Abstract
The quality of fresh products through cross-regional sales has been uncertain to consumers. To improve the quality of fresh products, some fresh product supply chains have implemented blockchain technology to provide traceable information for their products, and some regional governments have subsidized their local firms to incentivize them to implement blockchain-driven traceability systems. However, with regional government subsidy heterogeneity, cross-regional fresh product supply chain firms lack theoretical guidance on their operation decisions. Based on the research gap, we investigate optimal operation policies in a fresh product supply chain consisting of a manufacturer and a retailer located in different regions. The local governments may subsidize the manufacturer or the retailer located in their own regions, which construct four subsidy strategies (SS, SN, NS, and NN) along the supply chain. We find that the optimal operation policies under four subsidy strategies can be affected by the sensitivity to traceability level, cost-sharing rate of the manufacturer, rate of products left after corrosion, and subsidy rate to the manufacturer. Moreover, the government subsidy to the retailer is always beneficial to the retailer and the supply chain but does not affect the manufacturer’s operation policies and profits. The government subsidy to the manufacturer is always beneficial to the manufacturer but not always beneficial to the retailer and the supply chain. Hence the desired subsidy strategy for the manufacturer is SS and SN, and the one for the retailer and the supply chain is either NS or SS with different conditions.
Keywords:
blockchain-driven traceability; government subsidy heterogeneity; fresh product; cross-regional supply chain; Stackelberg game MSC:
90-10; 90B06; 90B50
1. Introduction
Nowadays, the sales of fresh products have become more cross-regional or even global, and the cross-regional supply of fresh products has been increasingly popular [,,]. The cross-regional sales can benefit the firms in the fresh product supply chain (FPSC) by expanding into a wider market and can also benefit the consumers with a larger variety of products from other parts of the nation or the world. For examples, in winter, consumers in the north of China can purchase fresh vegetables planted in the south of China, and consumers in London can buy Irish beef, Swedish fish, French wine, Danish pork, and Belgian Potatoes (https://www.glotechrepairs.co.uk/news/the-uks-top-food-imports-and-where-they-come-from/ (accessed on 12 October 2022)). Meanwhile, cross-regional trade increases the complexity of ensuring food safety and enhancing supply chain efficiency since fresh products have characteristics of high deterioration rate and short shelf life [,,]. The cross-regional FPSC mainly refers to the network created between different firms involved in the national or global production, handling, and distribution of fresh products [] and is subject to the enforcement of each local government’s regulatory policy [].
In recent years, safety issues with fresh products have occurred repeatedly and hurt the health and even the life of the consumer. For example, in 2013, the horse meat scandal was exposed in Europe because of labeling fraud []. In 2017, 22 tons of insecticide-contaminated eggs were discovered in Denmark (https://medicalxpress.com/news/2017-08-denmark-tainted-egg-total-tonnes.html (accessed on 12 October 2022)), and a Salmonella outbreak resulted from papayas in multiple states of America (https://www.biovoicenews.com/applications-blockchain-platform-agri-food-supply-chain/ (accessed on 12 October 2022)). In 2018, contaminated romaine lettuce left more than 210 Americans infected with Escherichia Coli []. In 2020, COVID-19 spread in Qingdao, China, caused by imported frozen seafood with COVID-19 []. The safety issues have absorbed the great attention of not only the consumers and cross-regional fresh product firms but also the governments.
Information traceability of fresh products can promote flexible and comprehensive interactions among cross-regional supply chain members and can also provide a feasible and efficient way to improve the safety of fresh products [,,,,]. Traceability technology has been mostly adopted by firms in cross-regional and global trade information systems based on practice requirements. Because system requirements and standards of fresh products differ in different regions, traditional traceability technologies are not suitable for developing a compatibility, steady, effective, and transparent traceability system among different supply chain firms [,,,]. In addition, traditional traceability technologies are not decentralized, so data-holder can arbitrarily change the data in the traceability system, and thus the accuracy of traceability data cannot be guaranteed. Therefore, traditional traceability technologies are not suitable for constructing the expected traceability system of fresh products.
Blockchain is an emerging information technology [] and is distributed among a given business network [,]. Different from traditional information traceability technologies, it has the characteristics of transparency, traceability, and tamper resistance and thus can be used to create trust [] and improve business integration in the FPSC [,,,,,]. Triggered by the increasing food scandals, some enterprises have utilized blockchain to trace their products. For example, Alibaba adopted blockchain technology to prevent and deter food fraud in online sales []. Walmart constructed the blockchain traceability system to trace the mango from farms to stores [].
The implementation of a blockchain-driven traceability system guarantees a high-quality image to consumers. However, its large initial development and operation cost sharply decrease the intention of the FPSC firms to adopt it [,]. Some governments subsidized the local firms on the FPSC to deploy the blockchain-driven traceability system. For example, some European countries have heavily subsidized the production of green and organic vegetables (https://www.e-startupindia.com/learn/operation-green-2020-scheme-50-subsidy-for-fruits-and-vegetables/ (accessed on 12 October 2022)), but other countries have not. Even in a country, the governments in some regions provide subsidies, but the ones in other regions do not [,]. In China, the governments of Guangzhou and Hangzhou have launched funding worth 1 billion RMB ($150 million) dedicated to blockchain subsidies to new companies, but the other governments have not (https://www.newsbtc.com/news/blockchain/millions-in-subsidies-offered-by-chinese-blockchain-industrial-park-to-new-companies/ (accessed on 12 October 2022). https://news.8btc.com/chinese-guangdong-govt-approves-140m-blockchain-subsidy-half-the-chinese-blockchain-enterprises-choose-guangdong (accessed on 12 October 2022)). Such variation in government subsidy strategies among different regions has been referred to as subsidy strategy heterogeneity. Given the government subsidy strategy heterogeneity, the current literature mainly focuses on the interaction of the subsidy strategy and blockchain adoption decision in the FPSC [,,,], but they do not study the optimal operation policies simultaneously considering the blockchain-driven traceability level and the subsidy strategy heterogeneity. We hope to fill this gap by addressing the following research questions. How do a manufacturer and a retailer along the cross-regional FPSC determine operation policies in response to the subsidy strategy heterogeneity? How do the answers to these questions depend on the subsidy strategy heterogeneity, the sensitivity to traceability level, the cost-sharing rate of the manufacturer, the rate of products left after corrosion, and the subsidy rate to the manufacturer? What are the desired subsidy strategies from the perspectives of the manufacturer, the retailer, and the supply chain?
The main contribution of the paper is three-fold. First, we develop the demand and profit functions in a cross-regional FPSC considering a blockchain-driven traceability system for four potential subsidy strategies, i.e., Strategies NN, SN, NS, and SS and construct joint pricing and traceability level decision model for each subsidy strategy in manufacturer Stackelberg game. Second, we determine the optimal operation policy of cross-regional FPSC for each subsidy strategy and theoretically disclose the impacts of significant factors on operation policies and profits. Third, we show desired subsidy strategies from three perspectives of the supply chain, manufacturer, and retailer and further explore the effects of significant factors on desired subsidy strategies from different perspectives.
The rest of the paper is organized as follows. Section 2 reviews the relevant literature. Section 3 presents the problem description, the basic assumptions, and the notation. Section 4 analyzes the market demand and constructs the joint pricing and traceability level decision models for different subsidy strategies. In Section 5, we analyze the optimal operation policies for each of Strategies NN, SN, NS, and SS. Section 6 discusses the desired subsidy strategy from the perspectives of the supply chain, the manufacturer, and the retailer. Section 7 provides managerial insights, and Section 8 concludes the paper with further research. All the proofs are in Appendix A.
2. Literature Review
Our work focuses on operational decisions in a cross-regional FPSC with regional government subsidy heterogeneity to blockchain-driven traceability. It is mainly relevant to three streams: blockchain adoption in the food supply chain, cross-regional supply chain operations with blockchain, and FPSC operations with government subsidy and blockchain.
The first stream of literature concerns blockchain adoption in the food supply chain, Behnke et al. [] investigated boundary conditions of blockchain adoption in the food supply chain and showed that organizational measures can affect the successful use of blockchain. Xu et al. [] built a traceability model based on blockchain to track and record the whole process of the fruit supply chain and improved the efficiency and transparency of the supply chain. Tan et al. [] studied the halal food supply chain and proposed a conceptual framework for integrating halal processes and technologies in order to improve traceability. Coco et al. [] focused on a traceability system based on blockchain and Internet of Things technology in the Italian bread supply chain. Wu et al. [] investigated the strategies for adopting blockchain technology in FPSC and showed that adopting blockchain technology was not always optimal. Collart and Canales [] investigated the impact of the broad adoption of blockchain-based traceability on the US fresh produce supply chain and discussed whether blockchain technologies might play a role in enhancing supply chain resilience. Liu et al. [] examined the sales mode of the fresh food supply chain based on blockchain technology and found that competition between traditional and online channels can incentivize firms to invest more in product freshness and blockchain-enabled traceability. Liu et al. [] studied the issue of investment decision and coordination considering Big Data and blockchain in a green agri-food supply chain and found the optimal investment policy. For a more detailed review, please refer to the relevant review literature [,,,,,].
Our study is also related to cross-regional supply chain operations with blockchain technology, Niu et al. [] investigated blockchain technology adoption decisions in a cooperative and competitive supply chain composed of multinational companies located in high-tax regions and showed that multinational companies would not adopt blockchain technology when the tax gap is large and downstream competition is fierce. Qian et al. [] examined the trust gap in food safety in food trade between Europe and China and constructed an interconnected traceability model based on blockchain. Choi et al. [] analyzed the operational risks of the global supply chain of air logistics based on blockchain technology using a mean-variance method and further provided significant suggestions. He et al. [] developed an analytical model to explore the effects of blockchain adoption on pricing decisions and profits of the global fresh supply chain and showed that blockchain adoption is not always beneficial to both suppliers and retailers.
Some of the literature is also concerned with the third stream of FPSC operations with government subsidy and blockchain. For example, Ye et al. [] studied the strategic equilibrium of blockchain technology adoption strategy for competing for agri-food supply chains and showed how the government chooses an optimal subsidy scheme to promote the adoption of blockchain technology. Liu et al. [] developed three subsidy models to explore subsidy policies for the development and application of blockchain technology and found that the varying subsidy will help the traceability service provider set lower prices. Meanwhile, Liu et al. [] focused on subsidy and pricing strategies of an agri-food supply chain with big data and blockchain and developed three different subsidy models considering the information service inputs based on big data and blockchain. They found that the subsidy models will not change the variation tendency of prices.
To better position our study in the extant literature and show the innovation, we conduct the comparison of our study with the closely relevant literature in Table 1 with respect to keywords of FPSC, Blockchain, Subsidy heterogeneity, Cross-region, Traceability level, and Pricing.

