An Optimized Double-Nested Anti-Missile Force Deployment Based on the Deep Kuhn–Munkres Algorithm
Abstract
:1. Introduction
2. Problem Analysis
2.1. Anti-Missile Troop Deployment Analysis
- Anti-missile force maneuver deployment is time-consuming, and the time planned for anti-missile operations is extremely short, making deployment adjustments based on a real-time battlefield situation extremely difficult;
- Based on the available data, such as information on enemy situation and judgment, launch and drop points, and trajectory prediction, the best points are found in advance for targeted deployment to handle possible attack situations of enemy targets, reducing the impact of uncertainty and helping to improve the interception probability;
- The depth of the kill and cover zones and route shortcuts differ among deployment locations, and early deployment at the best point is conducive to the operational effectiveness of a weapon system;
- The contradictory relationship between limited anti-missile troop resources and the cost-efficiency ratio of intercepting incoming missiles.
2.2. Current Difficulties in Multi-Constraint Optimization Problem Solving
- 1.
- Complex multi-factor and multi-constraint interaction relationships
- 2.
- Certain deployment plan to deal with the uncertain battlefield environment
2.3. Solution Ideas Analysis
- 1.
- Solution ideas
- 2.
- Specific implementation
3. Proposed Model Design
3.1. Basic Deployment Model
3.2. Kill and Cover Zone Models
- 1.
- Kill zone model
- 2.
- Cover zone model
3.3. Optimized Double Nested Architecture-Based Deployment Model
- Assumptions
- 1
- The cover zone can cover defending strongholds when a weapon system is deployed in the preselected position;
- 2
- The shelter angle of the preselected position meets the interception demand of a target;
- 3
- When the incoming target enters the kill zone of a fire unit, it will be intercepted with a certain probability;
- 4
- The traffic and communication conditions of the preselected position meet the deployment demand.
- Constraints
- 1
- All incoming ballistic missiles must be covered, and after the calculation is completed, the x′i′j′ = 1 is selected to take the value of j′ corresponding to max w1j′, and all incoming ballistic missile numbers must be covered;
- 2
- A weapon system’s cover zone covers all defending strongholds;
- 3
- Each position deploys at most one set of weapon systems;
- 4
- A weapon system does not produce resistance to only one ballistic missile but can resist multiple incoming missiles on the premise that the response time of the weapon system meets the requirements. In addition, considering the capabilities of combatant commanders and operators and following balancing guidelines and force requirements, the number of ballistic missiles that can be intercepted by a weapon system is limited to two.
3.4. Interception Arc Length Matrix
4. Algorithm Implementation
4.1. Algorithm Core Ideas
4.2. Algorithm Design
4.3. Ballistic Missile Full-Coverage Adjustment Criteria
5. Simulation Verification
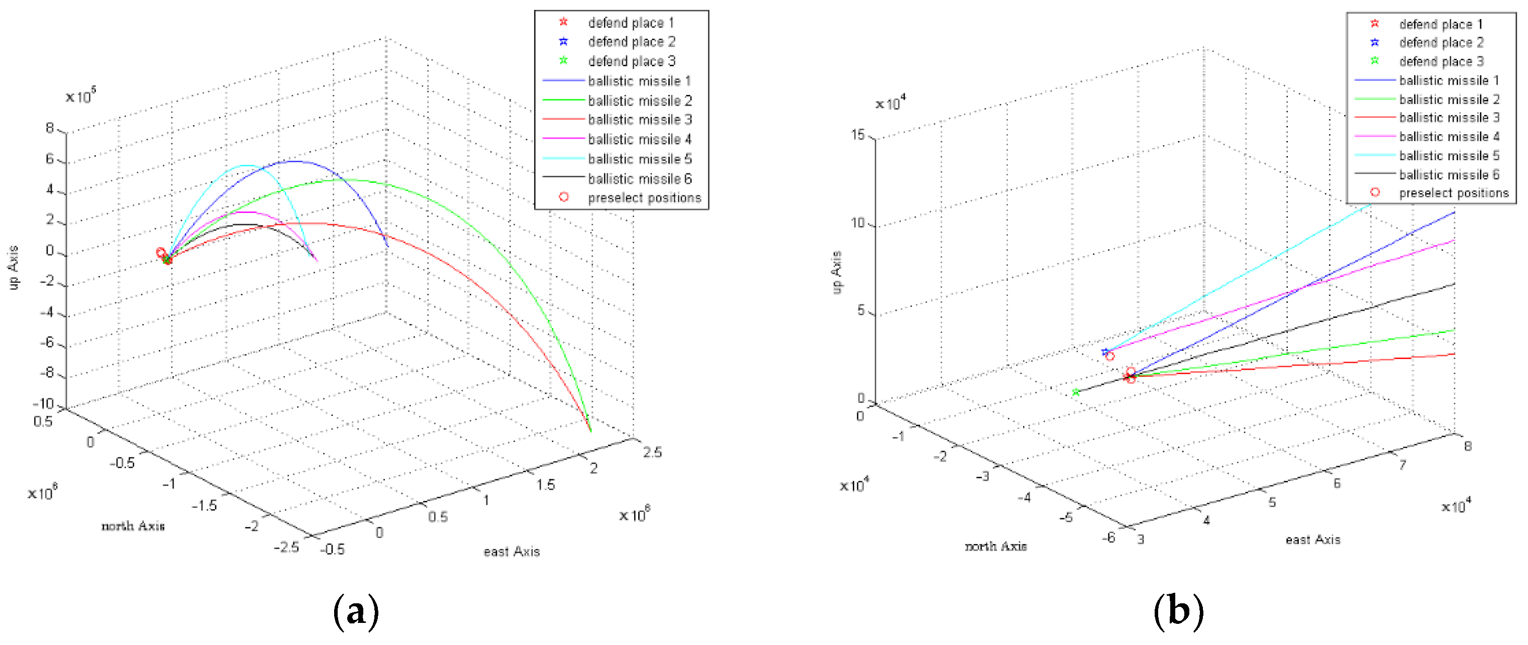
5.1. Scene Setting
5.2. Deployment Plan Analysis
- B-type weapon deployment in position 1 mainly intercepted target batches 002 and 003;
- A-type weapon deployment in position 2 mainly intercepted target batches 001 and 003;
- B-type weapon deployment in position 3 mainly intercepted target batches 004 and 005;
