Series Solution-Based Approach for the Interlaminar Stress Analysis of Smart Composites under Thermo-Electro-Mechanical Loading
Abstract
1. Introduction
2. Theoretical Formulation
3. Computational Results
3.1. Uniaxial Extension and Thermal Loading
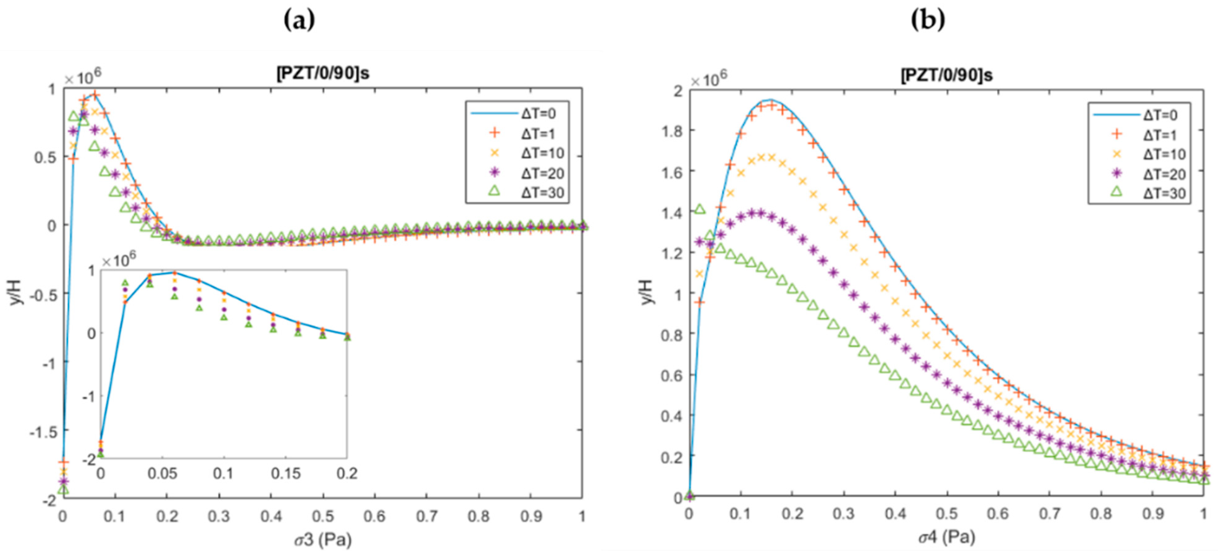
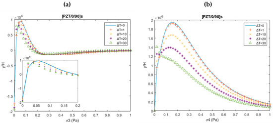
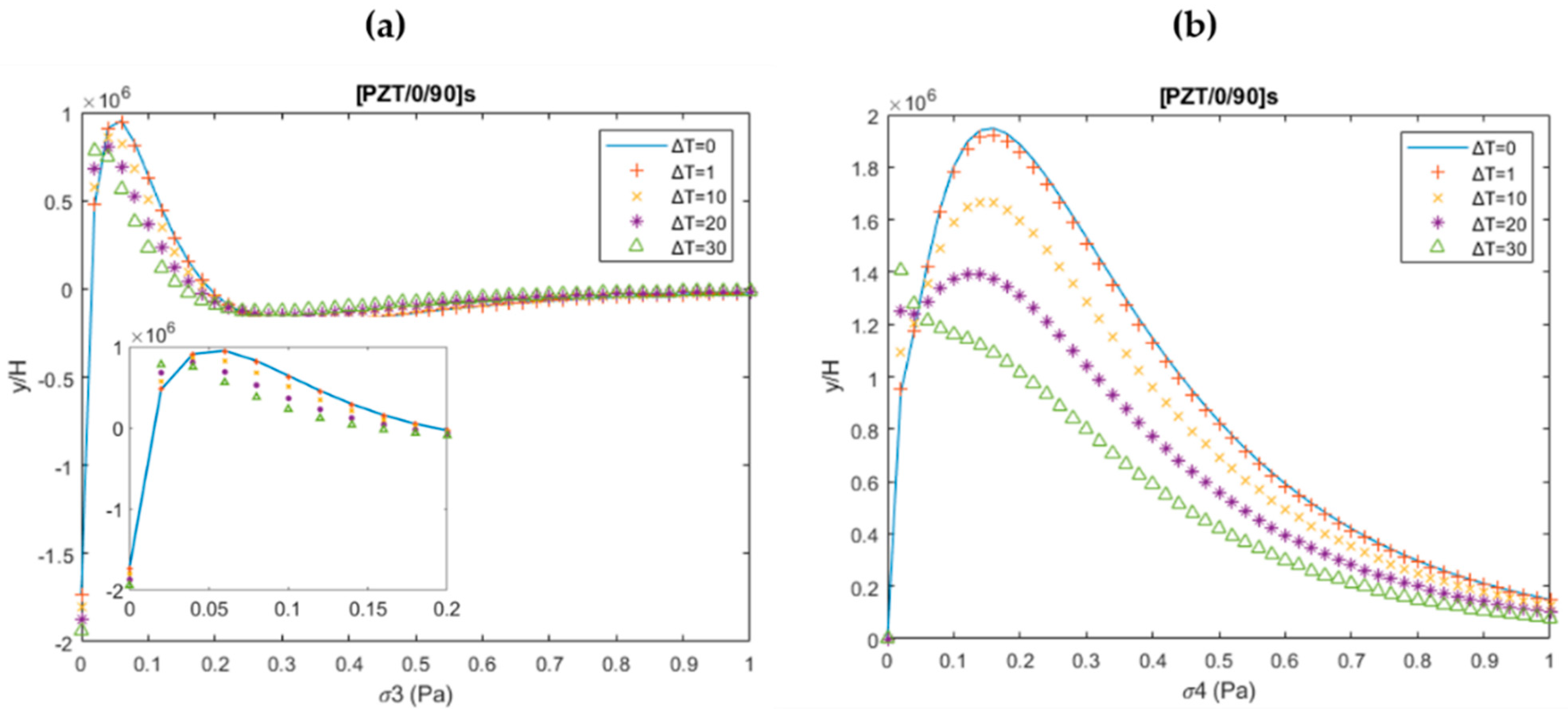
3.2. Reduction of Interlaminar Stress by Combined Thermo-Mechanical Loading
3.3. Piezoelectric Excitation
3.4. Reduction in Interlaminar Stress by Combined Thermo-Electro-Mechanical Loading
4. Conclusions
Author Contributions
Funding
Institutional Review Board Statement
Informed Consent Statement
Data Availability Statement
Acknowledgments
Conflicts of Interest
References
- Mahapatra, S.D.; Mohapatra, P.C.; Aria, A.I.; Christie, G.; Mishra, Y.K.; Hofmann, S.; Thakur, V.K. Piezoelectric Materials for Energy Harvesting and Sensing Applications: Roadmap for Future Smart Materials. Adv. Sci. 2021, 8, 2100864. [Google Scholar] [CrossRef] [PubMed]
- Lee, S.-L. Active Vibration Suppression of Wind Turbine Blades Integrated with Piezoelectric Sensors. Sci. Eng. Compos. Mater. 2021, 28, 402–414. [Google Scholar] [CrossRef]
- Zhang, Y.; Xue, Y.; Yuan, W.; Ma, W.; Li, J.; Li, F. Active Control of Thermo-Mechanical Buckling of Composite Laminated Plates Using Piezoelectric Actuators. Acta Mech. Solida Sin. 2021, 34, 369–380. [Google Scholar] [CrossRef]
- Zalhaf, A.S.; Mansour, D.-E.A.; Han, Y.; Yang, P.; Yang, P.; Darwish, M.M.F. Numerical and Experimental Analysis of the Transient Behavior of Wind Turbines When Two Blades Are Simultaneously Struck by Lightning. IEEE Trans. Instrum. Meas. 2021, 1. [Google Scholar] [CrossRef]
- Kumar Saini, M.; Kumar Bagha, A.; Kumar, S.; Bahl, S. Finite Element Analysis for Predicting the Vibration Characteristics of Natural Fiber Reinforced Epoxy Composites. Mater. Today Proc. 2021, 41, 223–227. [Google Scholar] [CrossRef]
- Sayed, A.M.; Abouelatta, M.A.; Badawi, M.; Mahmoud, K.; Lehtonen, M.; Darwish, M.M.F. Novel Accurate Modeling of Dust Loaded Wire-Duct Precipitators Using FDM-FMG Method on One Fine Computational Domains. Electr. Power Syst. Res. 2022, 203, 107634. [Google Scholar] [CrossRef]
