Next Article in Journal
Asymptotic Normality in Linear Regression with Approximately Sparse Structure
Previous Article in Journal
Multimode Representation of the Magnetic Field for the Analysis of the Nonlinear Behavior of Solar Activity as a Driver of Space Weather
 
 
Font Type:
Arial Georgia Verdana
Font Size:
Aa Aa Aa
Line Spacing:
Column Width:
Background:
Article

Unsteady Magnetohydrodynamics (MHD) Flow of Hybrid Ferrofluid Due to a Rotating Disk

by
Iskandar Waini
1,
Najiyah Safwa Khashi’ie
1,*,
Abdul Rahman Mohd Kasim
2,
Nurul Amira Zainal
1,
Khairum Bin Hamzah
1,
Norihan Md Arifin
3,4 and
Ioan Pop
5
1
Fakulti Teknologi Kejuruteraan Mekanikal dan Pembuatan, Universiti Teknikal Malaysia Melaka, Hang Tuah Jaya, Durian Tunggal 76100, Melaka, Malaysia
2
Centre for Mathematical Sciences, College of Computing and Applied Sciences, Universiti Malaysia Pahang, Lebuhraya Tun Razak, Gambang 26300, Pahang, Malaysia
3
Institute for Mathematical Research, Universiti Putra Malaysia, Serdang 43400, Selangor, Malaysia
4
Department of Mathematics, Faculty of Science, Universiti Putra Malaysia, Serdang 43400, Selangor, Malaysia
5
Department of Mathematics, Babeş-Bolyai University, 400084 Cluj-Napoca, Romania
*
Author to whom correspondence should be addressed.
Mathematics 2022, 10(10), 1658; https://doi.org/10.3390/math10101658
Submission received: 31 March 2022 / Revised: 28 April 2022 / Accepted: 2 May 2022 / Published: 12 May 2022

Abstract

The flow of fluids over the boundaries of a rotating disc has many practical uses, including boundary-layer control and separation. Therefore, the aim of this study is to discuss the impact of unsteady magnetohydrodynamics (MHD) hybrid ferrofluid flow over a stretching/shrinking rotating disk. The time-dependent mathematical model is transformed into a set of ordinary differential equations (ODE’s) by using similarity variables. The bvp4c method in the MATLAB platform is utilised in order to solve the present model. Since the occurrence of more than one solution is presentable, an analysis of solution stabilities is conducted. Both solutions were surprisingly found to be stable. Meanwhile, the skin friction coefficient, heat transfer rate—in cooperation with velocity—and temperature profile distributions are examined for the progressing parameters. The findings reveal that the unsteadiness parameter causes the boundary layer thickness of the velocity and temperature distribution profile to decrease. A higher value of magnetic and mass flux parameter lowers the skin friction coefficient. In contrast, the addition of the unsteadiness parameter yields a supportive effect on the heat transfer rate. An increment of the magnetic parameter up to 30% reduces the skin friction coefficient by 15.98% and enhances the heat transfer rate approximately up to 1.88%, significantly. In contrast, the heat transfer is rapidly enhanced by improving the mass flux parameter by almost 20%.

1. Introduction

Convective transport has had a noteworthy impact io many real applications such as energy-producing plants, energy distribution systems, and environmental problems [1]. The convective transport can be induced by diffusion and advection where the diffusion refers to the random Brownian motion, whereas the advection refers to the transportation of heat by a larger-scale motion. Due to the substance of its theory and concepts, the ideas of convective transport have been extended to many fluid models that cover Newtonian and non-Newtonian fluid types. Additionally, the model of Eyring Powell fluid has been investigated by Al Jabali et al. [2] and Khalil et al. [3], whereas the Jeffrey model was considered by Shehzad et al. [4] and Kasim et al. [5]. Other interesting models such as viscoelastic can be found in Kasim et al. [6]. Additional previously studied models include the viscous model [7], Casson model [8], and micropolar model [9]. The development of the fluid flow modelling is continued with the discovery of the upgraded thermal fluid. In the late 20th century, nanofluids were introduced in an effort to host the concept of the diffusion of nanoscale particles into fluids. The presence of nanofluids has been shown to increase the capacity for thermal conductivity. A pioneering study on nanofluids was conducted by Choi and Eastman [10]. Since then, this field of research has continued to receive high attention from researchers both experimentally and theoretically. This situation can be seen from the increase in publications every year where the contribution is based on the analysis of the fluid characteristics induced by the different geometries such as rectangular enclosure [11,12,13], stretching/shrinking sheet [14,15,16,17], thin needle [18,19], rotating disk [20], asymmetric wavy channel [21], vertical plate [22], and moving inclined [23]. These investigations also involve several significant effects including chemical reactions, magnetic fields, viscous dissipation circumstance, Dufour and Soret consequence, activation energy, and Joule heating. Simulations investigating the convective transport and heat transfer in cryogenic fuel tanks have been documented in refs. [24,25] where the improved algorithms determining the output were proposed. The analysis of heat transfer characteristics in a thermal energy storage system using single and multi-phase cooled heat sinks is presented in Alireza [26] where the evolution of the experimental, numerical, and computational efforts on energy storage was presented in detail.
The hybrid nanofluid offers a higher heat transfer rate in comparison to conventional nanofluid. This fluid is widely used in several applications and mainly can be found in heat exchangers activities, vehicle brake systems, solar industries, and also in refrigerator production [27]. The earlier studies which applied the hybrid nanoparticles in their investigations were Turcu et al. [28] and Jana et al. [29]. The composition of Cu-Al2O3/water was successfully studied by Suresh et al. [30] in discovering fluid with good thermal conductivity. The input stated, that despite having low thermal conductivity, Al2O3 offers a good chemical motionlessness in alumina which compromises a stable composition. A further study on combining Al2O3 with supplementary nanoparticles was established by Singh and Sarkar [31], Farhana et al. [32], and Takabi and Salehi [33]. Some other interesting publications on the development of the theoretical study of hybrid nanofluid can be viewed in refs. [34,35,36,37,38,39,40,41,42] where the investigations were performed using different particles, approaches, and various surfaces. Furthermore, some other publications reviewing the progress of hybrid nanofluids are documented in refs. [43,44,45,46].
Taking advantage of the progress of nanotechnology, scientists first created ferrofluid to counter the problem of logistics of bringing rocket fuel. The idea of this innovation is based on how to direct the fluid in space, and it is supported by the concept of the magnetic fluid can be well-ordered by a magnetic field. Then, the liquid fuel is mixed with the ferrofluid in the system together with the external magnetic field. The liquid with particles of Fe3O4 in nanometres size that happened in conventional base fluids is referred to as ferro-nanofluids or sometimes it is just called ferrofluid. Similar to nanofluids, ferrofluid also has high thermal conductivities and a great heat transfer rate, which is very important in device production. In fact, this technological fluid can be found in the production of hard drives where it is used to seal the interior of devices in order to avoid dust or external source damage to the delicate plate.
Due to the importance and many applications, interest in investigating ferrofluid came into demand for both experimental and simulated procedures. Khan et al. [47] provided a solution for heat transfer analysis of ferrofluid in the presence of viscous dissipation and concluded that kerosene-based ferrofluids developed high skin friction and Nusselt numbers compared to water-based ferrofluids. The investigation of ferrofluid, later on, was extended by other researchers by considering different surfaces. For instance, Qasim et al. [48] consider the stretching cylinder as the surface where the fluid is moving while Mehrez and Cafsi [49] proposed the flow in a rectangular channel. Further research on the topic of ferrofluid has been proposed by Sekar and Raju [50] and Hamid et al. [51] where the ferrofluid is considered together with dust particles and was studied as a two-phase flow. Goshayeshi et al. [52] considered the effect of particle size and types in their investigation while Rashad [53] investigated the anisotropic impact on the flow field. In the same year, the same author documented the analysis of ferrofluid under thermal radiation and MHD circumstances [54]. The demand for investigating ferrofluid led to the development of new ideas and this progress is detailed out in refs. [55,56,57,58,59,60,61].
The interest in innovating the effective fluid has led to the discovery of hybrid ferrofluids where the investigations have involved multiple nanoparticles scattered in ferrofluid. Chu et al. [62] provided a solution for hybrid ferrofluids along with multi-wall carbon nanotubes (MWCNT) in a cavity for natural convection by applying a finite element scheme. It is revealed that the hybridization of ferrite nanoparticles uplifts in a physical thermos to see the studied flow. In the same year, Kumar et al. [63] proposed an investigation under the topic of MHD hybrid ferrofluid together with the effect of irregular heat source/sink towards the flow of the radiative thin film. The output declared from the hybrid ferrofluid intensifies the heat transfer rate in comparison with the conventional ferrofluid. A very recent study on this topic was presented by Anuar et al. [64] where their study of hybrid ferrofluid (CoFe2O4–Fe3O4/water) was focused on exponentially deformable sheets in stagnation point region. Apart from these mentioned studies, other interesting reports on hybrid ferrofluids can be found in refs. [65,66,67]. One real application that can be highlighted from the uses of hybrid ferrofluids is that it can be used as seeds for acid mine drainage (AMD) treatment. The use of a hybrid ferrofluid will provide a sustainable remedy for wastewater treatment, especially for AMD since the presence of AMD will cause severe destruction to the environment and predominantly disturb human life, aquatic organisms, animals, and also plants. The special properties of hybrid ferrofluids are unique magnetized characteristics with additional low toxicity and strong capacity for contaminant removal, which have led to enhancing the chemical reactivities [68].
As mentioned previously, the study on fluid flow normally deviates from its geometries. The pioneering study on infinite rotating disk was performed by Von Kármán [69] where the flow is taken as a viscous flow in which the disk rotates through uniform angular velocity. The Navier–Stokes equations representing the mathematical model are reduced to ordinary differential equations by adopting the similarity variables. The ideas from Von Kármán’s work have been extended by Fang [70] where the investigation was focused on the flow over the stretchable rotating disk and later Fang and Zhang [71] extend to two infinite stretchable disks. Turkyilmazoglu [72] considered the presence of a magnetic field together with viscous dissipation and joule heating in the investigation after considering the unsteady flow over a rotating disk with outer radial flow [73]. The unsteady flow over a decelerating rotating sphere was then established by Turkyilmazoglu [74]. Another analysis of flow over a rotating disk was documented in refs. [75,76,77,78]. The study of flow over a rotating disk is still in demand due to its available applications in industries and engineering activities such as the viscometers instrument, turbines industries, rotating disk electrodes, mechanical devices, and Brake rotors [79,80].
Motivated by the studies available in the literature and fulfilling the gap in the study of hybrid ferrofluids, this study discusses the investigation on the unsteady flow of hybrid ferrofluid flow over a rotating disk. It is worth mentioning that the non-unique solutions are available but are restricted to pertinent parameters and the stability analysis affirms the physical solution.