- A-type weapon deployment in position 5 mainly intercepted target batch 006.
6. Conclusions
Author Contributions
Funding
Institutional Review Board Statement
Informed Consent Statement
Data Availability Statement
Conflicts of Interest
References
- Zheng, B.; Zhao, J.; Zheng, Q. Review of Distribution of Troops Related Concepts. Fire Control Command Control 2017, 42, 5–8. [Google Scholar]
- Zhao, G. Operational mission planning: Issues and review. J. Command Control 2017, 3, 265–272. [Google Scholar]
- Liu, Y.; Zhang, Z.; Wang, Y.; Fan, X. Overview of missile defense development in Russia. Aerosp. China 2022, 6, 28–31. [Google Scholar]
- Wang, W.; Li, B. Development Status and Characteristics of U.S. Military Ballistic Missile Defense System. J. CAEIT 2021, 16, 805–812. [Google Scholar]
- Zhang, J.; Wang, G.; Song, Y.; Zhao, F.; Wang, S. Multiagent Task Planning Based on Distributed Resource Scheduling under Command and Control Structure. Math. Probl. Eng. 2019, 2019, 4259649. [Google Scholar] [CrossRef]
- Army. Air and Missile Defense. Anonymous 2021, 71, 118–120. [Google Scholar]
- La, B.; David, J. From Mutually Assured Destruction to Mutually Assured Stability: A Constructivist Rationale for Expanding Missile Defense. Ph.D. Thesis, Seoul National University, Seoul, Republic of Korea, 2019. [Google Scholar]
- David, D. Ballistic Missile Defense. In The Post–Cold War Era; Taylor and Francis: Abingdon, UK, 2021. [Google Scholar]
- Zhao, P.; Li, J. An Optimization Model for Air Defense Troops Deployment Based on Queuing Theory. Fire Control Command Control 2017, 42, 38–42. [Google Scholar]
- Xu, J. Force Deployment Method for Land–Based Air Defense Based on Decision Theory. Command Inf. Syst. Technol. 2017, 8, 99–104. [Google Scholar]
- Wan, J.; Wang, P.; Tang, J.; Zhang, D.; Li, X. Research on Hybrid Deployment Strategy and Model for Key Position Air-defense Based on Multi-weapon Platforms. J. Syst. Simul. 2021, 33, 1754–1765. [Google Scholar]
- Yan, P.; Liu, S.; Wang, J. Optimization model of air defense disposition based on dynamic programming and genetic algorithm. Syst. Eng. Electron. 2018, 40, 2249–2255. [Google Scholar]
- Pan, Y.; Wu, K.; Dong, S.; Jiang, H.; Lei, J. Application of regional air defense deployment based on genetic algorithm. J. Command Control 2020, 6, 271–277. [Google Scholar]
- Kong, X.; Li, D. Region Air-Defense Deployment Decision Based on Particle Swarm Optimization. Comput. Digit. Eng. 2016, 44, 2320–2324. [Google Scholar]
- Chen, X.; Wen, T.; Liu, S. Optimization for Regional Air Defense Deployment Based on Memetic Algorithms. J. Proj. Rockets Missiles Guid. 2018, 38, 14–18. [Google Scholar]
- Gong, X.; Li, H.; Yang, X. A Task Planning Simulation Method Based on Hungarian Algorithm. J. Phys. Conf. Ser. 2022, 2219, 012041. [Google Scholar] [CrossRef]
- Zhang, S.; Huang, Y. Analysis of operational resources deployment based on intelligent optimization algorithm. Jiangsu Sci. Technol. Inf. 2020, 1, 57–60. [Google Scholar]
- Liu, Y.; Zhang, Z.; Wang, L. Deployment and Optimization of Midcourse Anti-missile Firepower Unit. Fire Control Command Control 2018, 43, 157–161. [Google Scholar]
- Yu, W.; Shi, Z.; Zhou, F.; Li, J. Research on Optimization of Terminal Anti-missile Equipment Resource Allocation. Mod. Def. Technol. 2022, 50, 25–31. [Google Scholar]