- Kapuria, S.; Ahmed, A. A Coupled Efficient Layerwise Finite Element Model for Free Vibration Analysis of Smart Piezo-Bonded Laminated Shells Featuring Delaminations and Transducer Debonding. Int. J. Mech. Sci. 2021, 194, 106195. [Google Scholar] [CrossRef]
- Mittelstedt, C.; Becker, W. Free-Edge Effects in Composite Laminates. Appl. Mech. Rev. 2007, 60, 217–245. [Google Scholar] [CrossRef]
- Karp, B.; Durban, D. Saint-Venant’s Principle in Dynamics of Structures. Appl. Mech. Rev. 2011, 64, 020801. [Google Scholar] [CrossRef]
- Pipes, R.B.; Pagano, N.J. Interlaminar Stresses in Composite Laminates Under Uniform Axial Extension. In Mechanics of Composite Materials; Reddy, J.N., Ed.; Solid Mechanics and Its Applications; Springer: Dordrecht, The Netherlands, 1994; Volume 34, pp. 234–245. ISBN 9789048144518. [Google Scholar]
- Kant, T.; Swaminathan, K. Estimation of Transverse/Interlaminar Stresses in Laminated Composites—A Selective Review and Survey of Current Developments. Compos. Struct. 2000, 49, 65–75. [Google Scholar] [CrossRef]
- D’Ottavio, M.; Vidal, P.; Valot, E.; Polit, O. Assessment of Plate Theories for Free-Edge Effects. Compos. Part B Eng. 2013, 48, 111–121. [Google Scholar] [CrossRef]
- Pagano, N.J.; Pipes, R.B. Some Observations on the Interlaminar Strength of Composite Laminates. Int. J. Mech. Sci. 1973, 15, 679–688. [Google Scholar] [CrossRef]
- Tahani, M.; Nosier, A. Free Edge Stress Analysis of General Cross-Ply Composite Laminates under Extension and Thermal Loading. Compos. Struct. 2003, 60, 91–103. [Google Scholar] [CrossRef]
- Nosier, A.; Maleki, M. Free-Edge Stresses in General Composite Laminates. Int. J. Mech. Sci. 2008, 50, 1435–1447. [Google Scholar] [CrossRef]
- Pagano, N.J. On the Calculation of Interlaminar Normal Stress in Composite Laminate. J. Compos. Mater. 1974, 8, 65–81. [Google Scholar] [CrossRef]
- Becker, W. Closed-Form Analysis of the Free Edge Effect in Angle-Ply Laminates. J. Appl. Mech. 1994, 61, 209–211. [Google Scholar] [CrossRef]
- Kassapoglou, C.; Lagace, P.A. An Efficient Method for the Calculation of Interlaminar Stresses in Composite Materials. J. Appl. Mech. 1986, 53, 744–750. [Google Scholar] [CrossRef]
