An Overview of Recent Advances in the Event-Triggered Consensus of Multi-Agent Systems with Actuator Saturations
Abstract
1. Introduction
2. System Description and Preliminaries
2.1. Multi-Agent Systems with Actuator Saturation
2.2. The Framework of Event-Triggered Mechanism
3. Main Results
3.1. Low-Gain Feedback
3.2. Sector-Bounded Condition
3.3. Convex Hull Representation
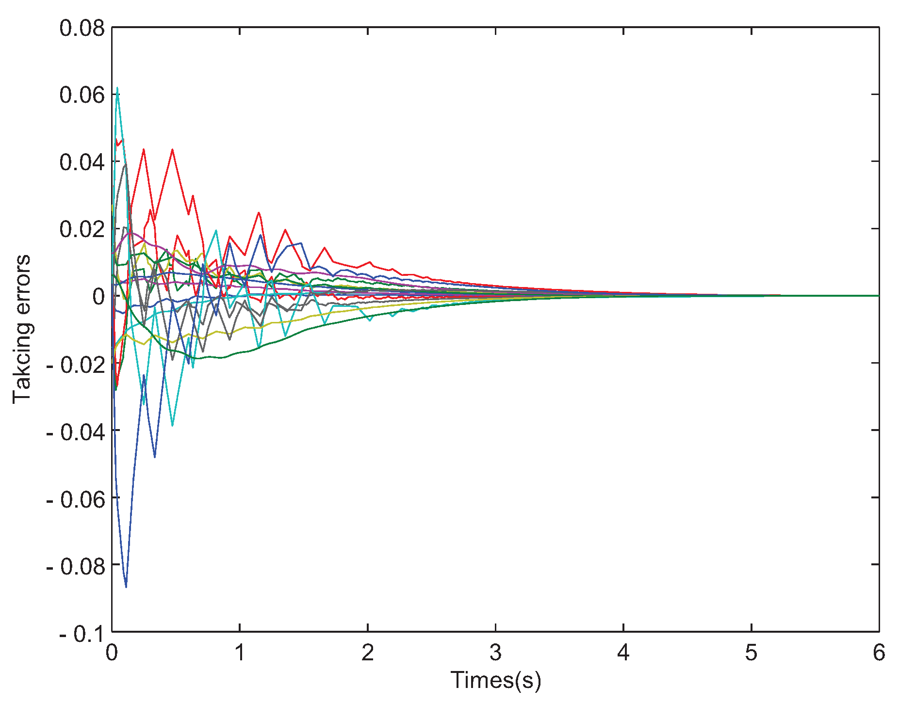
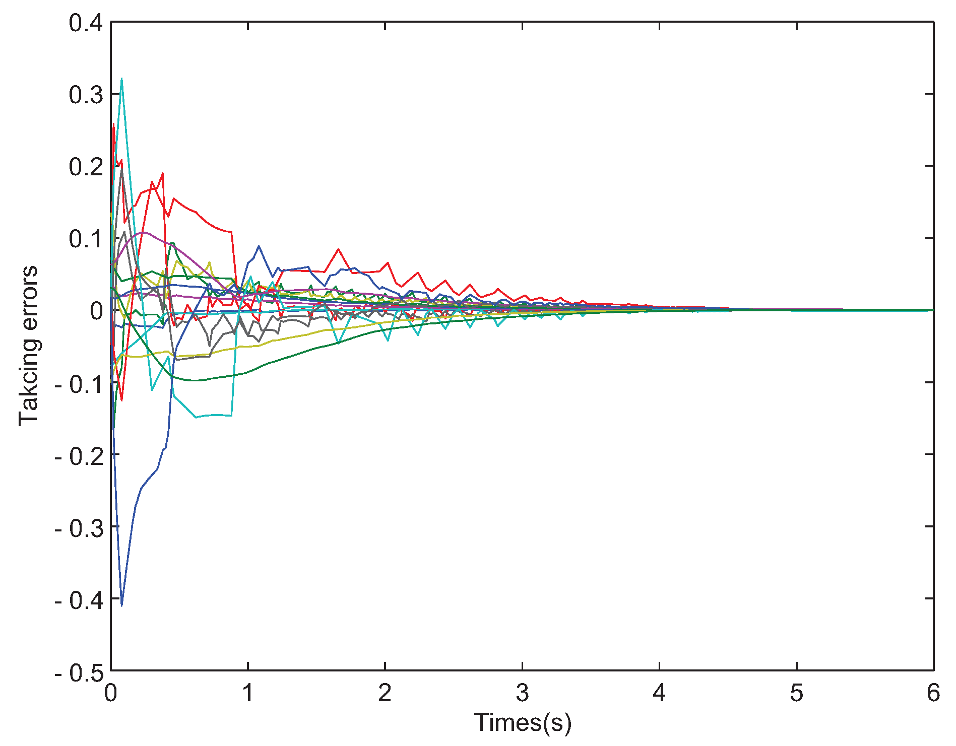
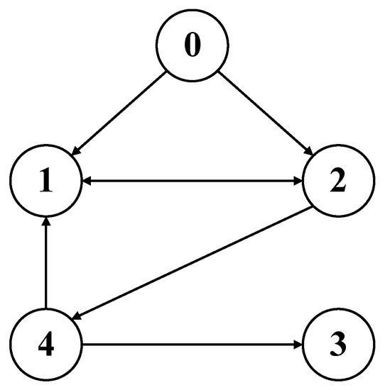
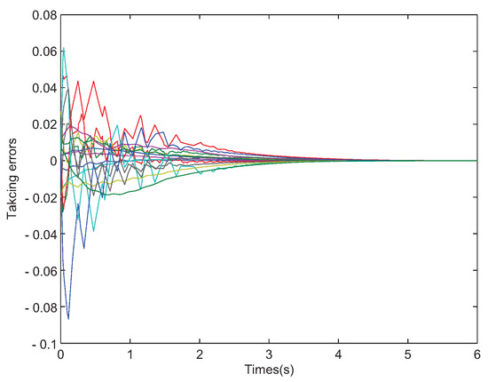
4. Simulation
5. Prospects for Future Research
6. Conclusions
7. Discussion
Author Contributions
Funding
Institutional Review Board Statement
Informed Consent Statement
Data Availability Statement
Conflicts of Interest
Abbreviations
| MASs | Multi-agent systems; |
| TTC | Time triggered control; |
| ETC | Event-triggered control; |
| ETM | Event-triggered mechanism; |
| LMIs | Linear matrix inequalities; |
| ARE | Algebraic Riccati equation; |
| DOA | Domain of attraction. |
References
- Jolly, K.; Kumar, R.S.; Vijayakumar, R. Intelligent task planning and action selection of a mobile robot in a multi-agent system through a fuzzy neural network approach. Eng. Appl. Artif. Intell. 2010, 23, 923–933. [Google Scholar] [CrossRef]
- Nazarova, A.V.; Zhai, M. Distributed Solution of Problems in Multi Agent Robotic Systems. In Studies in Systems, Decision and Control; Springer International Publishing: Berlin/Heidelberg, Germany, 2018; pp. 107–124. [Google Scholar] [CrossRef]
- Freudenthaler, G.; Meurer, T. PDE-based multi-agent formation control using flatness and backstepping: Analysis, design and robot experiments. Automatica 2020, 115, 108897. [Google Scholar] [CrossRef]
- Kapitonov, A.; Lonshakov, S.; Krupenkin, A.; Berman, I. Blockchain-based protocol of autonomous business activity for multi-agent systems consisting of UAVs. In Proceedings of the 2017 Workshop on Research, Education and Development of Unmanned Aerial Systems (RED-UAS), Linköping, Sweden, 3–5 October 2017; IEEE: Piscataway, NJ, USA, 2017. [Google Scholar] [CrossRef]
- Silva, L.A.; Blas, H.S.S.; García, D.P.; Mendes, A.S.; González, G.V. An Architectural Multi-Agent System for a Pavement Monitoring System with Pothole Recognition in UAV Images. Sensors 2020, 20, 6205. [Google Scholar] [CrossRef] [PubMed]
- Barriuso, A.; González, G.V.; Paz, J.D.; Lozano, Á.; Bajo, J. Combination of Multi-Agent Systems and Wireless Sensor Networks for the Monitoring of Cattle. Sensors 2018, 18, 108. [Google Scholar] [CrossRef]
- Ge, X.; Han, Q.L.; Wang, Z. A Threshold-Parameter-Dependent Approach to Designing Distributed Event-Triggered H∞ Consensus Filters Over Sensor Networks. IEEE Trans. Cybern. 2019, 49, 1148–1159. [Google Scholar] [CrossRef]
