Next Article in Journal
Energy Literacy of Prospective Primary School Teachers: A Comparative Study in a Portuguese University
Previous Article in Journal
Off-Campus Instruction in STEM Subjects: A Necessary Complementary Mechanism or an Alternative to Frontal Instruction?
 
 
Due to scheduled maintenance work on our servers, there may be short service disruptions on this website between 11:00 and 12:00 CEST on March 28th.
Font Type:
Arial Georgia Verdana
Font Size:
Aa Aa Aa
Line Spacing:
Column Width:
Background:
Article

Structured Data Visualization Instruction in Graduate Education: An Empirical Study of Conceptual and Procedural Development

by
Simón Gutiérrez de Ravé
,
Eduardo Gutiérrez de Ravé
and
Francisco José Jiménez-Hornero
*
Department of Graphic Engineering and Geomatics, University of Córdoba, 14071 Córdoba, Spain
*
Author to whom correspondence should be addressed.
Educ. Sci. 2026, 16(4), 533; https://doi.org/10.3390/educsci16040533
Submission received: 17 January 2026 / Revised: 16 March 2026 / Accepted: 25 March 2026 / Published: 27 March 2026
(This article belongs to the Section Higher Education)

Abstract

Information visualization is a crucial yet often underdeveloped research skill in graduate education. This study examined how practice-based visualization instruction enhances graduate students’ conceptual understanding and procedural competence in scientific graph construction. Forty first-year graduate students participated in a ten-week instructional program combining diagnostic assessment, guided exercises, and a complex graph replication task. Conceptual and procedural competence were evaluated using validated analytic rubrics to ensure reliability and depth of analysis. Results showed substantial improvement in students’ ability to select suitable chart types, label axes accurately, and apply coherent color schemes. Consistent with the study’s hypotheses, significant gains were observed in conceptual understanding (H1) and technical execution (H2), and a moderate positive correlation between the two domains (H3) confirmed that stronger conceptual grasp aligned with higher visualization proficiency. Iterative feedback and guided reflection supported the integration of theory and practice. However, challenges in detailed annotation and multivariable coordination persisted. Overall, structured, practice-based visualization training enhanced methodological competence and communication clarity. Embedding such experiential learning within graduate curricula can strengthen visualization literacy and support the development of research independence.

1. Introduction

Information visualization plays a central role in contemporary research and higher education, enabling scholars to interpret complex datasets, communicate findings effectively, and support evidence-based decision making (Bonneau et al., 2005; Matzen et al., 2023; Zacks & Franconeri, 2020). As data-intensive inquiry expands across disciplines, the ability to construct clear, accurate, and interpretable visual representations has become a fundamental research competence (Du et al., 2025; Ji, 2025). Yet despite its importance, many graduate students receive limited systematic instruction in scientific visualization (Gunning, 2022; Rho & Rau, 2025; Vázquez-Ingelmo et al., 2024). This educational gap often results in recurring design problems, including incorrect scaling, misleading color use, insufficient representation of statistical uncertainty, and ineffective annotation, all of which may compromise clarity and distort interpretation (Cairo, 2016; Few, 2009; Newburger & Elmqvist, 2023; Rahman et al., 2025; Tufte, 2001).
The challenge of visualization education is not merely technical but cognitive and pedagogical. Research in perceptual psychology and visual cognition demonstrates that viewers frequently struggle with encoding and interpreting multidimensional data, particularly when graphical elements are poorly structured or visually cluttered (Heer et al., 2010; Reimann et al., 2025; Ware, 2020).
From the perspective of cognitive load theory, ineffective visual design imposes unnecessary mental effort, thereby reducing comprehension and recall (Sweller, 2011). Meta-analytical evidence further shows that visualization-based instruction enhances both conceptual understanding and procedural competence when learners actively engage in structured practice (Schoenherr et al., 2024).
Within this theoretical framework, the present study distinguishes between two interrelated dimensions of visualization competence: conceptual understanding and procedural competence. Conceptual understanding refers to knowledge of visualization principles, including appropriate chart selection, axis scaling, perceptual encoding, statistical representation, and annotation strategies. It involves the ability to interpret and explain graphical structures accurately using discipline-specific terminology. Procedural competence, by contrast, refers to the ability to implement these principles in practice—constructing graphs that accurately map data to visual forms, coordinate multiple variables, apply consistent legends and color schemes, and represent uncertainty appropriately. In the present study, procedural competence is operationalized through observable technical execution in graph construction tasks. Thus, technical execution represents the measurable manifestation of procedural knowledge.
Theoretical models of dual coding and schema formation suggest that durable learning occurs when declarative (conceptual) knowledge is integrated with procedural application through guided practice (Clark & Paivio, 1991; Sweller, 2011). Without such integration, learners may recognize visualization principles in theory yet fail to apply them accurately in authentic tasks. Similarly, research in data literacy indicates that students often default to familiar but suboptimal graph formats unless explicitly guided to evaluate perceptual effectiveness and contextual appropriateness (Kelleher & Wagener, 2011). These findings underscore the importance of instructional designs that simultaneously develop conceptual schemas and procedural fluency.
Advances in visualization software, including R’s ggplot2 (Wickham, 2016), Python’s Matplotlib and Seaborn (Hunter, 2007; Waskom, 2021), and specialized scientific platforms, have expanded technical possibilities for graph construction. However, software access alone does not ensure conceptual mastery or principled design decisions. Empirical research demonstrates that software proficiency alone is insufficient; effective learning requires explicit attention to visual encoding principles, annotation strategies, and statistical communication (Behrisch et al., 2016; Kohlhammer et al., 2011; Kosara et al., 2003; Padilla et al., 2018; Sedlmair et al., 2012). Instructional approaches that combine conceptual explanation with scaffolded, hands-on graph construction appear particularly effective in promoting durable integration of knowledge and skill (Franconeri et al., 2021; McInerny et al., 2014; Schwabish, 2021). Collaborative and guided visualization activities further strengthen interpretive accuracy and engagement (Çay et al., 2024; Pozdniakov et al., 2024).
Despite growing recognition of these principles, few empirical studies have quantitatively examined visualization training programs that explicitly measure both conceptual understanding and procedural competence within a unified pedagogical framework in graduate education. Prior work often emphasizes either interpretive literacy or technical production but rarely analyzes how improvements in conceptual knowledge relate to observable technical execution. Addressing this gap is essential for developing evidence-based instructional models that cultivate integrated visualization expertise rather than isolated technical skill.
Building on cognitive and pedagogical theory, the present study investigates the impact of a structured, practice-based visualization program embedded within a graduate research methods course. The instructional model integrates diagnostic assessment, progressively complex graph-construction exercises, iterative feedback, and analytic rubric-based evaluation. By scaffolding task complexity and making evaluation criteria explicit, the program aims to reduce extraneous cognitive load while strengthening both conceptual understanding and procedural competence. Rather than treating visualization software as an end in itself, this approach situates tool use within a theory-driven learning framework that links perceptual clarity, statistical reasoning, and procedural competence.
The study addresses the following research questions:
  • RQ1: Does theory-guided visualization pedagogy significantly improve graduate students’ conceptual understanding of data visualization principles?
  • RQ2: Does the same instructional model lead to measurable gains in students’ procedural competence, as evidenced by technical execution?
  • RQ3: To what extent are conceptual understanding and procedural competence correlated following instruction?
Based on these questions, the following hypotheses were formulated:
  • H1: Graduate students will demonstrate significant improvement in conceptual understanding following theory-guided visualization pedagogy.
  • H2: Graduate students will demonstrate significant improvement in procedural competence (technical execution) following theory-guided visualization pedagogy.
  • H3: Conceptual understanding scores will show a positive correlation with technical execution scores, indicating that stronger conceptual schemas are associated with more accurate technical execution.
By empirically examining the relationship between conceptual knowledge and procedural competence in visualization education, this study contributes to the development of theoretically grounded and methodologically rigorous models for graduate training. It advances the view that visualization competence emerges from the integration of understanding and execution, both of which are essential for responsible and effective scientific communication.

