A Lagrange Programming Neural Network Approach with an ℓ0-Norm Sparsity Measurement for Sparse Recovery and Its Circuit Realization
Abstract
1. Introduction
1.1. Background
1.2. Motivation
1.3. Contribution and Organization
2. LPNN Framework and LCA
2.1. LPNN
2.2. LCA
3. LPNN-LPQC Model
3.1. -Norm-like Sparsity Measure Function
- P1.a: is a continuous odd function.
- P1.b: is strictly monotonically increasing.
- P1.c:Inverse of exists.
- P1.d: is differentiable at everywhere for all real u.
- P2.a: is an even function.
- P2.b: is monotonically increasing with respect to .
- P3.a:If , then .
- P3.b:If , then .
- P3.c:If , then ;
- P3.d:If , then .
- Boundness: for , .
- Sparsity: for , .
3.2. Properties of LPQC Problem
- Stationarity:,
- Primal feasibility:,
- Dual feasibility:,
- Complementary slackness:.
3.3. Dynamics of LPNN-LPQC
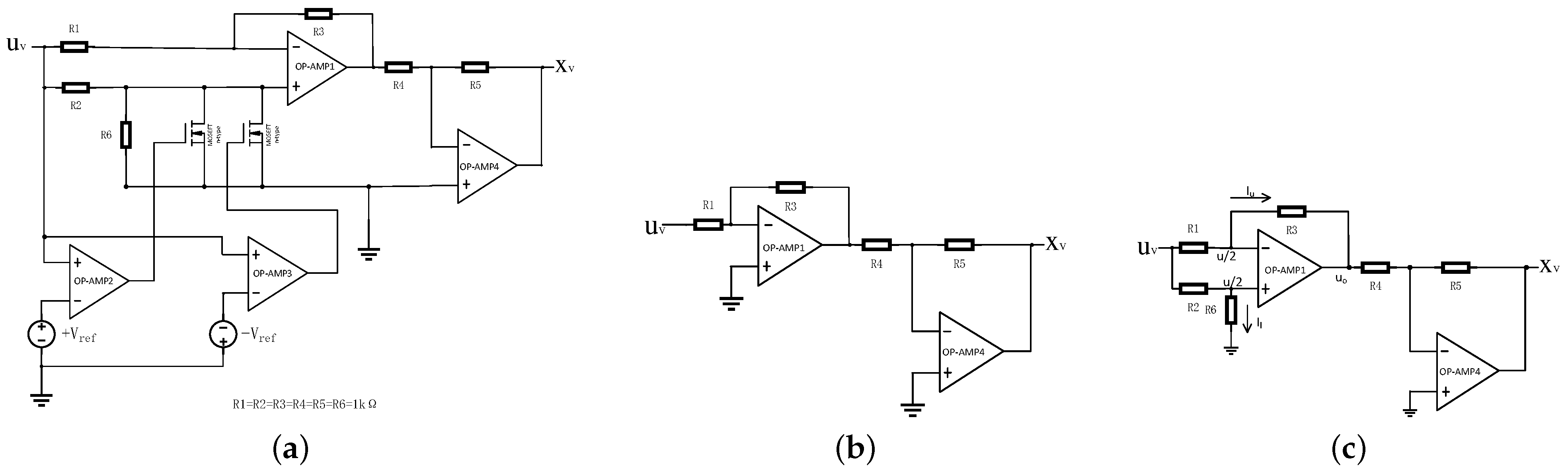
4. Circuit Realization
4.1. Thresholding Element
4.2. Circuit Structure
4.3. Circuit Simulation
- and .
- Measurement matrix:
- Real sparse vector and noisy observation vector.
- Noise tolerant parameter .
5. Properties of the Dynamics
- active set: If , then .
- inactive set: If , then .