- Cai, X.; Wang, J.; Zhong, S.; Shi, K.; Tang, Y. Fuzzy quantized sampled-data control for extended dissipative analysis of T–S fuzzy system and its application to WPGSs. J. Frankl. Inst. 2021, 358, 1350–1375. [Google Scholar] [CrossRef]
- Pipattanasomporn, M.; Feroze, H.; Rahman, S. Multi-agent systems in a distributed smart grid: Design and implementation. In Proceedings of the 2009 IEEE/PES Power Systems Conference and Exposition, Seattle, WA, USA, 15–18 March 2009; IEEE: Piscataway, NJ, USA, 2009. [Google Scholar] [CrossRef]
- Olfati-Saber, R.; Fax, J.A.; Murray, R.M. Consensus and Cooperation in Networked Multi-Agent Systems. Proc. IEEE 2007, 95, 215–233. [Google Scholar] [CrossRef]
- Li, Z.; Duan, Z.; Chen, G.; Huang, L. Consensus of multiagent systems and synchronization of complex networks: A unified viewpoint. IEEE Trans. Circuits Syst. I Regul. Pap. 2009, 57, 213–224. [Google Scholar]
- Shao, J.; Zheng, W.X.; Huang, T.Z.; Bishop, A.N. On Leader–Follower Consensus With Switching Topologies: An Analysis Inspired by Pigeon Hierarchies. IEEE Trans. Autom. Control 2018, 63, 3588–3593. [Google Scholar] [CrossRef]
- Yang, Y.; Xu, H.; Yue, D. Observer-Based Distributed Secure Consensus Control of a Class of Linear Multi-Agent Systems Subject to Random Attacks. IEEE Trans. Circuits Syst. I Regul. Pap. 2019, 66, 3089–3099. [Google Scholar] [CrossRef]
- Wei, X.; Yu, W.; Wang, H.; Yao, Y.; Mei, F. An Observer-Based Fixed-Time Consensus Control for Second-Order Multi-Agent Systems with Disturbances. IEEE Trans. Circuits Syst. II Express Briefs 2019, 66, 247–251. [Google Scholar] [CrossRef]
- Zhang, J.; Zhang, H.; Sun, S.; Gao, Z. Leader-follower consensus control for linear multi-agent systems by fully distributed edge-event-triggered adaptive strategies. Inf. Sci. 2021, 555, 314–338. [Google Scholar] [CrossRef]
- Yu, W.; Zheng, W.X.; Chen, G.; Ren, W.; Cao, J. Second-order consensus in multi-agent dynamical systems with sampled position data. Automatica 2011, 47, 1496–1503. [Google Scholar] [CrossRef]
- Wen, G.; Duan, Z.; Yu, W.; Chen, G. Consensus of multi-agent systems with nonlinear dynamics and sampled-data information: A delayed-input approach. Int. J. Robust Nonlinear Control 2012, 23, 602–619. [Google Scholar] [CrossRef]
- Ding, L.; Guo, G. Sampled-data leader-following consensus for nonlinear multi-agent systems with Markovian switching topologies and communication delay. J. Frankl. Inst. 2015, 352, 369–383. [Google Scholar] [CrossRef]
- Ding, L.; Zheng, W.X. Consensus tracking in heterogeneous nonlinear multi-agent networks with asynchronous sampled-data communication. Syst. Control Lett. 2016, 96, 151–157. [Google Scholar] [CrossRef]
