A Deep Learning-Based Approach for a Numerical Investigation of Soil–Water Vertical Infiltration with Physics-Informed Neural Networks
Abstract
:1. Introduction
2. Method
2.1. Overview
2.2. Brief Introduction to the Pinn
2.3. Details of the Proposed PINN-Based Method
2.3.1. Governing Equation and Parameters
2.3.2. Linearisation of the Governing Equation
2.3.3. Solving the Soil–Water Vertical Infiltration Equation Using Pinn
3. Verification of the Proposed PINN-Based Method
3.1. Experimental Environment
3.2. Governing Equation and Parameters
3.3. Numerical Results
4. Application of the Proposed PINN-Based Method
4.1. Experimental Background
4.1.1. Experimental Parameters
4.1.2. Experimental Equations
4.2. Solving the Soil–Water Infiltration Equation
4.3. Comparative Analysis of Vertical Soil–Water Infiltration Processes in Different Soil Types
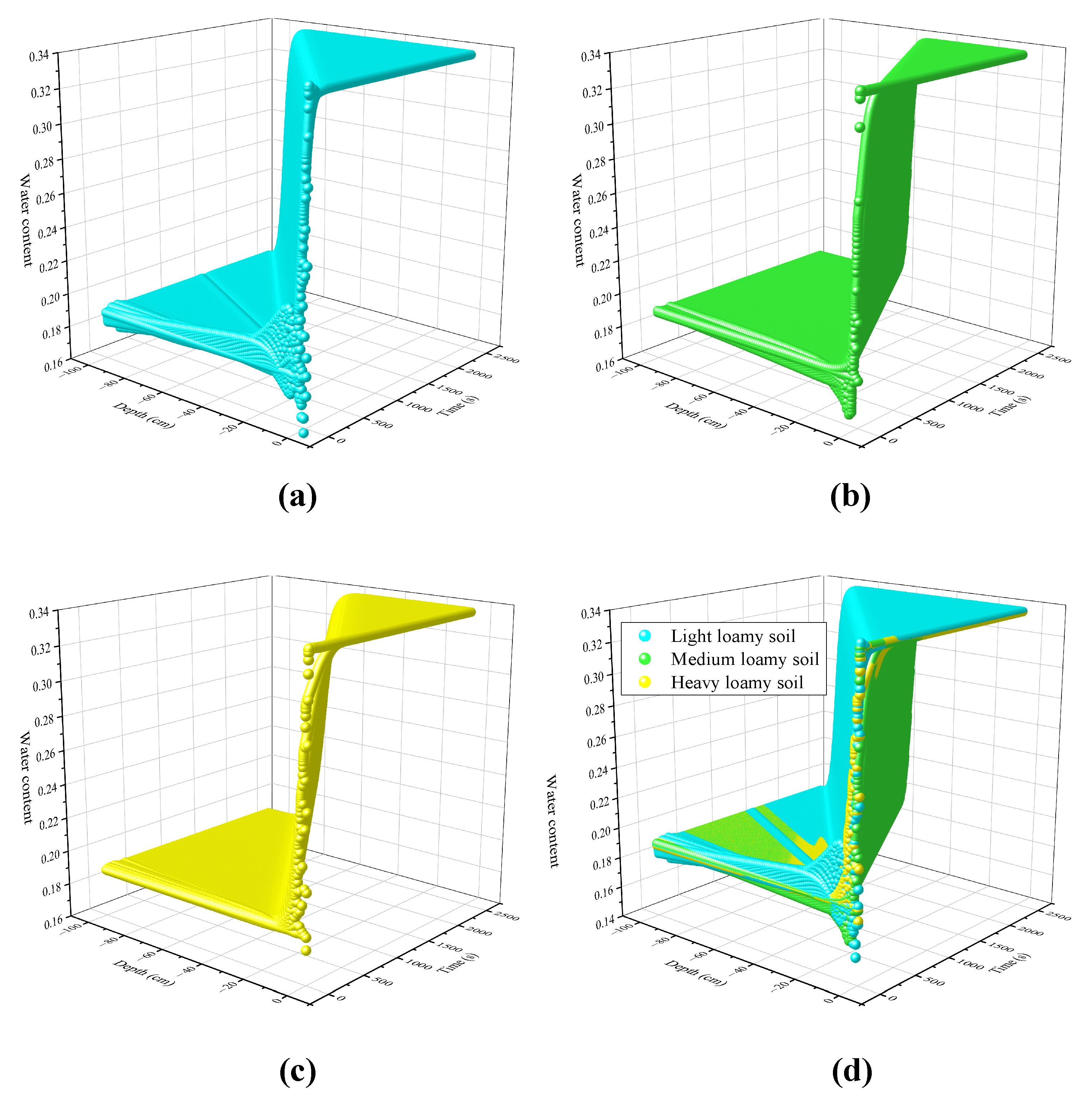
4.3.1. Various Soil–Water Infiltration Processes
4.3.2. Comparison of Soil–Water Infiltration in Different Soil Types at the Same Time
5. Discussion
6. Conclusions
Author Contributions
Funding
Institutional Review Board Statement
Informed Consent Statement
Data Availability Statement
Acknowledgments
Conflicts of Interest
Abbreviations
| ANN | Artificial Neural Network |
| ANFIS | Adaptive Neuro-Fuzzy Inference System |
| BC | Boundary Condition |
| CNN | Convolutional Neural Network |
| CPU | Central Processing Unit |
| DNNs | Deep Neural Networks |
| DNNR | Deep Learning Regression Network |
| GRUs | Gated Recurrent Units |
| IC | Initial Condition |
| LSTM | Long Short-Term Memory |
| MAE | Mean Absolute Error |
| MLR | Multiple Linear Regression |
| MSE | Mean Squared Error |
| OS | Operating System |
| PDEs | Partial Differential Equations |
| PINNs | Physics-Informed Neural Networks |
| RMSE | Root Mean Squared Error |
| SMIPDE | Soil Moisture Infiltration Partial Differential Equation |
References
- Li, M.; Lv, J.; Chen, X.; Jiang, N. Provincial evaluation of vulnerability to geological disaster in China and its influencing factors: A three-stage DEA-based analysis. Nat. Hazards 2015, 79, 1649–1662. [Google Scholar] [CrossRef]
- Chen, W.; Li, Y. GIS-based evaluation of landslide susceptibility using hybrid computational intelligence models. Catena 2020, 195, 16. [Google Scholar] [CrossRef]
- Ma, Z.; Mei, G. Deep learning for geological hazards analysis: Data, models, applications, and opportunities. Earth-Sci. Rev. 2021, 223, 33. [Google Scholar] [CrossRef]
- Huo, A.; Yang, L.; Peng, J.; Cheng, Y.; Jiang, C. Spatial characteristics of the rainfall induced landslides in the Chinese Loess Plateau. Hum. Ecol. Risk Assess. 2020, 26, 2462–2477. [Google Scholar] [CrossRef]
