Dynamic Stability Measurement and Grey Relational Stability Sensitivity Analysis Methods for High-Speed Long-Span 4-1 Cable Robots
Abstract
1. Introduction
1.1. Background and Motivation
1.2. Literature Review and Comments
1.3. Contributions and Paper Organization
2. The Dynamic Stability Influencing Factors
2.1. The Position and Cable Tension Influencing Factors
2.1.1. Modeling of the 4-1HSLSCRs
2.1.2. The Influencing Factors of Dynamic Stability
2.2. The Velocity Influence Function
3. Dynamic Stability Measurement Method
4. Dynamic Stability Sensitivity Analysis Method
4.1. Determination of the Stability and Influencing Factor Sequences
4.2. Normalization of the Sequence Matrices
4.3. Grey Correlation Coefficient
4.4. Grey Correlation Dynamic Stability Sensitivity Analysis Index
5. Simulation Examples and Results
5.1. Camera Robot—A Selected 4-1HSLSCR
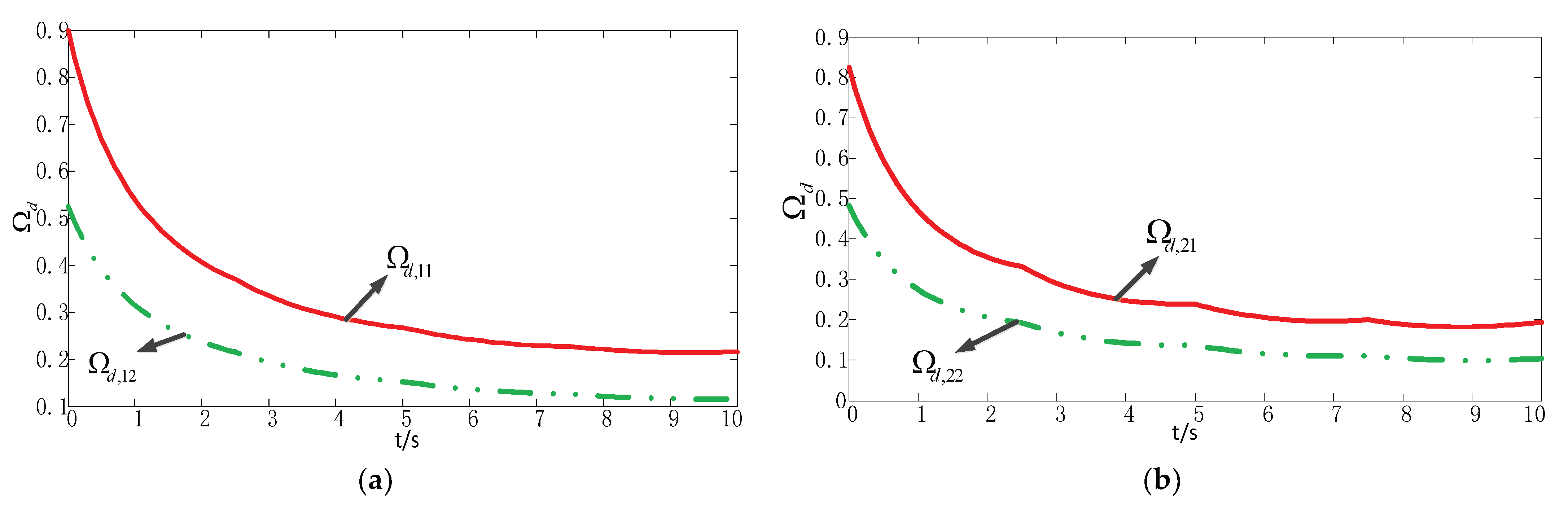
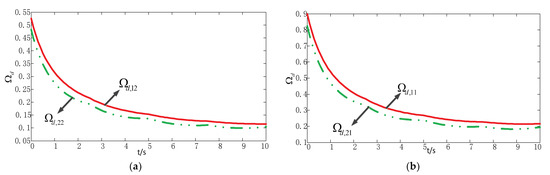
5.2. Results and Discussion
6. Conclusions
Author Contributions
Funding
Institutional Review Board Statement
Informed Consent Statement
Data Availability Statement
Acknowledgments
Conflicts of Interest
References
- Duan, Q.J.; Duan, X. Workspace Classification and Quantification Calculations of Cable-Driven Parallel Robots. Adv. Mech. Eng. 2014, 6, 358727. [Google Scholar] [CrossRef]
- Tang, L.; Shi, P. Design and analysis of a gait rehabilitation cable robot with pairwise cable arrangement. J. Mech. Sci. Technol. 2021, 35, 3161–3170. [Google Scholar] [CrossRef]
- Rasheed, T.; Long, P.; Caro, S. Wrench-Feasible Workspace of Mobile Cable-Driven Parallel Robots. J. Mech. Robot. 2020, 12, 031009. [Google Scholar] [CrossRef]
- Goodarzi, R.; Korayem, M.H.; Tourajizadeh, H.; Nourizadeh, M. Nonlinear dynamic modeling of a mobile spatial cable-driven robot with flexible cables. Nonlinear Dyn. 2022, 108, 3219–3245. [Google Scholar] [CrossRef]
- Abbasnejad, G.; Tale-Masouleh, M. Optimal wrench-closure configuration of spatial reconfigurable cable-driven parallel robots. Proc. Inst. Mech. Eng. Part C J. Mech. Eng. Sci. 2021, 235, 4049–4056. [Google Scholar] [CrossRef]
- Li, X.M.; Yang, Q.Q.; Song, R. Performance-Based Hybrid Control of a Cable-Driven Upper-Limb Rehabilitation Robot. IEEE Trans. Biomed. Eng. 2021, 68, 1351–1359. [Google Scholar] [CrossRef] [PubMed]
- Wang, Y.L.; Wang, K.Y.; Wang, K.C.; Mo, Z.J. Safety Evaluation and Experimental Study of a New Bionic Muscle Cable-Driven Lower Limb Rehabilitation Robot. Sensors 2020, 20, 7020. [Google Scholar] [CrossRef] [PubMed]
- Tourajizadeh, H.; Yousefzadeh, M.; Khalaji, A.K.; Bamdad, M. Design, Modeling and Control of a Simulator of an Aircraft Maneuver in the Wind Tunnel Using Cable Robot. Int. J. Control Autom. Syst. 2022, 20, 1671–1681. [Google Scholar] [CrossRef]
