Trivariate Spectral Collocation Approach for the Numerical Solution of Three-Dimensional Elliptic Partial Differential Equations
Abstract
1. Introduction
2. Numerical Procedure
2.1. Solving the Single Nonlinear Elliptic PDE
2.2. Solving the System of Nonlinear Elliptic PDEs
3. Error Bound Theorem in Trivariate Polynomial Interpolation
4. Numerical Illustrations
4.1. Single PDEs
4.2. System of Elliptic PDEs
5. Results and Discussion
5.1. Absolute Error Estimation, Computational Speed and Stability Analysis
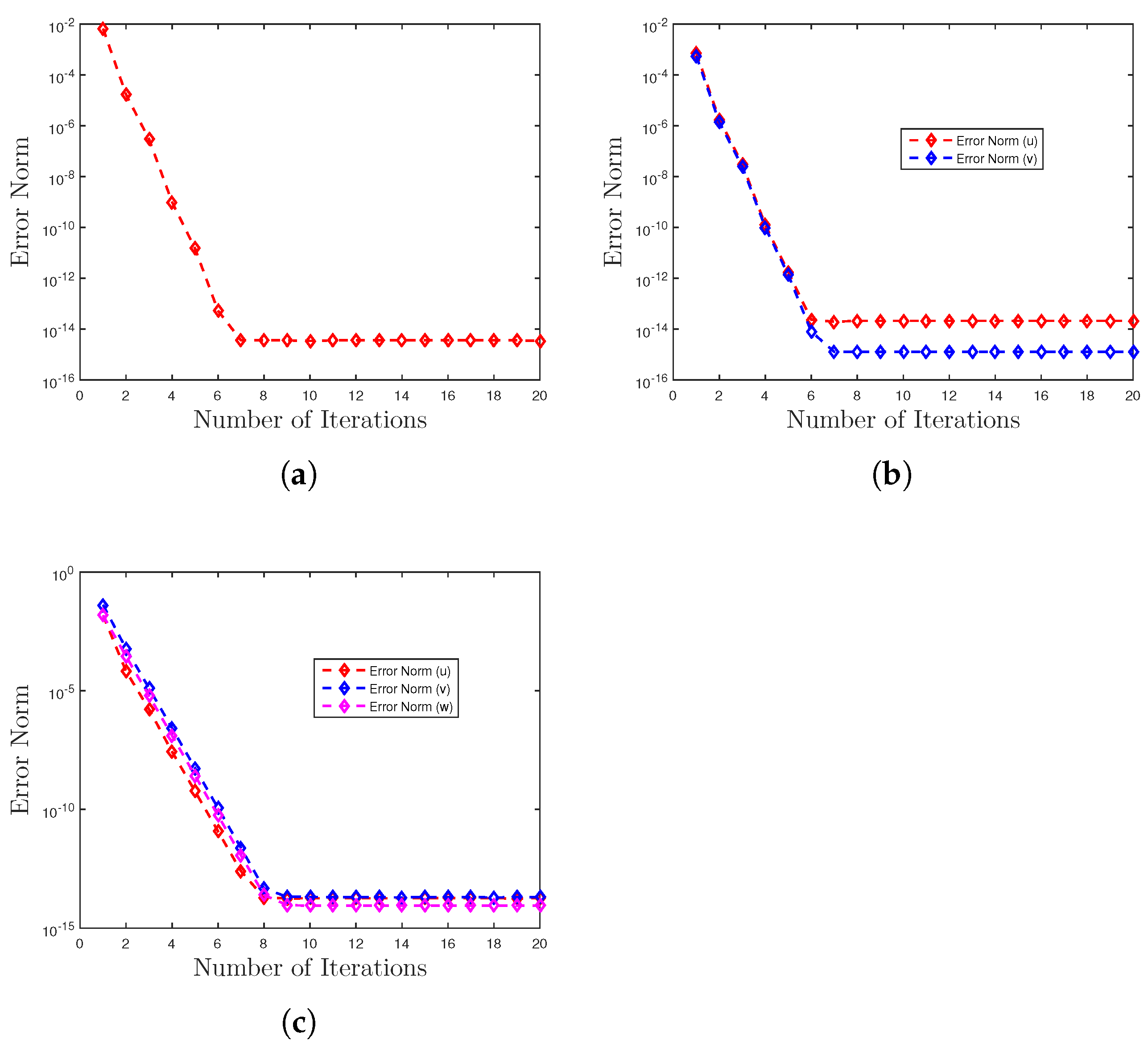
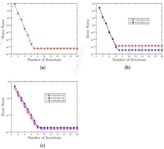
5.2. Rate of Convergence at Various Iteration Levels
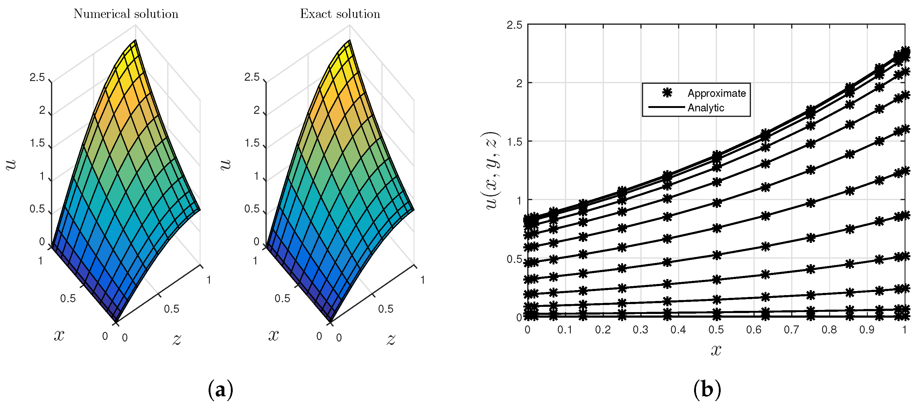
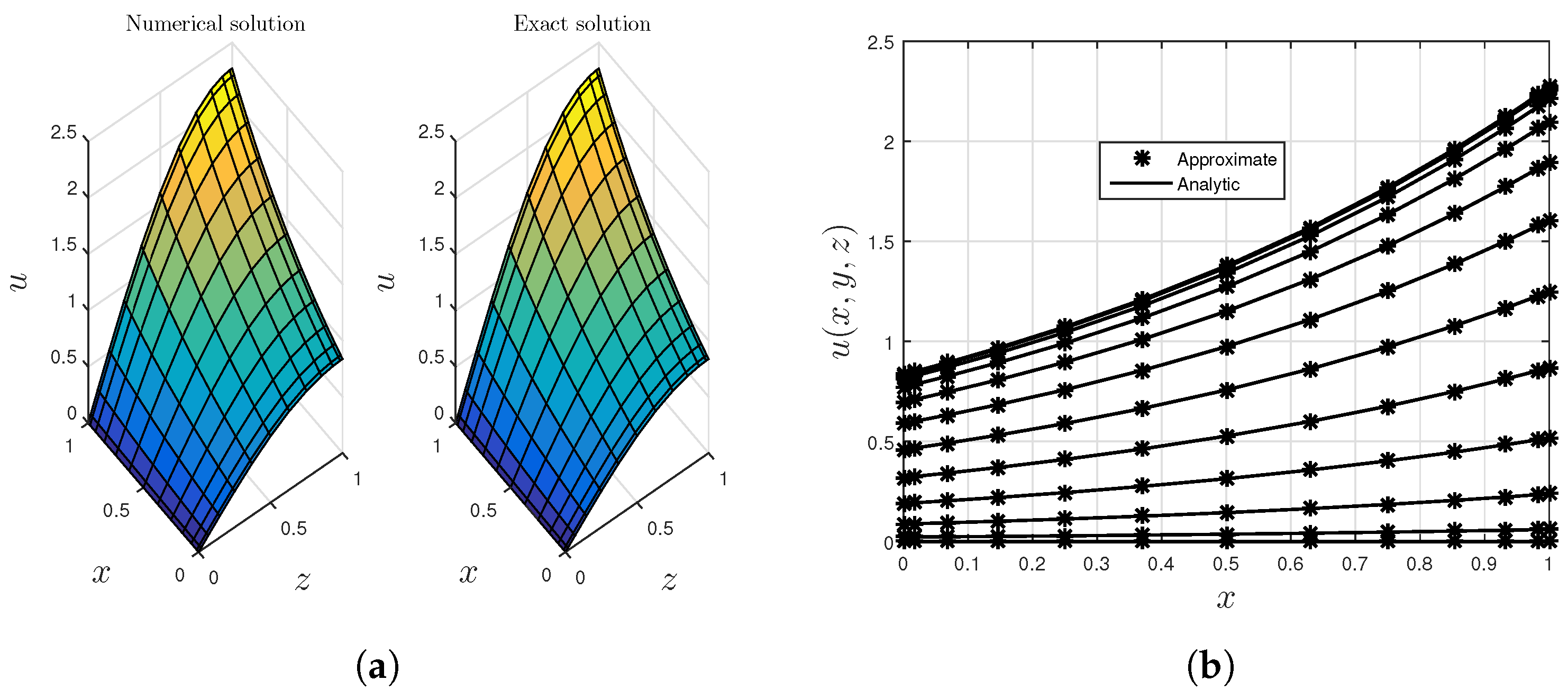
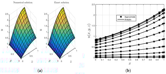
5.3. Matching Exact Solutions against Approximate Solutions
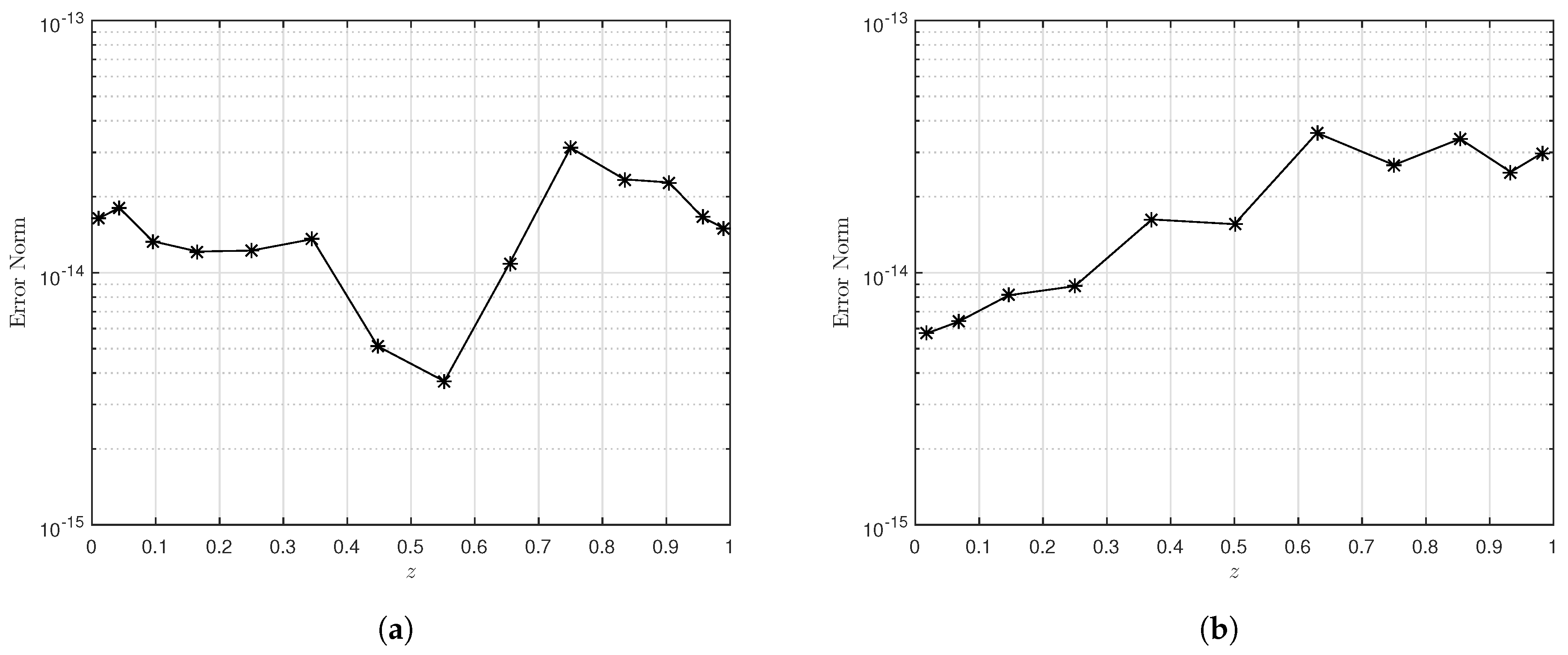
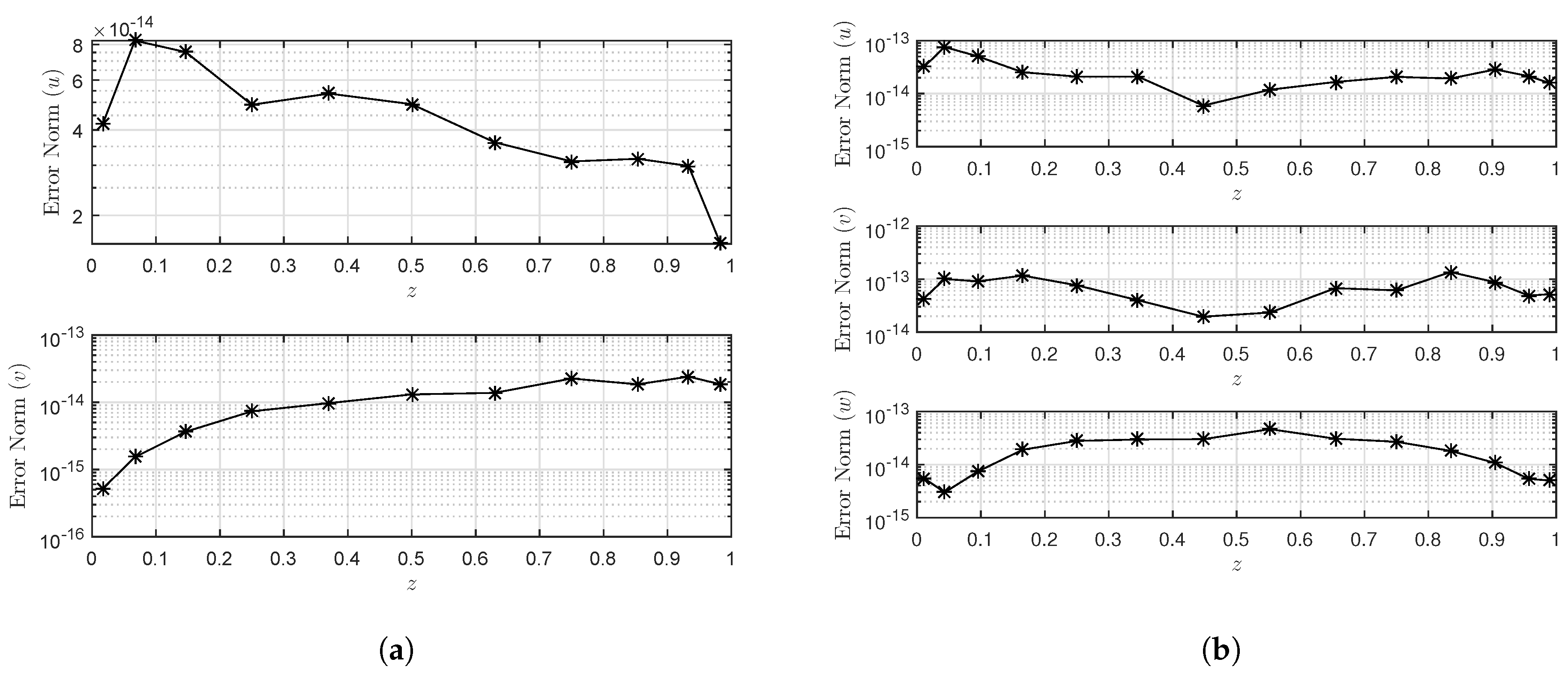
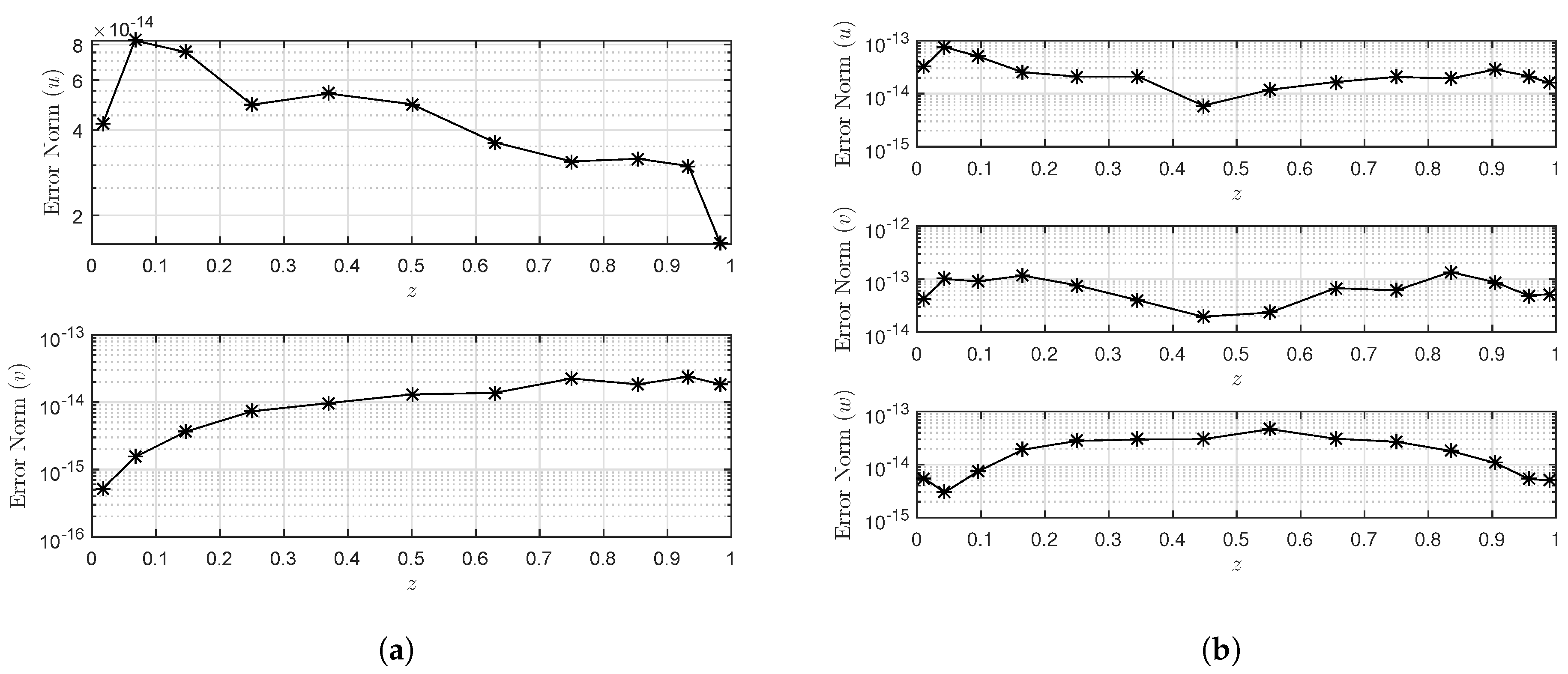
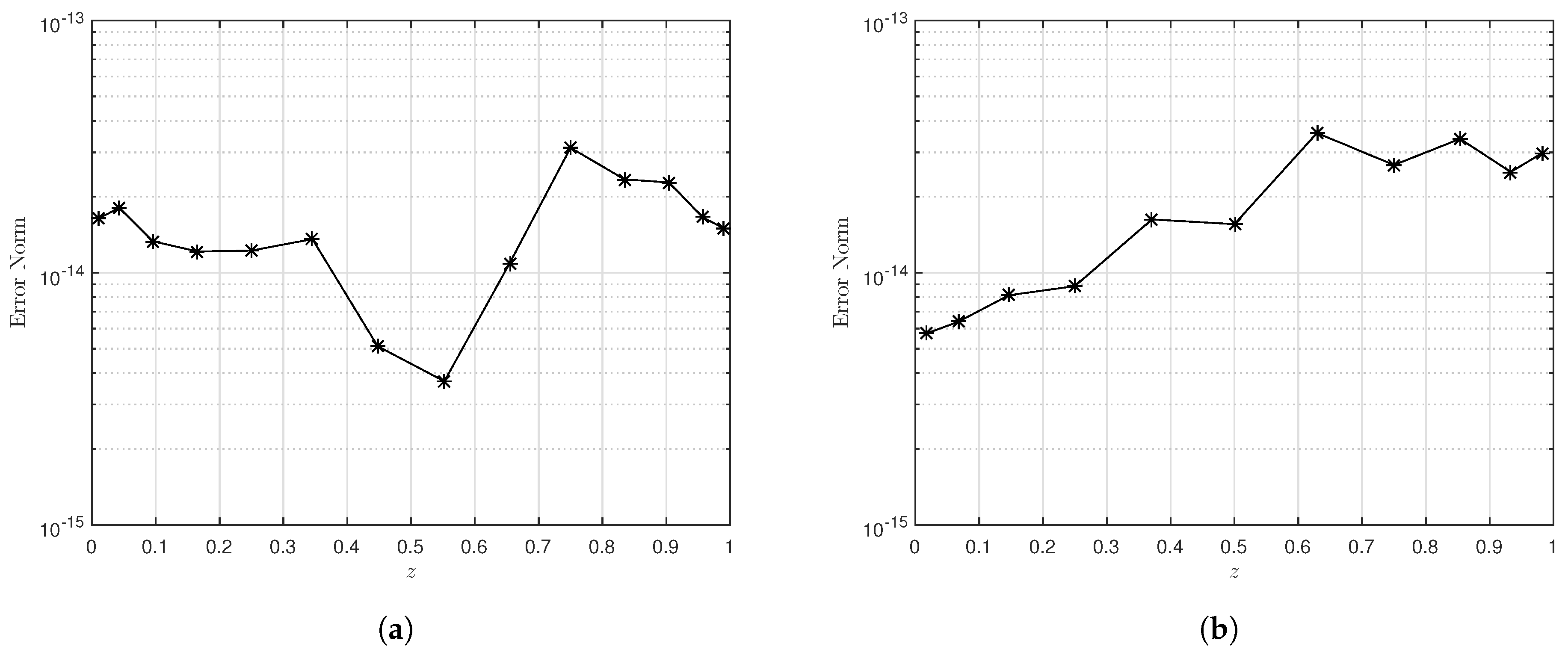
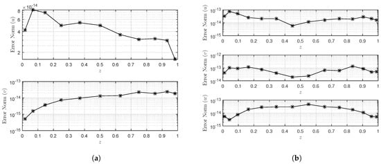
5.4. Error Norms at Different Values of z
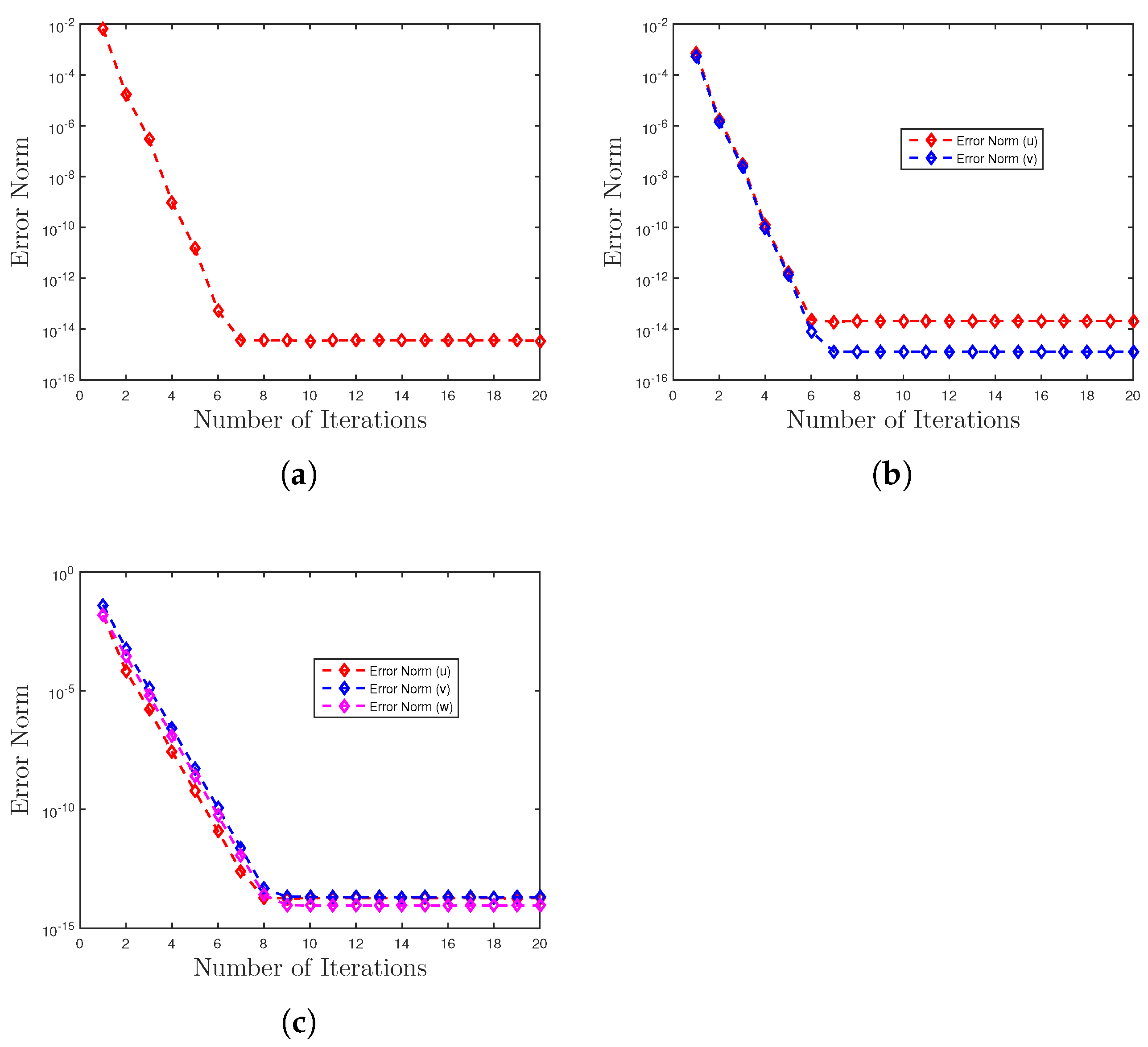
5.5. Convergence of the Numerical Approach
5.6. Comparison of Numerical Results with Literature Results
6. Conclusions
Author Contributions
Funding
Data Availability Statement
Conflicts of Interest
References
- Ying, L.; Biros, G.; Zorin, D. A high-order 3D boundary integral equation solver for elliptic PDEs in smooth domains. J. Comput. Phys. 2006, 219, 247–275. [Google Scholar] [CrossRef]
- Arpaci, V. Convection Heat Transfer; Prentice Hall: Hoboken, NJ, USA, 1984. [Google Scholar]
- Roache, P. Computational Fluid Dynamics; Hermosa Press: Albuquerque, NM, USA, 1972. [Google Scholar]
- Cebeci, T. Convection Heat Transfer; Horizons Publishing Inc.: Long Beach, CA, USA; Springer: Heidelberg, Germany, 2002. [Google Scholar]
- Britt, S.; Tsynkov, S.; Turkel, E. A compact fourth order scheme for the Helmholtz equation in polar coordinates. J. Sci. Comput. 2010, 45, 26–47. [Google Scholar] [CrossRef]