- Ma, Z.; Mei, G.; Prezioso, E.; Zhang, Z.; Xu, N. A deep learning approach using graph convolutional networks for slope deformation prediction based on time-series displacement data. Neural Comput. Appl. 2021, 33, 14441–14457. [Google Scholar] [CrossRef]
- Sun, D.; Wen, H.; Zhang, Y.; Xue, M. An optimal sample selection-based logistic regression model of slope physical resistance against rainfall-induced landslide. Nat. Hazards 2021, 105, 1255–1279. [Google Scholar] [CrossRef]
- Chen, Y.; Irfan, M.; Uchimura, T.; Meng, Q.; Dou, J. Relationship between water content, shear deformation, and elastic wave velocity through unsaturated soil slope. Bull. Eng. Geol. Environ. 2020, 79, 4107–4121. [Google Scholar] [CrossRef]
- Johari, A.; Javadi, A. Prediction of soil-water characteristic curve using neural network. In Proceedings of the Unsaturated Soils—Proceedings of the 5th International Conference on Unsaturated Soils, Pattaya, Thailand, 14–16 November 2011; Volume 1, p. 6. [Google Scholar] [CrossRef]
- Johari, A.; Habibagahi, G.; Ghahramani, A. Prediction of SWCC using artificial intelligent systems: A comparative study. Sci. Iran. 2011, 18, 1002–1008. [Google Scholar] [CrossRef]
- Xu, Z.; Li, L. Study on the Influence of Grain Composition on Seepage Velocity of Slope Soil. In Proceedings of the International Symposium on Agriculture, Food and Biotechnology (ISAFB), Dubai, United Arab Emirates, 9–10 August 2019; pp. 236–240. [Google Scholar] [CrossRef]
- Zhang, Z.Y.; Sa, T.T.; Tie, X.Q.; Lan, H.; Zhang, W.H. Soil Water Infiltration and its Affecting Factors. In Applied Mechanics and Materials; Trans Tech Publications Ltd.: Freienbach, Switzerland, 2013; Volume 353–356, pp. 2983–2986. [Google Scholar] [CrossRef]
- Richards, L.A. Capillary conduction of liquids through porous mediums. Physics 1931, 1, 318–333. [Google Scholar] [CrossRef]
- Horton, R.E. An Approach Toward a Physical Interpretation of Infiltration-Capacity. Soil Sci. Soc. Am. J. 1941, 5, 399–417. Available online: https://acsess.onlinelibrary.wiley.com/doi/pdf/10.2136/sssaj1941.036159950005000C0075x (accessed on 21 April 2022). [CrossRef]
- Philip, J.R. The theory of infiltration 1: The infiltration equation and its solution. Soil Sci. 1957, 83, 345–357. [Google Scholar] [CrossRef]
- Smith, R.E. The infiltration envelope: Results from a theoretical infiltrometer. J. Hydrol. 1972, 17, 1–22. [Google Scholar] [CrossRef]
- Belmans, C.; Wesseling, J.G.; Feddes, R.A. Simulation-Model of the Water-Balance of a Cropped Soil-Swatre. J. Hydrol. 1983, 63, 271–286. [Google Scholar] [CrossRef]