2. Mathematical Formulation

Consider the unsteady flow of hybrid ferrofluids with different base fluids (Fe3O4-CoFe2O4/H2O-EG and Fe3O4-CoFe2O4/H2O) induced by a rotating disk as illustrated in Figure 1 with the imposition of suction/injection effect. The disk rotates with the velocity, v = v w while being stretched/shrunk with velocity, u = u w . Moreover, it is considered that the suction/injection effect is embedded with the mass flux velocity, w = w w . The constant surface and ambient temperatures are symbolized as T w and T , respectively. A further assumption is that the magnetic field is applied normally to the disk such that B * = B 0 / 1 c t with constant magnetic strength B 0 (see Appendix A for the derivation of magnetic field).
Thus, the governing equations in cylindrical coordinates ( r , ϑ , 0 ) are [77,80,81]:
  r ( r u ) +   z ( r w ) = 0 ,
  u t + u u r + w u r v 2 r = 1 ρ h n f p r + μ h n f ρ h n f ( 2 u r 2 + 1 r u r + 2 u z 2 u r 2 ) σ h n f ρ h n f B 2 u ,
  v t + u v r + w v z + u v r = μ h n f ρ h n f ( 2 v r 2 + 1 r v r + 2   v z 2 v r 2   ) σ h n f ρ h n f B 2 v ,
w t + u w r + w w z = 1 ρ h n f p z + μ h n f ρ h n f ( 2 w r 2 + 1 r w r + 2 w z 2 ) ,
T t + u T r + w T z = k h n f ( ρ C p ) h n f ( 2 T r 2 + 1 r T r + 2   T z 2 ) ,
subject to:
u = λ u w ,         v = v w ,         w = w w ,         T = T w         at       z = 0
u 0 ,         v 0 ,         w 0 ,         T T           as             z
where ( u , v , w ) are the velocities for ( r , ϑ , 0 ) directions while T is the temperature. It is further assumed that u w = Ω r / ( 1 c t ) ,   v w = Ω r / ( 1 c t ) where t and Ω are the respective time and angular velocity (constant), accordingly. Furthermore, c represents the unsteadiness strength (constant) while w w = w 0 / 1 c t is the mass velocity with constant w 0 . Moreover, λ = 0 represents a static disk while λ > 0 , λ < 0 stand for the stretching/shrinking disk, respectively.
The thermophysical properties of the base fluids (water and water–ethylene glycol), magnetite, and cobalt ferrite nanoparticles are described in Table 1 [66]. Meanwhile, the correlations for hybrid nanofluid are shown in Table 2 [33].
Now, consider the following similarity transformations [77,80,81]:
u = Ω r 1 c t f ( η ) , v = Ω r   1 c t g ( η ) , w = 2 Ω ν f   1 c t f ( η ) , θ ( η ) = T T T w T , η = Ω ν f z 1 c t .
Equation (1) is fully satisfied by considering the similarity variables in Equation (8). Furthermore, the reduced Equations (2)–(5) are:
μ h n f / μ f ρ h n f / ρ f f + 2 f f f 2 + g 2 S ( f + 1 2 η f ) σ h n f / σ f ρ h n f / ρ f M f = 0 ,
μ h n f / μ f ρ h n f / ρ f g + 2 f g 2 f g S ( g + 1 2 η g ) σ h n f / σ f ρ h n f / ρ f M g = 0 ,
1 Pr k h n f / k f ( ρ C p ) h n f / ( ρ C p ) f θ + 2 f θ 1 2 S η θ = 0 ,
subject to:
f ( 0 ) = B 2 ,         f ( 0 ) = λ ,         g ( 0 ) = 1 ,         θ ( 0 ) = 1 ,
f ( η ) 0 ,         g ( η ) 0 ,         θ ( η ) 0 ,           as       η
The parameters relevant to this problem are the unsteadiness parameter S = c / Ω , Prandtl number Pr = ( μ C p ) f / k f , suction/injection parameter B = w 0 / Ω ν f , and magnetic parameter M = B 0 2 σ f / ρ f Ω . Meanwhile, the skin friction coefficients are C f (radial direction) and C g (azimuthal direction), and the local Nusselt number for evaluating heat transfer performance is N u r (see Waini et al. [81]):
C f = μ h n f ρ f u w 2 ( u z ) z = 0 , C g = μ h n f ρ f v w 2 ( v z ) z = 0 , N u r = r k h n f k f ( T w T ) ( T z ) z = 0
Using Equations (8) and (13), one obtains (see Waini et al. [81]):
Re r 1 / 2 C f = μ h n f μ f f ( 0 ) ,   Re r 1 / 2 C g = μ h n f μ f g ( 0 ) ,   Re r 1 / 2 N u r = k h n f k f θ ( 0 ) ,
where Re r = u w r / ν f is the local Reynolds number.