- Wang, X.G.; Peng, M.J.; Hu, Z.H.; Chen, Y.S.; Lin, Q. Feasibility investigation of large-scale model suspended by cable-driven parallel robot in hypersonic wind tunnel test. Proc. Inst. Mech. Eng. Part G J. Aerosp. Eng. 2017, 231, 2375–2383. [Google Scholar] [CrossRef]
- Li, H.; Yao, R. Optimal Orientation Planning and Control Deviation Estimation on FAST Cable-Driven Parallel Robot. Adv. Mech. Eng. 2014, 6, 716097. [Google Scholar] [CrossRef]
- Yin, J.N.; Jiang, P.; Yao, R. An approximately analytical solution method for the cable-driven parallel robot in FAST. Res. Astron. Astrophys. 2021, 21, 046. [Google Scholar] [CrossRef]
- Li, G.; Ge, R.; Loianno, G. Cooperative Transportation of Cable Suspended Payloads With MAVs Using Monocular Vision and Inertial Sensing. IEEE Robot. Autom. Lett. 2021, 6, 5316–5323. [Google Scholar] [CrossRef]
- Rossonnando, F.; Rosales, C.; Gimenez, J.; Salinas, L.; Soria, C.; Sarcinelli-Filho, M.; Carelli, R. Aerial Load Transportation with Multiple Quadrotors Based on a Kinematic Controller and a Neural SMC Dynamic Compensation. J. Intell. Robot. Syst. 2020, 100, 519–530. [Google Scholar] [CrossRef]
- Xian, B.; Wang, S.; Yang, S. Nonlinear adaptive control for an unmanned aerial payload transportation system: Theory and experimental validation. Nonlinear Dyn. 2019, 98, 1745–1760. [Google Scholar] [CrossRef]
- Tang, X. An Overview of the Development for Cable-Driven Parallel Manipulator. Adv. Mech. Eng. 2014, 6, 823028. [Google Scholar] [CrossRef]
- Qian, S.; Zi, B.; Shang, W.W.; Xu, Q.S. A Review on Cable-driven Parallel Robots. Chin. J. Mech. Eng. 2018, 31, 66. [Google Scholar] [CrossRef]
- Wei, H.L.; Qiu, Y.Y.; Sheng, Y. On the Cable Pseudo-Drag Problem of Cable-Driven Parallel Camera Robots at High Speeds. Robotica 2019, 37, 1695–1709. [Google Scholar] [CrossRef]
- Su, Y.; Qiu, Y.; Liu, P.; Tian, J.; Wang, Q.; Wang, X. Dynamic Modeling, Workspace Analysis and Multi-Objective Structural Optimization of the Large-Span High-Speed Cable-Driven Parallel Camera Robots. Machines 2022, 10, 565. [Google Scholar] [CrossRef]
- Liu, P.; Qiu, Y.; Su, Y. A new hybrid force-position measure approach on the stability for a camera robot. Proc. Inst. Mech. Eng. Part C J. Mech. Eng. Sci. 2016, 230, 2508–2516. [Google Scholar] [CrossRef]
- Liu, P.; Qiu, Y. Approach with a hybrid force-position property to assessing the stability for camera robots. J. Xidian Univ. 2016, 43, 87–93. [Google Scholar] [CrossRef]