- Tiktak, A.; Bouten, W. Modeling Soil-Water Dynamics in a Forested Ecosystem. 3. Model Description and Evaluation of Discretization. Hydrol. Process. 1992, 6, 455–465. [Google Scholar] [CrossRef]
- Wang, J.; Su, L.; Qin, X. Hermite Radial Basis Collocation Method for Unsaturated Soil Water Movement Equation. Math. Probl. Eng. 2018, 2018, 8298915. [Google Scholar] [CrossRef]
- Faloye, O.T.; Ajayi, A.E.; Ajiboye, Y.; Alatise, M.O.; Ewulo, B.S.; Adeosun, S.S.; Babalola, T.; Horn, R. Unsaturated Hydraulic Conductivity Prediction Using Artificial Intelligence and Multiple Linear Regression Models in Biochar Amended Sandy Clay Loam Soil. J. Soil Sci. Plant Nutr. 2022, 22, 1589–1603. [Google Scholar] [CrossRef]
- Cai, Y.; Zheng, W.; Zhang, X.; Zhangzhong, L.; Xue, X. Research on soil moisture prediction model based on deep learning. PLoS ONE 2019, 14, e0214508. [Google Scholar] [CrossRef]
- Zhou, Z.; Shi, L.; Zha, Y. Seeing macro-dispersivity from hydraulic conductivity field with convolutional neural network. Adv. Water Resour. 2020, 138, 8298915. [Google Scholar] [CrossRef]
- Lee, S.J.; Yoon, H.K. Discontinuity Predictions of Porosity and Hydraulic Conductivity Based on Electrical Resistivity in Slopes through Deep Learning Algorithms. Sensors 2021, 21, 1412. [Google Scholar] [CrossRef] [PubMed]
- Karniadakis, G.E.; Kevrekidis, I.G.; Lu, L.; Perdikaris, P.; Wang, S.; Yang, L. Physics-informed machine learning. Nat. Rev. Phys. 2021, 3, 422–440. [Google Scholar] [CrossRef]
- Mishra, S.; Molinaro, R. Physics informed neural networks for simulating radiative transfer. J. Quant. Spectrosc. Radiat. Transf. 2021, 270, 107705. [Google Scholar] [CrossRef]
- Shen, S.; Lu, H.; Sadoughi, M.; Hu, C.; Nemani, V.; Thelen, A.; Webster, K.; Darr, M.; Sidon, J.; Kenny, S. A physics-informed deep learning approach for bearing fault detection. Eng. Appl. Artif. Intell. 2021, 103, 104295. [Google Scholar] [CrossRef]
- Zhang, X.; Wu, J.; Coutier-Delgosha, O.; Xiao, H. Recent progress in augmenting turbulence models with physics-informed machine learning. J. Hydrodyn. 2019, 31, 1153–1158. [Google Scholar] [CrossRef]
- Tartakovsky, A.M.; Marrero, C.O.; Perdikaris, P.; Tartakovsky, G.D.; Barajas-Solano, D. Physics-Informed Deep Neural Networks for Learning Parameters and Constitutive Relationships in Subsurface Flow Problems. Water Resour. Res. 2020, 56, e2019WR026731. [Google Scholar] [CrossRef]
- Meng, X.; Li, Z.; Zhang, D.; Karniadakis, G.E. PPINN: Parareal physics-informed neural network for time-dependent PDEs. Comput. Methods Appl. Mech. Eng. 2020, 370, 113250. [Google Scholar] [CrossRef]
