Reduced Calibration Strategy Using a Basketball for RGB-D Cameras
Abstract
:1. Introduction
- It requires a minimal amount of images.
- An ordinary object is used as a pattern (a basketball of known size).
- A sphere can be positioned in the scene easily as the geometry because it is equally seen from any angle.
- It allows non-ideal conditions in the scene as natural illumination and non-uniform textures.
2. Materials and Methods
2.1. Hardware and Software
2.2. Rgb-D Camera and Scene
2.3. Proposed Method
- Convert from integer data in depth image I to depth in meters Z requires multiplying each integer value in the depth image by the depth unit:
- Project from 2D coordinates to 3D world coordinates (Note undistortion has already been applied in phase one):
- 3D cloud point is represented as (X, Y, Z) coordinates.
2.4. Calibration Protocol
- At least ten valid chessboard color images are sampled to get intrinsics matrix and undistort RGB images;
- At least five good pairs of color and depth images are sampled to search for ellipses in the color layer with [46] and spheres in the depth layer with Algorithm 1;
- Intrinsic matrix, ellipse centers, and sphere centers feed the QuEst method [41] to get rotation and translation matrices.
| Algorithm 1 Fit sphere with a known size using RANSAC in a 3D cloudpoint. | 
| 
 
 | 
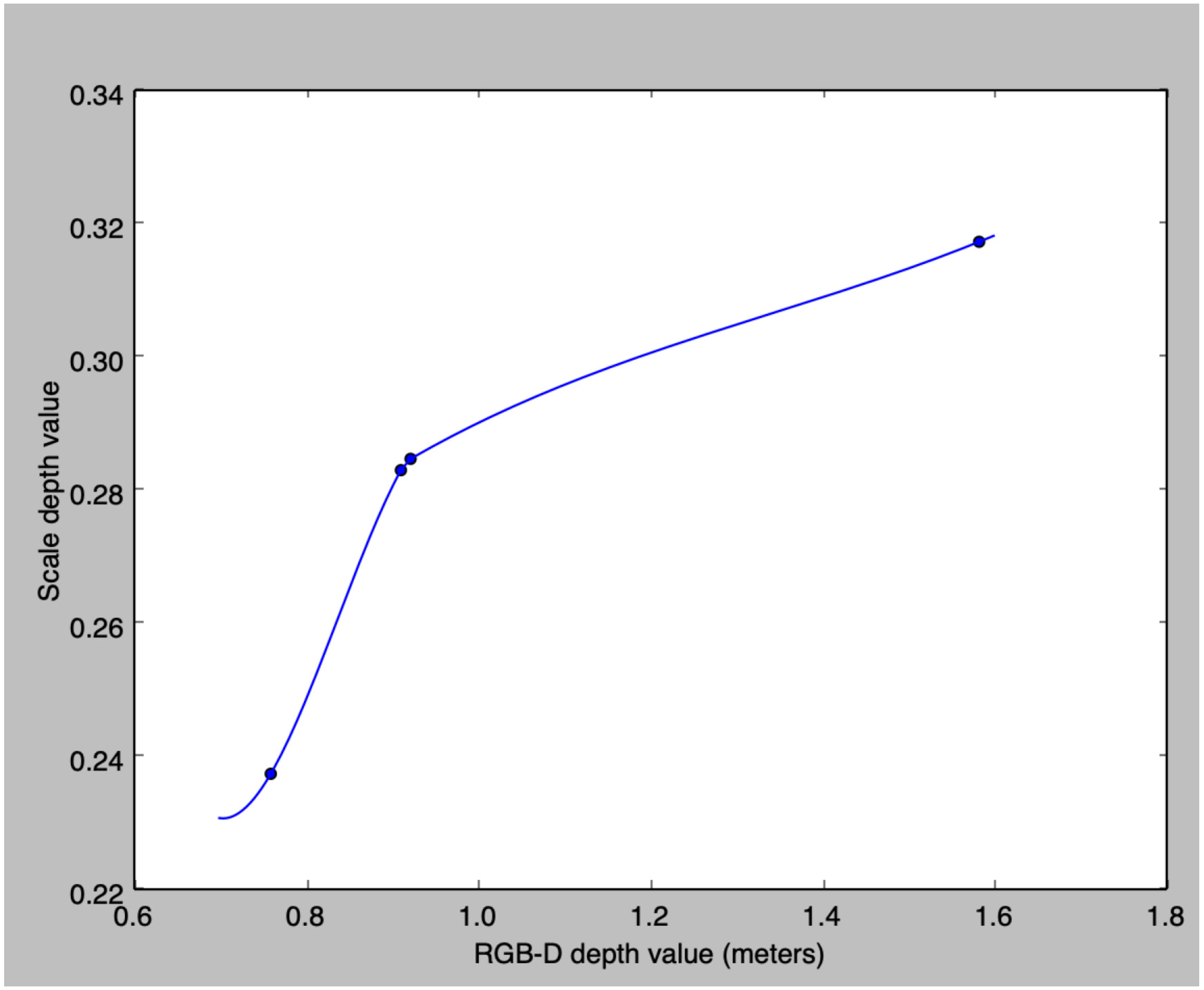
3. Results
4. Discussion
Author Contributions
Funding
Institutional Review Board Statement
Informed Consent Statement
Data Availability Statement
Acknowledgments
Conflicts of Interest
References
- Slavcheva, M.; Baust, M.; Cremers, D.; Ilic, S. Killingfusion: Non-rigid 3d reconstruction without correspondences. In Proceedings of the IEEE Conference on Computer Vision and Pattern Recognition, Honolulu, HI, USA, 21–26 July 2017; pp. 1386–1395. [Google Scholar]
- Huang, X.; Zhang, Y.; Xiong, Z. High-speed structured light based 3D scanning using an event camera. Opt. Express 2021, 29, 35864–35876. [Google Scholar] [CrossRef] [PubMed]
- Han, J.; Shao, L.; Xu, D.; Shotton, J. Enhanced computer vision with microsoft kinect sensor: A review. IEEE Trans. Cybern. 2013, 43, 1318–1334. [Google Scholar] [PubMed]
- Giancola, S.; Valenti, M.; Sala, R. A Survey on 3D Cameras: Metrological Comparison of Time-of-Flight, Structured-Light and Active Stereoscopy Technologies; Springer: Berlin/Heidelberg, Germany, 2018. [Google Scholar]
- Keselman, L.; Iselin Woodfill, J.; Grunnet-Jepsen, A.; Bhowmik, A. Intel realsense stereoscopic depth cameras. In Proceedings of the IEEE Conference on Computer Vision and Pattern Recognition Workshops, Honolulu, HI, USA, 21–26 July 2017; pp. 1–10. [Google Scholar]
- Silva Neto, J.; Lima Silva, P.; Figueredo, F.; Teixeira, J.; Teichrieb, V. Comparison of RGB-D sensors for 3D reconstruction. In Proceedings of the 2020 22nd Symposium On Virtual And Augmented Reality (SVR), Porto de Galinhas, Brazil, 7–10 November 2020; pp. 252–261. [Google Scholar]
