Multiple Reaction Monitoring–Mass Spectrometric Immunoassay Analysis of Parathyroid Hormone Fragments with Vitamin D Deficiency in Patients with Diabetes Mellitus
Abstract
1. Introduction
2. Materials and Methods
2.1. Materials and Chemicals
2.2. Subjects and Blood Samples
2.2.1. Ethical Approval and Participant Recruitment
2.2.2. Participant Recruitment and Sample Collection
2.3. Signature Peptide Selection
2.4. MRM Transition Development
2.4.1. Stock and Working Solution Preparation
2.4.2. LC-MS/MS Analysis
2.5. Preparation of Plasma Sample and Enrichment Using MSIA DARTs
2.5.1. In-Solution Tryptic Digestion
2.5.2. Solid-Phase Extraction (SPE)
2.6. LC-MS/MS Method Validation Protocol
2.6.1. Linearity Verification
2.6.2. Limits of Detection
2.6.3. Inter- and Intraday Validation
2.6.4. Stability of Peptide
2.6.5. Carryover
2.7. Data and Statistical Analysis
3. Results and Discussion
3.1. Basic and Biochemical Characteristics
3.2. Signature Peptide Selection and LC-MS/MS Method Development
3.3. Validation of LC-MS/MS Method
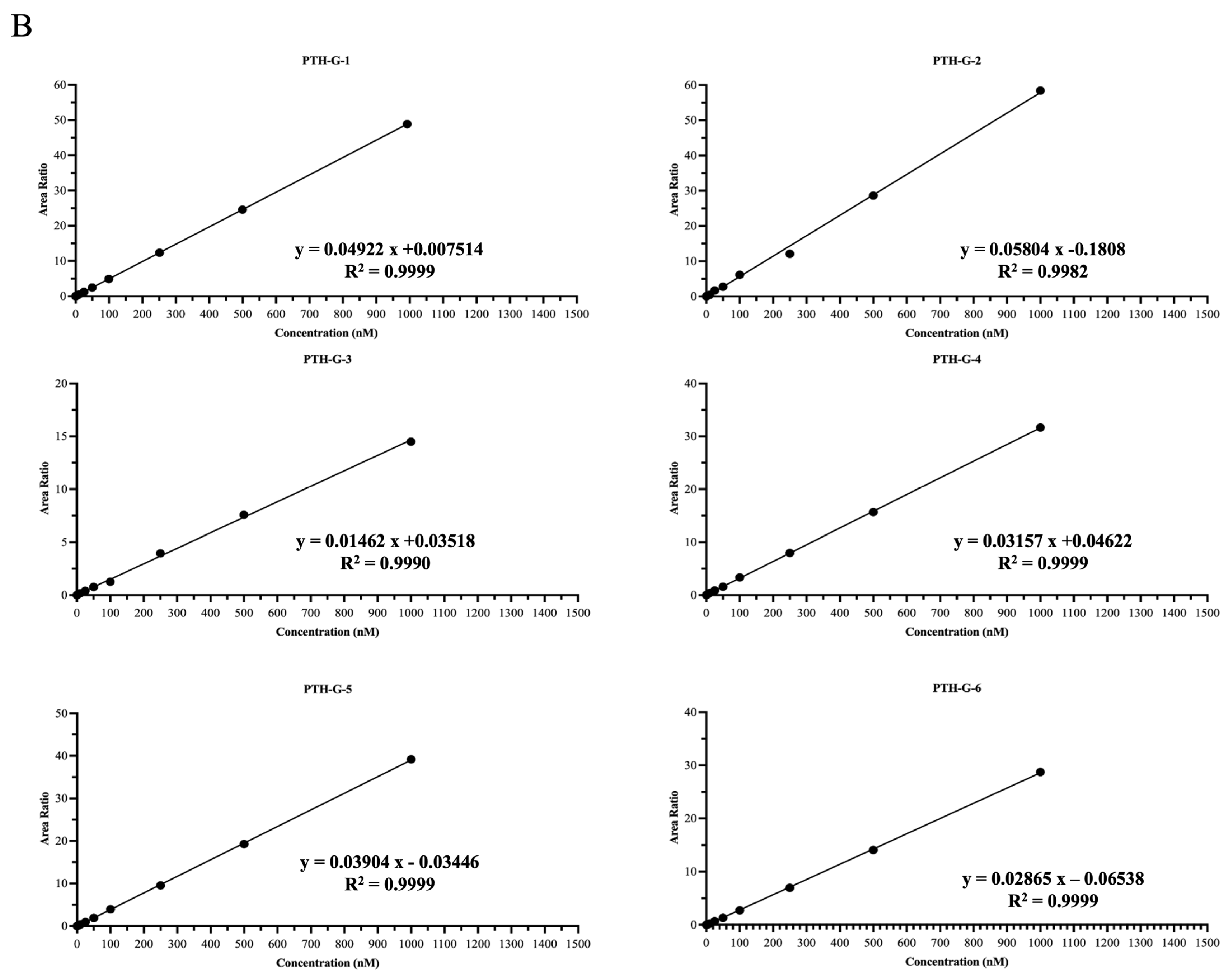
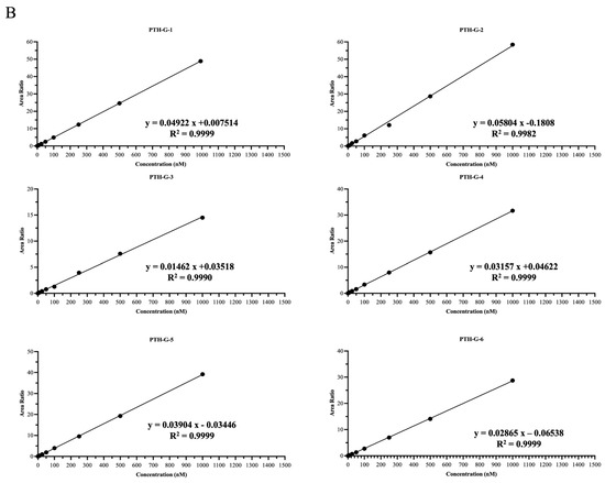
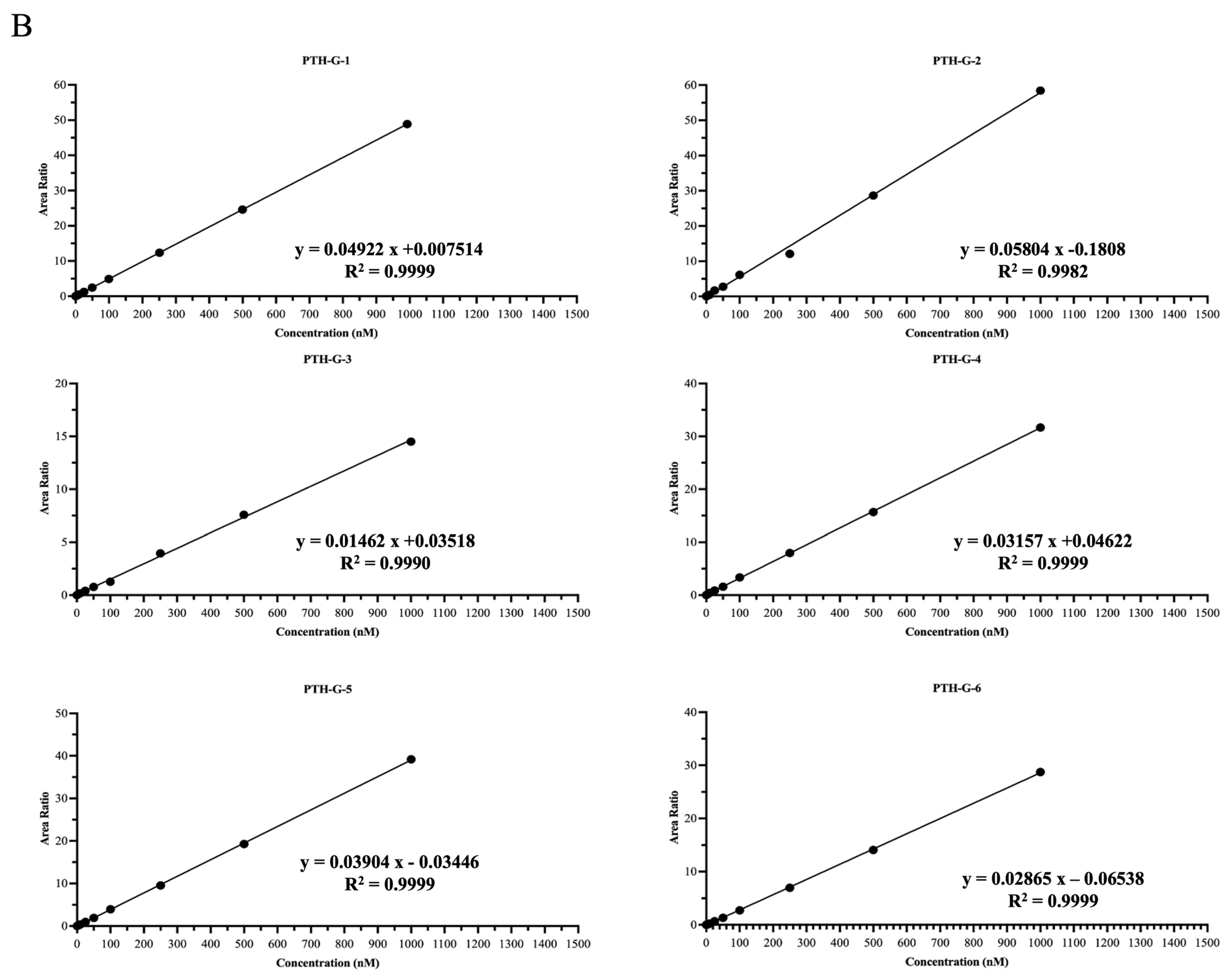
3.3.1. Curve Linearity
3.3.2. Specificity and Sensitivity
3.3.3. Inter- and Intraday Precision
3.3.4. Peptide Stability Study
3.4. Evaluation of Clinical Samples
4. Conclusions
Supplementary Materials
Author Contributions
Funding
Institutional Review Board Statement
Informed Consent Statement
Data Availability Statement
Conflicts of Interest
Abbreviations
| PTH | Parathyroid hormone |
| CLIA | Clinical Laboratory Improvement Amendments |
| MSIA | Mass spectrometric immunoassay |
| T2DM | Type 2 diabetes mellitus |
| VDRs | Vitamin D receptors |
| MeOH | Methanol |
| FA | Formic acid |
| ABC | Ammonium bicarbonate |
| ICH-GCP | International Conference on Harmonization-Good Clinical Practice |
| DN | Diabetic patients with normal vitamin D |
| DD | Diabetic patients with deficient vitamin D |
| IS | Internal standard |
| D.A.R.T. | Disposable Automation Research Tips |
| RSD | Relative standard deviation |
| QC | Quality control |
References
