Critical Consciousness and Schooling: The Impact of the Community as a Classroom Program on Academic Indicators
Abstract
:1. Introduction
2. Critical Consciousness and the Community as Classroom Initiative
2.1. Understanding the Underdeveloped Neighborhoods Problem
2.2. Community Schools and Neighborhood Development
2.3. The Program
2.4. Theoretical Foundation
3. Research Design
3.1. Dependent Variables
3.2. Independent and Control Variables
4. Results
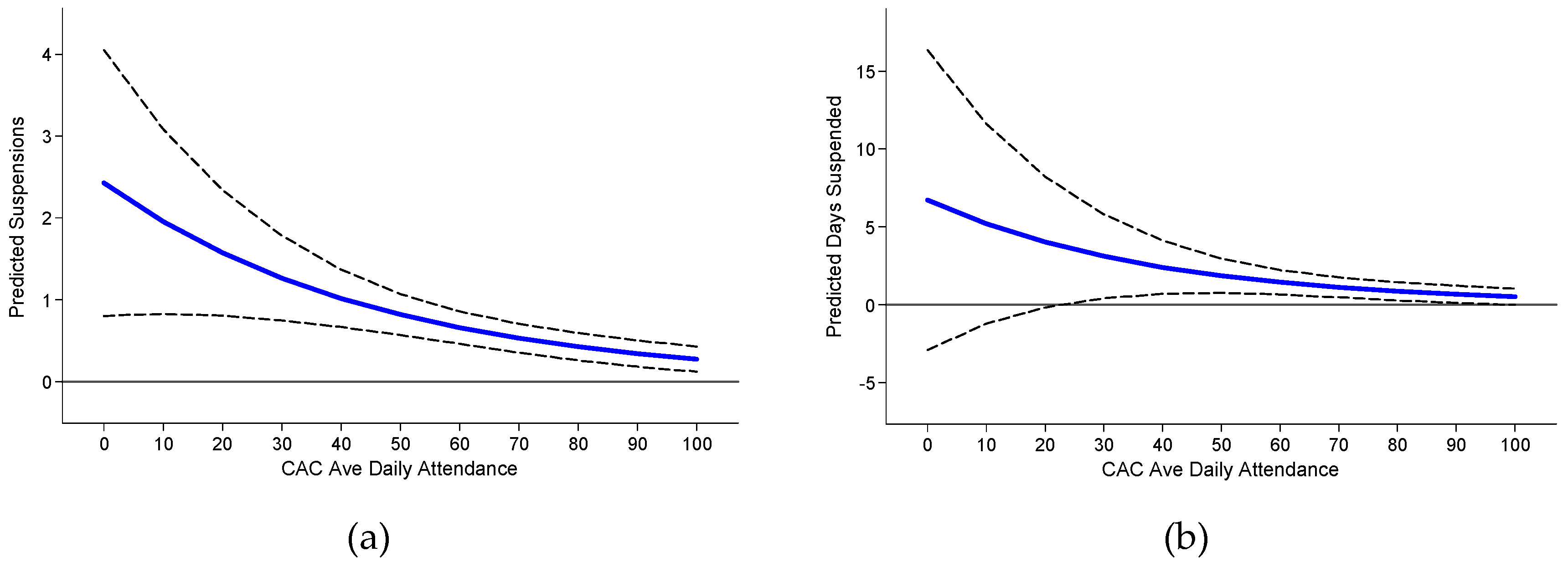
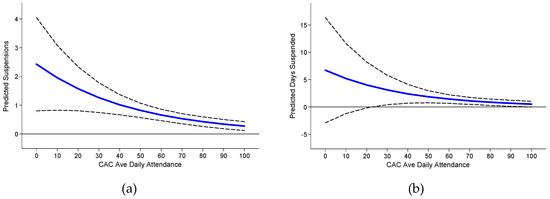
4.1. Attendance and Discipline
4.2. Grades
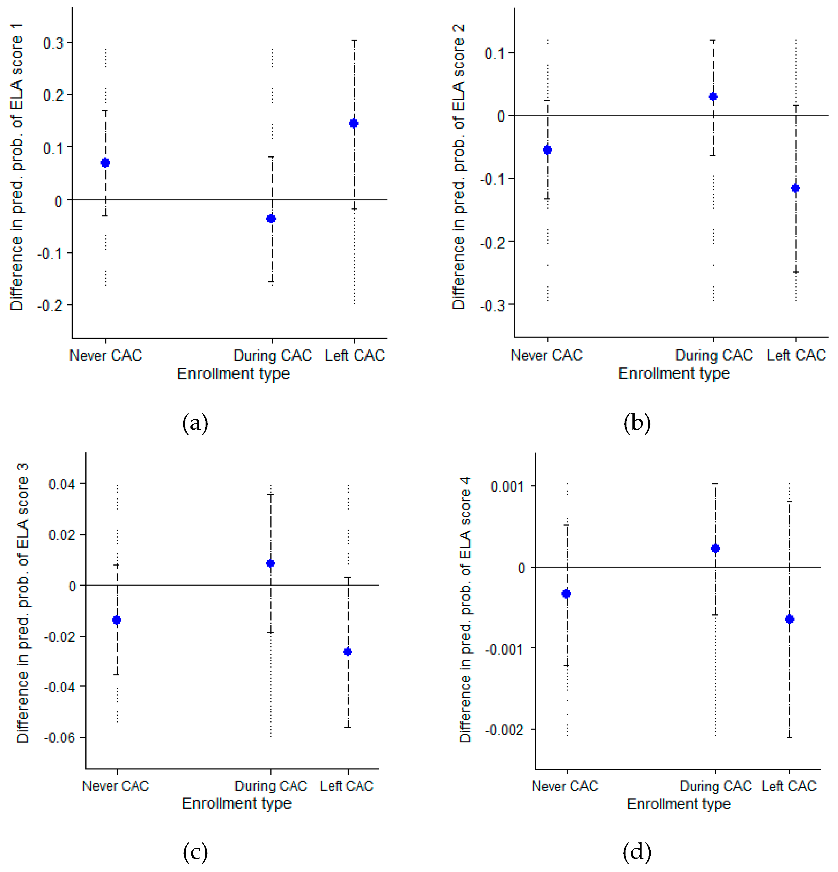
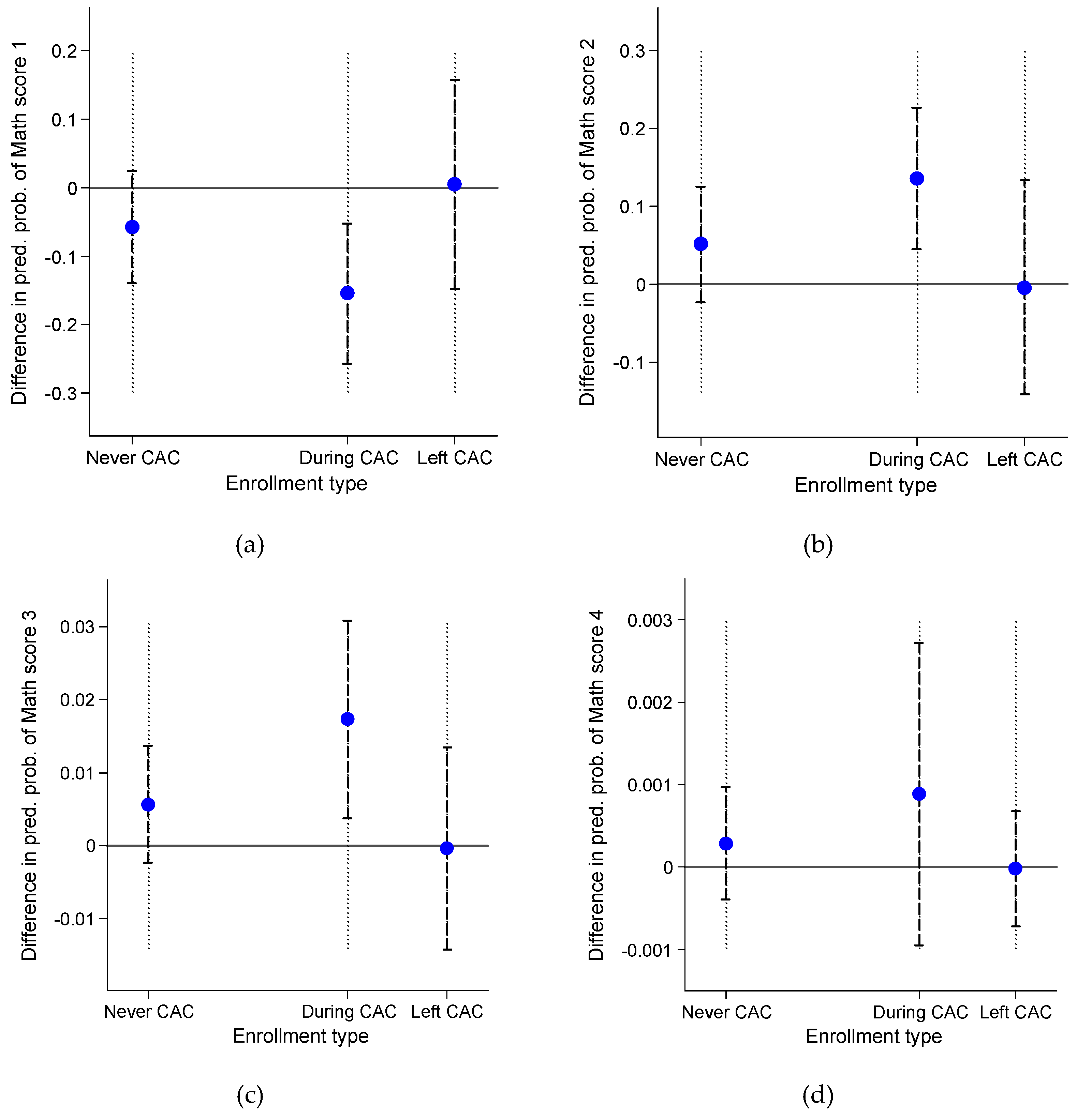
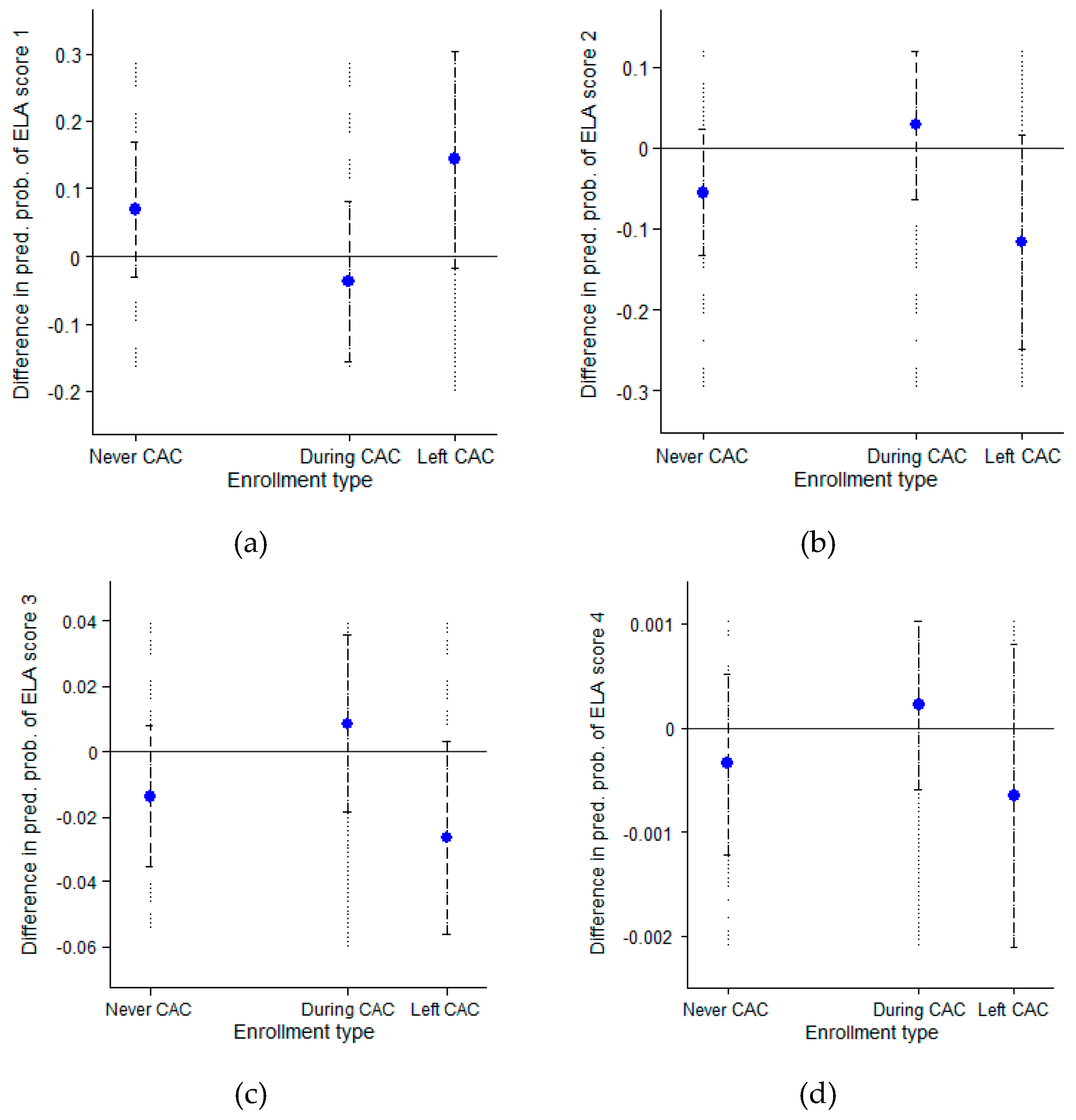
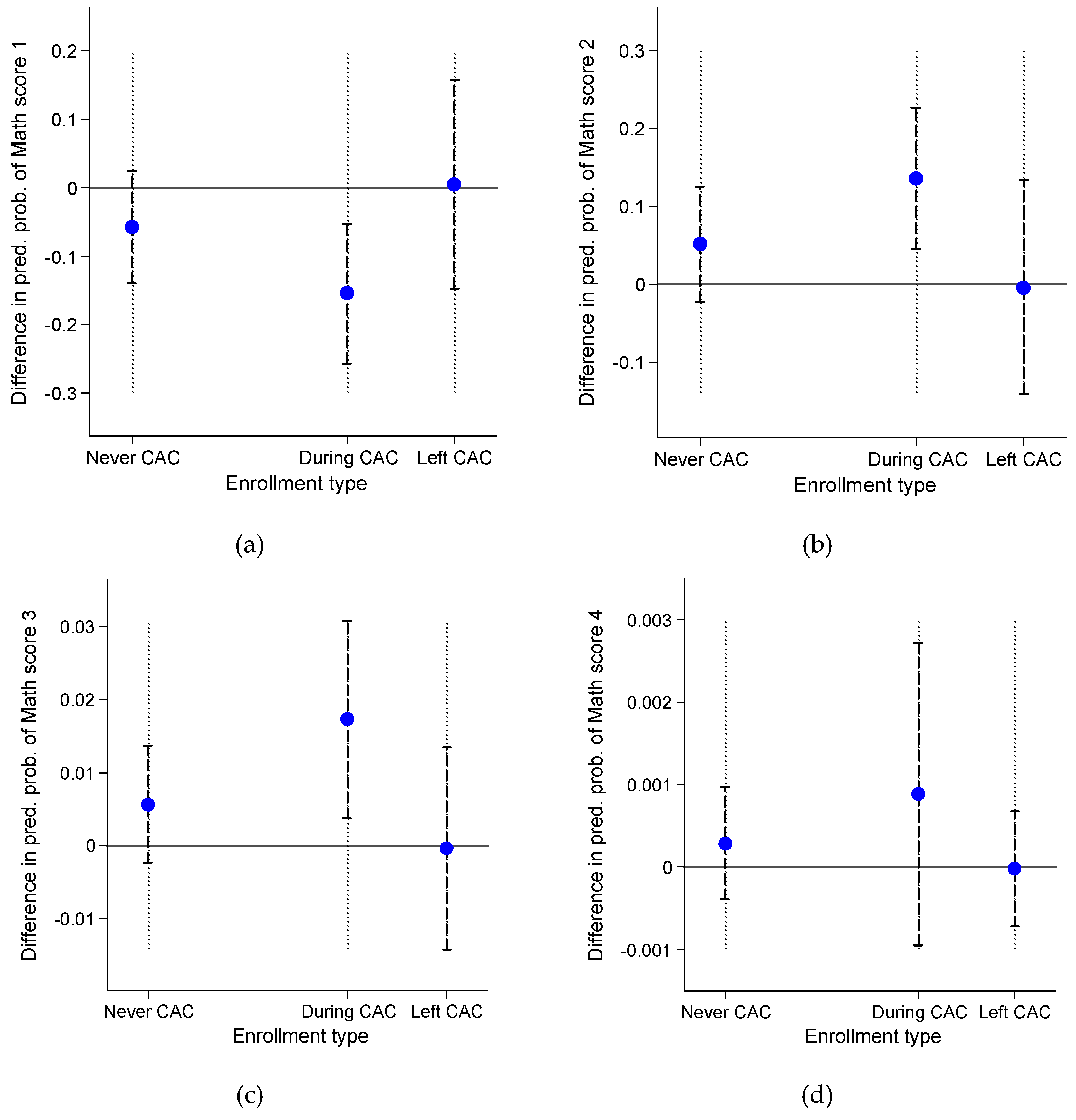
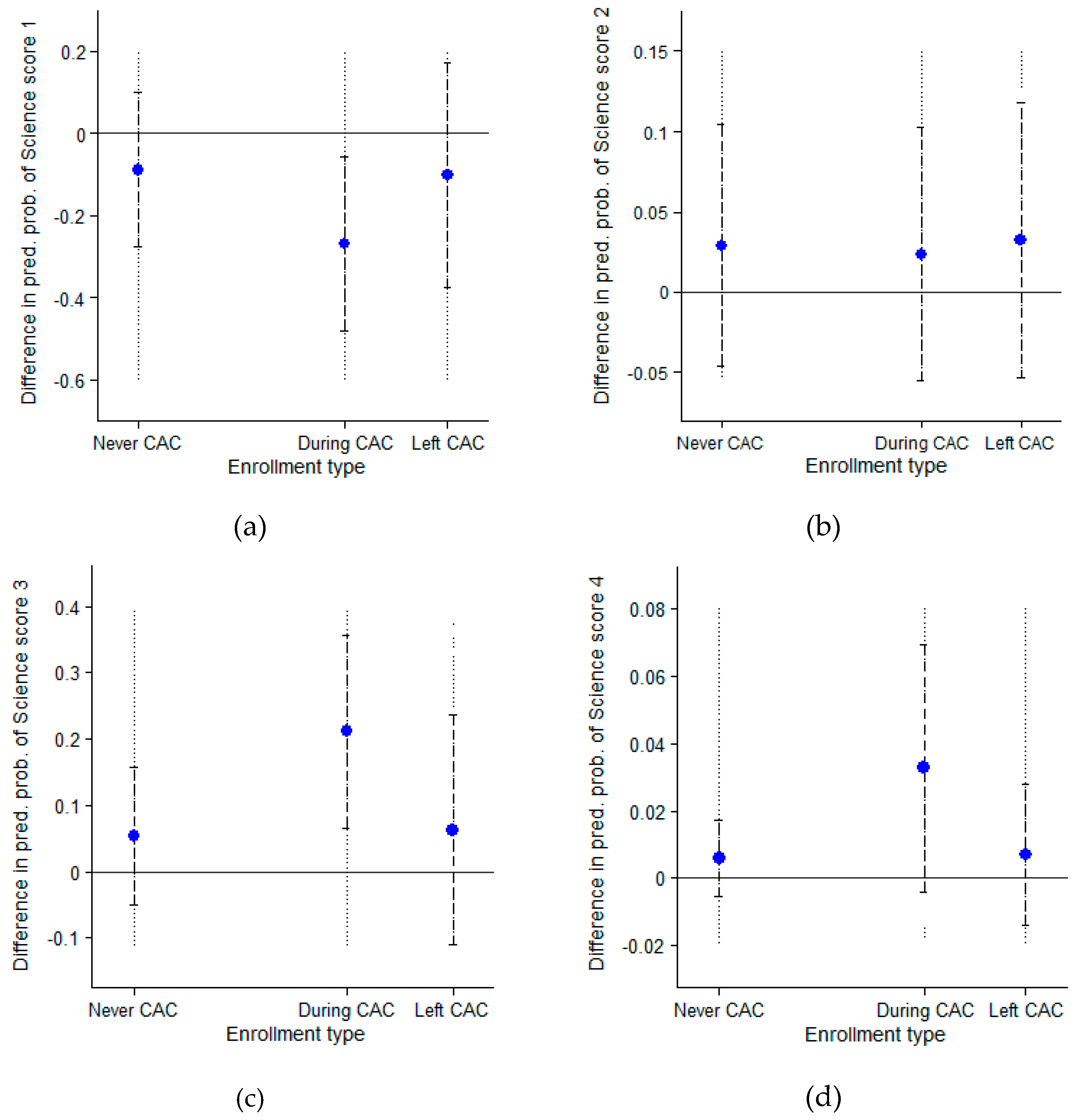
4.3. Standardized Test Scores
5. Discussion
6. Conclusions
7. Limitations
Acknowledgments
Author Contributions
Conflicts of Interest
References
- Losen, D.J.; Skiba, R. Suspended Education: Urban Middle Schools in Crisis; The Civil Rights Project at the University of California—Los Angeles: Los Angeles, CA, USA, 2010. [Google Scholar]
