Abstract
This study examines the link between deep approaches to learning (DAL) and undergraduate senior students’ employability skills and perceived satisfaction in STEM fields in the United States. DAL, comprising higher-order (HO) and reflective/integrated (RI) learning constructs, enhances the understanding of real-world applications and promotes reflective thinking about individual ideas in broader contexts. HO activities focus on analyzing, synthesizing, and applying new information in practical scenarios such as internships, classroom discussions, and presentations. RI activities involve integrating existing knowledge with new ideas. The efficacy of DAL in improving student outcomes including employability and satisfaction skills was investigated using Structural Equation Modeling (SEM), which included a Confirmatory Factor Analysis (CFA) to measure observed variables associated with the four latent factors (HO, RI, student satisfaction, and employability skills), followed by structural analysis to explore the relationship between these latent factors. Data from 14,292 senior students surveyed by the National Study of Student Engagement (NSSE) in 2018 were analyzed. The results indicated a significant positive effect of DAL on students’ satisfaction and perceived employability skills, underscoring its importance in higher education for STEM students. These findings can guide higher education institutions (HEIs) in focusing on DAL activities for meaningful learning outcomes and enhanced critical thinking.
1. Introduction
Higher education institutions (HEIs) are tasked with preparing students not only to become experts in their chosen disciplines but also to develop lifelong learning skills for their professional careers (). Thus, HEIs encourage students to adopt deep learning approaches that involve meaning and reasoning in learning rather than solely memorizing information (). () suggests that while memorizing facts (such as lists of terms, dates, rules, or concepts) is useful under some circumstances, deep learning offers richer rewards as it embeds understanding in great depth. When students use their knowledge for practical problem-solving, it becomes more valuable and meaningful to them. The U.S. Department of Education has underscored the importance of equipping future leaders and workers with skills and content knowledge in STEM fields to address complex challenges (U.S. Department of Education). However, a prevailing issue is that STEM subjects continue to emphasize surface-level learning, whereas non-STEM fields gravitate towards deeper understanding (). Thus, this study primarily aimed to explore how undergraduate seniors perceived deep approaches to learning (DAL) and whether it was associated with their overall satisfaction with their college experience and their perceived employability skills in the STEM field.
1.1. Deep Approaches to Learning (DAL)
DAL refers to the strategies students employ in their daily learning, in contrast with their outcomes. A hallmark of DAL is an innate interest in a task, prompting students to seek underlying meanings and an understanding of the connection between various components of a given task and how the task is integrated into other tasks () Students engaged in a deep learning approach are motivated internally and get deeply involved in their learning journey.
The relevance of DAL in higher education has gained prominence with the work of (), who differentiated learning into deep and surface categories. They identified deep learning as an active process focused on maximizing the learner’s potential, in contrast to the more passive nature of surface learning. This distinction was further emphasized by scholars such as (), who noted the deep learner’s desire for comprehensive understanding driven by curiosity. Deep learning involves extensive reading, discussing ideas with others, applying concepts to real-world scenarios, and integrating individual ideas into larger frameworks. With the shift towards student-centered learning in HEIs, educators are encouraged to move away from surface-level teaching and engage more interactively with students. This approach facilitates active meaning-making and a deeper grasp of study topics, as advocated by () and (). Ultimately, DAL emphasizes a thorough understanding beyond just acquiring knowledge, prompting students to comprehend real-world applications and reflect on how various pieces of information fit into larger constructs ().
Earlier, () posited that understanding how students grasp concepts can significantly enhance the development of effective teaching methods. They suggested that insights into students’ approaches to learning could achieve a balance between teaching and learning at higher education levels. Echoing this perspective, () introduced the 3-P model (Presage, Process, and Product), which considers factors such as course content, instruction, methods, and course assessments—elements under the control of institutions and instructors—as crucial to the teaching context. This model emphasizes that these factors in the 3-P model create a learning “climate,” highlighting the need for careful consideration in teaching enhancements to optimize student learning experiences.
1.2. Overall Student Satisfaction and Its Relationship to DAL
Many aspects of college life, for example, the campus environment, academic challenges, faculty and staff support, and opportunities to meet personal and social needs, affect overall student satisfaction. () reference () definition of students’ overall satisfaction as encompassing the entirety of the undergraduate experience. This includes aspects such as “relationships with faculty, curriculum and instruction, student life, individual support services, and facilities” (p. 75).
Deep approaches to learning (DAL) offers significant personal rewards for students, enhancing satisfaction and long-term fulfillment (). There is a correlation between deep learning scores and satisfaction, whereas surface learning tends to be associated with dissatisfaction (). () note that students are generally more satisfied with their college experience if the environment supports academic success and manages nonacademic areas effectively, such as work–family-related issues. This includes fostering quality relationships with faculty and peers, as well as providing supportive administrative services. Given the critical role of overall student satisfaction in retention, academic achievement, motivation, recruitment, physical and psychological health, and fundraising for institutions, it has become a key performance indicator for universities (Best Colleges1). Consequently, the question arises: Can the implementation of DAL practices contribute to increasing overall student satisfaction?