Table 1.
The comparison of our study with closely relevant literature.
It is necessary to point out that the closest literature to our study are Ye et al. [], Liu et al. [], and Liu et al. [], but there is a major difference between our study and theirs. Specifically, although Ye et al. [], Liu et al. [], and Liu et al. [] have taken account of government subsidy, they do not consider the cross-regional FPSC nor the subsidy differences of multiple regions, which are the focus of our study.
To summarize, the existing studies have made great contributions in separate domains of blockchain adoption in the food supply chain, cross-regional supply chain operations with blockchain, and FPSC operations with government subsidy and blockchain, while their integration is yet to be examined. Thus, the above research results appear less suitable to solve the operation problem in a cross-regional FPSC with regional government subsidy heterogeneity to blockchain-driven traceability. However, in reality, FPSC firms require making decisions on operation policies with respect to multiple subsidy strategies among different regions. On this basis, we conduct the study on operation policies in a cross-regional FPSC with regional government subsidy heterogeneity to blockchain-driven traceability.
3. Problem Description, Assumption, and Notation
3.1. Problem Description
In this paper, we consider a cross-regional FPSC consisting of one manufacturer and one retailer. The manufacturer and the retailer are located in different regions. For the convenience of description, we will refer to the location of the manufacturer as Region 1 and its local government as Government 1, and the location of the retailer as Region 2 and its local government as Government 2. The government can subsidize the implementation of a blockchain-driven traceability system for its local firms in the FPSC. Such a subsidy program not only aims to leverage fresh product quality and safety but also to impact the operational decisions of the supply chain members.
Given the subsidy strategy difference between the local governments in the two regions, we focus on the following four combination subsidy strategies:
Strategy NN: Both Governments 1 and 2 will not subsidize supply chain members. The manufacturer and the retailer need to bear the development cost of a blockchain-driven traceability system. The structure and interaction process of the FPSC system in Strategy NN are depicted in Figure 1.

Figure 1.
The structure and interaction process of FPSC system in Strategy NN.
Strategy SN: Government 1 will subsidize the manufacturer with a subsidy rate , but Government 2 will not subsidize the retailer. The manufacturer and the retailer need to share the development cost of a blockchain-driven traceability system. The structure and interaction process of the FPSC system in Strategy SN are depicted in Figure 2.

Figure 2.
The structure and interaction process of FPSC system in Strategy SN.
Strategy NS: Government 2 will subsidize the retailer with a subsidy rate , but Government 1 will not subsidize the manufacturer. Both the manufacturer and the retailer need to share the development cost of a blockchain-driven traceability system. The structure and interaction process of the FPSC system in Strategy NS are depicted in Figure 3.

Figure 3.
The structure and interaction process of FPSC system in Strategy NS.
Strategy SS: Both Governments 1 and 2 will subsidize supply chain members, i.e., Government 1 will subsidize the manufacturer with a subsidy rate , and Government 2 will subsidize the retailer with a subsidy rate . Both the manufacturer and the retailer need to share the development cost of a blockchain-driven traceability system. The structure and interaction process of the FPSC system in Strategy SS are depicted in Figure 4.

Figure 4.
The structure and interaction process of FPSC system in Strategy SS.
Under each of the four government subsidy strategies, we set up a Stackelberg game. The manufacturer plays as a leader, and the retailer plays as a follower. The decision process is as follows. In Stage 1, the manufacturer determines the traceability level and the wholesale price considering different local government subsidy strategies and the cost of building a blockchain-driven traceability system. In Stage 2, knowing the manufacturer’s decision information, market demand, and local government subsidy strategies, the retailer determines the margin price and further determines the retail price .
The retailer will order fresh products from the manufacturer in preselling period according to the market demand information. Then the manufacturer will produce and deliver fresh products to a retailer before the selling period. When the selling period begins, the retailer sells fresh products into the market. For the whole producing and selling processes of fresh products, the information is recorded and revealed by the blockchain-driven traceability system.
The problem analyzed in this study is to determine optimal operation policies in a cross-regional FPSC with regional government subsidy heterogeneity to blockchain-driven traceability. To solve the problem, we require to focus on the following technical sub-questions:
- (1)
- How to build the demand and profit functions considering blockchain-driven traceability and government subsidy heterogeneity
- (2)
- How to construct joint pricing and traceability level decision models for Strategies NN, SN, NS, and SS in the manufacturer Stackelberg game?
- (3)
- How to determine optimal operation policies and profits of FPSC members for Strategies NN, SN, NS, and SS?
- (4)
- How do significant factors affect the optimal policies of manufacturers and retailers for Strategies NN, SN, NS, and SS?
- (5)
- How to determine the desired subsidy strategy from each perspective of the supply chain, manufacturer, and retailer in the manufacturer Stackelberg game?
3.2. Assumption
In order to clearly present our study and formulate the model, the necessary assumptions are summarized as follows:
Assumption 1.
The manufacturer and the retailer are under the jurisdiction of different local governments, and the government can provide subsidies only to the local firm. Specifically, if the governments choose to provide the subsidy, then Government 1 will only provide a subsidy to the manufacturer, and Government 2 will only provide a subsidy to the retailer.
Assumption 2.
The manufacturer and the retailer need to share the development cost of a blockchain-driven traceability system, and the cost is a quadratic function of the traceability level [,]. Given the traceability level and the traceability cost coefficient , we consider the development cost of a blockchain-driven traceability system is .
Assumption 3.
The packaging of fresh products will clearly indicate traceability information, and consumers can easily identify product traceability information when buying [,].
3.3. Notation
In the following, the notation for decision variables, parameters, and functions is given in Table 2. It is necessary to point out that superscript is used to mark four different subsidy strategies, where .

Table 2.
Notations.
4. Models
4.1. Demand Function
In FPSC, the market demand can be affected by some factors, such as the retail price of fresh product and the product traceability level. Generally, the demand decreases with the retail price but increases with the traceability level []. According to the existing literature [,,,,], we build the demand function as follows:
where is the potential intrinsic demand, ; is the sensitivity coefficient of consumers to product retail price, ; is the sensitivity coefficient of consumers to the traceability level of fresh products, and the larger is, the more sensitive the consumers are to the traceability level.
According to the market demand function and the rate of products left after corrosion , we can determine the order quantity function of the retailer, i.e.,
It is necessary to note that the retail price consists of wholesale price and margin price , and thus it can be expressed as the following equation:
4.2. Profit Functions and Models for Different Subsidy Strategies
4.2.1. Strategy NN
In Strategy NN, according to the demand function and interaction process of supply chain members, as shown in Figure 1, the profit functions of manufacturer and retailer can be determined, i.e.,
By Equations (1)–(3), the profit functions of the manufacturer and retailer can be converted into the following forms, i.e.,
Furthermore, by Equations (6) and (7), the profit function of the supply chain can be determined, i.e.,
On the basis, according to the manufacturer Stackelberg game, we can construct the joint pricing and traceability level decision model considering blockchain-driven traceability and Strategy NN, i.e.,
4.2.2. Strategy SN
In Strategy SN, according to Figure 2, the profit functions of the manufacturer and retailer can be determined, i.e.,
By Equations (1)–(3), the profit functions can be converted into the following forms, i.e.,
Furthermore, by Equations (11) and (12), the profit function of the supply chain can be determined, i.e.,
On this basis, we can construct the joint pricing and traceability level decision model considering blockchain-driven traceability and Strategy SN, i.e.,
4.2.3. Strategy NS
In Strategy NS, according to Figure 3, the profit functions of the manufacturer and retailer can be determined, i.e.,
According to Equations (1)–(3), the profit functions can be converted into the following forms, i.e.,
Furthermore, by Equations (16) and (17), the profit function of the supply chain can be determined, i.e.,
On this basis, we can construct the joint pricing and traceability level decision model considering blockchain-driven traceability and Strategy NS, i.e.,
4.2.4. Strategy SS
In Strategy SS, according to Figure 4, the profit functions of the manufacturer and retailer can be determined, i.e.,
According to Equations (1)–(3), the two profit functions can be converted into the following forms, i.e.,
Furthermore, by Equations (21) and (22), the profit function of the supply chain can be determined, i.e.,
According to the Stackelberg game, we construct the joint pricing and traceability level decision model considering blockchain-driven traceability and Strategy SS, i.e.,
5. Optimal Operation Policies
5.1. Optimal Operation Policy for Strategy NN
By solving Model 1, we can obtain the following theorems, corollaries, and propositions.
Theorem 1.
For Strategy NN, the optimal wholesale price of manufacturer , marginal price of retailer , and traceability level of fresh product are
On the basis, according to Equation (3) and Theorem 1, we can obtain the following corollary, i.e.,
Corollary 1.
For Strategy NN, the retailer’s optimal retail price can be uniquely determined, i.e.,
According to Theorem 1 and Equations (6)–(8), we can determine optimal profits of the manufacturer , retailer , and supply chain , i.e.,
Based on the above analysis, we can obtain the following propositions:
Proposition 1.
For Strategy NN, , and are related to parameters , , and , i.e.,
- (a)
- and increase with and , but decrease with ;
- (b)
- increases with , but decreases with ; increases with if , otherwise it decreases with .
where .
According to Proposition 1, we use Table 3 to show and compare the sensitivities of optimal operation policy to model parameters for Strategy NN.

