Effects of Variable Properties on the Convective Flow of Water near Its Density Extremum in an Inclined Enclosure with Entropy Generation
Abstract
1. Introduction
2. Mathematical Modelling
3. Entropy Generation
4. Thermal Mixing Analysis
5. Numerical Technique
6. Validation
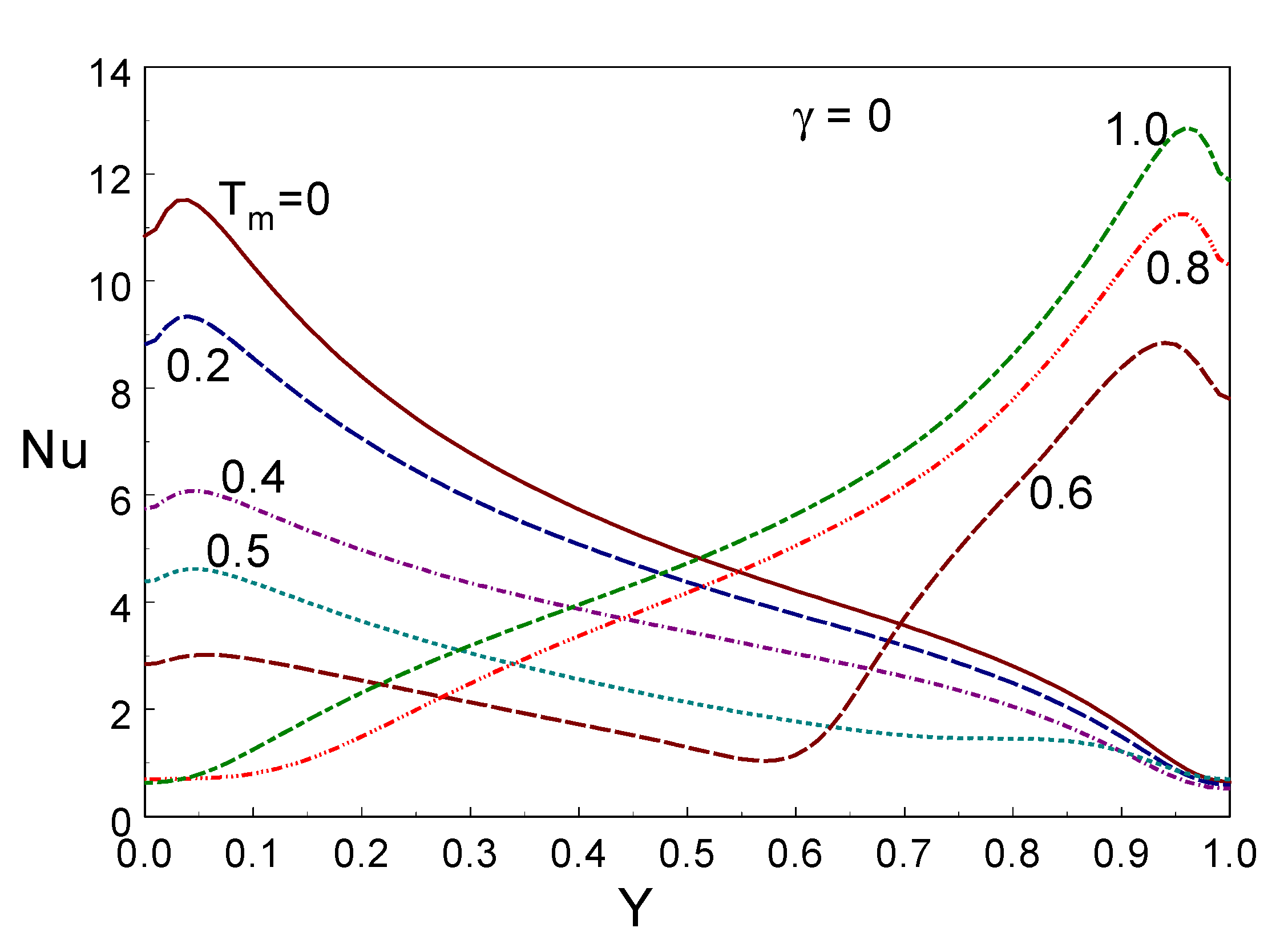
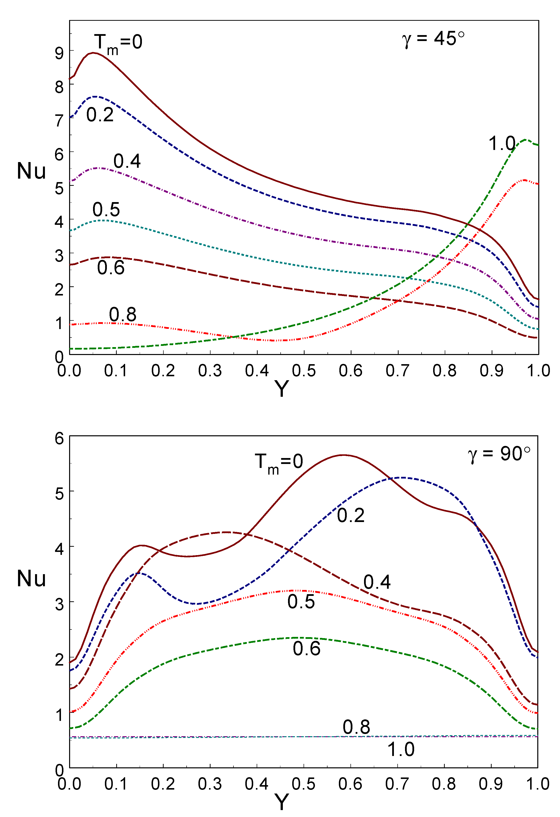
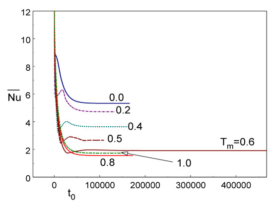
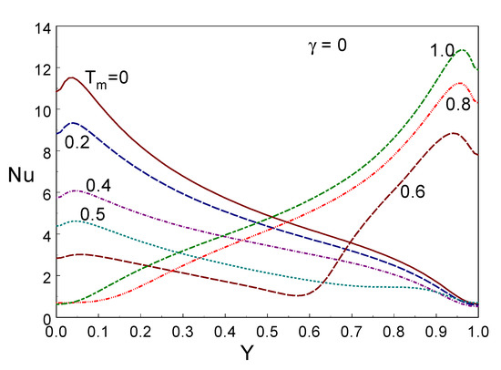
7. Results and Discussion
8. Conclusions
- ○
- The temperature-dependent equations for thermal conductivity and viscosity were derived with regards to the reference temperature parameter.
- ○
- The development of the dual cell arrangement and the strength of the cells depends on the density supremum parameter and inclination angle. The dual cell arrangement forbids convective thermal transfer across the chamber.
- ○
- The heat transfer rate for the variable thermal conductivity case was higher than the heat transfer rate for both of the varying cases.
- ○
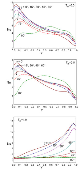
- The rate of thermal transport performs nonlinearly with the density extremum parameter and the inclination angle. The mean heat transfer rate declines first and then increases when the density extremum parameter is raised when . However, it always declines when the density extremum parameter increases when .
- ○
- A small impact on the rate of thermal transport was found when the temperature difference parameter varied.
- ○
- The cup-mixing temperature behaves non-linearly with the density extremum parameter. RMSDTcup values are enhanced when the density extremum parameter values increase in both cases.
- ○
- The Bejan number increases when the density extremum parameter values increase. Entropy generation results can be used for the effective design of convective flow systems.
- ○
- The density extremum leaves a strong effect on the stream and the thermal distribution due to development of the bicellular arrangement. The dual cell arrangement directly prohibits the exchange of thermal energy between the hot region and the cold region. This results in a reduction in the average Nusselt number.