- Chiu, K.C.; Chuang, L.M.; Lee, N.P.; Ryu, J.M.; McGullam, J.L.; Tsai, G.P.; Saad, M.F. Insulin sensitivity is inversely correlated with plasma intact parathyroid hormone level. Metabolism 2000, 49, 1501–1505. [Google Scholar] [CrossRef] [PubMed]
- Chiu, K.C.; Chu, A.; Go, V.L.; Saad, M.F. Hypovitaminosis D is associated with insulin resistance and beta cell dysfunction. Am. J. Clin. Nutr. 2004, 79, 820–825. [Google Scholar] [CrossRef] [PubMed]
- Sass, M.R.; Wewer Albrechtsen, N.J.; Pedersen, J.; Hare, K.J.; Borbye-Lorenzen, N.; Kiss, K.; Vilsboll, T.; Knop, F.K.; Poulsen, S.S.; Jorgensen, N.R.; et al. Secretion of parathyroid hormone may be coupled to insulin secretion in humans. Endocr. Connect. 2020, 9, 747–754. [Google Scholar] [CrossRef] [PubMed]
- Vijay, G.S.; Ghonge, S.; Vajjala, S.M.; Palal, D. Prevalence of Vitamin D Deficiency in Type 2 Diabetes Mellitus Patients: A Cross-Sectional Study. Cureus 2023, 15, e38952. [Google Scholar] [CrossRef] [PubMed]
- Klahold, E.; Penna-Martinez, M.; Bruns, F.; Seidl, C.; Wicker, S.; Badenhoop, K. Vitamin D in type 2 diabetes: Genetic susceptibility and the response to supplementation. Horm. Metab. Res. 2020, 52, 492–499. [Google Scholar] [PubMed]
- Talaei, A.; Mohamadi, M.; Adgi, Z. The effect of vitamin D on insulin resistance in patients with type 2 diabetes. Diabetol. Metab. Syndr. 2013, 5, 8. [Google Scholar] [CrossRef]
- Holick, M.F.; Binkley, N.C.; Bischoff-Ferrari, H.A.; Gordon, C.M.; Hanley, D.A.; Heaney, R.P.; Murad, M.H.; Weaver, C.M.; Endocrine, S. Evaluation, treatment, and prevention of vitamin D deficiency: An Endocrine Society clinical practice guideline. J. Clin. Endocrinol. Metab. 2011, 96, 1911–1930. [Google Scholar] [CrossRef]
- Jacquillet, G.; Unwin, R.J. Physiological regulation of phosphate by vitamin D, parathyroid hormone (PTH) and phosphate (Pi). Pflügers Arch.-Eur. J. Physiol. 2019, 471, 83–98. [Google Scholar] [CrossRef]
- Lips, P. Vitamin D deficiency and secondary hyperparathyroidism in the elderly: Consequences for bone loss and fractures and therapeutic implications. Endocr. Rev. 2001, 22, 477–501. [Google Scholar] [CrossRef]