2. Materials and Methods

This section describes the methodological framework adopted to evaluate the effectiveness of scaffolded visualization training in improving graduate students’ visualization skills. The study involved forty-two first-year graduate students (22 female, 20 male; M = 27.3 years, SD = 2.8 years) enrolled in the research methodology course during the 2021–2022 academic year. None had previously completed formal coursework or training in data visualization. Participants represented diverse disciplines, including Environmental Sciences (17 students), Engineering (10 students), and Physics (10 students), while five students were enrolled in programs such as Specialized Translation and Equine Sport Medicine. Despite disciplinary variation, all participants shared a comparable lack of prior experience in scientific visualization, providing a uniform starting point for assessment. Participation was voluntary and conducted as part of a research-based educational intervention integrated into a graduate research methods course.
The study employed a multi-phase instructional framework spanning ten weeks and including diagnostic assessment, guided practice, and rubric-based evaluation. Over this period, participants completed ten visualization exercises followed by a complex multi-variable replication task, all supported by iterative feedback and reflection. The intervention unfolded in four phases: a pre-assessment survey, a series of guided graph-construction activities, a culminating replication exercise, and rubric-based evaluations of both conceptual understanding and technical execution. This sequential design allowed for continuous monitoring of students’ progress and provided longitudinal evidence of conceptual and procedural development.
The sequencing of instructional activities was theoretically grounded in principles of cognitive load theory and scaffolded learning (Sweller, 2011). Exercises were designed to gradually increase intrinsic task complexity, beginning with single-variable graphical representations and progressing toward multivariate integration tasks. Early activities isolated specific visualization principles—such as axis scaling, unit alignment, legend consistency, and perceptual encoding—to reduce extraneous cognitive load and support schema acquisition. As proficiency developed, tasks required coordination of multiple visual encodings and data structures, thereby promoting germane cognitive processing associated with procedural integration. The culminating replication task was intentionally selected to require synthesis of previously practiced components within a coherent, multi-layered figure, facilitating transfer from isolated conceptual principles to integrated technical execution.
In addition to technical execution, the instructional sequence explicitly addressed ethical and statistical considerations in graph construction. Guided discussions and feedback sessions emphasized common sources of graphical misrepresentation, including truncated axes, disproportionate scaling, misleading color encoding, omission of uncertainty indicators, and inconsistent labeling. Students were encouraged to critically evaluate how visual design choices may influence interpretation and to justify their graphical decisions using perceptual and statistical principles. This component aimed to cultivate responsible visualization practices aligned with standards of scientific transparency (Cairo, 2016; Few, 2009; Rahman et al., 2025; Tufte, 2001).
The first phase involved a pre-assessment survey designed to establish a baseline for students’ familiarity with data visualization techniques and their self-reported confidence across various competencies, including chart selection, labeling, color use, and statistical representation. Open-ended questions were included to identify common misconceptions and anticipated challenges. The survey provided diagnostic insight into perceived strengths and weaknesses prior to engagement in the practice-based visualization instruction.
Following the survey, participants engaged in ten guided exercises operationalizing best practices in graph construction and annotation using Golden Software Grapher (version 18.3.400), a professional platform widely employed in scientific and engineering contexts. These exercises progressively introduced increasing levels of graphical complexity and multivariate coordination.
In the third phase, students completed a complex, multi-variable replication task requiring reproduction of a detailed weather-related graph combining bar, line, bubble, and range plots. This culminating task assessed their ability to independently apply previously acquired principles and produce a coherent, publication-quality visualization integrating multiple data dimensions.
Two analytic rubrics were applied to evaluate students’ (a) conceptual understanding and (b) procedural competence, operationalized through technical execution in graph construction tasks. Each rubric comprised five criteria scored on a five-point scale (1 = Poor to 5 = Excellent). The conceptual rubric assessed identification of variables, axis interpretation, organization, terminology, and completeness. The procedural rubric evaluated accuracy of graphical representation and data mapping, axis configuration and unit specification, color coding and legend alignment, integration of multiple variables, and annotation of key elements.
To ensure reliable scoring, the authors independently evaluated all submissions. Inter-rater agreement was calculated using Cohen’s κ (Landis & Koch, 1977). Internal consistency was assessed using Cronbach’s α (Cronbach, 1951) and McDonald’s ωt (Dunn et al., 2014; McDonald, 1999). The relationship between the two rubrics was analyzed to examine whether stronger conceptual understanding was associated with greater proficiency in technically replicating figures. This analysis provides insight into how theoretical knowledge translates into applied visualization performance.
Quantitative data from the survey and rubric evaluations were analyzed using descriptive and inferential statistics. Means and standard deviations were computed for each criterion to assess group performance. Pearson correlation coefficients (r) were calculated to examine associations between conceptual understanding and procedural competence using aggregated rubric scores treated as approximately continuous measures. Because rubric criteria were rated on a five-point ordinal scale, the full correlation matrix was also recomputed using Spearman’s rank correlation (ρ) to assess robustness to non-parametric assumptions. Statistical significance was set at p-values < 0.05.
This methodological approach enabled a comprehensive evaluation of graduate students’ visualization competence, capturing progression from diagnostic self-assessment to applied, rubric-based performance. By integrating theoretical grounding, scaffolded practice, ethical awareness, and multi-dimensional assessment, the study provides a structured approach to investigating the development of both conceptual understanding and procedural competence in graduate-level visualization education.

3. Results

This section reports the empirical findings derived from the multi-phase instructional intervention, detailing how students’ visualization competencies evolved across the pre-assessment, guided practice, and final replication task. The results are presented in alignment with the study’s research questions, highlighting changes in both conceptual understanding and technical execution.

3.1. Pre-Assessment Survey

This study began with a pre-assessment survey, shown in Table 1, designed to evaluate students’ baseline knowledge, confidence, and awareness of best practices in data visualization before engaging in guided graph-construction exercises. The survey identified difficulties, misconceptions, and knowledge gaps that could hinder effective graph creation and interpretation, providing a foundation for tailoring subsequent instruction.
The instrument comprised three sections. Section A examined students’ familiarity and confidence with core visualization tasks, such as choosing appropriate chart types, labeling axes with correct units, creating legends, and maintaining color consistency. Section B assessed awareness of common visualization pitfalls, including unclear labeling, ambiguous colors, and excessive visual clutter. Together, these sections used Likert-scale items rated from 1 (strongly disagree) to 5 (strongly agree), capturing variations in students’ self-reported proficiency across visualization aspects. Section C contained open-ended questions that invited students to describe their main challenges, prior experience with software tools, and expectations for the training, providing qualitative insights into individual learning needs.
Overall, the pre-assessment established a diagnostic baseline that informed the design of the subsequent hands-on exercises and rubric-based evaluations.
Quantitative and qualitative responses revealed uneven preparation across key competencies, with moderate confidence in general tasks and greater difficulty in more advanced visualization practices (Table 1).
Students expressed the highest confidence in labeling axes and including proper units (A2), which obtained the top mean rating and a relatively low standard deviation, indicating consistent understanding of this basic requirement. Chart type selection (A1) also showed moderate confidence, though higher variability suggested differences in students’ ability to match appropriate visual formats to dataset characteristics. In contrast, the lowest confidence levels were recorded for representing statistical uncertainty (A6) and constructing effective legends for multi-variable charts (A5), revealing limited experience with confidence intervals, error bars, and visual hierarchies. Difficulties in color differentiation (A3) and in highlighting key findings (A4) further indicated that several participants lacked strategies to guide viewer attention and ensure interpretive clarity. Collectively, these results demonstrate partial conceptual understanding and an uneven ability to apply best practices consistently.
Awareness of common visualization pitfalls, evaluated in Section B, was comparatively stronger and more uniform. Students displayed high recognition of the importance of proper axis labeling (B1), clear legends (B3), and avoidance of cluttered visuals (B4), all of which showed smaller standard deviations and tightly clustered responses. Awareness of color ambiguity (B2) and the role of emphasizing outliers or peaks (B5) was slightly lower and more variable, suggesting that although students recognized the existence of common issues, they were less confident in resolving them. The reduced dispersion of Section B scores relative to Section A indicates a more consistent conceptual awareness of visualization principles than the ability to implement them effectively.
Qualitative responses from Section C supported these quantitative patterns. Many students reported uncertainty about selecting chart types for complex or multi-variable datasets, often defaulting to familiar formats such as bar or line graphs. Several admitted to relying on software default color palettes rather than customizing colors for clarity, and to inconsistent labeling or incomplete unit specification. Others described limited experience incorporating statistical features or annotating data highlights such as outliers or peaks. These comments confirm that although students understood the importance of clear, accurate visualizations, they lacked procedural experience to implement these principles reliably.
Overall, the pre-assessment survey results identify substantial variation in visualization readiness within the cohort. Students generally recognized key visualization standards but demonstrated inconsistent confidence and procedural control, emphasizing the need for structured, practice-oriented instruction to consolidate and standardize foundational skills in scientific graph creation.

3.2. Guided Graph-Construction Exercises

Following the pre-assessment survey, students engaged in a structured guided graph-construction exercises designed to address the shortcomings identified in their initial evaluation. This phase involved constructing a set of ten visualization exercises. An overview of these tasks is provided in Appendix A, which illustrates the range of graph types and design principles used to develop students’ visualization competence. The exercises aimed to provide students with practical experience in selecting appropriate chart types, refining axis labeling, incorporating legends, applying effective color schemes, and representing statistical uncertainty. By actively engaging with the software and making deliberate design choices, students were expected to move beyond default visualization settings and develop a more systematic approach to graph construction.
To facilitate this process, training videos were provided, offering step-by-step guidance on creating each of the ten graphs from the data supplied. These instructional materials ensured that students had access to structured support, allowing them to focus on improving their skills in a guided learning environment. The sequence of graphs covered a range of visualization techniques, including scatter plots, line graphs, bar charts, histograms, box plots, stacked area charts, multi-variable representations, and pie charts. Each exercise targeted a specific aspect of information visualization, reinforcing best practices in layout, annotation, and multivariate coordination. By systematically working through these tasks, students had the opportunity to refine their ability to generate clear, accurate, and well-structured figures.
This applied graph-construction phase was integral to enhancing students’ ability to overcome the deficiencies identified in the pre-assessment survey. Through practical engagement with data visualization, students were encouraged to apply theoretical concepts in a structured manner, bridging the gap between conceptual understanding and technical execution. The iterative nature of the exercises also allowed them to recognize and correct common errors, fostering a more refined and analytical approach to graph creation. Ultimately, this phase was designed to strengthen their proficiency in producing high-quality visualizations, preparing them with the necessary skills to create effective and meaningful graphical representations in their academic and professional work.