- Zollhöfer, M. Commodity RGB-D sensors: Data acquisition. In RGB-D Image Analysis and Processing; Springer: Berlin/Heidelberg, Germany, 2019; pp. 3–13. [Google Scholar]
- Neupane, C.; Koirala, A.; Wang, Z.; Walsh, K.B. Evaluation of depth cameras for use in fruit localization and sizing: Finding a successor to kinect v2. Agronomy 2021, 11, 1780. [Google Scholar] [CrossRef]
- LeCompte, M.C.; Chung, S.A.; McKee, M.M.; Marshall, T.G.; Frizzell, B.; Parker, M.; Blackstock, A.W.; Farris, M.K. Simple and Rapid Creation of Customized 3-dimensional Printed Bolus Using iPhone X True Depth Camera. Pract. Radiat. Oncol. 2019, 9, e417–e421. [Google Scholar] [CrossRef] [PubMed]
- Tagarakis, A.C.; Kalaitzidis, D.; Filippou, E.; Benos, L.; Bochtis, D. 3D Scenery Construction of Agricultural Environments for Robotics Awareness. In Information and Communication Technologies for Agriculture—Theme III: Decision; Springer: Berlin/Heidelberg, Germany, 2022; pp. 125–142. [Google Scholar]
- Sui, W.; Wang, L.; Fan, B.; Xiao, H.; Wu, H.; Pan, C. Layer-wise floorplan extraction for automatic urban building reconstruction. IEEE Trans. Vis. Comput. Graph. 2015, 22, 1261–1277. [Google Scholar] [CrossRef] [PubMed]
- Klingensmith, M.; Dryanovski, I.; Srinivasa, S.S.; Xiao, J. Chisel: Real Time Large Scale 3D Reconstruction Onboard a Mobile Device using Spatially Hashed Signed Distance Fields. In Robotics: Science and Systems; Citeseer: Princeton, NJ, USA, 2015; Volume 4. [Google Scholar]
- Fu, Y.; Yan, Q.; Yang, L.; Liao, J.; Xiao, C. Texture mapping for 3d reconstruction with rgb-d sensor. In Proceedings of the IEEE Conference on Computer Vision and Pattern Recognition, Salt Lake City, UT, USA, 18–23 June 2018; pp. 4645–4653. [Google Scholar]
- Zollhöfer, M.; Stotko, P.; Görlitz, A.; Theobalt, C.; Nießner, M.; Klein, R.; Kolb, A. State of the art on 3D reconstruction with RGB-D cameras. In Computer Graphics Forum; Wiley Online Library: Hoboken, NJ, USA, 2018; Volume 37, pp. 625–652. [Google Scholar]
- Yuan, Z.; Li, Y.; Tang, S.; Li, M.; Guo, R.; Wang, W. A survey on indoor 3D modeling and applications via RGB-D devices. Front. Inf. Technol. Electron. Eng. 2021, 22, 815–826. [Google Scholar] [CrossRef]
- Li, J.; Gao, W.; Wu, Y.; Liu, Y.; Shen, Y. High-quality indoor scene 3D reconstruction with RGB-D cameras: A brief review. Comput. Vis. Media 2022, 8, 369–393. [Google Scholar] [CrossRef]
- Chidsin, W.; Gu, Y.; Goncharenko, I. AR-based navigation using RGB-D camera and hybrid map. Sustainability 2021, 13, 5585. [Google Scholar] [CrossRef]
- Song, Y.; Xu, F.; Yao, Q.; Liu, J.; Yang, S. Navigation algorithm based on semantic segmentation in wheat fields using an RGB-D camera. Inf. Processing Agric. 2022. [Google Scholar] [CrossRef]