- Yin, W.-L. Free-Edge Effects in Anisotropic Laminates Under Extension, Bending and Twisting, Part I: A Stress-Function-Based Variational Approach. J. Appl. Mech. 1994, 61, 410–415. [Google Scholar] [CrossRef]
- Yin, W.-L. Free-Edge Effects in Anisotropic Laminates Under Extension, Bending, and Twisting, Part II: Eigenfunction Analysis and the Results for Symmetric Laminates. J. Appl. Mech. 1994, 61, 416–421. [Google Scholar] [CrossRef]
- Flanagan, G. An Efficient Stress Function Approximation for the Free-Edge Stresses in Laminates. Int. J. Solids Struct. 1994, 31, 941–952. [Google Scholar] [CrossRef]
- Cho, M.; Yoon, J.-Y. Free-Edge Interlaminar Stress Analysis of Composite Laminates by Extended Kantorovich Method. AIAA J. 1999, 37, 656–660. [Google Scholar] [CrossRef]
- Cho, M.; Kim, H.S. Iterative Free-Edge Stress Analysis of Composite Laminates under Extension, Bending, Twisting and Thermal Loadings. Int. J. Solids Struct. 2000, 37, 435–459. [Google Scholar] [CrossRef]
- Kim, H.S.; Cho, M.; Kim, G.-I. Free-Edge Strength Analysis in Composite Laminates by the Extended Kantorovich Method. Compos. Struct. 2000, 49, 229–235. [Google Scholar] [CrossRef]
- Kim, H.S.; Rhee, S.Y.; Cho, M. Simple and Efficient Interlaminar Stress Analysis of Composite Laminates with Internal Ply-Drop. Compos. Struct. 2008, 84, 73–86. [Google Scholar] [CrossRef]
- Kim, H.S.; Cho, M.; Lee, J.; Deheeger, A.; Grédiac, M.; Mathias, J.-D. Three Dimensional Stress Analysis of a Composite Patch Using Stress Functions. Int. J. Mech. Sci. 2010, 52, 1646–1659. [Google Scholar] [CrossRef]
- Cho, M.; Rhee, S.Y. Layup Optimization Considering Free-Edge Strength and Bounded Uncertainty of Material Properties. AIAA J. 2003, 41, 2274–2282. [Google Scholar] [CrossRef]
- Cho, M.; Rhee, S.Y. Optimization of Laminates with Free Edges under Bounded Uncertainty Subject to Extension, Bending and Twisting. Int. J. Solids Struct. 2004, 41, 227–245. [Google Scholar] [CrossRef]
- Rhee, S.Y.; Cho, M.; Kim, H.S. Layup Optimization with GA for Tapered Laminates with Internal Plydrops. Int. J. Solids Struct. 2006, 43, 4757–4776. [Google Scholar] [CrossRef][Green Version]
- Nosier, A.; Bahrami, A. Interlaminar Stresses in Antisymmetric Angle-Ply Laminates. Compos. Struct. 2007, 78, 18–33. [Google Scholar] [CrossRef]
