Flattening the Developmental Staircase: Lexical Complexity Progression in Elementary Reading Texts Across Six Decades
Abstract
1. Flattening the Developmental Staircase: Lexical Complexity Progression in Elementary Reading Texts Across Six Decades
2. Review of Research
2.1. Behaviorist Foundation and a Controlled Vocabulary Model
2.2. Contributions of Cognitive Science
2.3. Movement to Decodable Text
2.4. The Common Core State Standards
2.5. Post-Common Core State Standards Research on Text Complexity
3. The Current Study
- How does the complexity of texts vary from the first to second term of a grade in type-token and complex vocabulary? Does this variation differ across grades and years?
- What is the nature of differences in lexical density, percentage of complex words, and percentage of single-appearing words across the texts for grades 1–4 at four points in time: 1957, 1974, 1995, and 2014?
4. Methods
4.1. Sample Selection and Characteristics
4.2. Text Complexity Measures
4.3. Statistical Procedures
4.3.1. Research Question 1: Progression of Text Features Within Grades
4.3.2. Research Question 2: Nature of Text Features Across Grades and Years
5. Results
5.1. Type-Token Ratio Within and Betweem Grades
5.2. Complex Vocabulary Within and Between Grades
5.2.1. Between Terms of a Grade for a Year
5.2.2. Across Grades of a Year by Term
5.3. Summary of Findings for Research Question 1
5.4. Type-Token Ratio Across Four Copyrights
5.5. Complex Vocabulary Across Four Copyrights
5.6. Singletons Across Four Copyrights
5.7. Summary of Findings for Research Question 2
6. Discussion
6.1. Changes Within the Texts for a School Year
6.2. Changes in Text Complexity Across Grades Within a Year
6.3. Grade-Level Distinctions over the Period
6.4. Implications of the Findings
6.4.1. The Stability of Third- to Fourth-Grade Benchmarks
6.4.2. The Acceleration of Curriculum to Kindergarten and the Speed of First Grade
6.4.3. Effects of Shifts in Textbook Perspectives on Students’ Reading Achievement
6.5. Toward More Thoughtful Text Design
6.6. Limitations
6.7. Conclusions
Funding
Institutional Review Board Statement
Informed Consent Statement
Data Availability Statement
Conflicts of Interest
References
- ACT, Inc. (2006). Reading between the lines: What the ACT reveals about college readiness in reading. ACT, Inc. [Google Scholar]
- Alvermann, D. E., & Guthrie, J. T. (1993). Themes and directions of the National Reading Research Center (Perspectives in Reading Research, No. 1). National Reading Research Center (NRRC). [Google Scholar]
- Anderson, R. C., Hiebert, E. H., Scott, J. A., & Wilkinson, I. A. G. (1985). Becoming a nation of readers: The report of the Commission on Reading. National Academy of Education. [Google Scholar]
- Anthropic. (2025). Claude 4 Opus [Large language model]. Available online: https://www.anthropic.com/claude (accessed on 9 September 2025).
- Aukerman, R. C. (1984). Approaches to beginning reading (2nd ed.). John Wiley & Sons. [Google Scholar]
- Bassok, D., Latham, S., & Rorem, A. (2016). Is kindergarten the new first grade? AERA Open, 2(1), 2332858415616358. [Google Scholar] [CrossRef]
- Beck, I. L., McKeown, M. G., Omanson, R. C., & Pople, M. T. (1984). Improving the comprehensibility of stories: The effects of revisions that improve coherence. Reading Research Quarterly, 19(3), 263–277. [Google Scholar] [CrossRef]
- California English/Language Arts Committee. (1987). English-language arts framework for California public schools (Kindergarten through grade twelve). CA Department of Education. [Google Scholar]
- California English/Language Arts Committee. (1999). English-language arts framework for California public schools (Kindergarten through grade twelve). CA Department of Education. [Google Scholar]
- Campbell, J. R., Donahue, P. L., Reese, C. M., & Phillips, G. W. (1996). NAEP 1994 reading report card for the nation and the states: Findings from the national assessment of educational progress and trial state assessment. National Center for Education Statistics (NCES). [Google Scholar]
- Chall, J. S. (1967). Learning to read: The great debate. McGraw-Hill. [Google Scholar]
- Chall, J. S. (1983). Stages of reading development. McGraw-Hill. [Google Scholar]
- Chall, J. S., Conard, S. S., & Harris-Sharples, S. (1991). Should textbooks challenge students? The case for easier or harder textbooks. Teachers College Press. [Google Scholar]
- Chall, J. S., Jacobs, V. A., & Baldwin, L. E. (1990). The reading crisis: Why poor children fall behind. Harvard University Press. [Google Scholar]
- Chall, J. S., & Squire, J. R. (1996). The publishing industry and textbooks. In R. Barr, M. L. Kamil, P. B. Mosenthal, & P. D. Pearson (Eds.), Handbook of reading research (vol. 2, pp. 120–146). Routledge. [Google Scholar]
- D’Agostino, J. V., & Rodgers, E. (2017). Literacy achievement trends at entry to first grade. Educational Researcher, 46(2), 78–89. [Google Scholar] [CrossRef]
- Davison, A., & Kantor, R. N. (1982). On the failure of readability formulas to define readable texts: A case study from adaptations. Reading Research Quarterly, 17(2), 187–209. [Google Scholar] [CrossRef]
- Doan, S. Y., & Kaufman, J. (2024). What role do states play in selecting K-12 textbooks? A network of states move the needle on quality without usurping local control. State Education Standard, 24(1). Available online: https://www.nasbe.org/what-role-do-states-play-in-selecting-k-12-textbooks/ (accessed on 8 November 2025).
