A Data-Driven System Based on Deep Learning for Diagnosis Fetal Cavum Septum Pellucidum in Ultrasound Images
Abstract
1. Introduction
- (1)
- We propose a medical data-driven system for the segmentation and measurement of CSP using a channel-attention deep network, named CA-Unet. Our CA-Unet is the first combination of the measurement of fetal CSP and deep learning techniques;
- (2)
- (3)
- Moreover, we introduce a new channel attention module, guiding the network to focus on meaningful information at different channels. By sharing the weights of the parallel convolutions, we keep the size of the network unchanged and only add a small number of parameters. This module can be easily added to CNN architectures, increasing prediction accuracy.
- (4)
- Our data-driven system considers the measurement process of clinicians to tackle the automated problem of fetal biometrics measurement. Post-processing is proposed to measure and diagnose the anomalies of CSP. For validation, we have collected fetal US datasets in Xiangya hospital, on which our method achieves a Dice score (DSC) of 77.5% and precision of 79.5%. Our CA-Unet achieves the best segmentation performance among other state-of-art models, Experimental results demonstrate that it could effectively enhance obstetricians’ working efficiency and reduce their misdiagnosis rate.
2. Related Works
2.1. US Data-Driven System
2.2. Deep Learning for Image Segmentation
2.3. Application of Attention Module
3. Method
3.1. Improved U-net Architecture
3.2. Channel Attention Module
3.3. Post-Processing
4. Experimental Design
4.1. Experimental Data Collection
4.2. Implementation Details
4.3. Evaluation Metric
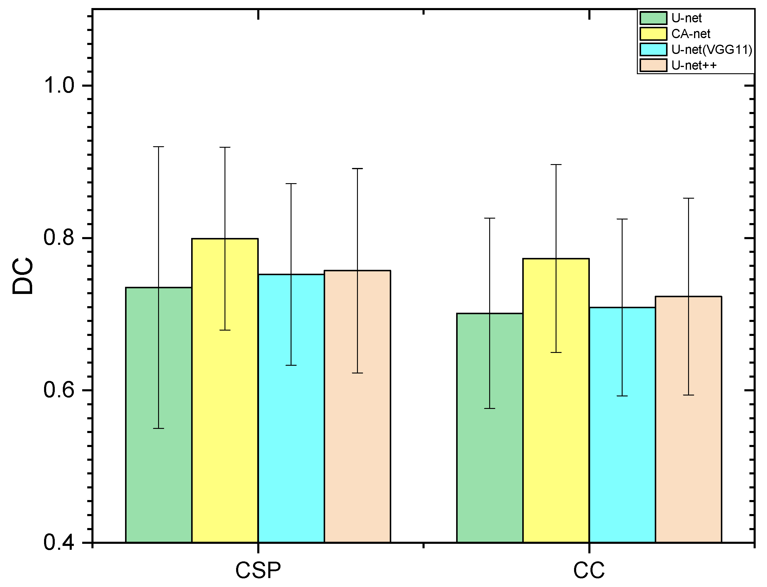
4.4. Experimental Results
5. Discussion
Author Contributions
Funding
Data Availability Statement
Conflicts of Interest
References
- Alkema, L.; Chou, D.; Hogan, D.; Zhang, S.; Moller, A.B.; Gemmill, A.; Fat, D.M.; Boerma, T.; Temmerman, M.; Mathers, C.; et al. Global, regional, and national levels and trends in maternal mortality between 1990 and 2015, with scenario-based projections to 2030: A systematic analysis by the UN Maternal Mortality Estimation Inter-Agency Group. Lancet 2016, 387, 462–474. [Google Scholar] [CrossRef]
- Wu, J.; Tan, Y.; Chen, Z.; Zhao, M. Decision based on big data research for non-small cell lung cancer in medical artificial system in developing country. Comput. Methods Programs Biomed. 2018, 159, 87. [Google Scholar] [CrossRef]
- Li, Y.; Zhang, Y.; Fang, S.; Liu, S.; Liu, X.; Li, M.; Liang, H.; Fu, H. Analysis of inequality in maternal and child health outcomes and mortality from 2000 to 2013 in China. Int. J. Equity Health 2017, 16, 66. [Google Scholar] [CrossRef]
- Medicine, A.I.O.U.I. AIUM practice guideline for the performance of obstetric ultrasound examinations. J. Ultrasound Med. Off. J. Am. Inst. Ultrasound Med. 2013, 32, 1083. [Google Scholar]
- Cooper, S.; Katorza, E.; Berkenstadt, M.; Hoffmann, C.; Achiron, R.; Bar-Yosef, O. Prenatal abnormal width of the cavum septum pellucidum—MRI features and neurodevelopmental outcome. J. Matern. Fetal Neonatal Med. Off. J. Eur. Assoc. Perinat. Med. Fed. Asia Ocean. Perinat. Soc. Int. Soc. Perinat. Obstet. 2017, 31, 1–16. [Google Scholar] [CrossRef]