- Hussain, A.; Latiwesh, O.B.; Ali, A.; Tabrez, E.; Mehra, L.; Nwachukwu, F. Parathyroid Gland Response to Vitamin D Deficiency in Type 2 Diabetes Mellitus: An Observational Study. Cureus 2018, 10, e3656. [Google Scholar] [CrossRef]
- Vilardaga, J.-P.; Friedman, P.A. Chapter 30—Molecular Biology of Parathyroid Hormone. In Textbook of Nephro-Endocrinology, 2nd ed.; Singh, A.K., Williams, G.H., Eds.; Academic Press: Cambridge, MA, USA, 2018; pp. 523–537. [Google Scholar] [CrossRef]
- Smith, L.M.; Kelleher, N.L. Proteoform: A single term describing protein complexity. Nat. Methods 2013, 10, 186–187. [Google Scholar] [CrossRef] [PubMed]
- Aebersold, R.; Agar, J.N.; Amster, I.J.; Baker, M.S.; Bertozzi, C.R.; Boja, E.S.; Costello, C.E.; Cravatt, B.F.; Fenselau, C.; Garcia, B.A. How many human proteoforms are there? Nat. Chem. Biol. 2018, 14, 206–214. [Google Scholar] [CrossRef] [PubMed]
- D’Amour, P.; Brossard, J.-H.; Rousseau, L.; Nguyen-Yamamoto, L.; Nassif, E.; Lazure, C.; Gauthier, D.; Lavigne, J.R.; Zahradnik, R.J. Structure of non-(1-84) PTH fragments secreted by parathyroid glands in primary and secondary hyperparathyroidism. Kidney Int. 2005, 68, 998–1007. [Google Scholar] [CrossRef]
- Usatii, M.; Rousseau, L.; Demers, C.; Petit, J.L.; Brossard, J.H.; Gascon-Barre, M.; Lavigne, J.R.; Zahradnik, R.J.; Nemeth, E.F.; D’Amour, P. Parathyroid hormone fragments inhibit active hormone and hypocalcemia-induced 1,25(OH)2D synthesis. Kidney Int. 2007, 72, 1330–1335. [Google Scholar] [CrossRef] [PubMed]
- Evenepoel, P.; Bover, J.; Torres, P.U. Parathyroid hormone metabolism and signaling in health and chronic kidney disease. Kidney Int. 2016, 90, 1184–1190. [Google Scholar] [CrossRef]
- Geng, S.; Kuang, Z.; Peissig, P.; Page, D.; Maursetter, L.; Hansen, K. Parathyroid hormone independently predicts fracture, vascular events, and death in patients with stage 3 and 4 chronic kidney disease. Osteoporos. Int. 2019, 30, 2019–2025. [Google Scholar] [CrossRef]
- Fraser, W.D.; Walsh, C.A.; Birch, M.A.; Durham, B.; Dillon, J.P.; McCreavy, D.; Gallagher, J.A. Parathyroid hormone-related protein in the aetiology of fibrous dysplasia of bone in the McCune Albright syndrome. Clin. Endocrinol. 2000, 53, 621–628. [Google Scholar] [CrossRef]