- Antonopoulos, A.; Lagoudakis, M.G.; Partsinevelos, P. A ROS Multi-Tier UAV Localization Module Based on GNSS, Inertial and Visual-Depth Data. Drones 2022, 6, 135. [Google Scholar] [CrossRef]
- Wang, F.; Zhang, C.; Zhang, W.; Fang, C.; Xia, Y.; Liu, Y.; Dong, H. Object-Based Reliable Visual Navigation for Mobile Robot. Sensors 2022, 22, 2387. [Google Scholar] [CrossRef] [PubMed]
- Morell-Gimenez, V.; Saval-Calvo, M.; Azorin-Lopez, J.; Garcia-Rodriguez, J.; Cazorla, M.; Orts-Escolano, S.; Fuster-Guillo, A. A comparative study of registration methods for RGB-D video of static scenes. Sensors 2014, 14, 8547–8576. [Google Scholar] [CrossRef] [PubMed]
- Pan, Y.; Chen, C.; Li, D.; Zhao, Z.; Hong, J. Augmented reality-based robot teleoperation system using RGB-D imaging and attitude teaching device. Robot. Comput. Integr. Manuf. 2021, 71, 102167. [Google Scholar] [CrossRef]
- Tanzer, M.; Laverdière, C.; Barimani, B.; Hart, A. Augmented Reality in Arthroplasty: An Overview of Clinical Applications, Benefits, and Limitations. J. Am. Acad. Orthop. Surg. 2022, 30, e760–e768. [Google Scholar] [CrossRef]
- Yu, K.; Eck, U.; Pankratz, F.; Lazarovici, M.; Wilhelm, D.; Navab, N. Duplicated Reality for Co-located Augmented Reality Collaboration. IEEE Trans. Vis. Comput. Graph. 2022, 28, 2190–2200. [Google Scholar] [CrossRef]
- Oliveira, M.; Santos, V.; Sappa, A.D.; Dias, P.; Moreira, A.P. Incremental texture mapping for autonomous driving. Robot. Auton. Syst. 2016, 84, 113–128. [Google Scholar] [CrossRef]
- Yan, Y.; Mao, Y.; Li, B. Second: Sparsely embedded convolutional detection. Sensors 2018, 18, 3337. [Google Scholar] [CrossRef] [Green Version]
- Liu, Z.; Zhao, C.; Wu, X.; Chen, W. An effective 3D shape descriptor for object recognition with RGB-D sensors. Sensors 2017, 17, 451. [Google Scholar] [CrossRef] [Green Version]
- Na, M.H.; Cho, W.H.; Kim, S.K.; Na, I.S. Automatic Weight Prediction System for Korean Cattle Using Bayesian Ridge Algorithm on RGB-D Image. Electronics 2022, 11, 1663. [Google Scholar] [CrossRef]
- Tan, F.; Xia, Z.; Ma, Y.; Feng, X. 3D Sensor Based Pedestrian Detection by Integrating Improved HHA Encoding and Two-Branch Feature Fusion. Remote Sens. 2022, 14, 645. [Google Scholar] [CrossRef]
- Zheng, H.; Wang, W.; Wen, F.; Liu, P. A Complementary Fusion Strategy for RGB-D Face Recognition. In Proceedings of the International Conference on Multimedia Modeling, Phu Quoc, Vietnam, 6–10 June 2022; Springer: Berlin/Heidelberg, Germany, 2022; pp. 339–351. [Google Scholar]
- Zhang, C.; Zhang, Z. Calibration between depth and color sensors for commodity depth cameras. In Computer Vision and Machine Learning with RGB-D Sensors; Springer: Berlin/Heidelberg, Germany, 2014; pp. 47–64. [Google Scholar]
- Darwish, W.; Tang, S.; Li, W.; Chen, W. A new calibration method for commercial RGB-D sensors. Sensors 2017, 17, 1204. [Google Scholar] [CrossRef] [PubMed] [Green Version]