- Zorila, G.L.; Tudorache, S.; Barbu, E.M.; Comanescu, M.C.; Capitanescu, R.G.; Marinas, M.C.; Florea, M.; Cernea, N.; Iliescu, D.G. Outcome of fetuses with abnormal cavum septi pellucidi: Experience of a tertiary center. J. Clin. Gynecol. Obstet. 2017, 5, 112–116. [Google Scholar] [CrossRef]
- Ali, H.; Rada, L.; Badshah, N. Image Segmentation for Intensity Inhomogeneity in Presence of High Noise. IEEE Trans. Image Process. 2018, 27, 3729–3738. [Google Scholar] [CrossRef]
- Nagaraj, U.D.; Calvo-Garcia, M.A.; Kline-Fath, B.M. Abnormalities Associated With the Cavum Septi Pellucidi on Fetal MRI: What Radiologists Need to Know. Am. J. Roentgenol. 2018, 210, 989–997. [Google Scholar] [CrossRef]
- Ronneberger, O.; Fischer, P.; Brox, T. U-Net: Convolutional Networks for Biomedical Image Segmentation. In Proceedings of the International Conference on Medical Image Computing & Computer-assisted Intervention, Munich, Germany, 5–9 October 2015. [Google Scholar]
- Zhang, Y.; Li, K.; Li, K.; Wang, L.; Zhong, B.; Fu, Y. Image super-resolution using very deep residual channel attention networks. In Proceedings of the European Conference on Computer Vision (ECCV), Munich, Germany, 8–14 October 2018; pp. 286–301. [Google Scholar]
- Simonyan, K.; Zisserman, A. Very Deep Convolutional Networks for Large-Scale Image Recognition. arXiv 2014, arXiv:1409.1556. [Google Scholar]
- Baiying, L.; Ee-Leng, T.; Siping, C.; Liu, Z.; Shengli, L.; Dong, N.; Tianfu, W. Automatic Recognition of Fetal Facial Standard Plane in Ultrasound Image via Fisher Vector. PLoS ONE 2015, 10, e0121838. [Google Scholar]
- Santos, C.A.N.; Martins, D.L.N.; Mascarenhas, N.D.A. Ultrasound Image Despeckling Using Stochastic Distance-Based BM3D. IEEE Trans. Image Process. 2017, 26, 2632–2643. [Google Scholar] [CrossRef] [PubMed]
- Chang, L.; Wu, J.; Moustafa, N.; Bashir, A.K.; Yu, K. AI-driven synthetic biology for non-small cell lung cancer drug effectiveness-cost analysis in intelligent assisted medical systems. IEEE J. Biomed. Health Inform. 2021, 26, 5055–5066. [Google Scholar] [CrossRef]
- Ling, Z.; Yang, S.; Gou, F.; Dai, Z.; Wu, J. Intelligent Assistant Diagnosis System of Osteosarcoma MRI Image Based on Transformer and Convolution in Developing Countries. IEEE J. Biomed. Health Inform. 2022, 26, 5563–5574. [Google Scholar] [CrossRef] [PubMed]
- Mozaffari, M.H.; Lee, W.S. 3D Ultrasound image segmentation: A Survey. arXiv 2016, arXiv:1611.09811. [Google Scholar]
- Zhao, Z.; Zeng, Z.; Xu, K.; Chen, C.; Guan, C. DSAL: Deeply Supervised Active Learning from Strong and Weak Labelers for Biomedical Image Segmentation. IEEE J. Biomed. Health Inform. 2021, 25, 3744–3751. [Google Scholar] [CrossRef] [PubMed]
- Zhao, Z.; Lu, W.; Zeng, Z.; Xu, K.; Veeravalli, B.; Guan, C. Self-supervised Assisted Active Learning for Skin Lesion Segmentation. In Proceedings of the 2022 44th Annual International Conference of the IEEE Engineering in Medicine & Biology Society (EMBC), Scotland, UK, 11–15 July 2022. [Google Scholar]
- Luo, Y.; Han, S.; Huang, Q. A Novel Graph-Based Segmentation Method for Breast Ultrasound Images. In Proceedings of the International Conference on Digital Image Computing: Techniques & Applications, Gold Coast, Australia, 30 November–2 December 2016. [Google Scholar]