- Chew, C.K.; Clarke, B.L. Abaloparatide: Recombinant human PTHrP (1–34) anabolic therapy for osteoporosis. Maturitas 2017, 97, 53–60. [Google Scholar] [CrossRef]
- Smit, M.A.; van Kinschot, C.M.J.; van der Linden, J.; van Noord, C.; Kos, S. Clinical Guidelines and PTH Measurement: Does Assay Generation Matter? Endocr. Rev. 2019, 40, 1468–1480. [Google Scholar] [CrossRef]
- Borges, C.R.; Rehder, D.S.; Jarvis, J.W.; Schaab, M.R.; Oran, P.E.; Nelson, R.W. Full-length characterization of proteins in human populations. Clin. Chem. 2010, 56, 202–211. [Google Scholar] [CrossRef]
- Ljungdahl, N.; Haarhaus, M.; Linder, C.; Magnusson, P. Comparison of 3 third-generation assays for bio-intact parathyroid hormone. Clin. Chem. 2006, 52, 903–904. [Google Scholar] [CrossRef] [PubMed]
- Boudou, P.; Ibrahim, F.; Cormier, C.; Sarfati, E.; Souberbielle, J.C. Unexpected serum parathyroid hormone profiles in some patients with primary hyperparathyroidism. Clin. Chem. 2006, 52, 757–760. [Google Scholar] [CrossRef] [PubMed][Green Version]
- Sturgeon, C.M.; Sprague, S.; Almond, A.; Cavalier, E.; Fraser, W.D.; Algeciras-Schimnich, A.; Singh, R.; Souberbielle, J.C.; Vesper, H.W.; PTH, I.W.G.f. Perspective and priorities for improvement of parathyroid hormone (PTH) measurement—A view from the IFCC Working Group for PTH. Clin. Chim. Acta 2017, 467, 42–47. [Google Scholar] [CrossRef] [PubMed]
- Cavalier, E.; Farre-Segura, J.; Lukas, P.; Gendebien, A.S.; Peeters, S.; Massonnet, P.; Le Goff, C.; Bouquegneau, A.; Souberbielle, J.C.; Delatour, V.; et al. Unveiling a new era with liquid chromatography coupled with mass spectrometry to enhance parathyroid hormone measurement in patients with chronic kidney disease. Kidney Int. 2024, 105, 338–346. [Google Scholar] [CrossRef] [PubMed]
- Kumar, V.; Barnidge, D.R.; Chen, L.S.; Twentyman, J.M.; Cradic, K.W.; Grebe, S.K.; Singh, R.J. Quantification of serum 1-84 parathyroid hormone in patients with hyperparathyroidism by immunocapture in situ digestion liquid chromatography-tandem mass spectrometry. Clin. Chem. 2010, 56, 306–313. [Google Scholar] [CrossRef]