- Lo, S.H.; Zhen, W.; Cheung, Y.K.; Wanji, C. An Enhanced Global–Local Higher-Order Theory for the Free Edge Effect in Laminates. Compos. Struct. 2007, 81, 499–510. [Google Scholar] [CrossRef]
- Kim, T.; Atluri, S.N. Optimal Through-Thickness Temperature Gradients for Control of Interlaminar Stresses in Composites. AIAA J. 1995, 33, 730–738. [Google Scholar] [CrossRef][Green Version]
- Kim, T.; Steadman, D.; Hanagud, S.V.; Atluri, S.N. On the Feasibility of Using Thermal Gradients for Active Control of Interlaminar Stresses in Laminated Composites. J. Compos. Mater. 1997, 31, 1556–1573. [Google Scholar] [CrossRef]
- Huang, B.; Kim, H.S. Reduction of Free Edge Peeling Stress of Laminated Composites Using Active Piezoelectric Layers. Sci. World J. 2014, 2014, 1–13. [Google Scholar] [CrossRef] [PubMed]
- Khan, A.; Ko, D.-K.; Lim, S.C.; Kim, H.S. Structural Vibration-Based Classification and Prediction of Delamination in Smart Composite Laminates Using Deep Learning Neural Network. Compos. Part B Eng. 2019, 161, 586–594. [Google Scholar] [CrossRef]
- Jiang, G.; Dong, T.; Guo, Z. Nonlinear Dynamics of an Unsymmetric Cross-Ply Square Composite Laminated Plate for Vibration Energy Harvesting. Symmetry 2021, 13, 1261. [Google Scholar] [CrossRef]
- Huang, B.; Kim, H.S. Free-Edge Interlaminar Stress Analysis of Piezo-Bonded Composite Laminates under Symmetric Electric Excitation. Int. J. Solids Struct. 2014, 51, 1246–1252. [Google Scholar] [CrossRef]
- Chopra, I. Review of State-of-Art of Smart Structures and Integrated Systems. In Proceedings of the 19th AIAA Applied Aerodynamics Conference, Anaheim, CA, USA, 11–14 June 2001; American Institute of Aeronautics and Astronautics: Anaheim, CA, USA, 2001. [Google Scholar]
- Lekhnitskii, S.G.; Fern, P.; Brandstatter, J.J.; Dill, E.H. Theory of Elasticity of an Anisotropic Elastic Body. Phys. Today 1964, 17, 84. [Google Scholar] [CrossRef]
- Wang, S.S.; Choi, I. Boundary-Layer Effects in Composite Laminates: Part 1—Free-Edge Stress Singularities. J. Appl. Mech. 1982, 49, 541–548. [Google Scholar] [CrossRef]
- Abaqus Analysis User’s Manual-Abaqus Version 6.14; Simulia: Johnston, RI, USA.










