Moving Spatial Turbulence Model for High-Fidelity Rotorcraft Maneuvering Simulation
Abstract
:1. Introduction
2. Moving Spatial Turbulence Model
2.1. Recursive Algorithms for Spatial Turbulence Components
2.2. Moving Spatial Turbulence Field
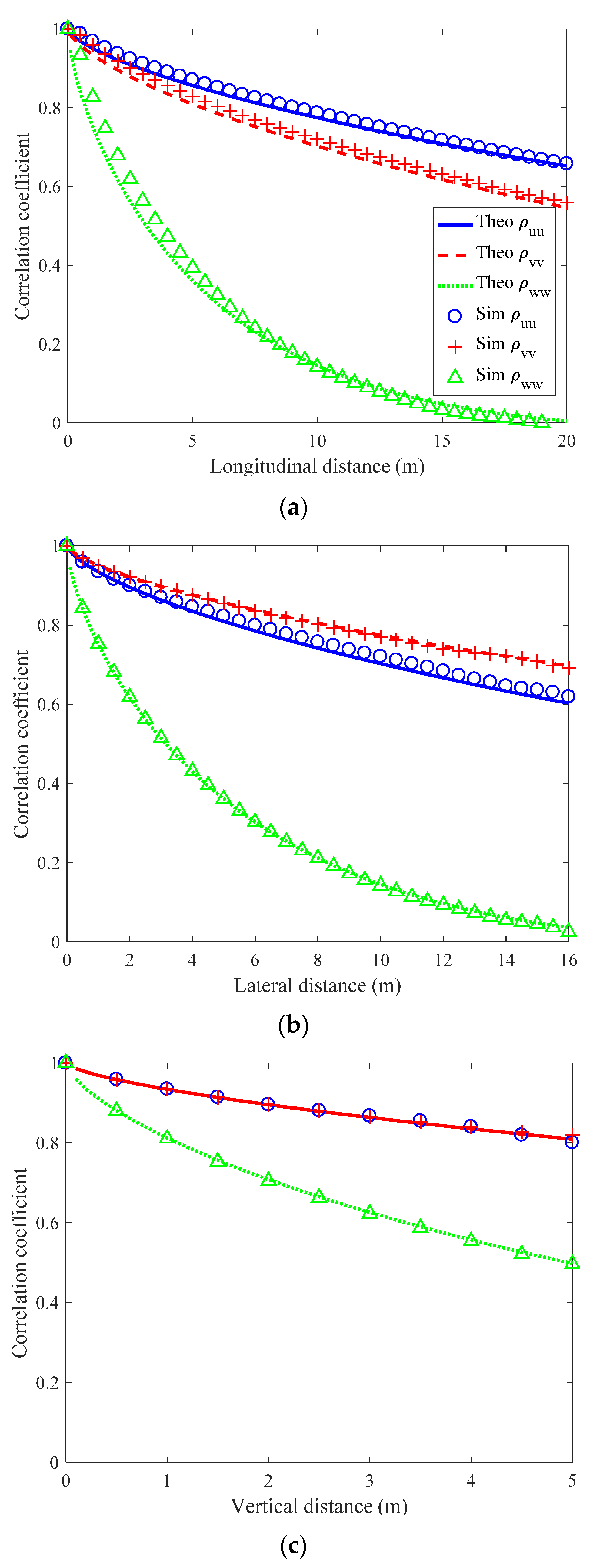
2.3. Initial Validation of Turbulence Model
3. Simulation Environment
3.1. Flight Dynamics Model