- Boisvert, R. Families of high order accurate discretizations of some elliptic problems. SIAM J. Sci. Stat. Comput. 1981, 2, 268–284. [Google Scholar] [CrossRef]
- Singer, I.; Turkel, E. Sixth order accurate finite difference schemes for the Helmholtz equation. J. Comput. Acoust. 2006, 14, 339–351. [Google Scholar] [CrossRef]
- Ciarlet, P. The Finite Element Method for Elliptic Problems; North Holland: Amsterdam, The Netherlands, 2002. [Google Scholar]
- Fasshauer, G. Meshfree approximation methods with Matlab. In Interdisciplinary Mathematical Sciences; World Scientific Publishers: Singapore, 2007. [Google Scholar]
- Hu, H.-Y.; Li, Z.-C.; Cheng, A.-D. Radial basis collocation methods for elliptic boundary value problems. Comput. Math. Appl. 2005, 50, 289–320. [Google Scholar] [CrossRef]
- Duy, N.; Cong, T. An integrated RBF technique based on Galerkin formulation for elliptic differential equations. Eng. Anal. Bound. Elem. 2009, 33, 191–199. [Google Scholar]
- Duy, N.; Cong, T. A Cartesian-grid discretisation scheme based on local integrated RBF for two-dimensional elliptic problems. CMES Comput. Model. Eng. Sci. 2009, 51, 213–238. [Google Scholar]
- Yang, Q.; Zheng, J.; Miao, Y.; Sima, Y. An improved hybrid boundary node method for solving steady fluid flow problems. Eng. Anal. Bound. Elem. 2011, 35, 18–24. [Google Scholar] [CrossRef]
- Fairweather, G.; Karageorghis, A.; Maack, J. Compact optimal quadratic spline collocation methods for the Helmholtz equation. J. Comput. Phys. 2011, 230, 2880–2895. [Google Scholar] [CrossRef]
- Christara, C. Quadratic spline collocation methods for elliptic partial differential equations. BIT Numer. Math. 1994, 34, 33–61. [Google Scholar] [CrossRef]
- Abushama, A.; Bialecki, B. Modified nodal cubic spline collocation for Poisson equation. SIAM J. Numer. Anal. 2008, 46, 397–418. [Google Scholar] [CrossRef]
- Gustafsson, B.; Hemmingsson-Franden, l. A fast domain decomposition high order Poisson solver. J. Sci. Comput. 1999, 14, 223–243. [Google Scholar] [CrossRef]
- Alonso, N.; Bowers, K. An alternating direction Sinc–Galerkin method for elliptic problems. J. Complex. 2009, 25, 237–252. [Google Scholar] [CrossRef][Green Version]