- Dolch, E. W. (1928). Vocabulary burden. The Journal of Educational Research, 17(3), 170–183. [Google Scholar] [CrossRef]
- Elson, W. H., & Gray, W. S. (1931). Elson-gray basic readers. Scott Foresman. [Google Scholar]
- Fitzgerald, J., Elmore, J., Relyea, J. E., Hiebert, E. H., & Stenner, A. J. (2016). Has first-grade core reading program text complexity changed across six decades? Reading Research Quarterly, 51(1), 7–28. [Google Scholar]
- Foorman, B. R., Francis, D. J., Davidson, K. C., Harm, M. W., & Griffin, J. (2004). Variability in text features in six grade 1 basal reading programs. Scientific Studies of Reading, 8(2), 167–197. [Google Scholar] [CrossRef]
- Gamson, D. A., Lu, X., & Eckert, S. A. (2013). Challenging the research base of the Common Core State Standards: A historical reanalysis of text complexity. Educational Researcher, 42(7), 381–391. [Google Scholar] [CrossRef]
- Gao, C., Shinkareva, S. V., & Desai, R. H. (2022). SCOPE: The South Carolina psycholinguistic metabase. Behavior Research, 55, 2853–2884. [Google Scholar] [CrossRef]
- Gates, A. I., & Huber, M. B. (1931). The work-play books. Macmillan. [Google Scholar]
- Gates, A. I., Huber, M. B., & Salisburg, F. S. (1957). Tuffy and boots (The Macmillan Readers). Macmillan. [Google Scholar]
- Gates, A. I., & Russell, D. H. (1938). Types of materials, vocabulary burden word analysis, and other factors in beginning reading. I. The Elementary School Journal, 39(1), 27–35. [Google Scholar] [CrossRef]
- Ginn. (1961). The ginn basic readers. Ginn. [Google Scholar]
- Goodman, K. S. (1986). What’s whole in whole language? Heinemann. [Google Scholar]
- Graesser, A. C., McNamara, D. S., & Louwerse, M. M. (2003). What do readers need to learn in order to process coherence relations in narrative and expository text. In A. P. Sweet, & C. E. Snow (Eds.), Rethinking reading comprehension (pp. 82–98). Guilford. [Google Scholar]
- Gray, W. S., & Leary, B. E. (1935). What makes a book readable. University Chicago Press. [Google Scholar]
- Gray, W. S., Monroe, M., Artley, A. S., Arbuthnot, M. H., & Gray, L. (1956). The new fun with dick and jane. Scott Foresman. [Google Scholar]
- Hayes, D. P., Wolfer, L. T., & Wolfe, M. F. (1996). Schoolbook simplification and its relation to the decline in SAT-verbal scores. American Educational Research Journal, 33(2), 489–508. [Google Scholar] [CrossRef]
- Heitz, C. A. (1979). Vocabulary load and control of first grade basal readers published in the late 1970s [Doctoral dissertation, University of Iowa]. ProQuest Dissertations and Theses Global. Available online: https://www.proquest.com/7924482 (accessed on 22 October 2025).
- Hiebert, E. H. (2005). State reform policies and the task textbooks pose for first-grade readers. The Elementary School Journal, 105(3), 245–266. [Google Scholar] [CrossRef]
- Hiebert, E. H. (2015). Changing readers, changing texts: Beginning reading texts from 1960 to 2010. Journal of Education, 195(3), 1–13. [Google Scholar] [CrossRef]
- Hiebert, E. H. (2024). Enhancing opportunities for decoding and knowledge building through beginning texts. The Reading Teacher, 77(6), 965–974. [Google Scholar] [CrossRef]
- Hiebert, E. H., Goodwin, A. P., & Cervetti, G. N. (2018). Core vocabulary: Its morphological content and presence in exemplar texts. Reading Research Quarterly, 53(1), 29–49. [Google Scholar] [CrossRef]
- Hiebert, E. H., & Papierz, J. M. (1990). The emergent literacy construct and kindergarten and readiness books of basal reading series. Early Childhood Research Quarterly, 5(3), 317–334. [Google Scholar] [CrossRef]
- Kearns, D. M., & Hiebert, E. H. (2022). The word complexity of primary-level texts: Differences between first and third grade in widely used curricula. Reading Research Quarterly, 57(1), 255–285. [Google Scholar] [CrossRef]
- Kurtz, H., Lloyd, S., Harwin, A., Chen, V., & Furuya, Y. (2020). Early reading instruction: Results of a national survey of K-2 and elementary special education teachers and postsecondary instructors. Editorial Projects in Education, EdWeek Research Center. Available online: https://epe.brightspotcdn.com/1b/80/706eba6246599174b0199ac1f3b5/ed-week-reading-instruction-survey-report-final-1.24.20.pdf (accessed on 8 November 2025).
