Prediction of Airfoil Stall Based on a Modified Turbulence Model
Abstract
:1. Introduction
2. Governing Equations and Numerical Method
2.1. The Reynolds-Averaged Navier–Stokes Equations
2.2. SPF Turbulence Model
2.3. Numerical Method
2.4. Grid Convergence Study
3. Numerical Results from Stalled Airfoils
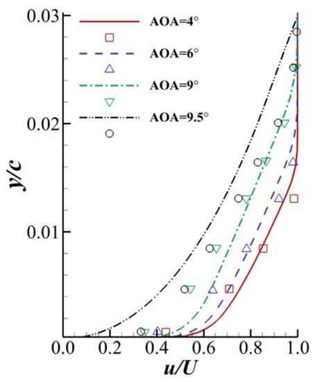
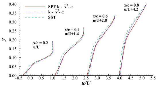
3.1. Stall Prediction of the NACA64A010 Airfoil
3.1.1. Low Reynolds Number Case
3.1.2. High Reynolds Number Case
3.2. Stall Prediction of the NACA64A006 Airfoil
3.3. Stall Prediction of the NACA0012 Airfoil
4. Conclusions
Author Contributions
Funding
Data Availability Statement
Acknowledgments
Conflicts of Interest
Nomenclature
| angle of attack (deg) | |
| stall angle of attack (deg) | |
| lift coefficient | |
| maximum lift coefficient | |
| pressure coefficient | |
| airfoil chord length (m) | |
| Reynolds number | |
| fluid velocity (m/s) | |
| magnitude of vorticity (1/s) | |
| density (kg/m3) | |
| pressure (kg·m/s2) | |
| kinematic molecular viscosity (m2/s) | |
| production rate of turbulent kinetic energy (m2/s3) | |
| dissipation rate of turbulent kinetic energy (m2/s3) |
Appendix A. The SPF Model
Appendix A.1. Definition of the Terms
Appendix A.2. The Value of the Constants
References
- Broeren, A.P. An Experimental Study of Unsteady Flow over Airfoils Near Stall; University of Illinois at Urbana-Champaign: Champaign, IL, USA, 2000. [Google Scholar]
- Vu, N.; Lee, J. Aerodynamic design optimization of helicopter rotor blades including airfoil shape for forward flight. Aerosp. Sci. Technol. 2015, 42, 106–117. [Google Scholar] [CrossRef]
- Fusi, F.; Congedo, P.M.; Guardone, A.; Quaranta, G. Assessment of robust optimization for de-sign of rotorcraft airfoils in forward flight. Aerosp. Sci. Technol. 2020, 107, 106355. [Google Scholar] [CrossRef]
- McCullough, G.B.; Gault, D.E. Examples of Three Representative Types of Airfoil-Section Stall at Low Speed; National Advisory Committee for Aeronautics: Kitty Hawk, NC, USA, 1951. [Google Scholar]
- Broeren, A.P.; Bragg, M.B. Spanwise Variation in the Unsteady Stalling Flowfields of Two-Dimensional Airfoil Models. AIAA J. 2001, 39, 1641–1651. [Google Scholar] [CrossRef]
- Tani, I. Low-speed flows involving bubble separations. Prog. Aerosp. Sci. 1964, 5, 70–103. [Google Scholar] [CrossRef]
- Gleyzes, C.; Capbern, P. Experimental study of two AIRBUS/ONERA airfoils in near stall conditions. Part I: Boundary layers. Aerosp. Sci. Technol. 2003, 7, 439–449. [Google Scholar] [CrossRef]
- Rodríguez, I.; Lehmkuhl, O.; Borrell, R.; Oliva, A. Direct numerical simulation of a NACA0012 in full stall. Int. J. Heat Fluid Flow 2013, 43, 194–203. [Google Scholar] [CrossRef] [Green Version]
- Mary, I.; Sagaut, P. Large eddy simulation of flow around an airfoil near stall. AIAA J. 2002, 40, 1139–1145. [Google Scholar] [CrossRef]
- Im, H.-S.; Zha, G.-C. Delayed Detached Eddy Simulation of Airfoil Stall Flows Using High-Order Schemes. J. Fluids Eng. 2014, 136, 111104. [Google Scholar] [CrossRef]