Author Contributions
Funding
Acknowledgments
Conflicts of Interest
References
- Joshi, Y.; Gebhart, B. Vertical transient natural convection flows in cold water. Int. J. Heat Mass Transf. 1984, 27, 1573–1582. [Google Scholar] [CrossRef]
- Lin, D.S.; Nansteel, M.W. Natural convection heat transfer in a square enclosure containing water near its density maximum. Int. J. Heat Mass Transf. 1987, 30, 2319–2329. [Google Scholar] [CrossRef]
- Braga, S.L.; Viskanta, R. Transient natural convection of water near its density extremum in a rectangular cavity. Int. J. Heat Mass Transf. 1992, 35, 861–875. [Google Scholar] [CrossRef]
- Wei, T.; Koster, J.N. Density inversion effect on transient natural convection in a rectangular enclosure. Int. J. Heat Mass Transf. 1994, 37, 927–938. [Google Scholar] [CrossRef]
- Tong, W. Aspect ratio effect on natural convection in water near its density maximum temperature. Int. J. Heat Fluid Flow 1999, 20, 624–633. [Google Scholar] [CrossRef]
- Ishikawa, M.; Hirata, T.; Noda, S. Numerical simulation of natural convection with density inversion in a square cavity. Numer. Heat Transf. Part A Appl. 2000, 37, 395–406. [Google Scholar]
- Sivasankaran, S. Natural Convection of Cold Water Near Its Density Maximum in a Porous Wavy Cavity. Flow Transp. Subsurf. Environ. 2018, 4, 305–324. [Google Scholar]
- Ho, C.J.; Tu, F.J. Visualization and prediction of natural convection of water near its density maximum in a tall rectangular enclosure at high Rayleigh numbers. J. Heat Transf. 2001, 123, 84–95. [Google Scholar] [CrossRef]
- Moraga, N.O.; Vega, S.A. Unsteady three-dimensional natural convection of water cooled inside a cubic enclosure. Numer. Heat Transf. Part A Appl. 2004, 45, 825–839. [Google Scholar] [CrossRef]
- Hossain, M.A.; Rees, D.A.S. Natural convection flow of water near its density maximum in a rectangular enclosure having isothermal walls with heat generation. Heat Mass Transf. 2005, 41, 367–374. [Google Scholar] [CrossRef]
- Sivasankaran, S.; Ho, C.J. Effect of temperature dependent properties on convection of water near its density maximum in enclosures. Numer. Heat Transf. Part A Appl. 2008, 53, 507–523. [Google Scholar] [CrossRef]
- Sivasankaran, S.; Ho, C.J. Effect of temperature dependent properties on MHD convection of water near its density maximum in a square cavity. Int. J. Therm. Sci. 2008, 47, 1184–1194. [Google Scholar] [CrossRef]
- Sivasankaran, S.; Ho, C.J. Buoyancy and thermo-capillary induced convection of cold water in an open enclosure with variable fluid properties. Numer. Heat Transf. Part A Appl. 2010, 58, 457–474. [Google Scholar] [CrossRef]
- Varol, Y.; Oztop, H.F.; Mobedi, M.; Pop, I. Visualization of heat flow using Bejan’s heatline due to natural convection of water near 4 °C in thick walled porous cavity. Int. J. Heat Mass Transf. 2010, 53, 1691–1698. [Google Scholar] [CrossRef]
- Li, Y.-R.; Hu, Y.-P.; Ouyang, Y.-Q.; Wu, C.-M. Flow state multiplicity in Rayleigh–Bénard convection of cold water with density maximum in a cylinder of aspect ratio 2. Int. J. Heat Mass Transf. 2015, 86, 244–257. [Google Scholar] [CrossRef]