- Lane, H. B., Contesse, V. A., Gage, N. A., & Burns, M. K. (2025). Effect of an instructional program in foundational reading skills on early literacy development of students in kindergarten and first grade. Reading Research Quarterly, 60(1), e607. [Google Scholar] [CrossRef]
- Levine, A. (1996). America’s reading crisis: Why the whole language approach to teaching reading has failed millions of children. Parents, 16, 63–65, 68. [Google Scholar]
- Litman, D. J. (2016). Natural language processing for enhancing teaching and learning. Proceedings of the AAAI Conference on Artificial Intelligence, 30(1), 4170–4176. [Google Scholar] [CrossRef]
- Malvern, D., Richards, B., Chipere, N., & Durán, P. (2004). Comparing the diversity of lexical categories: The type-type ratio and related measures. In D. D. Malvern, B. J. Richards, N. Chipere, & P. Durán (Eds.), Lexical diversity and language development: Quantification and assessment (pp. 121–151). Palgrave Macmillan. [Google Scholar]
- Nagy, W. E., & Herman, P. A. (1985). Incidental vs. instructional approaches to increasing reading vocabulary. Educational Perspectives, 23(1), 16–21. [Google Scholar]
- National Governors Association Center for Best Practices (NGA-CBP) & Council of Chief State School Officers (CCSSO). (2010). Common Core State Standards for English language arts & literacy in history/social studies, science, and technical subjects. Available online: https://learning.ccsso.org/wp-content/uploads/2022/11/ADA-Compliant-ELA-Standards.pdf (accessed on 8 November 2025).
- Office of Educational Research & Improvement, U.S. Department of Education, Center for Education Market Dynamics. (2025, July 23). ELA decision trends: What district choices reveal about curriculum, coherence, and quality. Available online: https://www.cemd.org/ela-decision-trends-what-district-choices-reveal-about-curriculum-coherence-and-quality/ (accessed on 8 November 2025).
- Schwartz, S. (2019). The most popular reading programs aren’t backed by science. Education Week, 39(15), 19–22. Available online: https://www.edweek.org/teaching-learning/the-most-popular-reading-programs-arent-backed-by-science/2019/12 (accessed on 8 November 2025).
- Schwartz, S. (2023, May 11). 4 more states pass ‘science of reading’ mandates. Education Week. Available online: https://www.edweek.org/teaching-learning/4-more-states-pass-science-of-reading-mandates/2023/05 (accessed on 8 November 2025).
