Studying the Efficiency of Parallelization in Optimal Control of Multistage Chemical Reactions
Abstract
1. Introduction
2. Problem Formulation
3. Optimal Control of the Catalytic Reformation of Gasoline
4. Parallel Mind Evolutionary Computation Algorithms
- 1.
- Initialization of groups within the search domain () and problem decomposition. This stage is performed on the master CPU.
- a.
- Generate a given number () of groups (); is the free parameter of the algorithm;
- b.
- Generate a random vector (). In this work, an sequence was used [37]. Identify this vector with the individual () of the group ();
- c.
- For every , calculate the corresponding values of the objective function ();
- d.
- Randomly divide a set of vectors into subpopulations, where K is the number of available computing nodes. The next steps are performed for each sub-population;
- e.
- In every group (), determine the initial coordinates of the rest of individuals in the group () according to the following formula:Here, is the number of individuals in each group;
- f.
- Calculate the scores of all individuals in every subpopulation and put them on the corresponding local blackboards ();
- g.
- Create leading and lagging groups based on the obtained scores. The ratio between leading and lagging groups is determined by the free parameter In this work, the number of lagging and leading groups is the same (), corresponding to a situation in which there is a balance between exploration and exploitation.
- 2.
- The modified similar-taxis stage is launched independently on every parallel computing node and works with a subset of groups determined during the initialization stage. We describe the process for one computing node.
- a.
- Take information on the current best individual () of the group () from the blackboard ();
- b.
- The value of parameter used to generate new agents decreases depending on the number of iterations:Here, is the threshold number of iterations; when , the standard deviation () begins to decrease; is the initial value of the standard deviation; is the speed parameter (the recommended value ); and is the tolerance used to identify the stagnation.
- c.
- Check for constraint violations:
- i
- If any component of vector is outside of domain , it is projected back on to the boundary of domain [24]; and
- ii
- The difference between any two nearby components of vector is modified in order not to overcome the specified limit from physical experiments. This procedure is performed in random order [3].
- d.
- Create new leading groups () and lagging groups () around current best individuals () using Formula (10);
- e.
- Put information on the new winner on the corresponding local blackboard () and the global blackboard () available to the master.
- 3.
- The dissimilation stage is also performed on every parallel computing node.
- a.
- Read the scores of all groups () from the global blackboard ();
- b.
- Compare all the scores. If the score of any leading group () is less than score of any lagging group (), than the lagging group becomes a leading groups, and the first group becomes a lagging group. If score of a lagging group () is lower than the scores of all leading groups for consecutive iterations, then it is removed from the population;
- c.
- Each removed group is replaced with a new group via an initialization procedure.
- 4.
- For this study, the maximum allowed value of the objective function’s evaluation was used as the termination criterion [36]. The synchronous approach was used, as the master node waits for the results or termination messages (via time out) from all computing nodes before composing the solution.
- a.
- Read the scores of all groups () from the global blackboard ();
- b.
- Compare all the scores. If score of any leading group () is less than the score of any lagging group (), then the lagging group becomes a leading group, and the first group becomes a lagging group. If the score of a lagging group () is lower than scores of all leading groups for consecutive iterations, then it is removed from the population;
- c.
- Each removed group is replaced with a new group with via the initialization procedure;
- d.
- If a lagging group () was deleted while being processed on another computing node, its results are kept in order to form a new group as soon as another group is removed in order to maintain a constant number of groups and individuals and prevent information loss.