3.3. Complex Multi-Variable Graph Tasked to the Students

The next phase of this study required students to apply their acquired data visualization skills by replicating the complex multi-variable graph shown in Appendix B. This exercise served as a culminating task, challenging students to synthesize the knowledge gained through prior guided graph-construction exercises and refine their ability to construct clear, well-structured, and information-rich visual representations. Students were tasked with accurately replicating the figure, ensuring precise data representation, correct selection of plotting techniques, appropriate axis scaling, and effective use of legends and color schemes. The challenge was not only technical but also conceptual, as students had to coordinate multiple variables, differentiate between primary and secondary axes, and maintain visual clarity despite the figure’s complexity. This phase tested their ability to move beyond theoretical knowledge and structured exercises, requiring independent decision-making and attention to detail.
The replication exercise was assessed through a structured rubric-based assessment evaluating conceptual understanding and technical execution in graph creation. By completing this phase, students not only demonstrated their ability to construct high-quality figures but also solidified their understanding of best practices in data visualization. The assessment of their work provided further insight into the extent to which hands-on practice was translated into proficiency in graph creation.

3.4. Rubric-Based Assessment

This section presents an evaluation conducted through two rubrics with the aim to measure the students’ interpretive understanding and practical skills regarding data visualization. The first rubric focuses on how accurately and coherently the students describe the complex multi-variable graph shown in Appendix B, while the second rubric evaluates their proficiency in replicating that graph. Each rubric uses a five-point scale (1 = Poor, 2 = Fair, 3 = Satisfactory, 4 = Good, 5 = Excellent), and both were applied to the cohort of forty students previously mentioned.
To assess the consistency of scoring between evaluators, Cohen’s κ coefficients were computed for all rubric criteria across the 40 student submissions. Inter-rater reliability values ranged from κ = 0.73 to 0.89, corresponding to substantial to almost-perfect agreement. For the conceptual understanding rubric, κ values spanned 0.80–0.89, indicating highly stable scoring across raters. For the technical execution rubric, κ values ranged from 0.73 to 0.83, reflecting consistent application of criteria even for more visually complex elements such as color-legend alignment and multivariate coordination. These coefficients confirm that the scoring procedures were reliable and replicable, providing a sound basis for the subsequent analyses of conceptual and procedural competence.
Having established consistent scoring between evaluators, internal consistency analyses were next conducted to verify that the five criteria within each rubric formed coherent measurement scales. Reliability was evaluated using Cronbach’s α and McDonald’s ωt, computed across all participants and rating occasions. Both rubrics demonstrated high internal consistency, indicating that the five analytic criteria within each captured a single underlying construct. For the conceptual understanding rubric, Cronbach’s α = 0.89 and McDonald’s ωt = 0.90, with corrected item–total correlations ranging from 0.58 to 0.72. For the technical execution rubric, Cronbach’s α = 0.87 and ωt = 0.88, with item–total correlations between 0.55 and 0.70. Parallel analysis and exploratory factor analysis based on polychoric correlations supported a single-factor structure for each rubric, explaining more than 60% of total variance. These findings confirm that both rubrics functioned as internally consistent scales suitable for composite scoring and longitudinal analysis of conceptual and procedural visualization performance.
The first rubric is shown in Table 2 which outlines the five criteria considered along with the descriptors for performance at different levels. It examines how well students identify the components of the graph, how accurately they explain relevant axes and units, the clarity and organization of their description, the correctness of their terminology, and the overall completeness of their explanation. The rubric thus addresses the descriptive and analytical aspects of data visualization, determining whether students can recognize and articulate each feature of a multi-variate graph.
The results shown in Table 3 indicated that students demonstrated a strong ability to identify plots and variables, as well as maintain clarity and organization in their explanations, with generally high scores in these areas. Most students successfully recognized different graphical elements and structured their descriptions coherently, though some inconsistencies were observed in distinguishing between similar plot types and aligning variables with their respective axes. The interpretation of scales and units showed moderate proficiency, as students were mostly able to specify correct units and axis relationships, yet minor labeling errors and inconsistencies persisted. The variability in responses suggests that while many students grasped these concepts well, others required further reinforcement to ensure precision in their descriptions. Students performed reasonably well in using disciplinary terminology, though some inconsistencies in technical vocabulary and graph-related phrasing were noted. While most responses demonstrated an understanding of key terms, occasional misapplications and imprecise wording were evident, suggesting the need for further refinement. The completeness of explanations showed that students were largely successful in covering key relationships, timeframes, and interactions within the graph, though some omitted specific details that could have provided a more thorough analysis. Strengthening attention to detail and encouraging a more systematic approach to describing figures would help ensure more comprehensive and precise visual data interpretation. Overall, the results indicate improved conceptual understanding following graph-analysis practice. However, additional reinforcement in unit precision, terminology accuracy, and detail orientation would further strengthen interpretive accuracy.
Across the conceptual understanding rubric, mean criterion scores ranged from 3.65 to 3.96 (SD ≈ 0.7), corresponding to generally high post-training performance. Relative to the five-point rating scale, this distribution represents a large practical effect (Cohen’s d ≈ 1, relative to the scale midpoint), indicating that students achieved consistently strong proficiency following the ten-week intervention.
The second rubric, detailed in Table 4, evaluates the practical skills students displayed in reproducing the complex multi-variable graph (Appendix B) mentioned before. Students were required to match the multi-variate layout of the original. This rubric focuses on the accuracy of plotting methods, axis labeling, color and legend usage, how effectively they coordinate multiple datasets, and whether they provide annotations or highlight key values.
According to the aggregated results listed in Table 5 students demonstrated a strong ability to select accurate plot types and align data appropriately, with generally high performance in this area. Most students successfully chose suitable chart types and ensured correct placement of data within axes, although minor errors in value representation and alignment persisted. Axis configuration and unit specifications showed moderate proficiency, as students were mostly able to apply correct labels and units, but some inconsistencies in unit precision and alignment across multiple axes were observed. Color coding and legend alignment was another area of reasonable strength, as students generally applied coherent color schemes and legends, though occasional mismatches or unclear references remained. Multivariate integration was handled relatively well, with students effectively layering multiple datasets and using different visualization methods to maintain clarity. However, some struggled with minor alignment or crowding issues, which slightly reduced the overall readability of their graphs. The weakest area was annotation and emphasis of key elements, where students had difficulty ensuring that all relevant peaks, dates, or numerical references were properly highlighted. While basic labels were included, a lack of detailed annotation limited the ability to emphasize key insights. Although hands-on practice significantly improved students’ technical execution, further reinforcement in unit precision, multivariate arrangement, and strategic annotation would enhance their ability to create polished, highly interpretable graphs.
For the technical execution rubric, mean criterion scores ranged from 3.47 to 3.85 (SD ≈ 0.77), also reflecting strong overall performance. When standardized against the rubric’s five-point scale, this outcome similarly represents a large practical effect (Cohen’s d ≈ 0.9, relative to the scale midpoint), confirming that the training produced substantial competence in applied graph construction.

3.5. Correlation Analysis Between Conceptual Understanding and Procedural Competence

To examine the relationship between conceptual understanding and procedural competence, Pearson correlation coefficients (r) were computed between the five criteria of Rubric 1 and the five criteria of Rubric 2. The analysis was conducted using aggregated rubric scores treated as approximately continuous measures. The correlation was calculated using the standard formula for Pearson’s r, which measures the covariance of two variables normalized by their standard deviations. To determine the statistical significance of these correlations, p-values were computed, where values below 0.05 indicate a statistically significant relationship that is unlikely to have occurred by random chance.
Table 6 presents the Pearson correlation matrix. Several moderate positive correlations emerged between specific conceptual and procedural dimensions. In particular, identification of plots and variables was positively associated with both accuracy of graphical representation and data mapping (r = 0.378, p = 0.016) and integration of multiple variables and visual layering (r = 0.388, p = 0.013). Additionally, clarity and structural coherence showed a positive association with color coding and legend alignment (r = 0.322, p = 0.042). These findings indicate that stronger conceptual recognition and structural explanation abilities are related to more accurate and integrated technical execution in graph construction tasks.
Most other associations were positive but did not reach statistical significance. No statistically significant negative correlations were detected, indicating that stronger conceptual understanding was not associated with poorer technical execution in any dimension. While some conceptual criteria did not show direct statistical associations with specific procedural dimensions, this suggests that certain elements of conceptual knowledge may require further instructional reinforcement before consistently translating into applied execution.
The significant Pearson correlations correspond to medium effect sizes (r2 ≈ 0.10–0.15), indicating that approximately 10–15% of the variance in procedural competence is shared with specific conceptual dimensions. This magnitude suggests that conceptual understanding and procedural competence are related but distinct components of visualization expertise.
Because rubric criteria were rated on a five-point ordinal scale, the full correlation matrix was recomputed using Spearman’s rank correlation (ρ) to assess robustness to non-parametric assumptions. Table 7 presents the Spearman correlation matrix.
The Spearman coefficients were comparable in magnitude and direction to the Pearson results (|rρ| ≤ 0.03), and the pattern of statistically significant and non-significant associations remained consistent. This consistency indicates that the observed relationships between conceptual understanding and procedural competence are robust to the ordinal nature of the rubric ratings and are not dependent on parametric assumptions.
Overall, the correlation analysis supports the presence of a moderate positive relationship between selected conceptual and procedural dimensions, while confirming that each rubric captures complementary aspects of visualization proficiency.
In summary, students demonstrated large pre-post improvements in both conceptual and procedural dimensions (d ≈ 0.9), accompanied by a moderate positive association between the two constructs (r2 ≈ 0.14). These findings indicate substantial practical gains alongside a meaningful, though not redundant, relationship between conceptual understanding and procedural competence.