- Schwartz, S. (2025, August 4). Districts using ‘high-quality’ reading curricula still supplement with other materials. Why? Education Week. Available online: https://www.edweek.org/teaching-learning/districts-using-high-quality-reading-curricula-still-supplement-with-other-materials-why/2025/08 (accessed on 8 November 2025).
- Scott Foresman. (1956). The new basic readers. Scott Foresman. [Google Scholar]
- Snowling, M. J., Hulme, C., & Nation, K. (Eds.). (2022). The science of reading: A handbook. John Wiley & Sons. [Google Scholar]
- Stein, M., Johnson, B., & Gutlohn, L. (1999). Analyzing beginning reading programs: The relationship between decoding instruction and text. Remedial and Special Education, 20(5), 275–287. [Google Scholar] [CrossRef]
- Texas Education Agency. (1997). Proclamation of the state board of education advertising for bids on textbooks. Texas Education Agency. [Google Scholar]
- Texas Educational Agency. (1990). Proclamation of the state board of education advertising for bids on textbooks. Texas Education Agency. [Google Scholar]
- Thorndike, E. L. (1927). The teacher’s word book. Teachers College, Columbia University. [Google Scholar]
- Tischner, C. M., Ebner, S. E., Aspiranti, K. B., Klingbeil, D. A., & Fedewa, A. L. (2023). Effectiveness of accelerated reader on children’s reading outcomes: A meta-analytic review. Dyslexia, 29(1), 22–39. [Google Scholar] [CrossRef]
- Toyama, Y., Hiebert, E. H., & Pearson, P. D. (2017). An analysis of the text complexity of leveled passages in four popular classroom reading assessments. Educational Assessment, 22(3), 139–170. [Google Scholar] [CrossRef]
- Tuinman, J., Rowls, M., & Farr, R. (1976). Reading achievement in the United States: Then and now. Journal of Reading, 19(6), 455–463. [Google Scholar]
- University of Oregon. (2022). DIBELS 8th edition 2021–2022 percentiles (Technical Report 2201). University of Oregon. [Google Scholar]
- U.S. Congress. (2002). No child left behind act of 2001, 20 U.S.C. § 6301 et seq. U.S. Congress. [Google Scholar]
- Wang, X., Zhao, Y., Petzold, L., Chandrasekar, R., Wang, S., Chen, M., & Feng, Y. (2024). Large language models for education: A survey and outlook. arXiv, arXiv:2403.18105v1. [Google Scholar]