Table 3.
The sensitivities of optimal operation policy to model parameters for Strategy NN.
We find from Table 3 that, in Strategy NN, parameters , , and can affect the optimal operation policy , , and . Specifically, , , and increase with parameter but decrease with . and increase with parameter . In addition, the impact of parameter on is not monotonous.
For the impact of parameter on the optimal operation policy, it is because that increasing will increase the impact of traceability level on demand. To enhance the demand, the manufacturer will increase traceability level , and then the profits of the supply chain will increase. Meanwhile, to obtain more profits, the manufacturer will increase the wholesale price , and the retailer will increase the margin price . Obviously, the sensitivity coefficient of consumers to the traceability level will directly affect the market demand and will further affect the optimal operation policy and profits. These findings are beneficial for managers in practice to adjust the optimal operation policy when the sensitivity coefficient of consumers to the traceability level changes.
For the impact of parameter on the optimal operation policy, it is because that increasing will decrease the manufacturer’s profit. To keep the beneficial level, the manufacturer will seek more market demand by decreasing wholesale price . Meanwhile, to reduce the cost, the manufacturer tends to decrease the traceability level . In addition, for equilibrium and stability of the supply chain, the retailer needs to transfer some profits to the manufacturer by decreasing the margin price . In fact, the decreasing can also increase the market demand to a varying degree. These findings can also benefit supply chain firms in determining optimal operation policy with respect to the change of the cost-sharing rate of the manufacturer for building a blockchain-driven traceability system.
For the impact of parameter on the optimal operation policy, it is because that increasing will reduce the production cost and will further improve the vertical competition advantage of the manufacturer. Thus, the manufacturer tends to increase the wholesale price to seek more profits. Meanwhile, the manufacturer can transfer some profits to the retailer by increasing the traceability level to improve market demand. In fact, the manufacturer will bear more traceability cost if increasing . Despite receiving the transferred profits, the retailer can also increase or decrease the margin price ; the trend will depend on the increasing extent of the wholesale price and traceability level . These findings can be used to guide supply chain firms to determine operation policy, especially for the retailer in price adjustment when the rate of products left after corrosion changes.
Proposition 2.
For Strategy NN, , , and are related to parameters , , and , i.e.,
- (a)
- increases with and , but decreases with ;
- (b)
- increases with ; increases with if , otherwise it decreases with ; increases with if , otherwise it decreases with ;
- (c)
- increases with ; increases with if , otherwise it decreases with ; increases with if , otherwise it decreases with ;
where , , , .
According to Proposition 2, we use Table 4 to show and compare the sensitivities of optimal profits to model parameters for Strategy NN.

Table 4.
The sensitivities of optimal profits to model parameters for Strategy NN.
We find from Table 4 for Strategy NN that parameters , , and can affect optimal profits , , and . Generally, is monotonously affected by parameters , , and , and parameter can monotonously affect optimal profits , , and . However, and are non-monotonously affected by parameters and .
Specifically, increasing will first improve the market demand and then the profit of the supply chain leader, i.e., the manufacturer, but the change in the retailer’s profit is not certain. This is because, in this situation, the manufacturer will increase the wholesale price to seek more profits from the supply chain, and the retailer has to increase the margin price to keep the profit level or seek more benefits. The change in the retailer’s profit is directly related to margin price and demand. Since the change extents of margin price and demand are not uncertain with parameter , so the impact of parameter on profit will not be monotonous. The profit of the supply chain consists of the profits of both manufacturers and retailers. Although the manufacturer’s profit increases with parameter , the retailer’s profit can decrease; thus, the impact of parameter on the profit of the supply chain is not monotonous.
For parameter , the manufacturer will decrease with the parameter since increasing leads to more cost for building a blockchain-driven traceability system. To avoid more loss, the manufacturer will first decrease the traceability level to reduce the cost and then decrease the wholesale price to reduce the decline in demand. Meanwhile, the retailer will also decrease the margin price to reduce the decline in demand, which may lead to a decline in the retailer’s profit. Given that the retailer’s cost of building a blockchain-driven traceability system is decreasing, the retailer’s profit may also increase. Accordingly, the profit of the supply chain may increase or decrease with parameter .
In addition, increasing leads to improving the quality of fresh products and directly reduces the production cost of the manufacturer and further the total cost of the supply chain. Thus, the manufacturer’s profit increases. On this basis, the retailer’s profit also increases since the profit can be transferred from the manufacturer to the retailer for supply chain equilibrium and stability.
5.2. Optimal Operation Policy for Strategy SN
By solving Model 2, we can obtain the following theorems, corollaries, and propositions.
Theorem 2.
For Strategy SN, the optimal wholesale price of manufacturer , marginal price of retailer , and traceability level of fresh product are
On the basis, according to Equation (3) and Theorem 2, we can obtain the following corollary, i.e.,
Corollary 2.
For Strategy SN, the retailer’s optimal retail price can be uniquely determined, i.e.,
According to Theorem 2 and Equations (11)–(13), we can determine optimal profits of the manufacturer , retailer , and supply chain , i.e.,
Based on the above analysis, we can obtain the following propositions:
Proposition 3.
For Strategy SN, , , and are related to parameters , , and , i.e.,
- (a)
- and increase with , , and , but decrease with ;
- (b)
- increases with and , but decreases with ; increases with if , otherwise it decreases with .
where .
According to Proposition 3, we use Table 5 to show and compare the sensitivities of optimal operation policy to model parameters for Strategy SN.

Table 5.
The sensitivities of optimal operation policy to model parameters for Strategy SN.
From Table 5 for Strategy SN, we can also see that the parameters , , , and can affect the optimal operation policy. Since the impact trends and extents of parameters , , and on the optimal operation policy are similar to the ones in Table 3, we will not repeat the illustrations here.
Particularly, , , and increase with parameter , this is because the external subsidy will improve the profit of the manufacturer. To seek more profit, the manufacturer will increase the wholesale price , leading to a decline in demand. For the equilibrium and stability of the supply chain, the manufacturer will also increase the traceability level to improve the demand. Meanwhile, the retailer will seek more profit by increasing the margin price .
Proposition 4.
For Strategy SN, , , and are related to parameters , , , and , i.e.,
- (a)
- increases with , , and , but decreases with ;
- (b)
- increases with ; increases with if , otherwise it decreases with ; increases with if , otherwise it decreases with ; increases with if , otherwise it decreases with ;
- (c)
- increases with ; increases with if , otherwise it decreases with ; increases with if , otherwise it decreases with ; increases with if , otherwise it decreases with ;
- where , ,
- , ,
- , .
According to Proposition 4, we use Table 6 to show and compare the sensitivities of optimal profits to model parameters for Strategy SN.

Table 6.
The sensitivities of optimal profits to model parameters for Strategy SN.
From Table 6 for Strategy SN, we can also see that the parameters , , , and can affect optimal profits. Since impact trends and extents of parameters , , and are similar to the ones in Table 4, we will not repeat the illustrations here.
In addition, , , and are sensitive to parameter . Specifically, subsidy rate can monotonously increase profit , but can non-monotonously affect the profits and . This is because that subsidy rate can directly affect the manufacturer’s profit but indirectly affect the retailer’s profit. Since the indirect impact trend and extent of the subsidy rate on the retailer’s profit are related to the increasing size of the wholesale price, and the change of wholesale price is not certain, the retailer’s profit is not monotonously affected by the subsidy rate . On this basis, the impact trend on the profit of the supply chain is also monotonous.
5.3. Optimal Operation Policy for Strategy NS
By solving Model 3, we can obtain the following theorems, corollaries, and propositions.
Theorem 3.
For Strategy NS, the optimal wholesale price of manufacturer , marginal price of retailer , and traceability level of fresh product are
On the basis, according to Equation (3) and Theorem 3, we can obtain the following corollary, i.e.,
Corollary 3.
For Strategy NS, the retailer’s optimal retail price can be uniquely determined, i.e.,
According to Theorem 3 and Equations (16)–(18), we can determine optimal profits of the manufacturer , retailer , and supply chain , i.e.,
Based on the above analysis, we can obtain the following propositions:
Proposition 5.
For Strategy NS, , , and are related to parameters , , and , i.e.,
- (a)
- and increase with and , but decrease with ;
- (b)
- increases with , but decreases with ; increases with if , otherwise it decreases with ;
- (c)
- , , and are not related to .
where .
According to Proposition 5, we use Table 7 to show and compare the sensitivities of optimal operation policy to model parameters for Strategy NS.