4. Discussion and Conclusions

The present study examined whether structured, practice-based visualization instruction enhances graduate students’ conceptual understanding and procedural competence in scientific graph construction. The findings indicate substantial post-training proficiency in both domains. Large practical improvements were observed in both conceptual and procedural dimensions, accompanied by a moderate positive association between the two constructs. Students demonstrated strong performance in identifying graphical components, interpreting axes and units, and constructing multivariate figures with generally accurate data mapping and visual coordination. These results are consistent with the theoretical expectation that conceptual knowledge and procedural competence develop in parallel within structured, practice-based visualization instruction.
In relation to RQ1 and H1, students showed clear gains in conceptual understanding. The rubric-based evaluations suggest improved ability to recognize plot types, interpret scale relationships, and describe graphical structures using appropriate disciplinary terminology. These outcomes align with research indicating that visualization literacy develops most effectively through structured engagement rather than passive exposure to design principles (Padilla et al., 2018; Sedlmair et al., 2012). By integrating explanation with guided analysis, the instructional model appears to have supported the consolidation of conceptual schemas relevant to graphical reasoning.
Regarding RQ2 and H2, the results also indicate strong procedural competence, operationalized through technical execution in graph replication tasks. Students generally selected appropriate chart types, applied coherent color schemes, and coordinated multiple variables with acceptable clarity. This finding is consistent with evidence that experiential learning and iterative methodological practice strengthen applied research skills (Feldon et al., 2011; Franconeri et al., 2021). Although minor weaknesses persisted in annotation detail and axis precision, overall execution suggests meaningful integration of conceptual principles into observable performance. In particular, the comparatively lower performance in annotation aligns with recent research highlighting the complexity of effective graphical annotation and the need for explicit instructional support in this area (Rahman et al., 2025).
Addressing RQ3 and H3, the moderate positive correlations between conceptual understanding and procedural competence indicate a meaningful relationship between knowledge and execution. Students who demonstrated stronger recognition of graphical components tended to produce more accurate and well-integrated visualizations. This association is theoretically consistent with cognitive models proposing that conceptual schemas guide procedural fluency, while applied practice reinforces those schemas (Clark & Paivio, 1991; Sweller, 2011). However, the correlations were moderate rather than strong, suggesting that conceptual understanding and procedural competence represent related but distinct dimensions of visualization expertise.
Importantly, the findings should be interpreted within the methodological constraints of the study. The research employed a one-group pre–post design without a control group. Consequently, alternative explanations—such as maturation effects, increased familiarity with the software environment, concurrent methodological instruction, or repeated task exposure—cannot be fully excluded. While the instructional design is theoretically consistent with the observed improvements, causal attribution should be approached with appropriate caution. Future research employing randomized or controlled comparative designs would strengthen causal inference and provide more robust evidence regarding the effectiveness of structured visualization instruction.
The study also has contextual limitations. The sample was drawn from a single institutional setting, and performance was assessed immediately following the instructional program. Long-term retention and transfer to independent research contexts were not measured. Future research should examine whether conceptual and procedural gains are sustained over time once formal instructional support is removed and whether they generalize to authentic, discipline-specific research tasks. Experimental comparisons between instructional models could further clarify which design elements most effectively promote durable visualization competence.
Despite these limitations, the study contributes empirical evidence supporting the integration of theory-guided visualization instruction within graduate curricula. This perspective aligns with broader scholarship in doctoral education emphasizing iterative methodological engagement and structured academic practice as foundations for research development (Aitchison & Guerin, 2014; McAlpine, 2013). The combined use of diagnostic assessment, scaffolded graph-construction exercises, and analytic rubrics offers a transparent framework for developing both conceptual and procedural dimensions of graphical literacy. By explicitly linking perceptual theory, statistical reasoning, and applied practice, such instruction may help graduate students transition from software users to reflective producers of scientific visualizations.
In conclusion, visualization competence in advanced education emerges from the interaction between conceptual understanding and procedural competence. The present findings suggest that structured, practice-based instruction can meaningfully enhance both dimensions. Embedding systematic visualization training within graduate research methods courses represents a viable pathway for strengthening methodological rigor and clarity in scientific communication.

Author Contributions

Conceptualization, F.J.J.-H.; methodology, S.G.d.R., E.G.d.R. and F.J.J.-H.; formal analysis and investigation, S.G.d.R., E.G.d.R. and F.J.J.-H.; writing—original draft preparation, S.G.d.R., E.G.d.R. and F.J.J.-H.; writing—review and editing, S.G.d.R., E.G.d.R. and F.J.J.-H.; resources, E.G.d.R. and F.J.J.-H.; supervision, E.G.d.R. and F.J.J.-H.; funding acquisition, E.G.d.R. and F.J.J.-H. All authors have read and agreed to the published version of the manuscript.

Funding

The APC was funded by the Research Program of the University of Córdoba (2026), Spain. It was also funded by the Department of Graphic Engineering and Geomatics of the University of Córdoba.

Institutional Review Board Statement

This study was exempt from ethical review and approval because the research focused exclusively on educational practices within the regular curriculum, without involving sensitive personal data or biomedical procedures. According to Spanish legislation, Organic Law 14/2007 of July 3, on Biomedical Research, ethics committee approval is mandatory only for biomedical research and was therefore not required for this study. Furthermore, all procedures complied with Organic Law 3/2018 of December 5, on the Protection of Personal Data and Guarantee of Digital Rights, ensuring lawful, transparent, and secure processing of information.

Informed Consent Statement

Informed consent was obtained from all subjects involved in the study. Participants were clearly informed that participation was voluntary and anonymous, and that they could withdraw from the research at any time without any academic penalty or negative consequences.

Data Availability Statement

The data presented in this study are available on request from the corresponding author. The data are not publicly available due to privacy restrictions.

Acknowledgments

The authors gratefully acknowledge the support of the funding sources.

Conflicts of Interest

The authors declare no conflicts of interest. The funders had no role in the design of the study; in the collection, analyses, or interpretation of data; in the writing of the manuscript; or in the decision to publish the results.

Appendix A. Visualization Training Exercises

This appendix presents the ten visualization exercises completed by participants during the scaffolded visualization training phase. Each figure illustrates a specific graph type and corresponding design principle used to develop both conceptual and procedural competencies in scientific data visualization. Together, these examples document the instructional pathway that preceded the final performance assessment described in the main text.

Appendix A.1. Multi-Line Area Graph

Figure A1 presents a multi-line area graph combined with stacked area shading that visualizes the changes in concentration of various tracers, including Deuterium, Carbon 13, Iodine, Uranine, and their combinations, over time. The x-axis represents time in years, spanning from 2007 to 2016, while the y-axis is labeled with concentration units of C/M (10−3 m−3) and is consistently scaled from 0 to 45. The graph uses distinct colors, line styles, and fill patterns, such as dashed black outlines for the combined Carbon-13 + Uranine, to differentiate between variables and show how individual components contribute to the overall trend. Key points of interest, such as the peak on 3 June 2009, are annotated with numerical values (e.g., 40.15 for Deuterium, 14.65 for Carbon-13 + Uranine), and a vertical red line marks the “Top record” event, drawing attention to critical findings.
Figure A1. Multi-line area graph. Illustrates overlapping datasets using stacked area shading and annotations to emphasize key peaks and variable interactions.
Figure A1. Multi-line area graph. Illustrates overlapping datasets using stacked area shading and annotations to emphasize key peaks and variable interactions.
Education 16 00533 g0a1
This multi-line area chart was chosen because it demonstrates how to display overlapping datasets in a single view. Students often struggle with combining multiple series clearly, leaving legends ambiguous or failing to highlight key points. By using distinct colors, stacked areas, and clear annotations, this graph addresses those shortcomings, illustrating how complex multi-variable data can be made comprehensible and visually appealing.

Appendix A.2. Multi-Line Plot

Figure A2 exhibits a multi-line plot with data points connected by lines, visualizing the changes in concentration of various pollutants, including Carbon 13, Deuterium, Iodine, and Uranine, over a period from 2007 to 2016. The x-axis represents the time in years, while the y-axis represents the concentration with units of C/M (10−3 m−3), consistently scaled from 0 to 45. The graph uses distinct line styles, symbols, and colors to differentiate between the different pollutants, with Carbon 13 represented by green circles, Deuterium by red squares, Iodine by blue triangles, and Uranine by magenta crosses. Annotations are used to highlight key points, such as a vertical line on 13 December 2013 labeled as a “Flag to recheck” which draws attention to a potentially important event or anomaly in the data. The legend provides a quick reference to each color and symbol, making it easier for the viewer to identify and interpret the individual trends.
Figure A2. Multi-line plot with event marker. Demonstrates trend comparison among pollutants with distinct line styles and annotations highlighting specific temporal events.
Figure A2. Multi-line plot with event marker. Demonstrates trend comparison among pollutants with distinct line styles and annotations highlighting specific temporal events.
Education 16 00533 g0a2
This multi-line plot with data points and a specific reference date, was included to model best practices in labeling and highlighting significant events. Many students do not sufficiently annotate changes or peaks, which can obscure critical findings. This example shows how a vertical line and textual annotation direct the viewer’s attention to the moment when a key value was recorded, thereby reinforcing the survey’s recommendation to annotate important data points.