- Tabuada, P. Event-Triggered Real-Time Scheduling of Stabilizing Control Tasks. IEEE Trans. Autom. Control 2007, 52, 1680–1685. [Google Scholar] [CrossRef]
- Åarzén, K.E. A simple event-based PID controller. IFAC Proc. Vol. 1999, 32, 8687–8692. [Google Scholar] [CrossRef]
- Peng, C.; Li, F. A survey on recent advances in event-triggered communication and control. Inf. Sci. 2018, 457–458, 113–125. [Google Scholar] [CrossRef]
- Ding, L.; Han, Q.L.; Ge, X.; Zhang, X.M. An Overview of Recent Advances in Event-Triggered Consensus of Multiagent Systems. IEEE Trans. Cybern. 2018, 48, 1110–1123. [Google Scholar] [CrossRef]
- Heemels, W.; Johansson, K.; Tabuada, P. An introduction to event-triggered and self-triggered control. In Proceedings of the 2012 IEEE 51st IEEE Conference on Decision and Control (CDC), Maui, HI, USA, 10–13 December 2012; IEEE: Piscataway, NJ, USA, 2012. [Google Scholar] [CrossRef]
- Nguyen, K.H.; Kim, S.H. Event-Triggered Non-PDC Filter Design of Fuzzy Markovian Jump Systems under Mismatch Phenomena. Mathematics 2022, 10, 2917. [Google Scholar] [CrossRef]
- Djordjevic, V.; Stojanovic, V.; Tao, H.; Song, X.; He, S.; Gao, W. Data-driven control of hydraulic servo actuator based on adaptive dynamic programming. Discret. Contin. Dyn. Syst.-S 2022, 15, 1633. [Google Scholar] [CrossRef]
- Voortman, Q.; Efimov, D.; Pogromsky, A.Y.; Richard, J.P.; Nijmeijer, H. An event-triggered observation scheme for systems with perturbations and data rate constraints. Automatica 2022, 145, 110512. [Google Scholar] [CrossRef]
- Song, X.; Sun, P.; Song, S.; Stojanovic, V. Event-driven NN adaptive fixed-time control for nonlinear systems with guaranteed performance. J. Frankl. Inst. 2022, 359, 4138–4159. [Google Scholar] [CrossRef]
- Heemels, W.P.M.H.; Sandee, J.H.; Bosch, P.P.J.V.D. Analysis of event-driven controllers for linear systems. Int. J. Control 2008, 81, 571–590. [Google Scholar] [CrossRef]
- Eqtami, A.; Dimarogonas, D.V.; Kyriakopoulos, K.J. Event-triggered control for discrete-time systems. In Proceedings of the 2010 American Control Conference, Baltimore, MA, USA, 30 June–2 July 2010; IEEE: Piscataway, NJ, USA, 2010. [Google Scholar] [CrossRef]
- Heemels, W.P.M.H.; Donkers, M.C.F.; Teel, A.R. Periodic Event-Triggered Control for Linear Systems. IEEE Trans. Autom. Control 2013, 58, 847–861. [Google Scholar] [CrossRef]
- Yue, D.; Tian, E.; Han, Q.L. A Delay System Method for Designing Event-Triggered Controllers of Networked Control Systems. IEEE Trans. Autom. Control 2013, 58, 475–481. [Google Scholar] [CrossRef]
- Peng, C.; Han, Q.L.; Yue, D. To Transmit or Not to Transmit: A Discrete Event-Triggered Communication Scheme for Networked Takagi–Sugeno Fuzzy Systems. IEEE Trans. Fuzzy Syst. 2013, 21, 164–170. [Google Scholar] [CrossRef]