Table 7.
The sensitivities of optimal operation policy to model parameters for Strategy NS.
From Table 7 for Strategy NS, we can also see the parameters , , and can affect the optimal operation policy. Since the impact trends and extents of parameters , , and on the optimal operation policy are similar to the ones in Table 3, we will not repeat the illustrations here.
It is necessary to note that parameter will not affect the optimal operation policy. This is because the subsidy from government 2 is related to the retailer’s profit but is not relevant to the retailer’s decision. In fact, the subsidy from government 2 is an exogenous compensation for the retailer. Thus, the parameter cannot affect the optimal operation policy.
Proposition 6.
For Strategy NS, , , and are related to parameters , , , and , i.e.,
- (a)
- increases with and , but decreases with ; is not related to ;
- (b)
- increases with and ; increases with if , otherwise it decreases with ; increases with if , otherwise it decreases with ;
- (c)
- increases with and ; increases with if , otherwise it decreases with ; increases with if , otherwise it decreases with .
- where , ,
- ,
- .
According to Proposition 6, we use Table 8 to show and compare the sensitivities of optimal profits to model parameters for Strategy NS.

Table 8.
The sensitivities of optimal profits to model parameters for Strategy NS.
From Table 8 for Strategy NS, we can also see that the parameters , , and can affect optimal profits. Since impact trends and extents of parameters , , and are similar to the ones in Table 4, we will not repeat the illustrations here.
In addition, it is necessary to point out that parameter can affect the retailer’s profit and further affect the profit of the supply chain. However, it cannot affect the manufacturer’s profit since the subsidy from government 2 is regarded as the exogenous compensation for the retailer.
5.4. Optimal Operation Policy for Strategy SS
By solving Model 4, we can obtain the following theorems, corollaries, and propositions.
Theorem 4.
For Strategy SS, the optimal wholesale price of manufacturer , marginal price of retailer , and traceability level of fresh product are
On the basis, according to Equation (3) and Theorem 4, we can obtain the following corollary, i.e.,
Corollary 4.
For Strategy SS, the retailer’s optimal retail price can be uniquely determined, i.e.,
According to Theorem 4 and Equations (21)–(23), we can determine optimal profits of the manufacturer , retailer , and supply chain , i.e.,
Based on the above analysis, we can obtain the following propositions:
Proposition 7.
For Strategy SS, , , and are related to parameters , , , and , i.e.,
- (a)
- and increase with , , and , but decrease with ;
- (b)
- increases with and , but decreases with ; increases with if , otherwise it decreases with ;
- (c)
- , , and are not related to .
where .
According to Proposition 7, we use Table 9 to show and compare the sensitivities of optimal operation policy to model parameters for Strategy SS.

Table 9.
The sensitivities of optimal operation policy to model parameters for Strategy SS.
From Table 9 for Strategy SS, we can also see that the parameters , , , and can affect the optimal operation policy. Since the impact trends and extents of parameters , , , and on the optimal operation policy are similar to the ones in Table 5, and the sensitivity of parameter is similar to the one in Table 7, we will not repeat the illustrations here.
Proposition 8.
For Strategy SS, , , and are related to parameters , , , , and , i.e.,
- (a)
- increases with , , and , but decreases with ; is not related to ;
- (b)
- increases with and ; increases with if , otherwise it decreases with ; increases with if , otherwise it decreases with ; increases with if , otherwise it decreases with ;
- (c)
- increases with and ; increases with if , otherwise it decreases with ; increases with if , otherwise it decreases with ; increases with if , otherwise it decreases with .
- where ,
- , ,
- ,
- , .
According to Proposition 8, we use Table 10 to show and compare the sensitivities of optimal profits to model parameters for Strategy SS.

Table 10.
The sensitivities of optimal profits to model parameters for Strategy SS.
From Table 10 for Strategy SS, we can also see that the parameters , , , , and can affect optimal profits. Since impact trends and extents of parameters , , , and are similar to the ones in Table 6, and the impact trends and extents of parameter is similar to the ones in Table 8, we will not repeat the illustrations here.
Based on the above theoretical results for Strategies NN, SN, NS, and SS and the comparative analysis among the impacts of model parameters on operation policies and profits, as shown in Table 4, Table 5, Table 6, Table 7, Table 8, Table 9 and Table 10, we highlight the following findings.
Finding 1: For four subsidy strategies, the effects of model parameters on optimal operation policies generally follow the monotonous trend. Specifically, the optimal policies increase with sensitivity coefficient and subsidy rate , decrease with cost-sharing rate , are not related to subsidy rate , and generally increase with rate of products left after corrosion.
Finding 2: For four subsidy strategies, increasing is always beneficial to the manufacturer but is not to the retailer and the supply chain. This is because increasing will lead the manufacturer to seek more share of supply chain profit and may further greatly reduce the retailer’s profit. Similarly, increasing always hurts the manufacturer’s profit and can be beneficial to the retailer and supply chain to varying degrees, but it is not always beneficial to them. The whole supply chain can benefit from the suitable cost-sharing rate of the manufacturer for building a blockchain-driven traceability system.
Finding 3: For four subsidy strategies, increasing rate of products left after corrosion will always benefit all supply chain members since the quality of fresh products is continuously improved. Therefore, to seek more profits, the manufacturer could improve the quality of fresh products in production and transportation processes, and the retailer could maintain the quality during the selling period.
Finding 4: For four subsidy strategies, the government subsidy to the manufacturer in region 1 is always beneficial to the manufacturer but not always beneficial to the retailer and the whole supply chain. Generally, the government in region 1 can affect the adoption intention of all supply chain members with respect to the blockchain-driven traceability system by adjusting the subsidy rate .
Finding 5: For four subsidy strategies, the government subsidy to the retailer in region 2 is always beneficial to the retailer and the whole supply chain but will not affect the decision and profits of the manufacturer. Obviously, the government in region 2 can directly affect the adoption intention of the retailer with respect to the blockchain-driven traceability system by adjusting the subsidy rate , and indirectly affecting that of the supply chain.
6. Desired Subsidy Strategy Analysis
By comparing the optimal profits of four subsidy strategies, we analyze desired subsidy strategies from the perspectives of supply chain, manufacturer, and retailer.
6.1. Desired Subsidy Strategy from the Perspective of Supply Chain
Proposition 9.
From the perspective of the supply chain, Strategy NS dominates Strategy NN, Strategy SS dominates Strategy SN, and the desired subsidy strategy cannot be uniquely determined and can be
- (a)
- Strategy NS if ;
- (b)
- Strategy SS if ;
where , , , .
We can see from Proposition 9 that the desired subsidy strategy from the perspective of the manufacturer is not uniquely determined and can be affected by significant parameters , , and . To show the impact of the significant parameters on the subsidy strategy, we conduct the numerical analysis, as shown in Figure 5, Figure 6 and Figure 7. It is necessary to point out that we determine the parameters’ values in the numerical analysis according to the optimal solution conditions for four strategies and the values used in existing literature [,]. The determined values are as follows, , , , , , (), (), (), , and .

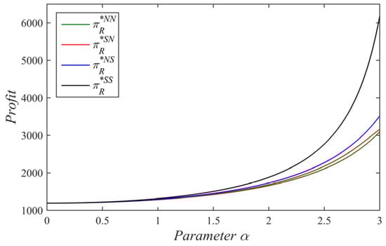
Figure 5.
The impact of parameter on the profits of supply chain.