- Williamson, G. L. (2008). A text readability continuum for postsecondary readiness. Journal of Advanced Academics, 19(4), 602–663. [Google Scholar] [CrossRef]
- Zeno, S. M., Ivens, S. H., Millard, R. T., & Duvvuri, R. (1995). The educator’s word frequency book. TASA. [Google Scholar]
- Zipf, G. K. (1935). The psychobiology of language. Houghton-Mifflin. [Google Scholar]






| Copyright Year | Grade/Half | Type-Token Ratio | Comparison Grade/Half | Comparison Type-Token Ratio | Percent Change |
|---|---|---|---|---|---|
| 1957 | Gr1 first | 0.02 | Gr1 second | 0.04 | 75.79 |
| Gr1 second | 0.04 | Gr2 first | 0.06 | 73.07 | |
| Gr2 first | 0.06 | Gr2 second | 0.09 | 36.96 | |
| Gr2 second | 0.09 | Gr3 first | 0.12 | 32.68 | |
| Gr3 first | 0.12 | Gr3 second | 0.14 | 23.94 | |
| Gr3 second | 0.14 | Gr4 first | 0.17 | 20.19 | |
| Gr4 first | 0.17 | Gr4 second | 0.16 | −8.74 | |
| 1974 | Gr1 first | 0.06 | Gr1 second | 0.07 | 27.98 |
| Gr1 second | 0.07 | Gr2 first | 0.11 | 45.70 | |
| Gr2 first | 0.11 | Gr2 second | 0.14 | 26.34 | |
| Gr2 second | 0.14 | Gr3 first | 0.17 | 21.93 | |
| Gr3 first | 0.17 | Gr3 second | 0.17 | 3.76 | |
| Gr3 second | 0.17 | Gr4 first | 0.19 | 8.98 | |
| Gr4 first | 0.19 | Gr4 second | 0.18 | −3.55 | |
| 1995 | Gr1 first | 0.17 | Gr1 second | 0.14 | −16.59 |
| Gr1 second | 0.14 | Gr2 first | 0.20 | 41.43 | |
| Gr2 first | 0.20 | Gr2 second | 0.18 | −6.19 | |
| Gr2 second | 0.18 | Gr3 first | 0.17 | −7.95 | |
| Gr3 first | 0.17 | Gr3 second | 0.20 | 19.16 | |
| Gr3 second | 0.20 | Gr4 first | 0.21 | 3.57 | |
| Gr4 first | 0.21 | Gr4 second | 0.22 | 6.73 | |
| 2014 | Gr1 first | 0.16 | Gr1 second | 0.17 | 0.40 |
| Gr1 second | 0.17 | Gr2 first | 0.19 | 12.27 | |
| Gr2 first | 0.19 | Gr2 second | 0.19 | 1.08 | |
| Gr2 second | 0.19 | Gr3 first | 0.20 | 8.00 | |
| Gr3 first | 0.20 | Gr3 second | 0.20 | 0.51 | |
| Gr3 second | 0.20 | Gr4 first | 0.23 | 11.05 | |
| Gr4 first | 0.23 | Gr4 second | 0.22 | −0.72 |
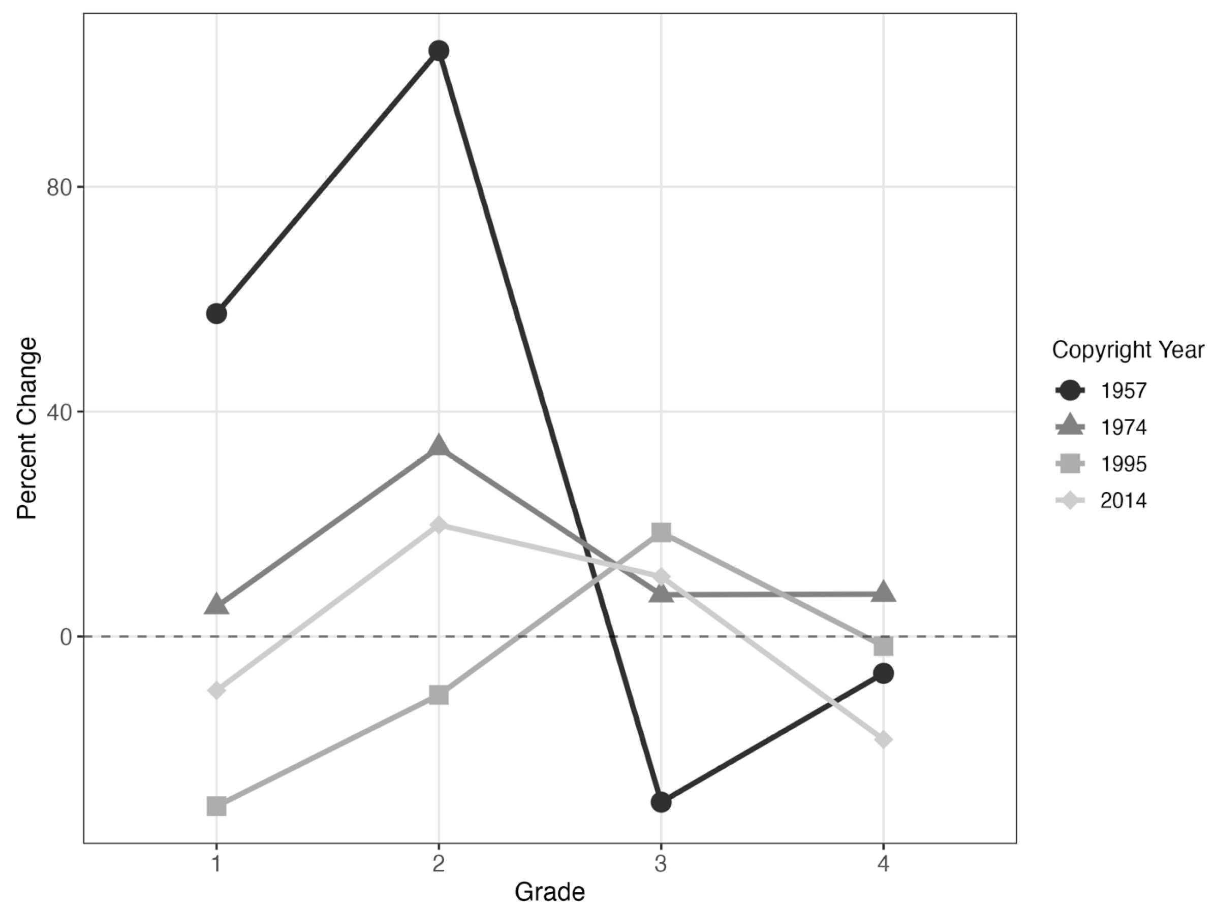
| Copyright Year | Grade | χ2 | p | Adjusted p | φ | 1st Half (%) | 2nd Half (%) | Change (%) |
|---|---|---|---|---|---|---|---|---|
| 1957 | 1 | 16.1 | <0.001 *** | <0.001 *** | 0.03 | 1.27 | 2.00 | 57.45 |
| 2 | 81.01 | <0.001 *** | <0.001 *** | 0.06 | 2.19 | 4.48 | 104.24 | |
| 3 | 31.73 | <0.001 *** | <0.001 *** | 0.04 | 5.95 | 4.20 | −29.49 | |
| 4 | 1.36 | ns | ns | 0.01 | 6.05 | 5.66 | −6.57 | |