3. Stability Analysis

The dual solutions are examined to test their stability by employing stability analysis [82,83]. Firstly, consider the following variables:
u = Ω r 1 c t f η ( η , τ ) , v = Ω r   1 c t g ( η , τ ) , w = 2 Ω ν f   1 c t f ( η , τ ) , θ ( η , τ ) = T T T w T , η = Ω ν f z 1 c t , τ = Ω r   1 c t t
where τ is the time variable. Substituting Equation (16) into Equations (2)–(5),
μ h n f / μ f ρ h n f / ρ f 3 f η 3 + 2 f 2 f η 2 ( f η ) 2 + g 2 S ( f η + 1 2 η 2 f η 2 ) ( 1 + S τ ) 2 f η η σ h n f / σ f ρ h n f / ρ f M f η = 0 ,
μ h n f / μ f ρ h n f / ρ f 2 g η 2 + 2 f g η 2 f η g S ( g + 1 2 η g η ) ( 1 + S τ ) 2 g η η σ h n f / σ f ρ h n f / ρ f M g = 0 ,
1 Pr k h n f / k f ( ρ C p ) h n f / ( ρ C p ) f 2 θ η 2 + 2 f θ η 1 2 S η θ η ( 1 + S τ ) θ τ = 0 ,
subject to:
f ( 0 , τ ) = B 2 ,         f η ( 0 , τ ) = λ ,         g ( 0 , τ ) = 1 ,         θ ( 0 , τ ) = 1 ,        
f η ( η , τ ) 0 ,         g ( η , τ ) 0 ,         θ ( η , τ ) 0         as       η
The perturbation function as suggested by early reference is [83]:
f ( η , τ ) = f 0 ( η ) + e α τ F ( η , τ ) , g ( η , τ ) = g 0 ( η ) + e α τ G ( η , τ ) , θ ( η , τ ) = θ 0 ( η ) + e α τ H ( η , τ )
where F ( η , τ ) , G ( η , τ ) , and H ( η , τ ) are arbitrary functions and relatively smaller than f 0 ( η ) , g 0 ( η ) , and θ 0 ( η ) , while α is the corresponding eigenvalue. Equation (22) is applied into Equations (17)–(21) and by setting τ = 0 , F ( η , τ ) = F 0 ( η ) , G ( η , τ ) = G 0 ( η ) , and H ( η , τ ) = H 0 ( η ) , the linearized equations are
μ h n f / μ f ρ h n f / ρ f F 0 + 2 ( f 0 F 0 + f 0   F 0 ) 2 f 0 F 0 + 2 g 0 G 0 S ( F 0 + 1 2 η F 0 ) + α F 0 σ h n f / σ f ρ h n f / ρ f M F 0 = 0 ,
μ h n f / μ f ρ h n f / ρ f G 0 + 2 ( f 0 G 0 + g 0 F 0 ) 2 ( f 0 G 0 + g 0 F 0 ) S ( G 0 + 1 2 η G 0 ) + α G 0 σ h n f / σ f ρ h n f / ρ f M G 0 = 0 ,
1 Pr k h n f / k f ( ρ C p ) h n f / ( ρ C p ) f H 0 + 2 ( f 0 H 0 + θ 0 F 0 ) 1 2 S η H + α H 0 = 0
subject to:
F 0 ( 0 ) = 0 ,       F 0 ( 0 ) = 0 ,       G 0 ( 0 ) = 0 ,       H 0 ( 0 ) = 0 ,
F 0 ( η ) 0 ,       G 0 ( η ) 0 ,       H 0 ( η ) 0       as       η .
The set of eigenvalues α are obtained from Equations (23)–(25) if F 0 ( η ) 0       as       η in Equation (27) is replaced by F ( 0 ) = 1 [84].

4. Results and Discussion

Discussions of the obtained results are provided in this section. The bvp4c solver was used for the computation. This solver occupies a finite difference method that employs the three-stage Lobatto IIIa formula, see Shampine et al. [85,86]. The present results were validated by conducting a comparison with previously published data. In this respect, Table 3 provides the validation of test values when φ h n f = B = M = 0 with different values of S , and an excellent agreement can be observed from the comparison. Therefore, the present results are acceptable and accurate.
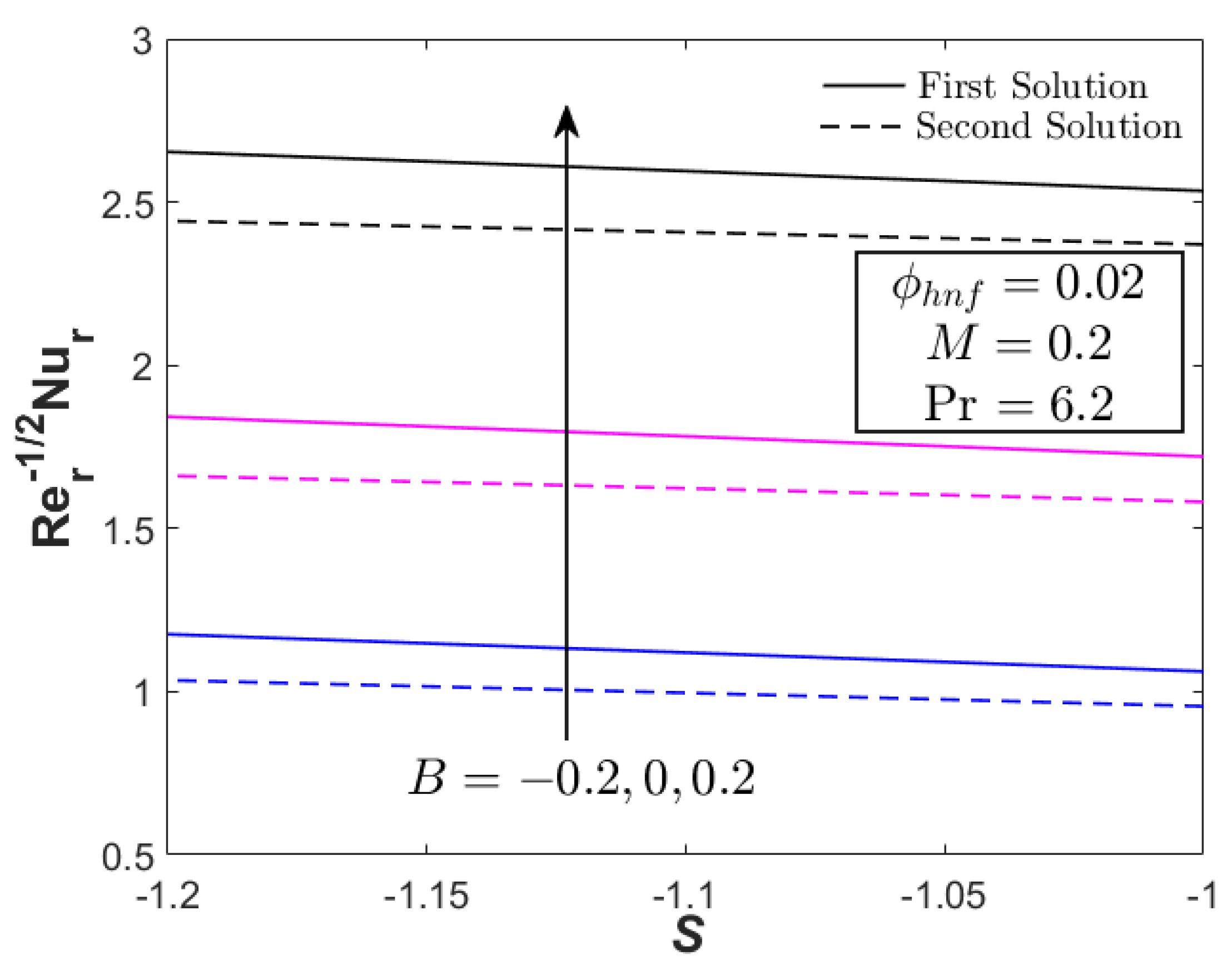
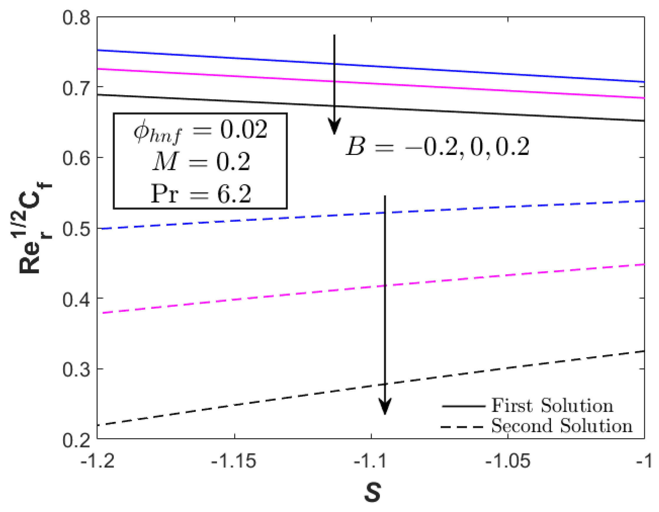
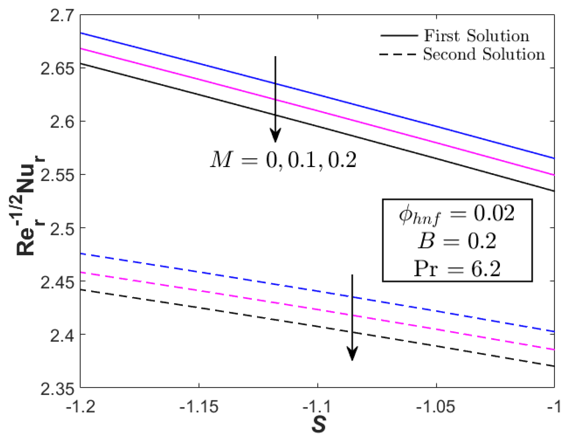
Furthermore, the total composition of Al2O3 and Cu concentrations in this study are considered as 1 % of Fe3O4  ( φ 1 = 1 % ) and 1 % of CoFe2O4  ( φ 2 = 1 % ) . The Prandtl number subject to the water base fluid is Pr = 6.2 and Pr = 30 for water–ethylene glycol. The dual solution’s availability is possible, as displayed in Figure 2, Figure 3, Figure 4, Figure 5, Figure 6, Figure 7, Figure 8, Figure 9, Figure 10, Figure 11, Figure 12 and Figure 13 when the parameters are used within the allocated interval; unsteadiness decelerating parameter 1.2 S 1 , magnetic parameter 0 M 0.2 , suction/injection parameter 0.2 B 0.2 while other parameters are fixed such that ϕ 1 , ϕ 2 = 1 %   ( ϕ h n f = 2 % ) and λ = 0 .
The new numerical results obtained from this present study are presented in Table 4 and Table 5. Here, the values of the physical quantities such as Re r 1 / 2 C f , Re r 1 / 2 C g , and Re r 1 / 2 N u r are obtained for varied values of M with different base fluids (H2O-EG and H2O). For the first solution, the results show a decrement in these physical quantities as M increases. Quantitatively, a 15.98% decrement is observed for the values of Re r 1 / 2 C f when M increases up to 30% ( M = 0.3 ) . Meanwhile, the reduction in Re r 1 / 2 C g is prominent with a 61.66% decrement and the values of Re r 1 / 2 N u r decrease with 1.88%. However, a significant increment is observed for Re r 1 / 2 N u r when H2O-EG is considered with 107.60% compared to H2O as the base fluid. Furthermore, the numerical results provided could be important to other researchers for future reference. Interestingly, multiple solutions are obtained under certain circumstances. To determine a realistic or stable solution, Table 6 shows the smallest eigenvalues α that were obtained from the eigenvalue problems (see Section 3). Surprisingly, both solutions give positive values ( α > 0 ) that reveal the stability of both solutions and the possibility of another solution with a negative eigenvalue [81].
The effects of magnetic M and unsteadiness S parameters on the physical quantities ( Re r 1 / 2 C f , Re r 1 / 2 C g , and Re r 1 / 2 N u r ) are elucidated in Figure 2, Figure 3 and Figure 4. The declining behaviour is noticed when a larger M value is considered. However, the opposite trend is shown for stronger deceleration strength ( S < 0 ) . Physically, the Lorentz force is created when the magnetic field is imposed on the boundary layer, and it is intensified for stronger magnetic field strength. This force possesses the flow and increases the shear stress on the surface, and consequently increases the thermal rate. It should be noted that the outcomes of this study are contradicted by its physical phenomenon due to the interaction between the magnetic field and the unsteadiness of the flow. This observation is supported by a previous study, see Waini et al. [81], which stated that the unsteadiness condition creates an obstacle to the flow and thermal behaviour of the fluid.
Figure 5, Figure 6 and Figure 7 displayed the values of Re r 1 / 2 C f , Re r 1 / 2 C g , and Re r 1 / 2 N u r for different values of B (mass flux parameter). The quantities of Re r 1 / 2 C f , and Re r 1 / 2 C g are lower for B = 0.2 (suction case). Physically, the wall suction causes a higher drag force and torque on the revolving disk and thus raising the shear stress. However, the opposite observation was seen in this study (see Figure 5 and Figure 6). This is due to the simultaneous effect of the physical parameter on the flow. However, the behaviour is contradicted for Re r 1 / 2 N u r where B = 0.2 (suction case) gives higher values of Re r 1 / 2 N u r .
Figure 8, Figure 9 and Figure 10 are provided in order to investigate the impact of the different base fluids (H2O and H2O-EG) on the flow and thermal behaviour. Here, H2O-EG contributes to enhancing the values of Re r 1 / 2 C g , and Re r 1 / 2 N u r . Meanwhile, the values of Re r 1 / 2 C f decline. This observation can be explained from the values of their Prandtl number, Pr. Note that H2O-EG has larger Pr, i.e., Pr = 30 if compared to H2O ( Pr = 6.2 ) . Larger Pr means the convection process for the flow is dominant. As a result, fluid momentum, rather than fluid conduction, is the best way to transmit heat. Additionally, the velocity and the temperature profiles of Fe3O4-CoFe2O4/H2O-EG for several S are given in Figure 11, Figure 12 and Figure 13. The thickness of the respective boundary layers is lessened as S becomes smaller. This implies that the gradient of these profiles near the wall is increased for stronger deceleration strength ( S < 0 ) and gives higher values of the shear stress and heat transfer on the wall, as reported in Figure 4, Figure 5 and Figure 6.