- Swanson, C.B. Cities in Crisis: A Special Analytic Report on High School Graduation; Editorial Projects in Education Research Center: Bethesda, MD, USA, 2008. [Google Scholar]
- Brighouse, H.; Schouten, G. Understanding the context for existing reform and research proposals. In Whither Opportunity? Rising Inequality, Schools, and Children’s Life Chances; Duncan, G.J., Murnane, R.J., Eds.; Russell Sage Foundation: New York, NY, USA, 2011; pp. 507–522. [Google Scholar]
- Taylor, H.L.; McGlynn, L. The “Community as Classroom Initiative:” The case of Futures Academy in Buffalo, New York. Univ. Commun. Sch. 2010, 8, 31–43. [Google Scholar]
- Benson, L.; Harkavy, I.; Puckett, J. Dewey’s Dream; Temple University Press: Philadelphia, PA, 2007. [Google Scholar]
- Luter, D.G. Tensions and contradictions in approaches to improving urban inner-city schools in the United States. In Challenges and Opportunities of Educational Leadership Research and Practice: The State of the Field and Its Multiple Futures; Bowers, A., Shoho, A., Barnett, B., Eds.; Information Age Publishing: Charlotte, NC, USA, 2015. [Google Scholar]
- Sampson, R.J. Great American City: Chicago and the Enduring Neighborhood Effect; University of Chicago Press: Chicago, IL, USA, 2012. [Google Scholar]
- Sharkey, P. Stuck in Place: Urban Neighborhoods and the End of Progress toward Racial Equality; University of Chicago Press: Chicago, IL, USA, 2013. [Google Scholar]
- Taylor, H.L.; Jung, J.K.; Martin, L. Who Owns the Houses with the Broken Windows? Rethinking the Black Neighborhood Development Process; Working Paper; University at Buffalo Center for Urban Studies: Buffalo, NY, USA, 2015. [Google Scholar]
- Solar, O.; Irwin, A. A Conceptual Framework for Action on the Social Determinants of Health; Social Determinants of Health Discussion Paper 2 (Policy and Practice); World Health Organization: Geneva, Switzerland, 2010. [Google Scholar]
- Taylor, H.L.; McGlynn, L.G. The connection: Schooling, youth development, and community building—The Futures Academy case. New Dir. Youth Dev. Theory Pract. Res. 2009, 2009, 19–40. [Google Scholar] [CrossRef] [PubMed]
