage, J., Stephan, E., Eds.; Fiengerb and Arnold Zellner: Amsterdam, The Netherlands, 1975; pp. 195–208. [Google Scholar]
  11. Zellner, A. Bayesian estimation and prediction using asymmetric loss function. J. Am. Stat. Assoc. 1986, 81, 446–451. [Google Scholar] [CrossRef]
  12. Basu, A.P.; Ebrahimi, N. Bayesian approach to life testing and reliability estimation using asymmetric loss function. J. Stat. Plan. Inference 1991, 29, 21–31. [Google Scholar] [CrossRef]
  13. Calabria, R.; Pulcini, G. Point estimation under asymmetric loss functions for left-truncated exponential samples. Commun. Stat. Theory Methods 1996, 25, 585–600. [Google Scholar] [CrossRef]
  14. Lehmann, E.L.; Casella, G. Theory of Point Estimation, 2nd ed.; Springer: New York, NY, USA, 1998. [Google Scholar]
  15. Norstrom, J.G. The use of precautionary loss functions in risk analysis. IEEE Trans. Reliab. 1996, 45, 400–403. [Google Scholar] [CrossRef]
  16. Yahgmaei, F.; Babanezhad, M.; Moghadam, O.S. Bayesian estimation of the scale parameter of invsrse Weibull distribution under the asymmetric loss functions. J. Probab. Stat. 2013, 2013, 890914. [Google Scholar] [CrossRef]
  17. Calabria, R.; Pulcini, G. Bayes 2-sample prediction for the inverse Weibull distribution. Commun. Stat. Theory Methods 1994, 23, 1811–1824. [Google Scholar] [CrossRef]
  18. Lindley, D.V.; Smith, A.F.M. Bayes estimates for the linear model. J. R. Stat. Soc. Ser. B 1972, 34, 1–41. [Google Scholar] [CrossRef]
  19. Han, M. The structure of hierarchical prior distribution and its applications. Chin. Oper. Res. Manag. Sci. 1997, 6, 31–40. [Google Scholar]
  20. Han, M. E-Bayesian estimation and hierarchical Bayesian estimation of failure rate. Appl. Math. Model. 2009, 33, 1915–1922. [Google Scholar] [CrossRef]
  21. Han, M. E-Bayesian estimation of the reliability derived from Binomial distribution. Appl. Math. Model. 2011, 35, 2419–2424. [Google Scholar] [CrossRef]
  22. Han, M. The E-Bayesian and hierarchical Bayesian estimations of Pareto distribution parameter under different loss functions. J. Stat. Comput. Simul. 2017, 87, 577–593. [Google Scholar] [CrossRef]
  23. Han, M. E-Bayesian estimation and its E-MSE under the scaled squared error loss function for exponential distribution as example. Commun.-Stat.-Simul. Comput. 2019, 48, 1880–1890. [Google Scholar] [CrossRef]
  24. Han, M. E-Bayesian estimations of parameter and its evaluation standard: E-MSE (expected mean square error) under different loss functions. Commun. Stat. Simul. Comput. 2021, 50, 1971–1988. [Google Scholar] [CrossRef]
  25. Jaheen, Z.F.; Okasha, H.M. E-Bayesian estimation for the Burr type XII model based on type-2 censoring. Appl. Math. Model. 2011, 35, 4730–4737. [Google Scholar] [CrossRef]
  26. Okasha, H.M. E-Bayesian estimation of system reliability with Weibull distribution of components based on type-2 censoring. J. Adv. Res. Sci. Comput. 2012, 44, 34–45. [Google Scholar]
  27. Karimnezhad, A.; Moradi, F. Bayes, E-Bayes and robust Bayes prediction of a future observation under precautionary prediction loss functions with applications. Appl. Math. Model. 2016, 40, 7051–7061. [Google Scholar] [CrossRef]
  28. Yousefzadeh, F.; Hadi, M. E-Bayesian and hierarchical Bayesian estimations for the system reliability parameter based on asymmetric loss function. Commun. Stat. Theory Methods 2017, 46, 1–8. [Google Scholar] [CrossRef]
  29. Gupta, L.I.; Gupta, R. Bayesian and E-Bayesian estimation of the unknown shape parameter of exponentiated inverted Weibull distribution using different loss functions. Int. Educ. Sci. Res. J. 2017, 3, 409–416. [Google Scholar]