5. Conclusions

In this numerical study, various effects of the controlling parameters in the unsteady MHD hybrid ferrofluid flow and heat transfer over a rotating stretching/shrinking disk are discussed. The physical properties of the fluid are affected by different values of the magnetic parameter, unsteadiness parameter, and the mass flux parameter which generate an impact on the skin friction coefficient, heat transfer rate, velocity profile, and temperature field. It is perceived that velocity profile and temperature field distributions decrease when increasing the unsteadiness parameter. On the other hand, it is found that a highly oscillating magnetic field forces the particles to rotate slower than the ferrofluid; therefore, resulting in an increment of viscosity. Consequently, a deterioration in the flow speed is observed as the value of the magnetic parameter increases up to 30%, thus decreasing the skin friction coefficient by 15.98% and the heat transfer rate approximately up to 1.88%, significantly. In contrast, the heat transfer is enhanced rapidly by improving the mass flux parameter by almost 20%. Furthermore, the use of H2O-EG improves the thermal efficiency of the system when compared to H2O as the base fluid. Finally, depending on the analysis of solution stability, both solutions are surprisingly found to be stable.

Author Contributions

Conceptualization, I.W., N.S.K., N.M.A., and I.P.; methodology, I.W. and N.S.K.; validation, I.W. and N.S.K.; writing—original draft, I.W., N.S.K., A.R.M.K., N.A.Z., and K.B.H.; review and editing, A.R.M.K., N.A.Z., and K.B.H. All authors have read and agreed to the published version of the manuscript.

Funding

The funding is from Universiti Teknikal Malaysia Melaka (Project Code: JURNAL/2019/FTKMP/Q00042).

Acknowledgments

We received and acknowledge support from both the MOHE Malaysia and Universiti Teknikal Malaysia Melaka through (Project Code: JURNAL/2019/FTKMP/Q00042) and (Project Code: FRGS/1/2021/STG06/UTEM/03/1).

Conflicts of Interest

The authors declare no conflict of interest.

Nomenclature

B suction/injection parameter
B * magnetic field strength
B 0 constant magnetic strength
c unsteadiness strength (constant)
C f skin friction coefficient (radial direction)
C g skin friction coefficient (azimuthal direction)
C p specific heat at constant pressure ( J   kg 1 K 1 )
( ρ C p ) heat capacitance of the fluid ( J   K 1 m 3 )
k fluid thermal conductivity ( m   W 1 K 1 )
M magnetic parameter
N u r local Nusselt number
PrPrandtl number
S unsteadiness parameter
Re r local Reynolds number
t time (s)
Tfluid temperature ( K )
T ambient temperature ( K )
T w surface temperature ( K )
u , v , w velocity component in the ( r , ϑ , 0 ) directions ( m   s 1 )
u w velocity of the stretching/shrinking disk ( m   s 1 )
v w velocity of the rotating disk ( m   s 1 )
w w mass flux velocity ( m   s 1 )
w 0 constant
( r , ϑ , 0 ) cylindrical coordinates (m)
Greek symbols
α eigenvalue
λ velocity ratio parameter
τ dimensionless time variable
η similarity variable
θ dimensionless temperature
μ dynamic viscosity ( kg   m 1 s 1 )
ν kinematic viscosity of the fluid ( m 2 s 1 )
ρ density of the fluid ( kg   m 3 )
ψ stream function
φ 1 nanoparticle volume fractions for magnetite
φ 2 nanoparticle volume fractions for cobalt ferrite
φ h n f hybrid nanoparticles volume fractions
Subscripts
f base fluid
h n f hybrid nanofluid
n 1 solid component for magnetite
n 2 solid component for cobalt ferrite
Superscript
differentiation with respect to η

Appendix A

The magnetic body force vector, F is defined by:
F = J × B
with the electric current vector, J :
J = σ h n f ( E + v × B ) ,
where σ h n f is the electric conductivity and E is the electric field vector. It is assumed that the imposed magnetic field, B = 0 , 0 , B * , acts in the z-direction that is normal for the disk where the boundary layer is formed; the flow is confined to z > 0 . Based on the flow assumption due to a low Reynolds number, the induced magnetic field can be neglected. Moreover, the electric field vector, E , is assumed to be zero, i.e., the electric and polarization effects are neglected. Therefore,
J = σ h n f ( v × B ) = σ h n f [ u , v , w × 0 , 0 , B * ] ,                                                                   = σ h n f | i j k u v w 0 0 B * | ,                                                                   = σ h n f B * v ,     B * u ,     0 ,
where u, v, and w are the component velocities in the x, y, and z directions, respectively. Then, the expression J × B can be written as,
J × B = σ h n f [ B * v ,     B * u ,     0 × 0 , 0 , B * ] ,                         = σ h n f | i j k B * v B * u 0 0 0 B * | ,                         = σ h n f B * 2 u ,     B * 2 v , 0   .
Thus,
( J × B ) x = σ h n f B * 2 u ,             ( J × B ) y = σ h n f B * 2 v ,             ( J × B ) z = 0 ,
where ( J × B ) x , ( J × B ) y , and ( J × B ) z are components of J × B in the x, y, and z directions, respectively.