Appendix A.3. Multi-Variable Line and Scatter Plot

Figure A3 displays a multi-variable line and scatter plot that visualizes temperature data, specifically the minimum temperature (Tmin), mean temperature (Tmean), and maximum temperature (Tmax) over the course of a year. The x-axis represents the months, starting from September and covering a full year, while the primary y-axis on the left represents temperature in degrees Celsius (°C). Additionally, the graph includes secondary y-axes on the right that represent temperature in Fahrenheit (°F) and Kelvin (K), allowing viewers to interpret the data in different units. The Tmin values are depicted using green dots, the Tmax values are shown using red dots, and the Tmean values are represented by a continuous blue line. The use of distinct colors and markers allows for a clear visual differentiation between the three temperature variables, making it easier to observe overall trends and patterns throughout the year.
Figure A3. Multi-variable line and scatter plot. Shows minimum, mean, and maximum temperature trends with dual y-axes and color coding for unit conversion and comparison.
Figure A3. Multi-variable line and scatter plot. Shows minimum, mean, and maximum temperature trends with dual y-axes and color coding for unit conversion and comparison.
Education 16 00533 g0a3
This third graph shows how contrasting line colors and a dual y-axis (if units are converted) can help students differentiate multiple related variables on a single plot. Students often struggle with color choices or axis labeling, so this example demonstrates both clarity (through distinct colors and consistent labeling) and the careful integration of different measurements, thus addressing challenges uncovered in the survey regarding poor axis usage and confusing color palettes.

Appendix A.4. Bubble Plot

Figure A4 illustrates a bubble plot that visualizes ozone concentration data over time, with the x-axis representing time in units of ten minutes and the y-axis representing the Hölder exponent (a measure for detecting singularities in a signal). Each bubble represents a data point, where the position indicates the values on the x and y-axes, while the size of the bubble indicates the concentration of ozone (µg/m3). The legend clarifies that the bubble sizes are directly proportional to ozone concentration, with the largest bubble representing a concentration of 139 µg/m3 and a radius of 0.65 cm, while the smallest bubble represents a concentration of 2 µg/m3 with a radius of 0.15 cm. The graph uses a blue color palette to convey variations in ozone concentration, with larger bubbles indicating higher concentrations and smaller bubbles indicating lower concentrations. The use of consistent grid lines improves readability and provides context for interpreting the distribution of bubbles over time.
Figure A4. Bubble plot. Encodes a third quantitative variable (ozone concentration) through proportional bubble size and a continuous color scale.
Figure A4. Bubble plot. Encodes a third quantitative variable (ozone concentration) through proportional bubble size and a continuous color scale.
Education 16 00533 g0a4
This bubble plot was selected to demonstrate a more advanced way of encoding a third variable—bubble size—in addition to x and y axes. Students frequently rely on standard 2D plots and fail to convey extra data dimensions, leading to incomplete or cluttered representations. By showing how to vary bubble size and use a clear legend, the example helps students see how multiple variables can be elegantly integrated without sacrificing clarity.

Appendix A.5. Combined Line Plot, Fit and Confidence Interval Graph

Figure A5 shows a time-series plot visualizing mortality data from October 2019 to September 2020. It shows the observed deaths (red line), a 7-day running average of observed deaths (green line), expected deaths (blue line), and the 99% confidence interval for expected deaths (light blue shaded area). The x-axis represents the dates over the given time period, while the y-axis represents the number of deaths. The graph uses multiple elements to convey different aspects of the mortality data: the red line captures short-term fluctuations in observed deaths, the green line provides a smoothed trend by averaging the observed data over a rolling 7-day window, and the blue line represents the baseline level of expected deaths for the same period. The light blue shaded area serves as a confidence interval, giving a visual indication of the range within which expected deaths are likely to fall.
The fifth graph was included to encourage students to address statistical uncertainty, an area they often find difficult. Many struggle to represent confidence intervals or model predictions effectively, omitting or oversimplifying key analytical details. Displaying a shaded confidence interval around the expected mortality curve directly addresses the survey’s findings on weak statistical representation and insufficient highlighting of significant deviations from expected values.
Figure A5. Time-series line plot with confidence interval. Depicts observed and expected mortality data with shaded uncertainty bands to visualize statistical confidence.
Figure A5. Time-series line plot with confidence interval. Depicts observed and expected mortality data with shaded uncertainty bands to visualize statistical confidence.
Education 16 00533 g0a5

Appendix A.6. Combined Scatter Plot and Line Graph

The combined scatter plot and line graph (Figure A6) visualizes the relationship between olive pollen concentration and temperature over a period of one month (May 2010). The x-axis represents days within the month, divided into weekly intervals, while the y-axis on the left shows olive pollen concentration (grains/m3), and the y-axis on the right represents mean temperature in degrees Celsius (°C). The scatter plot uses three distinct colors—blue, green, and magenta—to indicate pollen concentration measurements taken at different times of day (16 h, 20 h, and 24 h). The red line represents the daily mean temperature, clearly tracking changes over time. Key temperature values are annotated along the red line, highlighting daily fluctuations. The overall layout is clean, with the use of consistent grid lines, distinct markers, and a well-structured legend positioned at the top-left corner.
The sixth graph demonstrates how to overlay two different types of data (categorical points and a continuous trend) on one graph. Students frequently misuse chart types or fail to include multi-variate information in a cohesive layout. By showing discrete pollen measurements and a temperature trend line, this selection teaches them how to align different datasets in one coherent plot while maintaining distinct visual styles and clear axis labeling.
Figure A6. Combined scatter and line graph. Integrates olive-pollen concentrations and temperature data, illustrating dual-axis coordination and categorical color mapping.
Figure A6. Combined scatter and line graph. Integrates olive-pollen concentrations and temperature data, illustrating dual-axis coordination and categorical color mapping.
Education 16 00533 g0a6

Appendix A.7. Combined Bar and Line Chart

A combined bar and line chart that visualizes olive pollen concentration over the course of a month (May 2010), measured at three different times of day: 6 h, 12 h, and 18 h is shown in Figure A7. The x-axis represents the days of the month, while the y-axis represents the pollen concentration (grains/m3). The graph uses distinct colors for the different times of day, with red bars representing 6 h, blue bars for 12 h, and green bars for 18 h. Additionally, a magenta dashed line represents the mean pollen concentration across all three time points for each day. Numerical annotations are included at the top of several bars to highlight specific values, providing additional clarity for the viewer. The overall layout is clear, with a well-structured legend positioned in the top-left corner to provide a quick reference for each data series.
The seventh graph addresses the issue of layering different data series without overwhelming the viewer. Students often produce separate plots or mix styles in ways that appear cluttered. This example shows how distinct colors for bar categories and a contrasting line color can be integrated while retaining a comprehensive legend, thus reinforcing lessons about careful color selection and informative legends.

Appendix A.8. Combined Histogram and Normal Distribution Fit

Figure A8 displays a histogram combined with a normal distribution curve that visualizes the frequency distribution of olive pollen concentration on 21 May 2010. The x-axis represents olive pollen concentration (grains/m3), while the y-axis represents frequency, indicating the proportion of observations falling within each concentration interval. The histogram bars are displayed in distinct colors, each representing a different range of concentrations. Overlaying the histogram is a red dashed line that represents a normal fit to the data, and a shaded light blue region represents the 95% confidence interval around the fit. This combination of elements provides a comprehensive view of the distribution’s shape, spread, and how well it aligns with a normal distribution model. A well-structured legend is positioned in the upper-right corner, clearly identifying the normal fit line and the confidence interval.
Figure A7. Combined bar and line chart. Represents daily pollen concentration at multiple times of day, combining grouped bars with a mean-value trend line.
Figure A7. Combined bar and line chart. Represents daily pollen concentration at multiple times of day, combining grouped bars with a mean-value trend line.
Education 16 00533 g0a7
Figure A8. Histogram with normal-distribution fit. Displays frequency distribution and fitted normal curve with a 95% confidence band for evaluating distributional alignment.
Figure A8. Histogram with normal-distribution fit. Displays frequency distribution and fitted normal curve with a 95% confidence band for evaluating distributional alignment.
Education 16 00533 g0a8
The eighth graph was selected because it helps students see how to represent data distributions and assess normality. Many survey respondents admitted difficulty visualizing statistical concepts. By displaying both raw data counts in histogram form and a fitted curve with a confidence interval, the example clarifies where data deviate from a theoretical distribution. This directly answers the survey’s calls for better techniques to highlight distribution shape and outliers.