- Baumgartner, C.F.; Kamnitsas, K.; Matthew, J.; Fletcher, T.P.; Smith, S.; Koch, L.M.; Kainz, B.; Rueckert, D. SonoNet: Real-Time Detection and Localisation of Fetal Standard Scan Planes in Freehand Ultrasound. IEEE Trans. Med. Imaging 2017, 36, 2204–2215. [Google Scholar] [CrossRef] [PubMed]
- Heuvel, T.L.A.V.D.; Bruijn, D.D.; Korte, C.L.D.; Ginneken, B.V. Automated measurement of fetal head circumference using 2D ultrasound images. PLoS ONE 2018, 13, e0200412. [Google Scholar]
- Li, J.; Wang, Y.; Lei, B.; Cheng, J.Z.; Qin, J.; Wang, T.; Li, S.; Ni, D. Automatic Fetal Head Circumference Measurement in Ultrasound using Random Forest and Fast Ellipse Fitting. IEEE J. Biomed. Health Inform. 2017, 22, 215–223. [Google Scholar] [CrossRef]
- Yu, Z.; Tan, E.L.; Ni, D.; Qin, J.; Chen, S.; Li, S.; Lei, B.; Wang, T. A deep convolutional neural network-based framework for automatic fetal facial standard plane recognition. IEEE J. Biomed. Health Inform. 2017, 22, 874–885. [Google Scholar] [CrossRef]
- Hao, C.; Dou, Q.; Ni, D.; Cheng, J.Z.; Qin, J.; Li, S.; Heng, P.A. Automatic Fetal Ultrasound Standard Plane Detection Using Knowledge Transferred Recurrent Neural Networks; Springer: Cham, Switzerland, 2015. [Google Scholar]
- Long, J.; Shelhamer, E.; Darrell, T. Fully convolutional networks for semantic segmentation. IEEE Trans. Pattern Anal. Mach. Intell. 2014, 39, 640–651. [Google Scholar]
- Badrinarayanan, V.; Kendall, A.; Cipolla, R. Segnet: A deep convolutional encoder-decoder architecture for image segmentation. IEEE Trans. Pattern Anal. Mach. Intell. 2017, 39, 2481–2495. [Google Scholar] [CrossRef] [PubMed]
- Zhao, H.; Shi, J.; Qi, X.; Wang, X.; Jia, J. Pyramid Scene Parsing Network. arXiv 2017, arXiv:1612.01105. [Google Scholar]
- Wu, J.; Xiao, P.; Huang, H.; Gou, F.; Zhou, Z.; Dai, Z. An artificial intelligence multiprocessing scheme for the diagnosis of osteosarcoma MRI images. IEEE J. Biomed. Health Inform. 2022, 26, 4656–4667. [Google Scholar] [CrossRef]
- Wu, J.; Guo, Y.; Gou, F.; Dai, Z. A medical assistant segmentation method for MRI images of osteosarcoma based on DecoupleSegNet. Int. J. Intell. Syst. 2022, 37, 8436–8461. [Google Scholar] [CrossRef]
- Wu, J.; Zhou, L.; Gou, F.; Tan, Y. A Residual Fusion Network for Osteosarcoma MRI Image Segmentation in Developing Countries. Comput. Intell. Neurosci. 2022, 2022, 7285600. [Google Scholar] [CrossRef] [PubMed]
- Fu, H.; Cheng, J.; Xu, Y.; Wong, D.W.K.; Jiang, L.; Cao, X. Joint Optic Disc and Cup Segmentation Based on Multi-label Deep Network and Polar Transformation. IEEE Trans. Med. Imaging 2018, 37, 1597–1605. [Google Scholar] [CrossRef] [PubMed]
- Zhou, Z.; Siddiquee, M.M.R.; Tajbakhsh, N.; Liang, J. Unet++: A nested u-net architecture for medical image segmentation. In Deep Learning in Medical Image Analysis and Multimodal Learning for Clinical Decision Support; Springer: Berlin/Heidelberg, Germany, 2018; pp. 3–11. [Google Scholar]
- Khanh, T.L.B.; Dao, D.P.; Ho, N.H.; Yang, H.J.; Baek, E.T.; Lee, G.; Kim, S.H.; Yoo, S.B. Enhancing U-Net with spatial-channel attention gate for abnormal tissue segmentation in medical imaging. Appl. Sci. 2020, 10, 5729. [Google Scholar] [CrossRef]
- Zhao, P.; Zhang, J.; Fang, W.; Deng, S. SCAU-net: Spatial-channel attention U-net for gland segmentation. Front. Bioeng. Biotechnol. 2020, 8, 670. [Google Scholar] [CrossRef] [PubMed]