- Lopez, M.F.; Rezai, T.; Sarracino, D.A.; Prakash, A.; Krastins, B.; Athanas, M.; Singh, R.J.; Barnidge, D.R.; Oran, P.; Borges, C.; et al. Selected reaction monitoring-mass spectrometric immunoassay responsive to parathyroid hormone and related variants. Clin. Chem. 2010, 56, 281–290. [Google Scholar] [CrossRef] [PubMed]
- Farre-Segura, J.; Le Goff, C.; Lukas, P.; Cobraiville, G.; Fillet, M.; Servais, A.C.; Delanaye, P.; Cavalier, E. Validation of an LC-MS/MS Method Using Solid-Phase Extraction for the Quantification of 1-84 Parathyroid Hormone: Toward a Candidate Reference Measurement Procedure. Clin. Chem. 2022, 68, 1399–1409. [Google Scholar] [CrossRef]
- Kritmetapak, K.; Losbanos, L.A.; Hines, J.M.; O’Grady, K.L.; Ulmer, C.Z.; Vesper, H.W.; Enders, F.T.; Singh, R.J.; Kumar, R. Chemical Characterization and Quantification of Circulating Intact PTH and PTH Fragments by High-Resolution Mass Spectrometry in Chronic Renal Failure. Clin. Chem. 2021, 67, 843–853. [Google Scholar] [CrossRef]
- Ulmer, C.Z.; Kritmetapak, K.; Singh, R.J.; Vesper, H.W.; Kumar, R. High-Resolution Mass Spectrometry for the Measurement of PTH and PTH Fragments: Insights into PTH Physiology and Bioactivity. J. Am. Soc. Nephrol. 2022, 33, 1448–1458. [Google Scholar] [CrossRef]
- Liu, M.; Miao, D.; Qin, S.; Liu, H.; Bai, Y. Mass tag-based mass spectrometric immunoassay and its bioanalysis applications. TrAC Trends Anal. Chem. 2022, 157, 116745. [Google Scholar] [CrossRef]
- Gao, J.; Meyer, K.; Borucki, K.; Ueland, P.M. Multiplex immuno-MALDI-TOF MS for targeted quantification of protein biomarkers and their proteoforms related to inflammation and renal dysfunction. Anal. Chem. 2018, 90, 3366–3373. [Google Scholar] [CrossRef] [PubMed]
- Nelson, R.W.; Krone, J.R.; Bieber, A.L.; Williams, P. Mass spectrometric immunoassay. Anal. Chem. 1995, 67, 1153–1158. [Google Scholar] [CrossRef] [PubMed]