1.3. Perceived Employability Skills and Its Relationship to DAL
The goal of DAL in higher education is to prepare students to become employment-ready and lifelong learners. HEIs are expected to engage students in meaningful and critical concepts, moving beyond the mere imparting of repetitive knowledge (). () describe lifelong learning as a continuum that begins at pre-university levels and extends to professional development post-graduation. Employability skills, such as innovative thinking, teamwork, problem-solving, empathy and relationship building, effective communication, and competitive project work, are crucial for professional readiness, especially when prior experience is limited or absent (). These skills are closely aligned with the principles of DAL, suggesting that incorporating DAL is essential in developing work-ready graduates ().
1.4. Purpose of This Study
The purpose of this study is to investigate the relationship between deep approaches to learning (DAL) and two key outcomes for senior undergraduate students in STEM fields: overall student satisfaction and perceived employability skills. These factors are crucial for meeting the demand for a competent workforce post-college, especially in STEM disciplines. Implementing DAL practices could significantly improve educational approaches, thereby enhancing both employability and student satisfaction in these disciplines. Practices such as collaborative learning, faculty–student interaction, active learning, and a supportive campus atmosphere are integral to DAL and are known to contribute to the objectives of graduate and professional degrees ().
A substantial lack of research exists on the effect of DAL on students’ perceived employability skills and overall student satisfaction. This study aims to fill this gap, providing insights that could assist American higher education institutions in re-evaluating the role of students’ perceived employability skills and their satisfaction with their education. () observed that students in “hard fields” such as STEM tend to engage less in DAL. They argue that frequent use of DAL is associated with higher levels of student self-reported intellectual and personal development, leading to increased satisfaction. Therefore, it is critical to encourage students to engage in career-developing strategies such as application, practice, reviews, and discussions in the classrooms, which can enhance perceived employability skills and overall satisfaction with their undergraduate experience.
1.5. Research Question
This study seeks to explore the following research question: Is there a relationship between deep approaches to learning (DAL) activities and the overall student satisfaction and perceived employability skills of undergraduate seniors in STEM programs?
The literature review on deep learning, overall student satisfaction, and perceived employability skills helped us to discover how these DAL concepts are founded on theories of students’ approaches to learning, as well as what and how meaningful learning takes place in students. Furthermore, after reading recommendations for future research in some of the papers, the authors identified the gaps in our understanding of the relationship between deep learning and students’ overall satisfaction and improvement in perceived employability skills. This is especially true for students in the STEM field since these fields continue to be taught at a surface level rather than using the deep approaches to learning. These facts led the authors to hypothesize that students who engage in DAL achieve better employability skills and overall satisfaction and that employability skills will lead to a higher level of overall satisfaction with their college studies.
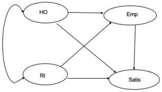
The research hypothesis is that the two latent factors HO and RI representing DAL have an effect on the other two latent factors, overall student satisfaction (Satis) and perceived employability skills (Emp) (see Figure 1).

Figure 1.
The hypothesized model.
2. Materials and Methods
The National Survey of Student Engagement (NSSE) 2018 data for this study were gathered from a population of 260,060 students at four-year institutions across the United States. The survey was developed by College Student Report to give to students during their freshman and senior years. Its purpose was to gather data about the attributes and standards of their undergraduate educational practices, learning experiences, and their personal development. NSSE then collects the survey results from the participating institutions, and it provides those institutions with a variety of reports comparing students’ responses.
In the study sample, seniors in STEM majors were selected according to NSSE’s criteria for STEM fields. The NSSE provided a random (10%) sample from the full sample for this study. Table 1 describes the demographic information about gender, parents’ education, and race/ethnicity of the STEM students. Of the total number of STEM students (n = 13,180), 51.2% were male, 45.7% were female, approximately 1.3% of students had another gender identity, and 1.8% of students preferred not to respond to the question about gender identity. Since typical four-year institution students were utilized, transfer students were not part of this study.

Table 1.
Student demographics (N = 13,180).
This study included information about students’ background and demographics, including gender, parents’ educational level, and race/ethnicity as controlled variables to assess whether any changes in the outcome occurred because of these control variables. Gender was captured in four categories: 1 for ‘Male,’ 2 for ‘Female,’ 3 for ‘Other,’ and 9 for ‘Prefer not to respond.’ The students who selected ‘prefer not to respond’ were not included in the analysis to keep the categorical variable parsimonious. Since the number of participants who responded with ‘prefer not to respond’ was small, the effect on the parameter estimates was expected to be minimal.