- Zhang, D.; Han, Q.L.; Jia, X. Network-based output tracking control for T–S fuzzy systems using an event-triggered communication scheme. Fuzzy Sets Syst. 2015, 273, 26–48. [Google Scholar] [CrossRef]
- Wen, S.; Yu, X.; Zeng, Z.; Wang, J. Event-Triggering Load Frequency Control for Multiarea Power Systems With Communication Delays. IEEE Trans. Ind. Electron. 2016, 63, 1308–1317. [Google Scholar] [CrossRef]
- Zhang, X.M.; Han, Q.L. A Decentralized Event-Triggered Dissipative Control Scheme for Systems With Multiple Sensors to Sample the System Outputs. IEEE Trans. Cybern. 2016, 46, 2745–2757. [Google Scholar] [CrossRef] [PubMed]
- Wen, S.; Zeng, Z.; Chen, M.Z.Q.; Huang, T. Synchronization of Switched Neural Networks With Communication Delays via the Event-Triggered Control. IEEE Trans. Neural Netw. Learn. Syst. 2017, 28, 2334–2343. [Google Scholar] [CrossRef] [PubMed]
- Dornhein, M. Report pinpoints factors leading to YF-22 crash. Aviat. Week Space Technol. 1992, 9, 53–54. [Google Scholar]
- Da Silva, J.G.; Tarbouriech, S. Antiwindup design with guaranteed regions of stability: An LMI-based approach. IEEE Trans. Autom. Control 2005, 50, 106–111. [Google Scholar] [CrossRef]
- Lin, Z.; Saberi, A. Semi-global exponential stabilization of linear discrete-time systems subject to input saturation via linear feedbacks. In Proceedings of the 1994 American Control Conference-ACC ’94, Baltimore, MD, USA, 29 June–1 July 1994; IEEE: Piscataway, NJ, USA, 1994. [Google Scholar] [CrossRef]
- Hu, T.; Lin, Z.; Chen, B.M. Analysis and design for discrete-time linear systems subject to actuator saturation. Syst. Control Lett. 2002, 45, 97–112. [Google Scholar] [CrossRef]
- Meng, Z.; Zhao, Z.; Lin, Z. On global leader-following consensus of identical linear dynamic systems subject to actuator saturation. Syst. Control Lett. 2013, 62, 132–142. [Google Scholar] [CrossRef]
- Yang, T.; Meng, Z.; Dimarogonas, D.V.; Johansson, K.H. Global consensus for discrete-time multi-agent systems with input saturation constraints. Automatica 2014, 50, 499–506. [Google Scholar] [CrossRef]
- Geng, H.; Chen, Z.; Liu, Z.; Zhang, Q. Consensus of a heterogeneous multi-agent system with input saturation. Neurocomputing 2015, 166, 382–388. [Google Scholar] [CrossRef]
- Su, H.; Chen, M.Z.Q. Multi-agent containment control with input saturation on switching topologies. IET Control Theory Appl. 2015, 9, 399–409. [Google Scholar] [CrossRef]
- Deng, C.; Yang, G.H. Consensus of Linear Multiagent Systems with Actuator Saturation and External Disturbances. IEEE Trans. Circuits Syst. II Express Briefs 2017, 64, 284–288. [Google Scholar] [CrossRef]