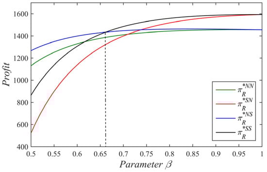
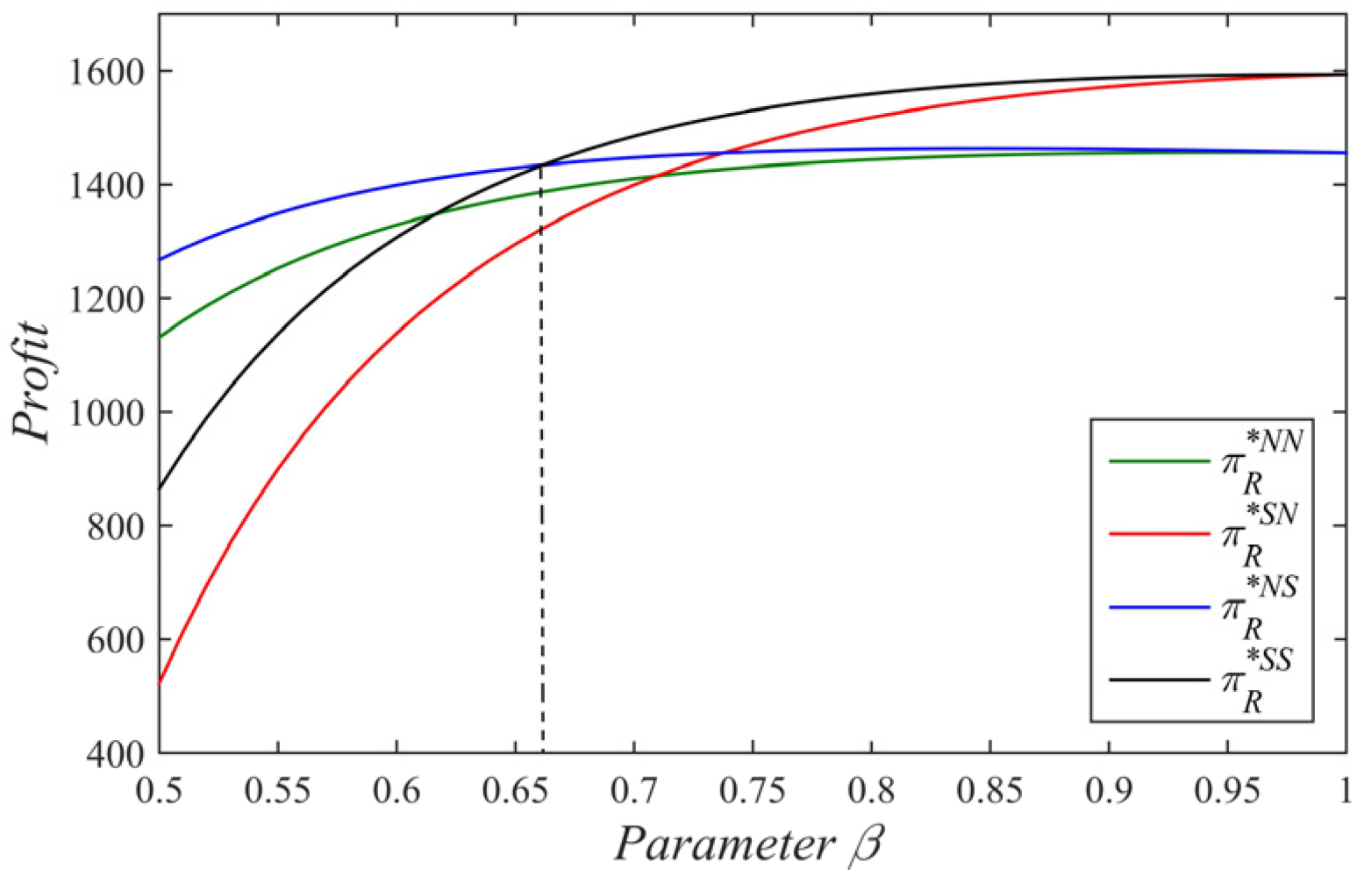
Figure 6.
The impact of parameter on the profits of supply chain.

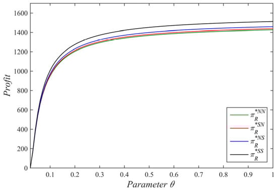
Figure 7.
The impact of parameter on the profits of supply chain.
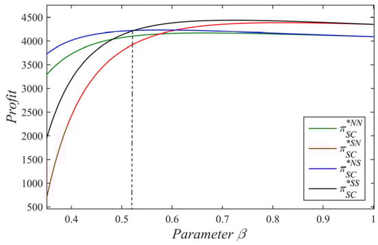
Figure 5 discloses the impact of the sensitivity coefficient on the profits of the supply chain and desired subsidy strategy from the perspective of the supply chain. From Figure 5, we find that the profits of the supply chain for four strategies increase with parameter , and the profit for Strategy NS is greater than the one for Strategy NN, and the profit for Strategy SS is greater than the one for Strategy SN. Obviously, Strategy NS dominates Strategy NN, and Strategy SS dominates Strategy SN. This finding is consistent with Proposition 9. In addition, we find Strategy SS is better than Strategy NS, i.e., the desired subsidy strategy from the perspective of the supply chain will be Strategy SS and will not change with the increase in consumers’ sensitivity to the traceability level of products. This finding can testify the conclusion of (a) in Proposition 9.
Figure 6 discloses the impact of the cost-sharing rate of the manufacturer for building a blockchain-driven traceability system on the profits of the supply chain and desired subsidy strategy from the perspective of the supply chain. We can see from Figure 6 that the profits of the supply chain for four strategies are not monotonous functions with parameter , and first increase sharply and then decrease with parameter . Compared with the impacts of parameter on supply chain profits for Strategies NS and NN, the ones for Strategies SN and SS are more sensitive. With the change of parameter , the desired subsidy strategy changes from Strategy NS to Strategy SS. It implies that parameter can affect the choice result of desired subsidy strategy. In addition, we find that the more the parameter is, the lower the profit difference between Strategies NS and NN or between Strategies SN and SS. The above findings can show the impact of the cost-sharing rate and testify the conclusion of Proposition 9.
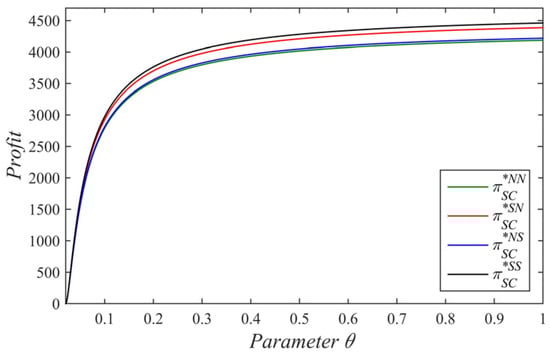
Figure 7 discloses the impact of rate of products left after corrosion on supply chain profits and desired subsidy strategy from the perspective of the supply chain. From Figure 6, we find that supply chain profits for four strategies increase with parameter , and the desired subsidy strategy from the perspective of the supply chain will be Strategy SS. It is necessary to note that desired subsidy strategy will not change with the rate of products left after corrosion. We also find that Strategy NS always dominates Strategy NN, and Strategy SS always dominates Strategy SN. The above findings are consistent with and testify the conclusion of Proposition 9.
Proposition 9 suggests from the supply chain perspective that the decision-maker can pay more attention to the subsidy strategy in region 2 and is further sensitive to the one for other supply chain members. The desired subsidy strategy is to offer a subsidy to the retailer in region 2, but for the manufacturer in region 1, offering a subsidy will depend on the market environment and product characteristics. For a lower cost-sharing rate of the manufacturer for building a blockchain-driven traceability system, the desired subsidy strategy is not to provide the subsidy to the manufacturer in region 2, but for a higher one, the desired subsidy strategy is to provide the subsidy.
6.2. Desired Subsidy Strategy from the Perspective of the Manufacturer
Proposition 10.
From the perspective of the manufacturer, the desired subsidy strategy can be an arbitrary one of Strategies SN and SS.
From Proposition 10, we find that, from the perspective of the manufacturer, the manufacturer’s profit for Strategy SS is equal to the one for Strategy NS, the one for Strategy NS is equal to the one for Strategy NN, and the one for Strategy SS is greater than the one for Strategy NS. Similar to the analysis for Proposition 9, we also conduct the numerical analysis for Proposition 10 and obtain the impacts of parameters , , and , as shown in Figure 8, Figure 9 and Figure 10.

Figure 8.
The impact of parameter on the profits of manufacturer.

Figure 9.
The impact of parameter on the profits of manufacturer.

Figure 10.
The impact of parameter on the profits of manufacturer.
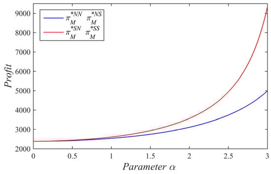
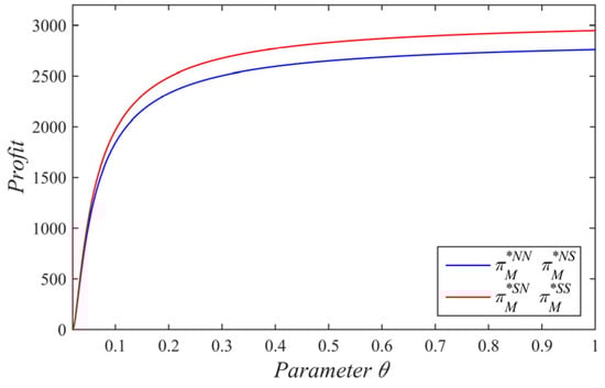
Figure 8, Figure 9 and Figure 10 disclose the impacts of the sensitivity coefficient , cost-sharing rate of the manufacturer for building a blockchain-driven traceability system, and rate of products left after corrosion on the manufacturer’s profit and desired subsidy strategy from the perspective of the manufacturer. We find that these three parameters can sharply affect the manufacturer’s profits but cannot change the desired subsidy strategy, and the impact trend of parameter is opposite to the ones of parameters and . Strategies SS and SN dominate Strategies NS and NN, and the desired subsidy strategy is arbitrary one of Strategies SS and SN. Obviously, the above findings can testify the conclusions in Proposition 10.
Proposition 10 suggests from the perspective of the manufacturer that the manufacturer will only concern about the subsidy strategy to the manufacturer in region 1 and is not sensitive to the one for other supply chain members.
6.3. Desired Subsidy Strategy from the Perspective of Retailer
Proposition 11.
From the perspective of the retailer, Strategy NS dominates Strategy NN, Strategy SS dominates Strategy SN, and the desired subsidy strategy cannot be uniquely determined and can be
- (a)
- Strategy NS if ;
- (b)
- Strategy SS if ;
where , , , .
From Proposition 11, we find that, from the perspective of the retailer, the desired subsidy strategy will be one of Strategy NS and SS, and the retailer’s profits can be affected by the parameters , , and . Similar to the analysis for Proposition 9, we also conduct the numerical analysis to explore the impacts of these three parameters for Proposition 11, as shown in Figure 11, Figure 12 and Figure 13.

Figure 11.
The impact of parameter on the profits of retailer.