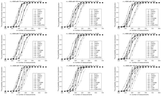
6. Experiment Results
6.1. Comparison Algorithms and Settings
6.2. Parameter Settings
6.3. Convergence
6.4. Comparison with Other Algorithms
6.5. Comparison with Other Analog Models
6.5.1. Successful Rate of Recall
6.5.2. MSE of Recall
7. Conclusions
Author Contributions
Funding
Informed Consent Statement
Data Availability Statement
Conflicts of Interest
Abbreviations
| LPNN | Lagrange Programming Neural Network |
| LPNN-LPQC | LPNN with objective and Quadratic Constraint |
| CBPDN | Constrained Basis Pursuit Denoise (CBPDN) |
| LCA | Locally Competitive Algorithm |
| KKT | Karush Kuhn Tucker |
| MCP | Minimax Concave Penalty |
| NIHT | Normalized Iterative Hard Threshold |
| AMP | Approximate Message Passing |
| -norm Zero Attraction Projection | |
| -norm Alternating Direction Method of Multipliers | |
| ECME | Expectation Conditional Maximization Either |
Appendix A. Proof of Property 3
- P3.a
- P3.b
- P3.c
- P3.d
Appendix B. Proof of Property 4
Appendix C. Proof of Property 5
- Boundness: Now, we use the Taylor series of to estimate the values of . Since is an even function, the proof only presents the case of .
References
- Chua, L.; Lin, G.N. Nonlinear programming without computation. IEEE Trans. Circuits Syst. 1984, 31, 182–188. [Google Scholar] [CrossRef]
- Tank, D.; Hopfield, J. Simple ‘neural’ optimization networks: An A/D converter, signal decision circuit, and a linear programming circuit. IEEE Trans. Circuits Syst. 1986, 33, 533–541. [Google Scholar] [CrossRef]
- Xia, Y.; Leung, H.; Wang, J. A projection neural network and its application to constrained optimization problems. IEEE Trans. Circuits Syst. Fundam. Theory Appl. 2002, 49, 447–458. [Google Scholar]
- Xia, Y.; Wang, J. A general projection neural network for solving monotone variational inequalities and related optimization problems. IEEE Trans. Neural Netw. 2004, 15, 318–328. [Google Scholar] [CrossRef] [PubMed]
- Wang, H.; Lee, C.M.; Feng, R.; Leung, C.S. An analog neural network approach for the least absolute shrinkage and selection operator problem. Neural Comput. Appl. 2018, 29, 389–400. [Google Scholar] [CrossRef]
- Wang, Y.; Li, X.; Wang, J. A neurodynamic optimization approach to supervised feature selection via fractional programming. Neural Netw. 2021, 136, 194–206. [Google Scholar] [CrossRef]
- Bouzerdoum, A.; Pattison, T.R. Neural network for quadratic optimization with bound constraints. IEEE Trans. Neural Netw. 1993, 4, 293–304. [Google Scholar] [CrossRef]
- Feng, R.; Leung, C.S.; Constantinides, A.G.; Zeng, W.J. Lagrange Programming Neural Network for Nondifferentiable Optimization Problems in Sparse Approximation. IEEE Trans. Neural Netw. Learn. Syst. 2017, 28, 2395–2407. [Google Scholar] [CrossRef]
- Wang, H.; Feng, R.; Leung, A.C.S.; Tsang, K.F. Lagrange programming neural network approaches for robust time-of-arrival localization. Cogn. Comput. 2018, 10, 23–34. [Google Scholar] [CrossRef]
- Shi, Z.; Wang, H.; Leung, C.S.; So, H.C.; Member EURASIP. Robust MIMO radar target localization based on Lagrange programming neural network. Signal Process. 2020, 174, 107574. [Google Scholar] [CrossRef]
- Liu, Q.; Wang, J. L_{1}-minimization algorithms for sparse signal reconstruction based on a projection neural network. IEEE Trans. Neural Netw. Learn. Syst. 2015, 27, 698–707. [Google Scholar] [CrossRef] [PubMed]