Information about the parent or guardian’s educational information was measured on a scale from 1 to 7, where 1 was coded as “Did not finish high school” and 7 as “Doctoral or professional degree” (see Table 1). These responses were re-coded by collapsing the categories into three subcategories of high school/undergraduate/graduate education, where undergrad and graduate variables were re-coded as dummy variables, and high school or below was the reference variable.
Table 1 also shows race/ethnicity (American Indian = 1, Asian = 2 … and others; 10 = “prefer not to respond”). Similar to the gender variables, students who selected “prefer not to respond” were not included in the analysis due to their very small size and to keep the model parsimonious. The categories were also further collapsed into three manageable categories of white, non-white, and mixed by keeping non-white and mixed as dummy variables while keeping ‘white’ as the reference variable.
2.1. Measures
The NSSE2 annually collects information at hundreds of four-year colleges and universities about first year and senior students’ participation in programs and activities that institutions provide for their learning and personal development. Its questionnaire is designed to assess students’ engagement in academic practices and experiences during their time at college (). The NSSE then provides participating institutions with a variety of reports that compare their students’ responses with those of students at self-selected groups of comparison institutions. The College Student Report, one of NSSE’s reports, monitors undergraduates’ progress in the following areas: (1) communication skills by including items related to writing, speaking, and technological skills; (2) critical thinking by emphasizing items related to analyzing, synthesizing, and making judgments; (3) understanding of society by including items related to conversation with others; and (4) perception of the campus environment by including items measuring the relationship between peers, faculty, and the administration.
Unlike other instruments that measure approaches to learning, several of NSSE’s instruments assess behaviors that indicate students are practicing deep approaches to learning (DAL). Furthermore, items in the instruments capture three different components that constitute DAL: higher-order and integrative/reflective learning constructs (). The integrative and reflective items were later combined into one component to achieve a better scale measurement.
The NSSE’s items related to satisfaction measure whether students are more satisfied with their college if its overall environment supports succeeding academically as well as coping with nonacademic factors, such as work–family-related issues, supports quality relationships with faculty as well as other students, and provides adequate administrative personnel support.
Since students’ perceived employability skills are not solely about securing a job but also about learning attributes, including communication skills, interpersonal skills, teamwork capabilities, problem-solving abilities, analytics comprehension, and a willingness to learn and continue learning, the NSSE assesses the students’ employability skills through items related to these attributes. These attributes are also related to DAL. According to () they are also called “graduate attributes” and need to be considered outcomes of the total university experience (p. 10).
To meet the objectives of this study, Structural Equation Modeling (SEM) was applied using the NSSE 2018 dataset. From the dataset, a total of 24 items that addressed the constructs of deep approaches to learning (DAL), overall student satisfaction, and perceived employability skills were first identified; these items are based on the theories and principles of DAL. The higher-order (HO) and reflective/integrative (RI) items from DAL consisted of 11 items. This study also had three items measuring overall student satisfaction; however, only two of the items were utilized since one of the three items was not related to graduating seniors. The 10 items were on measuring students’ perceived employability skills.
2.2. Subscales of DAL
() explored the factor structure of DAL by identifying three primary subscales: higher-order (HO) and reflective/integrative (RI) learning. These scales are grounded in the extensive literature on deep learning (). Their survey questionnaires include students’ opportunities to make presentations, work closely with faculty members on different class projects, serve on community projects or participate in co-curricular activities (measured in hours), and reflect on how different projects or coursework helped them in different mental learning processes such as memorizing, evaluating, and synthesizing the learned information. Understandably, some scholars have validated the NSSE deep approaches to learning constructs on a national level in terms of internal and predictive validity (, ).
The HO items address students’ approaches to dealing with real-world problems and summarizing key information. Four items measured on a 4-point Likert scale were used to measure the HO learning related to DAL (see Table 2). The Cronbach’s alpha reliability of items was 0.714; the average of these items was (M = 2.92, SD = 0.679). The RI items are related to integrating and synthesizing information with prior knowledge in ways that become part of one’s thinking (). Seven items for this construct were measured on a 4-point Likert scale. The Cronbach’s alpha reliability was 0.841, and the average was (M = 2.70, SD = 0.600).

Table 2.
Cronbach’s alpha estimate of DAL in STEM (N = 14,292).
Overall, student satisfaction as a latent variable was measured by identifying two items with a 4-point Likert scale. The Cronbach’s alpha reliability was excellent for the two items used to measure satisfaction; it was 0.804. The average overall student satisfaction items were (M = 3.13, SD = 0.748).
Students’ views about perceived employability skills were measured by examining ten questions rated on a 4-point scale. The Cronbach’s alpha reliability of 0.903 for all 10 items used to measure employability was excellent, and the average of these items was (M = 2.84, SD = 0.679).