- Yin, Y.; Lin, Z.; Liu, Y.; Teo, K.L. Event-triggered constrained control of positive systems with input saturation. Int. J. Robust Nonlinear Control 2018, 28, 3532–3542. [Google Scholar] [CrossRef]
- Fu, J.; Wen, G.; Huang, T.; Duan, Z. Consensus of Multi-Agent Systems With Heterogeneous Input Saturation Levels. IEEE Trans. Circuits Syst. II Express Briefs 2019, 66, 1053–1057. [Google Scholar] [CrossRef]
- Su, H.; Sun, Y.; Zeng, Z. Semiglobal Observer-Based Non-Negative Edge Consensus of Networked Systems With Actuator Saturation. IEEE Trans. Cybern. 2020, 50, 2827–2836. [Google Scholar] [CrossRef]
- Lu, M.; Wu, J.; Zhan, X.; Han, T.; Yan, H. Consensus of second-order heterogeneous multi-agent systems with and without input saturation. ISA Trans. 2022, 126, 14–20. [Google Scholar] [CrossRef] [PubMed]
- Zuo, Z.; Li, Y.; Wang, Y.; Li, H. Event-triggered control for switched systems in the presence of actuator saturation. Int. J. Syst. Sci. 2018, 49, 1478–1490. [Google Scholar] [CrossRef]
- Yin, X.; Yue, D.; Hu, S. Adaptive periodic event-triggered consensus for multi-agent systems subject to input saturation. Int. J. Control 2015, 89, 653–667. [Google Scholar] [CrossRef]
- Ge, X.; Yang, F.; Han, Q.L. Distributed networked control systems: A brief overview. Inf. Sci. 2017, 380, 117–131. [Google Scholar] [CrossRef]
- Qin, J.; Ma, Q.; Shi, Y.; Wang, L. Recent Advances in Consensus of Multi-Agent Systems: A Brief Survey. IEEE Trans. Ind. Electron. 2017, 64, 4972–4983. [Google Scholar] [CrossRef]
- Ge, X.; Han, Q.L.; Ding, D.; Zhang, X.M.; Ning, B. A survey on recent advances in distributed sampled-data cooperative control of multi-agent systems. Neurocomputing 2018, 275, 1684–1701. [Google Scholar] [CrossRef]
- Ma, C.Q.; Zhang, J.F. Necessary and Sufficient Conditions for Consensusability of Linear Multi-Agent Systems. IEEE Trans. Autom. Control 2010, 55, 1263–1268. [Google Scholar] [CrossRef]
- Tarbouriech, S.; Prieur, C.; Silva, J.G.D. Stability Analysis and Stabilization of Systems Presenting Nested Saturations. IEEE Trans. Autom. Control 2006, 51, 1364–1371. [Google Scholar] [CrossRef]
- Wang, X.; Su, H.; Wang, X.; Chen, G. Fully Distributed Event-Triggered Semiglobal Consensus of Multi-agent Systems with Input Saturation. IEEE Trans. Ind. Electron. 2017, 64, 5055–5064. [Google Scholar] [CrossRef]
- Hu, T.; Lin, Z. Control Systems with Actuator Saturation; Birkhauser: Boston, MA, USA, 2001. [Google Scholar] [CrossRef]
- Dimarogonas, D.V.; Frazzoli, E.; Johansson, K.H. Distributed Event-Triggered Control for Multi-Agent Systems. IEEE Trans. Autom. Control 2012, 57, 1291–1297. [Google Scholar] [CrossRef]