- Aziz, I.; Siraj-ul, I.; Sarler, B. Wavelets collocation methods for the numerical solution of elliptic BV problems. Appl. Math. Model. 2013, 37, 676–694. [Google Scholar] [CrossRef]
- Shi, Z.; Cao, Y.; Chen, Q. Solving 2D and 3D Poisson equations and biharmonic equations by the Haar wavelet method. Appl. Math. Model. 2012, 36, 5143–5161. [Google Scholar] [CrossRef]
- Aziz, I.; Ul-Islam, S.; Asif, M. Haar wavelet collocation method for three-dimensional elliptic partial differential equations. Comput. Math. Appl. 2017, 73, 2023–2034. [Google Scholar] [CrossRef]
- Singh, I.; Kumar, S. Wavelet methods for solving three-dimensional partial differential equations. Math. Sci. 2017, 11, 145–154. [Google Scholar] [CrossRef]
- Klaus, S. Numerical Methods for Nonlinear Elliptic Partial Differential Equation; Oxford University Press: New York, NY, USA, 2010. [Google Scholar]
- Pfeiffer, H.P.; Kidder, L.E.; Scheel, M.A.; Teukolsky, S.A. A multidomain spectral method for solving elliptic equations. Comput. Phys. Commun. 2003, 152, 253–273. [Google Scholar] [CrossRef]
- Wang, Y.; Hao, W.; Lin, G. Two-level spectral methods for nonlinear elliptic equations with multiple solutions. SIAM Sci. Comput. 2018, 40, B1180–B1205. [Google Scholar] [CrossRef]
- Gu, Y.; Shen, J. Accurate and efficient spectral methods for elliptic PDEs in complex domains. J. Sci. Comput. 2020, 83, 42. [Google Scholar] [CrossRef]
- Tao, Z.-Z.; Sun, B. Galerkin spectral method for elliptic optimal control problem with L2-norm control constraint. Discrete Contin. Dyn. Syst. B, 2021; in press. [Google Scholar] [CrossRef]
- Wang, X.; Wang, J.; Wang, X.; Yu, C. A Pseudo-spectral fourier collocation method for inhomogeneous elliptical inclusions with partial differential equations. Mathematics 2022, 10, 296. [Google Scholar] [CrossRef]
- Liu, F.; Ye, X.; Wang, X. Efficient Chebyshev spectral method for solving linear elliptic PDEs using Quasi-Inverse Technique. Numer. Math. Theor. Meth. Appl. 2011, 4, 197–215. [Google Scholar] [CrossRef]