2.3. Data Analysis
The SEM analysis was conducted to test the relationship between observed variables and latent factors of DAL while calculating the measurement errors simultaneously. The SEM analysis consisted of a two-step process. First, a Confirmatory Factor Analysis (CFA) was employed to examine the relationship between the measured variables (or items) and the latent variables. The CFA accounted for measurement errors while estimating the relationships between the latent variables.
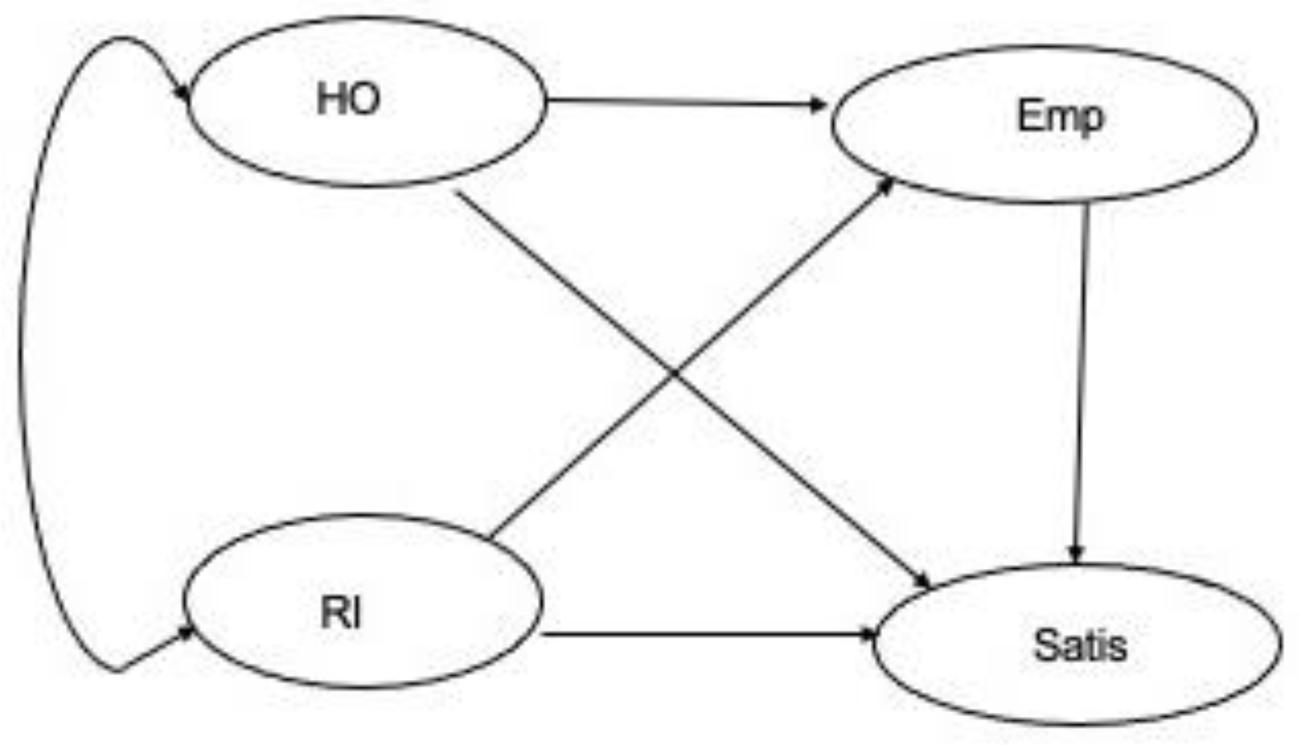
By specifying the latent variables that allow for the effect of measurement errors, researchers can gain a more accurate, reliable, and valid estimate of the relationships among latent constructs (). Once a satisfactory CFA model was established, the next step involved utilizing a structural model to analyze the hypothesized model’s direct and indirect relationships among the items of higher-order, reflective/integration, overall student satisfaction, and perceived employability skills (see Figure 2). The parameters were estimated using the statistical package Mplus version 8.8 (), by employing the Maximum Likelihood (ML) method under the assumption of a normal distribution of the data. The fit of the model was assessed by following the criteria of commonly used fit indices to assess the goodness-of-fit of the model: (a) Chi-Square (χ2); (b) Root Mean Squared Error of Approximation (RMSEA); (c) Comparative Fit Index (CFI); (d) Tucker–Lewis Index (TLI); and (e) Standardized Root Mean Square (SRMR).

Figure 2.
Standardized results for SEM. Note: * p < 0.05.