Figure 12.
The impact of parameter on the profits of retailer.

Figure 13.
The impact of parameter on the profits of retailer.
By analysis, we find the impact trends of the parameters , , and in Proposition 11 are similar to the ones in Proposition 9, so we do not repeat them here. The findings are also consistent with and can testify the conclusions of Proposition 11.
Proposition 11 suggests that, from the perspective of a retailer, the desired subsidy strategy cannot be uniquely determined. Generally, the retailer will benefit from the subsidy in region 2 and is also sensitive to the subsidy strategy for the manufacturer in region 1.
By comparing theoretical results in Propositions 9–11 and in Figure 5, Figure 6, Figure 7, Figure 8, Figure 9, Figure 10, Figure 11, Figure 12 and Figure 13, we obtain the following findings:
Finding 6: The desired subsidy strategy from each perspective of the supply chain, manufacturer, or retailer cannot be uniquely determined, and Strategy NN will not be desired subsidy strategy. It indicates that the desired subsidy strategy tends to be offering subsidies to supply chain member(s).
Finding 7: The desired subsidy strategies from different perspectives are generally different but can be the same, i.e., Strategy SS under certain conditions. From both supply chain and retailer perspectives, the desired subsidy strategies can be one of Strategies NS and SS, but the choice conditions from the two different perspectives are different. From the perspective of the manufacturer, the desired subsidy strategy is one of Strategies SS and SN. Obviously, the supply chain members can reach an agreement for Strategy SS.
Finding 8: The impacts of the sensitivity coefficient of consumers on the traceability level of products, the cost-sharing rate of the manufacturer for building a blockchain-driven traceability system, and the rate of products left after corrosion on the desired subsidy strategy are different. Specifically, from three perspectives, the more the sensitivity coefficient of consumers to the traceability level of products or the rate of products left after corrosion is, the greater the advantage of desired subsidy strategy is. Conversely, the more the cost-sharing rate of the manufacturer for building a blockchain-driven traceability system is, the lower the advantage of desired subsidy strategy is.
It is necessary to point out that, for all three perspectives, the sensitivity coefficient of consumers to the traceability level of products and the rate of products left after corrosion can only affect the advantage of the desired subsidy strategy but will not affect the desired subsidy strategy. Different from the impacts of these two parameters, from the perspectives of the supply chain and retailer, the cost-sharing rate of the manufacturer for building a blockchain-driven traceability system can affect the desired subsidy strategy. In addition, from the perspective of the manufacturer, the desired subsidy strategy will not be affected by the above three parameters.
7. Managerial Insights
Based on theoretical results and main observations in the above analyses, we obtain the following new and significant insights from managerial and economic viewpoints.
- (1)
- FPSC operation viewpoint: In deciding operation policies, the supply chain members need to consider the impacts of the consumer sensitivity to traceability level, the cost-sharing rate of the manufacturer for building a blockchain-driven traceability system, and the rate of products left after corrosion. If the consumer sensitivity to traceability level and the rate of products left after corrosion is greater, FPSC can obtain more profits by increasing price.
Obviously, FPSC can benefit from the publicity for the advantages of blockchain-driven traceability systems since it can increase market demand. In addition, FPSC can also benefit from blockchain-driven traceability if the manufacturer bears more cost for building a blockchain-driven traceability system in a reasonable range. It is necessary to point out that quality improvement is always beneficial to the whole FPSC.
- (2)
- Subsidy strategy selection viewpoint: The desired subsidy strategy is not uniquely-determined, but FPSC will tend to obtain more subsidies. Specifically, the supply chain and retailer will prefer Strategies NS and SS, but the manufacturer will prefer Strategies SN and SS. For four potential subsidy strategies in FPSC, Strategy NN will never be desired. From all perspectives, Strategy SS could be desired under certain conditions. Although Strategy SS will not decrease the cost of blockchain-driven traceability, it can greatly reduce the capital pressure and can further benefit the whole FPSC members.
- (3)
- Impact factor viewpoint: FPSC firms need to pay more attention to the cost-sharing rate of the manufacturer for building a blockchain-driven traceability system since it is significantly relevant to the desired subsidy strategy. Specifically, with an increasing cost-sharing rate, the supply chain and retailer will change the desired subsidy strategy from Strategy NS to Strategy SS, and the manufacturer will change it from Strategy SN to Strategy SS. Obviously, the value of the cost-sharing rate can directly affect the operation costs of manufacturers and retailers and further affect the operation policy and profits of FPSC members. Generally, the manufacturer can reduce the cost by decreasing the cost-sharing rate.
- (4)
- Government intervention viewpoint: The government subsidy can promote the adoption intentions of FPSC members with respect to the blockchain-driven traceability system. Compared with the subsidy to the retailer, the one to the manufacturer can affect more. FPSC will prefer Strategy SS if both governments offer subsidies and Strategy SN to Strategy NS if only one government provides the subsidy. Obviously, government intervention can directly affect the adoption of a blockchain-driven traceability system and further affect the costs and profits of FPSC members. Therefore, both governments can incentivize FPSC to adopt a blockchain-driven traceability system to improve the safety of fresh products and contribute to the benign development of the FPSC system.
8. Conclusions
In this work, we studied operation policies in a cross-regional FPSC with regional government subsidy heterogeneity to blockchain-driven traceability. First, we analyzed four alternative subsidy strategies: Strategies NN, SN, NS, and SS, then constructed the joint pricing and traceability level decision model for each subsidy strategy based on the manufacturer Stackelberg game. By solving constructed models, we obtained optimal operation policies and profits and further analyzed the theoretical impacts of significant parameters on the policies and profits. Moreover, we theoretically disclosed the desired subsidy strategy by comparing profits for four subsidy strategies from each perspective of the supply chain, manufacturer, or retailer, numerically explored the impacts of significant model parameters on the desired subsidy strategy and obtained some significant findings.
We find that operation policies of supply chain members are different for four potential subsidy strategies and generally can be monotonously affected by the consumer sensitivity to traceability level, cost-sharing rate of the manufacturer for building blockchain-driven traceability system, rate of products left after corrosion, and a subsidy rate of Government 1. However, the subsidy rate of Government 2 will not affect these operation policies. We also find that the profits of supply chain members are also significantly related to the above parameters. Particularly, increasing the rate of products left after corrosion can always benefit both supply chain members, and the subsidy rate of Government 2 can always benefit the retailer but will not be related to the manufacturer. In addition, increasing the subsidy rate of Government 1 can always benefit the manufacturer but can hurt the retailer’s and supply chain’s profits.
We also find that the desired subsidy strategy is not uniquely determined from each perspective of the supply chain, manufacturer, or retailer, and desired subsidy strategies from all perspectives are generally different, but under certain conditions, they could be the same, i.e., Strategy SS. In addition, we find from the numerical analysis that the desired subsidy strategy from each perspective is not sensitive to the consumer sensitivity to traceability level and the rate of products left after corrosion but significantly related to the cost-sharing rate of the manufacturer for building a blockchain-driven traceability system.
Compared with existing studies, our study has four advantages. (1) Our study focuses on a significant decision problem in a cross-regional FPSC with regional government subsidy heterogeneity to blockchain-driven traceability; the existing research does not involve it. (2) Our study develops the demand and profit functions in a cross-regional FPSC considering blockchain-driven traceability system for four potential subsidy strategies, i.e., Strategies NN, SN, NS, and SS and constructs joint pricing and traceability level decision model for each subsidy strategy in manufacturer Stackelberg game. The existing research does not involve them. (3) Our study shows the operation policy of cross-regional FPSC for each subsidy strategy and theoretically discloses the impact of significant factors on operation policies and profits. The existing research does not involve them. (4) Our study provides desired subsidy strategies from three perspectives of the supply chain, manufacturer, and retailer and further explores the effects of significant factors on desired subsidy strategies from different perspectives. The existing research does not involve them. In addition, our study also provides some new and significant insights from managerial and economic viewpoints.