- Gu, R.; Wang, G.; Song, T.; Huang, R.; Aertsen, M.; Deprest, J.; Ourselin, S.; Vercauteren, T.; Zhang, S. CA-Net: Comprehensive Attention Convolutional Neural Networks for Explainable Medical Image Segmentation. IEEE Trans. Med. Imaging 2021, 40, 699–711. [Google Scholar] [CrossRef]
- Yoo, D.; Park, S.; Lee, J.Y.; Paek, A.S.; So Kweon, I. Attentionnet: Aggregating weak directions for accurate object detection. In Proceedings of the IEEE International Conference on Computer Vision, Santiago, Chile, 7–13 December 2015; pp. 2659–2667. [Google Scholar]
- Liu, F.; Gou, F.; Wu, J. An Attention-Preserving Network-Based Method for Assisted Segmentation of Osteosarcoma MRI Images. Mathematics 2022, 10, 1665. [Google Scholar] [CrossRef]
- Jaderberg, M.; Simonyan, K.; Zisserman, A. Spatial transformer networks. In Proceedings of the Advances in Neural Information Processing Systems, Montreal, QC, Canada, 7–12 December 2015; pp. 2017–2025. [Google Scholar]
- Hu, J.; Shen, L.; Sun, G. Squeeze-and-excitation networks. In Proceedings of the IEEE Conference on Computer Vision and Pattern Recognition, Salt Lake City, UT, USA, 18–23 June 2018; pp. 7132–7141. [Google Scholar]
- Woo, S.; Park, J.; Lee, J.Y.; So Kweon, I. CBAM: Convolutional Block Attention Module. In Proceedings of the The European Conference on Computer Vision (ECCV), Munich, Germany, 8–14 September 2018. [Google Scholar]
- Rao, Y.; Lu, J.; Zhou, J. Attention-Aware Deep Reinforcement Learning for Video Face Recognition. In Proceedings of the The IEEE International Conference on Computer Vision (ICCV), Venice, Italy, 22–29 October 2017. [Google Scholar]
- Erdil, E.; Ghani, M.U.; Rada, L.; Argunsah, A.O.; Unay, D.; Tasdizen, T.; Cetin, M. Nonparametric Joint Shape and Feature Priors for Image Segmentation. IEEE Trans. Image Process. Publ. IEEE Signal Process. Soc. 2017, 26, 5312–5323. [Google Scholar] [CrossRef] [PubMed]
- Lin, M.; Chen, Q.; Yan, S. Network In Network. arXiv 2014, arXiv:1312.4400. [Google Scholar]
- Pylypjuk, C.L.; Memon, S.F.; Chodirker, B.N. Utility of Measuring Fetal Cavum Septum Pellucidum (CSP) Width During Routine Obstetrical Ultrasound for Improving Diagnosis of 22q11. 2 Deletion Syndrome: A Case-Control Study. Appl. Clin. Genet. 2022, 15, 87. [Google Scholar] [CrossRef] [PubMed]
- Kingma, D.; Ba, J. Adam: A Method for Stochastic Optimization. arXiv 2017, arXiv:1412.6980. [Google Scholar]
- Gibson, E.; Giganti, F.; Hu, Y.; Bonmati, E.; Bandula, S.; Gurusamy, K.; Davidson, B.R.; Pereira, S.P.; Clarkson, M.J.; Barratt, D.C. Towards Image-Guided Pancreas and Biliary Endoscopy: Automatic Multi-organ Segmentation on Abdominal CT with Dense Dilated Networks. In Proceedings of the International Conference on Medical Image Computing & Computer-assisted Intervention; Springer: Cham, Switzerland, 2017. [Google Scholar]
- Ma, J.; Wang, A.; Feng, L.; Wesarg, S.; Erdt, M. Nonlinear Statistical Shape Modeling for Ankle Bone Segmentation Using a Novel Kernelized Robust PCA. In Proceedings of the International Conference on Medical Image Computing & Computer-assisted Intervention, Quebec City, QC, Canada, 10–14 September 2017. [Google Scholar]
- Iglovikov, V.; Shvets, A. Ternausnet: U-net with vgg11 encoder pre-trained on imagenet for image segmentation. arXiv 2018, arXiv:1801.05746. [Google Scholar]












| Hospital | System | Start Time | Finish Time |
|---|---|---|---|
| Xiangya Hospital | HIS | 1 January 2014 | 7 July 2018 |