3. Results
3.1. Descriptive Statistics
To understand the data in detail, sample descriptive statistics of the key variables were obtained. Cases with missing information, which constituted 6% of the dataset, were addressed through the listwise deletion method in Mplus software, Version 8.8. To ascertain the dataset’s adherence to the assumptions of multivariate normality, an initial series of descriptive statistical tests were conducted. These tests included an examination of the skewness, the kurtosis of the distribution, and outliers. The findings indicated skewness and kurtosis values within the acceptable threshold of less than 1.0 for both metrics, except for three items for which the kurtosis was −1.049 (Emp7 and Emp10) and −1.07 (Emp8). The values of (<2.0) and (<7.0) for skewness and kurtosis, respectively, are acceptable according to ().
3.2. Measurement Models
Confirmatory Factor Analysis (CFA) was used to evaluate the relationship between observed variables (items) and four latent factors of DAL: higher-order (HO), integrated and reflective (RI), overall student satisfaction, and perceived employability skills. The initial CFA model with the ‘Memory’ item (χ2 = 24,066, df = 246) showed low factor loadings for this item, leading to its removal for improved theoretical alignment with the HO construct. The revised model demonstrated improved fit (χ2 (224, N = 13,417) = 21,885; p < 0.001; CFI = 0.86, TLI = 0.84, RMSEA = 0.087, SRMR = 0.052) but still required further refinement to reach the pre-established fit statistics cut-offs at (χ2 (181, N = 13,417) = 12,286; p < 0.001, CFI = 0.91; TLI = 0.90; RMSEA = 0.06; SRMR = 0.046) (see Table 3).

Table 3.
CFA model: goodness-of-fit summary.
Upon evaluating the RI construct, one item (RI1) with a factor loading of 0.58 was removed, resulting in Model 2. This item was removed due to its high effect on χ2, resulting in the chi-square difference test of this model (Δχ2 = 1236, Δdf = 12, p < 0.001). This model, however, did not meet adequate fit criteria (χ2 (203, N = 13,417) = 20,649, p < 0.001; CFI = 0.86; TLI = 0.84; RMSEA = 0.087; SRMR = 0.052), and other factor loadings were explored. Further analysis led to the exclusion of the ‘Emp4’ item (How much has your experience at this institution contributed to your knowledge, skills, and personal development in analyzing numerical and statistical information?) from the employability skills construct due to its low factor loading and potential irrelevance for students not engaged in numerical and statistical coursework (χ2 (183, N = 13,417) = 16,691; p < 0.001; CFI = 0.88; TLI = 0.86; RMSEA = 0.082; SRMR = 0.048). Model 3 shows the CFA results after removing Emp4. The chi-square difference test was significant (Δχ2 = 3958, Δdf = 20, p < 0.001). However, the fit of this model was not adequate (CFI = 0.88; TLI = 0.86; RMSEA = 0.082; SRMR = 0.048).
Subsequent modifications involved correlating error terms for items Emp2 and Emp1 (Model 4), which share a focus on communication skills (). The chi-square difference test shows that Model 4 improved significantly over Model 3 at (Δχ2 = 2554, Δdf = 1, p < 0.001). Model 5 shows the results of the CFA model with measurement errors of HO2 correlated with HO1, reflecting their common focus on applying and analyzing concepts (). This model showed a satisfactory fit (χ2 (181, N = 13,417) = 12,286; p < 0.001; CFI = 0.91; TLI = 0.90; RMSEA = 0.06; SRMR = 0.046). The chi-square difference test also showed that Model 5 improved significantly and was selected as the final measurement model for subsequent SEM analysis.
3.3. Factor Loadings
Table 4 shows the factor loadings for all four constructs from Model 5.

Table 4.
Factor loadings of each factor.
For the higher-order (HO) construct, factor loadings for four items were significant, ranging from 0.509 to 0.800. The reflective/integrated (RI) construct, comprising six items, demonstrated high and significant factor loadings, varying from 0.632 to 0727. For the employability skills construct, the factor loadings ranged from 0.626 to 0.782 and were all significant. The construct of overall student satisfaction included two items with factor loadings of 0.938 and 0.717, respectively.
3.4. Structural Model
After establishing a satisfactory CFA model, we examined the structural model (depicted in Figure 2) to analyze the direct and indirect relationships among the constructs. This model demonstrated an acceptable fit (χ2 (232, N = 13,417) = 12,516, p < 0.001, CFI = 0.91; RMSEA = 0.063; TLI = 0.90; SRMR = 0.042), thereby eliminating the need for further modifications. Table 5 details the standardized and unstandardized direct and indirect paths of STEM students’ DAL on overall student satisfaction and perceived employability skills, controlling for demographic variables such as gender, race, and parental educational level. As an example, the effect of gender on employability was statistically insignificant with a β value of −0.002 and p-value of 0.796. However, the gender effect was statistically significant for student satisfaction with a β value of −0.021 and p-value of 0.005. The female category was coded as the reference variable.

Table 5.
Direct and indirect path effects of DAL while controlling for demographics.