Our study has some limitations, which will lead to our further study. (1) We do not consider social welfare, but social welfare is an important decision factor in FPSC operations. For further study, we will pay attention to the social welfare in FPSC and analyze the subsidy strategy choice from the perspectives of the governments in two regions. (2) We do not consider the psychological behaviors of supply chain members, but the psychological behaviors are also significant decision factors in reality. For further study, we will also explore the effect of the psychological behaviors of supply chain members on operations policies and desired subsidy strategy.
Author Contributions
Conceptualization, B.-B.C.; methodology, B.-B.C. and M.-F.Z.; software, M.-F.Z.; validation, B.-B.C. and Q.T.; formal analysis, B.-B.C.; writing—original draft preparation, M.-F.Z. and B.-B.C.; writing—review and editing, B.-B.C. and Q.T.; supervision, B.-B.C.; project administration, B.-B.C.; funding acquisition, B.-B.C. and Q.T. All authors have read and agreed to the published version of the manuscript.
Funding
This work is partly supported by the National Natural Science Foundation of China under Grant Nos. 72002054 and 71972059, National Social Science Foundation of China under Grant Nos. 18ZDA043 and 20BGL187, Science Foundation of Ministry of Education of China under Grant No. 21YJC630043, GuangDong Basic and Applied Basic Research Foundation under Grant No. 2020A1515110618. Science and Technology Planning Project of Guangdong Province under Grant No. 2020A1414010084. University Research Project of Guangzhou Educational Bureau under Grant No. 202032853.
Data Availability Statement
Not applicable.
Conflicts of Interest
The authors declare no conflict of interest.
Appendix A
Proof of Theorem 1.
According to Equation (7), the first order derivative of the profit function of the retailer with respect to can be determined, i.e.,
Let , then, the response function with respect to and can be determined, i.e.,
According to the inverse solution method based on the Stackelberg game, by substituting Equation (A2) into Equation (6), the profit function of the manufacturer for Strategy NN can be determined, i.e.,
On this basis, the first- and second-order partial derivatives of the profit function of the manufacturer with respect to and can be determined, i.e.,
Then the Hessian matrix can be determined, i.e.,
Obviously, if , and then the Hessian matrix is negative definite, further we know that the profit function of the manufacturer is a jointly concave function with respect to and , thus, there is a unique optimal solution to maximize the profit function of the manufacturer .
By Equation (A3), the first order partial derivatives with respect to and can be determined, i.e.,
Furthermore, by F.O.C., the optimal wholesale price of the manufacturer and the optimal traceability level can be determined, i.e.,
On the basis, according to Equation (A2), the optimal margin price of the retailer can be determined, i.e.,
□
Proof of Proposition 1.
According to Equations (24)–(26), the first order partial derivatives of , , and with respect to , , and can be determined, i.e.,
For , according to Equation (A18), we can obtain that if , and that if . □
Proof of Proposition 2.
According to Equations (28)–(30), the first order partial derivatives of , , and with respect to , , and can be determined, i.e.,
For , according to Equation (A25), we can obtain that if and if ; according to Equation (A26), we can obtain that if and if ; according to Equation (A28), we can obtain that if and if ; according to Equation (A29), we can obtain that if and if . □
Proof of Theorem 2.
According to Equation (12), the first order derivative of the profit function of the retailer with respect to can be determined, i.e.,
Let , then, the response function with respect to and can be determined, i.e.,
According to the inverse solution method based on the Stackelberg game, by substituting Equation (A32) into Equation (11), the profit function of the manufacturer for Strategy SN can be determined, i.e.,
On this basis, the first- and second-order partial derivatives of the profit function of the manufacturer with respect to and can be determined, i.e.,
Then Hessian matrix can be determined, i.e.,
Obviously, if , and then the Hessian matrix is negative definite, further we know that the profit function of the manufacturer is a jointly concave function with respect to and , thus, we know that there is a unique optimal solution to maximize the profit function of the manufacturer .
By Equation (A33), the first order partial derivatives with respect to and can be determined, i.e.,
Furthermore, by F.O.C., the optimal wholesale price of the manufacturer and the optimal traceability level can be determined, i.e.,
On the basis, according to Equation (A32), the optimal margin price of the retailer can be determined, i.e.,
□
Proof of Proposition 3.
According to Equations (31)–(33), the first order partial derivatives of , , and with respect to , , , and can be determined, i.e.,
For , according to Equation (A49), we can obtain that if , and that if . □
Proof of Proposition 4.
According to Equations (35)–(37), the first order partial derivatives of , , and with respect to , , , and can be determined, i.e.,
For , according to Equation (A59), we can obtain that if and if ; according to Equation (A60), we can obtain that if and if ; according to Equation (A62), we can obtain that if and if ; according to Equation (A63), we can obtain that if and if ; according to Equation (A64), we can obtain that if and if ; according to Equation (A66), we can obtain that if and if . □
Proof of Theorem 3.
According to Equation (17), the first order derivative of the profit function of the retailer with respect to can be determined, i.e.,
Let , then, the response function with respect to and can be determined, i.e.,
According to the inverse solution method based on the Stackelberg game, by substituting Equation (A68) into Equation (16), the profit function of the manufacturer for Strategy NS can be determined, i.e.,
On this basis, the first- and second-order partial derivatives of the profit function of the manufacturer with respect to and can be determined, i.e.,
Then Hessian matrix can be determined, i.e.,
Obviously, if , and then the Hessian matrix is negative definite, further we know that the profit function of the manufacturer is a jointly concave function with respect to and , thus, we know that there is a unique optimal solution to maximize the profit function of the manufacturer .
By Equation (A69), the first order partial derivatives of with respect to and can be determined, i.e.,
Furthermore, by F.O.C., the optimal wholesale price of the manufacturer and the optimal traceability level can be determined, i.e.,
On the basis, according to Equation (A68), the optimal margin price of the retailer can be determined, i.e.,
□
Proof of Proposition 5.
According to Equations (38)–(40), the first order partial derivatives of , , and with respect to , , , and can be determined, i.e.,
For , according to Equation (A85), we can obtain that if , and that if . □
Proof of Proposition 6.
According to Equations (42)–(44), the first order partial derivatives of , , and with respect to , , , and can be determined, i.e.,
For , according to Equation (A95), we can obtain that if and if ; according to Equation (A96), we can obtain that if and if ; according to Equation (A99), we can obtain that if and if ; according to Equation (A100), we can obtain that if and if . □
Proof of Theorem 4.
According to Equation (22), the first order derivative of the profit function of the retailer with respect to can be determined, i.e.,
Let , then, the response function with respect to and can be determined, i.e.,
According to the inverse solution method based on the Stackelberg game, by substituting Equation (A104) into Equation (21), the profit function of the manufacturer for Strategy SS can be determined, i.e.,
On this basis, the first- and second-order partial derivatives of the profit function of the manufacturer with respect to and can be determined, i.e.,
Then Hessian matrix can be determined, i.e.,
Obviously, if , and then the Hessian matrix is negative definite, further we know that the profit function of the manufacturer is a jointly concave function with respect to and , thus, we know that there is a unique optimal solution to maximize the profit function of the manufacturer .
By Equation (A105), the first order partial derivatives of with respect to and can be determined, i.e.,
Furthermore, by F.O.C., the optimal wholesale price of the manufacturer and the optimal traceability level can be determined, i.e.,
On the basis, according to Equation (A104), the optimal margin price of the retailer can be determined, i.e.,
□
Proof of Proposition 7.
According to Equations (45)–(47), the first order partial derivatives of , , and with respect to , , , , and can be determined, i.e.,
For , according to Equation (A122), we can obtain that if , and that if . □
Proof of Proposition 8.
According to Equations (49)–(51), the first order partial derivatives of , , and with respect to , , , , and can be determined, i.e.,
For , according to Equation (A135), we can obtain that if and if ; according to Equation (A136), we can obtain that if and if ; according to Equation (A138), we can obtain that if and if ; according to Equation (A140), we can obtain that if and if ; according to Equation (A141), we can obtain that if and if ; according to Equation (A143), we can obtain that if and if . □
Proof of Proposition 9.
According to Equations (30), (37), (44), and (51), the relationship between , , , and can be determined, i.e.,
From Equations (A146) and (A149), we know and , and thus the maximum value between , , , and can be determined by comparing and . On this basis, we obtain that is maximum if ; otherwise, is maximum. □
Proof of Proposition 10.
According to Equations (28), (35), (42), and (49), the relationship between , , , and can be determined, i.e.,
Obviously, and are equal and can be maximum. □
