Next Article in Journal
An Optimized Double-Nested Anti-Missile Force Deployment Based on the Deep Kuhn–Munkres Algorithm
Next Article in Special Issue
Bounds and Maxima for the Workload in a Multiclass Orbit Queue
Previous Article in Journal
Performance of a Vector-Controlled PMSM Drive without Using Current Sensors
Previous Article in Special Issue
Advanced Drone Swarm Security by Using Blockchain Governance Game
 
 
Font Type:
Arial Georgia Verdana
Font Size:
Aa Aa Aa
Line Spacing:
Column Width:
Background:
Article

Matrix Approach for Analyzing n-Site Generalized ASIP Systems: PGF and Site Occupancy Probabilities

Department of Statistics and Operations Research, School of Mathematical Sciences, Tel Aviv University, Tel Aviv 6329302, Israel
*
Author to whom correspondence should be addressed.
Mathematics 2022, 10(23), 4624; https://doi.org/10.3390/math10234624
Submission received: 24 October 2022 / Revised: 24 November 2022 / Accepted: 3 December 2022 / Published: 6 December 2022
(This article belongs to the Special Issue Queue and Stochastic Models for Operations Research II)

Abstract

The Asymmetric Simple Inclusion Process (ASIP) is an n-site tandem stochastic network with a Poisson arrival influx into the first site. Each site has an unlimited buffer with a gate in front of it. Each gate opens, independently of all other gates, following a site-dependent Exponential inter-opening time. When a site’s gate opens, all particles occupying the site move simultaneously to the next site. In this paper, a Generalized ASIP network is analyzed where the influx is to all sites, while gate openings are determined by a general renewal process. A compact matrix approach—instead of the conventional (and tedious) successive substitution method—is constructed for the derivation of the multidimensional probability-generating function (PGF) of the site occupancies. It is shown that the set of ( 2 n n ) linear equations required to obtain the PGF of an n-site network can be first cut by half into a set of 2 n 1 n equations, and then further reduced to a set of 2 n n + 1 equations. The latter set can be additionally split into several smaller triangular subsets. It is also shown how the PGF of an n + 1 -site network can be derived from the corresponding PGF of an n-site system. Explicit results for networks with n = 3 and n = 4 sites are obtained. The matrix approach is utilized to explicitly calculate the probability that site k   k = 1 , 2 , , n is occupied. We show that, in the case where arrivals occur to the first site only, these probabilities are functions of both the site’s index and the arrival flux and not solely of the site’s index. Consequently, refined formulas for the latter probabilities and for the mean conditional site occupancies are derived. We further show that in the case where the arrival process to the first site is Poisson with rate λ , the following interesting property holds: P s i t e   k   i s   o c c u p i e d   |   λ = 1 = P s i t e   k + 1   i s   o c c u p i e d   |   λ . The case where the inter-gate opening intervals are Gamma distributed is investigated and explicit formulas are obtained. Mean site occupancy and mean total load of the first k sites are calculated. Numerical results are presented.

1. Introduction and Outline

A tandem stochastic system (TSS) is an array of several sites in series, where random events cause particles (customers, messages, products, calls, jobs, molecules, etc.) to propagate unidirectionally along the one-dimensional lattice of n sites (queues, servers, stations, etc.). Particles are fed, randomly in time, into the leftmost site and propagate unidirectionally (to the right) through the system. At the rightmost site, particles exit the system randomly in time. The random inflow into the leftmost site, the random instants of movement from site to site, and the random outflow from the rightmost site are all governed by random processes. Variations of this model have been explored in various papers [1,2,3,4,5,6,7,8,9,10,11].
A notable example of TSS is the Tandem Jackson Network (TJN), which has been investigated thoroughly in the literature [6,7,8,9,10,11]. In this model, the buffer size of each site is unlimited, only single particles move forward between sites and the transitions instants follow Markovian rules. The TJN is famous for its product-form solution of the multidimensional distribution function of the sites’ queue sizes (occupancies).
Another well-known TSS is the Asymmetric Exclusion Process (ASEP) [3,4], where each site can hold at most a single particle, a constraint that causes blockings on particles’ forward movements. The ASEP was extensively studied in [12,13,14,15,16,17,18,19,20,21,22,23,24,25,26,27]. As described in [28], “The ASEP serves as a model for a unidirectionally driven lattice gas of particles subject to exclusion interactions. The exclusion principle causes jamming throughout the system and renders the ASEP dynamics highly nontrivial. Despite its simple description and its one dimensionality, the ASEP displays a complex and intricate behavior [12]”.
An important process in the family of tandem stochastic processes is the recently introduced [28] Asymmetric Inclusion Process (ASIP) [28,29,30,31,32]. Similarly to the ASEP and TJN, particles propagate unidirectionally through the system. The ASIP’s inclusion principle allows each site to be occupied by an arbitrary number of particles at the same time. All particles that simultaneously occupy a site form a cluster of particles that move together to the next site, where a new and lager cluster will form together with the particles already residing in the new site (if any), or out of the system, in the case of the rightmost site. Each site has an unbounded buffer capacity and an unlimited size batch service. The ASIP is a showcase of complexity [29]. To better illustrate the ASIP, one can imagine that each site has a gate in front of it and when the gate opens, all particles currently in that site move forward to the next site. The ASIP model may be viewed as a tandem array of growth–collapse processes. Furthermore, it can be applied to the analysis of road traffic along a sequence of traffic lights, where, when a traffic light turns green, all vehicles in front of this light move forward to the next light. Another application is the analysis of marine traffic along a canal with several locks (e.g., Panama Canal). An illustration of the ASIP, with arrivals to the first site only, appears in Figure 1.
In a TSS, each site is characterized by its occupancy capacity, C s i t e , and by its gate (service) capacity, C g a t e . Consequently, the above 3 TSS variations (TJN, ASEP and ASIP) are distinguished by their values of C s i t e and C g a t e . Table 1 below characterizes the differences and similarities between the three models.
An important feature of the classical ASIP model [28] is that its multidimensional Probability-Generating Function (PGF) of the site occupancies does not admit a product-form solution (as does the TJN), which makes its analysis highly complicated and intricate. Consequently, explicit PGF expressions were obtained only for ASIPs with n = 2 and n = 3 sites.
In this work we study a generalized ASIP (abbreviated G-ASIP) model where particles arrive to all sites, and inter-gate openings follow a renewal process, as is described below.

A Generalized ASIP Model (G-ASIP)

Consider a system of n sites (queues) Q 1 , , Q n in series. Each queue has one gate in front of it, which may be viewed as a server. In the classical ASIP model (Reuveni, Eliazar and Yechiali [28]) particles arrive only to the first queue according to a Poisson process with rate λ , while gate j opens independently of the other gates every Exponential time with parameter μ j . We study a generalized ASIP where the time intervals between consecutive instants of gate opening are i.i.d random variables, all distributed like a random variable O . At an instant of gate opening, only one gate opens, and it is gate j with probability p j > 0 , where j = 1 n p j = 1 . During intervals between successive gate openings, particles arrive according to a random process. Gates are closed almost all the time. When gate j (the gate in front Q j ) opens, all particles present in Q j are instantaneously transferred to Q j + 1 , j = 1 , , n 1 , where they form a larger cluster with the particles already residing there. When the last gate (gate n) opens, all particles present in Q n simultaneously leave the system. This extension of the model allows for the analysis of systems where the times between gate openings are not necessarily Exponentially distributed (as in the classical ASIP) but rather generally. For example, consider a road traffic between traffic lights, or a marine traffic through a canal with several locks, where the evolution of each system is governed by Deterministically distributed time intervals.
The classical ASIP model was further investigated and analyzed by the above authors [29,30,31]. Recently, Boxma, Kella and Yechiali [32] extended the investigation of ASIP models to the case where the gate opening process follows a Markov renewal process and investigated workload distributions in these queueing networks [33]. In a recent study [34], various key performance measures were analyzed, where a general process controls the gate inter-opening times, and particles arrive to the first site between gate openings.
The current work considers an ASIP-type model with a general arrival process as described above. First, we assume in Section 2 that arrivals occur to the first site only, expand the study done in [31] to a G-ASIP, and derive a formula for calculating the site occupancy probabilities in a homogeneous G-ASIP [34]. We show that these probabilities are functions of both the site index, as well as the inward flux rate λ , thus extending and refining the result presented in [31], where those probabilities are presented as functions of the site index only. Numerical results illustrate the dependence of a site’s occupancy probability on the inward flux rate λ . A refined formula for the conditional mean occupancy in each site is also derived. It is further shown that, in the case where the arrival process to the first site is Poisson with rate λ , the following interesting property holds P s i t e   k   i s   o c c u p i e d   |   λ = 1 = P s i t e   k + 1   i s   o c c u p i e d   |   λ .
For the classical ASIP [28], a tedious successive substitution approach was constructed for the derivation of the PGF of site occupancies; however, due to the complexity of the formulas, explicit expressions were derived for networks with n = 2 and n = 3 sites only. In a generalized ASIP studied in [32], the PGF was explicitly calculated only for a network with n = 2 sites. In Section 3, we assume that arrivals occur to all sites and develop an innovative matrix solution approach to derive the multidimensional PGF of the site occupancies, an approach replacing the tedious successive substitution solution method developed in [28]. An explicit result is derived for the PGF of a G-ASIP with n = 3 sites. In addition, the case where the inter-gate opening intervals are Gamma distributed with shape parameter α is thoroughly analyzed and explicit formulas are derived, including the cases when α = 1 (Exponential) and when α (Deterministic). In Section 4, we extend the analysis to a system with n = 4 sites and calculate its PGF. The main contribution in Section 5 is showing that the set of 2 n n linear equations required to obtain the PGF of an n-site G-ASIP can be first reduced by half into a set of 2 n 1 n equations, and then further reduced to a set of 2 n n + 1 equations. The latter set can be additionally split into several smaller triangular sets. Moreover, a procedure is developed showing how to derive the PGF of an n + 1 -site G-ASIP from the solution obtained for an n-site network.
Finally, in Section 6, the mean site occupancies, and the mean total load of the first k sites in an n -site system, with arrivals to all sites, are calculated. The results are compared with those of the classical ASIP model [28].

2. Occupation Probabilities

2.1. Introduction

Let X k be the number of particles occupying site k , k = 1 , 2 , , n . The probability that site k is occupied had been first studied in [29] for the classical ASIP. It was demonstrated, via Monte Carlo simulations, that the asymptotic occupation probabilities for a homogeneous ASIP where particles arrive at Poisson rate λ to the first site only and where gate k opens, independently of other gates, every Exponential μ k time. When λ = μ k = 1 it was shown that the above probability exhibits a power law decay like k 0.5 . Namely, at steady state, the probability that site k is occupied decreases like k 0.5 . In a later study [31] this result was analytically calculated, and it was shown (Equation (6)) there that
lim k P X k > 0 1 π k
It was also argued that Equation (1) is universal in a stronger sense, as it is independent even of the arrival rate λ , where ‘ ’ denotes asymptotic equivalence to leading order in k . This result led to the immediate conclusion that the conditional mean occupancy of site k is given by
E X k |   >   X k 0 λ μ π k
However, we assert that λ 1 , P X k > 0 as well as E X k | X k   >   0 are functions of the arrival rate λ . First, in the case that λ 0 , the term P X k > 0 should tend to 0, whereas the approximation in Equation (1) does not satisfy this condition. Furthermore, the conditional mean occupancy must satisfy that E X k | X k   >   0 1 for any arrival rate, in particular when λ 0 . Yet, Equation (2) does not satisfy this quality either.
We claim that, while P X k > 0 1 π k is a good approximation for the site occupancies when the inward rate of arrival is λ = 1 , a corrected formula of P X k > 0 depends on the income flux λ . We derive an explicit formula for P X k > 0 for all cases of λ . As a result, we also adjust Formula (2) and present an explicit result (depending on λ ) for the conditional mean occupancy of site k .
Denote by I k the indicator occupancy of site k . That is, I k = 1 X k > 0 0 X k = 0 , and denote by P λ I k = 1 P λ k the two-variable occupancy function (discrete variable k and continuous variable λ ) . Viewing P λ k as a function of two variables gives a deeper insight into this complex model. We show the interesting relation:  P λ = 1 k = lim λ P λ k + 1 , which has two significant implications. First, the use of the latter relation simplifies the calculation of P 1 k since it releases P λ k from its stochastic dependents on the inward flux. The implication of λ is that the first site is always occupied. Thus, the probability of site occupancies is dependent on gate openings only. Second, we show that P λ k is a monotone increasing function of λ with an upper bound when λ , which is equal to P 1 k 1 . Furthermore, we show that 1 π k 1 + 1 λ + 1 λ 2 is a more accurate approximation for P λ k for λ ranging from 0 to infinity and leads to a refined result for the conditional mean occupancy.