- Watts, R.J.; Diemer, M.A.; Voight, A.M. Critical consciousness: Current status and future directions. In Youth Civic Development: Work at the Cutting Edge. New Directions for Child and Adolescent Development; Flanagan, C.A., Christens, B.D., Eds.; John Wiley & Sons: Hoboken, NJ, USA, 2011; pp. 43–57. [Google Scholar]
- Davis-Kean, P.E. The influence of parent education and family income on child achievement: The indirect role of parental expectations and the home environment. J. Fam. Psychol. 2005, 19, 294–304. [Google Scholar] [CrossRef] [PubMed]
- Rendón, M.G. Drop out and “disconnected” young adults: Examining the impact of neighborhood and school contexts. Urban Rev. 2013, 1–28. [Google Scholar] [CrossRef]
- Jargowsky, P.A.; Komi, M.E. Before or After the Bell? School Context and Neighborhood Effects on Student Achievement; Working Paper 28; The Urban Institute: Washington, DC, USA, 2009. [Google Scholar]
- Blank, M.; Melaville, A.; Shah, B.P. Making the Difference: Research and Practice in Community Schools; Coalition for Community Schools: Washington, DC, USA, 2003. [Google Scholar]
- Children’s Aid Society. Building Community Schools: A Guide for Action; Children’s Aid Society: New York, NY, USA, 2013. [Google Scholar]
- Taylor, H.L.; McGlynn, L.; Luter, D.G. Neighborhoods matter: The role of universities in the school reform neighborhood development movement. PJE 2013, 88, 541–563. [Google Scholar] [CrossRef]
- Taylor, H.L.; Miller, C.; McGlynn, L. Critical Consciousness, Youth Empowerment and Black Neighborhoods. Univ. Commun. Sch. 2016, 8, 26–33. [Google Scholar]
- Kubisch, A.C.; Auspos, P.; Brown, P.; Dewar, T. Voices from the Field III: Reflections on Comprehensive Community Change; The Aspen Institute: Washington, DC, USA, 2011. [Google Scholar]
- Taylor, H.L. Stores in the hood: Neighborhood-based business and community development in underdeveloped neighborhoods of color. J. Urban Hist. Forthcoming.
- Young, I.M. Justice and the Politics of Difference; Princeton University Press: Princeton, NJ, USA, 1990. [Google Scholar]
- Sutton, S.E.; Kemp, S.P. (Eds.) The Paradox of Urban Space: Inequality and Transformation in Marginalized Communities; Palgrave Macmillan: New York, NY, USA, 2011.