Proof of Proposition 11.
According to Equations (29), (36), (43), and (50), the relationship between , , , and can be determined, i.e.,
From Equations (A158) and (A161), we know and , and thus the maximum value between , , , and can be determined by comparing and . On the basis, we obtain from Equation (A162) that, is maximum if ; otherwise, is maximum. □
References
- Chen, S.; Liu, X.C.; Yan, J.Q.; Hu, G.W.; Shi, Y.N. Processes, benefits, and challenges for adoption of blockchain technologies in food supply chains: A thematic analysis. Inf. Syst. E-Bus. Manag. 2021, 19, 909–935. [Google Scholar] [CrossRef]
- Li, K.P.; Lee, J.Y.; Gharehgozli, A. Blockchain in food supply chains: A literature review and synthesis analysis of platforms, benefits and challenges. Int. J. Prod. Res. 2021. [Google Scholar] [CrossRef]
- Wu, X.Y.; Fan, Z.P.; Cao, B.B. An analysis of strategies for adopting blockchain technology in the fresh product supply chain. Int. J. Prod. Res. 2021. [Google Scholar] [CrossRef]
- Han, J.L.; Lin, N.; Ruan, J.H.; Wang, X.P.; Wei, W.; Lu, H.M. A model for joint planning of production and distribution of fresh produce in agricultural internet of things. IEEE Internet Things 2020, 8, 9683–9696. [Google Scholar] [CrossRef]
- Meixell, M.J.; Gargeya, V.B. Global Supply Chain design: A literature review and critique. Transp. Res. E-Logist. Transp. Rev. 2015, 41, 531–550. [Google Scholar] [CrossRef]
- Chen, D.; Ignatius, J.; Sun, D.; Goh, M.; Zhan, S. Pricing and equity in cross-regional green supply chains. Eur. J. Oper. Res. 2020, 280, 970–987. [Google Scholar] [CrossRef]
- Azzi, R.; Chamoun, R.K.; Sokhn, M. The power of a blockchain-based supply chain. Comput. Ind. Eng. 2019, 135, 582–592. [Google Scholar] [CrossRef]
- Chi, Y.H.; Wang, Q.X.; Chen, G.S.; Zheng, S.L. The long-term presence of sars-cov-2 on cold-chain food packaging surfaces indicates a new covid-19 winter outbreak: A mini review. Front. Public Health 2021, 9, 650493. [Google Scholar] [CrossRef]
- Fan, Z.P.; Wu, X.Y.; Cao, B.B. Considering the traceability awareness of consumers: Should the supply chain adopt the blockchain technology? Ann. Oper. Res. 2022, 309, 837–860. [Google Scholar] [CrossRef]
- Yang, T.; Li, C.; Yue, X.; Zhang, B. Decisions for blockchain adoption and information sharing in a low carbon supply chain. Mathematics 2022, 10, 2233. [Google Scholar] [CrossRef]
- Zhou, L.; Tan, C.; Zhao, H. Information disclosure decision for tourism o2o supply chain based on blockchain technology. Mathematics 2022, 10, 2119. [Google Scholar] [CrossRef]
- Feng, H.H.; Wang, X.; Duan, Y.Q.; Zhang, J.; Zhang, X.S. Applying blockchain technology to improve agri-food traceability: A review of development methods, benefits and challenges. J. Clean. Prod. 2020, 260, 121031. [Google Scholar] [CrossRef]
- Osei, R.K.; Medici, M.; Hingley, M.; Canavari, M. Exploring opportunities and challenges to the adoption of blockchain technology in the fresh produce value chain. AIMS Agric. Food 2021, 6, 560–577. [Google Scholar] [CrossRef]
- Hastig, G.; Sodhi, M.S. Blockchain for supply chain traceability: Business requirements and critical success factors. Prod. Oper. Manag. 2020, 29, 935–954. [Google Scholar] [CrossRef]
- Behnke, K.; Janssen, M. Boundary conditions for traceability in food supply chains using blockchain technology. Int. J. Inform. Manag. 2020, 52, 101969. [Google Scholar] [CrossRef]
- Iansiti, M.; Lakhani, K.R. The truth about blockchain. Harv. Bus. Rev. 2017, 95, 118–127. [Google Scholar]
- Kamble, S.; Gunasekaran, A.; Arha, H. Understanding the blockchain technology adoption in supply chains-Indian context. Int. J. Prod. Res. 2019, 50, 2009–2033. [Google Scholar] [CrossRef]
- Motta, G.A.; Tekinerdogan, B.; Athanasiadis, I.N. Blockchain Applications in the agri-food domain: The first wave. Front. Blockchain 2020, 3, 1–13. [Google Scholar] [CrossRef]
- Wong, L.W.; Leong, L.Y.; Hew, J.J.; Tan, G.W.H.; Ooi, K.B. Time to seize the digital evolution: Adoption of blockchain in operations and supply chain management among Malaysian SMEs. Int. J. Inform. Manag. 2020, 52, 101997. [Google Scholar] [CrossRef]
- Ivanov, D.; Dolgui, A.; Sokolov, B. The impact of digital technology and Industry 4.0 on the ripple effect and supply chain risk analytics. Int. J. Prod. Res. 2019, 57, 829–846. [Google Scholar] [CrossRef]
- Yu, Y.; He, Y. Pricing and advertising investment policy for agricultural products with government subsidy. In Proceedings of the 2019 16th International Conference on Service Systems and Service Management (ICSSSM), Shenzhen, China, 13–15 July 2019. [Google Scholar]
- Yu, Y.; He, Y.; Salling, M. Pricing and safety investment decisions in food supply chains with government subsidy. J. Food Qual. 2021, 2021, 6616096. [Google Scholar] [CrossRef]
- Xu, C.; Chen, K.; Zuo, M.; Liu, H.Z.; Wu, Y.A. Urban fruit quality traceability model based on smart contract for internet of things. Wirel. Commun. Mob. Comput. 2021, 2021, 9369074. [Google Scholar] [CrossRef]
- Tan, A.; Gligor, D.; Ngah, A. Applying blockchain for halal food traceability. Int. J. Logist. Res. Appl. 2022, 25, 947–964. [Google Scholar] [CrossRef]
- Cocco, L.; Mannaro, K.; Tonelli, R.; Mariani, L.; Lodi, M.B.; Melis, A.; Simone, M.; Fanti, A. A blockchain-based traceability system in agri-food SME: Case study of a traditional bakery. IEEE Access 2021, 9, 62899–62915. [Google Scholar] [CrossRef]
- Collart, A.; Canales, E. How might broad adoption of blockchain-based traceability impact the US fresh produce supply chain? Appl. Econ. Perspect. Policy 2022, 44, 219–236. [Google Scholar] [CrossRef]
- Liu, Y.; Ma, D.; Hu, J.; Zhang, Z. Sales mode selection of fresh food supply chain based on blockchain technology under different channel competition. Comput. Ind. Eng. 2021, 162, 107730. [Google Scholar] [CrossRef]
- Liu, P.; Long, Y.; Song, H.; He, Y. Investment decision and coordination of green agri-food supply chain considering information service based on blockchain and big data. J. Clean. Prod. 2020, 277, 123646. [Google Scholar] [CrossRef]
- Vu, N.; Ghadge, A.; Bourlakis, M. Blockchain adoption in food supply chains: A review and implementation framework. Prod. Plan. Control 2021. [Google Scholar] [CrossRef]
- Pandey, V.; Pant, M.; Snasel, V. Blockchain technology in food supply chains: Review and bibliometric analysis. Technol. Soc. 2022, 69, 101954. [Google Scholar] [CrossRef]
- McGhin, T.; Choo, K.; Liu, C.; He, D. Blockchain in healthcare applications: Research challenges and opportunities. J. Netw. Comput. Appl. 2019, 135, 62–75. [Google Scholar] [CrossRef]
- Andoni, M.; Robu, V.; Flynn, D.; Abram, S.; Geach, D.; Jenkins, D.; McCallum, P.; Peacock, A. Blockchain technology in the energy sector: A systematic review of challenges and opportunities. Renew. Sust. Energ. Rev. 2019, 100, 143–174. [Google Scholar] [CrossRef]
- Mirabelli, G.; Solina, V. Blockchain-based solutions for agri-food supply chains: A survey. Int. J. Simul. Process Model. 2021, 17, 1–15. [Google Scholar] [CrossRef]
- Niu, B.Z.; Mu, Z.H.; Cao, B.; Cao, J. Should multinational firms implement blockchain to provide quality verification? Transp. Res. E-Logist. Transp. Rev. 2021, 145, 102121. [Google Scholar] [CrossRef]
- Qian, J.P.; Wu, W.B.; Yu, Q.Y.; Ruiz-Garcia, L.; Xiang, Y.; Jiang, L.; Shi, Y.; Duan, Y.L.; Yang, P. Filling the trust gap of food safety in food trade between the EU and China: An interconnected conceptual traceability framework based on blockchain. Food Energy Secur. 2020, 9, 249. [Google Scholar] [CrossRef]
- Choi, T.M.; Wen, X.; Sun, X. The mean-variance approach for global supply chain risk analysis with air logistics in the blockchain technology era. Transp. Res. E-Logist. Transp. Rev. 2019, 127, 178–191. [Google Scholar] [CrossRef]
- He, Y.; Chen, L.; Xu, Q. Optimal pricing decisions for a global fresh product supply chain in the blockchain technology era. Int. J. Logist.-Res. Appl. 2021. [Google Scholar] [CrossRef]
- Ye, F.; Liu, S.; Li, Y.; Zhan, Y.; Cai, Z.; Kumar, A. Early adopter or follower? The strategic equilibrium of blockchain technology adoption strategy for competing agri-food supply chains. IEEE Trans. Eng. Manag. 2022. [Google Scholar] [CrossRef]
- Liu, P.; Cui, X.; Li, Y. Subsidy policies of a fresh supply chain considering the inputs of blockchain traceability service system. Sci. Public Policy 2022, scac044. [Google Scholar] [CrossRef]
- Liu, P.; Zhang, Z.; Dong, F. Subsidy and pricing strategies of an agri-food supply chain considering the application of Big Data and blockchain. RAIRO-Oper. Res. 2022, 56, 1995–2014. [Google Scholar] [CrossRef]
- Li, B.; Zhu, M.Y.; Jiang, Y.S.; Li, Z.H. Pricing policies of a competitive dual-channel green supply chain. J. Clean. Prod. 2016, 112, 2029–2042. [Google Scholar] [CrossRef]
- Cao, B.; Gong, Z.; You, T. Stackelberg pricing policy in dyadic capital-constrained supply chain considering bank’s deposit and loan based on delay payment scheme. J. Ind. Manag. Optim. 2021, 17, 2855–2887. [Google Scholar] [CrossRef]
- Cao, B.; Fan, Z.; You, T. The optimal pricing and ordering policy for temperature sensitive products with the temperature effects on demand. J. Ind. Manag. Optim. 2019, 15, 1153–1184. [Google Scholar] [CrossRef]
- Cao, B.; You, T.; Ou, C.; Zhu, H. Optimizing payment schemes in a decentralized supply chain: A Stackelberg game with quality investment and bank credit. Comput. Ind. Eng. 2022, 168, 108077. [Google Scholar] [CrossRef]
- Cao, B.; Fan, Z. Ordering and sales effort investment for temperature sensitive products considering retailer’s disappointment aversion and elation seeking. Int. J. Prod. Res. 2018, 56, 2411–2436. [Google Scholar] [CrossRef]
Publisher’s Note: MDPI stays neutral with regard to jurisdictional claims in published maps and institutional affiliations. |
© 2022 by the authors. Licensee MDPI, Basel, Switzerland. This article is an open access article distributed under the terms and conditions of the Creative Commons Attribution (CC BY) license (https://creativecommons.org/licenses/by/4.0/).