  30. Basheer, A.M.; Okasha, H.M.; El-Baz, A.H.; Tarabia, A.M.K. E-Bayesian and hierarchical Bayesian estimations for the inverse Weibull distribution. Ann. Data Sci. 2021. [Google Scholar] [CrossRef]
  31. Nelson, W.B. Applied Life Data Analysis; John Wiley and Sons: New York, NY, USA, 1982. [Google Scholar] [CrossRef]
  32. Pandey, B.N. Testimator of the scale parameter of the exponential distribution using LINEX loss function. Commun. Stat. Theory Methods 1997, 26, 2191–2202. [Google Scholar] [CrossRef]
  33. Soliman, A.A. Comparison of LINEX and quadratic Bayes estimators for the Rayleigh distribution. Commun. Stat. Theory Method 2000, 29, 95–107. [Google Scholar] [CrossRef]
  34. Nassar, M.M.; Eissa, F.H. Bayesian estimation for the exponentiated Weibull model. Commun. Stat. Theory Method 2004, 33, 2343–2362. [Google Scholar] [CrossRef]
  35. Okasha, H.M. E-Bayesian estimation for the Lomax distribution based on type-II censored data. J. Egypt. Math. Soc. 2014, 22, 489–495. [Google Scholar] [CrossRef]
  36. Okasha, H.; Mohammed, H.; Lio, Y. E-Bayesian Estimation of Reliability Characteristics of a Weibull Distribution with Applications. Mathematics 2021, 9, 1261. [Google Scholar] [CrossRef]
  37. Abd Ellah, A.H. Bayesian and non-Bayesian estimation of the inverse Weibull model based on generalized order statistics. Intell. Inf. Manag. 2012, 4, 23–31. [Google Scholar] [CrossRef]
  38. Bjerkedal, T. Acquisition of resistance in guinea pigs infected with different doses of virulent tubercle bacilli. Am. J. Hyg. 1960, 72, 130–148. [Google Scholar] [CrossRef] [PubMed]
  39. Aarset, M.V. How to identify bathtub hazard rate. IEEE Trans. Reliab. 1987, 36, 106–108. [Google Scholar] [CrossRef]
Figure 1. Plots of PDF, CDF, HF and SF of IWD for various values of α with β = 1 .
Figure 1. Plots of PDF, CDF, HF and SF of IWD for various values of α with β = 1 .
Mathematics 10 04826 g001
Figure 2. The flowchart for using the proposed E-Bayesian estimation methods in Section 5.
Figure 2. The flowchart for using the proposed E-Bayesian estimation methods in Section 5.
Mathematics 10 04826 g002
Figure 4. The empirical TTT Plot for Example 1.
Figure 4. The empirical TTT Plot for Example 1.
Mathematics 10 04826 g004
Figure 5. The empirical TTT Plot for Example 2.
Figure 5. The empirical TTT Plot for Example 2.
Mathematics 10 04826 g005
Table 1. Simulated EMSE of α ^ with s = 0.9 , β = 3 , u = 4 and v = 5 .
Table 1. Simulated EMSE of α ^ with s = 0.9 , β = 3 , u = 4 and v = 5 .
k = 0 w = 2 k = 1 k = 2
n j EMSE ( α ^ EBSSj ) EMSE ( α ^ EBLj ) EMSE ( α ^ EBSSj ) EMSE ( α ^ EBSSj )
10.00345900.00347720.00359490.0040027
2520.00347190.00349010.00360840.0040177
30.00344600.00346420.00358140.0039877
10.00174570.00175180.00178030.0018841
5020.00174880.00175500.00178350.0018875
30.00174250.00174860.00177700.0018807
10.00117500.00117560.00119060.0012373
7520.00117640.00117710.00119200.0012388
30.00117360.00117420.00118910.0012358
10.00088970.00089010.00089860.0009251
10020.00089050.00089080.00089940.0009260
30.00088890.00088920.00089780.0009243
Table 2. Simulated MSE of α ^ using Uniform b over [0, 1], β = 3 , u = 4 and v = 5 .
Table 2. Simulated MSE of α ^ using Uniform b over [0, 1], β = 3 , u = 4 and v = 5 .
k = 0 w = 2 k = 1 k = 2
n MSE ( α ^ MLE ) MSE ( α ^ BSS ) MSE ( α ^ BL ) MSE ( α ^ BSS ) MSE ( α ^ BSS )
250.0041510.0034650.00348410.00360330.0040157
500.0020590.0017470.00175320.00178190.0018863
750.0013180.0011750.00117630.00119120.0012381
1000.0009860.0008910.00089030.00089890.0009256
Table 3. Simulated EMSE of α ^ with n = 50 , β = 3 , u = 3 and v = 4 .
Table 3. Simulated EMSE of α ^ with n = 50 , β = 3 , u = 3 and v = 4 .
k = 0 w = 2 k = 1 k = 2
s j EMSE( α ^ EBSSj )EMSE( α ^ EBLj )EMSE( α ^ EBSSj )EMSE( α ^ EBSSj )