- Taylor, H.L. The historical roots of the crisis in housing affordability: The case of Buffalo, New York. In Fair and Affordable Housing in the US: Trends, Outcomes, Future Directions; Silverman, R.M., Patterson, K.L., Eds.; Brill: Leiden, The Netherlands, 2011; pp. 245–276. [Google Scholar]
- Gonzales, N.; Cauce, A.M.; Friedman, R.J.; Mason, C.A. Family, peer and neighborhood influences on academic achievement among African-American adolescents: One year prospective effects. Am. J. Commun. Psychol. 1996, 24, 365–387. [Google Scholar] [CrossRef]
- Sirin, S.R. Socioeconomic status and academic achievement: A meta-analytic review of research. Rev. Educ. Res. 2005, 75, 417–453. [Google Scholar] [CrossRef]
- Garcia, T.; Pintrich, P.R. Critical thinking and its relationship to motivation, learning strategies, and classroom experience. In Proceedings of the 100th Annual Meeting of the American Psychological Association, Washington, DC, USA, 14–18 August 1992.
- Bradley, R.H.; Corwyn, R.F.; McAdoo, H.P.; Coll, C.G. The home environments of children in the United States. Part 1: Variations by age, ethnicity, and poverty status. Child Dev. 2001, 72, 1868–1886. [Google Scholar] [CrossRef] [PubMed]
- Bandura, A. Social cognitive theory: An agentic perspective. Annu. Rev. Psychol. 2001, 52, 1–26. [Google Scholar] [CrossRef] [PubMed]
- Pajares, F.; Schunk, D.H. Self-beliefs and school success: SE, self-concept, and school achievement. In Perception; Riding, R., Rayner, S., Eds.; Alex Publishing: London, UK, 2001; pp. 239–266. [Google Scholar]
- Richardson, M.; Abraham, C.; Bond, R. Psychological correlates of university students’ academic performance: A systematic review and meta-analysis. Psychol. Bull. 2012, 138, 353–387. [Google Scholar] [CrossRef] [PubMed]
- Diemer, M.A.; McWhirter, E.H.; Ozer, E.J.; Rapa, L.J. Advances in the conceptualization and measurement of critical consciousness. Urban Rev. 2015, 47, 809–823. [Google Scholar] [CrossRef]
- Bandura, A. Guide for constructing self-efficacy scales. In Self-Efficacy Beliefs of Adolescents; Pajares, F., Urdan, T., Eds.; Information Age Publishing: Charlotte, NC, USA, 2006; Volume 5, pp. 307–337. [Google Scholar]
- Schwarzer, R.; Jerusalem, M. Generalized Self-Efficacy scale. In Measures in Health Psychology: A User’s Portfolio. Causal and Control Beliefs; Weinman, J., Wright, S., Johnston, M., Eds.; NFER-Nelson: Windsor, UK, 1995; pp. 35–37. [Google Scholar]
- Sampson, R.J.; Raudenbush, S.W.; Earls, F. Neighborhoods and violent crime: A multilevel study of collective efficacy. Science 1997, 277, 918–924. [Google Scholar] [CrossRef] [PubMed]
- Smith, E.P.; Osgood, D.W.; Caldwell, L.; Hynes, K.; Perkins, D.F. Measuring collective efficacy among children in community-based afterschool programs: Exploring pathways toward prevention and positive youth development. Am. J. Commun. Psychol. 2013, 52, 27–40. [Google Scholar] [CrossRef] [PubMed]
- Parham, T.A.; Helms, J.E. The influence of Black students’ racial identity attitudes on preference for counselor’s race. J. Couns. Psychol. 1981, 28, 250–258. [Google Scholar] [CrossRef]
- Scottham, K.M.; Sellers, R.M.; Nguyên, H.X. A measure of racial identity in African American adolescents: The development of the Multidimensional Inventory of Black Identity—Teen. Cult. Divers. Ethn. Minor. Psychol. 2008, 14, 297. [Google Scholar] [CrossRef] [PubMed]
- Vandiver, B.J.; Cross, W.E., Jr.; Worrell, F.C.; Fhagen-Smith, P.E. Validating the Cross Racial Identity Scale. J. Couns. Psychol. 2002, 49, 71. [Google Scholar] [CrossRef]
- Vandiver, B.J.; Fhagen-Smith, P.E.; Cokley, K.; Cross, W.E., Jr.; Worrell, F.C. Cross’ nigrescence model: From theory to scale to theory. J. Multicult. Couns. Dev. 2001, 29, 174–200. [Google Scholar] [CrossRef]
- Fanon, F. Black Skin, White Masks; Grove Press: New York, NY, USA, 1967. [Google Scholar]
- Watts, R.J.; Hipolito-Delgado, C.P. Thinking ourselves to liberation? Advancing sociopolitical action in critical consciousness. Urban Rev. 2015, 47, 847–867. [Google Scholar] [CrossRef]
- Chung, C. Using Public Schools as Community-Development Tools: Strategies for Community-Based Developers; Joint Center for Housing Studies of Harvard University: Cambridge, MA, USA, 2002. [Google Scholar]
- Green, T.L. Leading for urban school reform and community development. Educ. Adm. Q. 2015, 51, 679–711. [Google Scholar] [CrossRef]
- Khadduri, J.; Schwartz, H.; Turnham, J. Policy Roadmap for Expanding School-Centered Community Revitalization; Enterprise Community Partners: Columbia, MD, USA, 2008. [Google Scholar]