References

  1. Favre-Marinet, M.; Tardu, S. Convective Heat Transfer; ISTE Ltd.: London, UK, 2009. [Google Scholar]
  2. Aljabali, A.; Kasim, A.R.M.; Arifin, N.S.; Isa, S.M. Mixed convection of non-newtonian erying powell fluid with temperature- dependent viscosity over a vertically stretched surface. Comput. Mater. Contin. 2021, 66, 421–435. [Google Scholar] [CrossRef]
  3. Khalil, K.M.; Soleiman, A.; Megahed, A.M.; Abbas, W. Impact of Variable Fluid Properties and Double Diffusive Cattaneo–Christov Model on Dissipative Non-Newtonian Fluid Flow Due to a Stretching Sheet. Mathematics 2022, 10, 1179. [Google Scholar] [CrossRef]
  4. Shehzad, N.; Zeeshan, A.; Shakeel, M.; Ellahi, R.; Sait, S.M. Effects of Magnetohydrodynamics Flow on Multilayer Coatings of Newtonian and Non-Newtonian Fluids through Porous Inclined Rotating Channel. Coatings 2022, 12, 430. [Google Scholar] [CrossRef]
  5. Kasim, A.R.M.; Jiann, L.Y.; Shafie, S.; Ali, A. The effects of heat generation or absorption on MHD stagnation point of Jeffrey fluid. AIP Conf. Proc. 2014, 1605, 404–409. [Google Scholar]
  6. Kasim, A.R.M.; Admon, M.A.; Shafie, S. Free convection boundary layer flow of a viscoelastic fluid in the presence of heat generation. World Acad. Sci. Eng. Technol. 2011, 75, 492–499. [Google Scholar]
  7. Rawi, N.A.; Kasim, A.R.M.; Isa, M.; Shafie, S. G-Jitter induced mixed convection flow of heat and mass transfer past an inclined stretching sheet. J. Teknol. 2014, 71, 27–31. [Google Scholar] [CrossRef]
  8. Kasim, A.R.M.; Arifin, N.S.; Zokri, S.M.; Ariffin, N.A.N.; Salleh, M.Z.; Anwar, M.I. Mathematical model of simultaneous flow between casson fluid and dust particle over a vertical stretching sheet. Int. J. Integr. Eng. 2020, 12, 253–260. [Google Scholar]
  9. Aurangzaib Kasim, A.R.M.; Mohammad, N.F.; Shafie, S. Unsteady MHD mixed convection stagnation-point flow in a micropolar fluid on a vertical surface in a porous medium with soret and Dufour effects. Heat Transf. Res. 2013, 44, 603–620. [Google Scholar] [CrossRef]
  10. Choi, S.U.S.; Eastman, J.A. Enhancing Thermal Conductivity of Fluids with Nanoparticles. In Proceedings of the ASME International Mechanical Engineering Congress and Exposition FED 231/MD, San Francisco, CA, USA, 12–17 November 1995; Volume 66, pp. 99–105. [Google Scholar]
  11. Khanafer, K.; Vafai, K.; Lightstone, M. Buoyancy-driven heat transfer enhancement in a two-dimensional enclosure utilizing nanofluids. Int. J. Heat Mass Transf. 2003, 46, 3639–3653. [Google Scholar] [CrossRef]
  12. Tiwari, R.K.; Das, M.K. Heat transfer augmentation in a two-sided lid-driven differentially heated square cavity utilizing nanofluids. Int. J. Heat Mass Transf. 2007, 50, 2002–2018. [Google Scholar] [CrossRef]
  13. Oztop, H.F.; Abu-Nada, E. Numerical study of natural convection in partially heated rectangular enclosures filled with nanofluids. Int. J. Heat Fluid Flow. 2008, 29, 1326–1336. [Google Scholar] [CrossRef]
  14. Hamad, M.A.A. Analytical solution of natural convection flow of a nanofluid over a linearly stretching sheet in the presence of magnetic field. Int. Commun. Heat Mass Transf. 2011, 38, 487–492. [Google Scholar] [CrossRef]
  15. Hayat, T.; Rashid, M.; Alsaedi, A. MHD convective flow of magnetite-Fe3O4 nanoparticles by curved stretching sheet. Results Phys. 2017, 7, 3107–3115. [Google Scholar] [CrossRef]
  16. Ganesh, N.V.; Hakeem, A.K.A.; Ganga, B. Darcy–Forchheimer flow of hydromagnetic nanofluid over a stretching/shrinking sheet in a thermally stratified porous medium with second order slip, viscous and Ohmic dissipations effects. Ain Shams Eng. J. 2018, 9, 939–951. [Google Scholar] [CrossRef]
  17. Abbas, A.; Shafqat, R.; Jeelani, M.B.; Alharthi, N.H. Convective Heat and Mass Transfer in Third-Grade Fluid with Darcy–Forchheimer Relation in the Presence of Thermal-Diffusion and Diffusion-Thermo Effects over an Exponentially Inclined Stretching Sheet Surrounded by a Porous Medium: A CFD Study. Processes 2022, 10, 776. [Google Scholar] [CrossRef]
  18. Waini, I.; Ishak, A.; Pop, I. Dufour and Soret effects on Al2O3-water nanofluid flow over a moving thin needle: Tiwari and Das model. Int. J. Numer. Methods Heat Fluid Flow 2021, 31, 766–782. [Google Scholar] [CrossRef]
  19. Sulochana, C.; Samrat, S.P.; Sandeep, N. Boundary layer analysis of an incessant moving needle in MHD radiative nanofluid with joule heating. Int. J. Mech. Sci. 2017, 128–129, 326–331. [Google Scholar] [CrossRef]
  20. Ellahi, R.; Zeeshan, A.; Hussain, F.; Abbas, T. Study of shiny film coating on multi-fluid flows of a rotating disk suspended with nano-sized silver and gold particles: A comparative analysis. Coatings 2018, 8, 422. [Google Scholar] [CrossRef]
  21. Ellahi, R.; Sait, S.M.; Shehzad, N.; Ayaz, Z. A hybrid investigation on numerical and analytical solutions of electro-magnetohydrodynamics flow of nanofluid through porous media with entropy generation. Int. J. Numer. Methods Heat Fluid Flow 2020, 30, 834–854. [Google Scholar] [CrossRef]
  22. Turkyilmazoglu, M. Natural convective flow of nanofluids past a radiative and impulsive vertical plate. J. Aerosp. Eng. 2016, 29, 04016049. [Google Scholar] [CrossRef]
  23. Turkyilmazoglu, M. Nanoliquid film flow due to a moving substrate and heat transfer. Eur. Phys. J. Plus 2020, 135, 781. [Google Scholar] [CrossRef]
  24. Estebe, C.; Liu, Y.; Vahab, M.; Sussman, M.; Moradikazerouni, A.; Shoele, K.; Guo, W. A Low Mach Number, Adaptive Mesh Method for Simulating Multi-phase Flows in Cryogenic Fuel Tanks. In Proceedings of the SIAM Conference on Computational Science and Engineering, Philadelphia, PA, USA, 25 August 2021. [Google Scholar]
  25. Moradikazerouni, A.; Shoele, K.; Alireza Moradikazerouni Team; Kourosh Shoele Team. Computational study of RayleighBernard convection in a cylindrical pressurized cryogenic tank. APS Div. Fluid Dyn. Meet. Abstr. 2021, F06.001. [Google Scholar]
  26. Alireza, M. Heat transfer characteristics of thermal energy storage system using single and multi-phase cooled heat sinks: A review. J. Energy Storage 2022, 49, 104097. [Google Scholar]
  27. Sidik, N.A.C.; Adamu, I.M.; Jamil, M.M.; Kefayati, G.H.R.; Mamat, R.; Najafi, G. Recent progress on hybrid nanofluids in heat transfer applications: A comprehensive review. Int. Commun. Heat Mass Transf. 2016, 78, 68–79. [Google Scholar] [CrossRef]
  28. Turcu, R.; Darabont, A.; Nan, A.; Aldea, N.; Macovei, D.; Bica, D.; Vekas, L.; Pana, O.; Soran, M.L.; Koos, A.A.; et al. New polypyrrole-multiwall carbon nanotubes hybrid materials. J. Optoelectron. Adv. Mater. 2006, 8, 643–647. [Google Scholar]
  29. Jana, S.; Salehi-Khojin, A.; Zhong, W.H. Enhancement of fluid thermal conductivity by the addition of single and hybrid nano-additives. Thermochim. Acta 2007, 462, 45–55. [Google Scholar] [CrossRef]
  30. Suresh, S.; Venkitaraj, K.P.; Selvakumar, P.; Chandrasekar, M. Synthesis of Al2O3-Cu/water hybrid nanofluids using two step method and its thermo physical properties, Colloids Surfaces A Physicochem. Eng. Asp. 2011, 388, 41–48. [Google Scholar] [CrossRef]
  31. Singh, S.K.; Sarkar, J. Energy, exergy and economic assessments of shell and tube condenser using hybrid nanofluid as coolant. Int. Commun. Heat Mass Transf. 2018, 98, 41–48. [Google Scholar] [CrossRef]
  32. Farhana, K.; Kadirgama, K.; Rahman, M.M.; Noor, M.M.; Ramasamy, D.; Samykano, M.; Najafi, G.; Sidik, N.A.C.; Tarlochan, F. Significance of alumina in nanofluid technology: An overview. J. Therm. Anal. Calorim. 2019, 138, 1107–1126. [Google Scholar] [CrossRef]
  33. Takabi, B.; Salehi, S. Augmentation of the heat transfer performance of a sinusoidal corrugated enclosure by employing hybrid nanofluid. Adv. Mech. Eng. 2014, 6, 147059. [Google Scholar] [CrossRef]
  34. Chabani, I.; Mebarek-Oudina, F.; Ismail, A.A.I. MHD Flow of a Hybrid Nano-Fluid in a Triangular Enclosure with Zigzags and an Elliptic Obstacle. Micromachines 2022, 13, 224. [Google Scholar] [CrossRef] [PubMed]
  35. Khan, U.; Waini, I.; Ishak, A.; Pop, I. Unsteady hybrid nanofluid flow over a radially permeable shrinking/stretching surface. J. Mol. Liq. 2021, 331, 115752. [Google Scholar] [CrossRef]
