Adaptive Fuzzy Neural Network PID Algorithm for BLDCM Speed Control System
Abstract
:1. Introduction
2. Mathematical Model of BLDCM
3. FSNNN PID Algorithm
3.1. SNNN PID Algorithm
3.2. Fuzzy Control Adjust Gain K’
4. BLDCM Control System
5. Results, Analysis, and Discussion
5.1. Frequency Domain Stability Analysis of Motor Double Closed Loop PID Control System
5.2. Motor Speed Step Response
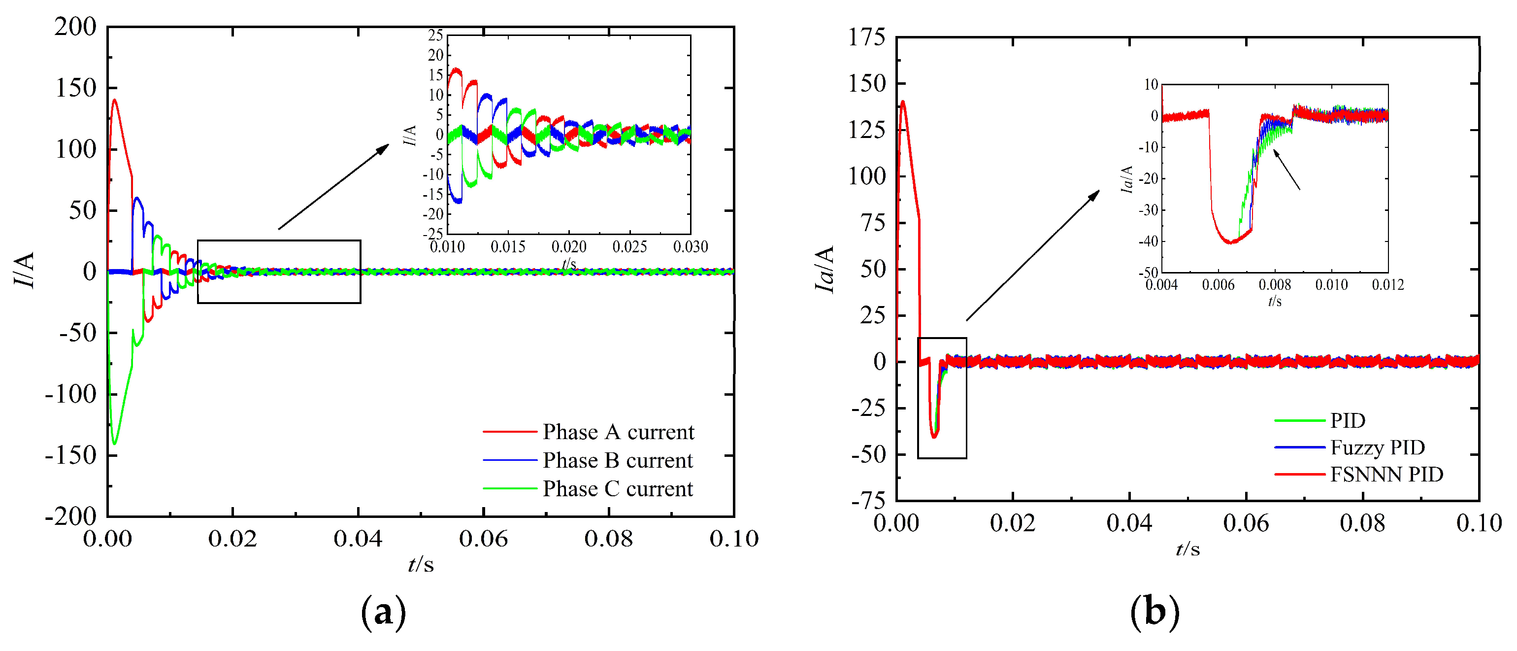
5.3. Phase Current and Back EMF
5.4. Electromagnetic Torque Te and Rotor Angle Position θ
6. Conclusions
Author Contributions
Funding
Institutional Review Board Statement
Informed Consent Statement
Data Availability Statement
Conflicts of Interest
References
- Cao, Y.; Shi, T.; Yan, Y.; Li, X.; Xia, C. Braking Torque Control Strategy for Brushless DC Motor with a Noninductive Hybrid Energy Storage Topology. IEEE Trans. Power Electron. 2020, 35, 8417–8428. [Google Scholar] [CrossRef]
- Premkumar, K.; Manikandan, B. Adaptive Neuro-Fuzzy Inference System based speed controller for brushless DC motor. Neurocomputing 2014, 138, 260–270. [Google Scholar] [CrossRef]
- Lee, A.-C.; Fan, C.-J.; Chen, G.-H. Current Integral Method for Fine Commutation Tuning of Sensorless Brushless DC Motor. IEEE Trans. Power Electron. 2017, 32, 9249–9266. [Google Scholar] [CrossRef]
- Lee, Y.; Kim, W. Nonlinear position control with augmented observer in brushless dc motor. Mathematics 2021, 9, 2553. [Google Scholar] [CrossRef]
- Terzic, B.; Jadric, M. Design and implementation of the extended Kalman filter for the speed and rotor position estimation of brushless DC motor. IEEE Trans. Ind. Electron. 2001, 48, 1065–1073. [Google Scholar] [CrossRef]
- Xiu, J.; Wang, S.; Xiu, Y. Fuzzy adaptive single neuron NN control of brushless DC motor. Neural Comput. Appl. 2013, 22, 607–613. [Google Scholar] [CrossRef]
- Li, W. Design of a hybrid fuzzy logic proportional plus conventional integral-derivative controller. IEEE Trans. Fuzzy Syst. 1998, 6, 449–463. [Google Scholar] [CrossRef] [Green Version]
- Shi, T.; Niu, X.; Xiao, Z.; Li, X.; Xia, C. A self-tuned fuzzy-neural-network-based BLDCM speed control strategy. In Proceedings of the 8th IET International Conference on Power Electronics, Machines and Drives (PEMD 2016), Glasgow, UK, 19–21 April 2016. [Google Scholar] [CrossRef]
- Qiao, Z.; Shi, T.; Wang, Y.; Yan, Y.; Xia, C.; He, X. New Sliding-Mode Observer for Position Sensorless Control of Permanent-Magnet Synchronous Motor. IEEE Trans. Ind. Electron. 2013, 60, 710–719. [Google Scholar] [CrossRef]
- Gan, M.-G.; Zhang, M.; Zheng, C.-Y.; Chen, J. An adaptive sliding mode observer over wide speed range for sensorless control of a brushless DC motor. Control. Eng. Pract. 2018, 77, 52–62. [Google Scholar] [CrossRef]
- Navidi, N.; Bavafa, M.; Hesami, S. A new approach for designing of PID controller for a linear brushless dc motor with using ant colony search algorithm. In Proceedings of the 2009 Asia-Pacific Power and Energy Engineering Conference, Wuhan, China, 19–31 March 2009. [Google Scholar] [CrossRef]