5. Computational Experiments and Analysis
5.1. Study of the Parallelization Efficiency
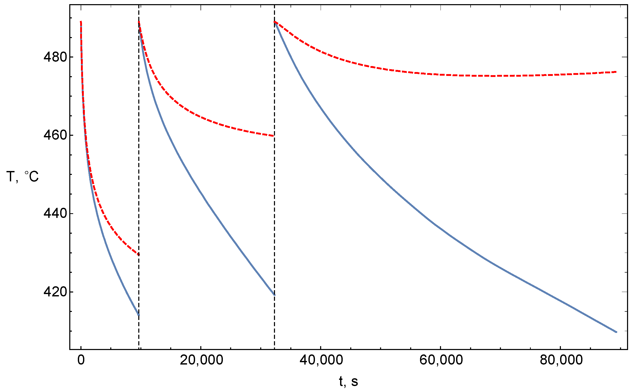
5.2. Analysis from the Chemical Perspective
6. Conclusions
Author Contributions
Funding
Data Availability Statement
Acknowledgments
Conflicts of Interest
References
- Sakharov, M.; Karpenko, A. Parallel Multi-memetic Global Optimization Algorithm for Optimal Control of Polyarylenephthalide’s Thermally-Stimulated Luminescence. In Optimization of Complex Systems: Theory, Models, Algorithms and Applications; WCGO 2019; Advances in Intelligent Systems and Computing; Springer: Cham, Switzerland, 2020; Volume 991, pp. 191–201. [Google Scholar] [CrossRef]
- Pontryagin, L.S.; Boltyanskii, V.G.; Gamkrelidze, R.V.; Mishchenko, E.F. The Mathematical Theory of Optimal Processess; Interscience: New York, NY, USA, 1962. [Google Scholar]
- Rao, A.V. A Survey of Numerical Methods for Optimal Control; Preprint AAS 09-334; American Astronautical Society by Univelt: Escondido, CA, USA, 2015; pp. 1–32. [Google Scholar]
- Sakharov, M.; Koledina, K.; Gubaydullin, I.; Karpenko, A. Optimal Control of Chemical Reactions with the Parallel Multi-Memetic Algorithm. In Parallel Computational Technologies; PCT 2020; Springer: Cham, Switzerland, 2020; Volume 1263, pp. 1–14. [Google Scholar] [CrossRef]
- Frego, D.M. Numerical Methods for Optimal Control Problems with Application to Autonomous Vehicles. Ph.D. Thesis, University of Trento, Trento, Italy, 2014. [Google Scholar]
- Diveev, A.I.; Konstantinov, S.V. Study of the practical convergence of evolutionary algorithms for the optimal program control of a wheeled robot. J. Comput. Syst. Sci. Int. 2018, 57, 561–580. [Google Scholar] [CrossRef]
- Diveev, A.; Sofronova, E.; Shmalko, E. Modified SOMA for Optimal Control Problem. In Proceedings of the 2019 IEEE Congress on Evolutionary Computation, (CEC 2019), Wellington, New Zealand, 10–13 June 2019; pp. 2894–2899. [Google Scholar]
- Mahdiani, M.R.; Khamehchi, E.; Suratgar, A.A. Using modern heuristic algorithms for optimal control of a gas lifted field. J. Pet. Sci. Eng. 2019, 183, 106348. [Google Scholar] [CrossRef]
- Hager, W.W.; Pardalos, P.M. Optimal Control: Theory, Algorithms and Applications. Applied Optimization; Kluwer Academic Publishers: Norwell, MA, USA, 1998; 536p. [Google Scholar]
- Diveev, A.I.; Konstantinov, S.V.; Sofronova, E.A. A Comparison of Evolutionary Algorithms and Gradient-based Methods for the Optimal Control Problem. In Proceedings of the 2018 5th International Conference on Control, Decision and Information Technologies (CoDIT), Thessaloniki, Greece, 10–13 April 2018; pp. 259–264. [Google Scholar]
- Yu, Y.; Zhang, C.; Gu, X.; Cui, Y. Expansion prediction of alkali aggregate reactivity-affected concrete structures using a hybrid soft computing method. Neural Comput. Appl. 2019, 31, 8641–8660. [Google Scholar] [CrossRef]
- Fedorenko, R.P. Approximate Solution of Optimal Control Problems; Nauka: Moscow, Russian, 1978; 488p. (In Russian) [Google Scholar]
- Tyatyushkin, A.; Zarodnyuk, T. Numerical method for solving optimal control problems with phase constraints. Numer. Algebra Control Optim. 2017, 7, 481–492. [Google Scholar] [CrossRef]
- Stijepovic, M.Z.; Ostojic, A.V.; Milenkovic, I.; Linke, P. Development of a Kinetic Model for Catalytic Reforming of Naphtha and Parameter Estimation Using Industrial Plant Data. Energy Fuels 2009, 23, 979–983. [Google Scholar] [CrossRef]
- Koledina, K.F.; Gubaidullin, I.M. Kinetics and mechanism of olefin catalytic hydroalumination by organoaluminum compounds. J. Phys. Chem. 2016, 90, 914–921. [Google Scholar] [CrossRef]
- Bayguzina, A.R.; Gimaletdinova, L.I.; Khusnutdinov, R.I. Synthesis of Benzyl Alkyl Ethers by Intermolecular Dehydration of Benzyl Alcohol with Aliphatic Alcohols under the Effect of Copper Containing Catalysts. Russ. J. Org. Chem. 2018, 54, 1148–1155. [Google Scholar] [CrossRef]