  36. Khashi’ie, N.S.; Arifin, N.M.; Wahi, N.; Pop, I.; Nazar RHafidzuddin, E.H. Thermal marangoni flow past a permeable stretching/shrinking sheet in a hybrid Cu-Al2O3/water nanofluid. Sains Malays. 2020, 49, 211–222. [Google Scholar] [CrossRef]
  37. Zainal, N.A.; Nazar, R.; Naganthran, K.; Pop, I. MHD flow and heat transfer of hybrid nanofluid over a permeable moving surface in the presence of thermal radiation. Int. J. Numer. Methods Heat Fluid Flow. 2021, 31, 858–879. [Google Scholar] [CrossRef]
  38. Rizk, D.; Ullah, A.; Ikramullah; Elattar, S.; Alharbi, K.A.M.; Sohail, M.; Khan, R.; Khan, A.; Mlaiki, N. Impact of the KKL Correlation Model on the Activation of Thermal Energy for the Hybrid Nanofluid (GO+ZnO+Water) Flow through Permeable Vertically Rotating Surface. Energies 2022, 15, 2872. [Google Scholar] [CrossRef]
  39. Imran, M.; Yasmin, S.; Waqas, H.; Khan, S.A.; Muhammad, T.; Alshammari, N.; Hamadneh, N.N.; Khan, I. Computational Analysis of Nanoparticle Shapes on Hybrid Nanofluid Flow Due to Flat Horizontal Plate via Solar Collector. Nanomaterials 2022, 12, 663. [Google Scholar] [CrossRef]
  40. Waini, I.; Ishak, A.; Pop, I. Symmetrical solutions of hybrid nanofluid stagnation-point flow in a porous medium. Int. Commun. Heat Mass Transf. 2022, 130, 105804. [Google Scholar] [CrossRef]
  41. Hassan, M.; Marin, M.; Ellahi, R.; Alamri, S.Z. Exploration of convecti ve heat transfer and flow characteristics synthesis by Cu-Ag/Water hybrid-nanofluids. Heat Transf. Res. 2018, 49, 1837–1848. [Google Scholar] [CrossRef]
  42. Riaz, A.; Ellahi, R.; Sait, S.M. Role of hybrid nanoparticles in thermal performance of peristaltic flow of Eyring–Powell fluid model. J. Therm. Anal. Calorim. 2021, 143, 1021–1035. [Google Scholar] [CrossRef]
  43. Sarkar, J.; Ghosh, P.; Adil, A. A review on hybrid nanofluids: Recent research, development and applications. Renew. Sustain. Energy Rev. 2015, 43, 164–177. [Google Scholar]
  44. Babu, J.A.R.; Kumar, K.K.; Rao, S.S. State-of-art review on hybrid nanofluids. Renew. Sustain. Energy Rev. 2017, 77, 551–565. [Google Scholar] [CrossRef]
  45. Huminic, G.; Huminic, A. Entropy generation of nanofluid and hybrid nanofluid flow in thermal systems: A review. J. Mol. Liq. 2020, 302, 112533. [Google Scholar] [CrossRef]
  46. Yang, L.; Ji, W.; Mao, M.; Huang, J. An updated review on the properties, fabrication and application of hybrid-nanofluids along with their environmental effects. J. Clean. Prod. 2020, 257, 120408. [Google Scholar] [CrossRef]
  47. Khan, Z.H.; Khan, W.A.; Qasim, M.; Shah, I.A. MHD stagnation point ferrofluid flow and heat transfer toward a stretching sheet. IEEE Trans. Nanotechnol. 2013, 13, 35–40. [Google Scholar] [CrossRef]
  48. Qasim, M.; Khan, Z.H.; Khan, W.A.; Shah, I.A. MHD boundary layer slip flow and heat transfer of ferrofluid along a stretching cylinder with prescribed heat flux. PLoS ONE 2014, 9, e83930. [Google Scholar] [CrossRef] [PubMed]
  49. Mehrez, Z.; Cafsi, A.E. Heat exchange enhancement of ferrofluid flow into rectangular channel in the presence of a magnetic field. Appl. Math. Comput. 2021, 391, 125634. [Google Scholar] [CrossRef]
  50. Sekar, R.; Raju, K. Stability analysis of Soret effect on thermohaline convection in dusty ferrofluid saturating a Darcy porous medium. Glob. J. Math. Anal. 2015, 3, 37–48. [Google Scholar] [CrossRef][Green Version]
  51. Hamid, R.A.; Nazar, R.; Naganthran, K.; Pop, I. Dusty ferrofluid transport phenomena towards a non-isothermal moving surface with viscous dissipation. Chin. J. Phys. 2022, 75, 139–151. [Google Scholar] [CrossRef]
  52. Goshayeshi, H.R.; Safaei, M.R.; Goodarzi, M.; Dahari, M. Particle size and type effects on heat transfer enhancement of ferro-nanofluids in a pulsating heat pipe. Powder Technol. 2016, 301, 1218–1226. [Google Scholar] [CrossRef]
  53. Rashad, A.M. Impact of anisotropic slip on transient three dimensional MHD flow of ferrofluid over an inclined radiate stretching surface. J. Egypt. Math. Soc. 2017, 25, 230–237. [Google Scholar] [CrossRef]
  54. Rashad, A.M. Impact of thermal radiation on MHD slip flow of a ferrofluid over a nonisothermal wedge. J. Magn. Magn. Mater. 2017, 422, 25–31. [Google Scholar] [CrossRef]
  55. Wiriyasart, S.; Suksusron, P.; Hommalee, C.; Siricharoenpanich, A.; Naphon, P. Heat transfer enhancement of thermoelectric cooling module with nanofluid and ferrofluid as base fluids. Case Stud. Therm. Eng. 2021, 24, 100877. [Google Scholar] [CrossRef]
  56. Ferdows, M.; Alam, J.; Murtaza, G.; Tzirtzilakis, E.E.; Sun, S. Biomagnetic Flow with CoFe2O4 Magnetic Particles through an Unsteady Stretching/Shrinking Cylinder. Magnetochemistry 2022, 8, 27. [Google Scholar] [CrossRef]
  57. Jalili, B.; Jalili, P.; Sadighi, S.; Ganji, D.D. Effect of magnetic and boundary parameters on flow characteristics analysis of micropolar ferrofluid through the shrinking sheet with effective thermal conductivity. Chin. J. Phys. 2021, 71, 136–150. [Google Scholar] [CrossRef]
  58. Hounsou, P.; Monwanou, A.V.; Miwadinou, C.H.; Orou, J.B.C. Effect of helical force on the stationary convection in a rotating ferrofluid. Chin. J. Phys. 2020, 65, 526–537. [Google Scholar] [CrossRef]
  59. Bortnic, R.; Szatmari, A.; Souca, G.; Hirian, R.; Dudric, R.; Barbu-Tudoran, L.; Toma, V.; Știufiuc, R.; Tetean, R.; Burzo, E. New Insights into the Magnetic Properties of CoFe2O4@SiO2@Au Magnetoplasmonic Nanoparticles. Nanomaterials 2022, 12, 942. [Google Scholar] [CrossRef]
  60. Nanjundappa, C.E.; Pavithra, A.; Shivakuamara, I.S. Effect of dusty particles on Darcy-Brinkman gravity-driven ferro-thermal-convection in a ferrofluid saturated porous layer with internal heat source: Influence of boundaries. Int. J. Appl. Comput. Math. 2021, 7, 1–20. [Google Scholar] [CrossRef]
  61. Wang, W.; Timonen, J.V.I.; Carlson, A.; Drotlef, D.M.; Zhang, C.T.; Kolle, S.; Grinthal, A.; Wong, T.S.; Hatton, B.; Kang, S.H.; et al. Multifunctional ferrofluid-infused surfaces with reconfigurable multiscale topography. Nature 2018, 559, 77–82. [Google Scholar] [CrossRef]
  62. Chu, Y.M.; Bilal, S.; Hajizadeh, M.R. Hybrid ferrofluid along with MWCNT for augmentation of thermal behavior of fluid during natural convection in a cavity. Math. Methods Appl. Sci. 2020, 2020, 1–12. [Google Scholar] [CrossRef]
  63. Kumar, K.A.; Sandeep, N.; Sugunamma, V.; Animasaun, I.L. Effect of irregular heat source/sink on the radiative thin film flow of MHD hybrid ferrofluid. J. Therm. Anal. Calorim. 2020, 139, 2145–2153. [Google Scholar] [CrossRef]
  64. Anuar, N.S.; Bachok, N.; Pop, I. Influence of MHD Hybrid Ferrofluid Flow on Exponentially Stretching/Shrinking Surface with Heat Source/Sink under Stagnation Point Region. Mathematics 2021, 9, 2932. [Google Scholar] [CrossRef]
  65. Nabwey, H.A.; Mahdy, A. Transient flow of micropolar dusty hybrid nanofluid loaded with Fe3O4-Ag nanoparticles through a porous stretching sheet. Results Phys. 2021, 21, 103777. [Google Scholar] [CrossRef]
  66. Tlili, I.; Mustafa, M.T.; Kumar, K.A.; Sandeep, N. Effect of asymmetrical heat rise/fall on the film flow of magnetohydrodynamic hybrid ferrofluid. Sci. Rep. 2020, 10, 6677. [Google Scholar] [CrossRef] [PubMed]
  67. Giwa, S.O.; Sharifpur, M.; Goodarzi, M.; Alsulami, H.; Meyer, J.P. Influence of base fluid, temperature, and concentration on the thermophysical properties of hybrid nanofluids of alumina-ferrofluid: Experimental data, modeling through enhanced ANN, ANFIS, and curve fitting. J. Therm. Anal. Calorim. 2021, 143, 4149–4167. [Google Scholar] [CrossRef]
  68. Kefeni, K.K.; Mamba, B.B.; Msagati, T.A.M. Magnetite and cobalt ferrite nanoparticles used as seeds for acid mine drainage treatment. J. Hazard. Mater. 2017, 333, 308–318. [Google Scholar] [CrossRef]
  69. Von Kármán, T. Über laminare und turbulente Reibung, Zeitschrift Für Angew. Math. Und Mech. 1921, 1, 233–252. [Google Scholar]
  70. Fang, T. Flow over a stretchable disk. Phys. Fluids. 2007, 19, 128105. [Google Scholar] [CrossRef]
  71. Fang, T.; Zhang, J. Flow between two stretchable disks—An exact solution of the Navier-Stokes equations. Int. Commun. Heat Mass Transf. 2008, 35, 892–895. [Google Scholar] [CrossRef]
  72. Turkyilmazoglu, M. MHD fluid flow and heat transfer due to a stretching rotating disk. Int. J. Therm. Sci. 2012, 51, 195–201. [Google Scholar] [CrossRef]