- Yan, Z.; Le, X.; Wen, S.; Lu, J. A Continuous-Time Recurrent Neural Network for Sparse Signal Reconstruction Via ℓ1 Minimization. In Proceedings of the 2018 Eighth International Conference on Information Science and Technology (ICIST), Cordoba, Granada, and Seville, Spain, 30 June–6 July 2018; pp. 43–49. [Google Scholar] [CrossRef]
- Wen, H.; Wang, H.; He, X. A Neurodynamic Algorithm for Sparse Signal Reconstruction with Finite-Time Convergence. Circuits Syst. Signal Process. 2020, 39, 6058–6072. [Google Scholar] [CrossRef]
- Donoho, D.; Huo, X. Uncertainty principles and ideal atomic decomposition. IEEE Trans. Inf. Theory 1999, 47, 2845–2862. [Google Scholar] [CrossRef]
- Donoho, D.L.; Elad, M. Optimally sparse representation in general (nonorthogonal) dictionaries via l1 minimization. Proc. Natl. Acad. Sci. USA 2003, 100, 2197–2202. [Google Scholar] [CrossRef] [PubMed]
- Chartrand, R. Exact reconstruction of sparse signals via nonconvex minimization. IEEE Signal Process. Lett. 2007, 14, 707–710. [Google Scholar] [CrossRef]
- Blumensath, T.; Davies, M.E. Iterative thresholding for sparse approximations. J. Fourier Anal. Appl. 2008, 14, 629–654. [Google Scholar] [CrossRef]
- Jin, D.; Yang, G.; Li, Z.; Liu, H. Sparse recovery algorithm for compressed sensing using smoothed ℓ0-norm and randomized coordinate descent. Mathematics 2019, 7, 834. [Google Scholar] [CrossRef]
- Stanković, L.; Sejdić, E.; Stanković, S.; Daković, M.; Orović, I. A tutorial on sparse signal reconstruction and its applications in signal processing. Circuits Syst. Signal Process. 2019, 38, 1206–1263. [Google Scholar] [CrossRef]
- Stanković, I.; Ioana, C.; Daković, M. On the reconstruction of nonsparse time-frequency signals with sparsity constraint from a reduced set of samples. Signal Process. 2018, 142, 480–484. [Google Scholar] [CrossRef]
- Dai, C.; Che, H.; Leung, M.F. A neurodynamic optimization approach for L1 minimization with application to compressed image reconstruction. Int. J. Artif. Intell. Tools 2021, 30, 2140007. [Google Scholar] [CrossRef]
- Bioucas-Dias, J.M.; Figueiredo, M.A. A new TwIST: Two-step iterative shrinkage/thresholding algorithms for image restoration. IEEE Trans. Image Process. 2007, 16, 2992–3004. [Google Scholar] [CrossRef] [PubMed]
- Kong, X.; Zhao, Y.; Xue, J.; Chan, J.C.W.; Kong, S.G. Global and local tensor sparse approximation models for hyperspectral image destriping. Remote Sens. 2020, 12, 704. [Google Scholar] [CrossRef]
- Costanzo, S.; Rocha, Á.; Migliore, M.D. Compressed sensing: Applications in radar and communications. Sci. World J. 2016, 2016, 5407415. [Google Scholar] [CrossRef] [PubMed]
- Li, S.; Zhao, G.; Zhang, W.; Qiu, Q.; Sun, H. ISAR imaging by two-dimensional convex optimization-based compressive sensing. IEEE Sens. J. 2016, 16, 7088–7093. [Google Scholar] [CrossRef]
- Craven, D.; McGinley, B.; Kilmartin, L.; Glavin, M.; Jones, E. Compressed sensing for bioelectric signals: A review. IEEE J. Biomed. Health Inform. 2014, 19, 529–540. [Google Scholar] [CrossRef]
- Chen, S.S.; Donoho, D.L.; Saunders, M.A. Atomic decomposition by basis pursuit. SIAM Rev. 2001, 43, 129–159. [Google Scholar] [CrossRef]
- Osborne, M.R.; Presnell, B.; Turlach, B.A. A new approach to variable selection in least squares problems. IMA J. Numer. Anal. 2000, 20, 389–403. [Google Scholar] [CrossRef]
- Candes, E.; Romberg, J. l1-Magic. 2017. Available online: https://candes.su.domains/software/l1magic/downloads/l1magic.pdf (accessed on 1 December 2022).