- Hu, Y.-P.; Li, Y.-R.; Wu, C.-M. Aspect ratio dependence of Rayleigh–Bénard convection of cold water near its density maximum in vertical cylindrical containers. Int. J. Heat Mass Transf. 2016, 97, 932–942. [Google Scholar] [CrossRef]
- Mastiani, M.; Kim, M.M.; Nematollahi, A. Density maximum effects on mixed convection in a square lid-driven enclosure filled with Cu-water nanofluids. Adv. Powder Technol. 2017, 28, 197–214. [Google Scholar] [CrossRef]
- Hua, Y.-P.; Li, Y.-R.; Li, M.-H.; Zhang, L.; Li, S.-Z. Effects of enclosure geometry and thermal boundary condition on Rayleigh-Bénard convection of cold water near its maximum density. Int. J. Therm. Sci. 2017, 120, 220–232. [Google Scholar] [CrossRef]
- Huang, X.-J.; Li, Y.-R.; Zhang, L.; Wu, C.-M. Turbulent Rayleigh-Bénard convection of cold water near its maximum density in a vertical cylindrical container. Int. J. Heat Mass Transf. 2018, 116, 185–193. [Google Scholar] [CrossRef]
- Hu, Y.-P.; Li, Y.-R.; Lu, L.; Mao, Y.-J.; Li, M.-H. Natural convection of water-based nanofluids near the density maximum in an annulus. Int. J. Therm. Sci. 2020, 152, 106309. [Google Scholar] [CrossRef]
- Bindhu, R.; Sundarakrishnan, G.S.; Sivasankaran, S.; Bhuvaneswari, M. Magneto-convection of water near its maximum density in a cavity with partially thermally active walls. Energy Environ. 2019, 30, 833–853. [Google Scholar] [CrossRef]
- Sivasankaran, S.; Bhuvaneswari, M.; Kim, Y.J.; Ho, C.J.; Pan, K.L. Magneto-convection of cold water near its density maximum in an open cavity with variable fluid properties. Int. J. Heat Fluid Flow 2011, 32, 932–942. [Google Scholar] [CrossRef]
- Khan, U.; Waini, I.; Zaib, A.; Ishak, A.; Pop, I. MHD Mixed Convection Hybrid Nanofluids Flow over a Permeable Moving Inclined Flat Plate in the Presence of Thermophoretic and Radiative Heat Flux Effects. Mathematics 2022, 10, 1164. [Google Scholar] [CrossRef]
- Nabwey, H.A.; Alshber, S.I.; Rashad, A.M.; Mahdy, A.E.N. Influence of Bioconvection and Chemical Reaction on Magneto-Carreau Nanofluid Flow through an Inclined Cylinder. Mathematics 2022, 10, 504. [Google Scholar] [CrossRef]
- Alabdulhadi, S.; Waini, I.; Ahmed, S.E.; Ishak, A. Hybrid Nanofluid Flow and Heat Transfer Past an Inclined Surface. Mathematics 2021, 9, 3176. [Google Scholar] [CrossRef]
- Cheong, H.T.; Siri, Z.; Sivasankaran, S. Effect of aspect ratio on natural convection in an inclined rectangular enclosure with sinusoidal boundary condition. Int. Commun. Heat Mass Transf. 2013, 45, 75–85. [Google Scholar] [CrossRef]
- Sivakumar, V.; Sivasankaran, S. Mixed Convection in an Inclined Lid-Driven Cavity with Non-Uniform Heating on Both Side Walls. J. Appl. Mech. Tech. Phys. 2014, 55, 634–649. [Google Scholar] [CrossRef]
- Sivasankaran, S.; Cheong, H.T.; Bhuvaneswari, M.; Ganesan, P. Effect of Moving Wall Direction on Mixed Convection in an Inclined Lid-driven Square Cavity with Sinusoidal Heating. Numer. Heat Transf. Part A Appl. 2016, 69, 630–642. [Google Scholar] [CrossRef]