- Noguera, P.A. A broader and bolder approach uses education to break the cycle of poverty: Making bold assertions that all children can achieve while doing nothing to address the challenges they face is neither fair nor sound public policy. Phi Delta Kappan 2011, 93, 8–14. [Google Scholar] [CrossRef]
- Shirley, D. Community Organizing for Urban School Reform; University of Texas Press: Austin, TX, USA, 1997. [Google Scholar]
- Warren, M.R. Communities and schools: A new view of urban education reform. Harv. Educ. Rev. 2005, 75, 133–173. [Google Scholar] [CrossRef]
- Warren, M.R.; Mapp, K.L.; Community Organizing and School Reform Project. A Match on Dry Grass: Community Organizing as a Catalyst for School Reform; Oxford University Press: New York, NY, USA, 2011. [Google Scholar]
- Freire, P. Pedagogy of the Oppressed. 1970; Continuum: New York, NY, USA, 1993. [Google Scholar]
- Seigel, S.; Rockwood, V. Democratic education, student empowerment, and community service: Theory and practice. Equity Excell. Educ. 1993, 26, 65–70. [Google Scholar] [CrossRef]
- Michelsen, E.; Zaff, J.F.; Hair, E.C. Civic Engagement Programs and Youth Development: A Synthesis; Child Trends: Washington, DC, USA, 2002. [Google Scholar]
- Powell, J.A. Structural Racism: Building upon the Insights of John Calmore. N. C. Law Rev. 2007, 86, 791–816. [Google Scholar]
- Fry, S.; Bentahar, A. Student attitudes towards and impressions of Project Citizen. J. Soc. Stud. Educ. Res. 2013, 4, 1–23. [Google Scholar]
- Westheimer, J.; Kahne, J. What kind of citizen? The politics of educating for democracy. Am. Educ. Res. J. 2004, 41, 237–269. [Google Scholar] [CrossRef]
- Watts, R.J.; Flanagan, C. Pushing the envelope on youth civic engagement: A developmental and liberation psychology perspective. J. Commun. Psychol. 2007, 35, 779–792. [Google Scholar] [CrossRef]
- Watts, R.J.; Griffith, D.M.; Abdul-Adil, J. Sociopolitical development as an antidote for oppression—Theory and action. Am. J. Commun. Psychol. 1999, 27, 255–271. [Google Scholar] [CrossRef]
- Barron, B.; Darling-Hammond, L. Teaching for meaningful learning: A review of research on inquiry-based and cooperative learning. In Powerful Learning: What We Know about Teaching and Understanding; Darling-Hammond, L., Barron, B., Pearson, P.D., Schoenfeld, A.H., Stage, E.K., Zimmerman, T.D., Cervetti, G.N., Tilson, J.L., Eds.; Jossey Bass: San Francisco, CA, USA, 2008. [Google Scholar]
- Gijbels, D.; Dochy, F.; Van den Bossche, P.; Segers, M. Effects of problem-based learning: A meta-analysis from the angle of assessment. Rev. Educ. Res. 2005, 75, 27–61. [Google Scholar] [CrossRef]
- Walker, A.; Leary, H. A problem based learning meta-analysis: Differences across problem types, implementation types, disciplines, and assessment levels. Interdiscip. J. Probl.-Based Learn. 2009, 3, 12–43. [Google Scholar] [CrossRef]
- Bell, S. Project-based learning for the 21st century: Skills for the future. Clearing House 2010, 83, 39–43. [Google Scholar] [CrossRef]
- Kornbluh, M.; Ozer, E.J.; Allen, C.D.; Kirshner, B. Youth participatory action research as an approach to sociopolitical development and the new academic standards: Considerations for educators. Urban Rev. 2015, 47, 868–892. [Google Scholar] [CrossRef]
- Greene, W. Econometric Analysis, 7th ed.; Prentice Hall: Upper Saddle River, NJ, USA, 2012. [Google Scholar]
- Wooldridge, J.M. Multiple regression analysis: Estimation (CH 3). In Introductory Econometrics: A Modern Approach; South-Western Cengage Learning: Mason, OH, USA, 2009. [Google Scholar]
- Long, J.S. Regression Models for Categorical and Limited Dependent Variables; Sage Publications: Thousand Oaks, CA, USA, 1997. [Google Scholar]
- New York State Education Department, Office of State Assessment. Elementary/Intermediate Tests General Information. 2015. Available online: http://www.p12.nysed.gov/assessment/ei/eigen.html (accessed on 2 August 2015). [Google Scholar]
- Rainey, C. Arguing for a negligible effect. Am. J. Political Sci. 2014, 58, 1083–1091. [Google Scholar] [CrossRef]
- Ferguson, R. Teachers’ Perceptions and Expectations and the Black-White Test Score Gap. Urban Educ. 2003, 38, 460–507. [Google Scholar] [CrossRef]
- Clark, K.B. Dark Ghetto: Dilemmas of Social Power; Harper and Row: New York, NY, USA, 1965; pp. 111–153. [Google Scholar]
- Jones, E.E.; Kannouse, D.E.; Kelley, H.H.; Nisbett, R.E.; Valins, S.; Weiner, B. (Eds.) Attribution: Perceiving the Causes of Behavior; General Learning Press: Morristown, NJ, USA, 1972.