- van den Berg, E.; Friedlander, M.P. SPGL1: A Solver for Sparse Least Squares. 2007. Available online: https://friedlander.io/spgl1/ (accessed on 1 December 2022).
- Rozell, C.J.; Johnson, D.H.; Baraniuk, R.G.; Olshausen, B.A. Sparse coding via thresholding and local competition in neural circuits. Neural Comput. 2008, 20, 2526–2563. [Google Scholar] [CrossRef]
- Engan, K.; Rao, B.D.; Kreutz-Delgado, K. Regularized FOCUSS for subset selection in noise. In Proceedings of the NORSIG 2000, Kolmarden, Sweden, 13–15 June 2000; pp. 247–250. [Google Scholar]
- Rao, B.D.; Kreutz-Delgado, K. An affine scaling methodology for best basis selection. IEEE Trans. Signal Process. 1999, 47, 187–200. [Google Scholar] [CrossRef]
- Zhang, C.H. Nearly unbiased variable selection under minimax concave penalty. Ann. Stat. 2010, 38, 894–942. [Google Scholar] [CrossRef]
- Breheny, P.; Huang, J. Coordinate descent algorithms for nonconvex penalized regression, with applications to biological feature selection. Ann. Appl. Stat. 2011, 5, 232. [Google Scholar] [CrossRef] [PubMed]
- Blumensath, T.; Davies, M.E. Normalized iterative hard thresholding: Guaranteed stability and performance. IEEE J. Sel. Top. Signal Process. 2010, 4, 298–309. [Google Scholar] [CrossRef]
- Donoho, D.L.; Maleki, A.; Montanari, A. Message-passing algorithms for compressed sensing. Proc. Natl. Acad. Sci. USA 2009, 106, 18914–18919. [Google Scholar] [CrossRef] [PubMed]
- Jin, J.; Gu, Y.; Mei, S. A stochastic gradient approach on compressive sensing signal reconstruction based on adaptive filtering framework. IEEE J. Sel. Top. Signal Process. 2010, 4, 409–420. [Google Scholar] [CrossRef]
- Boyd, S.; Parikh, N.; Chu, E.; Peleato, B.; Eckstein, J. Distributed optimization and statistical learning via the alternating direction method of multipliers. Found. Trends Mach. Learn. 2011, 3, 1–122. [Google Scholar] [CrossRef]
- Song, C.; Xia, S.T. Alternating direction algorithms for ∖ell_0 regularization in compressed sensing. arXiv 2016, arXiv:1604.04424. [Google Scholar]
- Qiu, K.; Dogandzic, A. ECME thresholding methods for sparse signal reconstruction. arXiv 2010, arXiv:1004.4880. [Google Scholar]
- Zhang, S.; Constantinidies, A.G. Lagrange Programming Neural Networks. IEEE Trans. Circuits Syst. II 1992, 39, 441–452. [Google Scholar] [CrossRef]
- Shi, Z.; Wang, H.; Leung, C.S.; So, H.C.; Liang, J.; Tsang, K.F.; Constantinides, A.G. Robust ellipse fitting based on Lagrange programming neural network and locally competitive algorithm. Neurocomputing 2020, 399, 399–413. [Google Scholar] [CrossRef]
- Balavoine, A.; Rozell, C.; Romberg, J. Global convergence of the locally competitive algorithm. In Proceedings of the IEEE Signal Processing Education Workshop (DSP/SPE) 2011, Sedona, AZ, USA, 4–7 January 2011; pp. 431–436. [Google Scholar]
- Pandey, O. Operational Amplifier (Op-Amp). In Electronics Engineering; Springer: Berlin/Heidelberg, Germany, 2022; pp. 233–270. [Google Scholar]
- Bult, K.; Wallinga, H. A CMOS four-quadrant analog multiplier. IEEE J. Solid-State Circuits 1986, 21, 430–435. [Google Scholar] [CrossRef]