- Herrera, D.; Kannala, J.; Heikkilä, J. Joint depth and color camera calibration with distortion correction. IEEE Trans. Pattern Anal. Mach. Intell. 2012, 34, 2058–2064. [Google Scholar] [CrossRef] [PubMed]
- Basso, F.; Pretto, A.; Menegatti, E. Unsupervised intrinsic and extrinsic calibration of a camera-depth sensor couple. In Proceedings of the 2014 IEEE International Conference on Robotics and Automation (ICRA), Hong Kong, China, 31 May–7 June 2014; IEEE: Piscataway, NJ, USA, 2014; pp. 6244–6249. [Google Scholar]
- Staranowicz, A.; Brown, G.R.; Morbidi, F.; Mariottini, G.L. Easy-to-Use and Accurate Calibration of RGB-D Cameras from Spheres; Springer: Berlin/Heidelberg, Germany, 2014. [Google Scholar]
- Staranowicz, A.N.; Brown, G.R.; Morbidi, F.; Mariottini, G.L. Practical and accurate calibration of RGB-D cameras using spheres. Comput. Vis. Image Underst. 2015, 137, 102–114. [Google Scholar] [CrossRef]
- Liu, H.; Li, H.; Liu, X.; Luo, J.; Xie, S.; Sun, Y. A novel method for extrinsic calibration of multiple RGB-D cameras using descriptor-based patterns. Sensors 2019, 19, 349. [Google Scholar] [CrossRef] [Green Version]
- Chen, C.; Yang, B.; Song, S.; Tian, M.; Li, J.; Dai, W.; Fang, L. Calibrate multiple consumer RGB-D cameras for low-cost and efficient 3D indoor mapping. Remote Sens. 2018, 10, 328. [Google Scholar] [CrossRef] [Green Version]
- Zhong, J.; Li, M.; Liao, X.; Qin, J. A real-time infrared stereo matching algorithm for RGB-D cameras’ indoor 3D perception. ISPRS Int. J. Geo-Inf. 2020, 9, 472. [Google Scholar] [CrossRef]
- Zhou, Y.; Chen, D.; Wu, J.; Huang, M.; Weng, Y. Calibration of RGB-D Camera Using Depth Correction Model. In Journal of Physics: Conference Series; IOP Publishing: Bristol, UK, 2022; Volume 2203, p. 012032. [Google Scholar]
- Fathian, K.; Ramirez-Paredes, J.P.; Doucette, E.A.; Curtis, J.W.; Gans, N.R. Quest: A quaternion-based approach for camera motion estimation from minimal feature points. IEEE Robot. Autom. Lett. 2018, 3, 857–864. [Google Scholar] [CrossRef] [Green Version]
- Staranowicz, A.N.A.; astaranowicz/DCCT: Depth-Camera Calibration Toolbox (RGB-D Calibration ToolBox). GitHub. Available online: https://github.com/astaranowicz/DCCT (accessed on 15 June 2022).
- Zhang, Z. A flexible new technique for camera calibration. IEEE Trans. Pattern Anal. Mach. Intell. 2000, 22, 1330–1334. [Google Scholar] [CrossRef] [Green Version]
- Enazoe. Enazoe/Camera Calibration cpp: C Detail Implementation of Camera Calibration. Available online: https://github.com/enazoe/camera_calibration_cpp (accessed on 4 January 2022).
- Burger, W. Zhang’s Camera Calibration Algorithm: In-Depth Tutorial and Implementation (Technical report HGB16-05). Available online: https://www.researchgate.net/publication/303233579_Zhang’s_Camera_Calibration_Algorithm_In-Depth_Tutorial_and_Implementation (accessed on 4 January 2022).