- Sivasankaran, S.; Cheong, H.T.; Bhuvaneswari, M. Natural convection in an inclined porous triangular enclosure with various thermal boundary conditions. Therm. Sci. 2019, 23, 537–548. [Google Scholar] [CrossRef]
- Alshomrani, A.S.; Sivasankaran, S.; Ahmed, A.A. Numerical study on convective flow and heat transfer in 3D inclined enclosure with hot solid body and discrete cooling. Int. J. Numer. Methods Heat Fluid Flow 2020, 30, 4649–4659. [Google Scholar] [CrossRef]
- Sivasankaran, S.; Janagi, K. Numerical Study on Mixed Convection Flow and Energy Transfer in an Inclined Channel Cavity: Effect of Baffle Size. Math. Comput. Appl. 2022, 27, 9. [Google Scholar] [CrossRef]
- Alzahrani, A.K.; Sivasankaran, S.; Bhuvaneswari, M. Numerical Simulation on Convection and Thermal Radiation of Casson Fluid in an Enclosure with Entropy Generation. Entropy 2020, 22, 229. [Google Scholar] [CrossRef] [PubMed]
- Djetel-Gothe, S.; Lanzetta, F.; Bégot, S. Second Law Analysis for the Experimental Performances of a Cold Heat Exchanger of a Stirling Refrigeration Machine. Entropy 2020, 22, 215. [Google Scholar] [CrossRef] [PubMed]
- Qasim, M.; Ali, Z.; Farooq, U.; Lu, D. Investigation of Entropy in Two-Dimensional Peristaltic Flow with Temperature Dependent Viscosity, Thermal and Electrical Conductivity. Entropy 2020, 22, 200. [Google Scholar] [CrossRef] [PubMed]
- Bejan, A. A study of entropy generation in fundamental convective heat transfer. J. Heat Transf. 1979, 101, 718–725. [Google Scholar] [CrossRef]
- Bejan, A. Second-law analysis in heat transfer and thermal design. Adv. Heat Transf. 1982, 15, 1–58. [Google Scholar]
- Bejan, A. Entropy Generation through Heat and Fluid Flow; Wiley: New York, NY, USA, 1994. [Google Scholar]
- Bejan, A. Entropy Generation Minimization: The Method of Thermodynamic Optimization of Finite-Size Systems and Finite-Time Processes; CRC Press: Boca Raton, FL, USA, 1995. [Google Scholar]
- Alsabery, A.I.; Hashim, I.; Hajjar, A.; Ghalambaz, M.; Nadeem, S.; Saffari Pour, M. Entropy Generation and Natural Convection Flow of Hybrid Nanofluids in a Partially Divided Wavy Cavity Including Solid Blocks. Energies 2020, 13, 2942. [Google Scholar] [CrossRef]
- Alsabery, A.I.; Tayebi, T.; Roslan, R.; Chamkha, A.J.; Hashim, I. Entropy Generation and Mixed Convection Flow Inside a Wavy-Walled Enclosure Containing a Rotating Solid Cylinder and a Heat Source. Entropy 2020, 22, 606. [Google Scholar] [CrossRef]
- Ghalambaz, M.; Hashem Zadeh, S.M.; Veismoradi, A.; Sheremet, M.A.; Pop, I. Free Convection Heat Transfer and Entropy Generation in an Odd-Shaped Cavity Filled with a Cu-Al2O3 Hybrid Nanofluid. Symmetry 2021, 13, 122. [Google Scholar] [CrossRef]
- Khetib, Y.; Alahmadi, A.A.; Alzaed, A.; Azimy, H.; Sharifpur, M.; Cheraghian, G. Effect of Straight, Inclined and Curved Fins on Natural Convection and Entropy Generation of a Nanofluid in a Square Cavity Influenced by a Magnetic Field. Processes 2021, 9, 1339. [Google Scholar] [CrossRef]
