Identification of Nonlinear State-Space Systems via Sparse Bayesian and Stein Approximation Approach
Abstract
1. Introduction
- (1)
- The NSSI-SBSA algorithm is proposed. In the algorithm, the sparse method is used for the parameter estimation and prediction. Parameter prior, Bayesian sparse learning, and optimisation are used in an integrated computing framework instead of the classical two-stage method. The sparse model identification results strikes a natural balance between model sparsity and precision, preventing the model from overfit to the data.
- (2)
- A nonconvex optimisation problem is constructed in the non-linear state-space system identification issue with additive noise. Compared with other related methods, we not only take the evidence maximisation as an objective function, but also consider the Stein discrepancy of parameters as another objective function in the non-convex optimization problem. The two functions are integrated into one objective function containing more information. It can captures more important information from the raw date and reduce the complexity of parametric solutions.
2. Problem Statement and Background
3. Constructing the Model in Bayesian Framework
4. Non-Convex Optimisation with Stein Method for Identification
4.1. Stein Operators Selection and Stein Constrain Design
4.2. Parameter Sparse Identification of Constraints from Data
4.2.1. Objective Function in Parameter Identification
4.2.2. Modified Objective Function in Estimation
4.2.3. Parameter Estimation with Sparse Method
| Algorithm 1: Non-linear state-space identification algorithm with sparse Bayesian and Stein approach (NSSI-SBSA) |
Input: 1: Generate time series data from the system of discrete-time dynamics characterized by (1) 2: Choose the dictionary functions that will be used to build the dictionary matrix mentioned in Section 2; , stopping threshold 3: for do 4: Solve the minimisation problem with L1-regularization and optimization method on .
5: Update parameter and in (28) and (29). 6: 7: Update parameter 8: end for 9: if then 10: Break 11: end if Output: The sparse weight set of . |
5. Numerical Example
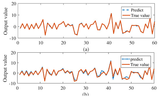
5.1. Example 1: Parameters Identification General Narendra-Li Model
5.2. Example 2: Application to a NARX Model
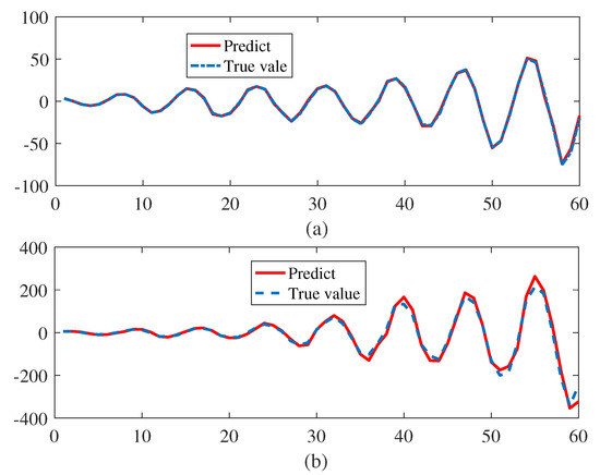
5.3. Example 3: Kernel State-Space Models (KSSM) for Autoregressive Modeling
6. Conclusions
Author Contributions
Funding
Conflicts of Interest
References
- Ljung, L. Perspectives on system identification. Annu. Control. 2010, 34, 1–12. [Google Scholar] [CrossRef]
- Luo, G.; Yang, Z.; Zhan, C.; Zhang, Q. Identification of nonlinear dynamical system based on raised-cosine radial basis function neural networks. Neural Process. Lett. 2021, 53, 355–374. [Google Scholar] [CrossRef]
- Yakoub, Z.; Naifar, O.; Ivanov, D. Unbiased Identification of Fractional Order System with Unknown Time-Delay Using Bias Compensation Method. Mathematics 2022, 10, 3028. [Google Scholar] [CrossRef]
- Yakoub, Z.; Amairi, M.; Aoun, M.; Chetoui, M. On the fractional closed-loop linear parameter varying system identification under noise corrupted scheduling and output signal measurements. Trans. Inst. Meas. Control. 2019, 41, 2909–2921. [Google Scholar] [CrossRef]
- Yakoub, Z.; Aoun, M.; Amairi, M.; Chetoui, M. Identification of continuous-time fractional models from noisy input and output signals. In Fractional Order Systems—Control Theory and Applications; Springer: Cham, Switzerland, 2022; pp. 181–216. [Google Scholar]
- Kumpati, S.N.; Kannan, P. Identification and control of dynamical systems using neural networks. IEEE Trans. Neural Netw. 1990, 1, 4–27. [Google Scholar]
- Leontaritis, I.J.; Billings, S.A. Input-output parametric models for non-linear systems part II: Stochastic non-linear systems. Int. J. Control. 1985, 41, 329–344. [Google Scholar] [CrossRef]
- Rangan, S.; Wolodkin, G.; Poolla, K. New results for Hammerstein system identification. Proceedings of 1995 34th IEEE Conference on Decision and Control, New Orleans, LA, USA, 13–15 December 1995; IEEE: Piscataway, NJ, USA, 1995; Volume 1, pp. 697–702. [Google Scholar]