- Karimpouli, S.; Tahmasebi, P. Physics informed machine learning: Seismic wave equation. Geosci. Front. 2020, 11, 1993–2001. [Google Scholar] [CrossRef]
- Dissanayake, M.; Phanthien, N. Neural-Network-Based Approximations for Solving Partial-Differential Equations. Commun. Numer. Methods Eng. 1994, 10, 195–201. [Google Scholar] [CrossRef]
- Raissi, M.; Perdikaris, P.; Karniadakis, G.E.J.A. Physics Informed Deep Learning (Part I): Data-driven Solutions of Nonlinear Partial Differential Equations. arXiv 2017, arXiv:1711.10561. [Google Scholar]
- Raissi, M.; Perdikaris, P.; Karniadakis, G.E. Physics-informed neural networks: A deep learning framework for solving forward and inverse problems involving nonlinear partial differential equations. J. Comput. Phys. 2019, 378, 686–707. [Google Scholar] [CrossRef]
- Cuomo, S.; Di Cola, V.S.; Giampaolo, F.; Rozza, G.; Raissi, M.; Piccialli, F. Scientific Machine Learning Through Physics–Informed Neural Networks: Where we are and What’s Next. J. Sci. Comput. 2022, 92, 88. [Google Scholar] [CrossRef]
- Srivastava, R.; Yeh, T.C.J. Analytical Solutions for One-Dimensional, Transient Infiltration toward the Water-Table in Homogeneous and Layered Soils. Water Resour. Res. 1991, 27, 753–762. [Google Scholar] [CrossRef]
- Tracy, F.T. Clean two- and three-dimensional analytical solutions of Richards’ equation for testing numerical solvers. Water Resour. Res. 2006, 42, 2667–2680. [Google Scholar] [CrossRef]
- Lu, L.; Meng, X.; Mao, Z.; Karniadakis, G.E. DeepXDE: A Deep Learning Library for Solving Differential Equations. SIAM Rev. 2021, 63, 208–228. [Google Scholar] [CrossRef]
- Murati·Husaiyin, H. Foundation and Application of Numerical Simulation of the Soil Water Movement. J. Xinjiang Agric. Univ. 2002, 1, 60–62. [Google Scholar]
- Shao, M.; Li, K.; Zhong, L. Predicting the Hydraulic Conductivity and Water Diffusivity of Unsaturated Soils from the Soil Water Charagteristig Curves. Collect. Work. Northwest Inst. Soil Water Conserv. Minist. Water Resour. Chin. Acad. Sci. (Spec. Collect. Water Oper. Simul. Stud. Spac.) 1991, 1, 26–32. [Google Scholar]
- Gardner, W.R.; Hillel, D.; Benyamini, Y. Post-Irrigation Movement of Soil Water: 1. Redistribution. Water Resour. Res. 1970, 6, 851–861. [Google Scholar] [CrossRef]
- Gardner, W.R.; Hillel, D.; Benyamini, Y. Post-Irrigation Movement of Soil Water: 2. Simultaneous Redistribution and Evaporation. Water Resour. Res. 1970, 6, 1148–1153. [Google Scholar] [CrossRef]