  73. Turkyilmazoglu, M. Heat and mass transfer on the unsteady magnetohydrodynamic flow due to a porous rotating disk subject to a uniform outer radial flow. J. Heat Transfer. 2010, 132, 061703. [Google Scholar] [CrossRef]
  74. Turkyilmazoglu, M. Unsteady flow over a decelerating rotating sphere. Phys. Fluids. 2018, 30, 033601. [Google Scholar] [CrossRef]
  75. Watson, L.T.; Wang, C.Y. Deceleration of a rotating disk in a viscous fluid. Phys. Fluids. 1979, 22, 2267–2279. [Google Scholar] [CrossRef]
  76. Watson, L.T.; Sankara, K.K.; Mounfield, L.C. Deceleration of a porous rotating disk in a viscous fluid. Int. J. Eng. Sci. 1985, 23, 131–137. [Google Scholar] [CrossRef]
  77. Fang, T.; Tao, H. Unsteady viscous flow over a rotating stretchable disk with deceleration. Commun. Nonlinear Sci. Numer. Simul. 2012, 17, 5064–5072. [Google Scholar] [CrossRef]
  78. Naganthran, K.; Mustafa, M.; Mushtaq, A.; Nazar, R. Dual solutions for fluid flow over a stretching/shrinking rotating disk subject to variable fluid properties. Phys. A Stat. Mech. Its Appl. 2020, 556, 124773. [Google Scholar] [CrossRef]
  79. Sarkar, G.M.; Sahoo, B. On dual solutions of the unsteady MHD flow on a stretchable rotating disk with heat transfer and a linear temporal stability analysis. Eur. J. Mech. B/Fluids. 2021, 85, 149–157. [Google Scholar] [CrossRef]
  80. Rafiq, T.; Mustafa, M. Computational analysis of unsteady swirling flow around a decelerating rotating porous disk in nanofluid. Arab. J. Sci. Eng. 2020, 45, 1143–1154. [Google Scholar] [CrossRef]
  81. Waini, I.; Ishak, A.; Pop, I. Multiple solutions of the unsteady hybrid nanofluid flow over a rotating disk with stability analysis. Eur. J. Mech. B Fluids 2022, 94, 121–127. [Google Scholar] [CrossRef]
  82. Merkin, J.H. On dual solutions occurring in mixed convection in a porous medium. J. Eng. Math. 1986, 20, 171–179. [Google Scholar] [CrossRef]
  83. Weidman, P.D.; Kubitschek, D.G.; Davis, A.M.J. The effect of transpiration on self-similar boundary layer flow over moving surfaces. Int. J. Eng. Sci. 2006, 44, 730–737. [Google Scholar] [CrossRef]
  84. Harris, S.D.; Ingham, D.B.; Pop, I. Mixed convection boundary-layer flow near the stagnation point on a vertical surface in a porous medium: Brinkman model with slip. Transp. Porous Media. 2009, 77, 267–285. [Google Scholar] [CrossRef]
  85. Shampine, L.F.; Gladwell, I.; Thompson, S. Solving ODEs with MATLAB; Cambridge University Press: Cambridge, UK, 2003. [Google Scholar]
  86. Shampine, L.F.; Kierzenka, J.; Reichelt, M. Solving boundary value problems for ordinary differential equations in MATLAB with bvp4c. Tutor. Notes 2000, 2000, 1–27. [Google Scholar]
Figure 1. The flow configuration of the fluid.
Figure 1. The flow configuration of the fluid.
Mathematics 10 01658 g001
Figure 2. Re r 1 / 2 C f (radial direction) towards S for several M .
Figure 2. Re r 1 / 2 C f (radial direction) towards S for several M .
Mathematics 10 01658 g002
Figure 3. Re r 1 / 2 C g (azimuthal direction) towards S for several M .
Figure 3. Re r 1 / 2 C g (azimuthal direction) towards S for several M .
Mathematics 10 01658 g003
Figure 4. Re r 1 / 2 N u r towards S for several M .
Figure 4. Re r 1 / 2 N u r towards S for several M .
Mathematics 10 01658 g004
Figure 5. Re r 1 / 2 C f (radial direction) towards S for several B .
Figure 5. Re r 1 / 2 C f (radial direction) towards S for several B .
Mathematics 10 01658 g005
Figure 6. Re r 1 / 2 C g (azimuthal direction) towards S for several B .
Figure 6. Re r 1 / 2 C g (azimuthal direction) towards S for several B .
Mathematics 10 01658 g006
Figure 7. Re r 1 / 2 N u r towards S for several B .
Figure 7. Re r 1 / 2 N u r towards S for several B .
Mathematics 10 01658 g007
Figure 8. Re r 1 / 2 C f (radial direction) towards S for different base fluid.
Figure 8. Re r 1 / 2 C f (radial direction) towards S for different base fluid.
Mathematics 10 01658 g008
Figure 9. Re r 1 / 2 C g (azimuthal direction) towards S for different base fluid.
Figure 9. Re r 1 / 2 C g (azimuthal direction) towards S for different base fluid.
Mathematics 10 01658 g009
Figure 10. Re r 1 / 2 N u r towards S for different base fluid.
Figure 10. Re r 1 / 2 N u r towards S for different base fluid.
Mathematics 10 01658 g010
Figure 11. Radial velocity profile of Fe3O4-CoFe2O4/H2O-EG for several S .
Figure 11. Radial velocity profile of Fe3O4-CoFe2O4/H2O-EG for several S .
Mathematics 10 01658 g011
Figure 12. Azimuthal velocity profile of Fe3O4-CoFe2O4/H2O-EG for several S .
Figure 12. Azimuthal velocity profile of Fe3O4-CoFe2O4/H2O-EG for several S .
Mathematics 10 01658 g012
Figure 13. Temperature profile of Fe3O4-CoFe2O4/H2O-EG for several S .
Figure 13. Temperature profile of Fe3O4-CoFe2O4/H2O-EG for several S .
Mathematics 10 01658 g013
Table 1. Physical properties of the respective base fluid and nanoparticles.
Table 1. Physical properties of the respective base fluid and nanoparticles.
PropertiesBase FluidNanoparticles
WaterWater–Ethylene GlycolMagnetiteCobalt Ferrite
ρ   ( kg / m 3 ) 997.1105751804908
C p   ( J / kgK ) 41793287670700
k   ( W / mK ) 0.6130.4249.83.6
σ   ( S / m ) 0.050.0050.74 × 1061.1 × 107
Prandtl number, ( Pr ) 6.230--
Table 2. Thermophysical properties of hybrid nanofluid.
Table 2. Thermophysical properties of hybrid nanofluid.
Thermophysical PropertiesCorrelations
Thermal conductivity k h n f k f = φ 1 k n 1 + φ 2 k n 2 φ h n f + 2 k f + 2 ( φ 1 k n 1 + φ 2 k n 2 ) 2 φ h n f k f φ 1 k n 1 + φ 2 k n 2 φ h n f + 2 k f ( φ 1 k n 1 + φ 2 k n 2 ) + φ h n f k f
Electrical conductivity σ h n f σ f = φ 1 σ n 1 + φ 2 σ n 2 φ h n f + 2 σ f + 2 ( φ 1 σ n 1 + φ 2 σ n 2 ) 2 φ h n f σ f φ 1 σ n 1 + φ 2 σ n 2 φ h n f + 2 σ f ( φ 1 σ n 1 + φ 2 σ n 2 ) + φ h n f σ f
Heat capacity ( ρ C p ) h n f = ( 1 φ h n f ) ( ρ C p ) f + φ 1 ( ρ C p ) n 1 + φ 2 ( ρ C p ) n 2
Density ρ h n f = ( 1 φ h n f ) ρ f + φ 1 ρ n 1 + φ 2 ρ n 2
Dynamic viscosity μ h n f = μ f ( 1 φ h n f ) 2.5
Table 3. Validation of numerical values when φ h n f = B = M = 0 and different S .
Table 3. Validation of numerical values when φ h n f = B = M = 0 and different S .
S PresentFang and Tao [77]Waini et al. [81]
f ( 0 ) g ( 0 ) f ( 0 ) g ( 0 ) f ( 0 ) g ( 0 )
−10.719787−0.2365750.7198-0.23660.719787−0.236575
−20.9315070.1549810.93150.15500.9315070.154981
−51.5627971.3608501.56271.36091.5627971.360850
−102.6008013.4138602.60083.41392.6008013.413860
Table 4. Values of Re r 1 / 2 C f , Re r 1 / 2 C g ,   and   Re r 1 / 2 N u r   for Fe3O4-CoFe2O4/H2O-EG when φ h n f = 2 % ,   B = 0 ,   S = 1 and different values of M .
Table 4. Values of Re r 1 / 2 C f , Re r 1 / 2 C g ,   and   Re r 1 / 2 N u r   for Fe3O4-CoFe2O4/H2O-EG when φ h n f = 2 % ,   B = 0 ,   S = 1 and different values of M .
M First SolutionSecond Solution
R e r 1 / 2 C f R e r 1 / 2 C g R e r 1 / 2 N u r R e r 1 / 2 C f R e r 1 / 2 C g R e r 1 / 2 N u r
00.765534−0.2516113.6044800.512769−0.0884993.452206
0.10.722637−0.3026473.5811630.478139−0.1369663.430586
0.20.681833−0.3543983.5585600.446589−0.1852583.410523
0.30.643206−0.4067533.5367620.418191−0.2335213.392171
Table 5. Values of Re r 1 / 2 C f , Re r 1 / 2 C g ,   and   Re r 1 / 2 N u r   for Fe3O4-CoFe2O4/H2O when φ h n f = 2 % ,   B = 0 ,   S = 1 and different values of M .
Table 5. Values of Re r 1 / 2 C f , Re r 1 / 2 C g ,   and   Re r 1 / 2 N u r   for Fe3O4-CoFe2O4/H2O when φ h n f = 2 % ,   B = 0 ,   S = 1 and different values of M .
M First SolutionSecond Solution
R e r 1 / 2 C f R e r 1 / 2 C g R e r 1 / 2 N u r R e r 1 / 2 C f R e r 1 / 2 C g R e r 1 / 2 N u r
00.767572−0.2522811.7553770.514134−0.0887351.617641
0.10.724783−0.3031791.7376830.479588−0.1370731.599005
0.20.684071−0.3547881.7204100.448097−0.1852381.581450
0.30.645516−0.4069971.7036420.419732−0.2333721.565181
Table 6. Smallest eigenvalues when φ h n f = 2 % ,     B = M = 0 , and various S for Fe3O4-CoFe2O4/H2O-EG.
Table 6. Smallest eigenvalues when φ h n f = 2 % ,     B = M = 0 , and various S for Fe3O4-CoFe2O4/H2O-EG.
S Smallest Eigenvalues
First SolutionSecond Solution
−1.16.00140.7442
−1.26.73950.8547
−1.36.94011.0462
Publisher’s Note: MDPI stays neutral with regard to jurisdictional claims in published maps and institutional affiliations.