| 1974 | 1 | 0.54 | ns | ns | 0.01 | 4.16 | 4.38 | 5.30 |
| 2 | 25.91 | <0.001 *** | <0.001 *** | 0.04 | 5.08 | 6.79 | 33.60 | |
| 3 | 1.62 | ns | ns | 0.01 | 5.99 | 6.43 | 7.41 | |
| 4 | 1.61 | ns | ns | 0.01 | 5.83 | 6.27 | 7.52 | |
| 1995 | 1 | 58.31 | <0.001 *** | <0.001 *** | 0.05 | 9.97 | 6.96 | −30.21 |
| 2 | 4.73 | 0.030 * | ns | 0.02 | 7.80 | 6.99 | −10.41 | |
| 3 | 14.44 | <0.001 *** | 0.002 ** | 0.03 | 8.48 | 10.04 | 18.50 | |
| 4 | 0.13 | ns | <0.001 *** | 0 | 9.10 | 8.94 | −1.72 | |
| 2014 | 1 | 3.09 | ns | ns | 0.01 | 6.20 | 5.61 | −9.61 |
| 2 | 12.73 | <0.001 *** | 0.006 ** | 0.03 | 6.67 | 7.99 | 19.85 | |
| 3 | 3.42 | ns | ns | 0.01 | 6.14 | 6.79 | 10.64 | |
| 4 | 17.74 | <0.001 *** | <0.001 *** | 0.03 | 8.94 | 7.30 | −18.34 |
| Grade | Half | χ2 | p | Adjusted p | V | 1957 (%) | 1974 (%) | 1997 (%) | 2014 (%) |
|---|---|---|---|---|---|---|---|---|---|
| 1 | First | 654.14 | <0.001 *** | <0.001 *** | 0.14 | 1.27 | 4.16 | 9.97 | 6.20 |
| 2 | 204.58 | <0.001 *** | <0.001 *** | 0.09 | 2.19 | 5.08 | 7.80 | 6.67 | |
| 3 | 60.85 | <0.001 *** | <0.001 *** | 0.04 | 5.95 | 5.99 | 8.48 | 6.14 | |
| 4 | 44.64 | <0.001 *** | <0.001 *** | 0.06 | 6.05 | 5.83 | 9.10 | 8.94 | |
| 1 | Second | 164.81 | <0.001 *** | <0.001 *** | 0.09 | 2.00 | 4.38 | 6.96 | 5.61 |
| 2 | 69.92 | <0.001 *** | <0.001 *** | 0.05 | 4.48 | 6.79 | 6.99 | 7.99 | |
| 3 | 101.55 | <0.001 *** | <0.001 *** | 0.08 | 4.20 | 6.43 | 10.04 | 6.79 | |
| 4 | 29.43 | <0.001 *** | <0.001 *** | 0.05 | 5.66 | 6.27 | 8.94 | 7.30 |
| Grade | Half | Comparison | χ2 | p | Adjusted p | φ |
|---|---|---|---|---|---|---|
| 1 | First | 1957 vs. 1974 | 156.55 | <0.001 *** | <0.001 *** | 0.09 |
| 1957 vs. 1995 | 712.52 | <0.001 *** | <0.001 *** | 0.19 | ||
| 1957 vs. 2014 | 336.44 | <0.001 *** | <0.001 *** | 0.13 | ||
| 1974 vs. 1995 | 256.72 | <0.001 *** | <0.001 *** | 0.11 | ||
| 1974 vs. 2014 | 42.04 | <0.001 *** | <0.001 *** | 0.05 | ||
| 1995 vs. 2014 | 95.21 | <0.001 *** | <0.001 *** | 0.07 | ||
| 2 | First | 1957 vs. 1974 | 120.18 | <0.001 *** | <0.001 *** | 0.08 |
| 1957 vs. 1995 | 336.73 | <0.001 *** | <0.001 *** | 0.13 | ||
| 1957 vs. 2014 | 239.44 | <.001 *** | <0.001 *** | 0.11 | ||
| 1974 vs. 1995 | 61.5 | <0.001 *** | <0.001 *** | 0.06 | ||
| 1974 vs. 2014 | 22.59 | <0.001 *** | <0.001 *** | 0.03 | ||
| 1995 vs. 2014 | 9.49 | 0.002 ** | 0.012 * | 0.02 | ||