- Kawai, S.; Fujii, K. Prediction of a thin-airfoil stall phenomenon using LES/RANS hybrid methodology with compact difference scheme. In Proceedings of the 34th AIAA Fluid Dynamics Conference and Exhibit, Portland, OR, USA, 28 June–1 July 2004; p. 2714. [Google Scholar]
- Menter, F.R.; Kuntz, M.; Langtry, R. Ten years of industrial experience with the SST turbulence model. Turbul. Heat Mass Transf. 2003, 4, 625–632. [Google Scholar]
- Allmaras, S.R.; Johnson, F.T. Modifications and clarifications for the implementation of the Spalart-Allmaras turbulence model. In Proceedings of the Seventh International Conference on Computational Fluid Dynamics (ICCFD7), Big Island, HI, USA, 9–13 July 2012; Volume 1902. [Google Scholar]
- Rizzetta, D.P.; Visbal, M.R.; Visbalt, M.R. Comparative Numerical Study of Two Turbulence Models for Airfoil Static and Dynamic Stall. AIAA J. 1993, 31, 784–786. [Google Scholar] [CrossRef]
- Genç, M. Numerical simulation of flow over a thin aerofoil at a high Reynolds number using a transition model. Proc. Inst. Mech. Eng. Part C J. Mech. Eng. Sci. 2010, 224, 2155–2164. [Google Scholar] [CrossRef]
- Catalano, P.; Tognaccini, R. RANS analysis of the low-Reynolds number flow around the SD7003 airfoil. Aerosp. Sci. Technol. 2011, 15, 615–626. [Google Scholar] [CrossRef]
- Wokoeck, R.; Krimmelbein, N.; Ortmanns, J.; Ciobaca, V.; Radespiel, R.; Krumbein, A. RANS Simulation and Experiments on the Stall Behaviour of an Airfoil with Laminar Separation Bubbles. In Proceedings of the 44th AIAA Aerospace Sciences Meeting and Exhibit, Reno, Nevada, 9–12 January 2006. [Google Scholar] [CrossRef]
- Walters, D.K.; Leylek, J.H. Computational Fluid Dynamics Study of Wake-Induced Transition on a Compressor-Like Flat Plate. J. Turbomach. 2005, 127, 52–63. [Google Scholar] [CrossRef]
- Mayle, R.E.; Schulz, A. Heat Transfer Committee and Turbomachinery Committee Best Paper of 1996 Award: The Path to Predicting Bypass Transition. J. Turbomach. 1997, 119, 405–411. [Google Scholar] [CrossRef]
- Lopez, M.; Walters, D.K. Prediction of transitional and fully turbulent flow using an alternative to the laminar kinetic energy approach. J. Turbul. 2016, 17, 253–273. [Google Scholar] [CrossRef]
- Morgado, J.; Vizinho, R.; Silvestre, M.; Páscoa, J. XFOIL vs. CFD performance predictions for high lift low Reynolds number airfoils. Aerosp. Sci. Technol. 2016, 52, 207–214. [Google Scholar] [CrossRef]
- Rumsey, C. Successes and Challenges for Flow Control Simulations. Int. J. Flow Control. 2008, 1, 4311. [Google Scholar] [CrossRef] [Green Version]
- Rumsey, C.L.; Gatski, T.; Sellers III, W.; Vasta, V.; Viken, S. Summary of the 2004 computation-al fluid dynamics validation workshop on synthetic jets. AIAA J. 2006, 44, 194–207. [Google Scholar] [CrossRef]
- Fang, L.; Zhao, H.; Ni, W.; Fang, J.; Lu, L. Non-equilibrium turbulent phenomena in the flow over a backward-facing ramp. Appl. Math. Mech. 2019, 40, 215–236. [Google Scholar] [CrossRef]
- Fang, L.; Zhao, H.-K.; Lu, L.-P.; Liu, Y.; Yan, H. Quantitative description of non-equilibrium turbulent phenomena in compressors. Aerosp. Sci. Technol. 2017, 71, 78–89. [Google Scholar] [CrossRef]