- Sakharov, M.; Koledina, K.; Gubaydullin, I.; Karpenko, A. Feasible Control of Chemical Reactions with the Parallel Mind Evolutionary Algorithm. In Proceedings of the Parallel Computing Technologies—XV International Conference, PaVT’2021, Volgograd, Russia, 30 March–1 April 2021; pp. 104–117. [Google Scholar]
- Voevodin, V.V.; Voevodin, V.V. Parallel Computations; BHV: Saint-Petersburg, Russia, 2004; 608p. [Google Scholar]
- Strongin, R.G.; Gergel, V.P.; Grishagin, V.A.; Barkalov, K.A. Parallel Computing in the Global Optimization Problems; Moscow State University Publishing House: Moscow, Russian, 2013; 280p. (In Russian) [Google Scholar]
- Weise, T. Global Optimization Algorithms—Theory and Application; University of Kassel: Kassel, Germany, 2008; 758p. [Google Scholar]
- Afanasiev, A.; Evtushenko, Y.; Posypkin, M. The layered software infrastructure for solving large-scale optimization problems on the grid. Int. J. Comput. Res. 2011, 18, 307. [Google Scholar]
- Sakharov, M.; Karpenko, A. Comparative Study of a New Problem Decomposition Method for Solving Global Optimization Problems on Loosely Coupled Systems. In Proceedings of the Fifth International Scientific Conference “Intelligent Information Technologies for Industry” (IITI’21); Kovalev, S., Tarassov, V., Snasel, V., Sukhanov, A., Eds.; Lecture Notes in Networks and Systems; Springer: Cham, Switzerland, 2022; Volume 330. [Google Scholar] [CrossRef]
- Sergeyev, Y.D.; Grishagin, V.A. Parallel Asynchronous Global Search and the Nested Optimization Scheme. J. Comput. Anal. Appl. 2001, 3, 123–245. [Google Scholar]
- Karpenko, A.; Agasiev, T.; Sakharov, M. Intellectualization Methods of Population Algorithms of Global Optimization. In Cyber-Physical Systems: Advances in Design & Modelling; Kravets, A., Bolshakov, A., Shcherbakov, M., Eds.; Studies in Systems, Decision and Control; Springer: Cham, Switzerland, 2020; Volume 259, pp. 137–151. [Google Scholar] [CrossRef]
- Chengyi, S.; Yan, S.; Wanzhen, W. A Survey of MEC: 1998–2001. In Proceedings of the 2002 IEEE International Conference on Systems, Man and Cybernetics IEEE SMC2002, Hammamet, Tunisia, 6–9 October 2002; Institute of Electrical and Electronics Engineers Inc.: New York, NY, USA, 2002; Volume 6, pp. 445–453. [Google Scholar] [CrossRef]
- Diveev, A.; Sofronova, E.; Konstantinov, S. Approaches to Numerical Solution of Optimal Control Problem Using Evolutionary Computations. Appl. Sci. 2021, 11, 7096. [Google Scholar] [CrossRef]
- Chertovskih, R.; Karamzin, D.; Khalil, N.T.; Pereira, F. Regular path-constrained time-optimal control problems in three- dimensional flow fields. Eur. J. Control 2020, 56, 98–106. [Google Scholar] [CrossRef]
- Ismagilov, I.Z.; Matus, E.V.; Nefedova, D.V.; Kuznetsov, V.V.; Yashnik, S.A.; Kerzhentsev, M.A.; Ismagilov, Z.R. Effect of support modification on the physicochemical properties of a NiPd/Al2O3 catalyst for the autothermal reforming of methane. Kinet. Catal. 2015, 56, 394–402. [Google Scholar] [CrossRef]
- Rozovskii, A.Y.; Kipnis, M.A.; Volnina, E.A.; Samokhin, P.V.; Lin, G.I. Selective CO oxidation on a Ru/Al2O3 catalyst in the surface ignition regime: 1. Fine purification of hydrogen-containing gases. Kinet. Catal. 2008, 49, 92–102. [Google Scholar] [CrossRef]
- Zagoruiko, A.N.; Noskov, A.S.; Belyi, A.S.; Smolikov, M.D. Unsteady-state kinetic simulation of naphtha reforming and coke combustion processes in the fixed and moving catalyst beds. Catalysis Today 2014, 220–222, 168–177. [Google Scholar] [CrossRef]
- Rahimpour, M.R.; Jafari, M.; Iranshahi, D. Progress in Catalytic Naphtha Reforming Process: A Review. Appl. Energy 2013, 109, 79–93. [Google Scholar] [CrossRef]