- Li, Y.; Han, W.; Wang, Y. Deep Reinforcement Learning with Application to Air Confrontation Intelligent Decision-Making of Manned/Unmanned Aerial Vehicle Cooperative System. IEEE Access 2020, 8, 67887–67898. [Google Scholar] [CrossRef]
- Debabrata, S.; Islam, S.K.H.; Naveen, C.; Mohammad, H. Data Analytics, Computational Statistics, and Operations Research for Engineers: Methodologies and Applications; CRC Press: Boca Raton, FL, USA, 2021. [Google Scholar]
- Gayialis, S.P.; Kechagias, E.P.; Konstantakopoulos, G.D. A city logistics system for freight transportation: Integrating information technology and operational research. Oper. Res. 2022, 22, 5953–5982. [Google Scholar] [CrossRef]
- John, B. Ballistic Missile Defense: Threats and Challenges. Arms Control Today 2022, 52, 36. [Google Scholar]
- Kohri, K.; Amann, D. Ballistic missile defense WALEXs: Collaborative examination of requirements. Johns Hopkins APL Tech. Dig. 2000, 21, 238–243. [Google Scholar]
- Xing, Q.; Fan, H. Missile Defense Mission Planning Technology; Science Press: Beijing, China, 2019. [Google Scholar]
- Wang, F.; Yang, Z.; Guo, Z. Research on Intelligent Force Deployment Based on 3D Real Map. Ship Electron. Eng. 2021, 41, 107–111. [Google Scholar]
- Wang, X.; Wang, G.A. Study of the deployment and re-deployment of the US military force and the enlightenment they give us. Traffic Eng. Technol. Natl. Def. 2020, 18, 1–6. [Google Scholar]
- Lötter, D.P. Modeling Weapon Assignment as a Multi Objective Problem; Stellenbosch University: Stellenbosch, Western Cape, South Africa, 2012. [Google Scholar]
- Nguyen, V.D.; Pham, B.T.; Do, P.T. Efficient Algorithms for Maximum Induced Matching Problem in Permutation and Trapezoid Graphs. Fundam. Inform. 2021, 182, 257–283. [Google Scholar] [CrossRef]
- Kamiyama, N. The envy-free matching problem with pairwise preferences. Inf. Process. Lett. 2021, 172, 106158. [Google Scholar] [CrossRef]
- Sun, H.; Xing, C.; Ma, Q. Simulation and Analysis on Interception Capability of Anti-missile Weapon System. Ship Electron. Eng. 2022, 42, 92–96. [Google Scholar]
- Busetto, F.; Codognato, G.; Tonin, S. Simple majority rule and integer programming. Math. Soc. Sci. 2021, 113, 160–163. [Google Scholar] [CrossRef]
- Liu, Y.; Zhang, Z.; Chai, H. Intercepting Probability of Anti-missile Firepower in Space Killing Area. Comput. Meas. Control 2018, 26, 132–136. [Google Scholar]
- Wang, J.; Zhao, J.; Li, J.; Shao, L. Research on numerical model of ground-to-air missile kill zone. Syst. Eng. Theory Pract. 2014, 34, 3260–3267. [Google Scholar]
- Yu, X.; Du, X. Fitting algorithm design for destruction zone of air defense. Comput. Eng. Des. 2012, 33, 3470–3474. [Google Scholar]
- Wang, J.; Liu, R.; Xue, W. Research on Defended Footprint Modeling. Mod. Def. Technol. 2014, 42, 14–21. [Google Scholar]
- Yu, W.; Yu, H.; Du, J.; Zhang, M.; Wang, D. A deep learning algorithm for joint direct tracking and classification of manoeuvring sources. IET Radar Sonar Navig. 2022, 16, 1198–1211. [Google Scholar] [CrossRef]
- Uday, S.S.; Andreas, S. Machine and Deep Learning Algorithms and Applications; Morgan & Claypool Publishers: San Rafael, CA, USA, 2021. [Google Scholar]
- Shen, X.; Chen, L. Configuration Transformation Planning Method of Unmanned Aerial Vehicle Cluster Based on Improved Hungarian Algorithm. J. Phys. Conf. Ser. 2022, 2283, 012001. [Google Scholar] [CrossRef]
- Zheng, X.; Ma, C. An intelligent target detection method of UAV swarms based on improved KM algorithm. Chin. J. Aeronaut. 2021, 34, 539–553. [Google Scholar] [CrossRef]