- Seyboth, G.S.; Dimarogonas, D.V.; Johansson, K.H. Event-based broadcasting for multi-agent average consensus. Automatica 2013, 49, 245–252. [Google Scholar] [CrossRef]
- Garcia, E.; Cao, Y.; Yu, H.; Antsaklis, P.; Casbeer, D. Decentralised event-triggered cooperative control with limited communication. Int. J. Control 2013, 86, 1479–1488. [Google Scholar] [CrossRef]
- Yang, D.; Ren, W.; Liu, X.; Chen, W. Decentralized event-triggered consensus for linear multi-agent systems under general directed graphs. Automatica 2016, 69, 242–249. [Google Scholar] [CrossRef]
- Fan, Y.; Feng, G.; Wang, Y.; Song, C. Distributed event-triggered control of multi-agent systems with combinational measurements. Automatica 2013, 49, 671–675. [Google Scholar] [CrossRef]
- Zhu, W.; Jiang, Z.P.; Feng, G. Event-based consensus of multi-agent systems with general linear models. Automatica 2014, 50, 552–558. [Google Scholar] [CrossRef]
- Guo, G.; Ding, L.; Han, Q.L. A distributed event-triggered transmission strategy for sampled-data consensus of multi-agent systems. Automatica 2014, 50, 1489–1496. [Google Scholar] [CrossRef]
- Zhou, B.; Liao, X.; Huang, T.; Li, H.; Chen, G. Event-Based Semiglobal Consensus of Homogenous Linear Multi-Agent Systems Subject to Input Saturation. Asian J. Control 2016, 19, 564–574. [Google Scholar] [CrossRef]
- Li, H.; Liao, X.; Huang, T.; Zhu, W. Event-Triggering Sampling Based Leader-Following Consensus in Second-Order Multi-Agent Systems. IEEE Trans. Autom. Control 2015, 60, 1998–2003. [Google Scholar] [CrossRef]
- Hu, W.; Liu, L.; Feng, G. Consensus of Linear Multi-Agent Systems by Distributed Event-Triggered Strategy. IEEE Trans. Cybern. 2016, 46, 148–157. [Google Scholar] [CrossRef] [PubMed]
- Du, S.L.; Liu, T.; Ho, D.W.C. Dynamic Event-Triggered Control for Leader-Following Consensus of Multiagent Systems. IEEE Trans. Syst. Man Cybern. Syst. 2020, 50, 3243–3251. [Google Scholar] [CrossRef]
- Zhao, G.; Wang, Z.; Fu, X. Fully Distributed Dynamic Event-Triggered Semiglobal Consensus of Multi-agent Uncertain Systems with Input Saturation via Low-gain Feedback. Int. J. Control Autom. Syst. 2021, 19, 1451–1460. [Google Scholar] [CrossRef]
- Xu, Y.; Wang, J.; Zhang, Y.; Xu, Y. Event-triggered bipartite consensus for high-order multi-agent systems with input saturation. Neurocomputing 2020, 379, 284–295. [Google Scholar] [CrossRef]
- Chen, S.; Jiang, H.; Yu, Z. Fully Distributed Event-triggered Semi-global Consensus of Multi-agent Systems with Input Saturation and Directed Topology. Int. J. Control Autom. Syst. 2019, 17, 3102–3112. [Google Scholar] [CrossRef]
- Min, H.; Wang, S.; Sun, F.; Zhang, J. Robust consensus for networked mechanical systems with coupling time delay. Int. J. Control Autom. Syst. 2012, 10, 227–237. [Google Scholar] [CrossRef]