- Shi, P.J.; Shi, G.B.; Lin, Y. A nonlinear PI controller of the brushless DC motor based on ant colony system. In Proceedings of the 2008 International Conference on Electrical Machines and Systems, Wuhan, China, 17–20 October 2008. [Google Scholar]
- Lin, C.-L.; Jan, H.-Y.; Shieh, N.-C. GA-based multiobjective PID control for a linear brushless DC motor. IEEE/ASME Trans. Mechatron. 2003, 8, 56–65. [Google Scholar] [CrossRef]
- Chen, G.Y.; Perng, J.-W. PI speed controller design based on GA with time delay for BLDC motor using DSP. In Proceedings of the 2017 IEEE International Conference on Mechatronics and Automation (ICMA), Takamatsu, Japan, 6–9 August 2017; pp. 1174–1179. [Google Scholar] [CrossRef]
- Ridwan, M.; Riawan, D.C.; Suryoatmojo, H. Particle swarm optimization-based BLDC motor speed controller with response speed consideration. In Proceedings of the 2017 International Seminar on Intelligent Technology and Its Applications (ISITIA), Surabaya, Indonesia, 28–29 August 2017; pp. 193–198. [Google Scholar] [CrossRef]
- Ramya, M.A.; Jadhav, S.P.; Pawar, S.N. Design and implementation of particle swarm optimization (PSO) tuned PID controller for speed control of permanent magnet brushless DC (PMBLDC) motor. In Proceedings of the 2020 International Conference for Emerging Technology (INCET), Belgaum, India, 5–7 June 2020. [Google Scholar] [CrossRef]
- El-Samahy, A.A.; Shamseldin, M.A. Brushless DC motor tracking control using self-tuning fuzzy PID control and model reference adaptive control. Ain Shams Eng. J. 2018, 9, 341–352. [Google Scholar] [CrossRef] [Green Version]
- Liu, Y.; Zhao, J.; Xia, M.; Luo, H. Model Reference Adaptive Control-Based Speed Control of Brushless DC Motors with Low-Resolution Hall-Effect Sensors. IEEE Trans. Power Electron. 2013, 29, 1514–1522. [Google Scholar] [CrossRef]
- Rubaai, A.; Ricketts, D.; Kankam, M. Experimental verification of a hybrid fuzzy control strategy for a high-performance brushless DC drive system. IEEE Trans. Ind. Appl. 2001, 37, 503–512. [Google Scholar] [CrossRef]
- Nandakumar, M.; Ramalingam, S.; Nallusamy, S.; Rangarajan, S.S. Novel Efficacious Utilization of Fuzzy-Logic Controller-Based Two-Quadrant Operation of PMBLDC Motor Drive Systems for Multipass Hot-Steel Rolling Processes. Electronics 2020, 9, 1008. [Google Scholar] [CrossRef]
- Sadrossadat, S.A.; Rahmani, O. ANN-based method for parametric modelling and optimising efficiency, output power and material cost of BLDC motor. IET Electr. Power Appl. 2020, 14, 951–960. [Google Scholar] [CrossRef]
- Peng, J.; Dubay, R. Identification and adaptive neural network control of a DC motor system with dead-zone characteristics. ISA Trans. 2011, 50, 588–598. [Google Scholar] [CrossRef]
- Hiyama, T.; Kugimiya, M.; Satoh, H. Advanced PID type fuzzy logic power system stabilizer. IEEE Trans. Energy Convers. 1994, 9, 514–520. [Google Scholar] [CrossRef]
- Wang, J.; Fu, C.; Zhang, Y. SVC Control System Based on Instantaneous Reactive Power Theory and Fuzzy PID. IEEE Trans. Ind. Electron. 2008, 55, 1658–1665. [Google Scholar] [CrossRef]