- Oh, S. An efficient spectral method to solve multi-dimensional linear partial different equations using Chebyshev polynomials. Mathematics 2019, 7, 90. [Google Scholar] [CrossRef]
- Ghimire, B.K.; Tian, H.Y.; Lamichhane, A.R. Numerical Solutions of Elliptic Partial Differential Equations Using Chebyshev Polynomials. Comput. Math. Appl. 2016, 72, 1042–1054. [Google Scholar] [CrossRef]
- Don, W.S.; Solomonoff, A. Accuracy and Speed of Computing the Chebyshev Collocation Derivative. SIAM J. Sci. Comput. 1995, 16, 1253–1268. [Google Scholar] [CrossRef]
- Bellman, R.E.; Kalaba, R.E. Quasilinearization and Nonlinear Boundary Value Problems; RAND Corporation: Santa Monica, CA, USA, 1965. [Google Scholar]
- Trefethen, L.N. Spectral Methods in Matlab; SIAM: Philadelphia, PA, USA, 2000. [Google Scholar]
- Revers, M. On the approximation of certain functions by interpolating polynomials. Bull. Aust. Math. Soc. 1998, 58, 505–512. [Google Scholar] [CrossRef]
- Canuto, C.; Hussaini, M.Y.; Quarteroni, A.; Zang, T.A. Spectral Methods in Fluid Dynamics; Springer: Berlin, Germany, 1988. [Google Scholar]
- Herbert, E.S. Converting interpolation series into Chebyshev series by recurrence formulas. Math. Comput. 1976, 30, 295–302. [Google Scholar]
- Ali, H.B. A highly accurate collocation algorithm for (1 + 1) and (2 + 1) fractional percolation equations. Vib. Control 2015, 5, 2288–2310. [Google Scholar]
- Dunham, C.B.; Williams, J. Rate of convergence of discretization in chebyshev approximation. Math. Comput. 1981, 37, 135–139. [Google Scholar] [CrossRef]
- Mohanty, R.; Setia, N. A new high order compact off-step discretization for the system of 3D quasi-linear elliptic partial differential equations. Appl. Math. Model. 2013, 37, 6870–6883. [Google Scholar] [CrossRef]
- Mohanty, R.K.; Singh, S. A highly accurate discretization for three-dimensional singularly perturbed nonlinear elliptic partial differential equations. Numer. Methods Partial Differ. Equ. 2006, 22, 1379–1395. [Google Scholar] [CrossRef]
- Jha, N.; Gopal, V.; Singh, B. A family of compact finite difference formulations for three-space dimensional nonlinear Poisson’s equations in Cartesian coordinates. Differ. Equ. Dyn. Syst. 2018, 26, 105–123. [Google Scholar] [CrossRef]