2.2. Laws of Motion in an n-Site G-ASIP

Consider an n-site G-ASIP. During the time between two successive gate openings, arrivals occur to the first site only according to a general arrival process. In a steady state, let A denote the number of arrivals to site Q 1 during an inter-gate opening interval, and let A ^ z = Ε z A , z 1 , denote the corresponding probability-generating function (PGF). Let X j , j = 1 , , n denote the number of particles (occupancy) in site j right after a gate opening, and let X j r denote the number of particles in Q j right after the rth gate opening. Let A r be the number of arrivals to site j during the interval between the (r − 1)th and rth gate openings. Let G z 1 , , z n = Ε z 1 X 1 z n X n , z j 1 be the PGF of the joint probability mass function of the site occupancies at steady state.
The occupancies Law of Motion yields
If gate 1 opens at the (r + 1)st gate opening, then:
X 1 r + 1 = 0 , X 2 r + 1 = X 1 r + A r + 1 + X 2 r , .... , X n r + 1 = X n r
If gate 2 opens at step r + 1 :
X 1 r + 1 = X 1 r + A r + 1 , X 2 r + 1 = 0 , X 3 r + 1 = X 2 r + X 3 r , , X n r + 1 = X n r
If gate j opens at step r + 1 :
X 1 r + 1 = X 1 r + A r + 1 , X 2 r + 1 = X 2 r , , X j r + 1 = 0 , X j + 1 r + 1 = X j r + X j + 1 r , , X n r + 1 = X n r
If gate n opens at step r + 1 :
X 1 r + 1 = X 1 r + A r + 1 , X 2 r + 1 = X 2 r , X 3 r + 1 = X 3 r , , X n r + 1 = 0
In steady state we obtain
G z 1 , z 2 , , z n = Ε z 1 X 1 z n X n                                 = p 1 A ^ z 2 , z 2 , z 3 , .... z n G z 2 , z 2 , z 3 , .... z n + p 2 A ^ z 1 , z 3 , , z n G z 1 , z 3 , , z n                                 + ..... + p n A ^ z 1 , z 2 , , z n 1 G z 1 , z 2 , , z n 1
Let z = z 1 ,   z 2 , , z n , and let z k = z 1 ,   z 2 , , z k 1 , z k + 1 k t h   p o s i t i o n , z k + 1   , , z n , k = 1 , 2 , , n 1 and z n = z 1 ,   z 2 , , z n 1   . Then, Equation (3) becomes
G z = p 1 A ^ z 1 G z 1 + p 2 A ^ z 2 G z 2 + + p n A ^ z n G z n
Obtaining an expression for G z allows us to explicitly calculate the occupation probability P X k > 0 for any k in an n-size G-ASIP. The optimal allocation of p j ,   j = 1 , , n with the constraint j = 1 n p j = 1 of the G-ASIP was studied in [32,34] and it was shown that a homogeneous G-ASIP where p j = 1 n ,   j = 1 , , n , is optimal. In what follows, we study the homogeneous G-ASIP.

2.3. Calculation of P λ k

Utilizing Equation (4) enables a simple calculation of P λ k for any inter-gate opening process and any arrival rate. It is simpler to use in the sequel the ‘emptiness function’ Q λ k P λ I k = 0 .
The site occupancies PGF, G z 1 , z 2 , , z n , can be applied in order to obtain the probability that site k is empty. That is, substituting z k = 0 and z j = 1 for all j k gives G 1 , , 1 , 0 k , 1 , , 1 = Q λ k .
Theorem 1.
In a homogeneous n-site G-ASIP where arrivals occur at the first site only, the probability that site k is empty is
Q λ 1 = 1 n n 1 A ^ 0  
Q λ k = 2 k 2 , 2 k 3 , , 1 , A ^ 2 0 n n 1 A ^ 0 j = 2 k 1 2 j 1 C k , j 1 1 Q λ 1 ,   k 2
where,
C k , j = 2 j 2 0 0 0 0 0 2 j 2 0 0 0 2 j 3 2 1 A ^ 2 0 n n 1 A ^ 0 4 2 2 A ^ 2 0 n n 1 A ^ 0 2 j 3 2 j 3 A ^ 2 0 n n 1 A ^ 0 0 0 2 j 2 A ^ 0 n n 1 A ^ 0
To simplify, setting
C j = 2 j 3 2 1 0 2 0 0 2 j 3 A j = A ^ 2 0 n n 1 A ^ 0 2 A ^ 2 0 n n 1 A ^ 0 2 j 2 A ^ 0 n n 1 A ^ 0
gives a compact presentation
C k , j = 2 k 2 I k j 0 0 0 C j A j 0 0
Proof. 
Let 0 n , k = 1 , 1 , , 0 , , 0 k n , then substituting z = 0 n , n 1 in Equation (4) yields
G 0 = Q λ 1 = 1 n n 1 A ^ 0
By substituting z = 0 n , k , k = 1 , , n in Equation (4), a linear set is obtained
2 n 2 1 0 0 0 2 n 2 1 1 0 2 n 2 A ^ 0 0 0 n n 1 A ^ 0 G 0 n , 1 G 0 n , 2 G 0 n , n = 1 G 0 n 1 , 1 A ^ 0 G 0 n 1 , n 1
The above yields a recursive formula,
G 0 n , 1 G 0 n , 2 G 0 n , n = 1 2 n 1 C n 1 G 0 n 1 , 1 G 0 n 1 , n 1
By using the initial condition Q λ 1 = 1 n n 1 A ^ 0 , the proof is complete. □
Theorem 2.
In a homogeneous n-site G-ASIP where arrivals occur at the first site only with λ , the emptiness probabilities are given by
Q λ 1 = 1 n
Q λ k = 2 k 2 , , 4 , 2 , 1 j = 2 k 1 2 j 1 C k , j 1 1 1 + 1 2 , k 2
where,
C k , j = 2 k 2 I k j 0 0 C j ,   C j = 2 j 3 2 1 0 2 0 0 2 j 3
Proof. 
Applying Theorem 1 when λ (namely, the probability of no arrivals between two gate openings tends to zero) leads to lim λ 0 A ^ 0 λ = 0 , which leads to
Q λ 1 = 1 n
Q λ k = 2 k 2 , , 4 , 2 , 1 j = 2 k 1 2 j 1 C j 1 1 1 n
where,
C k , j = 2 k 2 I k j 0 0 C j , C j = 2 j 3 2 1 0 2 0 0 2 j 3
The proof is complete. □
The result Q λ 1 = 1 n deserves further explanation: When λ , an unlimited number of particles accumulate in front of Q 1 . Right after the opening of gate 1, Q 1 becomes empty, and will stay empty until another gate opening occurs. At that instant, all accumulated particles will move to Q 1 . At the next gate opening Q 1 opens (and becomes empty) with probability 1 n , which leads to the above result.

2.4. Calculation of P λ k for the Classical ASIP

We now derive an explicit formula for the site occupancy probabilities for the case when gate k opens independently every Exponential μ k = 1 time, k = 1 , 2 , , n , μ = k = 1 n μ k = n and the arrival is Poisson λ . We further show that lim λ P λ k + 1 = P 1 k .
Substituting A ^ 0 = μ μ + λ = n n + λ in Theorem 1 yields
Q λ 1 = n + λ n λ + 1
Q λ k = 2 k 2 , , 2 , 1 , n λ + 1 λ + n j = 2 k 1 2 j 1 C j 1 1 n + λ n λ + 1 , k 2
where,
C j = 2 j 2 0 0 0 0 0 2 j 2 0 0 0 2 j 3 2 1 n λ + 1 λ + n 4 2 2 n λ + 1 λ + n 2 j 3 2 j 3 n λ + 1 λ + n 0 0 2 j 2 λ + 1
To illustrate, we calculate the occupancy probabilities of the first five sites in Appendix A and get:
Q λ 1 = n + λ n λ + 1 ,   Q λ 2 = 1 2 1 + λ + 1 λ + 1 3 ,   Q λ 3 = 1 8 5 + λ + 3 λ + 1 3 ,
Q λ 4 = 1 16 11 + λ + 3 λ + 1 3 + 2 λ + 1 4
Q λ 5 = 1 128 93 + 2 λ + 5 λ + 1 5 + 10 λ + 2 λ + 1 4 + 5 λ + 1 2
It is clearly seen that the site occupancy probabilities are functions of the inward flux and have an upper limit for the probability P λ k as λ . This follows, since Q λ k is a monotone decreasing function of λ for every k . It is readily seen that lim λ P λ 2 = 1 2 , lim λ P λ 3 = 3 8 , lim λ P λ 4 = 5 16 and lim λ P λ 5 = 35 128 . On the other hand, as λ becomes small and tends to zero, lim λ 0 P λ k = 0 for all k.
Studying the probabilities Q λ k as functions λ , we observe that direct substitution in Q λ k of λ = 1 and of λ in the first six sites, leads to an interesting relationship, as depicted in Table 2, namely lim λ P λ k + 1 = P 1 k , k 2 .
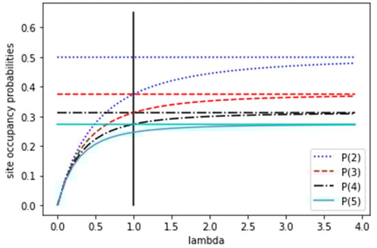
Figure 2 below depicts the behavior of P λ k (abbreviated P k ) as function of λ for k = 2 , 3 , 4 , 5 , and exhibits the corresponding upper bound.
The relation lim λ P λ k + 1 = P 1 k simplifies the calculation of P 1 k since it releases P λ k from its dependents on the inward flux. The implication of λ is that the first site is always occupied and allows the use of Theorem 2 to calculate P 1 k .
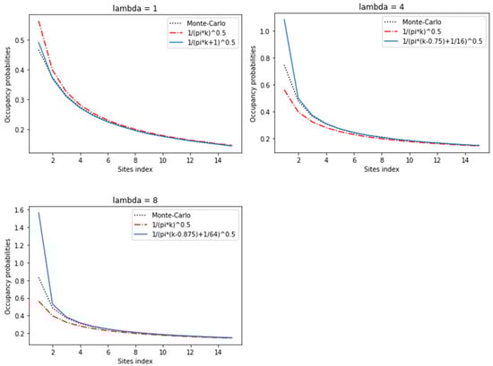
While it was demonstrated in [31] that 1 π k     is a good approximation for the site occupancy probabilities when the number of sites become large, independent of λ , Monte Carlo simulations show that for 0 < λ < 1 the occupancy probabilities graph fluctuates between 0 and 1 π k     . For λ > 1 and as λ tends to infinity, the occupancy graph sways away from 1 π k     .
Following extensive simulations of the G-ASIP model with varying arrival rates λ , we propose a refined and better approximation for P λ k , namely, P λ k 1 π k 1 1 λ + 1 λ 2     .
In the following set of results obtained using Monte Carlo simulations, we compare the two approximations for five different arrival rates λ . Figure 3 below shows that for arrival rates λ = 8 , λ = 4 , λ = 1 , λ = 1 2 and λ = 1 4 the simulated occupancy probabilities is better approximated by 1 π k 1 1 λ + 1 λ 2     rather than 1 π k     .
Figure 4 shows that the suggested approximation of P λ k is an increasing function of the variable λ as should be expected, and it is a decreasing function of the index k . It also shows, as its contours suggest, the very interesting property that P k + 1 = P 1 k . For example, when λ = 1 the probability that site k = 4 is occupied is P 1 4 = 35 128 0.273 , while the approximated value is 1 4 π + 1     0.2715 .
With a better approximation for P λ k , we now present a refined formula for the conditional mean occupancy of site k , namely,
E X k | I k = 1 λ π k 1 1 λ + 1 λ 2
Equation (10) in [31] claims that E X k | I k = 1 = E X k | X k   >   0 λ μ k π k , implying that, when μ k = 1 , E X k | I k = 1 = λ π k . However, Equation (10) infers that lim λ 0 E X k | X k > 0 = 0 , which cannot be true since the conditional mean occupancy of site k must satisfy E X k | I k = 1 1 for all λ > 0 . If the Poisson arrival rate is low, it should be expected that most sites will be vacant, and those who are occupied will be occupied by a single particle only. The limit lim λ 0 E X k | X k > 0 = 1 is to be expected. Namely, the limit lim λ 0 X k | I k = 1 = lim λ 0 λ P λ k = 1 should be obtained. This condition demands that for very small λ   λ 1 the occupancy probability function should satisfy P λ k ~ λ .
In conclusion, equipped with analytical calculations, as well as with Monte Carlo observations, we can claim that the function P λ k must satisfy:
  • P k + 1 = P 1 k .
  • lim λ 0 P λ k = λ .
  • P λ k decreases like k 0.5 .
Our suggested corrected two-variable site occupancy function approximation is
P λ k 1 π k 1 1 λ + 1 λ 2  
This approximation is also valid for smaller values of k and satisfies conditions 1, 2 and 3 above.
This leads to the corrected conditional mean occupancy
E X k | I k = 1 λ π k 1 1 λ + 1 λ 2

2.5. Site Occupancy Probabilities When Arrivals Occur to All Sites

Consider a 3-site G-ASIP where arrivals occur to all sites. The site occupancy probabilities are (the derivation is given in Appendix B).
P I 1 = 0 = p 1 1 p 2 + p 3 A ^ 0
P I 2 = 0 = p 1 2 p 2 A ^ 0 A ^ 0 , 0 1 p 1 + p 3 A ^ 0 , 0 1 p 2 + p 3 A ^ 0 1 p 3 A ^ 1 , 0 + p 2 1 p 3 A ^ 1 , 0
P I 3 = 0 = p 3 1 p 1 A ^ 1 , 1 , 0 + p 1 2 p 2 2 p 3 A ^ 0 A ^ 0 , 0 A ^ 0 , 0 , 0 A ^ 1 , 0 , 0 1 p 1 A ^ 1 , 1 , 0 1 p 2 A ^ 1 , 0 , 0 1 p 1 + p 2 A ^ 0 , 0 , 0 1 p 2 + p 3 A ^ 0 1 p 1 + p 3 A ^ 0 , 0 + p 2 A ^ 1 , 0 , 0 p 3 A ^ 1 , 0 p 1 2 p 2 A ^ 0 A ^ 0 , 0 1 p 1 + p 3 A ^ 0 , 0 1 p 2 + p 3 A ^ 0 1 p 3 A ^ 1 , 0 + p 2 1 p 3 A ^ 1 , 0 1 p 1 A ^ 1 , 1 , 0 1 p 2 A ^ 1 , 0 , 0
The construction of the set of equations for calculating site occupancy probabilities for a 4-site G-ASIP where arrivals occur to all sites are presented in Appendix C.