- Cherif, B.M.; Abderrahmane, A.; Saeed, A.M.; Qasem, N.A.A.; Younis, O.; Marzouki, R.; Chung, J.D.; Shah, N.A. Hydrothermal and Entropy Investigation of Nanofluid Mixed Convection in Triangular Cavity with Wavy Boundary Heated from below and Rotating Cylinders. Nanomaterials 2022, 12, 1469. [Google Scholar] [CrossRef]
- Alshare, A.; Abderrahmane, A.; Guedri, K.; Younis, O.; Fayz-Al-Asad, M.; Ali, H.M.; Al-Kouz, W. Hydrothermal and Entropy Investigation of Nanofluid Natural Convection in a Lid-Driven Cavity Concentric with an Elliptical Cavity with a Wavy Boundary Heated from Below. Nanomaterials 2022, 12, 1392. [Google Scholar] [CrossRef]
- Le, X.H.K.; Oztop, H.F.; Selimefendigil, F.; Sheremet, M.A. Entropy Analysis of the Thermal Convection of Nanosuspension within a Chamber with a Heat-Conducting Solid Fin. Entropy 2022, 24, 523. [Google Scholar] [CrossRef]
- Abderrahmane, A.; Qasem, N.A.A.; Younis, O.; Marzouki, R.; Mourad, A.; Shah, N.A.; Chung, J.D. MHD Hybrid Nanofluid Mixed Convection Heat Transfer and Entropy Generation in a 3-D Triangular Porous Cavity with Zigzag Wall and Rotating Cylinder. Mathematics 2022, 10, 769. [Google Scholar] [CrossRef]
- Mourad, A.; Abderrahmane, A.; Younis, O.; Marzouki, R.; Alazzam, A. Numerical Simulations of Magnetohydrodynamics Natural Convection and Entropy Production in a Porous Annulus Bounded by Wavy Cylinder and Koch Snowflake Loaded with Cu–Water Nanofluid. Micromachines 2022, 13, 182. [Google Scholar] [CrossRef]












| Ra | Tm | |||
|---|---|---|---|---|
| Present | Tong [5] (1999) | Lin and Nansteel [2] (1987) | ||
| 106 | 1.0 0.5 | 9.1452 4.0281 | 9.2742 4.0272 | 9.195 4.090 |
| 105 | 1.0 0.5 | 4.7895 2.0725 | 4.7143 2.0298 | 4.709 2.080 |
| 104 | 1.0 0.5 | 2.2441 1.0691 | 2.2739 1.0655 | 2.278 1.076 |
| 103 | 1.0 0.5 | 1.1127 1.0003 | 1.1186 1.0007 | 1.1190 1.0009 |
Publisher’s Note: MDPI stays neutral with regard to jurisdictional claims in published maps and institutional affiliations. |
© 2022 by the authors. Licensee MDPI, Basel, Switzerland. This article is an open access article distributed under the terms and conditions of the Creative Commons Attribution (CC BY) license (https://creativecommons.org/licenses/by/4.0/).
Share and Cite
Sivanandam, S.; Mallawi, F.O.M. Effects of Variable Properties on the Convective Flow of Water near Its Density Extremum in an Inclined Enclosure with Entropy Generation. Mathematics 2022, 10, 3497. https://doi.org/10.3390/math10193497
Sivanandam S, Mallawi FOM. Effects of Variable Properties on the Convective Flow of Water near Its Density Extremum in an Inclined Enclosure with Entropy Generation. Mathematics. 2022; 10(19):3497. https://doi.org/10.3390/math10193497
Chicago/Turabian StyleSivanandam, Sivasankaran, and Fouad O. M. Mallawi. 2022. "Effects of Variable Properties on the Convective Flow of Water near Its Density Extremum in an Inclined Enclosure with Entropy Generation" Mathematics 10, no. 19: 3497. https://doi.org/10.3390/math10193497
APA StyleSivanandam, S., & Mallawi, F. O. M. (2022). Effects of Variable Properties on the Convective Flow of Water near Its Density Extremum in an Inclined Enclosure with Entropy Generation. Mathematics, 10(19), 3497. https://doi.org/10.3390/math10193497