- Su, Y.; Qiu, Y.; Liu, P. Optimal Cable Tension Distribution of the High-Speed Redundant Driven camera robots Considering Cable Sag and Inertia Effects. Adv. Mech. Eng. 2014, 6, 729020. [Google Scholar] [CrossRef]
- Korayem, M.H.; Yousefzadeh, M.; Susany, S. Dynamic Modeling and Feedback Linearization Control of Wheeled Mobile Cable-Driven Parallel Robot Considering Cable Sag. Arab. J. Sci. Eng. 2017, 42, 4779–4788. [Google Scholar] [CrossRef]
- Sohrabi, S.; Daniali, H.M.; Fathi, A.R. Dynamic Modeling of Long Span New Material Cable Robot. Trans. Can. Soc. Mech. Eng. 2017, 41, 517–530. [Google Scholar] [CrossRef]
- Behzadipour, S.; Khajepour, A. Stiffness of Cable-based Parallel Manipulators With Application to Stability Analysis. J. Mech. Des. 2005, 128, 303–310. [Google Scholar] [CrossRef]
- Liu, P.; Qiu, Y.; Su, Y.; Chang, J. On the Minimum Cable Tensions for the Cable-Based Parallel Robots. J. Appl. Math. 2014, 2014, 350492. [Google Scholar] [CrossRef]
- Bosscher, P.; Ebert-Uphoff, I. A Stability Measure for Underconstrained Cable-Driven Robots. In Proceedings of the IEEE International Conference on Robotics and Automation, 2004, Proceedings, ICRA ‘04. 2004, New Orleans, LA, USA, 26 April–1 May 2004; Volume 4945, pp. 4943–4949. [Google Scholar]
- Bosscher, P.M. Disturbance Robustness Measures and Wrench-Feasible Workspace Generation Techniques for Cable-Driven Robots; Georgia Institute of Technology: Atlanta, GA, USA, 2004. [Google Scholar]
- Liu, P.; Qiao, X.; Zhang, X. Stability sensitivity for a cable-based coal-gangue picking robot based on grey relational analysis. Int. J. Adv. Robot. Syst. 2021, 18, 17298814211059729. [Google Scholar] [CrossRef]
- Wang, Y.-l.; Wang, K.-y.; Wang, W.-l.; Yin, P.-c.; Han, Z. Appraise and analysis of dynamical stability of cable-driven lower limb rehabilitation training robot. J. Mech. Sci. Technol. 2019, 33, 5461–5472. [Google Scholar] [CrossRef]
- Liu, S.; Lin, Y. Introduction to Grey Systems Theory. In Grey Systems; Springer: Berlin/Heidelberg, Germany, 2010; pp. 1–18. [Google Scholar]
- Ju-Long, D. Control problems of grey systems. Syst. Control Lett. 1982, 1, 288–294. [Google Scholar] [CrossRef]
- Liu, S.; Forrest, J.Y.L. Grey Systems: Theory and Applications; Springer Science & Business Media: Berlin/Heidelberg, Germany, 2010. [Google Scholar]
- Liu, S.f.; Xie, N.m.; Forrest, J. Novel models of grey relational analysis based on visual angle of similarity and nearness. Grey Syst. Theory Appl. 2011, 1, 8–18. [Google Scholar] [CrossRef]
- Patil, A.; Walke Gaurish, A.; Mahesh, G. Grey relation analysis methodology and its application. Res. Rev. Int. J. Multidiscip. 2019, 4, 409–411. [Google Scholar]