3. Site Occupancy PGF in a G-ASIP with Arrivals to All Sites: n = 3

As indicated in the introduction, the PGF of the joint probability mass function of the site occupancies of a G-ASIP network was calculated in [32] only for the case of n = 2 . In this section we extend the analysis and calculate the PGF for a 3-site G-ASIP. Arrivals occur at all sites Q 1 , Q 2 and Q 3 during the time between two successive gate openings with a general arrival process. In a steady state, let A j , j = 1 , 2 , 3 denote the number of arrivals to site Q j during an inter-gate opening interval and let A ^ z 1 , z 2 , z 3 = Ε z 1 A 1 z 2 A 2 z 3 A 3 denote the corresponding joint PGF. Let X j , j = 1 , 2 , 3 denote the number of particles (occupancy) in site j right after a gate opening, and let X j r denote the number of particles in Q j right after the r t h gate opening. Let A j r be the number of arrivals to site j during the interval between the r 1 t h and r t h gate openings. Let G z 1 , z 2 , z 3 = Ε z 1 X 1 z 2 X 2 z 3 X 3 , z j 1 be the PGF of the joint probability mass function of the sites’ occupancies at steady state.

3.1. Successive Substitutions

The laws of motion of an n-site G-ASIP were presented in Section 2.2. Substituting n = 3 yields
G z = p 1 A ^ z 1 G z 1 + p 2 A ^ z 2 G z 2 + p 3 A ^ z 3 G z 3
The PGF of the joint probability mass function of the site occupancies of a 3-site classical ASIP was calculated in [28] using a successive substitution method. The tedious successive substitution procedure to calculate G z 1 , z 2 , z 3 is detailed in Appendix D. The final result is:
G z 1 , z 2 , z 3 = p 1 A ^ z 2 , z 2 , z 3 p 1 2 p 2 2 p 3 A ^ z 3 , z 3 , z 3 A ^ z 3 , z 3 A ^ z 3 A ^ z 2 , z 3 , z 3 1 p 2 + p 3 A ^ z 3 1 p 1 + p 3 A ^ z 3 , z 3 1 p 1 + p 2 A ^ z 3 , z 3 , z 3 1 p 1 A ^ z 2 , z 2 , z 3 1 p 2 A ^ z 2 , z 3 , z 3 + p 1 2 p 2 2 p 3 A ^ z 2 , z 3 A ^ z 3 A ^ z 3 , z 3 A ^ z 2 , z 3 , z 3 1 p 1 + p 3 A ^ z 3 , z 3 1 p 2 + p 3 A ^ z 3 + p 1 p 2 2 p 3 A ^ z 2 , z 3 A ^ z 2 A ^ z 2 , z 3 , z 3 1 p 2 + p 3 A ^ z 2 1 p 1 A ^ z 2 , z 2 , z 3 1 p 2 A ^ z 2 , z 3 , z 3 1 p 3 A ^ z 2 , z 3 + p 1 p 2 p 3 A ^ z 2 , z 2 A ^ z 2 1 p 1 + p 3 A ^ z 2 , z 2 1 p 2 + p 3 A ^ z 2 1 p 1 A ^ z 2 , z 2 , z 3                                   + p 2 A ^ z 1 , z 3 , z 3 p 1 2 p 2 p 3 A ^ z 3 , z 3 , z 3 A ^ z 3 , z 3 A ^ z 3 1 p 1 + p 2 A ^ z 3 , z 3 , z 3 1 p 2 + p 3 A ^ z 3 1 p 1 + p 3 A ^ z 3 , z 3 1 p 2 A ^ z 1 , z 3 , z 3 + p 1 2 p 2 p 3 A ^ z 1 , z 3 A ^ z 3 A ^ z 3 , z 3 1 p 1 + p 3 A ^ z 3 , z 3 1 p 2 + p 3 A ^ z 3 + p 1 p 2 p 3 A ^ z 1 , z 3 A ^ z 1 1 p 2 + p 3 A ^ z 1 1 p 3 A ^ z 1 , z 3 1 p 2 A ^ z 1 , z 3 , z 3                                   + p 3 A ^ z 1 , z 2 p 1 2 p 2 A ^ z 2 A ^ z 2 , z 2 1 p 1 + p 3 A ^ z 2 , z 2 1 p 2 + p 3 A ^ z 2 + p 1 p 2 A ^ z 1 1 p 2 + p 3 A ^ z 1 1 p 3 A ^ z 1 , z 2

3.2. Matrix Representation

3.2.1. Linear Equations

We argue and show that the tedious successive substitution process used to derive the explicit solution of Equation (7), as depicted by the tree in Figure 2, can be modified and simplified with a formulated matrix representation approach leading to a set of linear equations,
Proposition 1.
There are 20 distinct variables G z i , z j , z k , 1 i j k 4 , z 4 : = 1 in Equation (6).
Proof. 
Consider the 3 variables z i , z j , z k , as well as the digit 1, such that 1 i j k 4 .
The number of vertices and leaves that exist in the set
G z i , z j , z k | 1 i j k 4 , z 4 : = 1
is equal to the number of ways one can create distinct 3-digit numbers from the digits 1 , 2 , 3 , 4 with repetition and in increasing order. There are D 4 , 3 = 4 1 + 3 4 1 = 6 3 = 20 possible ways. □
With a straightforward substitution in Equation (6), one can generate 20 linear equations of the variables G z i , z j , z k , 1 i j k 4 , z 4 : = 1 .
The solution derived from this set can then be substituted in Equation (6) to finalize the process.
Still, solving a 20 × 20 linear equations set can be tedious in itself. Thus, we take a step forward and present the following improving approach.
Proposition 2.
There are only 10 variables needed to derive G z i , z j , z k | 1 i j k 3 .
Proof. 
The number of vertices and leaves that exist in the set
G z i , z j , z k | 1 i j k 3
is equal to the number of ways one can create a 3-digit number from the digits 1 , 2 , 3 with repetition and in increasing order. There are D 3 , 3 = 5 2 = 10 possible ways. □

3.2.2. Solution

We bring to use Equation (6):
G z 1 , z 2 , z 3 = p 1 A ^ z 2 , z 2 , z 3 G z 2 , z 2 , z 3 + p 2 A ^ z 1 , z 3 , z 3 G z 1 , z 3 , z 3 + p 3 A ^ z 1 , z 2 G z 1 , z 2
and apply the following eight substitutions, which yield eight linear equations as follows:
z 2 = 1 , z 3 = 1                 G z 1 z 1 = z 2 , z 2 = 1 , z 3 = 1                 G z 2 z 2 = z 1 , z 3 = 1                 G z 1 , z 1 z 1 = z 2 , z 3 = 1                 G z 2 , z 2 z 3 = 1                                             G z 1 , z 2 z 2 = z 1 , z 3 = 1                 G z 1 , z 1 , z 2 z 3 = z 2                                             G z 1 , z 2 , z 2 z 1 = z 2 , z 3 = z 2                 G z 2 , z 2 , z 2
Consequently, we obtain the following set of eight linear equations:
G z 1 = p 1 + p 2 A ^ z 1 G z 1 + p 3 A ^ z 1 G z 1 G z 2 = p 1 + p 2 A ^ z 2 G z 2 + p 3 A ^ z 2 G z 2 G z 1 , z 1 = p 1 A ^ z 1 , z 1 G z 1 , z 1 + p 2 A ^ z 1 G z 1 + p 3 A ^ z 1 , z 1 G z 1 , z 1 G z 2 , z 2 = p 1 A ^ z 2 , z 2 G z 2 , z 2 + p 2 A ^ z 2 G z 2 + p 3 A ^ z 2 , z 2 G z 2 , z 2 G z 1 , z 2 = p 1 A ^ z 2 , z 2 G z 2 , z 2 + p 2 A ^ z 1 G z 1 + p 3 A ^ z 1 , z 2 G z 1 , z 2 G z 1 , z 1 , z 2 = p 1 A ^ z 1 , z 1 , z 2 G z 1 , z 1 , z 2 + p 2 A ^ z 1 , z 2 , z 2 G z 1 , z 2 , z 2 + p 3 A ^ z 1 , z 1 G z 1 , z 1 G z 1 , z 2 , z 2 = p 1 A ^ z 2 , z 2 , z 2 G z 2 , z 2 , z 2 + p 2 A ^ z 1 , z 2 , z 2 G z 1 , z 2 , z 2 + p 3 A ^ z 1 , z 2 G z 1 , z 2 G z 2 , z 2 , z 2 = p 1 A ^ z 2 , z 2 , z 2 G z 2 , z 2 , z 2 + p 2 A ^ z 2 , z 2 , z 2 G z 2 , z 2 , z 2 + p 3 A ^ z 2 , z 2 G z 2 , z 2
The latter set can be solved directly in a matrix form H g ¯ = p ¯ , where
H = 1 p 2 + p 3 A ^ z 1 0 0 0 0 0 0 0 0 1 p 2 + p 3 A ^ z 2 0 0 0 0 0 0 p 2 A ^ z 1 0 1 p 1 + p 3 A ^ z 1 , z 1 0 0 0 0 0 0 p 2 A ^ z 2 0 1 p 2 + p 3 A ^ z 2 , z 2 0 0 0 0 p 2 A ^ z 1 0 0 p 1 A ^ z 2 , z 2 1 p 3 A ^ z 1 , z 2 0 0 0 0 0 p 3 A ^ z 1 , z 1 0 0 1 p 1 A ^ z 1 , z 1 , z 2 p 2 A ^ z 1 , z 2 , z 2 0 0 0 0 0 p 3 A ^ z 1 , z 2 0 1 p 2 A ^ z 1 , z 2 , z 2 p 1 A ^ z 2 , z 2 , z 2 0 0 0 p 3 A ^ z 2 , z 2 0 0 0 1 p 1 + p 2 A ^ z 2 , z 2 , z 2
g ¯ = G z 1 G z 2 G z 1 , z 1 G z 2 , z 2 G z 1 , z 2 G z 1 , z 1 , z 2 G z 1 , z 2 , z 2 G z 2 , z 2 , z 2        and        p ¯ = p 1 p 1 0 0 0 0 0 0 .
In the Section 3.2.3, we further reduce the computational effort by splitting the 8 × 8 linear set into two subsets of order 2 × 2 and 3 × 3, respectively.