- Baswana, S.; Gupta, S.; Tulsyan, A. Fault Tolerant Depth First Search in Undirected Graphs: Simple Yet Efficient. Algorithmica 2022, 84, 2028–2049. [Google Scholar] [CrossRef]
- Yan, Y.; Chen, X.; Nan, H.; Guan, J. Modern inversion workflow of the multimodal surface wave dispersion curves: Staging strategy and Pattern search with embedded Kuhn–Munkres algorithm. Geophsical J. Int. 2022, 231, 47–71. [Google Scholar] [CrossRef]
- Zhu, H.; Zhou, M. Efficient Role Transfer Based on Kuhn–Munkres Algorithm. IEEE Trans. Syst. Man Cybern. Part A Syst. Hum. 2012, 42, 491–496. [Google Scholar] [CrossRef]
- Amir, M.; Mostafa, H. Minimum-Cost Drone–Nest Matching through the Kuhn–Munkres Algorithm in Smart Cities: Energy Management and Efficiency Enhancement. Aerospace 2019, 6, 125. [Google Scholar]







| Parameter | Description |
|---|---|
| i′ | Number of interceptions of a certain type of weapon |
| j′ | Incoming ballistic missile number |
| m′ | Maximum number of interceptions of a weapon |
| n′ | Total number of incoming ballistic missiles |
| w | Interception arc length |
| I″ | Preselected position number |
| j″ | Weapon number; A corresponds to one, B corresponds to two, … |
| m″ | Total number of preselected positions |
| n″ | Total number of weapons |
| A, B… | Label of weapon A, B… |
| a, b… | Interception arc length of weapons A, B, … |
| t | Total number of weapons |
| ta, tb.... | Total number of weapons A, B, … corresponding to y1″, y2″, … |
| North-Up-East | DS 1 | DS 2 | DS 3 | PP 1 | PP 2 | PP 3 | PP 4 | PP 5 | PP 6 |
|---|---|---|---|---|---|---|---|---|---|
| North | −13,979 | −4184 | −13,924 | −14,690 | −12,289 | −5730 | −4786 | −13,865 | −14,300 |
| Up | −288 | −303 | −221 | −300 | −290 | −268 | −269 | −209 | −230 |
| East | 59,784 | 62,374 | 51,588 | 59,453 | 61,029 | 62,069 | 61,388 | 50,987 | 49,398 |
| Weapon Type | High Bound (km) | Lower Bound (km) | Far Bound (km) | Near Bound (km) | Sector Range |
|---|---|---|---|---|---|
| A | 100 | 30 | 180 | 60 | −50°–+50° |
| B | 60 | 20 | 80 | 30 | −45°–+45° |
Publisher’s Note: MDPI stays neutral with regard to jurisdictional claims in published maps and institutional affiliations. |
© 2022 by the authors. Licensee MDPI, Basel, Switzerland. This article is an open access article distributed under the terms and conditions of the Creative Commons Attribution (CC BY) license (https://creativecommons.org/licenses/by/4.0/).
Share and Cite
Sun, W.; Cao, Z.; Wang, G.; Song, Y.; Guo, X. An Optimized Double-Nested Anti-Missile Force Deployment Based on the Deep Kuhn–Munkres Algorithm. Mathematics 2022, 10, 4627. https://doi.org/10.3390/math10234627
Sun W, Cao Z, Wang G, Song Y, Guo X. An Optimized Double-Nested Anti-Missile Force Deployment Based on the Deep Kuhn–Munkres Algorithm. Mathematics. 2022; 10(23):4627. https://doi.org/10.3390/math10234627
Chicago/Turabian StyleSun, Wen, Zeyang Cao, Gang Wang, Yafei Song, and Xiangke Guo. 2022. "An Optimized Double-Nested Anti-Missile Force Deployment Based on the Deep Kuhn–Munkres Algorithm" Mathematics 10, no. 23: 4627. https://doi.org/10.3390/math10234627
APA StyleSun, W., Cao, Z., Wang, G., Song, Y., & Guo, X. (2022). An Optimized Double-Nested Anti-Missile Force Deployment Based on the Deep Kuhn–Munkres Algorithm. Mathematics, 10(23), 4627. https://doi.org/10.3390/math10234627