- Billings, S.A. Nonlinear System Identification: NARMAX Methods in the Time, Frequency, and Spatio-Temporal Domains; John Wiley and Sons: Hoboken, NJ, USA, 2013. [Google Scholar]
- Haber, R.; Unbehauen, H. Structure identification of nonlinear dynamic systems—A survey on input-output approaches. Automatica 1990, 26, 651–677. [Google Scholar] [CrossRef]
- Barahona, M.; Poon, C.S. Detection of nonlinear dynamics in short, noisy time series. Nature 1996, 381, 215–217. [Google Scholar] [CrossRef]
- Frigola, R.; Lindsten, F.; Schon, T.B.; Rasmussen, C.E. Bayesian inference and learning in Gaussian process state-space models with particle MCMC. Adv. Neural Inf. Process. Syst. 2013, 26. [Google Scholar]
- Frigola, R.; Chen, Y.; Rasmussen, C.E. Variational Gaussian process state-space models. Adv. Neural Inf. Process. Syst. 2014, 27. [Google Scholar]
- Karl, M.; Soelch, M.; Bayer, J.; Van der Smagt, P. Deep variational bayes filters: Unsupervised learning of state space models from raw data. arXiv 2016, arXiv:1605.06432. [Google Scholar]
- Raiko, T.; Tornio, M. Variational Bayesian learning of nonlinear hidden state-space models for model predictive control. Neurocomputing 2009, 72, 3704–3712. [Google Scholar] [CrossRef]
- Ljung, L. Theory for the User. In System Identification; Prentice Hall: Hoboken, NJ, USA, 1987. [Google Scholar]
- Dempster, A.P.; Laird, N.M.; Rubin, D.B. Maximum likelihood from incomplete data via the EM algorithm. J. R. Stat. Ser. B 1977, 39, 1–22. [Google Scholar]
- Duncan, S.; Gyongy, M. Using the EM algorithm to estimate the disease parameters for smallpox in 17th century London. In Proceedings of the 2006 IEEE International Symposium on Intelligent Control, Munich, Germany, 4–6 October 2006; IEEE: Piscataway, NJ, USA, 2006; pp. 3312–3317. [Google Scholar]
- Solin, A.; Sarkka, S. Hilbert space methods for reduced-rank Gaussian process regression. Stat. Comput. 2020, 30, 419–446. [Google Scholar] [CrossRef]
- Svensson, A.; Schon, T.B. A flexible state–space model for learning nonlinear dynamical systems. Automatica 2017, 80, 189–199. [Google Scholar] [CrossRef]
- Frigola, R. Bayesian Time Series Learning with Gaussian Processes; University of Cambridge: Cambridge, UK, 2015. [Google Scholar]
- Wilson, A.G.; Hu, Z.; Salakhutdinov, R.R.; Xing, E.P. Stochastic variational deep kernel learning. Adv. Neural Inf. Process. 2016, 2586–2594. [Google Scholar]
- Cerone, V.; Piga, D.; Regruto, D. Enforcing stability constraints in set-membership identification of linear dynamic systems. Automatica 2011, 47, 2488–2494. [Google Scholar] [CrossRef][Green Version]
- Zavlanos, M.M.; Julius, A.A.; Boyd, S.P.; Pappas, G.J. Inferring stable genetic networks from steady-state data. Automatica 2011, 47, 1113–1122. [Google Scholar] [CrossRef]
- Pan, W.; Yuan, Y.; Goncalves, J.; Stan, G.B. A sparse Bayesian approach to the identification of nonlinear state space systems. IEEE Trans. Autom. Control. 2015, 61, 182–187. [Google Scholar] [CrossRef]
- Tibshirani, R. Regression shrinkage and selection via the lasso. J. R. Stat. Soc. Ser. B 1996, 58, 267–288. [Google Scholar] [CrossRef]
- Hastie, T.; Tibshirani, R.; Friedman, J.H.; Friedman, J.H. The Elements of Statistical Learning: Data Mining, Inference, and Prediction; Springer: New York, NY, USA, 2009. [Google Scholar]
- James, G.; Witten, D.; Hastie, T.; Tibshirani, R. An Introduction To Statistical Learning; Springer: New York, NY, USA, 2013. [Google Scholar]
- Donoho, D.L. Compressed sensing. IEEE Trans. Inf. Theory 2006, 52, 1289–1306. [Google Scholar] [CrossRef]
- Candes, E.J.; Romberg, J.; Tao, T. Robust uncertainty principles: Exact signal reconstruction from highly incomplete frequency information. IEEE Trans. Inf. Theory 2006, 52, 489–509. [Google Scholar] [CrossRef]
- Tropp, J.A.; Gilbert, A.C. Signal recovery from random measurements via orthogonal matching pursuit. IEEE Trans. Inf. Theory 2007, 53, 4655–4666. [Google Scholar] [CrossRef]
- Stein, C. A bound for the error in the normal approximation to the distribution of a sum of dependent random variables. In Proceedings of the Sixth Berkeley Symposium on Mathematical Statistics and Probability, Volume 2: Probability Theory, University of California, Berkeley, CA, USA, 21 June–18 July 1970, 9–12 April, 16–21 June and 19–22 July 1971; The Regents of the University of California: Berkeley, CA, USA, 1972. [Google Scholar]