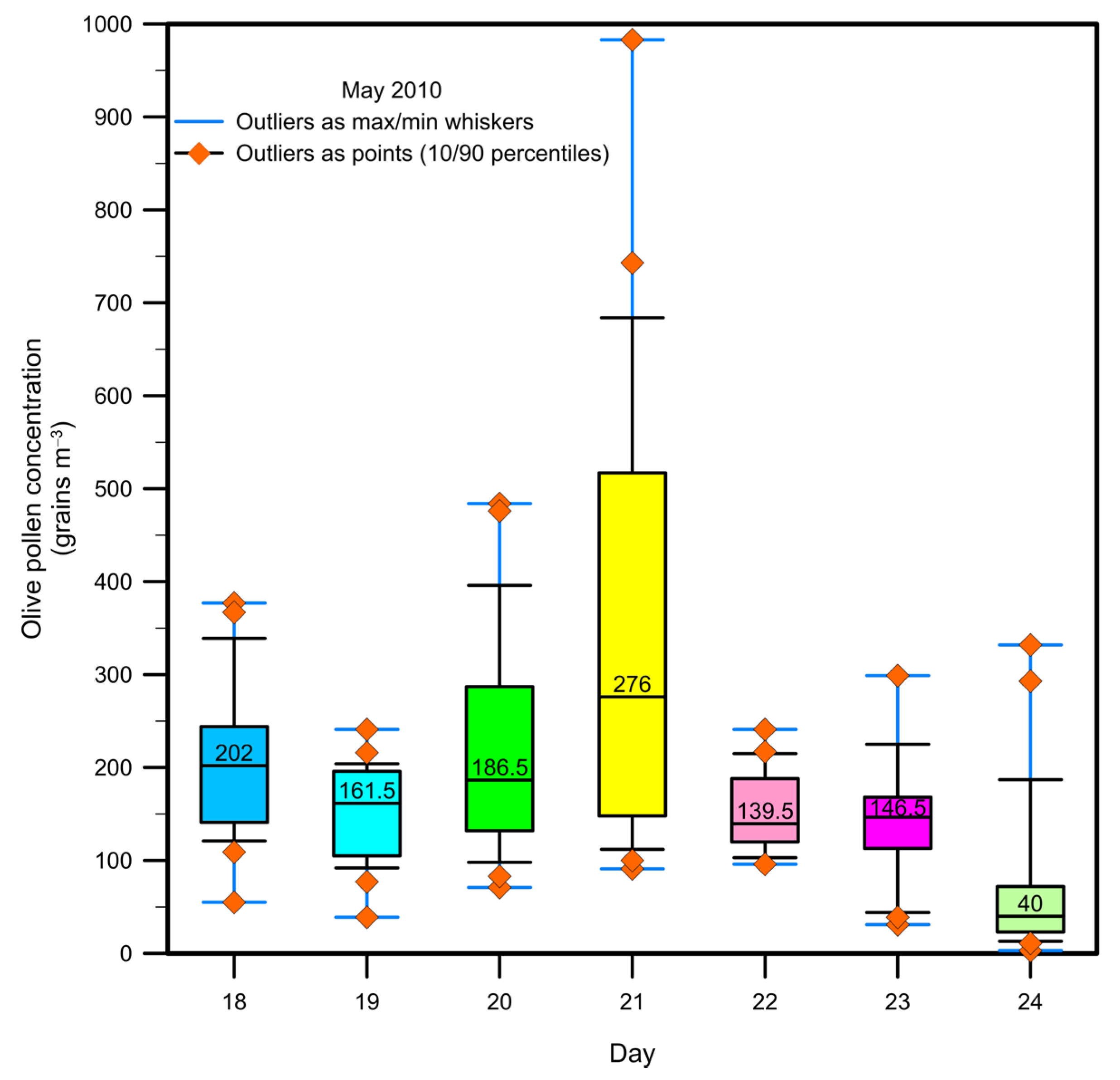
Appendix A.9. Box-and-Whisker Plot

A box-and-whisker plot that visualizes the distribution of olive pollen concentration over several days in May 2010 I exhibited in Figure A9. The x-axis represents individual days, while the y-axis represents olive pollen concentration (grains/m3). Each box plot shows the interquartile range (IQR), with the bottom and top of the box representing the first and third quartiles, respectively. The horizontal line inside each box indicates the median concentration for that day. Vertical lines, or “whiskers,” extend from the boxes to represent data points within a specific range, while outliers are represented as distinct orange diamond points. A legend in the upper left corner clarifies the distinction between whiskers representing maximum and minimum values and outliers based on the 10th and 90th percentiles. Each box is color-coded for different days, enhancing visual differentiation.
Figure A9. Box-and-whisker plot. Summarizes daily variation and outliers in pollen concentration, emphasizing interquartile range and median trends.
Figure A9. Box-and-whisker plot. Summarizes daily variation and outliers in pollen concentration, emphasizing interquartile range and median trends.
Education 16 00533 g0a9
The ninth graph tackles the challenge of effectively conveying spread, quartiles, and outliers. Students frequently resort to basic bar charts without considering more nuanced representations of variability. By featuring medians, interquartile ranges, whiskers, and outlier markers, the plot teaches them how to illustrate data dispersion, which directly addresses the survey’s concerns regarding the omission of distributional details.

Appendix A.10. Pie Charts

Figure A10 presents several pie charts that illustrate the hourly distribution of olive pollen concentrations for May 2010 and for a specific date, 21 May 2010, as well as a combined doughnut chart comparing those two distributions. Each slice of the pie charts represents a four-hour time interval, labeled with both the interval (e.g., 0–4 h, 4–8 h) and the corresponding percentage of total pollen concentration. Distinct, bright colors clearly differentiate the intervals, and the slices are accompanied by numerical labels indicating the percentage of pollen concentration. A legend to the right specifies the meaning of each color, allowing viewers to quickly identify which slice corresponds to each time span. In the doughnut chart, the inner ring displays the monthly mean distribution, and the outer ring displays the distribution for 21 May 2010, with lighter shades used for the latter, emphasizing the difference between the single date and the monthly average.
Figure A10. Pie and doughnut charts. Hourly and daily pollen distributions are compared through color-coded percentage slices and nested ring representation.
Figure A10. Pie and doughnut charts. Hourly and daily pollen distributions are compared through color-coded percentage slices and nested ring representation.
Education 16 00533 g0a10
This set of graphs was selected to illustrate how to represent proportions clearly and perform simple comparisons between different timeframes (e.g., a single day versus a monthly average). Although pie charts can be overused or misused, these examples show how to label slices carefully, apply distinct colors, and maintain a concise legend. They also help students learn the importance of consistently displaying percentage values to avoid confusion, thus reinforcing the survey’s recommendations around labeling and legend clarity when dealing with proportions.

Appendix B. Complex Multi-Variable Graph for Rubric-Based Assessment

This appendix illustrates the complex multi-variable graph (Figure A11) that students were required to replicate prior to the rubric-based assessment.
Figure A11. Complex multi-variable graph used in the final replication task, combining rainfall bars, temperature ranges, humidity lines, and evapotranspiration bubbles to illustrate multiple weather variables over time.
Figure A11. Complex multi-variable graph used in the final replication task, combining rainfall bars, temperature ranges, humidity lines, and evapotranspiration bubbles to illustrate multiple weather variables over time.
Education 16 00533 g0a11
The graph combines several plot types to display multiple weather variables over time. The lower portion uses vertical bars, filled with a red downward diagonal pattern, to show rainfall (in millimeters) across months, with the x-axis representing dates from January 2007 to December 2008. A red line represents the running average fit to the red star markers which indicate the mean temperature (Tmean) on the primary y-axis (in degrees Celsius), while a colored bar gradient (from blue to red) extends behind those markers to illustrate the range from minimum to maximum temperature for each period (Tmax–Tmin). Superimposed is a black line portraying mean relative humidity, mapped to a secondary vertical axis on the right in percentage terms. Above these, purple circles of varying sizes represent daily or interval-based reference evapotranspiration (ETo), with larger circles indicating higher ETo values; they typically align with a separate scale on the upper right, sometimes also denoting solar radiation or energy in MJ m−2. Thus, the chart employs a combination of bar graphs (rainfall, and the Tmax–Tmin range as vertical extents), line plots (humidity and the running average fit of temperature), and bubble plots (ETo sized according to measured values), all sharing the same time axis but mapped to different y-axes or scales to convey multiple weather parameters in one comprehensive view.