- Rumsey, C.L. Exploring a Method for Improving Turbulent Separated-Flow Predictions with Kappa-Omega Models; NASA: Washington, DC, USA, 2009. [Google Scholar]
- Li, H.; Zhang, Y.; Chen, H. Aerodynamic Prediction of Iced Airfoils Based on Modified Three-Equation Turbulence Model. AIAA J. 2020, 58, 3863–3876. [Google Scholar] [CrossRef]
- Li, H.; Zhang, Y.; Chen, H. Optimization of supercritical airfoil considering the ice-accretion effects. AIAA J. 2019, 57, 4650–4669. [Google Scholar] [CrossRef]
- Li, H.; Zhang, Y.; Chen, H. Numerical Simulation of Iced Wing Using Separating Shear Layer Fixed Turbulence Models. AIAA J. 2021, 59, 3667–3681. [Google Scholar] [CrossRef]
- Zhang, S.; Li, H.; Zhang, Y.; Chen, H. Aerodynamic Prediction of High-Lift Configuration Using k-(v^2 )-ω Turbulence Model. AIAA J. arXiv 2021, arXiv:2105.12521. [Google Scholar] [CrossRef]
- Rumsey, C. “CFL3D Version 6 Home Page” NASA. 1980. Available online: https://cfl3d.larc.nasa.gov/ (accessed on 1 October 2019).
- Spalart, P.; Allmaras, S. A one-equation turbulence model for aerodynamic flows. Rech. Aerosp. 1994, 1, 5–21. [Google Scholar]
- Menter, F.R. Two-equation eddy-viscosity turbulence models for engineering applications. AIAA J. 1994, 32, 1598–1605. [Google Scholar] [CrossRef] [Green Version]
- Peterson, R.F. The Boundary-Layer and Stalling Characteristics of the NACA 64A010 Airfoil Section; National Advisory Committee for Aeronautics: Kitty Hawk, NC, USA, 1950. [Google Scholar]
- McCullough, G.B.; Gault, D.E. Boundary-Layer and Stalling Characteristics of the NACA 64A006 Airfoil Section; National Advisory Committee for Aeronautics: Kitty Hawk, NC, USA, 1949. [Google Scholar]
- Ladson, C.L. Effects of Independent Variation of Mach and Reynolds Numbers on the Low-Speed Aero-Dynamic Characteristics of the NACA 0012 Airfoil Section; National Aeronautics and Space Administration, Scientific and Technical: Kitty Hawk, NC, USA, 1988. [Google Scholar]
- Gregory, N.; O’reilly, C. Low-Speed Aerodynamic Characteristics of NACA 0012 Aerofoil Section, Including the Effects of Upper-Surface Roughness Simulating Hoar Frost; National Advisory Committee for Aeronautics: Kitty Hawk, NC, USA, 1970. [Google Scholar]




















| Parameter | Value |
|---|---|
| 300 | |
| 1.8 | |
| 2.1 |
Publisher’s Note: MDPI stays neutral with regard to jurisdictional claims in published maps and institutional affiliations. |
© 2022 by the authors. Licensee MDPI, Basel, Switzerland. This article is an open access article distributed under the terms and conditions of the Creative Commons Attribution (CC BY) license (https://creativecommons.org/licenses/by/4.0/).
Share and Cite
Wu, C.; Li, H.; Zhang, Y.; Chen, H.
Prediction of Airfoil Stall Based on a Modified
Wu C, Li H, Zhang Y, Chen H.
Prediction of Airfoil Stall Based on a Modified
Wu, Chenyu, Haoran Li, Yufei Zhang, and Haixin Chen.
2022. "Prediction of Airfoil Stall Based on a Modified
Wu, C., Li, H., Zhang, Y., & Chen, H.
(2022). Prediction of Airfoil Stall Based on a Modified