- He, X.Y.; Li, L.P.; Liu, X.J.; Wu, Y.S.; Mei, S.J.; Zhang, Z. Using grey relational analysis to analyze influential factor of hand, foot and mouth disease in Shenzhen. Grey Syst.-Theory Appl. 2019, 9, 197–206. [Google Scholar] [CrossRef]
- Zhang, C.X.; Duan, L.Z.; Liu, H.Y.; Zhang, Y.R.; Yin, L.L.; Lu, Q.; Duan, G.N. Identifying the Influencing Factors of Patient’s Attitude to Medical Service Price by Combing Grey Relational Theory with CMH Statistical Analysis. J. Grey Syst. 2020, 32, 80–95. [Google Scholar]
- Duran, E.; Duran, B.U.; Akay, D.; Boran, F.E. Grey relational analysis between Turkey’s macroeconomic indicators and domestic savings. Grey Syst.-Theory Appl. 2017, 7, 45–59. [Google Scholar] [CrossRef]
- Chen, X.D.; Pei, D.S.; Li, L.P. Grey relation between main meteorological factors and mortality. Grey Syst.-Theory Appl. 2019, 9, 185–196. [Google Scholar] [CrossRef]
- Chang, S.; Huang, F.; Zhao, J.J.; Zhang, Y. Identifying Influential Climate Factors of Land Surface Phenology Changes in Songnen Plain of China Using Grid-based Grey Relational Analysis. J. Grey Syst. 2018, 30, 18–33. [Google Scholar]
- Yang, L.; Xie, N.M. Evaluation of provincial integration degree of “internet plus industry” based on matrix grey relational analysis Case of China 2014–2016. Grey Syst.-Theory Appl. 2019, 9, 31–44. [Google Scholar] [CrossRef]
- Liu, P.; Ma, H. On the Stability for a Cable-Driven Parallel Robot While Considering the Cable Sag Effects. In Proceedings of the 2016 13th International Conference on Ubiquitous Robots and Ambient Intelligence (URAI), Xi’an, China, 19–22 August 2016; pp. 538–543. [Google Scholar]
- Kuo, T. A Review of Some Modified Grey Relational Analysis Models. J. Grey Syst. 2017, 29, 70–77. [Google Scholar]
- Liu, H.; Liu, Q.; Hu, Y. Evaluating Risks of Mergers & Acquisitions by Grey Relational Analysis Based on Interval-Valued Intuitionistic Fuzzy Information. Math. Probl. Eng. 2019, 2019, 3728029. [Google Scholar] [CrossRef]
- Huang, C.-Y.; Lin, Y.-C.; Lu, Y.-C.; Chen, C.-I. Application of Grey Relational Analysis to Predict Dementia Tendency by Cognitive Function, Sleep Disturbances, and Health Conditions of Diabetic Patients. Brain Sci. 2022, 12, 1642. [Google Scholar] [CrossRef]
- Tsolas, I.E. Financial Performance Assessment of Construction Firms by Means of RAM-Based Composite Indicators. Mathematics 2020, 8, 1347. [Google Scholar] [CrossRef]
- Begey, J.; Cuvillon, L.; Lesellier, M.; Gouttefarde, M.; Gangloff, J. Dynamic Control of Parallel Robots Driven by Flexible Cables and Actuated by Position-Controlled Winches. IEEE Trans. Robot. 2019, 35, 286–293. [Google Scholar] [CrossRef]
- Llopis-Albert, C.; Rubio, F.; Valero, F. Modelling an Industrial Robot and Its Impact on Productivity. Mathematics 2021, 9, 769. [Google Scholar] [CrossRef]