3.2.3. Matrix Representation Simplification

The 8 × 8 linear set constructed in Section 3.2.2 can further be contracted into two smaller systems of triangular matrices, one of order 2 × 2 the other of order 3 × 3.
G ( z ) is derived immediately from Equation (6)
G z = p 1 1 p 2 + p 3 A ^ z , z = z 1 , z 2 , z 3
G z 2 , z 2 and G z 1 , z 2 are obtained from
1 p 1 + p 3 A ^ z 2 , z 2 0 p 1 A ^ z 2 , z 2 1 p 3 A ^ z 1 , z 2 G z 2 , z 2 G z 1 , z 2 = p 2 A ^ z 2 G z 2 p 2 A ^ z 1 G z 1
Finally, G z 1 , z 1 , z 2 , G z 1 , z 2 , z 2 and G z 2 , z 2 , z 2 are calculated by
1 p 1 A ^ z 1 , z 1 , z 2 p 2 A ^ z 1 , z 2 , z 2 0 0 1 p 2 A ^ z 1 , z 2 , z 2 p 1 A ^ z 2 , z 2 , z 2 0 0 1 p 1 + p 2 A ^ z 2 , z 2 , z 2 G z 1 , z 1 , z 2 G z 1 , z 2 , z 2 G z 2 , z 2 , z 2 = p 3 A ^ z 1 , z 1 G z 1 , z 1 p 3 A ^ z 1 , z 2 G z 1 , z 2 p 3 A ^ z 2 , z 2 G z 2 , z 2
where G z 1 , z 1 is calculated in step 2 by substituting z 2 = z 1 in the variable G z 2 , z 2 .
Now, with an appropriate substitution in G z 1 , z 1 , z 2 , the PGF G z 2 , z 2 , z 3 is obtained. Similarly, G z 1 , z 3 , z 3 is obtained from G z 1 , z 2 , z 2 . Finally, by substituting the above as well as G z 1 , z 2 , in (6), the explicit solution given in Equation (7) is rederived.
Proposition 3.
Only eight variables are required to solve G z i , z j , z k | 1 i j k 3 .
Proof. 
Suppose one obtains an explicit formula for G z 1 , z 2 , z 2 . Then, by substituting z 2 = z 3 , G z 1 , z 3 , z 3 is obtained. Furthermore, by substituting z 1 = z 2 , the PGF G z 2 , z 2 , z 3 is given. Thus, for a complete solution, one needs only eight PGF variables, namely, G z 1 , G z 1 , z 1 , G z 1 , z 2 , G z 1 , z 1 , z 2 , G z 1 , z 2 , z 2 , G z 2 , z 2 , z 2 together with G z 2 and G z 2 , z 2 .
These eight variables in eight linear equations construct two distinct triangular linear sets of order 3 × 3 and 2 × 2, leading to a unique solution. □
To summarize, instead of originally having a 20 × 20 size linear system, one can solve the problem with only eight linear equations that can be further decomposed to smaller subsets.

3.2.4. Arrivals to the First Site Only and Gamma Distributions Inter-Gate Openings Times

In the special case that particles arrive to site Q 1 only, such that the PGF of the number of arrivals per gate opening is given by A ^ z 1 = A ^ z 1 , 1 , 1 , Equation (7) becomes simpler:
G z 1 , z 2 , z 3 = p 1 3 p 2 2 p 3 A ^ 3 z 3 A ^ 2 z 2 1 p 2 + p 3 A ^ z 3 1 p 1 + p 3 A ^ z 3 1 p 1 + p 2 A ^ z 3 + p 1 2 p 2 p 3 A ^ 3 z 2 1 p 3 A ^ z 2 p 1 p 2 A ^ 2 z 2 1 p 1 + p 3 A ^ z 2 1 p 2 + p 3 A ^ z 2 1 p 1 A ^ z 2 1 p 2 A ^ z 2 1 p 3 A ^ z 2 + p 1 2 p 2 2 p 3 A ^ 3 z 3 A z 1 1 p 2 + p 3 A ^ z 3 1 p 1 + p 3 A ^ z 3 1 p 1 + p 2 A ^ z 3 + p 1 p 2 2 p 3 A ^ 3 z 1 1 A ^ z 1 p 2 + p 3 1 p 2 A ^ z 1 1 p 3 A ^ z 1 + p 1 2 p 2 p 3 A ^ 2 z 2 A z 1 1 A ^ z 2 p 2 + p 3 1 A ^ z 2 p 1 + p 3 + p 1 p 2 p 3 A ^ 2 z 1 1 A ^ z 1 p 2 + p 3 1 p 3 A ^ z 1
We now calculate explicit results for the wide family of Gamma distributed inter-opening times.
The Family of Gamma Distributions as the Inter-Gate Openings Times
Suppose that the time O between two successive gate openings is Gamma distributed, Γ α , α μ , with density f t = e α μ t α μ α t α 1 Γ α and mean E O = α α μ = 1 μ . We assume that the arrival process during an inter-opening time interval is composed of three independent Poisson processes, each with intensity λ i to site i. Then, the PGF is given by A ^ z 1 , z 2 , z 3 = α μ α μ + i = 1 3 λ i 1 z i α .
Substituting the above in Equation (7) for the 20 possible values of A ^ z 1 , z 2 , z 3 leads to an explicit expression for the PGF G z 1 , z 2 , z 3 .
If particles arrive to site Q 1 only, then (denoting λ 1 = λ ), A ^ z = α μ α μ + λ 1 z α , so that
G z 1 , z 2 , z 3 = = p 1 3 p 2 2 p 3 α μ 3 α α μ + λ 1 z 3 3 α α μ + λ 1 z 2 α α μ α 1 p 2 + p 3 α μ α α μ + λ 1 z 3 α 1 p 1 + p 3 α μ α α μ + λ 1 z 3 α 1 p 1 + p 2 α μ α α μ + λ 1 z 3 α + p 1 2 p 2 p 3 1 p 3 α μ α α μ + λ 1 z 2 α p 1 p 2 α μ 2 α α μ + λ 1 z 2 2 α 1 p 1 + p 3 α μ α α μ + λ 1 z 2 α 1 p 2 + p 3 α μ α α μ + λ 1 z 2 α 1 + λ 1 z 2 α μ α p 1 1 + λ 1 z 2 α μ α p 2 1 + λ 1 z 2 α μ α p 3 + p 1 2 p 2 2 p 3 α μ 3 α α μ + λ 1 z 3 3 α 1 p 2 + p 3 α μ α α μ + λ 1 z 3 α 1 p 1 + p 3 α μ α α μ + λ 1 z 3 α 1 p 1 + p 2 α μ α α μ + λ 1 z 3 α + p 1 p 2 2 p 3 α μ 2 α α μ + λ 1 z 1 2 α 1 p 2 + p 3 α μ α α μ + λ 1 z 1 α α μ + λ 1 z 1 α α μ α p 2 1 p 3 α μ α α μ + λ 1 z 1 α + p 1 2 p 2 p 3 α μ 2 α α μ + λ 1 z 2 2 α 1 p 2 + p 3 α μ α α μ + λ 1 z 2 α 1 p 1 + p 3 α μ α α μ + λ 1 z 2 α + p 1 p 2 p 3 α μ α α μ + λ 1 z 1 α 1 p 2 + p 3 α μ α α μ + λ 1 z 1 α α μ + λ 1 z 1 α α μ α p 3
Note that Equation (9) generalizes the result obtained in [28] where A ^ z = μ μ + λ 1 z is the PGF of the Poisson λ number of arrivals to Q 1 during an Exponential inter-opening time with rate μ = μ 1 + μ 2 + μ 3 . In this case p i = μ i μ , so that p i A ^ z j = μ i μ + λ 1 z j . Similarly, setting α = 1 in (9) yields Equation (40) in [28].
Deterministic Inter-Opening Times
When α , the gates inter-opening time follows the Deterministic distribution. If arrivals occur to the first site only the PGF A ^ z = 1 + λ 1 z α μ α becomes A ^ z = e λ 1 z μ and Equation (9) becomes
G z 1 , z 2 , z 3 = = p 1 3 p 2 2 p 3 e λ 1 z 2 μ e λ 1 z 3 μ p 2 + p 3 e λ 1 z 3 μ p 1 + p 3 e λ 1 z 3 μ p 1 + p 2 + p 1 2 p 2 p 3 e 2 λ 1 z 2 μ p 3 p 1 p 2 e λ 1 z 2 μ p 1 + p 3 e λ 1 z 2 μ p 2 + p 3 e λ 1 z 2 μ p 1 e λ 1 z 2 μ p 2 e λ 1 z 2 μ p 3                     + p 1 2 p 2 2 p 3 e λ 1 z 1 μ e λ 1 z 3 μ p 2 + p 3 e λ 1 z 3 μ p 1 + p 3 e λ 1 z 3 μ p 1 + p 2 + p 1 p 2 2 p 3 e λ 1 z 1 μ p 2 + p 3 e λ 1 z 1 μ p 2 e λ 1 z 1 μ p 3                       + p 1 2 p 2 p 3 e λ 1 z 2 μ p 2 + p 3 e λ 1 z 2 μ p 1 + p 3 + p 1 p 2 p 3 e λ 1 z 1 μ p 2 + p 3 e λ 1 z 1 μ p 3

4. Site Occupancy PGF in a G-ASIP: n = 4

In this section, we apply the matrix approach introduced and utilized in Section 3 to derive the PGF of a 4-site G-ASIP. A general arrival process occurs at all sites Q 1 , Q 2 , Q 3 and Q 4 during the time between two successive gate openings where A ^ z 1 , z 2 , z 3 , z 4 is the PGF of the number of arrivals to the sites. All other model assumptions are similar to those in Section 3. G z 1 , z 2 , z 3 , z 4 = Ε z 1 X 1 z 2 X 2 z 3 X 3 z 4 X 4 , z i 1 is the PGF of the site occupancies.
In what follows, we derive an explicit solution for the PGF G z 1 , z 2 , z 3 , z 4 .

4.1. Derivation

The multidimensional law of motion yields
If gate 1 opens at step r + 1 :
X 1 r + 1 = 0 , X 2 r + 1 = X 1 r + A 1 r + 1 + X 2 r + A 2 r + 1 , X 3 r + 1 = X 3 r + A 3 r + 1 , X 4 r + 1 = X 4 r + A 4 r + 1
If gate 2 opens at step r + 1 :
X 1 r + 1 = X 1 r + A 1 r + 1 , X 2 r + 1 = 0 , X 3 r + 1 = X 3 r + A 3 r + 1 + X 2 r + A 2 r + 1 , X 4 r + 1 = X 4 r + A 4 r + 1
If gate 3 opens at step r + 1 :
X 1 r + 1 = X 1 r + A 1 r + 1 , X 2 r + 1 = X 2 r + A 2 r + 1 , X 3 r + 1 = 0 , X 4 r + 1 = X 3 r + A 3 r + 1 + X 4 r + A 4 r + 1
If gate 4 opens at step r + 1 :
X 1 r + 1 = X 1 r + A 1 r + 1 , X 2 r + 1 = X 2 r + A 2 r + 1 , X 3 r + 1 = X 3 r + A 3 r + 1 , X 4 r + 1 = 0
In steady state we have:
G z 1 , z 2 , z 3 , z 4 = Ε z 1 X 1 z 2 X 2 z 3 X 3 z 4 X 4                               = p 1 Ε z 1 0 z 2 X 1 + X 2 + A 1 + A 2 z 3 X 3 + A 3 z 4 X 4 + A 4 + p 2 Ε z 1 X 1 + A 1 z 2 0 z 3 X 2 + A 2 + X 3 + A 3 z 4 X 4 + A 4 =                                       + p 3 Ε z 1 X 1 + A 1 z 2 X 2 + A 2 z 3 0 z 4 X 3 + A 3 + X 4 + A 4 + p 4 Ε z 1 X 1 + A 1 z 2 X 2 + A 2 z 3 X 3 + A 3 z 4 0                               = p 1 A ^ z 2 , z 2 , z 3 , z 4 G z 2 , z 2 , z 3 , z 4 + p 2 A ^ z 1 , z 3 , z 3 , z 4 G z 1 , z 3 , z 3 , z 4                                       + p 3 A ^ z 1 , z 2 , z 4 , z 4 G z 1 , z 2 , z 4 , z 4 + p 4 A ^ z 1 , z 2 , z 3 G z 1 , z 2 , z 3
That is,
G z 1 , z 2 , z 3 , z 4 = p 1 A ^ z 2 , z 2 , z 3 , z 4 G z 2 , z 2 , z 3 , z 4 + p 2 A ^ z 1 , z 3 , z 3 , z 4 G z 1 , z 3 , z 3 , z 4                                   + p 3 A ^ z 1 , z 2 , z 4 , z 4 G z 1 , z 2 , z 4 , z 4 + p 4 A ^ z 1 , z 2 , z 3 G z 1 , z 2 , z 3
As indicated, one can tediously apply a successive substitutions approach. Instead, we use the concise matrix representation approach developed in Section 3.2.3.