3.5. Higher-Order (HO)
The direct effect of HO on student satisfaction was not statistically significant (β = 0.019, SE = 0.029 p > 0.05), suggesting a minimal direct impact of HO activities on student satisfaction in STEM fields. This minimal impact may stem from the demanding nature of DAL activities, leading students to focus more on rote memorization as compared to active engagements. Conversely, the indirect effect of HO (β = 0.216, SE = 0.022, p < 0.05) on student satisfaction was positive, suggesting that employability skills acquired indirectly through these activities contribute to student satisfaction, likely related to perceived job security among senior students.
3.6. Reflective/Integrative (RI)
RI learning approaches showed a significant but negative direct effect on student satisfaction (β = −0.044, SE = 0.014, p < 0.05), implying a decrease in satisfaction with an increase in RI activities. The unexpected outcome might mirror the HO findings, where the emphasis is more on academic performance (i.e., grades) than engagement. However, RI activities had a positive indirect effect (β = 0.167, SE = 0.010, p < 0.05), resulting in a net positive impact on satisfaction (β = 0.123, SE = 0.015, p < 0.05). This indicates that student satisfaction is influenced more significantly through indirect pathways, primarily via perceived gain in employability skills.
3.7. Perceived Employability Skills
There was a significant positive direct effect of perceived employability skills on overall student satisfaction (β = 0.599, SE = 0.009, p = 0.000), underscoring the importance of enhancing employability skills for improving student satisfaction. Furthermore, both HO and RI activities had significant direct effects on employability skills (HO: β = 0.360, SE = 0.012, p < 0.001; RI: β = 0.279, SE = 0.012, p < 0.001), highlighting the crucial role these activities play in developing skills deemed essential for employment, such as applying theoretical knowledge in practical contexts and engaging with diverse perspectives.
In summary, while the direct impact of DAL activities on student satisfaction was mixed, their indirect influence through the development of employability skills was consistently positive. This underscores the significance of such educational approaches in STEM fields, particularly in enhancing employability skills that contribute to overall student satisfaction.
4. Discussion
This study examined the structure and characteristics of observed items and how DAL helps students gain employability skills and achieve satisfaction from learning at institutions of higher education. To answer the research question, the analysis consists of a two-step process. First, the CFA was conducted to measure the relationship of observed variables (items) to the latent factors of DAL: higher-order, reflective/integrative, overall student satisfaction, and perceived employability skills. The CFA yielded the relationship between the four factors and the associated measured items through the factor loadings. Second, based on the final CFA measurement model fit, analysis of the hypothesized structural model was conducted. The model has attained an acceptable fit based on an a priori specification, without correlating the error terms for items. The structural model was further employed to examine the relationship between the items of higher-order, reflective/integration, overall student satisfaction, and perceived employability skills in our suggested model.
The results of this study have made valuable contributions to the existing literature for STEM students. First, the direct effect of the higher-order construct on overall student satisfaction was statistically insignificant. This suggests that students do not find a direct relationship with the overall satisfaction of higher-order learning activities. This could be because DAL activities require students to engage by participating actively and exploring the topic by themselves. This type of learning typically takes longer than rote learning. Thus, students may struggle to engage in DAL activities fully. The indirect effect of HO on overall student satisfaction had a statistically significant positive effect, suggesting that students in STEM find satisfaction through employability skills. This indicates that most of the students in their senior year have already secured a job, leading them to attain a higher level of satisfaction. Second, the direct effect of the reflective/integrative construct on overall student satisfaction was found to have a negative relationship, which is contrary to the expected result. Since reflective/integrative learning is also part of DAL, a similar assumption of its effect on student satisfaction can be applied here. The students may consider the overall satisfaction to be based on the rigorous academic work and achievements, not the activities that are too related to extracurricular ones. According to (), overall student satisfaction is based on having rigorous work, not studying via rote learning or just involvement in extracurricular activities. However, the indirect effect of RI on overall student satisfaction was positive and statistically significant, causing the total effect of RI on satisfaction to be positive and significant. These results indicate that satisfaction in students is influenced indirectly through perceived employability skills. Third, higher-order and reflective/integrative learning had a direct statistically significant positive influence on perceived employability skills. Fourth, employability skills had a statistically significant positive effect on overall student satisfaction, indicating that students related the sense of overall satisfaction to gaining perceived employability skills.
Research on deep approaches to learning (DAL) in STEM education is limited, despite concerns about the shortage of skilled STEM workers. This study examines how DAL relates to students’ perceived employability skills and overall satisfaction in STEM fields—a topic not previously explored. While prior work, such as (), explored DAL’s impact on student satisfaction, grades, and development across various disciplines, their focus was on instructors’ emphasis on DAL. Other studies have addressed employability skills or part-time work, but none have specifically investigated DAL’s influence on STEM students’ employability perceptions and satisfaction. Thus, our results cannot be directly compared with results from any previous studies.