- Dryfoos, J.; Maguire, S. Inside Full-Service Community Schools; Corwin Press, Inc.: Thousand Oaks, CA, USA, 2002. [Google Scholar]










| (1) | (2) | (3) | (4) | (5) | (6) | (7) | |
|---|---|---|---|---|---|---|---|
| ADA | Tardies | Tardies | No. Susp. | No. Susp. | Days Susp. | Days Susp. | |
| (OLS) | (Ng. Bin.) | (Ng. Bin.) | (Ng. Bin.) | (Ng. Bin.) | (Ng. Bin.) | (Ng. Bin.) | |
| Before CAC | −0.336 | 0.280 ** | 0.234 | 0.343 | |||
| (1.782) | (0.132) | (0.255) | (0.435) | ||||
| During CAC | 3.086 ** | 0.173 * | 0.370 ** | 0.368 | |||
| (1.282) | (0.093) | (0.185) | (0.319) | ||||
| Left CAC | 2.487 | 0.106 | 0.256 | 0.836 * | |||
| (2.630) | (0.159) | (0.274) | (0.466) | ||||
| Days enrolled | 0.346 *** | 0.013 *** | 0.008 | 0.009 | 0.017 | ||
| (0.007) | (0.001) | (0.005) | (0.008) | (0.016) | |||
| Average daily | 0.001 | −0.002 | 0.019 | 0.053 * | |||
| attendance | (0.003) | (0.014) | (0.021) | (0.032) | |||
| CAC ADA | −0.011 *** | −0.022 *** | −0.026 ** | ||||
| (0.004) | (0.005) | (0.011) | |||||
| Grade level | 0.268 ** | 0.577 *** | 0.308 | ||||
| (0.107) | (0.191) | (0.300) | |||||
| Constant | 29.780 *** | −0.012 | 0.231 | −0.627 *** | −6.516 ** | 0.018 | −8.122 * |
| (1.030) | (0.256) | (1.496) | (0.051) | (2.558) | (0.086) | (4.455) | |
| Observations | 1970 | 1214 | 150 | 3342 | 191 | 3342 | 191 |
| R2 | 0.597 |
| (8) | (9) | (10) | (11) | (12) | (13) | (14) | |
|---|---|---|---|---|---|---|---|
| All Classes | Art | English | Math | Physical | Science | Social | |
| Before CAC | 2.148 *** | 5.223 *** | 2.445 *** | 1.363 ** | −0.052 | 0.976 | 0.644 |
| (0.306) | (0.900) | (0.636) | (0.661) | (0.687) | (0.711) | (0.664) | |
| During CAC | 2.158 *** | 3.506 *** | −0.465 | 1.335 *** | 3.706 *** | 1.633 *** | 1.794 *** |
| (0.230) | (0.818) | (0.491) | (0.513) | (0.535) | (0.552) | (0.500) | |
| Left CAC | 0.833 ** | 2.427 * | 0.288 | −0.228 | 3.333 *** | −0.005 | −0.319 |
| (0.396) | (1.402) | (0.854) | (0.886) | (0.943) | (0.928) | (0.867) | |
| Grade level | −1.659 *** | −2.421 *** | −0.736 *** | −0.990 *** | −1.099 *** | −0.824 *** | −1.228 *** |
| (0.074) | (0.260) | (0.157) | (0.163) | (0.173) | (0.178) | (0.165) | |
| Constant | 89.971 *** | 93.125 *** | 80.669 *** | 82.786 *** | 93.931 *** | 85.065 *** | 86.289 *** |
| (0.446) | (1.451) | (0.932) | (0.967) | (1.030) | (1.074) | (1.002) | |
| Observations | 16717 | 1983 | 2441 | 2433 | 1767 | 2243 | 2277 |
| R2 | 0.038 | 0.064 | 0.023 | 0.021 | 0.037 | 0.013 | 0.029 |
| Score | Interpretation | ELA | Math | Science |
|---|---|---|---|---|
| 1 | Well below proficient | 655 | 700 | 115 |
| 2 | Partially proficient | 249 | 221 | 125 |
| 3 | Proficient | 42 | 20 | 69 |
| 4 | Excelling standards | 1 | 1 | 6 |
| Total Students | 947 | 942 | 315 |
| (15) | (16) | (17) | |
|---|---|---|---|
| ELA | Math | Science | |
| Before CAC | 0.321 | −0.342 | −0.406 |
| (0.228) | (0.268) | (0.440) | |
| During CAC | 0.481 *** | 0.476 ** | 0.958 *** |
| (0.178) | (0.187) | (0.323) | |
| Left CAC | −0.405 | −0.373 | 0.062 |
| (0.410) | (0.462) | (0.484) | |
| Grade level | −0.071 | −0.178 *** | −0.347 *** |
| (0.056) | (0.061) | (0.067) | |
| Observations | 947 | 942 | 315 |
© 2017 by the authors; licensee MDPI, Basel, Switzerland. This article is an open access article distributed under the terms and conditions of the Creative Commons Attribution (CC BY) license ( http://creativecommons.org/licenses/by/4.0/).
Share and Cite
Luter, D.G.; Mitchell, A.M.; Taylor, H.L., Jr. Critical Consciousness and Schooling: The Impact of the Community as a Classroom Program on Academic Indicators. Educ. Sci. 2017, 7, 25. https://doi.org/10.3390/educsci7010025
Luter DG, Mitchell AM, Taylor HL Jr. Critical Consciousness and Schooling: The Impact of the Community as a Classroom Program on Academic Indicators. Education Sciences. 2017; 7(1):25. https://doi.org/10.3390/educsci7010025
Chicago/Turabian StyleLuter, D. Gavin, Austin M. Mitchell, and Henry L. Taylor, Jr. 2017. "Critical Consciousness and Schooling: The Impact of the Community as a Classroom Program on Academic Indicators" Education Sciences 7, no. 1: 25. https://doi.org/10.3390/educsci7010025
APA StyleLuter, D. G., Mitchell, A. M., & Taylor, H. L., Jr. (2017). Critical Consciousness and Schooling: The Impact of the Community as a Classroom Program on Academic Indicators. Education Sciences, 7(1), 25. https://doi.org/10.3390/educsci7010025