- Jha, N.; Singh, B. Exponential basis and exponential expanding grids third (fourth)-order compact schemes for nonlinear three-dimensional convection-diffusion-reaction equation. Adv. Differ. Equ. 2019, 2019, 339. [Google Scholar] [CrossRef]
- Jain, M.; Jain, R.; Mohanty, R. Fourth order difference method for three-dimensional elliptic equations with nonlinear first derivative terms. Numer. Methods Partial. Differ. Equ. 1992, 8, 575–591. [Google Scholar] [CrossRef]









| 5 | 10 | 15 | |||||
|---|---|---|---|---|---|---|---|
| Exact Solution | TSQLM Solution | Error | TSQLM Solution | Error | TSQLM Solution | Error | |
| (0.9045, 09045, 09045) | 0.746688167118849 | 0.746705378717428 | 1.721 × 10 | 0.746688166650629 | 4.682 × 10 | 0.746688167118846 | 2.331 × 10 |
| (0.6545, 0.6545, 0.6545) | 0.093251152532562 | 0.093307715584223 | 5.656 × 10 | 0.093251152476087 | 5.648 × 10 | 0.093251152532562 | 2.914 × 10 |
| (0.3455, 0.3455, 0.3455) | 0.025983543105084 | 0.025999430835633 | 1.589 × 10 | 0.025983543095338 | 9.746 × 10 | 0.025983543105084 | 1.006 × 10 |
| (0.0955, 0.0955, 0.0955) | 0.008322301075952 | 0.008323357188132 | 1.056 × 10 | 0.008322301075219 | 7.333 × 10 | 0.008322301075953 | 5.725 × 10 |
| Cond (A) | 351.1623 | 659.2167 | 1.6140 × 10 | ||||
| CPU Time (s) | 0.008614 | 0.117700 | 3.434236 |
| 4 | 8 | 12 | |||||
|---|---|---|---|---|---|---|---|
| Exact Solution | TSQLM Solution | Error | TSQLM Solution | Error | TSQLM Solution | Error | |
| (1.0243, 1.0243, 1.0243) | 2.781001311184647 | 2.780055371655581 | 9.459 × 10 | 2.781001318489854 | 7.305 × 10 | 2.781001311183933 | 7.141 × 10 |
| (0.6000, 0.6000, 0.6000) | 1.192592237740634 | 1.193313943450853 | 7.217 × 10 | 1.192592242229544 | 4.489 × 10 | 1.192592237740563 | 7.150 × 10 |
| (0.1757, 0.1757, 0.1757) | 0.088556949386077 | 0.088653933543552 | 9.698 × 10 | 0.088556949359024 | 2.705 × 10 | 0.088556949386076 | 4.996 × 10 |
| Cond (A) | 7.4544 | 81.8051 | 389.9620 | ||||