Higher education institutions (HEIs) are focusing their efforts on ensuring that students’ learning leads to meaningful outcomes and critical thinking, such as analyzing and applying ideas to real-life situations. The findings from this study help institutions direct their attention to higher-order and reflective/integrative learning as an aspect of deep learning that leads to meaningful outcomes for students.
This study made many contributions to the field of students’ success, but there is a need to address the limitations of this study. First, since this study used previously collected data to measure the scales of deep learning, it is possible that some measured items did not measure the constructs comprehensively. For example, the overall student satisfaction construct could have included more than three items to measure satisfaction. Furthermore, of the three items, one item had to be excluded from the analysis as it did not fit the criteria of the research question. Thus, overall student satisfaction was measured with only two items. Future studies could be improved if a few more items were added to study overall student satisfaction. Additionally, a few items to measure perceived employability skills can be excluded to ensure that the survey can be conducted in a reasonable amount of time. Thus, having a secondary dataset limited the selection of the number of items to measure the latent construct. In addition, the RI items could be separated into two separate constructs in future studies. If the researcher had the choice to measure the reflective/integrative items separately as distinct constructs, the results of overall student satisfaction might have been different.
Finally, the NSSE study did not include any indicator of motivation that led students to deep approaches to learning. The questionnaire from () ASI, such as, “I usually set out to understand thoroughly the meaning of what I am asked to read” measures the intrinsic motivation among students. Although () stated that the NSSE’s data were not designed to measure all the predictors of DAL, the NSSE should investigate motivation as an indicator of DAL to increase the survey’s efficacy, as it is an important variable related to DAL. If the study could provide additional questionnaires related to motivation for DAL activities, the results might lean towards overall student satisfaction.
5. Conclusions
The results of this study suggest that students engaging in higher-order (HO) learning activities such as applying, analyzing, and evaluating facts and theories or applying methods to new situations are likely to relate these skills to perceived employability skills. This study further suggests that students’ employability skills seem to be a good predictor of overall students’ satisfaction through its direct relationship.
Similarly, the reflective/integrative (RI) items, such as connecting the learning to societal issues or working with a diverse population or diverse ideas, understanding someone else’ view by understanding their perspective, connecting the learned information to the prior knowledge, and relating to real-life situations, are likely to be related to the perceived employability skills for the students.
In summary, overall student satisfaction as well as gaining perceived employability skills are important outcomes for students, faculty, and universities. To ensure students’ success, higher education institutions need students to engage in deep learning approaches that involve meaning and reasoning in learning. This type of learning is particularly important to students in the STEM fields, as they continue to be taught at a surface level rather than using deep approaches to learning. Yet, there continues to be a growing demand for a productive, satisfied workforce in STEM fields; thus, adopting deep approaches to learning can help society achieve that goal, especially for STEM students.
Author Contributions
Conceptualization, M.K. and G.S.; methodology, M.K., J.S. and G.S.; validation, M.K., J.S. and G.S.; formal analysis, M.K.; investigation, M.K.; resources, M.K.; data curation, M.K.; writing—original draft preparation, M.K.; writing—review and editing, M.K., J.S. and G.S.; supervision, G.S. and J.S. All authors have read and agreed to the published version of the manuscript.
Funding
This research received no external funding.
Institutional Review Board Statement
Ethical review and approval were waived for this study due to fact that the data was collected by a well-respected organization, NSSE.
Informed Consent Statement
Informed consent was waived due to fact that data was collected by a third party, NSSE.
Data Availability Statement
The data used in this study was collected in 2018. Nearly 1.2 million students from 511 institutions in the US and Canada were invited to participate in the NSSE 2018 survey from this URL: https://nsse.indiana.edu/nsse/reports-data/index.html.
Conflicts of Interest
The authors declare no conflicts of interest.