References

  1. Aitchison, C., & Guerin, C. (Eds.). (2014). Writing groups for doctoral education and beyond: Innovations in practice and theory (1st ed.). Routledge. [Google Scholar] [CrossRef]
  2. Behrisch, M., Bach, B., Henry Riche, N., Schreck, T., & Fekete, J. D. (2016). Matrix reordering methods for table and network visualization. Computer Graphics Forum, 35(3), 693–716. [Google Scholar] [CrossRef]
  3. Bonneau, G.-P., Ertl, T., & Nielson, G. T. (Eds.). (2005). Scientific visualization: The visual extraction of knowledge from data. Springer. [Google Scholar]
  4. Cairo, A. (2016). The truthful art: Data, charts, and maps for communication. New Riders. [Google Scholar]
  5. Clark, J. M., & Paivio, A. (1991). Dual coding theory and education. Educational Psychology Review, 3(3), 149–210. [Google Scholar] [CrossRef]
  6. Cronbach, L. J. (1951). Coefficient alpha and the internal structure of tests. Psychometrika, 16(3), 297–334. [Google Scholar] [CrossRef]
  7. Çay, D., Karyda, M., & Kitti Butter, K. (2024). Co-badge: An activity for collaborative engagement with data visualization design concepts. In Adjunct proceedings of the 2024 Nordic conference on human-computer interaction (NordiCHI ‘24 adjunct) (pp. 1–5). Article 17. Association for Computing Machinery. [Google Scholar] [CrossRef]
  8. Du, M., Amor, R., Ma, K.-L., & Wünsche, B. C. (2025). Data visualization for improving financial literacy: A systematic review. Visual Informatics, 10, 100272. [Google Scholar] [CrossRef]
  9. Dunn, T. J., Baguley, T., & Brunsden, V. (2014). From alpha to omega: A practical solution to the pervasive problem of internal consistency estimation. British Journal of Psychology, 105(3), 399–412. [Google Scholar] [CrossRef]
  10. Feldon, D. F., Peugh, J., Timmerman, B. E., Maher, M. A., Hurst, M., Strickland, D., Gilmore, J. A., & Stiegelmeyer, C. (2011). Graduate students’ teaching experiences improve their methodological research skills. Science, 333(6045), 1037–1039. [Google Scholar] [CrossRef]
  11. Few, S. (2009). Now you see it: Simple visualization techniques for quantitative analysis. Analytics Press. [Google Scholar]
  12. Franconeri, S. L., Padilla, L. M., Shah, P., Zacks, J. M., & Hullman, J. (2021). The science of visual data communication: What works. Psychological Science in the Public Interest, 22(3), 110–161. [Google Scholar] [CrossRef] [PubMed]
  13. Gunning, S. K. (2022, July 17–20). Undergraduates’ perceptions on data visualization consumption versus production: It’s communication, but is it “writing”? IEEE International Professional Communication Conference (ProComm) (pp. 429–434), Limerick, Ireland. [Google Scholar] [CrossRef]
  14. Heer, J., Bostock, M., & Ogievetsky, V. (2010). A tour through the visualization zoo. Communications of the ACM, 53(6), 59–67. [Google Scholar] [CrossRef]
  15. Hunter, J. D. (2007). Matplotlib: A 2D graphics environment. Computing in Science & Engineering, 9(3), 90–95. [Google Scholar] [CrossRef]
  16. Ji, L. (2025). Research on the strategy of using data visualization technology to enhance the effect of ideological and political education of students in colleges and universities. Applied Mathematics and Nonlinear Sciences, 10(1), 2025. [Google Scholar] [CrossRef]
  17. Kelleher, C., & Wagener, T. (2011). Ten guidelines for effective data visualization in scientific publications. Environmental Modelling & Software, 26(6), 822–827. [Google Scholar] [CrossRef]
  18. Kohlhammer, J., Keim, D., Pohl, M., Santucci, G., & Andrienko, G. (2011). Solving problems with visual analytics. Procedia Computer Science, 7, 117–120. [Google Scholar] [CrossRef]
  19. Kosara, R., Hauser, H., & Gresh, D. L. (2003). An interaction view on information visualization. In Eurographics 2003 state-of-the-art reports (Vol. 3, pp. 123–137). The Eurographics Association. [Google Scholar]
  20. Landis, J. R., & Koch, G. G. (1977). The measurement of observer agreement for categorical data. Biometrics, 33(1), 159–174. [Google Scholar] [CrossRef]
  21. Matzen, L. E., Howell, B. C., Trumbo, M. C. S., & Divis, K. M. (2023). Numerical and visual representations of uncertainty lead to different patterns of decision making. IEEE Computer Graphics and Applications, 43(5), 72–82. [Google Scholar] [CrossRef]
  22. McAlpine, L. (2013). Doctoral supervision: Not an individual but a collective institutional responsibility. Journal for the Study of Education and Development, 36(3), 259–280. [Google Scholar] [CrossRef]
  23. McDonald, R. P. (1999). Test theory: A unified treatment. Lawrence Erlbaum Associates. [Google Scholar]
  24. McInerny, G. J., Chen, M., Freeman, R., Gavaghan, D., Meyer, M., & Rowland, F. (2014). Information visualisation for science and policy: Engaging users and avoiding bias. Trends in Ecology & Evolution, 29(3), 148–157. [Google Scholar] [CrossRef]
  25. Newburger, E., & Elmqvist, N. (2023). Comparing overlapping data distributions using visualization. Information Visualization, 22(4), 291–306. [Google Scholar] [CrossRef]
  26. Padilla, L. M., Creem-Regehr, S. H., Hegarty, M., & Stefanucci, J. K. (2018). Decision making with visualizations: A cognitive framework across disciplines. Cognitive Research: Principles and Implications, 3(1), 29. [Google Scholar] [CrossRef]
  27. Pozdniakov, S., Martinez-Maldonado, R., Tsai, Y.-S., Echeverria, V., Swiecki, Z., & Gašević, D. (2024). Investigating the effect of visualization literacy and guidance on teachers’ dashboard interpretation. Journal of Learning Analytics, 12(1), 367–390. [Google Scholar] [CrossRef]
  28. Rahman, M. D., Doppalapudi, B., Quadri, G. J., & Rosen, P. (2025). A survey on annotations in information visualization: Empirical studies, applications and challenges. IEEE Transactions on Visualization and Computer Graphics, 31(12), 10439–10456. [Google Scholar] [CrossRef]
  29. Reimann, D., Struwe, M., Ram, N., & Gaschler, R. (2025). Typicality effect in data graphs. Visual Communication, 24(1), 114–128. [Google Scholar] [CrossRef]
  30. Rho, J., & Rau, M. A. (2025). Exploring educational approaches to addressing misleading visualizations. Educational Psychology Review, 37, 14. [Google Scholar] [CrossRef]
  31. Schoenherr, J., Strohmaier, A. R., & Stanislaw Schukajlow, S. (2024). Learning with visualizations helps: A meta-analysis of visualization interventions in mathematics education. Educational Research Review, 45, 100639. [Google Scholar] [CrossRef]
  32. Schwabish, J. (2021). The practice of visual data communication: What works. Psychological Science in the Public Interest, 22(3), 97–109. [Google Scholar] [CrossRef]
  33. Sedlmair, M., Meyer, M., & Munzner, T. (2012). Design study methodology: Reflections from the trenches and the stacks. IEEE Transactions on Visualization and Computer Graphics, 18(12), 2431–2440. [Google Scholar] [CrossRef]
  34. Sweller, J. (2011). Cognitive load theory. Springer. [Google Scholar]
  35. Tufte, E. R. (2001). The visual display of quantitative information. Graphics Press. [Google Scholar]
  36. Vázquez-Ingelmo, A., García-Holgado, A., Verdugo-Castro, S., Therón, R., & García-Peñalvo, F. J. (2024). Data visualization and domain knowledge: Insights through focus groups of researchers in Spain. Computers in Human Behavior, 155, 108162. [Google Scholar] [CrossRef]
  37. Ware, C. (2020). Information visualization: Perception for design (4th ed.). Morgan Kaufmann. [Google Scholar]
  38. Waskom, M. L. (2021). Seaborn: Statistical data visualization. Journal of Open Source Software, 6(60), 3021. [Google Scholar] [CrossRef]
  39. Wickham, H. (2016). ggplot2: Elegant graphics for data analysis. Springer. [Google Scholar] [CrossRef]
  40. Zacks, J. M., & Franconeri, S. L. (2020). Designing graphs for decision-makers. Policy Insights from the Behavioral and Brain Sciences, 7(1), 52–63. [Google Scholar] [CrossRef]
Table 1. Pre-assessment survey statements and results.
Table 1. Pre-assessment survey statements and results.
ItemStatementMeanSD
Section A: Existing knowledge & perceptions
(Likert scale: 1–5)
A1I understand how to choose a suitable chart type (e.g., scatter, bar, histogram, pie) for different kinds of data.2.910.87
A2Labeling axes and including proper units is something I feel confident doing.3.150.72
A3I have a clear strategy for using colors or patterns to differentiate multiple datasets in one graph.2.670.93
A4I know how to highlight key findings in a graph (annotations, markers, arrows).2.860.88
A5I am familiar with creating a clear and concise legend for multi-variable charts.2.540.92
A6I grasp how to represent uncertainty or statistical concepts (like confidence intervals) in a plot.2.440.95
Section B: Awareness of common pitfalls
(Likert scale: 1–5)
B1I am aware that poorly labeled axes can undermine the clarity of an otherwise good graph.3.740.52
B2I recognize how ambiguous color choices can confuse viewers about which data series they’re seeing.3.290.76
B3I know that failing to provide a legend or using a vague legend can lead to misinterpretation.3.580.68
B4I understand that cluttered visuals (too many overlapping lines) reduce readability.3.470.62
B5I realize that not highlighting outliers or peaks can make key insights easy to miss.2.940.85
Section C: Anticipated challenges & expectations
(Open-ended)
C1What do you find most challenging about creating graphs at this stage (e.g., choosing chart types, labeling, dealing with multiple variables)?-
C2If you have used any graphing tools or software in the past, which aspects did you find most difficult to master-
C3What are you hoping to learn or improve on by creating and refining the upcoming set of graphs?-
C4Describe a past experience (in a class or research project) where your data visualization might have been unclear or confusing. What went wrong, and how could it have been improved?-
Table 2. Rubric 1: Conceptual understanding.
Table 2. Rubric 1: Conceptual understanding.
Criterion1—Poor2—Fair3—Satisfactory4—Good5—Excellent
Identification of plots & variablesFails to correctly identify most plot types or variables; substantial confusion is evident.Identifies some variables or graphical forms, but important elements are missing or misinterpreted.Correctly recognizes the principal variables and plot types, though minor inaccuracies remain.Accurately identifies nearly all graphical components and their corresponding variables, with minimal oversight.Precisely and comprehensively identifies every plot type and variable, including correct axis alignment and measurement units, without error.
Interpretation of scales & unitsOmits axis labels or units or assigns them incorrectly; variables are mismatched with axes.Provides incomplete or partially accurate axis labeling; several units are missing or incorrectly assigned.Correctly specifies most axes and units, with minor inconsistencies in variable–axis alignment.Clearly explains axis structure and measurement units, with only negligible labeling inaccuracies.Demonstrates complete and accurate understanding of axis scaling, unit specification, and variable alignment, with no inconsistencies or omissions.
Clarity & structural coherenceDescription lacks logical organization and is difficult to follow.Some structural organization is present, but sequencing is inconsistent or confusing.Explanation is generally coherent, though occasional discontinuities or abrupt transitions occur.Presents a logically ordered and clearly structured explanation, with smooth transitions between components.Provides a highly coherent, systematically organized explanation that integrates all elements in a clear and analytically consistent manner.
Use of disciplinary terminologyFrequently misuses or avoids appropriate technical terminology; language is vague or incorrect.Attempts to use technical terms, but inconsistently or inaccurately applies them.Uses appropriate terminology overall, with minor imprecision in specific terms.Consistently applies correct disciplinary vocabulary, with only minimal lapses.Employs precise, discipline-specific terminology accurately and consistently, demonstrating advanced conceptual command.
Completeness of explanationAddresses only isolated aspects of the figure; major components are omitted.Covers several elements of the figure but excludes important variables or relationships.Describes most key elements (e.g., timeframe, principal variables), though some relationships or details are overlooked.Provides a nearly comprehensive account of variables and their interrelations, with only minor omissions.Delivers a thorough and integrated explanation encompassing all variables, temporal dimensions, and interrelationships represented in the figure.
Table 3. Aggregated results for rubric 1.
Table 3. Aggregated results for rubric 1.
CriterionMeanSD
Identification of plots & variables3.890.67
Interpretation of scales/units3.740.75
Clarity & structural coherence3.960.59
Use of disciplinary terminology3.650.81
Completeness of explanation3.790.69
Table 4. Rubric 2: Technical execution.
Table 4. Rubric 2: Technical execution.
Criterion1—Poor2—Fair3—Satisfactory4—Good5—Excellent
Accuracy of graphical representation & data mappingSelects inappropriate chart types and/or assigns data to incorrect axes, resulting in major misrepresentation.Attempts suitable plot formats but includes substantial plotting errors or misaligned data.Generally selects appropriate chart types and assigns variables correctly, with minor plotting inaccuracies.Correctly matches datasets to suitable graphical forms, with only small numerical or positional errors.Accurately and precisely represents each dataset using the appropriate graphical format, with correct data alignment and no meaningful discrepancies.
Axis configuration & unit specificationAxes are missing, incorrectly labeled, or use inappropriate units.Axis labels are partially present but contain errors, omissions, or inconsistent units.Most axes and units are correctly labeled, though minor inconsistencies remain, particularly in multi-axis arrangements.Axes and units are clearly and consistently labeled, with only minimal inaccuracies.All axes are precisely labeled with correct units and scaling; formatting and alignment fully match the intended structure without error.
Color coding & legend alignmentUses inconsistent or arbitrary colors; legend is missing, misleading, or contradictory.Applies some differentiation through color, but legend is incomplete or partially inaccurate.Color scheme is generally coherent, and legend corresponds to most data series, though minor mismatches occur.Maintains a consistent and logical color structure, supported by an accurate and clearly presented legend.Implements a well-designed, fully consistent color scheme with a comprehensive legend that precisely corresponds to all graphical elements.
Integration of multiple variables & visual layeringMultiple datasets interfere visually; poor layering creates clutter and obscures interpretation.Attempts to combine multiple variables but struggles with alignment, scaling, or visual separation.Integrates multiple datasets adequately, though minor crowding or alignment issues remain.Effectively coordinates different plot types and axes, maintaining clarity and minimal visual interference.Seamlessly integrates multiple graphical elements (e.g., bars, lines, markers) across scales or axes, preserving clarity and structural coherence throughout.
Annotation & emphasis of key elementsImportant features (e.g., peaks, time points, markers) are not labeled or highlighted.Includes limited annotations but omits several relevant data points or explanatory markers.Provides basic labeling of key elements, though emphasis and precision could be improvedClearly identifies most relevant features through appropriate annotations, with only minor omissions.Thoroughly and strategically annotates all significant features, enhancing interpretability and aligning with best-practice presentation standards.
Table 5. Aggregated results for rubric 2.
Table 5. Aggregated results for rubric 2.
CriterionMeanSD
Accuracy of graphical representation & data mapping3.850.69
Axis configuration & unit specification3.540.84
Color coding & legend alignment3.680.75
Multivariate integration3.770.64
Annotation & key elements3.470.92
Table 6. Pearson correlation coefficients, r, and statistical significance (p-values) between rubric 1 and rubric 2.
Table 6. Pearson correlation coefficients, r, and statistical significance (p-values) between rubric 1 and rubric 2.
Rubric 1: Conceptual Understanding
Identification of Plots &VariablesInterpretation of Scales & UnitsClarity & Structural CoherenceUse of Disciplinary TerminologyCompleteness of Explanation
Rubric 2: Technical executionAccuracy of graphical representation & data mapping0.378 *
(p = 0.016)
−0.262
(p = 0.103)
0.054
(p = 0.738)
−0.211
(p = 0.191)
0.018
(p = 0.911)
Axis configuration & unit specification−0.217
(p = 0.179)
0.016
(p = 0.923)
0.114
(p = 0.482)
−0.016
(p = 0.920)
−0.023
(p = 0.888)
Color coding & legend alignment−0.155
(p = 0.341)
0.007
(p = 0.967)
0.322 *
(p = 0.042)
−0.054
(p = 0.740)
0.271
(p = 0.090)
Integration of multiple variables & visual layering0.388 *
(p = 0.013)
0.157
(p = 0.333)
−0.119
(p = 0.465)
−0.231
(p = 0.151)
−0.061
(p = 0.706)
Annotation & emphasis of key elements−0.158
(p = 0.331)
0.1
(p = 0.538)
0.24
(p = 0.136)
−0.098
(p = 0.546)
−0.023
(p = 0.889)
* Statistically significant.
Table 7. Spearman rank correlation matrix, ρ, and statistical significance (p-values) between rubric 1 and rubric 2.
Table 7. Spearman rank correlation matrix, ρ, and statistical significance (p-values) between rubric 1 and rubric 2.
Rubric 1: Conceptual Understanding
Identification of Plots &VariablesInterpretation of Scales & UnitsClarity & Structural CoherenceUse of Disciplinary TerminologyCompleteness of Explanation
Rubric 2: Technical executionAccuracy of graphical representation & data mapping0.381 *
(p = 0.014)
−0.241
(p = 0.124)
0.063
(p = 0.691)
−0.193
(p = 0.220)
0.018
(p = 0.910)
Axis configuration & unit specification−0.207
(p = 0.190)
0.015
(p = 0.924)
0.108
(p = 0.495)
−0.012
(p = 0.941)
−0.019
(p = 0.905)
Color coding & legend alignment−0.129
(p = 0.417)
0.006
(p = 0.969)
0.308 *
(p = 0.047)
−0.047
(p = 0.766)
0.249
(p = 0.112)
Integration of multiple variables & visual layering0.392 *
(p = 0.011)
0.142
(p = 0.371)
−0.096
(p = 0.548)
−0.216
(p = 0.168)
−0.053
(p = 0.739)
Annotation & emphasis of key elements−0.138
(p = 0.384)
0.093
(p = 0.561)
0.224
(p = 0.153)
−0.082
(p = 0.606)
−0.017
(p = 0.914)
* Statistically significant.
Disclaimer/Publisher’s Note: The statements, opinions and data contained in all publications are solely those of the individual author(s) and contributor(s) and not of MDPI and/or the editor(s). MDPI and/or the editor(s) disclaim responsibility for any injury to people or property resulting from any ideas, methods, instructions or products referred to in the content.