4.2. Direct Matrix Solution

Following the approach of Proposition 1 (for n = 3 system), when n = 4 the site occupancies PGF can be constructed from Equation (11) by solving a 70 × 70 linear system D 5 , 4 = 8 4 = 70 , or more efficiently, following Proposition 2, with a 35 × 35 linear system D 4 , 4 = 7 3 = 35 . The 5-steps substitutions are described in Appendix E and yield the following sets
G z is derived immediately from Equation (11)
G z = p 1 1 p 2 + p 3 + p 4 A ^ z
G z 2 , z 2 and G z 1 , z 2 are obtained from
1 p 3 + p 4 A ^ z 1 , z 2 p 1 A ^ z 2 , z 2 0 1 p 1 + p 3 + p 4 A ^ z 2 , z 2 G z 1 , z 2 G z 2 , z 2 = p 2 A ^ z 1 G z 1 p 2 A ^ z 2 G z 2
G z 1 , z 1 , z 2 , G z 1 , z 2 , z 2 and G z 2 , z 2 , z 2 are calculated from
1 p 1 + p 4 A ^ z 1 , z 1 , z 2 p 2 A ^ z 1 , z 2 , z 2 0 0 1 p 2 + p 4 A ^ z 1 , z 2 , z 2 p 1 A ^ z 2 , z 2 , z 2 0 0 1 p 1 + p 2 + p 4 A ^ z 2 , z 2 , z 2 G z 1 , z 1 , z 2 G z 1 , z 2 , z 2 G z 2 , z 2 , z 2 = p 3 A ^ z 1 , z 1 G z 1 , z 1 p 3 A ^ z 1 , z 2 G z 1 , z 2 p 3 A ^ z 2 , z 2 G z 2 , z 2
From the fourth step in Appendix E we obtain:
1 p 1 + p 2 A ^ z 1 , z 1 , z 1 , z 2 p 3 A ^ z 1 , z 1 , z 2 , z 2 0 0 0 1 p 1 + p 3 A ^ z 1 , z 1 , z 2 , z 2 p 2 A ^ z 1 , z 2 , z 2 , z 2 0 0 0 1 p 2 + p 3 A ^ z 1 , z 2 , z 2 , z 2 p 1 A ^ z 2 , z 2 , z 2 , z 2 1 p 1 + p 2 + p 3 A ^ z 2 , z 2 , z 2 , z 2 G z 1 , z 1 , z 1 , z 2 G z 1 , z 1 , z 2 , z 2 G z 1 , z 2 , z 2 , z 2 G z 2 , z 2 , z 2 , z 2 = p 4 A ^ z 1 , z 1 , z 1 G z 1 , z 1 , z 1 p 4 A ^ z 1 , z 1 , z 2 G z 1 , z 1 , z 2 p 4 A ^ z 1 , z 2 , z 2 G z 1 , z 2 , z 2 p 4 A ^ z 2 , z 2 , z 2 G z 2 , z 2 , z 2
The last set gives
1 p 1 A ^ z 1 , z 1 , z 2 , z 3 0 0 0 1 p 2 A ^ z 1 , z 2 , z 2 , z 3 p 3 A ^ z 1 , z 2 , z 3 , z 3 0 0 1 p 3 A ^ z 1 , z 2 , z 3 , z 3 G z 1 , z 1 , z 2 , z 3 G z 1 , z 2 , z 2 , z 3 G z 1 , z 2 , z 3 , z 3 = p 2 A ^ z 1 , z 2 , z 2 , z 2 G z 1 , z 2 , z 2 , z 2 + p 3 A ^ z 1 , z 1 , z 3 , z 3 G z 1 , z 1 , z 3 , z 3 + p 4 A ^ z 1 , z 1 , z 2 G z 1 , z 1 , z 2 p 1 A ^ z 2 , z 2 , z 2 , z 3 G z 2 , z 2 , z 2 , z 3 + p 4 A ^ z 1 , z 2 , z 2 G z 1 , z 2 , z 2 p 1 A ^ z 2 , z 2 , z 3 , z 3 G z 2 , z 2 , z 3 , z 3 + p 2 A ^ z 1 , z 3 , z 3 , z 3 G z 1 , z 3 , z 3 , z 3 + p 4 A ^ z 1 , z 2 , z 3 G z 1 , z 2 , z 3
By substituting the PGFs G z 2 , z 2 , z 3 , z 4 , G z 1 , z 3 , z 3 , z 4 , G z 1 , z 2 , z 4 , z 4 and G z 1 , z 2 , z 3 in Equation (11), the required site occupancies PGF G z 1 , z 2 , z 3 , z 4 is obtained.

5. Matrix Representation for an n-Site System

5.1. Computational Effort

Proposition 4.
The G-ASIP model of n queues with arrivals at all sites can be solved by a linear system of size D n + 1 , n = 2 n n .
Proof. 
The set G z i 1 , z i 2 , z i 3 , , z i n | 1 i 1 i 2 i n n + 1 , z i n + 1 : = 1 contains all vertices and leaves representing a G-ASIP model with n sites. With appropriate substitutions of the equation derived from the laws of motion, one can create a set of D n + 1 , n = 2 n n linear equations with the same number of variables leading to a unique solution. This follows, since the number of variables in the set G z i 1 , z i 2 , z i 3 , , z i n | 1 i 1 i 2 i n n + 1 , z i n + 1 : = 1 is equal to the amount of numbers one can create using the digits i 1 , i 2 , , i n in a non-decreasing order with repetition. □
Proposition 5.
The above G-ASIP model can be solved by a linear system of half the size, namely, with size D n , n = 2 n 1 n .
Proof. 
The set G z i 1 , z i 2 , z i 3 , , z i n | 1 i 1 i 2 i n n contains all vertices and leaves representing a G-ASIP model with n sites except for variables that contain z = 1 . Once the latter system is solved with its D n , n variables, the digit 1 can be substituted as z i k = 1 to achieve all remaining needed vertices. Since D n , n = 1 2 D n + 1 , n , only half of the variables are required. □
Let us denote the PGF G i 1 , i 2 , , i k n z 1 , , z 1 i 1 , z 2 , , z 2 i 2 , , z k , , z k i k where i j denotes the number of z j element repetitions in G i 1 , i 2 , , i k n , such that j = 1 k i j = n .
Lemma 1.
For a given k there are n 1 k 1 PGFs variables
G i 1 , i 2 , , i k n z 1 , , z 1 i 1 , z 2 , , z 2 i 2 , , z k , , z k i k
Proof. 
The number of PGFs G i 1 , i 2 , , i k n where i j denotes the number of z j element repetitions such that j = 1 k i j = n , is equal to the number of n-digit numbers produced by the k digits 1 , 2 , , k   k n in an increasing order, where all digits are used at least once. It is equal to the number of combinations to distribute n k identical elements in k cells, being equal to D k , n k = k 1 + n k k 1 = n 1 k 1 . □
Lemma 2.
There is a total of 2 n 1 1 PGFs distinct variables
G i 1 , i 2 , , i k n z 1 , , z 1 i 1 , z 2 , , z 2 i 2 , , z k , , z k i k .
Proof. 
According to Lemma 1, there are n 1 k 1 PGFs G i 1 , i 2 , , i k n variables. Summing over all k = 1 , , n 1 , yields, k = 1 n 1 n 1 k 1 = 2 n 1 1 . □
Proposition 6.
The n-site G-ASIP can be solved by a set of 2 n n + 1 linear equations, which can be decomposed into n 1 subsystems, each of 2 k 1 1 linear equations, k = 1 , 2 , , n .
Proof. 
The set of variables needed to retrieve G z 1 , z 2 , , z n is G i 1 , i 2 , , i k j z 1 , , z 1 i 1 , z 2 , , z 2 i 2 , , z k , , z k i k | 1 i 1 i 2 i k j , 1 j n . This set can be decomposed into the disjoint union j = 1 n G i 1 , i 2 , , i k j | 1 i 1 i 2 i k j , 1 j n .
Using the disjoint property,
j = 1 n G i 1 , i 2 , , i k j | 1 i 1 i 2 i k j , 1 j n = j = 1 n G i 1 , i 2 , , i k j | 1 i 1 i 2 i k j , 1 j n
According to Lemma 2, the number of distinct variables in G i 1 , i 2 , , i k j z 1 , , z 1 i 1 , z 2 , , z 2 i 2 , , z k , , z k i k | 1 i 1 i 2 i k j , 1 j n is 2 j 1 1 .
Hence, j = 1 n 2 j 1 1 = 2 n 1 n = 2 n n + 1 . □

5.2. The Effort Required to Move from a Solution of an n-Site Network to a Solution of an (n + 1)-Site Network

In previous sections, we developed a procedure describing how to derive a solution for the site occupancies PGF in the G-ASIP networks with n sites. Specifically, we first showed that its solution requires a set of 2 n n equations, and then the cut of the number of equations in half to 2 n 1 n . It was further shown that the latter set can be reduced to a set of 2 n n + 1 equations.
For example, the site occupancies PGF of the n = 3 site G-ASIP could be obtained by a 20 × 20 system D 4 , 3 = 6 3 = 20 , according to Proposition 4. Then, according to Proposition 5, the system can be reduced and solved by a 10 × 10 system D 3 , 3 = 5 3 = 10 . Furthermore, the system was solved in Section 3.2.3 by as little as two subsystems of sizes 2 × 2 and 3 × 3 only.
Similarly, to obtain the site occupancies PGF for the n = 4 site G-ASIP, instead of solving a 70 × 70 system D 5 , 4 = 8 4 = 70 , according to Proposition 4, or a 35 × 35 system D 7 , 4 = 7 4 = 35 according to Proposition 5, the PGF can be obtained with as few as 3 systems of order 2 × 2 , 3 × 3 , and 7 × 7 only, as shown in Section 4.2. Furthermore, the latter 7 × 7 system is decomposed into two subsystems of order 4 × 4 and 3 × 3 .
We now present a scheme showing how to expand the solution of the n-site G-ASIP into an (n + 1)-site network.
Proposition 7.
Given the sites occupancies PGF G z 1 , z 2 , , z n of an n-site G-ASIP, one can expand the solution to an (n + 1)-site network with a system of 2 n 1 linear equations.
Proof. 
Denoting by G z 1 , z 2 , , z n + 1 the sites occupancies PGF of the (n + 1)-site network. As seen in Proposition 3, the set of variables needed to retrieve G z 1 , z 2 , , z n + 1 is G z i 1 , z i 2 , z i 3 , , z i n + 1 | 1 i 1 i 2 i n + 1 n + 1 . With G z 1 , z 2 , , z n given, one needs only the reduced set G i 1 , i 2 , , i k n + 1 z 1 , , z 1 i 1 , z 2 , , z 2 i 2 , , z k , , z k i k | 1 i 1 i 2 i n + 1 n + 1 . According to Lemma 2, there are only 2 n 1 such distinct variables. □
The site occupancies PGF of the n = 5 site G-ASIP can be obtained by a 252 × 252 system D 6 , 5 = 10 5 = 252 according to Proposition 4. However, given G z 1 , z 2 , z 3 , z 4 the site occupancies PGF of the 4-site G-ASIP, one can expand it to the n = 5 sites with as little as 2 4 1 = 15 additional equations, according to Proposition 7.

6. Mean Site Occupancies

6.1. Mean Site Occupancies in a G-ASIP with n = 3 Sites

Focusing on mean site occupancies, one can take a direct approach while using the occupancies laws of motion from Section 3.1:
If gate 1 opens at step r + 1 :
X 1 r + 1 = 0 , X 2 r + 1 = X 1 r + A 1 r + 1 + X 2 r + A 2 r + 1 , X 3 r + 1 = X 3 r + A 3 r + 1
If gate 2 opens at step r + 1 :
X 1 r + 1 = X 1 r + A 1 r + 1 , X 2 r + 1 = 0 , X 3 r + 1 = X 2 r + A 2 r + 1 + X 3 r + A 3 r + 1
If gate 3 opens at step r + 1 :
X 1 r + 1 = X 1 r + A 1 r + 1 , X 2 r + 1 = X 2 r + A 2 r + 1 , X 3 r + 1 = 0
Thus, the mean number of particles in site Q 1 is given by:
E X 1 = p 2 E X 1 + E A 1 + p 3 E X 1 + E A 1 = p 2 + p 3 E X 1 + p 2 + p 3 E A 1
Simplification yields,
p 1 E X 1 = 1 p 1 E A 1
Thus,
E X 1 = 1 p 1 E A 1 E A 1
Next,
E X 2 = p 1 E X 1 + E A 1 + E X 2 + E A 2 + p 3 E X 2 + E A 2             = p 1 E X 1 + E A 1 + p 1 + p 3 E X 2 + p 1 + p 3 E A 2 ,
which leads to,
p 2 E X 2 = p 1 E X 1 + E A 1 + p 1 + p 3 E A 2
Substituting (17) in (18) yields,
p 2 E X 2 = p 1 1 p 1 p 1 E A 1 + E A 1 + p 1 + p 3 E A 2 = E A 1 + p 1 + p 3 E A 2
resulting in
E X 2 = 1 p 2 j = 1 2 E A j E A 2
Similarly, considering site Q 3 :
E X 3 = p 1 E X 3 + E A 3 + p 2 E X 2 + E A 2 + E X 3 + E A 3           = p 1 + p 2 E X 3 + p 1 + p 2 E A 3 + p 2 E X 2 + E A 2
p 3 E X 3 = p 1 + p 2 E A 3 + p 2 E X 2 + E A 2
Substituting (17) in (18) yields
p 3 E X 3 = p 1 + p 2 E A 3 + p 2 1 p 2 E A 1 + 1 p 2 E A 2 + E A 2 = p 1 + p 2 E A 3 + E A 1 + E A 2
Therefore,
E X 3 = 1 p 3 E A 1 + E A 2 + 1 p 3 E A 3 = 1 p 3 j = 1 3 E A j E A 3