| PZT-5H Layer [40] | Composite Lamina [14] |
|---|---|
| E1 = E2 = 62 × 103 MPa | E1 = 138 × 103 MPa |
| E3 = 48 × 103 MPa | E2 = E3 = 14.5 × 103 MPa |
| G12 = 23.5 × 103 MPa | G12 = G23 = G13 = 5.9 × 103 MPa |
| G13 = G23 = 5.9 × 103 MPa | ν12 = ν13 = ν23 = 0.21 |
| ν12 = ν13 = ν23 = 0.49 | α1 = 1.2 × 10−7 (0C−1) |
| d31 = d32 = −2.74 × 10−10 m/N | α2 = α3 = 8.4 × 10−6 (0C−1) |
| d33 = 5.93 × 10−10 m/N | |
| d42 = d51 = 7.41 × 10−10 m/N | |
| α1 = α2 = α3 = 3.5 × 10−6 (0C−1) |
| Approach | Contribution | Limitation |
|---|---|---|
| Layerwise theory [19] | Prediction of interlaminar stress in a multilayered strip of a laminate subjected to extension, bending, and twisting loading | Computationally inefficient, many degrees of freedom |
| Equivalent single-layer theory [21] | Accurate prediction of inplane stresses | Out-of-plane stresses showed oscillation behavior |
| Series solution based approach [37] | Minimized interlaminar stresses by electro-mechanical coupling phenomenon | Missing thermo-electro-mechanical coupling effect |
| Proposed approach | Accurate prediction of interlaminar stresses under thermo-electro-mechanical loading | Only applicable for the simple geometry |
Publisher’s Note: MDPI stays neutral with regard to jurisdictional claims in published maps and institutional affiliations. |
© 2022 by the authors. Licensee MDPI, Basel, Switzerland. This article is an open access article distributed under the terms and conditions of the Creative Commons Attribution (CC BY) license (https://creativecommons.org/licenses/by/4.0/).
Share and Cite
Khalid, S.; Lee, J.; Kim, H.S. Series Solution-Based Approach for the Interlaminar Stress Analysis of Smart Composites under Thermo-Electro-Mechanical Loading. Mathematics 2022, 10, 268. https://doi.org/10.3390/math10020268
Khalid S, Lee J, Kim HS. Series Solution-Based Approach for the Interlaminar Stress Analysis of Smart Composites under Thermo-Electro-Mechanical Loading. Mathematics. 2022; 10(2):268. https://doi.org/10.3390/math10020268
Chicago/Turabian StyleKhalid, Salman, Jaehun Lee, and Heung Soo Kim. 2022. "Series Solution-Based Approach for the Interlaminar Stress Analysis of Smart Composites under Thermo-Electro-Mechanical Loading" Mathematics 10, no. 2: 268. https://doi.org/10.3390/math10020268
APA StyleKhalid, S., Lee, J., & Kim, H. S. (2022). Series Solution-Based Approach for the Interlaminar Stress Analysis of Smart Composites under Thermo-Electro-Mechanical Loading. Mathematics, 10(2), 268. https://doi.org/10.3390/math10020268