- Lu, C.; Xia, S.; Shao, M.; Fu, Y. Arc-support line segments revisited: An efficient high-quality ellipse detection. IEEE Trans. Image Process. 2019, 29, 768–781. [Google Scholar] [CrossRef]
- Drap, P.; Lefèvre, J. An exact formula for calculating inverse radial lens distortions. Sensors 2016, 16, 807. [Google Scholar] [CrossRef] [Green Version]
- Tsai, R. A versatile camera calibration technique for high-accuracy 3D machine vision metrology using off-the-shelf TV cameras and lenses. IEEE J. Robot. Autom. 1987, 3, 323–344. [Google Scholar] [CrossRef] [Green Version]
- Rosin, P. RGB-D Image Analysis and Processing; Springer: Cham, Switzerland, 2019. [Google Scholar]
- Basso, F.; Menegatti, E.; Pretto, A. Robust intrinsic and extrinsic calibration of RGB-D cameras. IEEE Trans. Robot. 2018, 34, 1315–1332. [Google Scholar] [CrossRef] [Green Version]
- Kaveh Fathian—QuEst 5-Point. Available online: https://sites.google.com/view/kavehfathian/code/quest-5-point (accessed on 4 January 2022).











| Feature | Description | 
|---|---|
| System interface type | USB C type C | 
| Dimensions | 90 mm × 25 mm × 25 mm | 
| Depth resolution | 1280 × 720 | 
| Visual Range (min–max) | ∼0.11 m–10 m | 
| Parameter | Fx | Fy | Cx | Cy | Skew | 
|---|---|---|---|---|---|
| Factory RGB | 421.46 | 421.46 | 461.683 | 236.524 | 0.0 | 
| Zhang et al. | 556.28364 | 555.65570 | 325.71797 | 253.41162 | 0.0 | 
| Staranowicz et al. | 549.1128 | 550.8689 | 322.2678 | 248.1722 | −2.126733 | 
| Parameter | X | Y | Z | W | 
|---|---|---|---|---|
| Factory | 0.0005242 | 0.0002236 | 0.0044973 | −0.9999897 | 
| Fathian et al. | 0.4188 | 0.6221 | 0.5903 | −0.2985 | 
| Staranowicz et al. | −0.0089974 | −0.0025626 | −0.0029216 | 0.999952 | 
| Parameter | X | Y | Z | 
|---|---|---|---|
| Factory | 0.0146951 | −0.000142742 | 0.000202387 | 
| Fathian et al. | −0.0811 | 0.2968 | 0.4095 | 
| Staranowicz et al. | 0.013768 | −0.0098439 | 0.011041 | 
| Publisher’s Note: MDPI stays neutral with regard to jurisdictional claims in published maps and institutional affiliations. | 
© 2022 by the authors. Licensee MDPI, Basel, Switzerland. This article is an open access article distributed under the terms and conditions of the Creative Commons Attribution (CC BY) license (https://creativecommons.org/licenses/by/4.0/).
Share and Cite
Roman-Rivera, L.-R.; Sotelo-Rodríguez, I.; Pedraza-Ortega, J.C.; Aceves-Fernandez, M.A.; Ramos-Arreguín, J.M.; Gorrostieta-Hurtado, E. Reduced Calibration Strategy Using a Basketball for RGB-D Cameras. Mathematics 2022, 10, 2085. https://doi.org/10.3390/math10122085
Roman-Rivera L-R, Sotelo-Rodríguez I, Pedraza-Ortega JC, Aceves-Fernandez MA, Ramos-Arreguín JM, Gorrostieta-Hurtado E. Reduced Calibration Strategy Using a Basketball for RGB-D Cameras. Mathematics. 2022; 10(12):2085. https://doi.org/10.3390/math10122085
Chicago/Turabian StyleRoman-Rivera, Luis-Rogelio, Israel Sotelo-Rodríguez, Jesus Carlos Pedraza-Ortega, Marco Antonio Aceves-Fernandez, Juan Manuel Ramos-Arreguín, and Efrén Gorrostieta-Hurtado. 2022. "Reduced Calibration Strategy Using a Basketball for RGB-D Cameras" Mathematics 10, no. 12: 2085. https://doi.org/10.3390/math10122085
APA StyleRoman-Rivera, L.-R., Sotelo-Rodríguez, I., Pedraza-Ortega, J. C., Aceves-Fernandez, M. A., Ramos-Arreguín, J. M., & Gorrostieta-Hurtado, E. (2022). Reduced Calibration Strategy Using a Basketball for RGB-D Cameras. Mathematics, 10(12), 2085. https://doi.org/10.3390/math10122085
 
         
                                                

 
       