- Chen, C.; Li, Z. A low-power CMOS analog multiplier. IEEE Trans. Circuits Syst. II Express Briefs 2006, 53, 100–104. [Google Scholar] [CrossRef]
- Filanovsky, I.; Baltes, H. Simple CMOS analog square-rooting and squaring circuits. IEEE Trans. Circuits Syst. I Fundam. Theory Appl. 1992, 39, 312–315. [Google Scholar] [CrossRef]
- Sakul, C. A new CMOS squaring circuit using voltage/current input. In Proceedings of the 23rd International Technical Conference on Circuits/Systems, Computers and Communications ITC-CSCC, Phuket, Thailand, 5–8 July 2008; pp. 525–528. [Google Scholar]
- van den Berg, E.; Friedlander, M.P. Probing the Pareto frontier for basis pursuit solutions. SIAM J. Sci. Comput. 2008, 31, 890–912. [Google Scholar] [CrossRef]
- Ji, S.; Xue, Y.; Carin, L. Bayesian compressive sensing. IEEE Trans. Signal Process. 2008, 56, 2346–2356. [Google Scholar] [CrossRef]
- Vadivel, R.; Hammachukiattikul, P.; Zhu, Q.; Gunasekaran, N. Event-triggered synchronization for stochastic delayed neural networks: Passivity and passification case. Asian J. Control 2022. [Google Scholar] [CrossRef]
- Chanthorn, P.; Rajchakit, G.; Humphries, U.; Kaewmesri, P.; Sriraman, R.; Lim, C.P. A delay-dividing approach to robust stability of uncertain stochastic complex-valued hopfield delayed neural networks. Symmetry 2020, 12, 683. [Google Scholar] [CrossRef]
- Spruck, J. Strictly Monotone Functions and the Inverse Function Theorem. Lecture Notes in MATH–405. Available online: https://math.jhu.edu/~js/math405/405.monotone.pdf (accessed on 24 November 2021).









Publisher’s Note: MDPI stays neutral with regard to jurisdictional claims in published maps and institutional affiliations. |
© 2022 by the authors. Licensee MDPI, Basel, Switzerland. This article is an open access article distributed under the terms and conditions of the Creative Commons Attribution (CC BY) license (https://creativecommons.org/licenses/by/4.0/).
Share and Cite
Wang, H.; Feng, R.; Leung, C.-S.; Chan, H.P.; Constantinides, A.G. A Lagrange Programming Neural Network Approach with an ℓ0-Norm Sparsity Measurement for Sparse Recovery and Its Circuit Realization. Mathematics 2022, 10, 4801. https://doi.org/10.3390/math10244801
Wang H, Feng R, Leung C-S, Chan HP, Constantinides AG. A Lagrange Programming Neural Network Approach with an ℓ0-Norm Sparsity Measurement for Sparse Recovery and Its Circuit Realization. Mathematics. 2022; 10(24):4801. https://doi.org/10.3390/math10244801
Chicago/Turabian StyleWang, Hao, Ruibin Feng, Chi-Sing Leung, Hau Ping Chan, and Anthony G. Constantinides. 2022. "A Lagrange Programming Neural Network Approach with an ℓ0-Norm Sparsity Measurement for Sparse Recovery and Its Circuit Realization" Mathematics 10, no. 24: 4801. https://doi.org/10.3390/math10244801
APA StyleWang, H., Feng, R., Leung, C.-S., Chan, H. P., & Constantinides, A. G. (2022). A Lagrange Programming Neural Network Approach with an ℓ0-Norm Sparsity Measurement for Sparse Recovery and Its Circuit Realization. Mathematics, 10(24), 4801. https://doi.org/10.3390/math10244801