- Yassine, H.N.; Jackson, A.M.; Reaven, P.D.; Nedelkov, D.; Nelson, R.W.; Lau, S.S.; Borchers, C.H. The application of multiple reaction monitoring to assess ApoA-I methionine oxidations in diabetes and cardiovascular disease. Transl. Proteom. 2014, 4, 18–24. [Google Scholar] [CrossRef] [PubMed]
- Yassine, H.N.; Trenchevska, O.; Ramrakhiani, A.; Parekh, A.; Koska, J.; Walker, R.W.; Billheimer, D.; Reaven, P.D.; Yen, F.T.; Nelson, R.W. The association of human apolipoprotein C-III sialylation proteoforms with plasma triglycerides. PLoS ONE 2015, 10, e0144138. [Google Scholar] [CrossRef]
- Oran, P.E.; Trenchevska, O.; Nedelkov, D.; Borges, C.R.; Schaab, M.R.; Rehder, D.S.; Jarvis, J.W.; Sherma, N.D.; Shen, L.; Krastins, B. Parallel workflow for high-throughput (>1,000 samples/day) quantitative analysis of human insulin-like growth factor 1 using mass spectrometric immunoassay. PLoS ONE 2014, 9, e92801. [Google Scholar] [CrossRef]
- Yassine, H.N.; Trenchevska, O.; He, H.; Borges, C.R.; Nedelkov, D.; Mack, W.; Kono, N.; Koska, J.; Reaven, P.D.; Nelson, R.W. Serum amyloid a truncations in type 2 diabetes mellitus. PLoS ONE 2015, 10, e0115320. [Google Scholar] [CrossRef]
- Guideline, I.H.T. Validation of analytical procedures: Text and methodology. Q2 (R1) 2005, 1, 05. [Google Scholar]
- Nimer, R.M.; Sumaily, K.M.; Almuslat, A.; Abdel Jabar, M.; Sabi, E.M.; Al-Muhaizea, M.A.; Abdel Rahman, A.M. Dystrophin Protein Quantification as a Duchenne Muscular Dystrophy Diagnostic Biomarker in Dried Blood Spots Using Multiple Reaction Monitoring Tandem Mass Spectrometry: A Preliminary Study. Molecules 2022, 27, 3662. [Google Scholar] [CrossRef]
- Malkawi, A.K.; Nimer, R.M.; Almogren, M.; Masood, A.; Alarfaj, A.S.; Benabdelkamel, H.; Abdel Rahman, A.M.; Siaj, M. Quantitative analysis of soluble costimulatory molecules as potential diagnostic biomarkers for rheumatoid arthritis using LC-MS/MS in MRM mode. Clin. Chim. Acta 2023, 548, 117501. [Google Scholar] [CrossRef] [PubMed]
- U.S. Food and Drug Administration. Bioanalytical Method Validation Guidance for Industry; US Department of Health and Human Services Food and Drug Administration Center for Drug Evaluation and Research and Center for Veterinary Medicine: Rockville, MD, USA, 2018.