3.2. Pilot Model
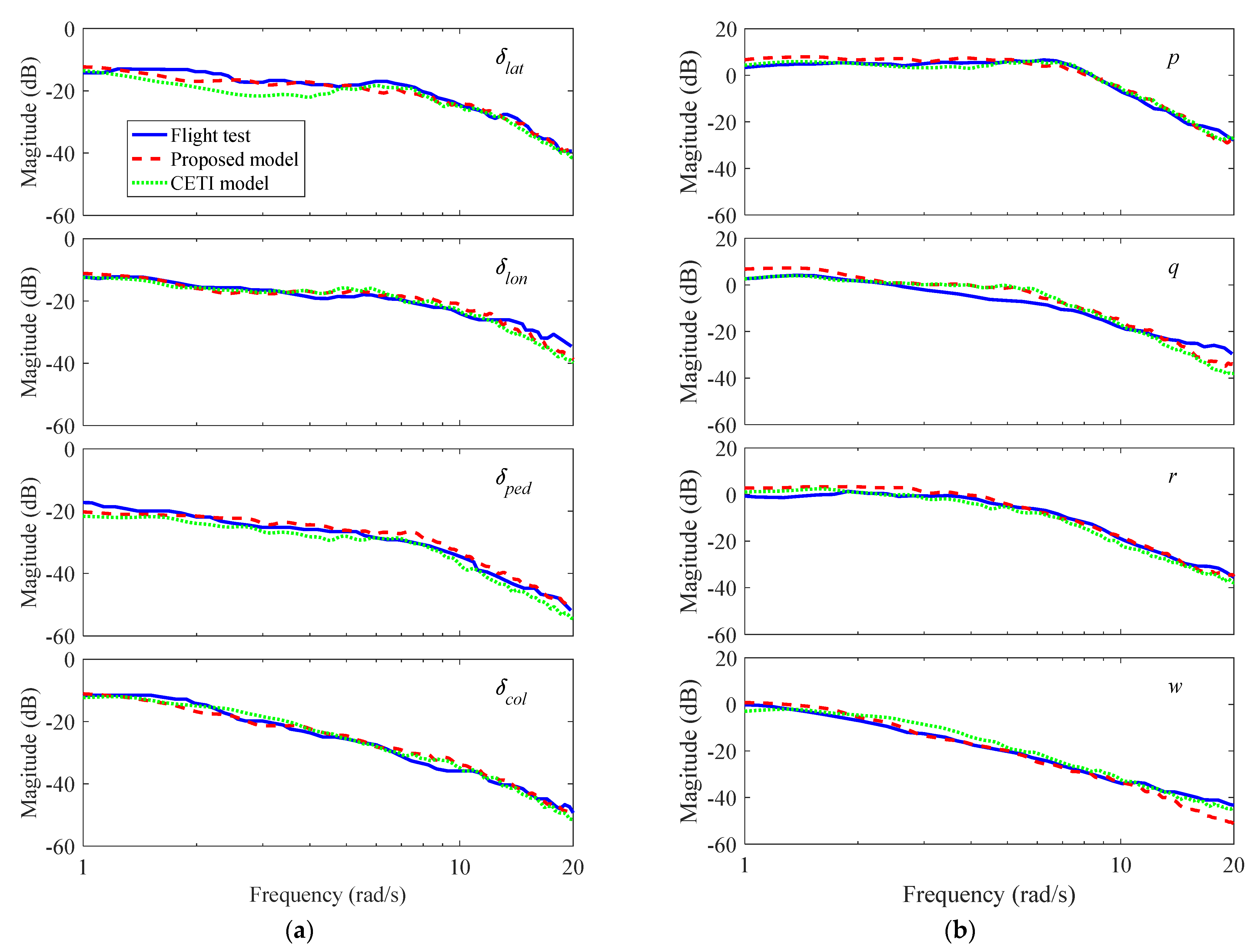
3.3. Validation of Simulation Model
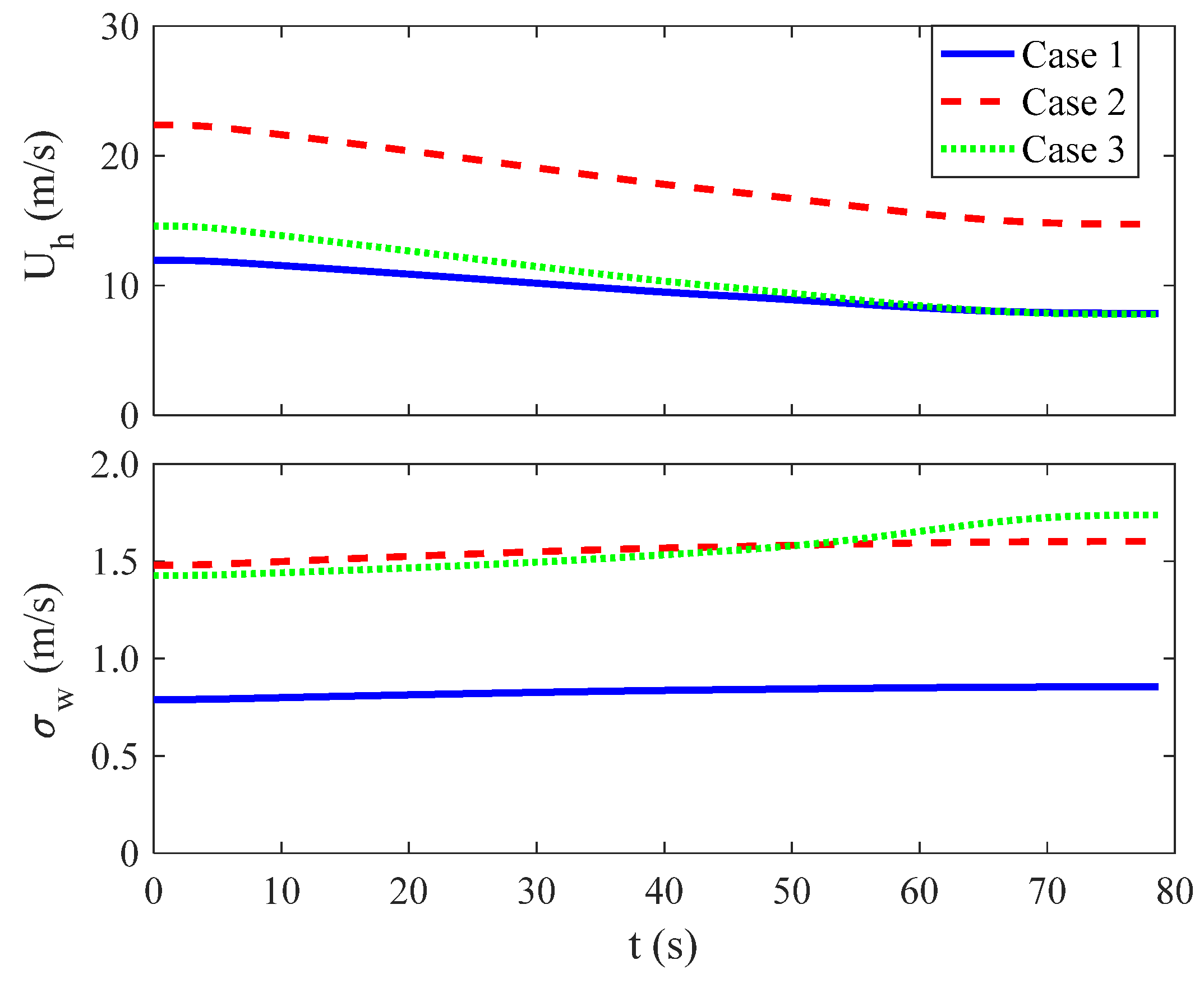
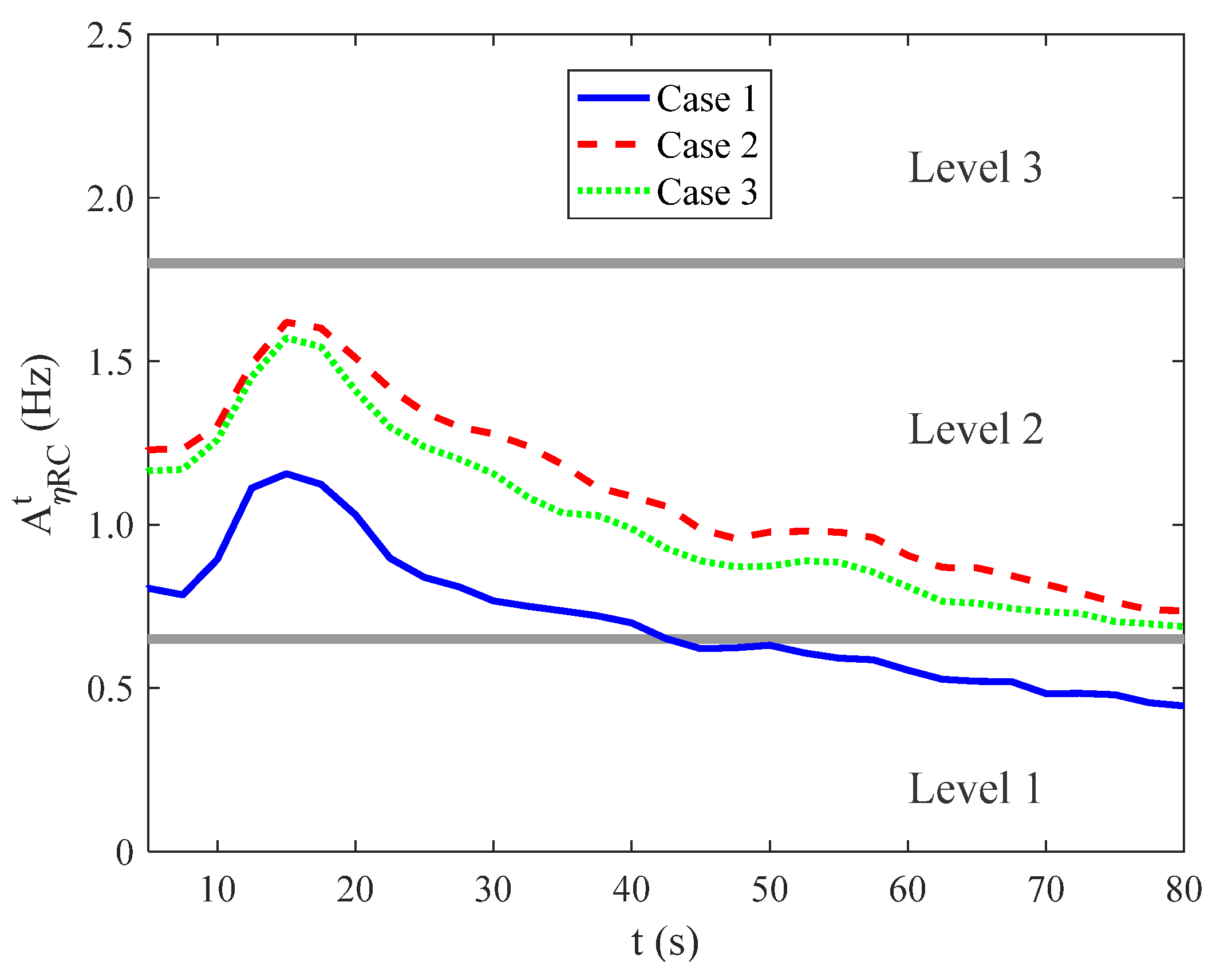
4. Investigation of Rotorcraft Maneuvering Flight in Turbulence
5. Discussion
6. Conclusions
- (1)
- The developed moving spatial turbulence model can produce a local turbulence field in which any point shows the desired spectral characteristics in the frequency range.
- (2)
- The turbulence model has been validated in a synthetic simulation environment, being integrated with a flight dynamics model and a pilot model. The results show that the model can accurately capture the frequency characteristics of pilot controls and rotorcraft responses to turbulence.
- (3)
- The simulation results indicate that pilot control activities are susceptive to the level of turbulence and the HQRs severely deteriorate when the maneuver is more aggressive. The results further have predicted the expected effect of varied flight speed, wind speed, turbulence intensity, and SAS on piloted handling qualities and control performance.