- Savran, A.; Kahraman, G. A fuzzy model based adaptive PID controller design for nonlinear and uncertain processes. ISA Trans. 2014, 53, 280–288. [Google Scholar] [CrossRef] [PubMed]
- Lotfi, M.; Menhaj, M.B.; Hosseini, S.A.; Shirani, A.S. A design of switching supervisory control based on fuzzy-PID controllers for VVER-1000 pressurizer system with RELAP5 and MATLAB coupling. Ann. Nucl. Energy 2020, 147, 107625. [Google Scholar] [CrossRef]
- Peng, X.W.; Gao, H.L. Improved diagonal recursion neural network and PI control of permanent magnet synchronous motor. Electr. Mach. Control 2019, 23, 126–132. [Google Scholar] [CrossRef]
- Mcculloch, W.S.; Pitts, W. A logical calculus of the ideas immanent in nervous activity. Bull. Math. Biophys. 1943, 5, 115–133. [Google Scholar] [CrossRef]
- Rosenblatt, F. The perceptron: A probabilistic model for information storage and organization in the brain. Psychol. Rev. 1958, 65, 386–408. [Google Scholar] [CrossRef] [Green Version]
- Rumelhart, D.E.; Hinton, G.E.; Williams, R.J. Learning representations by back-propagating errors. Nature 1986, 323, 533–536. [Google Scholar] [CrossRef]
- Hinton, G.E.; Salakhutdinov, R.R. Reducing the Dimensionality of Data with Neural Networks. Science 2006, 313, 504–507. [Google Scholar] [CrossRef] [Green Version]
- Yu, C.; Li, Y.; Bao, Y.; Tang, H.; Zhai, G. A novel framework for wind speed prediction based on recurrent neural networks and support vector machine. Energy Convers. Manag. 2018, 178, 137–145. [Google Scholar] [CrossRef]
- Gao, W.; Zhou, P. Customized High Performance and Energy Efficient Communication Networks for AI Chips. IEEE Access 2019, 7, 69434–69446. [Google Scholar] [CrossRef]
- Esquivel, N.; Nicolis, O.; Peralta, B.; Mateu, J. Spatio-Temporal Prediction of Baltimore Crime Events Using CLSTM Neural Networks. IEEE Access 2020, 8, 209101–209112. [Google Scholar] [CrossRef]
- Wei, S.; Wang, J.; Ou, J. Method for improving the neural network model of the magnetorheological damper. Mech. Syst. Signal Process. 2021, 149, 107316. [Google Scholar] [CrossRef]
- Chhipa, A.A.; Kumar, V.; Joshi, R.R.; Chakrabarti, P.; Jasinski, M.; Burgio, A.; Leonowicz, Z.; Jasinski, E.; Soni, R.; Chakrabarti, T. Adaptive Neuro-Fuzzy Inference System-Based Maximum Power Tracking Controller for Variable Speed WECS. Energies 2021, 14, 6275. [Google Scholar] [CrossRef]
- Qiao, J.-F.; Hou, Y.; Zhang, L.; Han, H.-G. Adaptive fuzzy neural network control of wastewater treatment process with multiobjective operation. Neurocomputing 2018, 275, 383–393. [Google Scholar] [CrossRef]
- Ali, M.S.; Gunasekaran, N.; Zhu, Q. State estimation of T-S fuzzy delayed neural networks with markovian jumping parameters using sampled-data control. Fuzzy Sets Syst. 2017, 306, 87–104. [Google Scholar] [CrossRef]
- Guan, C.; Wang, S.; Liew, A.W.-C. Lip image segmentation based on a fuzzy convolutional neural network. IEEE Trans. Fuzzy Syst. 2019, 28, 1242–1251. [Google Scholar] [CrossRef]
- Varela-Santos, S.; Melin, P. A new modular neural network approach with fuzzy response integration for lung disease classification based on multiple objective feature optimization in chest X-ray images. Expert Syst. Appl. 2021, 168, 114361. [Google Scholar] [CrossRef]