Share and Cite

MDPI and ACS Style

Gutiérrez de Ravé, S.; Gutiérrez de Ravé, E.; Jiménez-Hornero, F.J. Structured Data Visualization Instruction in Graduate Education: An Empirical Study of Conceptual and Procedural Development. Educ. Sci. 2026, 16, 533. https://doi.org/10.3390/educsci16040533

AMA Style

Gutiérrez de Ravé S, Gutiérrez de Ravé E, Jiménez-Hornero FJ. Structured Data Visualization Instruction in Graduate Education: An Empirical Study of Conceptual and Procedural Development. Education Sciences. 2026; 16(4):533. https://doi.org/10.3390/educsci16040533

Chicago/Turabian Style

Gutiérrez de Ravé, Simón, Eduardo Gutiérrez de Ravé, and Francisco José Jiménez-Hornero. 2026. "Structured Data Visualization Instruction in Graduate Education: An Empirical Study of Conceptual and Procedural Development" Education Sciences 16, no. 4: 533. https://doi.org/10.3390/educsci16040533

APA Style

Gutiérrez de Ravé, S., Gutiérrez de Ravé, E., & Jiménez-Hornero, F. J. (2026). Structured Data Visualization Instruction in Graduate Education: An Empirical Study of Conceptual and Procedural Development. Education Sciences, 16(4), 533. https://doi.org/10.3390/educsci16040533

Note that from the first issue of 2016, this journal uses article numbers instead of page numbers. See further details here.

Article Metrics

Back to TopTop