Author Contributions
Funding
Institutional Review Board Statement
Informed Consent Statement
Data Availability Statement
Conflicts of Interest
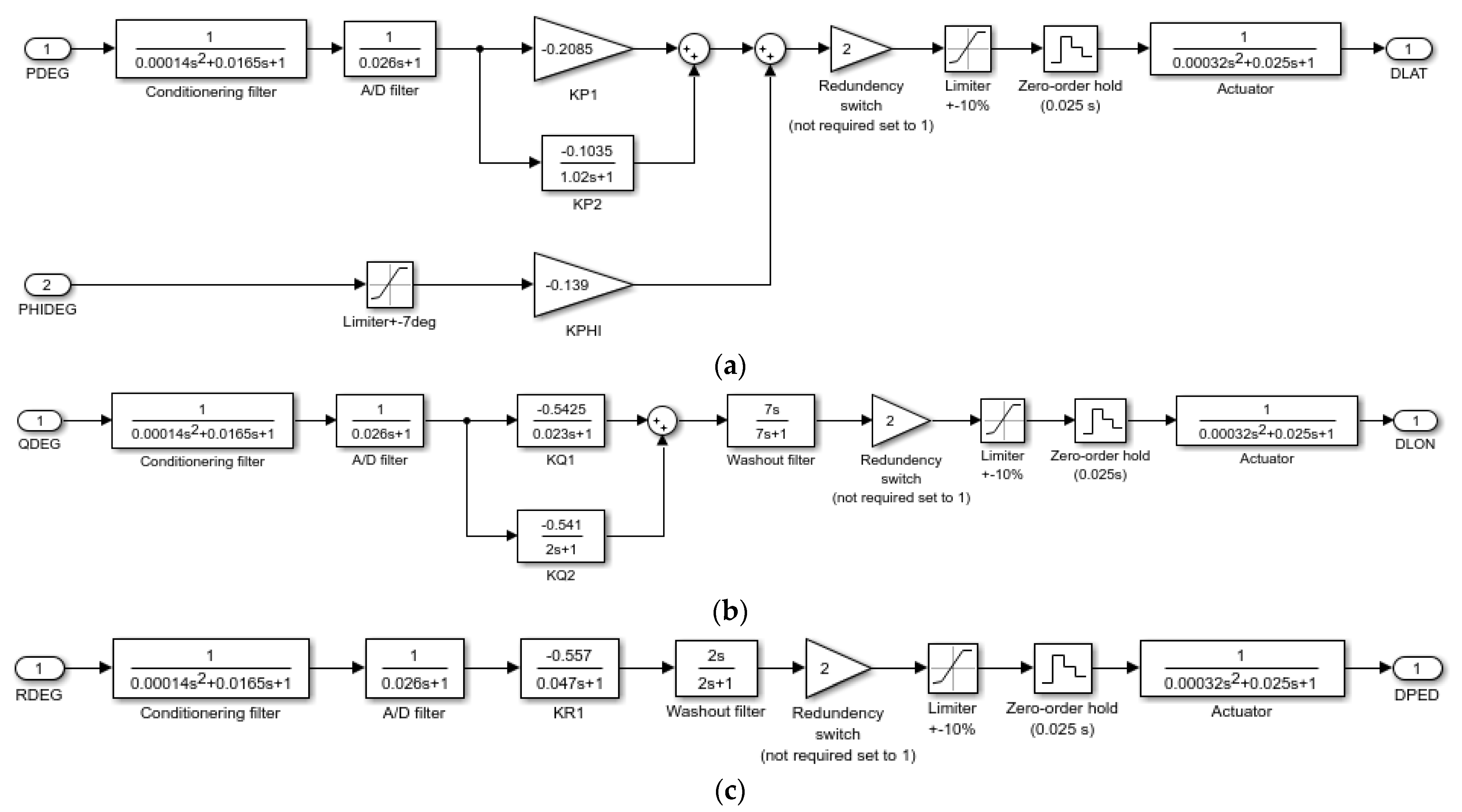
Appendix A. Digital SAS of UH-60A Rotorcraft

References
- Ji, H.; Chen, R.; Lu, L.; White, M.D. Pilot workload investigation for rotorcraft operation in low-altitude atmospheric turbulence. Aerosp. Sci. Technol. 2021, 111, 106567. [Google Scholar] [CrossRef]
- Campbell, C.W.; Sanborn, V.A. A Spatial Model of Wind Shear and Turbulence. J. Aircr. 1984, 21, 929–935. [Google Scholar] [CrossRef]
- Robinson, J.E.; Weber, T.L.; Miller, D.G. Real-Time Simulation of Full-Field Atmospheric Turbulence for a Piloted Rotorcraft Simulation. In Proceedings of the 50th Annual Forum of the American Helicopter Society, Washington, DC, USA, 11–13 May 1994. [Google Scholar]
- Dang, Y.Y.; Gaonkar, G.H.; Prasad, J.V.R. Parallel Methods for Turbulence Simulation and Helicopter Response Prediction. J. Am. Helicopter Soc. 1996, 41, 219–231. [Google Scholar] [CrossRef]
- McFarland, R.E.; Duisenberg, K. Simulation of Rotor Blade Element Turbulence; NASA TM-108862; National Aeronautics and Space Administration: Washington, DC, USA, 1995. [Google Scholar]
- Ji, H.; Chen, R.; Li, P. Distributed Atmospheric Turbulence Model for Helicopter Flight Simulation and Handling-Quality Analysis. J. Aircr. 2017, 54, 190–198. [Google Scholar] [CrossRef]
- Ji, H.; Chen, R.; Li, P. Analysis of Helicopter Quality in Turbulence with Recursive von Kármán Model. J. Aircr. 2017, 54, 1631–1639. [Google Scholar] [CrossRef] [Green Version]
- Ji, H.; Chen, R.; Li, P. Distributed Turbulence Model with Accurate Spatial Correlations for Simulation of Helicopter Flight in Atmospheric Turbulence. J. Am. Helicopter Soc. 2019, 64, 042011. [Google Scholar] [CrossRef]
- Lusardi, J.A.; Tischler, M.B.; Blanken, C.L.; Labows, S.J. Empirically Derived Helicopter Response Model and Control System Requirements for Flight in Turbulence. J. Am. Helicopter Soc. 2004, 49, 340–349. [Google Scholar] [CrossRef]
- Seher-Weiss, S.; Jones, M. Control Equivalent Turbulence Input Models for Rotorcraft in Hover and Forward Flight. J. Guid. Control Dyn. 2021, 44, 1517–1524. [Google Scholar] [CrossRef]
- Berger, T.; Lopez, M.J.S. Frequency Domain Identification of a Multi-Input Control Equivalent Turbulence Input Model. J. Guid. Control Dyn. 2022, 45, 15–27. [Google Scholar] [CrossRef]