- Dai, J.; Guo, G. Event-based consensus for second-order multi-agent systems with actuator saturation under fixed and Markovian switching topologies. J. Frankl. Inst. 2017, 354, 6098–6118. [Google Scholar] [CrossRef]
- Gao, H.Y.; Hu, A.H. Event-triggered Pinning Bipartite Tracking Consensus of the Multi-agent System Subject to Input Saturation. Int. J. Control Autom. Syst. 2020, 18, 2195–2205. [Google Scholar] [CrossRef]
- Wang, J.; Luo, X.; Yan, J.; Guan, X. Event-triggered consensus control for second-order multi-agent system subject to saturation and time delay. J. Frankl. Inst. 2021, 358, 4895–4916. [Google Scholar] [CrossRef]
- Rehan, M.; Tufail, M.; Ahmed, S. Leaderless consensus control of nonlinear multi-agent systems under directed topologies subject to input saturation using adaptive event-triggered mechanism. J. Frankl. Inst. 2021, 358, 6217–6239. [Google Scholar] [CrossRef]
- You, X.; Hua, C.; Guan, X. Event-Triggered Leader-Following Consensus for Nonlinear Multiagent Systems Subject to Actuator Saturation Using Dynamic Output Feedback Method. IEEE Trans. Autom. Control 2018, 63, 4391–4396. [Google Scholar] [CrossRef]
- Hu, T.; Lin, Z.; Chen, B.M. An analysis and design method for linear systems subject to actuator saturation and disturbance. Automatica 2002, 38, 351–359. [Google Scholar] [CrossRef]
- Chen, D.; Liu, X.; Yu, W.; Zhu, L.; Tang, Q. Neural-Network Based Adaptive Self-Triggered Consensus of Nonlinear Multi-Agent Systems With Sensor Saturation. IEEE Trans. Netw. Sci. Eng. 2021, 8, 1531–1541. [Google Scholar] [CrossRef]
- Zhang, H.; Feng, G.; Yan, H.; Chen, Q. Observer-Based Output Feedback Event-Triggered Control for Consensus of Multi-Agent Systems. IEEE Trans. Ind. Electron. 2014, 61, 4885–4894. [Google Scholar] [CrossRef]
- Yin, X.; Yue, D.; Hu, S.; Peng, C.; Xue, Y. Model-Based Event-Triggered Predictive Control for Networked Systems with Data Dropout. SIAM J. Control Optim. 2016, 54, 567–586. [Google Scholar] [CrossRef]
- Xu, W.; Ho, D.W.C. Clustered Event-Triggered Consensus Analysis: An Impulsive Framework. IEEE Trans. Ind. Electron. 2016, 63, 7133–7143. [Google Scholar] [CrossRef]
- Liu, X.; Du, C.; Lu, P.; Yang, D. Distributed event-triggered feedback consensus control with state-dependent threshold for general linear multi-agent systems. Int. J. Robust Nonlinear Control 2016, 27, 2589–2609. [Google Scholar] [CrossRef]
- Wang, X.; Lemmon, M. Self-Triggered Feedback Control Systems With Finite-Gain L2 Stability. IEEE Trans. Autom. Control 2009, 54, 452–467. [Google Scholar] [CrossRef]
- Wang, X.; Lemmon, M.D. Self-Triggering Under State-Independent Disturbances. IEEE Trans. Autom. Control 2010, 55, 1494–1500. [Google Scholar] [CrossRef]