Abbreviations
The following abbreviations are used in this manuscript:
STEM | Science, Technology, Engineering, and Mathematics |
NSSE | National Survey of Student Engagement |
SEM | Structural Equation Modeling |
CFA | Confirmatory Factor Analysis |
DAL | Deep Approaches to Learning |
HEI | Higher Education Institute |
HO | Higher-Order |
RI | Reflective/Integrative |
Notes
1 | https://www.bestcolleges.com/online-schools/ (accessed on 11 May 2023). |
2 | https://nsse.indiana.edu/nsse/about-nsse/index.html (accessed on 1 December 2022). |
References
- Asikainen, H. (2014). Successful learning and studying. University of Helsinki. [Google Scholar]
- Asikainen, H., & Gijbels, D. (2017). Do students develop towards more deep approaches to learning during studies? A systematic review on the development of students’ deep and surface approaches to learning in higher education. Educational Psychology Review, 29(2), 205–234. [Google Scholar] [CrossRef]
- Astin, A. W. (1993). What matters in college: Four critical years revisited (1st ed.). Jossey-Bass. [Google Scholar]
- Biggs, J. B. (1987). Student approaches to learning and studying. Australian Council for Educational Research Limited. [Google Scholar]
- Biggs, J. B. (1989). Approaches to the enhancement of tertiary teaching. Higher Education Research & Development, 8(1), 7–25. [Google Scholar] [CrossRef]
- Biggs, J. B. (2003). Teaching for quality learning at university. SRHE and Open University Press. [Google Scholar]
- Biggs, J. B., & Tang, C. (2011). Teaching for quality learning at university. Available online: http://books.google.se/books/about/Teaching_for_Quality_Learning_at_Univers.html?id=XhjRBrDAESkC&pgis=1 (accessed on 11 May 2023).
- Biggs, J. B., & Tang, C. (2013). Teaching for quality learning at university. (2nd Edn.). Innovations in Education and Teaching International, 50(4), 422–423. [Google Scholar] [CrossRef]
- Campbell, C. M., & Cabrera, A. F. (2014). Making the mark: Are grades and deep learning related? Research in Higher Education, 55(5), 494–507. [Google Scholar] [CrossRef]
- Gallagher, M. W., & Brown, T. A. (2013). Introduction to confirmatory factor analysis and structural equation modeling. In T. Teo (Ed.), Handbook of quantitative methods for educational research (pp. 289–314). Sense Publishers. [Google Scholar]
- Gordon, J., Ludlum, J., & Hoey, J. J. (2008). Validating NSSE against student outcomes: Are they related? Research in Higher Education, 49(1), 19–39. [Google Scholar] [CrossRef]
- Korobova, N., & Starobin, S. S. (2015). A comparative study of student engagement, satisfaction, and academic success among international and American students. Journal of International Students, 5(1), 72–85. [Google Scholar] [CrossRef]
- Kuh, G. D. (2001). Assessing what really matters to student learning inside the National Survey of Student Engagement. Change: The Magazine of Higher Learning, 33(3), 10–17. [Google Scholar] [CrossRef]
- Kuh, G. D., & Ikenberry, S. (2009). Learning outcomes assessment in American higher education (Issue October). National Institute for Learning Outcomes Assessment. [Google Scholar]
- Lake, W. W., & Boyd, W. E. (2015). Is the university system in Australia producing deep thinkers? Australian Universities Review, 57(2), 54–59. [Google Scholar]
- Marton, F., & Saljo, R. (1976). On qualitative differences in learning: I-outcome and process. British Journal of Educational Psychology, 46(1), 4–11. [Google Scholar] [CrossRef]
- Muthen, L., & Muthen, B. (1998). Mplus-statistical analysis with latent variables. Muthén & Muthén. [Google Scholar]
- Nelson Laird, T. F., Shoup, R., & Kuh, G. D. (2005). Measuring deep approaches to learning using the National Survey of Student Engagement. Annual Meeting of the Association for Institutional Research, 1–28. Available online: https://scholarworks.iu.edu/iuswrrest/api/core/bitstreams/fdf4cd87-3593-4102-92f4-dc542e31acea/content (accessed on 11 May 2023).
- Nelson Laird, T. F., Shoup, R., Kuh, G. D., & Schwarz, M. J. (2008). The effects of discipline on deep approaches to student learning and college outcomes. Research in Higher Education, 49(6), 469–494. [Google Scholar] [CrossRef]
- Pardo-Garcia, C., & Barac, M. (2020). Promoting employability in higher education: A case study on boosting entrepreneurship skills. Sustainability, 12(10), 4004. [Google Scholar] [CrossRef]
- Ramsden, P. (1992). Learning to teach in higher education. Available online: https://archive.org/details/learningtoteachi0000rams/mode/2up?q=edition (accessed on 11 May 2023).
- Ryu, E. (2011). Effects of skewness and kurtosis on normal-theory based maximum likelihood test statistic in multilevel structural equation modeling. Behavior Research Methods, 43(4), 1066–1074. [Google Scholar] [CrossRef] [PubMed]
- Tagg, J. (2003). The learning paradigm college. Anker Publishing. [Google Scholar]
Disclaimer/Publisher’s Note: The statements, opinions and data contained in all publications are solely those of the individual author(s) and contributor(s) and not of MDPI and/or the editor(s). MDPI and/or the editor(s) disclaim responsibility for any injury to people or property resulting from any ideas, methods, instructions or products referred to in the content. |
© 2025 by the authors. Licensee MDPI, Basel, Switzerland. This article is an open access article distributed under the terms and conditions of the Creative Commons Attribution (CC BY) license (https://creativecommons.org/licenses/by/4.0/).