| EMR | 1 December 2013 | 1 November 2018 | |
| The Second Xiangya Hospital | HIS | 1 September 2012 | 5 November 2018 |
| EMR | 25 September 2013 | 27 May 2018 | |
| EMR document file | 1 January 2014 | 10 May 2018 | |
| LIS | 1 January 2015 | 31 May 2017 | |
| RIS | 1 February 2016 | 17 December 2018 | |
| PACS | 1 January 2015 | 18 December 2018 | |
| The Third Xiangya Hospitall | HIS | 1 April 2005 | 5 December 2018 |
| EMR | 1 April 2005 | 5 December 2018 | |
| EMR document base | 1 May 2017 | 9 December 2018 |
| Data Category | Amount |
|---|---|
| Medical information | 1,933,535 items |
| Outpatient service | 591,237 people |
| Doctors’ device in outpatient | 24,021,296 items |
| Be hospitalized | 1,149,184 people |
| Diagnosis | 1,089,321 items |
| Electronic medical records | 4,855,618 items |
| Doctors’ device in clinical | 25,757,698 items |
| Inspection records | 157,426 items |
| Medical laboratory records | 8,725,584 items |
| Routine inspection records | 22,358,871 items |
| Operation records | 218,022 items |
| Unit (Pixels) | Ground Truth | Not the Physiologic Structure |
|---|---|---|
| Predicted the physiologic structure | True Positive (TP) | False Positive (FP) |
| Predicted Not the physiologic structure | False Negative (FN) | True Negative (TN) |
| Method | U-net [9] | Our CA-Unet | U-net (VGG11) [48] | U-net++ [32] |
|---|---|---|---|---|
| Precision | 0.703 ± 0.116 | 0.795 ± 0.122 | 0.743 ± 0.121 | 0.745 ± 0.113 |
| Recall | 0.711 ± 0.204 | 0.742 ± 0.126 | 0.721 ± 0.127 | 0.731 ± 0.118 |
| DC | 0.704 ± 0.125 | 0.775 ± 0.123 | 0.709 ± 0.116 | 0.723 ± 0.129 |
| Hausoff Distance | 0.672 ± 0.116 | 0.781 ± 0.124 | 0.724 ± 0.128 | 0.701 ± 0.112 |
| Inference Time (s) | 0.13 | 0.18 | 0.36 | 0.31 |
| Params (M) | 7.76 | 9.14 | 13.7 | 9.04 |
| The Width of CSP | Precision | Recall | F1-Measure |
|---|---|---|---|
| Absent | 0.667 | 0.910 | 0.770 |
| Narrow, | 0.765 | 0.929 | 0.839 |
| Normal, | 0.738 | 0.845 | 0.788 |
| Enlarged, | 0.812 | 0.798 | 0.805 |
Publisher’s Note: MDPI stays neutral with regard to jurisdictional claims in published maps and institutional affiliations. |
© 2022 by the authors. Licensee MDPI, Basel, Switzerland. This article is an open access article distributed under the terms and conditions of the Creative Commons Attribution (CC BY) license (https://creativecommons.org/licenses/by/4.0/).
Share and Cite
Wu, Y.; Peng, C.; Chen, X.; Yao, X.; Chen, Z. A Data-Driven System Based on Deep Learning for Diagnosis Fetal Cavum Septum Pellucidum in Ultrasound Images. Mathematics 2022, 10, 4612. https://doi.org/10.3390/math10234612
Wu Y, Peng C, Chen X, Yao X, Chen Z. A Data-Driven System Based on Deep Learning for Diagnosis Fetal Cavum Septum Pellucidum in Ultrasound Images. Mathematics. 2022; 10(23):4612. https://doi.org/10.3390/math10234612
Chicago/Turabian StyleWu, Yuzhou, Cheng Peng, Xuechen Chen, Xin Yao, and Zhigang Chen. 2022. "A Data-Driven System Based on Deep Learning for Diagnosis Fetal Cavum Septum Pellucidum in Ultrasound Images" Mathematics 10, no. 23: 4612. https://doi.org/10.3390/math10234612
APA StyleWu, Y., Peng, C., Chen, X., Yao, X., & Chen, Z. (2022). A Data-Driven System Based on Deep Learning for Diagnosis Fetal Cavum Septum Pellucidum in Ultrasound Images. Mathematics, 10(23), 4612. https://doi.org/10.3390/math10234612