| 3 | First | 1957 vs. 1974 | 0.01 | 0.032 * | ns | 0.00 |
| 1957 vs. 1995 | 47.11 | <0.001 *** | <0.001 *** | 0.05 | ||
| 1957 vs. 2014 | 0.27 | ns | ns | 0.00 | ||
| 1974 vs. 1995 | 45.67 | <0.001 *** | <0.001 *** | 0.05 | ||
| 1974 vs. 2014 | 0.17 | ns | ns | 0.00 | ||
| 1995 vs. 2014 | 40.05 | <0.001 *** | <0.001 *** | 0.04 | ||
| 4 | First | 1957 vs. 1974 | 0.39 | ns | ns | 0.00 |
| 1957 vs. 1995 | 65.68 | <0.001 *** | <0.001 *** | 0.06 | ||
| 1957 vs. 2014 | 60.44 | <0.001 *** | <0.001 *** | 0.05 | ||
| 1974 vs. 1995 | 76.13 | <0.001 *** | <0.001 *** | 0.06 | ||
| 1974 vs. 2014 | 70.56 | <0.001 *** | <0.001 *** | 0.06 | ||
| 1995 vs 2014 | 0.13 | ns | ns | 0.00 | ||
| 1 | Second | 1957 vs. 1974 | 90.74 | <0.001 *** | <0.001 *** | 0.07 |
| 1957 vs. 1995 | 286.13 | <0.001 *** | <0.001 *** | 0.12 | ||
| 1957 vs. 2014 | 176.66 | <0.001 *** | <0.001 *** | 0.09 | ||
| 1974 vs. 1995 | 61.69 | <0.001 *** | <0.001 *** | 0.06 | ||
| 1974 vs. 2014 | 15.61 | <0.001 *** | <0.001 *** | 0.03 | ||
| 1995 vs. 2014 | 15.3 | <0.001 *** | <0.001 *** | 0.03 | ||
| 2 | Second | 1957 vs. 1974 | 48.75 | <0.001 *** | <0.001 *** | 0.05 |
| 1957 vs. 1995 | 56.95 | <0.001 *** | <0.001 *** | 0.05 | ||
| 1957 vs. 2014 | 103 | <0.001 *** | <0.001 *** | 0.07 | ||
| 1974 vs. 1995 | 0.29 | ns | ns | 0.00 | ||
| 1974 vs. 2014 | 10.42 | <0.001 *** | 0.007 ** | 0.02 | ||
| 1995 vs. 2014 | 7.09 | 0.008 ** | 0.047 * | 0.02 | ||
| 3 | Second | 1957 vs. 1974 | 49.43 | <0.001 *** | <0.001 *** | 0.05 |
| 1957 vs. 1995 | 258.81 | <0.001 *** | <0.001 *** | 0.11 | ||
| 1957 vs. 2014 | 64.52 | <0.001 *** | <0.001 *** | 0.06 | ||
| 1974 vs. 1995 | 85.8 | <0.001 *** | 0.0048 ** | 0.07 | ||
| 1974 vs. 2014 | 0.98 | ns | ns | 0.01 | ||
| 1995 vs. 2014 | 68.21 | <0.001 *** | <0.001 *** | 0.06 | ||
| 4 | Second | 1957 vs. 1974 | 3.28 | ns | ns | 0.01 |
| 1957 vs. 1995 | 80.16 | <0.001 *** | <0.001 *** | 0.06 | ||
| 1957 vs. 2014 | 21.8 | <0.001 *** | <0.001 *** | 0.03 | ||
| 1974 vs. 1995 | 51.25 | <0.001 *** | <0.001 *** | 0.05 | ||
| 1974 vs. 2014 | 8.17 | 0.004 ** | 0.026 * | 0.02 | ||
| 1995 vs. 2014 | 17.77 | <0.001 *** | <0.001 *** | 0.03 |
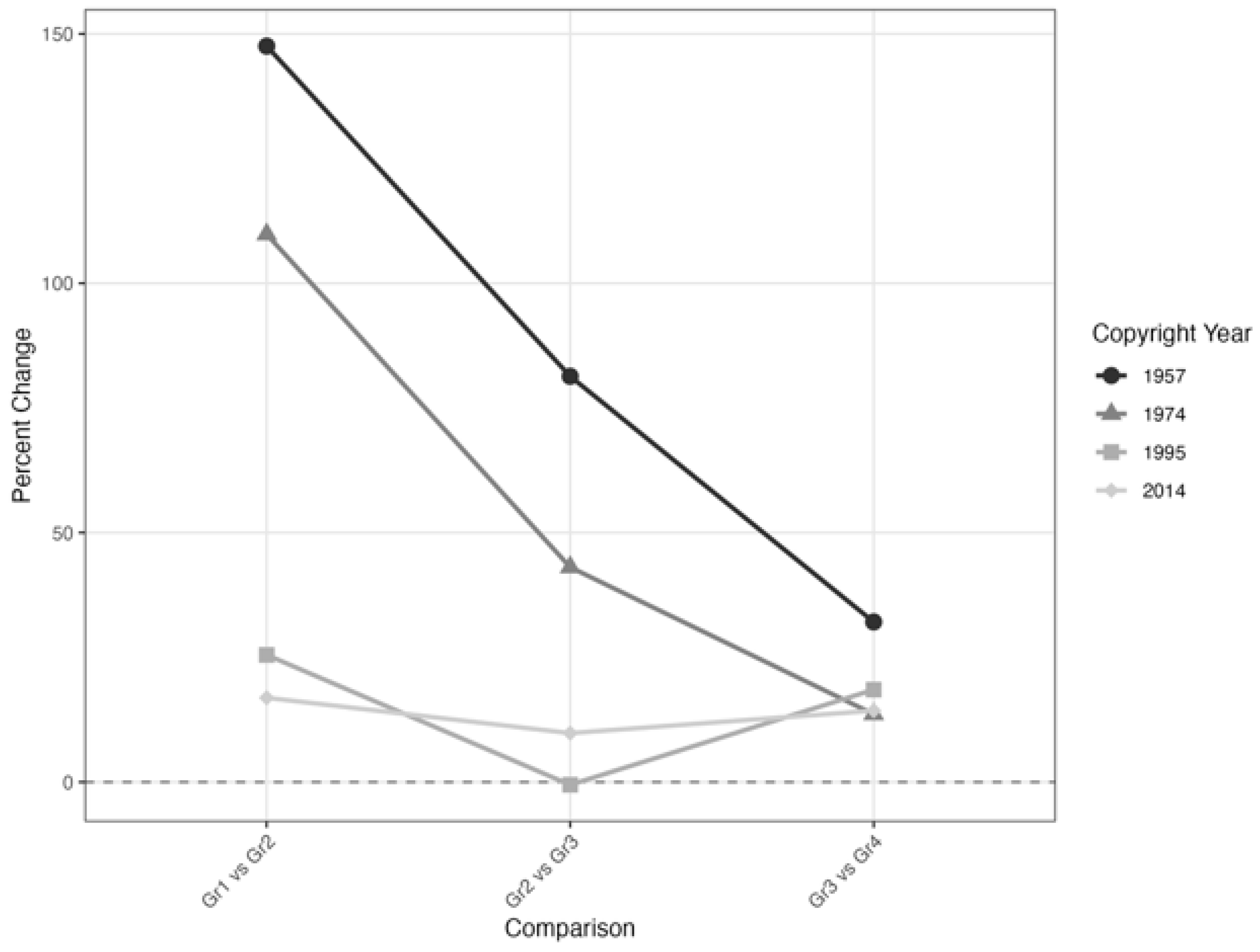
| Copyright Year | Grade | Type-Token Ratio | Comparison Grade | Comparison Type-Token Ratio | Change (%) |
|---|---|---|---|---|---|
| 1957 | 1 | 0.02 | 2 | 0.05 | 147.54 |
| 2 | 0.05 | 3 | 0.09 | 81.35 | |