- Zaynullin, R.Z.; Koledina, K.F.; Gubaydullin, I.M.; Akhmetov, A.F.; Koledin, S.N. Kinetic Model of Catalytic Gasoline Reforming with Consideration for Changes in the Reaction Volume and Thermodynamic Parameters. Kinet. Catal. 2020, 61, 613–622. [Google Scholar] [CrossRef]
- Jie, J.; Zeng, J. Improved Mind Evolutionary Computation for Optimizations. In Proceedings of the 5th World Congress on Intelligent Control and Automation, Hang Zhou, China, 15–19 June 2004; pp. 2200–2204. [Google Scholar] [CrossRef]
- Mersmann, O.; Bischl, B.; Trautmann, H.; Preuss, M.; Weihs, C.; Rudolph, G. Exploratory landscape analysis. In Proceedings of the 13th Annual Conference on Genetic and Evolutionary Computation, Dublin, Ireland, 12–16 July 2011; ACM: Singapore, 2011; pp. 829–836. [Google Scholar] [CrossRef]
- Sakharov, M.; Houllier, T.; Lépine, T. Mind Evolutionary Computation Co-algorithm for Optimizing Optical Systems. In Proceedings of the Fourth International Scientific Conference “Intelligent Information Technologies for Industry” (IITI’19), Ostrava–Prague, Czech Republic, 2–7 December 2019; Springer: Cham, Switzerland, 2020; pp. 476–486. [Google Scholar] [CrossRef]
- Karpenko, A.P. Optimization Methods (Introductory Course). Available online: http://bigor.bmstu.ru/ (accessed on 30 August 2022).
- Sobol, I.M. On distribution of points in a cube and approximate evaluation of integrals. USSR Comput. Math. Math. Phys. 1967, 7, 86–112. [Google Scholar] [CrossRef]
- Gupta, A.; Savarese, S.; Ganguli, S.; Li, F.-F. Embodied Intelligence via Learning and Evolution. Available online: https://arxiv.org/abs/2102.02202 (accessed on 30 August 2022).
- Sukhanov, V.P. Catalytic Processes in Oil Refining; Kchimiya: Moscow, Russia, 1973; 373p. [Google Scholar]






| Number of Nodes, N | Speedup, SN | Efficiency, EN |
|---|---|---|
| 4 | 1.61 | 40.3% |
| Number of Nodes, N | Speedup, SN | Efficiency, EN |
|---|---|---|
| 2 | 1.84 | 92.2% |
| 4 | 3.46 | 86.7% |
| 8 | 6.11 | 76.4% |
| 16 | 9.91 | 61.9% |
| Number of Nodes, N | Speedup, SN | Efficiency, EN |
|---|---|---|
| 2 | 1.92 | 96.0% |
| 4 | 3.72 | 93.1% |
| 8 | 6.95 | 86.8% |
| 16 | 13.31 | 83.1% |
| Output Characteristic | without Control | with Obtained Control | Change in % |
|---|---|---|---|
| Octane Number | 91.36 | 86.23 | −6% |
| Target Product | 86.57 | 93.74 | +8% |
| Benzol | 0.03 | 0.02 | −33% |
| Aromatic Hydrocarbons | 0.47 | 0.36 | −24% |
Publisher’s Note: MDPI stays neutral with regard to jurisdictional claims in published maps and institutional affiliations. |
© 2022 by the authors. Licensee MDPI, Basel, Switzerland. This article is an open access article distributed under the terms and conditions of the Creative Commons Attribution (CC BY) license (https://creativecommons.org/licenses/by/4.0/).
Share and Cite
Sakharov, M.; Koledina, K.; Gubaydullin, I.; Karpenko, A. Studying the Efficiency of Parallelization in Optimal Control of Multistage Chemical Reactions. Mathematics 2022, 10, 3589. https://doi.org/10.3390/math10193589
Sakharov M, Koledina K, Gubaydullin I, Karpenko A. Studying the Efficiency of Parallelization in Optimal Control of Multistage Chemical Reactions. Mathematics. 2022; 10(19):3589. https://doi.org/10.3390/math10193589
Chicago/Turabian StyleSakharov, Maxim, Kamila Koledina, Irek Gubaydullin, and Anatoly Karpenko. 2022. "Studying the Efficiency of Parallelization in Optimal Control of Multistage Chemical Reactions" Mathematics 10, no. 19: 3589. https://doi.org/10.3390/math10193589
APA StyleSakharov, M., Koledina, K., Gubaydullin, I., & Karpenko, A. (2022). Studying the Efficiency of Parallelization in Optimal Control of Multistage Chemical Reactions. Mathematics, 10(19), 3589. https://doi.org/10.3390/math10193589