- U.S. Food and Drug Administration. Guidance for Industry. Q2B Validation of Analytical Procedures: Methodology. US Department of Health and Human Services; U.S. Food and Drug Administration Center for Drug Evaluation and Research, Center for Biologics Evaluation and Research: Rockville, MD, USA, 1996.
- U.S. Food and Drug Administration. M10 Bioanalytical Method Validation and Study Sample Analysis; U.S. Food and Drug Administration Center for Drug Evaluation and Research, Center for Biologics Evaluation and Research: Rockville, MD, USA, 2022.
- Hopfgartner, G.; Lesur, A.; Varesio, E. Analysis of biopharmaceutical proteins in biological matrices by LC-MS/MS II. LC-MS/MS analysis. TrAC Trends Anal. Chem. 2013, 48, 52–61. [Google Scholar] [CrossRef]
- Sumaily, K.M.; Nimer, R.; Alzahrani, M.; Abdel Jabar, M.; Alodib, A.; Sabi, E.M.; Nizami, I.; Abdel Rahman, A.M. CFTR protein quantification as a cystic fibrosis diagnostic biomarker in dried blood spots using multiple reaction monitoring tandem mass spectrometry. J. Pharm. Biomed. Anal. 2022, 216, 114801. [Google Scholar] [CrossRef] [PubMed]
- Galal, M.A.; Jabar, M.A.; Zhra, M.; Rahman, A.M.A.; Aljada, A. Absolute quantification of senescence mediators in cells using multiple reaction monitoring liquid chromatography-Tandem mass spectrometry. Anal. Chim. Acta 2021, 1184, 339009. [Google Scholar] [CrossRef] [PubMed]
- Afzal, S.; Bojesen, S.E.; Nordestgaard, B.G. Low 25-hydroxyvitamin D and risk of type 2 diabetes: A prospective cohort study and metaanalysis. Clin. Chem. 2013, 59, 381–391. [Google Scholar] [CrossRef] [PubMed]
- Trenchevska, O.; Nelson, R.W.; Nedelkov, D. Mass Spectrometric Immunoassays in Characterization of Clinically Significant Proteoforms. Proteomes 2016, 4, 13. [Google Scholar] [CrossRef]






| 1 Wash | 2 Immobilization of Antibody | 3 Wash | 4 Antigen Capture | 5 Wash | 6 Wash | 7 Wash | 8 Wash | 9 Elution | |
|---|---|---|---|---|---|---|---|---|---|
| Liquid | PBS | 100 μL (0.05 mg/mL) of the Mouse Anti Parathyroid Hormone (PTH) Antibody | 10 mM PBS | 150 μL of 100× Diluted Plasma in PBST | 10 mM PBS | 10 mM PBS | LC/MS Grade Water | LC/MS Grade Water | 40% Acetonitrile and 0.4% TFA LC/MS Grade Water |
| Asp/Disp cycles | 10× | 250× | 10× | 100× | 10× | 10× | 10× | 10× | 10× |
| Cycle volume (μL) | 150 | 80 | 150 | 100 | 150 | 150 | 150 | 150 | 7 |
| Total well volume (μL) | 200 | 100 | 200 | 100 | 200 | 200 | 200 | 200 | 10 |
| Parameter | Vitamin D Deficiency (n = 20) | Normal Vitamin D (n = 20) | p-Value |
|---|---|---|---|
| Male/Female (%) | 60/40 | 70/30 | NA |
| Age (years) | 45.3 ± 10.6 | 50.3 ± 13.2 | 0.12 |
| Glucose (mmol/L) | 6.3 ± 0.8 | 7.2 ± 0.5 | 0.09 |