- Anta, A.; Tabuada, P. To Sample or not to Sample: Self-Triggered Control for Nonlinear Systems. IEEE Trans. Autom. Control 2010, 55, 2030–2042. [Google Scholar] [CrossRef]
- Peng, C.; Han, Q.L. On Designing a Novel Self-Triggered Sampling Scheme for Networked Control Systems With Data Losses and Communication Delays. IEEE Trans. Ind. Electron. 2016, 63, 1239–1248. [Google Scholar] [CrossRef]
- Lu, Q.; Han, Q.L.; Zhang, B.; Liu, D.; Liu, S. Cooperative Control of Mobile Sensor Networks for Environmental Monitoring: An Event-Triggered Finite-Time Control Scheme. IEEE Trans. Cybern. 2017, 47, 4134–4147. [Google Scholar] [CrossRef] [PubMed]






| Strategies | Methods | Advantages & Disadvantages | ||||
|---|---|---|---|---|---|---|
| D1 | D2 | D3 | Analysis of Zeno Phenomenon | Estimation of DOA | ||
| Low-gain feedback | ✕ | ✓ | ✕ | Complicated | Not needed | |
| ✓ | ✕ | ✕ | Complicated | Not needed | ||
| ✕ | ✓ | ✕ | Complicated | Not needed | ||
| ✓ | ✓ | ✕ | Complicated | Not needed | ||
| Sector-bounded condition | ✕ | ✕ | ✓ | Simple | Simple | |
| ✓ | ✕ | ✓ | Not needed | Simple | ||
| ✓ | ✕ | ✓ | Not needed | Simple | ||
| Convex hull representation | ✕ | ✓ | ✓ | Complicated | Complicated | |
| Agent 1 | Agent 2 | Agent 3 | Agent 4 | Total | |
|---|---|---|---|---|---|
| 1349 | 1388 | 920 | 1040 | 4697 | |
| 199 | 197 | 124 | 132 | 652 |
| Agent 1 | Agent 2 | Agent 3 | Agent 4 | |
|---|---|---|---|---|
| s | s | s | s | |
| s | s | s | s |
Publisher’s Note: MDPI stays neutral with regard to jurisdictional claims in published maps and institutional affiliations. |
© 2022 by the authors. Licensee MDPI, Basel, Switzerland. This article is an open access article distributed under the terms and conditions of the Creative Commons Attribution (CC BY) license (https://creativecommons.org/licenses/by/4.0/).
Share and Cite
Xu, J.; Huang, J. An Overview of Recent Advances in the Event-Triggered Consensus of Multi-Agent Systems with Actuator Saturations. Mathematics 2022, 10, 3879. https://doi.org/10.3390/math10203879
Xu J, Huang J. An Overview of Recent Advances in the Event-Triggered Consensus of Multi-Agent Systems with Actuator Saturations. Mathematics. 2022; 10(20):3879. https://doi.org/10.3390/math10203879
Chicago/Turabian StyleXu, Jing, and Jun Huang. 2022. "An Overview of Recent Advances in the Event-Triggered Consensus of Multi-Agent Systems with Actuator Saturations" Mathematics 10, no. 20: 3879. https://doi.org/10.3390/math10203879
APA StyleXu, J., & Huang, J. (2022). An Overview of Recent Advances in the Event-Triggered Consensus of Multi-Agent Systems with Actuator Saturations. Mathematics, 10(20), 3879. https://doi.org/10.3390/math10203879

