Fractional-Order Memristive Wilson Neuron Model: Dynamical Analysis and Synchronization Patterns
Abstract
:1. Introduction
2. Fractional Memristive Wilson Neuron
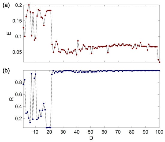
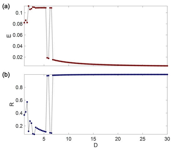
3. Network Dynamics
4. Conclusions
Author Contributions
Funding
Institutional Review Board Statement
Informed Consent Statement
Data Availability Statement
Conflicts of Interest
References
- Rahimy, M. Applications of fractional differential equations. Appl. Math. Sci. 2010, 4, 2453–2461. [Google Scholar]
- Atıcı, F.M.; Şengül, S. Modeling with fractional difference equations. J. Math. Anal. Appl. 2010, 369, 1–9. [Google Scholar] [CrossRef] [Green Version]
- Naghibolhosseini, M.; Long, G.R. Fractional-order modelling and simulation of human ear. Int. J. Comput. Math. 2018, 95, 1257–1273. [Google Scholar] [CrossRef]
- Shymanskyi, V.; Sokolovskyy, Y. Finite Element Calculation of the Linear Elasticity Problem for Biomaterials with Fractal Structure. Open Bioinform. J. 2021, 14, 114–122. [Google Scholar] [CrossRef]
- Shymanskyi, V.; Sokolovskyy, Y. Variational Formulation of the Stress-Strain Problem in Capillary-Porous Materials with Fractal Structure. In Proceedings of the 2020 IEEE 15th International Conference on Computer Sciences and Information Technologies (CSIT), Zbarazh, Ukraine, 23–26 September 2020; Volume 1, pp. 1–4. [Google Scholar]
- Jesus, I.S.; Machado, J.T. Implementation of fractional-order electromagnetic potential through a genetic algorithm. Commun. Nonlinear Sci. Numer. Simul. 2009, 14, 1838–1843. [Google Scholar] [CrossRef] [Green Version]
- Zou, C.; Zhang, L.; Hu, X.; Wang, Z.; Wik, T.; Pecht, M. A review of fractional-order techniques applied to lithium-ion batteries, lead-acid batteries, and supercapacitors. J. Power Sources 2018, 390, 286–296. [Google Scholar] [CrossRef] [Green Version]
- Srivastava, H.; Dubey, V.; Kumar, R.; Singh, J.; Kumar, D.; Baleanu, D. An efficient computational approach for a fractional-order biological population model with carrying capacity. Chaos Solitons Fractals 2020, 138, 109880. [Google Scholar] [CrossRef]
- Gutiérrez, R.E.; Rosário, J.M.; Tenreiro Machado, J. Fractional order calculus: Basic concepts and engineering applications. Math. Probl. Engin. 2010, 2010, 375858. [Google Scholar] [CrossRef]
- Wang, Z.; Wang, X.; Li, Y.; Huang, X. Stability and Hopf bifurcation of fractional-order complex-valued single neuron model with time delay. Int. J. Bifurc. Chaos 2017, 27, 1750209. [Google Scholar] [CrossRef]
- Brandibur, O.; Kaslik, E. Stability properties of a two-dimensional system involving one Caputo derivative and applications to the investigation of a fractional-order Morris–Lecar neuronal model. Nonlinear Dyn. 2017, 90, 2371–2386. [Google Scholar] [CrossRef] [Green Version]
- Mondal, A.; Sharma, S.K.; Upadhyay, R.K.; Mondal, A. Firing activities of a fractional-order FitzHugh-Rinzel bursting neuron model and its coupled dynamics. Sci. Rep. 2019, 9, 15721. [Google Scholar] [CrossRef] [PubMed]
- Tolba, M.F.; Elsafty, A.H.; Armanyos, M.; Said, L.A.; Madian, A.H.; Radwan, A.G. Synchronization and FPGA realization of fractional-order Izhikevich neuron model. Microelectron. J. 2019, 89, 56–69. [Google Scholar] [CrossRef]
- Chen, S.; Zou, Y.; Zhang, X. An efficient method for Hopf bifurcation control in fractional-order neuron model. IEEE Access 2019, 7, 77490–77498. [Google Scholar] [CrossRef]
- Abeles, M.; Prut, Y.; Bergman, H.; Vaadia, E. Synchronization in neuronal transmission and its importance for information processing. Prog. Brain Res. 1994, 102, 395–404. [Google Scholar]
- Hussain, I.; Jafari, S.; Ghosh, D.; Perc, M. Synchronization and chimeras in a network of photosensitive FitzHugh–Nagumo neurons. Nonlinear Dyn. 2021, 104, 2711–2721. [Google Scholar] [CrossRef]
- Rakshit, S.; Bera, B.K.; Ghosh, D.; Sinha, S. Emergence of synchronization and regularity in firing patterns in time-varying neural hypernetworks. Phys. Rev. E 2018, 97, 052304. [Google Scholar] [CrossRef]
- Boccaletti, S.; Pisarchik, A.N.; Del Genio, C.I.; Amann, A. Synchronization: From Coupled Systems to Complex Networks; Cambridge University Press: Cambridge, UK, 2018. [Google Scholar]
- Liu, D.; Zhao, S.; Luo, X.; Yuan, Y. Synchronization for fractional-order extended Hindmarsh-Rose neuronal models with magneto-acoustical stimulation input. Chaos Solitons Fractals 2021, 144, 110635. [Google Scholar] [CrossRef]