6.2. Mean Site Occupancies in an n-Site G-ASIP

Expanding the solution of Section 6.1 to the non-homogeneous n-site G-ASIP we get
E X 1 = 1 p 1 E A 1 E A 1
E X k = 1 p k j = 1 k E A j E A k , k = 1 , , n
The mean site occupancies of the n-site classical ASIP was analyzed in [28], where arrivals occur only to Q 1 with Poisson rate λ , and each gate k opens independently of other gates following an Exponential distribution with mean 1 μ k . It was shown that under stationary conditions E X k = λ μ k ,   k = 1 , , n . Our general model can be compared to the above model by substituting p k = μ k μ , E A 1 = λ μ while for k = 2 , , n , E A k = 0 , where μ = k = 1 n μ k . Equations (19) and (20) become, respectively,
E X 1 = λ μ 1 1 μ 1 μ
E X k = λ μ k , k = 2 , , n
Note that X k is defined to be the number of particles in site Q k right after a gate opening instant. As such, the mean E X k is also calculated right after gate openings. An important observation is that, when arrivals occur only to Q 1 , the number of particles present in each site Q k ,   k = 2 , , n stays constant between instants of gate openings. Thus, taking expectation right after a gate opening or any other time between gate openings yields the same result. Hence, (22) coincides with Equation (16) in [28]. However, in site Q 1 , since Poisson arrivals occur continuously in between gate openings, the mean E X 1 is affected by the sampling instant. While the mean site occupancies in [28] was taken uniformly over time, in the general G-ASIP the mean is taken right after gate openings, which leads us to expect a smaller term for this mean, as obtained in (21).
Consider now the case where the arriving particles are spread uniformly between the n sites such that E A k = λ n μ , for all k . Gate opening probabilities are as before, p k = μ k μ . Then, (20) becomes,
E X k = 1 p k j = 1 k E A j E A k = μ μ k j = 1 k λ μ n λ μ n = μ μ k λ k μ n λ μ n = λ k μ k n λ μ n = λ n μ k k μ k μ
for all k = 1 , , n .
If μ k = μ 1 , μ = n μ 1 for all k, then
E X k = λ n μ 1 k μ 1 μ = λ μ k 1 n ,   k = 1 , , n
Notice that the mean difference in occupancy between two consecutive sites, right after gate opening, yields,
E X k + 1 E X k = λ μ k + 1 1 n λ μ k 1 n = λ μ
That is, the mean difference is constant and equals λ μ , which is the mean total number of arrivals to the entire system between two gate openings.
The mean load of the first k sites can now be calculated as follows:
Denote by X k = j = 1 k X j the total load of the first k sites, i.e., the total number of particles in the first k sites right after gate openings. Equation (24) becomes,
E X k = E m = 1 k X m = m = 1 k E X m = m = 1 k 1 p m j = 1 m E A j E A m
E X k = E m = 1 k X m = m = 1 k E X m = m = 1 k 1 p m j = 1 m E A j E A m
Substituting in Equation (24), p k = μ k μ , E A 1 = λ μ and E A k = 0 , k = 2 , , n , where μ = k = 1 n μ k , leads to
E X k = m = 1 k 1 p m E A 1 E A m = m = 1 k 1 p m E A 1 E A 1 = m = 1 k μ μ k λ μ λ μ = m = 1 k λ μ k λ μ
whereas the result in [28] is E X k = m = 1 k λ μ k . The difference of λ μ between the two results is due to the same reason explained above, which is the instant in which the system is observed.
Since E X k + 1 E X k = λ μ , the load of the first k sites is
E X k = j = 1 k E X j = j = 1 k E X 1 + j λ μ = k E X 1 + λ k k 1 2 μ = λ k μ 1 1 n + λ k k 1 2 μ = λ k μ k + 1 2 1 n
while the load of the entire system is
E X n = λ n + 2 n 1 2 μ

7. Conclusions

An innovative matrix approach to derive the multidimensional probability-generating function (PGF) of the site occupancies in a generalized n-site ASIP network (G-ASIP) with arrivals to all sites is developed. The family Γ α , α μ of Gamma distributed inter-gate opening instants is analyzed and its extreme cases, Exponential ( α = 1 ), and Deterministic ( α ), are further investigated. It is then shown how the matrix approach considerably reduces the required computational effort to obtain the occupancy PGF. Explicit results for the cases n = 3 and n = 4 sites are derived. Furthermore, a procedure to move from a PGF of an n-site network to the PGF of an (n + 1)-site network is constructed. It is shown that the probability that site k is occupied is a function of both the site’s index and the arrival flux and not solely of the site’s index, which leads to refined formulae for the probability that site k is occupied and for its conditional mean site’s occupancy. Consequently, it is shown that, in the case where the arrival process to the first site is Poisson with rate λ , the following interesting property holds: P s i t e   k   i s   o c c u p i e d   |   λ = 1 = P s i t e   k + 1   i s   o c c u p i e d   |   λ . The results are enhanced by numerical calculations exhibited in graphs.

Author Contributions

Conceptualization, U.Y.; formal analysis, Y.Y. and U.Y.; investigation, Y.Y. and U.Y.; writing—original draft, Y.Y.; writing—review and editing, Y.Y. and U.Y. All authors have read and agreed to the published version of the manuscript.

Funding

This research received no external funding.

Data Availability Statement

Not applicable.

Conflicts of Interest

The authors declare no conflict of interest.

Abbreviations

TSSTandem Stochastic System
TJNTandem Jackson Network
ASEPAsymmetric Simple Exclusion Process
ASIPAsymmetric Simple Inclusion Process
G-ASIPGeneralized Asymmetric Simple Inclusion Process
PGFProbability-generating Function

Appendix A. Occupancy Probabilities of the First Five Sites

Direct calculation from Theorem 1 yields the following occupancy probabilities of the first five sites:
Q λ 1 = n + λ n λ + 1
Q λ 2 = 1 2 1 + n 2 n λ + n 2 = 1 2 1 + λ + 1 λ + 1 3
Q λ 3 = 1 8 2 1 n λ + n λ + 1 2 0 0 0 1 n λ + n λ + 1 0 0 2 λ + 1 1 1 n + λ n λ + 1 = 1 8 5 + λ + 3 λ + 1 3
Q λ 4 = 1 64 4 2 1 n λ + n λ + 1 4 0 0 0 0 2 1 n λ + n λ + 1 0 0 2 2 n λ + n λ + 1 0 0 0 4 λ + 1 2 0 0 0 0 2 0 0 0 0 1 n λ + n λ + 1 0 0 0 2 λ + 1 1 1 1 n + λ n λ + 1           = 1 16 11 + λ 2 + 4 λ + 5 λ + 1 4 = 1 16 11 + λ + 3 λ + 1 3 + 2 λ + 1 4
Q λ 5 = 1 128 93 + 5 λ 3 + 25 λ 2 + 47 λ + 35 λ + 1 5 = 1 128 93 + 2 λ + 5 λ + 1 5 + 10 λ + 2 λ + 1 4 + 5 λ + 1 2

Appendix B. Site Occupancy Probabilities of a 3-Site G-ASIP

With proper substitutions in the matrix system in Section 3.2.3 we get
G 0 = P I 1 = 0 = p 1 1 p 2 + p 3 A ^ 0
1 p 3 A ^ 1 , 0 p 1 A ^ 0 , 0 0 1 p 1 + p 3 A ^ 0 , 0 G 1 , 0 G 0 , 0 = p 2 p 2 A ^ 0 G 0
and
1 p 1 A ^ 1 , 1 , 0 p 2 A ^ 1 , 0 , 0 0 0 1 p 2 A ^ 1 , 0 , 0 p 1 A ^ 0 , 0 , 0 0 0 1 p 1 + p 2 A ^ 0 , 0 , 0 G 1 , 1 , 0 G 1 , 0 , 0 G 0 , 0 , 0 = p 3 p 3 A ^ 1 , 0 G 1 , 0 p 3 A ^ 0 , 0 G 0 , 0
Solving the set (A2) gives
G 0 , 0 G 1 , 0 = 1 1 p 1 + p 3 A ^ 0 , 0 1 p 3 A ^ 1 , 0 1 p 3 A ^ 1 , 0 0 p 1 A ^ 0 , 0 1 p 1 + p 3 A ^ 0 , 0 p 2 A ^ 0 G 0 p 2
Substituting (A1) in (A4) gives
G 0 , 0 = p 1 p 2 A ^ 0 1 p 2 + p 3 A ^ 0 1 p 1 + p 3 A ^ 0 , 0
G 1 , 0 = P I 2 = 0 = p 1 2 p 2 A ^ 0 A ^ 0 , 0 1 p 1 + p 3 A ^ 0 , 0 1 p 2 + p 3 A ^ 0 1 p 3 A ^ 1 , 0 + p 2 1 p 3 A ^ 1 , 0
Solving the set (A3) leads to
G 1 , 1 , 0 G 1 , 0 , 0 G 0 , 0 , 0 = 1 1 p 1 A ^ 1 , 1 , 0 p 2 A ^ 1 , 0 , 0 1 p 1 A ^ 1 , 1 , 0 1 p 2 A ^ 1 , 0 , 0 p 1 p 2 A ^ 0 , 0 , 0 A ^ 1 , 0 , 0 1 p 1 A ^ 1 , 1 , 0 1 p 2 A ^ 1 , 0 , 0 1 p 1 + p 2 A ^ 0 , 0 , 0 0 1 1 p 2 A ^ 1 , 0 , 0 p 1 A ^ 0 , 0 , 0 1 p 2 A ^ 1 , 0 , 0 1 p 1 + p 2 A ^ 0 , 0 , 0 0 0 1 1 p 1 + p 2 A ^ 0 , 0 , 0 p 3 p 3 A ^ 1 , 0 G 1 , 0 p 3 A ^ 0 , 0 G 0 , 0
which gives
G 1 , 1 , 0 = P I 3 = 0 = p 3 1 p 1 A ^ 1 , 1 , 0 + p 2 A ^ 1 , 0 , 0 p 3 A ^ 1 , 0 G 1 , 0 1 p 1 A ^ 1 , 1 , 0 1 p 2 A ^ 1 , 0 , 0 + p 1 p 2 p 3 A ^ 0 , 0 A ^ 0 , 0 , 0 A ^ 1 , 0 , 0 G 0 , 0 1 p 1 A ^ 1 , 1 , 0 1 p 2 A ^ 1 , 0 , 0 1 p 1 + p 2 A ^ 0 , 0 , 0 .

Appendix C. Site Occupancy Probabilities of a 4-Site G-ASIP

The following 4 substitutions in the sets presented in Section 3.2 yield the site occupancy probabilities of a G-ASIP where arrivals occur to all sites.
Substituting z = 0 in Equation (7) gives
G 0 = P I 1 = 0 = p 1 1 p 2 + p 3 + p 4 A ^ 0
Substituting z 1 = 1 and z 2 = 0 in Equation (8) yields
1 p 3 + p 4 A ^ 1 , 0 p 1 A ^ 0 , 0 0 1 p 1 + p 3 + p 4 A ^ 0 , 0 G 1 , 0 G 0 , 0 = p 2 p 2 A ^ 0 G 0
Substituting z 1 = 1 and z 2 = 0 in Equation (9) leads to
1 p 1 + p 4 A ^ 1 , 1 , 0 p 2 A ^ 1 , 0 , 0 0 0 1 p 2 + p 4 A ^ 1 , 0 , 0 p 1 A ^ 0 , 0 , 0 0 0 1 p 1 + p 2 + p 4 A ^ 0 , 0 , 0 G 1 , 1 , 0 G 1 , 0 , 0 G 0 , 0 , 0 = p 3 p 3 A ^ 1 , 0 G 1 , 0 p 3 A ^ 0 , 0 G 0 , 0
Substituting z 1 = 1 and z 2 = 0 in Equation (10) gives
1 p 1 + p 2 A ^ 1 , 1 , 1 , 0 p 3 A ^ 1 , 1 , 0 , 0 0 0 0 1 p 1 + p 3 A ^ 1 , 1 , 0 , 0 p 2 A ^ 1 , 0 , 0 , 0 0 0 0 1 p 2 + p 3 A ^ 1 , 0 , 0 , 0 p 1 A ^ 0 , 0 , 0 , 0 0 0 0 1 p 1 + p 2 + p 3 A ^ 0 , 0 , 0 , 0 G 1 , 1 , 1 , 0 G 1 , 1 , 0 , 0 G 1 , 0 , 0 , 0 G 0 , 0 , 0 , 0 = p 4 p 4 A ^ 1 , 1 , 0 G 1 , 1 , 0 p 4 A ^ 1 , 0 , 0 G 1 , 0 , 0 p 4 A ^ 0 , 0 , 0 G 0 , 0 , 0
Solving the sets above leads to the explicit expressions of the site occupancy probabilities in a 4-site G-ASIP.