- van Genuchten, M.T. A Closed-form Equation for Predicting the Hydraulic Conductivity of Unsaturated Soils. Soil Sci. Soc. Am. J. 1980, 44, 892–898. Available online: https://acsess.onlinelibrary.wiley.com/doi/pdf/10.2136/sssaj1980.03615995004400050002x (accessed on 15 May 2022). [CrossRef]














| Environment Configurations | Details |
|---|---|
| OS | Windows 10 Professional |
| Deep learning framework | TensorFlow |
| Dependent library | DeepXDE, Numpy etc. |
| CPU | Intel(R) Core(TM) i5-7200U CPU |
| CPU core | 2 |
| CPU RAM (GB) | 8 |
| CPU Frequency (GHz) | 2.50 |
| Time | 600 min | 1230 min | 1890 min | |
|---|---|---|---|---|
| MAE | Traditional numerical method | 2.030 × 10 | 2.022 × 10 | 2.658 × 10 |
| PINN-based numerical method | 1.150 × 10 | 1.495 × 10 | 1.621 × 10 | |
| MSE | Traditional numerical method | 5.018 × 10 | 7.126 × 10 | 2.659 × 10 |
| PINN-based numerical method | 2.185 × 10 | 3.264 × 10 | 4.656 × 10 | |
| RMSE | Traditional numerical method | 2.240 × 10 | 2.669 × 10 | 5.156 × 10 |
| PINN-based numerical method | 1.478 × 10 | 1.807 × 10 | 2.158 × 10 | |
| R2 | Traditional numerical method | 9.759 × 10 | 9.512 × 10 | 8.269 × 10 |
| PINN-based numerical method | 9.895 × 10 | 9.776 × 10 | 9.697 × 10 | |
| Soil Type | N | |
|---|---|---|
| Light-loamy soil | 1.5844 × 10 | 2.6933 × 10 |
| Medium-loamy soil | 1.1683 × 10 | 6.4401 × 10 |
| Heavy-loamy soil | 1.2594 × 10 | 1.9088 × 10 |
Publisher’s Note: MDPI stays neutral with regard to jurisdictional claims in published maps and institutional affiliations. |
© 2022 by the authors. Licensee MDPI, Basel, Switzerland. This article is an open access article distributed under the terms and conditions of the Creative Commons Attribution (CC BY) license (https://creativecommons.org/licenses/by/4.0/).
Share and Cite
Yang, Y.; Mei, G. A Deep Learning-Based Approach for a Numerical Investigation of Soil–Water Vertical Infiltration with Physics-Informed Neural Networks. Mathematics 2022, 10, 2945. https://doi.org/10.3390/math10162945
Yang Y, Mei G. A Deep Learning-Based Approach for a Numerical Investigation of Soil–Water Vertical Infiltration with Physics-Informed Neural Networks. Mathematics. 2022; 10(16):2945. https://doi.org/10.3390/math10162945
Chicago/Turabian StyleYang, Yuting, and Gang Mei. 2022. "A Deep Learning-Based Approach for a Numerical Investigation of Soil–Water Vertical Infiltration with Physics-Informed Neural Networks" Mathematics 10, no. 16: 2945. https://doi.org/10.3390/math10162945
APA StyleYang, Y., & Mei, G. (2022). A Deep Learning-Based Approach for a Numerical Investigation of Soil–Water Vertical Infiltration with Physics-Informed Neural Networks. Mathematics, 10(16), 2945. https://doi.org/10.3390/math10162945