| CPU Time (s) | 0.002897 | 0.028628 | 0.773108 |
| 4 | 8 | 12 | |||||
|---|---|---|---|---|---|---|---|
| Exact Solution | TSQLM Solution | Error | TSQLM Solution | Error | TSQLM Solution | Error | |
| (1.3657, 1.3657, 1.3657) | 0.162550474907984 | 0.160548370516225 | 2.002 × 10 | 0.162550451027631 | 2.388 × 10 | 0.162550474907977 | 6.939 × 10 |
| (0.8000, 0.8000, 0.8000) | 1.080278098259261 | 1.073054459894421 | 7.224 × 10 | 1.080278098384820 | 1.256 × 10 | 1.080278098259262 | 1.776 × 10 |
| (0.2343, 0.2343, 0.2343) | 1.195902797070561 | 1.197858394193033 | 1.956 × 10 | 1.195902797008142 | 6.242 × 10 | 1.195902797070568 | 6.883 × 10 |
| (1.3657, 1.3657, 1.3657) | 3.755857431386828 | 3.754795696039452 | 1.062 | 3.755857412741173 | 1.865 × 10 | 3.755857431386825 | 3.553 × 10 |
| (0.8000, 0.8000, 0.8000) | 1.145262830233207 | 1.138448902139527 | 6.814 × 10 | 1.145262830131156 | 1.021 × 10 | 1.145262830233213 | 5.551 × 10 |
| (0.2343, 0.2343, 0.2343) | 0.068139268697581 | 0.069119178461196 | 9.799 × 10 | 0.068139268673337 | 2.424 × 10 | 0.068139268697582 | 3.608 × 10 |
| Cond (C) | 11.4521 | 115.2798 | 548.4108 | ||||
| CPU Time (s) | 0.011463 | 0.149994 | 3.780974 |
| 4 | 8 | 12 | |||||
|---|---|---|---|---|---|---|---|
| Exact Solution | TSQLM Solution | Error | TSQLM Solution | Error | TSQLM Solution | Error | |
| (0.9389, 0.9389, 0.9389) | 0.183807501770063 | 0.182138370703660 | 1.669 × 10 | 0.183807590422178 | 8.865 × 10 | 0.183807501767250 | 2.813 × 10 |
| (0.5500, 0.5500, 0.5500) | 0.024170454101693 | 0.024246294103530 | 7.584 × 10 | 0.024170458865723 | 4.764 × 10 | 0.024170454101784 | 9.178 × 10 |
| (0.1611, 0.1611, 0.1611) | 0.370843708401198 | 0.367758740938404 | 3.085 × 10 | 0.370843887767984 | 1.794 × 10 | 0.370843708393093 | 8.105 × 10 |
| (0.9389, 0.9389, 0.9389) | −0.367615003540126 | −0.364673539152125 | 2.941 × 10 | −0.367615175615953 | 1.721 × 10 | −0.367615003535049 | 5.077 × |
| (0.5500, 0.5500, 0.5500) | −0.048340908203385 | −0.049463116182947 | 1.122 × 10 | −0.048340967794351 | 5.959 × | −0.048340908204152 | 7.671 × 10 |