Appendix D. Derivation of G z 1 , z 2 , z 3

The successive substitution procedure to calculate G z 1 , z 2 , z 3 is detailed below.
The procedure is to iterate Equation (6) repeatedly, in a branching tree structure, until reaching the leaves G 1 , 1 , 1 = 1 . Then, the tree is folded back, yielding the value of the root G z 1 , z 2 , z 3 . See also [28].
Figure A1 illustrates the iterative solution when n = 3 , following Equation (6).
Figure A1. Tree representation of the solution procedure for G z 1 , z 2 , z 3 .
Figure A1. Tree representation of the solution procedure for G z 1 , z 2 , z 3 .
Mathematics 10 04624 g0a1
Since there are various leaves that repeat themselves in Figure A1, one can shrink Figure A1 into Figure A2 below:
Figure A2. A reduced representation of Figure A1.
Figure A2. A reduced representation of Figure A1.
Mathematics 10 04624 g0a2
Starting with the term G z 1 , z 2 , 1 and substituting z 3 = 1 in Equation (6) results in
G z 1 , z 2 , 1 = p 1 A ^ z 2 , z 2 , 1 G z 2 , z 2 , 1 + p 2 A ^ z 1 , 1 , 1 G z 1 , 1 , 1 + p 3 A ^ z 1 , z 2 , 1 G z 1 , z 2 , 1
Hence,
G z 1 , z 2 , 1 = p 1 A ^ z 2 , z 2 , 1 G z 2 , z 2 , 1 + p 2 A ^ z 1 , 1 , 1 G z 1 , 1 , 1 1 p 3 A ^ z 1 , z 2 , 1
Substituting z 2 = 1 in Equation (A6) leads to
G z 1 , 1 , 1 = p 1 1 p 2 + p 3 A ^ z 1 , 1 , 1
Substituting (A7) in (A6) yields
G z 1 , z 2 , 1 = p 1 A ^ z 2 , z 2 , 1 G z 2 , z 2 , 1 + p 2 A ^ z 1 , 1 , 1 p 1 1 p 2 + p 3 A ^ z 1 , 1 , 1 1 p 3 A ^ z 1 , z 2 , 1
To calculate G z 1 , z 2 , 1 , we substitute z 1 = z 2 in (A8) and obtain
G z 2 , z 2 , 1 = p 1 p 2 A ^ z 2 , 1 , 1 1 p 1 + p 3 A ^ z 2 , z 2 , 1 1 p 2 + p 3 A ^ z 2 , 1 , 1
Substituting (A9) in (A8) results in
G z 1 , z 2 , 1 = p 1 2 p 2 A ^ z 2 , 1 , 1 A ^ z 2 , z 2 , 1 1 p 1 + p 3 A ^ z 2 , z 2 , 1 1 p 2 + p 3 A ^ z 2 , 1 , 1 + p 1 p 2 A ^ z 1 , 1 , 1 1 p 2 + p 3 A ^ z 1 , 1 , 1 1 p 3 A ^ z 1 , z 2 , 1
We move on to calculate G z 1 , z 3 , z 3
To simplify notation, set A ^ z i , z j , 1 A ^ z i , z j and A ^ z i , 1 , 1 A ^ z i . Similarly, set G z i , z j , 1 G z i , z j and G z i , 1 , 1 G z i .
Substituting z 2 = z 3 in (6) gives
G z 1 , z 3 , z 3 = p 1 A ^ z 3 , z 3 , z 3 G z 3 , z 3 , z 3 + p 2 A ^ z 1 , z 3 , z 3 G z 1 , z 3 , z 3 + p 3 A ^ z 1 , z 3 G z 1 , z 3
Hence,
G z 1 , z 3 , z 3 = p 1 A ^ z 3 , z 3 , z 3 G z 3 , z 3 , z 3 + p 3 A ^ z 1 , z 3 G z 1 , z 3 1 p 2 A ^ z 1 , z 3 , z 3
Substituting z 2 = z 3 in (A10) leads to
G z 1 , z 3 = p 1 2 p 2 A ^ z 3 A ^ z 3 , z 3 1 p 1 + p 3 A ^ z 3 , z 3 1 p 2 + p 3 A ^ z 3 + p 1 p 2 A ^ z 1 1 p 2 + p 3 A ^ z 1 1 p 3 A ^ z 1 , z 3
Now, to calculate G z 3 , z 3 , z 3 , we substitute z 1 = z 3 in (A11) to get
G z 3 , z 3 , z 3 = p 3 A ^ z 3 , z 3 G z 3 , z 3 1 p 1 + p 2 A ^ z 3 , z 3 , z 3
Substituting z 1 = z 3 in (A12) yields
G z 3 , z 3 = p 1 2 p 2 A ^ z 3 A ^ z 3 , z 3 1 p 1 + p 3 A ^ z 3 , z 3 + p 1 p 2 A ^ z 3 1 p 3 A ^ z 3 , z 3 1 p 2 + p 3 A ^ z 3
Hence,
G z 3 , z 3 = p 1 p 2 A ^ z 3 1 p 2 + p 3 A ^ z 3 1 p 1 + p 3 A ^ z 3 , z 3
Substituting (A14) in (A13) yields
G z 3 , z 3 , z 3 = p 1 p 2 p 3 A ^ z 3 , z 3 A ^ z 3 1 p 1 + p 2 A ^ z 3 , z 3 , z 3 1 p 2 + p 3 A ^ z 3 1 p 1 + p 3 A ^ z 3 , z 3
Finally, substituting (A15) and (A12) in (A11) leads to
G z 1 , z 3 , z 3 = p 1 2 p 2 p 3 A ^ z 3 , z 3 , z 3 A ^ z 3 , z 3 A ^ z 3 1 p 1 + p 2 A ^ z 3 , z 3 , z 3 1 p 2 + p 3 A ^ z 3 1 p 1 + p 3 A ^ z 3 , z 3 + p 1 2 p 2 p 3 A ^ z 1 , z 3 A ^ z 3 A ^ z 3 , z 3 1 p 1 + p 3 A ^ z 3 , z 3 1 p 2 + p 3 A ^ z 3 + p 1 p 2 p 3 A ^ z 1 , z 3 A ^ z 1 1 p 2 + p 3 A ^ z 1 1 p 3 A ^ z 1 , z 3 1 p 2 A ^ z 1 , z 3 , z 3
(c) The last step is to get G z 2 , z 2 , z 3
Substituting z 1 = z 2 in (A5) results in
G z 2 , z 2 , z 3 = p 1 A ^ z 2 , z 2 , z 3 G z 2 , z 2 , z 3 + p 2 A ^ z 2 , z 3 , z 3 G z 2 , z 3 , z 3 + p 3 A ^ z 2 , z 2 G z 2 , z 2
Hence,
G z 2 , z 2 , z 3 = p 2 A ^ z 2 , z 3 , z 3 G z 2 , z 3 , z 3 + p 3 A ^ z 2 , z 2 G z 2 , z 2 1 p 1 A ^ z 2 , z 2 , z 3
G z 2 , z 2 was already calculated in (A9), so to find G z 2 , z 2 , z 3 we substitute z 1 = z 2 in Equation (A16) and get
G z 2 , z 2 , z 3 = A ^ z 2 , z 3 , z 3 p 1 2 p 2 2 p 3 A ^ z 3 , z 3 , z 3 A ^ z 3 , z 3 A ^ z 3 1 p 1 + p 2 A ^ z 3 , z 3 , z 3 1 p 2 + p 3 A ^ z 3 1 p 1 + p 3 A ^ z 3 , z 3 + p 1 2 p 2 2 p 3 A ^ z 2 , z 3 A ^ z 3 A ^ z 3 , z 3 1 p 1 + p 3 A ^ z 3 , z 3 1 p 2 + p 3 A ^ z 3 + p 1 p 2 2 p 3 A ^ z 2 , z 3 A ^ z 2 1 p 2 + p 3 A ^ z 2 1 p 3 A ^ z 2 , z 3 1 p 2 A ^ z 2 , z 3 , z 3 1 p 1 A ^ z 2 , z 2 , z 3 + p 1 p 2 p 3 A ^ z 2 , z 2 A ^ z 2 1 p 1 + p 3 A ^ z 2 , z 2 1 p 2 + p 3 A ^ z 2 1 p 1 A ^ z 2 , z 2 , z 3
Thus, by substituting (A18), (A16) and (A10) in (6), the PGF G z 1 , z 2 , z 3 is obtained.

Appendix E. 4-Site G-ASIP Substitutions

The substitutions that are required in order to calculate the sites occupancy PGF are as follows
Step 1. Substituting z 2 = 1 , z 3 = 1 , z 4 = 1 in Equation (11) leads to
G z 1 = p 1 + p 2 A ^ z 1 G z 1 + p 3 A ^ z 1 G z 1 + p 4 A ^ z 1 G z 1
Step 2. Substituting z 2 = 1 , z 3 = 1 , z 4 = 1 in Equation (11) results in
G z 1 , z 2 = p 1 A ^ z 2 , z 2 G z 2 , z 2 + p 2 A ^ z 1 G z 1 + p 3 A ^ z 1 , z 2 G z 1 , z 2 + p 4 A ^ z 1 , z 2 G z 1 , z 2
By substituting z 1 = z 2 , z 3 = 1 , z 4 = 1 in Equation (11) we get
G z 2 , z 2 = p 1 A ^ z 2 , z 2 G z 2 , z 2 + p 2 A ^ z 2 G z 2 + p 3 A ^ z 2 , z 2 G z 2 , z 2 + p 4 A ^ z 2 , z 2 G z 2 , z 2
Step 3. Substituting z 2 = z 1 , z 3 = z 2 , z 4 = 1 in Equation (11) leads to
G z 1 , z 1 , z 2 = p 1 A ^ z 1 , z 1 , z 2 G z 1 , z 1 , z 2 + p 2 A ^ z 1 , z 2 , z 2 G z 1 , z 2 , z 2                                 + p 3 A ^ z 1 , z 1 G z 1 , z 1 + p 4 A ^ z 1 , z 1 , z 2 G z 1 , z 1 , z 2
Substituting z 3 = z 2 ,   z 4 = 1 in Equation (11) results in
G z 1 , z 2 , z 2 = p 1 A ^ z 2 , z 2 , z 2 G z 2 , z 2 , z 2 + p 2 A ^ z 1 , z 2 , z 2 G z 1 , z 2 , z 2                                 + p 3 A ^ z 1 , z 2 G z 1 , z 2 + p 4 A ^ z 1 , z 2 , z 2 G z 1 , z 2 , z 2
By substituting z 1 = z 2 ,   z 3 = z 2 , z 4 = 1 in Equation (11) we get
G z 2 , z 2 , z 2 = p 1 A ^ z 2 , z 2 , z 2 G z 2 , z 2 , z 2 + p 2 A ^ z 2 , z 2 , z 2 G z 2 , z 2 , z 2                                 + p 3 A ^ z 2 , z 2 G z 2 , z 2 + p 4 A ^ z 2 , z 2 , z 2 G z 2 , z 2 , z 2
Step 4. Substituting z 2 = z 1 ,   z 3 = z 1 , z 4 = z 2 in Equation (11) leads to
G z 1 , z 1 , z 1 , z 2 = p 1 A ^ z 1 , z 1 , z 1 , z 2 G z 1 , z 1 , z 1 , z 2 + p 2 A ^ z 1 , z 1 , z 1 , z 2 G z 1 , z 1 , z 1 , z 2                                   + p 3 A ^ z 1 , z 1 , z 2 , z 2 G z 1 , z 1 , z 2 , z 2 + p 4 A ^ z 1 , z 1 , z 1 G z 1 , z 1 , z 1
Substituting z 2 = z 1 ,   z 3 = z 2 , z 4 = z 2 in Equation (11) results in
G z 1 , z 1 , z 2 , z 2 = p 1 A ^ z 1 , z 1 , z 2 , z 2 G z 1 , z 1 , z 2 , z 2 + p 2 A ^ z 1 , z 2 , z 2 , z 2 G z 1 , z 2 , z 2 , z 2                                   + p 3 A ^ z 1 , z 1 , z 2 , z 2 G z 1 , z 1 , z 2 , z 2 + p 4 A ^ z 1 , z 1 , z 2 G z 1 , z 1 , z 2
By substituting z 3 = z 1 , z 4 = z 2 in Equation (11) we get
G z 1 , z 2 , z 2 , z 2 = p 1 A ^ z 2 , z 2 , z 2 , z 2 G z 2 , z 2 , z 2 , z 2 + p 2 A ^ z 1 , z 2 , z 2 , z 2 G z 1 , z 2 , z 2 , z 2                                   + p 3 A ^ z 1 , z 2 , z 2 , z 2 G z 1 , z 2 , z 2 , z 2 + p 4 A ^ z 1 , z 2 , z 2 G z 1 , z 2 , z 2
Finally, substituting z 1 = z 2 ,   z 3 = z 2 , z 4 = z 2 in Equation (11) gives
G z 2 , z 2 , z 2 , z 2 = p 1 A ^ z 2 , z 2 , z 2 , z 2 G z 2 , z 2 , z 2 , z 2 + p 2 A ^ z 2 , z 2 , z 2 , z 2 G z 2 , z 2 , z 2 , z 2                                   + p 3 A ^ z 2 , z 2 , z 2 , z 2 G z 2 , z 2 , z 2 , z 2 + p 4 A ^ z 2 , z 2 , z 2 G z 2 , z 2 , z 2
Step 5. Substituting z 2 = z 1 , z 3 = z 2 , z 4 = z 3 in Equation (11) leads to
G z 1 , z 1 , z 2 , z 3 = p 1 A ^ z 1 , z 1 , z 2 , z 3 G z 1 , z 1 , z 2 , z 3 + p 2 A ^ z 1 , z 2 , z 2 , z 2 G z 1 , z 2 , z 2 , z 2                                   + p 3 A ^ z 1 , z 1 , z 3 , z 3 G z 1 , z 1 , z 3 , z 3 + p 4 A ^ z 1 , z 1 , z 2 G z 1 , z 1 , z 2
Substituting z 3 = z 2 , z 4 = z 3 in Equation (11) results in
G z 1 , z 2 , z 2 , z 3 = p 1 A ^ z 2 , z 2 , z 2 , z 3 G z 2 , z 2 , z 2 , z 3 + p 2 A ^ z 1 , z 2 , z 2 , z 3 G z 1 , z 2 , z 2 , z 3                                   + p 3 A ^ z 1 , z 2 , z 3 , z 3 G z 1 , z 2 , z 3 , z 3 + p 4 A ^ z 1 , z 2 , z 2 G z 1 , z 2 , z 2
Substituting z 4 = z 3 in Equation (11) we get
G z 1 , z 2 , z 3 , z 3 = p 1 A ^ z 2 , z 2 , z 3 , z 3 G z 2 , z 2 , z 3 , z 3 + p 2 A ^ z 1 , z 3 , z 3 , z 3 G z 1 , z 3 , z 3 , z 3                                   + p 3 A ^ z 1 , z 2 , z 3 , z 3 G z 1 , z 2 , z 3 , z 3 + p 4 A ^ z 1 , z 2 , z 3 G z 1 , z 2 , z 3
With the above substitutions, the sets are constructed.