- Brunton, S.L.; Tu, J.H.; Bright, I.; Kutz, J.N. Compressive sensing and low-rank libraries for classification of bifurcation regimes in nonlinear dynamical systems. Siam J. Appl. Dyn. Syst. 2014, 13, 1716–1732. [Google Scholar] [CrossRef]
- Bai, Z.; Wimalajeewa, T.; Berger, Z.; Wang, G.; Glauser, M.; Varshney, P.K. Low-dimensional approach for reconstruction of airfoil data via compressive sensing. AIAA J. 2015, 53, 920–933. [Google Scholar] [CrossRef]
- Arnaldo, I.; O’Reilly, U.M.; Veeramachaneni, K. Building predictive models via feature synthesis. In Proceedings of the 2015 Annual Conference on Genetic and Evolutionary Computation, Madrid, Spain, 11–15 July 2015; pp. 983–990. [Google Scholar]
- Berntorp, K. Online Bayesian inference and learning of Gaussian-process state–space models. Automatica 2021, 129, 109613. [Google Scholar] [CrossRef]
- Imani, M.; Ghoreishi, S.F. Two-stage Bayesian optimization for scalable inference in state-space models. IEEE Trans. Neural Netw. Learn. Syst. 2021, 1–12. [Google Scholar] [CrossRef]
- Efron, B.; Hastie, T.; Johnstone, I.; Tibshirani, R. Least angle regression. Ann. Stat. 2004, 32, 407–499. [Google Scholar] [CrossRef]
- Brunton, S.L.; Proctor, J.L.; Kutz, J.N. Discovering governing equations from data by sparse identification of nonlinear dynamical systems. Proc. Natl. Acad. Sci. USA 2016, 113, 3932–3937. [Google Scholar] [CrossRef]
- Chen, S.S.; Donoho, D.L.; Saunders, M.A. Atomic decomposition by basis pursuit. SIAM Rev. 2001, 43, 129–159. [Google Scholar] [CrossRef]
- Bishop, C.M. Pattern recognition. Mach. Learn. 2006, 128. [Google Scholar]
- Ma, Z.; Lai, Y.; Kleijn, W.B.; Song, Y.Z.; Wang, L.; Guo, J. Variational Bayesian learning for Dirichlet process mixture of inverted Dirichlet distributions in non-Gaussian image feature modeling. IEEE Trans. Neural Networks And Learn. Syst. 2018, 30, 449–463. [Google Scholar] [CrossRef] [PubMed]
- Tipping, M.E. Sparse Bayesian learning and the relevance vector machine. J. Mach. Learn. Res. 2001, 1, 211–244. [Google Scholar]
- Tobar, F.; Djuric, P.M.; Mandic, D.P. Unsupervised state-space modeling using reproducing kernels. IEEE Trans. Signal Process. 2015, 63, 5210–5221. [Google Scholar] [CrossRef]
- Roll, J.; Nazin, A.; Ljung, L. Nonlinear system identification via direct weight optimization. Automatica 2005, 41, 475–490. [Google Scholar] [CrossRef]
- Stenman, A. Model on Demand: Algorithms, Analysis And Applications; Department of Electrical Engineering, Linköping University: Linköping, Sweden, 1999. [Google Scholar]
- Xu, J.; Huang, X.; Wang, S. Adaptive hinging hyperplanes and its applications in dynamic system identification. Automatica 2009, 45, 2325–2332. [Google Scholar] [CrossRef]





Publisher’s Note: MDPI stays neutral with regard to jurisdictional claims in published maps and institutional affiliations. |
© 2022 by the authors. Licensee MDPI, Basel, Switzerland. This article is an open access article distributed under the terms and conditions of the Creative Commons Attribution (CC BY) license (https://creativecommons.org/licenses/by/4.0/).
Share and Cite
Zhang, L.; Li, J.; Zhang, W.; Yang, J. Identification of Nonlinear State-Space Systems via Sparse Bayesian and Stein Approximation Approach. Mathematics 2022, 10, 3667. https://doi.org/10.3390/math10193667
Zhang L, Li J, Zhang W, Yang J. Identification of Nonlinear State-Space Systems via Sparse Bayesian and Stein Approximation Approach. Mathematics. 2022; 10(19):3667. https://doi.org/10.3390/math10193667
Chicago/Turabian StyleZhang, Limin, Junpeng Li, Wenting Zhang, and Junzi Yang. 2022. "Identification of Nonlinear State-Space Systems via Sparse Bayesian and Stein Approximation Approach" Mathematics 10, no. 19: 3667. https://doi.org/10.3390/math10193667
APA StyleZhang, L., Li, J., Zhang, W., & Yang, J. (2022). Identification of Nonlinear State-Space Systems via Sparse Bayesian and Stein Approximation Approach. Mathematics, 10(19), 3667. https://doi.org/10.3390/math10193667