- Anderson, D. Helicopter Vibration Induced by Highly Structured Turbulence. J. Am. Helicopter Soc. 2003, 48, 244–252. [Google Scholar] [CrossRef]
- Huecas, S.H.; White, M.D.; Barakos, G. A Turbulence Model for Flight Simulation and Handling Qualities Analysis based on a Synthetic Eddy Method. J. Am. Helicopter Soc. 2022. [Google Scholar] [CrossRef]
- Liu, X.; Abà, A.; Capone, P.; Manfriani, L.; Fu, Y. Atmospheric Disturbance Modelling for a Piloted Flight Simulation Study of Airplane Safety Envelope over Complex Terrain. Aerospace 2022, 9, 103. [Google Scholar] [CrossRef]
- Etkin, B. Flight in Turbulent Atmosphere. In Dynamics of Atmospheric Flight; John Wiley and Sons, Inc.: New York, NY, USA, 1972; pp. 529–563. [Google Scholar]
- Ascher, U.M.; Chen, G. A First Course in Numerical Methods; Society for Industrial and Applied Mathematics: Philadelphia, PA, USA, 2011; pp. 104–107. [Google Scholar]
- Anonymous. Characteristics of the Wind Speed in the Lower of the Atmosphere near the Ground: Strong Winds (Neutral Atmosphere); Technical Report ESDU 72026; Engineering Sciences Data Unit Ltd.: London, UK, 1972. [Google Scholar]
- Howlett, J.J. UH-60A Black Hawk Engineering Simulation Program; NASA CR-166309; National Aeronautics and Space Administration: Washington, DC, USA, 1981. [Google Scholar]
- Kim, F.D. Formulation and Validation of High-Order Mathematical Models of Helicopter Flight Dynamics. Ph.D. Dissertation, University of Maryland, College Park, MD, USA, 1991. [Google Scholar]
- Ji, H.; Chen, R.; Li, P. Rotor-State Feedback Control to Alleviate Pilot Workload for Helicopter Shipboard Operations. J. Guid. Control Dyn. 2017, 40, 3088–3099. [Google Scholar] [CrossRef]
- Hess, R.A.; Zeyada, Y.; Heffley, R.K. Modeling and Simulation for Helicopter Task Analysis. J. Am. Helicopter Soc. 2002, 47, 243–252. [Google Scholar] [CrossRef]
- Hess, R.A.; Marchesi, F. Analytical Assessment of Flight Simulator Fidelity Using Pilot Models. J. Guid. Control. Dyn. 2009, 32, 760–770. [Google Scholar] [CrossRef]
- Ji, H.; Chen, R.; Lu, L.; White, W.D. Advanced Pilot Modeling for Prediction of Rotorcraft Handling Qualities in Turbulent Wind. Aerosp. Sci. Technol. 2022, 123, 107501. [Google Scholar] [CrossRef]
- Lu, L.; Jump, M. Multiloop Pilot Model for Boundary-Triggered Pilot-Induced Oscillation Investigations. J. Guid. Control Dyn. 2014, 37, 1863–1879. [Google Scholar] [CrossRef]
- ADS-33E (PRF); Handling Qualities Requirements for Military Rotorcraft. U.S. Department of Defense: Washington, DC, USA, 2000.