References

  1. Chernyak, V.Y.; Chertkov, M.; Goldberg, D.A.; Turitsyn, K.J. Non-Equilibrium Statistical Physics of Currents in Queuing Networks. J. Stat. Phys. 2010, 140, 819. [Google Scholar] [CrossRef]
  2. Merhav, N.; Kafri, Y.J. Bose–Einstein condensation in large deviations with applications to information systems. J. Stat. Mech. 2010, 2010, P02011. [Google Scholar] [CrossRef]
  3. Derrida, B. An exactly soluble non-equilibrium system: The asymmetric simple exclusion process. Phys. Rep. 1998, 301, 65. [Google Scholar] [CrossRef]
  4. Golinelli, O.; Mallick, K. The asymmetric simple exclusion process: An integrable model for non-equilibrium statistical mechanics. J. Phys. A: Math. Gen. 2006, 39, 12679. [Google Scholar] [CrossRef]
  5. Kaspi, H.; Kella, O.; Perry, D. Dam processes with state dependent batch sizes and intermittent production processes with state dependent rates. Queueing Syst. 1996, 24, 37–57. [Google Scholar] [CrossRef]
  6. Jackson, J.R. Networks of Waiting Lines. Oper. Res. 1957, 5, 518–521. [Google Scholar] [CrossRef]
  7. Jackson, J.R. Jobshop-Like Queueing Systems. Manag. Sci. 1963, 10, 131–142. [Google Scholar] [CrossRef]
  8. Jackson, R.R.P. Random Queueing Processes with Phase-Type Service. J. R. Stat. Soc. Ser. B (Methodol.) 1956, 18, 129–132. [Google Scholar] [CrossRef]
  9. Chen, H.; Yao, D.D. Fundamentals of Queueing Networks; Springer: Berlin/Heidelberg, Germany, 2001. [Google Scholar]
  10. Bertsekas, D.P.; Gallager, R.G. Data Networks, 2nd ed.; Prentice Hall: Hoboken, NJ, USA, 1992. [Google Scholar]
  11. Yechiali, U. Sequencing an N-Stage Process with Feedback. Probab. Eng. Inf. Sci. 1988, 2, 263–265. [Google Scholar] [CrossRef]
  12. Blythe, R.A.; Evans, M.R. Nonequilibrium steady states of matrix-product form: A solver’s guide. J. Phys. A: Math. Theor. 2007, 40, R333–R441. [Google Scholar] [CrossRef]
  13. MacDonald, C.T.; Gibbs, J.H.; Pipkin, A.C. Kinetics of biopolymerization on nucleic acid templates. Biopolymers 1968, 6, 1–25. [Google Scholar] [CrossRef] [PubMed]
  14. Heckmann, K. Biomembranes: Passive Permeability of Cell Membranes. In Proceedings of a Satellite Symposium; Kreuzer, F., Slegers, J.F.G., Eds.; Plenum: New York, NY, USA, 1971. [Google Scholar]
  15. Levitt, D.G. Dynamics of a Single-File Pore: Non-Fickian Behavior. Phys. Rev. A 1973, 8, 3050. [Google Scholar] [CrossRef]
  16. Richards, P.M. Theory of one-dimensional hopping conductivity and diffusion. Phys. Rev. B 1977, 16, 1393. [Google Scholar] [CrossRef]
  17. Wolf, D.E.; Schreckenberg, M.; Bachem, A. Traffic and Granular Flow; World Scientific: New York, NY, USA, 1996. [Google Scholar]
  18. Shaw, L.B.; Zia, R.K.; Lee, K.H. Totally asymmetric exclusion process with extended objects: A model for protein synthesis. Phys. Rev. E 2003, 68, 021910. [Google Scholar] [CrossRef]
  19. Reuveni, S.; Meilijson, I.; Kupiec, M.; Ruppin, E.; Tuller, T. Genome-Scale Analysis of Translation Elongation with a Ribosome Flow Model. PLoS Comput. Biol. 2011, 7, e1002127. [Google Scholar] [CrossRef] [PubMed]
  20. Halpin-Healy, T.; Zhang, Y.C. Kinetic roughening phenomena, stochastic growth, directed polymers and all that. Asp. Multidiscip. Stat. Mech. Phys. Rep. 1995, 254, 215–414. [Google Scholar]
  21. Krug, J. Origins of scale invariance in growth processes. Adv. Phys. 1997, 46, 139–282. [Google Scholar] [CrossRef]
  22. Bundschuh, R. Asymmetric exclusion process and extremal statistics of random sequences. Phys. Rev. E 2002, 65, 031911. [Google Scholar] [CrossRef]
  23. Klumpp, S.; Lipowsky, R. Traffic of Molecular Motors Through Tube-Like Compartments. J. Stat. Phys. 2003, 113, 233–268. [Google Scholar] [CrossRef]
  24. Burlatsky, S.F.; Oshanin, G.S.; Mogutov, A.V.; Moreau, M. Directed walk in a one-dimensional lattice gas. Phys. Lett. A 1992, 166, 230–234. [Google Scholar] [CrossRef]
  25. Burlatsky, S.F.; Oshanin, G.; Moreau, M.; Reinhardt, W.P. Motion of a driven tracer particle in a one-dimensional symmetric lattice gas. Phys. Rev. E 1996, 54, 3165. [Google Scholar] [CrossRef] [PubMed]
  26. Benichou, O.; Cazabat, A.M.; de Coninck, J.; Moreau, M.; Oshanin, G. Stokes Formula and Density Perturbances for Driven Tracer Diffusion in an Adsorbed Monolayer. Phys. Rev. Lett. 2000, 84, 511. [Google Scholar] [CrossRef] [PubMed]
  27. Monasterio, C.M.; Oshanin, G. Bias- and bath-mediated pairing of particles driven through a quiescent medium. Soft Matter 2011, 7, 993–1000. [Google Scholar] [CrossRef]
  28. Reuveni, S.; Eliazar, I.; Yechiali, U. Asymmetric Inclusion Process. Phys. Rev. E 2011, 84, 041101. [Google Scholar] [CrossRef]
  29. Reuveni, S.; Eliazar, I.; Yechiali, U. Asymmetric Inclusion Process as a Showcase of Complexity. Phys. Rev. Lett. 2012, 109, 020603. [Google Scholar] [CrossRef]
  30. Reuveni, S.; Eliazar, I.; Yechiali, U. Limit laws for the asymmetric inclusion process. Phys. Rev. E 2012, 86, 061133. [Google Scholar] [CrossRef]
  31. Reuveni, S.; Eliazar, I.; Hirschberg, O.; Yechiali, U. Occupation Probabilities and Fluctuations in the Asymmetric Inclusion Process. Phys. Rev. E 2014, 89, 042109. [Google Scholar] [CrossRef] [PubMed]
  32. Boxma, O.; Kella, O.; Yechiali, U. An ASIP Model with General Gate Opening Intervals. Queueing Syst. 2016, 84, 1–20. [Google Scholar] [CrossRef]
  33. Boxma, O.; Kella, O.; Yechiali, U. Workload Distributions in ASIP Queueing Networks. Queueing Syst. 2021, 97, 81–100. [Google Scholar] [CrossRef]
  34. Yeger, Y.; Yechiali, U. Performance Measures in a Generalized Asymmetric Simple Inclusion Process. Mathematics 2022, 10, 594. [Google Scholar] [CrossRef]
Figure 1. An illustration of the Asymmetric Inclusion Process (ASIP).
Figure 1. An illustration of the Asymmetric Inclusion Process (ASIP).
Mathematics 10 04624 g001
Figure 2. P λ k for k = 2 , 3 , 4 , 5 . Horizontal lines depict the limiting values lim λ P λ k + 1 and their interactions with P 1 k .
Figure 2. P λ k for k = 2 , 3 , 4 , 5 . Horizontal lines depict the limiting values lim λ P λ k + 1 and their interactions with P 1 k .
Mathematics 10 04624 g002
Figure 3. Monte Carlo simulations comparing the approximations 1 π k 1 1 λ + 1 λ 2     and 1 π k     As shown by the simulations, 1 π k     is a good approximation when λ = 1 but it loses its accuracy as λ   shifts away from 1. The two-dimensional function P λ k 1 π k 1 1 λ + 1 λ 2     is better suited to approximate the site’s occupancy probabilities.
Figure 3. Monte Carlo simulations comparing the approximations 1 π k 1 1 λ + 1 λ 2     and 1 π k     As shown by the simulations, 1 π k     is a good approximation when λ = 1 but it loses its accuracy as λ   shifts away from 1. The two-dimensional function P λ k 1 π k 1 1 λ + 1 λ 2     is better suited to approximate the site’s occupancy probabilities.
Mathematics 10 04624 g003aMathematics 10 04624 g003b
Figure 4. The two-dimensional function P λ k = 1 π k 1 1 λ + 1 λ 2     .
Figure 4. The two-dimensional function P λ k = 1 π k 1 1 λ + 1 λ 2     .
Mathematics 10 04624 g004
Table 1. Characterization of Tandem Stochastic Systems (TSS).
Table 1. Characterization of Tandem Stochastic Systems (TSS).
Site (Occupancy) Capacity C s i t e = 1 Site (Occupancy) Capacity
C s i t e Is Unlimited
Gate (service) capacity
C g a t e = 1
ASEPTJN
Gate (service) capacity
C g a t e is unlimited
ASEPASIP
Table 2. Q λ k when λ = 1 and when λ for the first six sites.
Table 2. Q λ k when λ = 1 and when λ for the first six sites.
Mathematics 10 04624 i001
Publisher’s Note: MDPI stays neutral with regard to jurisdictional claims in published maps and institutional affiliations.

Share and Cite

MDPI and ACS Style

Yechiali, U.; Yeger, Y. Matrix Approach for Analyzing n-Site Generalized ASIP Systems: PGF and Site Occupancy Probabilities. Mathematics 2022, 10, 4624. https://doi.org/10.3390/math10234624

AMA Style

Yechiali U, Yeger Y. Matrix Approach for Analyzing n-Site Generalized ASIP Systems: PGF and Site Occupancy Probabilities. Mathematics. 2022; 10(23):4624. https://doi.org/10.3390/math10234624

Chicago/Turabian Style

Yechiali, Uri, and Yaron Yeger. 2022. "Matrix Approach for Analyzing n-Site Generalized ASIP Systems: PGF and Site Occupancy Probabilities" Mathematics 10, no. 23: 4624. https://doi.org/10.3390/math10234624

APA Style

Yechiali, U., & Yeger, Y. (2022). Matrix Approach for Analyzing n-Site Generalized ASIP Systems: PGF and Site Occupancy Probabilities. Mathematics, 10(23), 4624. https://doi.org/10.3390/math10234624

Note that from the first issue of 2016, this journal uses article numbers instead of page numbers. See further details here.

Article Metrics

Back to TopTop