| (0.1611, 0.1611, 0.1611) | −0.741687416802395 | −0.735526034375114 | 6.161 × 10 | −0.741687681901548 | 2.651 × 10 | −0.741687416786753 | 1.564 × 10 |
| (0.9389, 0.9389, 0.9389) | 0.183807501770063 | 0.182138370703660 | 1.669 × 10 | 0.183807590422178 | 8.865 × 10 | 0.183807501767250 | 2.813 × 10 |
| (0.5500, 0.5500, 0.5500) | 0.024170454101693 | 0.024246294103530 | 7.584 × 10 | 0.024170458865723 | 4.764 × | 0.024170454101784 | 9.184 × 10 |
| (0.1611, 0.1611, 0.1611) | 0.370843708401197 | 0.367758740938404 | 3.085 × 10 | 0.370843887767984 | 1.794 × 10 | 0.370843708393092 | 8.105 × 10 |
| Cond (C) | 8.3394 | 90.4278 | 431.2593 | ||||
| CPU Time (s) | 0.007821 | 0.182926 | 4.158837 |
| Iterations | Example 2 | Example 3 | Example 4 | |||
|---|---|---|---|---|---|---|
| 1 | - | - | - | - | - | - |
| 2 | - | - | - | - | - | - |
| 3 | 1.085 | 1.843 | 1.843 | 1.714 | 1.714 | 1.714 |
| 4 | 1.937 | 1.961 | 1.961 | 1.832 | 1.832 | 1.832 |
| 5 | 1.988 | 1.982 | 1.982 | 1.894 | 1.894 | 1.894 |
| 6 | 2.014 | 1.993 | 1.993 | 1.956 | 1.956 | 1.956 |
| 7 | 1.998 | 2.001 | 2.001 | 1.997 | 1.997 | 1.997 |
| 8 | 2.001 | 2.000 | 2.000 | 2.002 | 2.002 | 2.002 |
| 9 | 2.000 | 2.001 | 2.001 | 2.000 | 2.000 | 2.000 |
| 10 | 2.0002 | 2.000 | 2.000 | 2.000 | 2.000 | 2.000 |
| No of Iterations | Aziz et al. [21] | TSQLM | |
|---|---|---|---|
| 4 | 6 | 9.2203 × 10 | 2.731 × 10 |
| 8 | 7 | 2.5331 × 10 | 6.520 × 10 |
| 16 | 8 | 6.4487 × 10 | 5.214 × 10 |
| Aziz et al. [21] | TSQLM | |||
|---|---|---|---|---|
| 4 | 2.496 × 10 | 2.313 × 10 | ||
| 8 | 1.982 × 10 | 6.459 × 10 | ||
| 16 | 2.578 × 10 | 6.997 | ||
| 4 | 6.5799 × 10 | 3.6681 × 10 | 1.351 × 10 | 7.974 × |
| 8 | 1.7957 × 10 | 9.9408 × | 1.769 × 10 | 5.794 × 10 |
| 16 | 4.5196 × 10 | 2.4388 × 10 | 1.711 × 10 | 4.789 × 10 |
| Aziz et al. [21] | TSQLM | ||||||
|---|---|---|---|---|---|---|---|
| 1 | 4 | 2.8317 × 10 | 6.0643 × 10 | 2.8317 × 10 | 4.091 × 10 | 6.598 × 10 | 4.091 × 10 |
| 1 | 8 | 1.4786 × 10 | 3.0308 × 10 | 1.4786 × 10 | 1.414 × 10 | 6.770 × 10 | 1.524 × 10 |
| 1 | 16 | 3.7790 × 10 | 7.8002 × 10 | 3.7787 × 10 | 9.219 × 10 | 3.237 × | 8.146 × 10 |