Share and Cite

MDPI and ACS Style

Waini, I.; Khashi’ie, N.S.; Kasim, A.R.M.; Zainal, N.A.; Hamzah, K.B.; Md Arifin, N.; Pop, I. Unsteady Magnetohydrodynamics (MHD) Flow of Hybrid Ferrofluid Due to a Rotating Disk. Mathematics 2022, 10, 1658. https://doi.org/10.3390/math10101658

AMA Style

Waini I, Khashi’ie NS, Kasim ARM, Zainal NA, Hamzah KB, Md Arifin N, Pop I. Unsteady Magnetohydrodynamics (MHD) Flow of Hybrid Ferrofluid Due to a Rotating Disk. Mathematics. 2022; 10(10):1658. https://doi.org/10.3390/math10101658

Chicago/Turabian Style

Waini, Iskandar, Najiyah Safwa Khashi’ie, Abdul Rahman Mohd Kasim, Nurul Amira Zainal, Khairum Bin Hamzah, Norihan Md Arifin, and Ioan Pop. 2022. "Unsteady Magnetohydrodynamics (MHD) Flow of Hybrid Ferrofluid Due to a Rotating Disk" Mathematics 10, no. 10: 1658. https://doi.org/10.3390/math10101658

APA Style

Waini, I., Khashi’ie, N. S., Kasim, A. R. M., Zainal, N. A., Hamzah, K. B., Md Arifin, N., & Pop, I. (2022). Unsteady Magnetohydrodynamics (MHD) Flow of Hybrid Ferrofluid Due to a Rotating Disk. Mathematics, 10(10), 1658. https://doi.org/10.3390/math10101658

Note that from the first issue of 2016, this journal uses article numbers instead of page numbers. See further details here.

Article Metrics

Back to TopTop