10.00134640.00135150.00137310.0014532
5020.00146470.00147010.00149370.0015809
30.00122810.00123290.00125240.0013255
10.00109350.00109820.00111520.0011803
10020.00126410.00126910.00128910.0013643
30.00092310.00092740.00094140.0009963
10.00043880.00044250.00044760.0004737
50020.00062850.00063240.00064100.0006784
30.00024920.00025260.00025410.0002690
10.00025130.00025480.00025630.0002712
100020.00039540.00039910.00040320.0004268
30.00010710.00011050.00010930.0001156
Table 4. Simulated EMSE of α ^ with n = 72 , β = 3 , u = 3 and v = 4 .
Table 4. Simulated EMSE of α ^ with n = 72 , β = 3 , u = 3 and v = 4 .
j k = 0 w = 2 k = 1 k = 2
s EMSE( α ^ EBSSj )EMSE( α ^ EBLj )EMSE( α ^ EBSSj )EMSE( α ^ EBSSj )
10.00101400.00101540.00102800.0010701
5020.00107820.00107960.00109310.0011377
30.00094980.00095120.00096290.0010022
10.00086460.00086610.00087650.0009123
10020.00096480.00096620.00097810.0010181
30.00076440.00076580.00077490.0008066
10.00039790.00039940.00040340.0004199
50020.00054080.00054220.00054820.0005706
30.00025510.00025660.00025860.0002692
10.00023780.00023940.00024110.0002510
100020.00035690.00035840.00036180.0003766
30.00011880.00012030.00012040.0001253
Table 5. Data set.
Table 5. Data set.
1.14501.00681.53551.55182.16431.14081.48211.38607.63470.9647
2.34251.55041.47891.27272.12941.81211.53961.04951.98613.0104
2.08861.35265.83472.19532.30691.76661.75353.10181.94485.8905
2.09201.68071.61871.45301.79961.51552.24721.50433.77293.4927
1.32631.49511.23232.03191.31841.69931.92732.64621.72241.3065
Table 6. Estimations of α , with s = 10 , β = 3.0 , u = 3 and v = 4 .
Table 6. Estimations of α , with s = 10 , β = 3.0 , u = 3 and v = 4 .
α ^ MLE α ^ BL α ^ BSS α ^ BSS α ^ BSS α ^ EBLj α ^ EBSSj α ^ EBSSj α ^ EBSSj
w = 2 k = 0 k = 1 k = 2 j w = 2 k = 0 k = 1 k = 2
12.671242.82162.765652.7097
3.74923.409013.649853.577583.505322.90623.083363.022222.96108
32.436282.559842.509082.45831
Table 7. Results of calculated MSE for α ^ .
Table 7. Results of calculated MSE for α ^ .
MSE ( α ^ MLE ) ( α ) MSE ( α ^ BL | Z ) MSE ( α ^ BSS | Z )
w = 2 k = 0 k = 1 k = 2
0.270830.321790.263790.269010.28468
Table 8. Results of calculated EMSE for α ^ using s = 10 , β = 3.0 , u = 3 , v = 4 .
Table 8. Results of calculated EMSE for α ^ using s = 10 , β = 3.0 , u = 3 , v = 4 .
EMSE ( α ^ EBLj | Z ) EMSE ( α ^ EBSSj | Z )
j w = 2 k = 0 k = 1 k = 2
10.18690.162040.165250.17489
20.196920.191950.195750.20717
30.13710.132130.134750.14261
Table 9. Results of calculated EMSE of α ^ for different s with u = 3 and v = 4 using data from Table 5.
Table 9. Results of calculated EMSE of α ^ for different s with u = 3 and v = 4 using data from Table 5.
k = 0 w = 2 k = 1 k = 2
s j EMSE ( α ^ EBSSj | Z ) EMSE ( α ^ EBLj | Z ) EMSE ( α ^ EBSSj | Z ) EMSE ( α ^ EBSSj | Z )
10.05970260.06583740.06088650.0644382
5020.08840020.08864560.09015320.0954121
30.0310050.03125040.03161980.0334643
10.03336390.03645790.03402550.0360103
10020.05404450.05410640.05511620.0583313
30.01268330.01274510.01293480.0136893
10.00736620.00798610.00751230.0079505
50020.01365260.01365510.01392340.0147356
30.00107970.00108220.00110120.0011654
10.00373160.00404150.00380560.0040276
100020.00712590.00712650.00726720.0076911
30.00033720.00033790.00034390.000364
Table 10. Estimations of α , with s = 10 , β = 0.6434 , u = 3 and v = 4 .
Table 10. Estimations of α , with s = 10 , β = 0.6434 , u = 3 and v = 4 .
α ^ MLE α ^ BL α ^ BSS α ^ BSS α ^ BSS α ^ EBLj α ^ EBSSj α ^ EBSSj α ^ EBSSj
w = 2 k = 0 k = 1 k = 2 j w = 2 k = 0 k = 1 k = 2
11.270441.360711.290671.22063
1.927521.721431.882741.78619 1.689621.40811.518251.44011 1.36196
31.132791.20321.141231.07930
Table 11. Results of calculated MSE for α ^ .
Table 11. Results of calculated MSE for α ^ .