| Parameter | Symbol | Value |
|---|---|---|
| Cable linear density | ρ | 0.188 kg/m |
| End-effector mass | mp | 50 kg |
| Lower bound of cable tensions | Tmin | 10 N |
| Upper bound of cable tensions | Tmax | 10,000 N |
| Position of the 1st pulley (Figure 1) | B1 | (0,0,23)T m |
| Position of the 2nd pulley | B2 | (100,0,23)T m |
| Position of the 3rd pulley | B3 | (100,90,23)T m |
| Position of the 4th pulley | B4 | (0,90,23)T m |
| s = 1 | s = 2 | |
|---|---|---|
| t = 1 | ||
| t = 2 |
| Cable Modeling Methods | Maximum Tension of the Four Cables (N) | Minimum Tension of the Four Cables (N) |
|---|---|---|
| Catenary cables | 565 | 5100 |
| Straight line cables | 125 | 1000 |
| Influencing Factors | Grey Correlation Degree | Ranking |
|---|---|---|
| x-coordinate of the camera platform | 0.6520 | 7 |
| y-coordinate of the camera platform | 0.5491 | 8 |
| z-coordinate of the camera platform | 0.7774 | 6 |
| Tension of cable 1 (T1) | 0.8992 | 4 |
| Tension of cable 2 (T2) | 0.9361 | 1 |
| Tension of cable 3 (T3) | 0.9205 | 3 |
| Tension of cable 4 (T4) | 0.9339 | 2 |
| Velocity of the camera platform v | 0.8051 | 5 |
Publisher’s Note: MDPI stays neutral with regard to jurisdictional claims in published maps and institutional affiliations. |
© 2022 by the authors. Licensee MDPI, Basel, Switzerland. This article is an open access article distributed under the terms and conditions of the Creative Commons Attribution (CC BY) license (https://creativecommons.org/licenses/by/4.0/).
Share and Cite
Liu, P.; Tian, H.; Cao, X.; Zhang, X.; Qiao, X.; Su, Y. Dynamic Stability Measurement and Grey Relational Stability Sensitivity Analysis Methods for High-Speed Long-Span 4-1 Cable Robots. Mathematics 2022, 10, 4653. https://doi.org/10.3390/math10244653
Liu P, Tian H, Cao X, Zhang X, Qiao X, Su Y. Dynamic Stability Measurement and Grey Relational Stability Sensitivity Analysis Methods for High-Speed Long-Span 4-1 Cable Robots. Mathematics. 2022; 10(24):4653. https://doi.org/10.3390/math10244653
Chicago/Turabian StyleLiu, Peng, Haibo Tian, Xiangang Cao, Xuhui Zhang, Xinzhou Qiao, and Yu Su. 2022. "Dynamic Stability Measurement and Grey Relational Stability Sensitivity Analysis Methods for High-Speed Long-Span 4-1 Cable Robots" Mathematics 10, no. 24: 4653. https://doi.org/10.3390/math10244653
APA StyleLiu, P., Tian, H., Cao, X., Zhang, X., Qiao, X., & Su, Y. (2022). Dynamic Stability Measurement and Grey Relational Stability Sensitivity Analysis Methods for High-Speed Long-Span 4-1 Cable Robots. Mathematics, 10(24), 4653. https://doi.org/10.3390/math10244653