- Bachelder, E.; Berger, T.; Godfroy-Cooper, M.; Aponso, M. Pilot Workload and Performance Assessment for a Coaxial-Compound Helicopter and Tiltrotor during Aggressive Approach. In Proceedings of the Vertical Flight Society’s 77th Annual Forum & Technology Display, Virtual, 10–14 May 2021. [Google Scholar]
- MIL-F-8785C; Flying Qualities of Piloted Airplanes. U.S. Department of Defense: Washington, DC, USA, 1980.
- Padfield, G.D.; Jones, J.P.; Charlton, M.T.; Howell, S.E.; Bradley, R. Where Does the Workload Go when Pilots Attack Manoeuvres? An Analysis of Results from Flying Qualities Theory and Experiment. In Proceedings of the 20th European Rotorcraft Forum, Amsterdam, The Netherlands, 4–7 October 1994. [Google Scholar]
- Perfect, P.; Gubbels, A.W.; White, M.D.; Padfield, G.D.; Gubbels, A.W. Rotorcraft Simulation Fidelity: New Methods for Quantification and Assessment. Aeronaut. J. 2013, 117, 235–282. [Google Scholar] [CrossRef]
- Memon, W.A.; White, M.D.; Padfield, G.D.; Cameron, N.; Lu, L. Helicopter Handling Qualities: A Study in Pilot Control Compensation. Aeronaut. J. 2022, 126, 152–186. [Google Scholar] [CrossRef]



















| No. | ||||
|---|---|---|---|---|
| 1 | 8 | 0.1 | 60 | |
| 2 | 15 | 0.1 | 60 | |
| 3 | 8 | 1.0 | 60 |
Publisher’s Note: MDPI stays neutral with regard to jurisdictional claims in published maps and institutional affiliations. |
© 2022 by the authors. Licensee MDPI, Basel, Switzerland. This article is an open access article distributed under the terms and conditions of the Creative Commons Attribution (CC BY) license (https://creativecommons.org/licenses/by/4.0/).
Share and Cite
Ji, H.; Lu, L.; Chen, R. Moving Spatial Turbulence Model for High-Fidelity Rotorcraft Maneuvering Simulation. Mathematics 2022, 10, 2093. https://doi.org/10.3390/math10122093
Ji H, Lu L, Chen R. Moving Spatial Turbulence Model for High-Fidelity Rotorcraft Maneuvering Simulation. Mathematics. 2022; 10(12):2093. https://doi.org/10.3390/math10122093
Chicago/Turabian StyleJi, Honglei, Linghai Lu, and Renliang Chen. 2022. "Moving Spatial Turbulence Model for High-Fidelity Rotorcraft Maneuvering Simulation" Mathematics 10, no. 12: 2093. https://doi.org/10.3390/math10122093
APA StyleJi, H., Lu, L., & Chen, R. (2022). Moving Spatial Turbulence Model for High-Fidelity Rotorcraft Maneuvering Simulation. Mathematics, 10(12), 2093. https://doi.org/10.3390/math10122093