MSE ( α ^ MLE ) ( α ) MSE ( α ^ BL | Z ) MSE ( α ^ BSS | Z )
w = 2 k = 0 k = 1 k = 2
0.2549690.2078040.1817810.191103 0.2190691
Table 12. Results of calculated EMSE for α ^ using s = 10 , β = 0.6434 , u = 3 , v = 4 .
Table 12. Results of calculated EMSE for α ^ using s = 10 , β = 0.6434 , u = 3 , v = 4 .
EMSE ( α ^ EBLj | Z ) EMSE ( α ^ EBSSj | Z )
j w = 2 k = 0 k = 1 k = 2
10.108670.099260.104370.11969
20.123940.122060.128340.14719
30.078340.076460.080390.09220
Table 13. Results of calculated EMSE of α ^ for different s with u = 3 and v = 4 using the data set.
Table 13. Results of calculated EMSE of α ^ for different s with u = 3 and v = 4 using the data set.
k = 0 w = 2 k = 1 k = 2
s j EMSE ( α ^ EBSSj | Z ) EMSE ( α ^ EBLj | Z ) EMSE ( α ^ EBSSj | Z ) EMSE ( α ^ EBSSj | Z )
10.03292830.03509150.03462320.0397077
5020.05080440.05089090.05341930.0612641
30.01505230.01513880.0158270.0181513
10.01794150.01902780.01886490.0216353
10020.03005160.03007330.03159840.0362387
30.00583130.0058530.00613150.0070319
10.00386580.00408320.00406480.0046617
50020.00727070.00727160.00764490.0087676
30.00046090.00046180.00048460.0005558
10.00195180.00206050.00205220.0023536
100020.00376210.00376230.00395580.0045367
30.00014140.00014160.00014870.0001705
Table 14. 72 Survival Times for Guinea Pigs.
Table 14. 72 Survival Times for Guinea Pigs.
121522242432323334383843
444852535454555657585859
606060606162636565676870
707273757676818384858791
95969899109110121127129131143146
146175175211233258258263297341341376
Table 15. Estimations of α , with s = 10 , β = 1.4142 , u = 3 , v = 4 .
Table 15. Estimations of α , with s = 10 , β = 1.4142 , u = 3 , v = 4 .
α ^ MLE α ^ BL α ^ BSS α ^ BSS α ^ BSS α ^ EBLj α ^ EBSSj α ^ EBSSj α ^ EBSSj
w = 2 k = 0 k = 1 k = 2 j w = 2 k = 0 k = 1 k = 2
10.016280.016280.016060.01583
0.016200.0163100.016310.016090.0158620.016280.016290.016060.01584
30.0162710.016280.016050.01583
Table 16. Results of calculated MSE for α ^ .
Table 16. Results of calculated MSE for α ^ .
MSE ( α ^ MLE ) ( α ) MSE ( α ^ BL | Z ) MSE ( α ^ BSS | Z )
w = 2 k = 0 k = 1 k = 2
0.0000042525430.0000036706350.0000036706210.000003721250.000003873138
Table 17. Results of calculated EMSE for α ^ using s = 10 , u = 3 , v = 4 .
Table 17. Results of calculated EMSE for α ^ using s = 10 , u = 3 , v = 4 .
EMSE ( α ^ EBLj | Z ) EMSE ( α ^ EBSSj | Z )
j w = 2 k = 0 k = 1 k = 2
10.0000036596080.0000036595950.0000037101220.000003861702
20.0000036623390.0000036623370.0000037129020.000003864596
30.0000036568550.0000036568530.0000037073420.000003858809
Table 18. Results of calculated EMSE of α ^ for different s with u = 3 and v = 4 using data from Table 14.
Table 18. Results of calculated EMSE of α ^ for different s with u = 3 and v = 4 using data from Table 14.
k = 0 w = 2 k = 1 k = 2
s j EMSE ( α ^ EBSSj | Z ) EMSE ( α ^ EBLj | Z ) EMSE ( α ^ EBSSj | Z ) EMSE ( α ^ EBSSj | Z )
10.000003627020.0000036270330.0000036770970.000003827329
5020.0000036405470.0000036405480.0000036908110.000003841603
30.0000036134920.0000036134930.0000036633830.000003813054
10.0000035871080.0000035871210.0000036366340.000003785212
10020.0000036137160.0000036137170.000003663610.00000381329
30.0000035604990.01605492010.0000036096580.000003757134
10.0000032968740.0154421499030.0000033423930.00000347895
50020.0000034140070.0000034140070.0000034611430.000003602552
30.0000031797420.0000031797420.0000032236440.000003355349
10.0000029940620.0000029940710.00000303540.000003159415
100020.0000031963520.0000031963520.0000032404830.000003372876
30.0000027917720.0000027917720.0000028303170.000002945953
Publisher’s Note: MDPI stays neutral with regard to jurisdictional claims in published maps and institutional affiliations.