| Urea (mmol/L) | 4.3 ± 0.9 | 4.6 ± 0.8 | 0.26 |
| Creatinine (umol/L) | 71.1 ± 12.7 | 75.3 ± 12.0 | 0.074 |
| Sodium (mmol/L) | 132.6 ± 5.1 | 136.3 ± 5.9 | 0.13 |
| Potassium (mmol/L) | 4.2 ± 0.2 | 4.3 ± 0.4 | 0.40 |
| Aspartate transaminase (IU/L) | 44.8 ± 9.1 | 41.8 ± 4.5 | 0.38 |
| Alanine transaminase (IU/L) | 19.5 ± 5 | 18.8 ± 2.0 | 0.4 |
| Alkaline phosphatase (IU/L) | 97.6 ± 13.7 | 93.2 ± 28.9 | 0.3 |
| Total cholesterol (mmol/L) | 4.6 ± 1.0 | 4.9 ± 0.8 | 0.10 |
| HDL cholesterol (mmol/L) | 1.2 ± 0.2 | 1.4 ± 0.2 | 0.2 |
| LDL cholesterol (mmol/L) | 2.8 ± 0.9 | 3.1 ± 0.7 | 0.09 |
| Triglycerides (mmol/L) | 1.8 ± 0.6 | 2.5 ± 0.2 | 0.07 |
| vitamin D (nmol/L) | 27.7 ± 9.3 | 97.5 ± 22.9 | <0.01 * |
Disclaimer/Publisher’s Note: The statements, opinions and data contained in all publications are solely those of the individual author(s) and contributor(s) and not of MDPI and/or the editor(s). MDPI and/or the editor(s) disclaim responsibility for any injury to people or property resulting from any ideas, methods, instructions or products referred to in the content. |
© 2024 by the authors. Licensee MDPI, Basel, Switzerland. This article is an open access article distributed under the terms and conditions of the Creative Commons Attribution (CC BY) license (https://creativecommons.org/licenses/by/4.0/).
Share and Cite
Benabdelkamel, H.; Nimer, R.M.; Masood, A.; Al Mogren, M.; Abdel Rahman, A.M.; Alfadda, A.A. Multiple Reaction Monitoring–Mass Spectrometric Immunoassay Analysis of Parathyroid Hormone Fragments with Vitamin D Deficiency in Patients with Diabetes Mellitus. Proteomes 2024, 12, 30. https://doi.org/10.3390/proteomes12040030
Benabdelkamel H, Nimer RM, Masood A, Al Mogren M, Abdel Rahman AM, Alfadda AA. Multiple Reaction Monitoring–Mass Spectrometric Immunoassay Analysis of Parathyroid Hormone Fragments with Vitamin D Deficiency in Patients with Diabetes Mellitus. Proteomes. 2024; 12(4):30. https://doi.org/10.3390/proteomes12040030
Chicago/Turabian StyleBenabdelkamel, Hicham, Refat M. Nimer, Afshan Masood, Maha Al Mogren, Anas M. Abdel Rahman, and Assim A. Alfadda. 2024. "Multiple Reaction Monitoring–Mass Spectrometric Immunoassay Analysis of Parathyroid Hormone Fragments with Vitamin D Deficiency in Patients with Diabetes Mellitus" Proteomes 12, no. 4: 30. https://doi.org/10.3390/proteomes12040030
APA StyleBenabdelkamel, H., Nimer, R. M., Masood, A., Al Mogren, M., Abdel Rahman, A. M., & Alfadda, A. A. (2024). Multiple Reaction Monitoring–Mass Spectrometric Immunoassay Analysis of Parathyroid Hormone Fragments with Vitamin D Deficiency in Patients with Diabetes Mellitus. Proteomes, 12(4), 30. https://doi.org/10.3390/proteomes12040030