- Yang, X.; Zhang, G.; Li, X.; Wang, D. The synchronization behaviors of coupled fractional-order neuronal networks under electromagnetic radiation. Symmetry 2021, 13, 2204. [Google Scholar] [CrossRef]
- Xin, Y.; Guangjun, Z. The Synchronization Behaviors of Memristive Synapse-Coupled Fractional-Order Neuronal Networks. IEEE Access 2021, 9, 131844–131857. [Google Scholar] [CrossRef]
- Ramadoss, J.; Aghababaei, S.; Parastesh, F.; Rajagopal, K.; Jafari, S.; Hussain, I. Chimera state in the network of fractional-order fitzhugh–nagumo neurons. Complexity 2021, 2021, 2437737. [Google Scholar] [CrossRef]
- Ramakrishnan, B.; Parastesh, F.; Jafari, S.; Rajagopal, K.; Stamov, G.; Stamova, I. Synchronization in a Multiplex Network of Nonidentical Fractional-Order Neurons. Fractal Fract. 2022, 6, 169. [Google Scholar] [CrossRef]
- Hodgkin, A.L.; Huxley, A.F. A quantitative description of membrane current and its application to conduction and excitation in nerve. J. Physiol. 1952, 117, 500–544. [Google Scholar] [CrossRef] [PubMed]
- Wilson, H.R. Simplified Dynamics of Human and Mammalian Neocortical Neurons. J. Theor. Biol. 1999, 200, 375–388. [Google Scholar] [CrossRef] [PubMed] [Green Version]
- Xu, Q.; Ju, Z.; Ding, S.; Feng, C.; Chen, M.; Bao, B. Electromagnetic induction effects on electrical activity within a memristive Wilson neuron model. Cogn. Neurodynamics 2022. [Google Scholar] [CrossRef]
- Atangana, A.; Secer, A. A note on fractional order derivatives and table of fractional derivatives of some special functions. Abstr. Appl. Anal. 2013, 2013, 279681. [Google Scholar] [CrossRef] [Green Version]
- Diethelm, K.; Freed, A.D. The FracPECE subroutine for the numerical solution of differential equations of fractional order. Forsch. Und Wiss. Rechn. 1998, 1999, 57–71. [Google Scholar]
- Sprott, J.C. A proposed standard for the publication of new chaotic systems. Int. J. Bifurc. Chaos 2011, 21, 2391–2394. [Google Scholar] [CrossRef] [Green Version]
- Sawicki, J.; Omelchenko, I.; Zakharova, A.; Schöll, E. Delay controls chimera relay synchronization in multiplex networks. Phys. Rev. E 2018, 98, 062224. [Google Scholar] [CrossRef] [Green Version]
- Sun, X.; Perc, M.; Kurths, J. Effects of partial time delays on phase synchronization in Watts-Strogatz small-world neuronal networks. Chaos Interdiscip. J. Nonlinear Sci. 2017, 27, 053113. [Google Scholar] [CrossRef] [PubMed]
- Shafiei, M.; Parastesh, F.; Jalili, M.; Jafari, S.; Perc, M.; Slavinec, M. Effects of partial time delays on synchronization patterns in Izhikevich neuronal networks. Eur. Phys. J. B 2019, 92, 36. [Google Scholar] [CrossRef]
- Arif, M.; Kumam, P.; Kumam, W.; Akgul, A.; Sutthibutpong, T. Analysis of newly developed fractal-fractional derivative with power law kernel for MHD couple stress fluid in channel embedded in a porous medium. Sci. Rep. 2021, 11, 20858. [Google Scholar] [CrossRef] [PubMed]







Publisher’s Note: MDPI stays neutral with regard to jurisdictional claims in published maps and institutional affiliations. |
© 2022 by the authors. Licensee MDPI, Basel, Switzerland. This article is an open access article distributed under the terms and conditions of the Creative Commons Attribution (CC BY) license (https://creativecommons.org/licenses/by/4.0/).
Share and Cite
Vivekanandan, G.; Mehrabbeik, M.; Natiq, H.; Rajagopal, K.; Tlelo-Cuautle, E. Fractional-Order Memristive Wilson Neuron Model: Dynamical Analysis and Synchronization Patterns. Mathematics 2022, 10, 2827. https://doi.org/10.3390/math10162827
Vivekanandan G, Mehrabbeik M, Natiq H, Rajagopal K, Tlelo-Cuautle E. Fractional-Order Memristive Wilson Neuron Model: Dynamical Analysis and Synchronization Patterns. Mathematics. 2022; 10(16):2827. https://doi.org/10.3390/math10162827
Chicago/Turabian StyleVivekanandan, Gayathri, Mahtab Mehrabbeik, Hayder Natiq, Karthikeyan Rajagopal, and Esteban Tlelo-Cuautle. 2022. "Fractional-Order Memristive Wilson Neuron Model: Dynamical Analysis and Synchronization Patterns" Mathematics 10, no. 16: 2827. https://doi.org/10.3390/math10162827
APA StyleVivekanandan, G., Mehrabbeik, M., Natiq, H., Rajagopal, K., & Tlelo-Cuautle, E. (2022). Fractional-Order Memristive Wilson Neuron Model: Dynamical Analysis and Synchronization Patterns. Mathematics, 10(16), 2827. https://doi.org/10.3390/math10162827