Share and Cite

MDPI and ACS Style

Okasha, H.M.; Basheer, A.M.; Lio, Y. The E-Bayesian Methods for the Inverse Weibull Distribution Rate Parameter Based on Two Types of Error Loss Functions. Mathematics 2022, 10, 4826. https://doi.org/10.3390/math10244826

AMA Style

Okasha HM, Basheer AM, Lio Y. The E-Bayesian Methods for the Inverse Weibull Distribution Rate Parameter Based on Two Types of Error Loss Functions. Mathematics. 2022; 10(24):4826. https://doi.org/10.3390/math10244826

Chicago/Turabian Style

Okasha, Hassan M., Abdulkareem M. Basheer, and Yuhlong Lio. 2022. "The E-Bayesian Methods for the Inverse Weibull Distribution Rate Parameter Based on Two Types of Error Loss Functions" Mathematics 10, no. 24: 4826. https://doi.org/10.3390/math10244826

APA Style

Okasha, H. M., Basheer, A. M., & Lio, Y. (2022). The E-Bayesian Methods for the Inverse Weibull Distribution Rate Parameter Based on Two Types of Error Loss Functions. Mathematics, 10(24), 4826. https://doi.org/10.3390/math10244826

Note that from the first issue of 2016, this journal uses article numbers instead of page numbers. See further details here.

Article Metrics

Back to TopTop