| 2 | 4 | 4.568 × 10 | 6.561 × 10 | 4.568 × 10 | |||
| 2 | 8 | 1.450 × 10 | 7.057 × 10 | 1.707 × 10 | |||
| 2 | 16 | 1.094 × 10 | 3.261 × 10 | 1.205× 10 | |||
| 6 | 4 | 5.986 × 10 | 6.206 × 10 | 5.986 × 10 | |||
| 6 | 8 | 1.584 × 10 | 9.868 × 10 | 2.965 × 10 | |||
| 6 | 16 | 1.237 × 10 | 3.679 × 10 | 1.093 × 10 | |||
| 8 | 4 | 6.389 × 10 | 5.945 × 10 | 6.389 × 10 | |||
| 8 | 8 | 1.770 × 10 | 1.247 × 10 | 3.429 × 10 | |||
| 8 | 16 | 1.625 × 10 | 6.781 × 10 | 1.680 × 10 | |||
| 10 | 4 | 4.5338 × 10 | 1.1035 × 10 | 4.5337 × 10 | 6.603 × 10 | 5.673 × 10 | 6.603 × 10 |
| 10 | 8 | 1.5631 × 10 | 5.1186 × 10 | 1.5631 × 10 | 1.967 × 10 | 1.494 × 10 | 4.015 × 10 |
| 10 | 16 | 4.2250 × 10 | 1.3313 × 10 | 4.2251 × 10 | 8.375 × 10 | 3.599 × 10 | 8.966 × 10 |
Publisher’s Note: MDPI stays neutral with regard to jurisdictional claims in published maps and institutional affiliations. |
© 2022 by the authors. Licensee MDPI, Basel, Switzerland. This article is an open access article distributed under the terms and conditions of the Creative Commons Attribution (CC BY) license (https://creativecommons.org/licenses/by/4.0/).
Share and Cite
Mkhatshwa, M.P.; Khumalo, M. Trivariate Spectral Collocation Approach for the Numerical Solution of Three-Dimensional Elliptic Partial Differential Equations. Mathematics 2022, 10, 2260. https://doi.org/10.3390/math10132260
Mkhatshwa MP, Khumalo M. Trivariate Spectral Collocation Approach for the Numerical Solution of Three-Dimensional Elliptic Partial Differential Equations. Mathematics. 2022; 10(13):2260. https://doi.org/10.3390/math10132260
Chicago/Turabian StyleMkhatshwa, Musawenkhosi Patson, and Melusi Khumalo. 2022. "Trivariate Spectral Collocation Approach for the Numerical Solution of Three-Dimensional Elliptic Partial Differential Equations" Mathematics 10, no. 13: 2260. https://doi.org/10.3390/math10132260
APA StyleMkhatshwa, M. P., & Khumalo, M. (2022). Trivariate Spectral Collocation Approach for the Numerical Solution of Three-Dimensional Elliptic Partial Differential Equations. Mathematics, 10(13), 2260. https://doi.org/10.3390/math10132260