- Zhang, Y.; Ma, H.; Xu, J. Neural network-based fuzzy vibration controller for offshore platform with random time delay. Ocean Eng. 2021, 225, 108733. [Google Scholar] [CrossRef]
- Yin, H.; Yi, W.; Wang, K.; Guan, J.; Wu, J. Research on brushless DC motor control system based on fuzzy parameter adaptive PI algorithm. AIP Adv. 2020, 10, 105208. [Google Scholar] [CrossRef]
- Bennett, S. Development of the PID controller. IEEE Control. Syst. 1993, 13, 58–62. [Google Scholar] [CrossRef]





















| K’ | e | ||||||
|---|---|---|---|---|---|---|---|
| ec | PB | PM | PS | ZO | NS | NM | NB |
| PB | NB | NB | NM | NM | NS | NS | ZO |
| PM | NB | NM | NM | NS | NS | ZO | PS |
| PS | NM | NM | NS | ZO | ZO | PS | PS |
| ZO | NS | NS | ZO | ZO | PS | PM | PM |
| NS | NM | ZO | ZO | PS | PS | PM | PB |
| NM | NS | ZO | PS | PS | PM | PM | PB |
| NB | ZO | PS | PS | PM | PM | PB | PB |
| Parameters | Symbol | Value | Unit |
|---|---|---|---|
| Rated voltage | UN | 24 | V |
| Rated current | IN | 12.5 | A |
| Rated load | TN | 311 | mN·m |
| Phase resistance | R | 0.0715 | Ω |
| Phase inductance | L | 0.02825 | mH |
| PWM frequency | f | 10 | kHz |
| Pairs of poles | p | 1 | ⸻ |
| Hall_A | Hall_B | Hall_C | A+ | A− | B+ | B− | C+ | C− |
|---|---|---|---|---|---|---|---|---|
| 1 | 0 | 1 | PWM | × | × | ON | × | × |
| 0 | 0 | 1 | PWM | × | × | × | × | ON |
| 0 | 1 | 1 | × | × | PWM | × | × | ON |
| 0 | 1 | 0 | × | ON | PWM | × | × | × |
| 1 | 1 | 0 | × | ON | × | × | PWM | × |
| 1 | 0 | 0 | × | × | × | ON | PWM | × |
| Algorithm | PID | Fuzzy PID | FSNNN PID | |
|---|---|---|---|---|
| Performance Index | ||||
| rise time tr | 11.945 ms | 9.945 ms | 7.620 ms | |
| adjustment rise ts | 15.895 ms | 13.105 ms | 8.890 ms | |
| overshoot σ% | none | none | none | |
| steady-state error | 0.0739% | 0.0451% | 0.0163% | |
Publisher’s Note: MDPI stays neutral with regard to jurisdictional claims in published maps and institutional affiliations. |
© 2021 by the authors. Licensee MDPI, Basel, Switzerland. This article is an open access article distributed under the terms and conditions of the Creative Commons Attribution (CC BY) license (https://creativecommons.org/licenses/by/4.0/).
Share and Cite
Yin, H.; Yi, W.; Wu, J.; Wang, K.; Guan, J. Adaptive Fuzzy Neural Network PID Algorithm for BLDCM Speed Control System. Mathematics 2022, 10, 118. https://doi.org/10.3390/math10010118
Yin H, Yi W, Wu J, Wang K, Guan J. Adaptive Fuzzy Neural Network PID Algorithm for BLDCM Speed Control System. Mathematics. 2022; 10(1):118. https://doi.org/10.3390/math10010118
Chicago/Turabian StyleYin, Hongqiao, Wenjun Yi, Jintao Wu, Kangjian Wang, and Jun Guan. 2022. "Adaptive Fuzzy Neural Network PID Algorithm for BLDCM Speed Control System" Mathematics 10, no. 1: 118. https://doi.org/10.3390/math10010118
APA StyleYin, H., Yi, W., Wu, J., Wang, K., & Guan, J. (2022). Adaptive Fuzzy Neural Network PID Algorithm for BLDCM Speed Control System. Mathematics, 10(1), 118. https://doi.org/10.3390/math10010118