| 3 | 0.09 | 4 | 0.12 | 32.11 | |
| 1974 | 1 | 0.04 | 2 | 0.09 | 109.81 |
| 2 | 0.09 | 3 | 0.13 | 43.08 | |
| 3 | 0.13 | 4 | 0.14 | 13.62 | |
| 1997 | 1 | 0.12 | 2 | 0.15 | 25.49 |
| 2 | 0.15 | 3 | 0.15 | −0.55 | |
| 3 | 0.15 | 4 | 0.17 | 18.52 | |
| 2014 | 1 | 0.12 | 2 | 0.15 | 16.9 |
| 2 | 0.15 | 3 | 0.16 | 9.81 | |
| 3 | 0.16 | 4 | 0.18 | 14.32 |
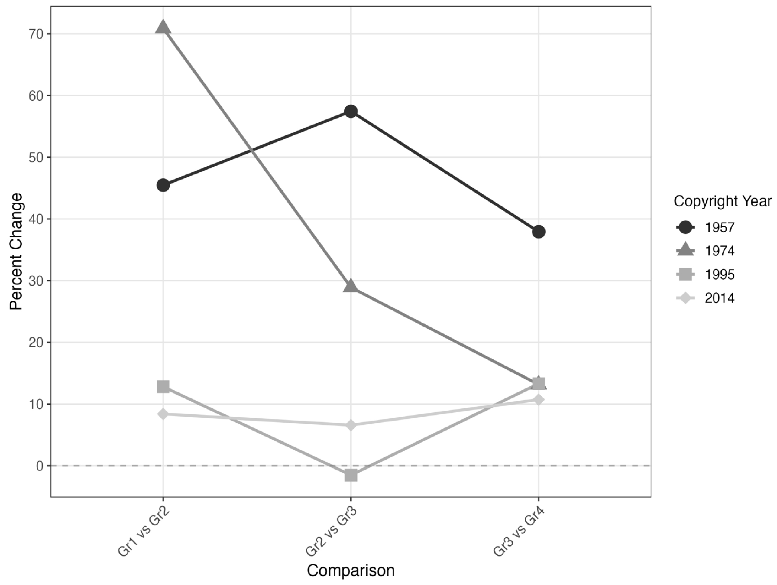
| Copy-Right Year | χ2 | p | Adjusted p | V | Gr1 (%) | Gr2 (%) | Change (%) | Gr3 (%) | Change (%) | Gr4 (%) | Change (%) |
|---|---|---|---|---|---|---|---|---|---|---|---|
| 1957 | 559.23 | <0.001 *** | <0.001 *** | 0.08 | 1.63 | 3.31 | 103.07 | 5.07 | 53.17 | 5.86 | 15.58 |
| 1974 | 92.54 | <0.001 *** | <0.001 *** | 0.03 | 4.27 | 5.93 | 38.88 | 6.21 | 4.72 | 6.05 | −2.58 |
| 1997 | 52.39 | <0.001 *** | <0.001 *** | 0.03 | 8.46 | 7.40 | −12.53 | 9.26 | 25.14 | 9.00 | −2.81 |
| 2014 | 74.09 | <0.001 *** | <0.001 *** | 0.03 | 5.90 | 7.33 | 24.24 | 6.46 | −11.87 | 7.91 | 22.45 |
| Copyright Year | Comparison | χ2 | p | Adjusted p | φ |
|---|---|---|---|---|---|
| 1957 | Gr1 vs. Gr2 | 115.63 | <0.001 *** | <0.001 *** | 0.05 |
| Gr1 vs. Gr3 | 363.33 | <0.001 *** | <0.001 *** | 0.10 | |
| Gr1 vs. Gr4 | 492.93 | <0.001 *** | <0.001 *** | 0.11 | |
| Gr2 vs. Gr3 | 76.79 | <0.001 *** | <0.001 *** | 0.04 | |
| Gr2 vs. Gr4 | 147.58 | <0.001 *** | <0.001 *** | 0.06 | |
| Gr3 vs. Gr4 | 11.82 | <0.001 *** | 0.004 ** | 0.02 | |
| 1974 | Gr1 vs. Gr2 | 56.56 | <0.001 *** | <0.001 *** | 0.04 |
| Gr1 vs. Gr3 | 75.53 | <0.001 *** | <0.001 *** | 0.04 | |
| Gr1 vs. Gr4 | 64.45 | <0.001 *** | <0.001 *** | 0.04 | |
| Gr2 vs. Gr3 | 1.37 | ns | ns | 0.01 | |
| Gr2 vs. Gr4 | 0.25 | ns | ns | 0.00 | |
| Gr3 vs. Gr4 | 0.42 | ns | ns | 0.00 | |
| 1997 | Gr1 vs. Gr2 | 15.46 | <0.001 *** | <0.001 *** | 0.02 |
| Gr1 vs. Gr3 | 7.76 | 0.005 ** | 0.032 * | 0.01 | |
| Gr1 vs. Gr4 | 3.51 | ns | ns | 0.01 | |
| Gr2 vs. Gr3 | 45.26 | <0.001 *** | <0.001 *** | 0.03 | |
| Gr2 vs. Gr4 | 33.97 | <0.001 *** | <0.001 *** | 0.03 | |
| Gr3 vs. Gr4 | 0.82 | ns | ns | 0.01 | |
| 2014 | Gr1 vs. Gr2 | 32.63 | <0.001 *** | <0.001 *** | 0.03 |
| Gr1 vs. Gr3 | 5.28 | 0.022 * | ns | 0.01 | |
| Gr1 vs. Gr4 | 62.02 | <0.001 *** | <0.001 *** | 0.04 | |
| Gr2 vs. Gr3 | 11.58 | 0.001 ** | 0.004 ** | 0.02 | |
| Gr2 vs. Gr4 | 4.67 | 0.031 * | ns | 0.01 | |
| Gr3 vs. Gr4 | 31.09 | <0.001 *** | <0.001 *** | 0.03 |
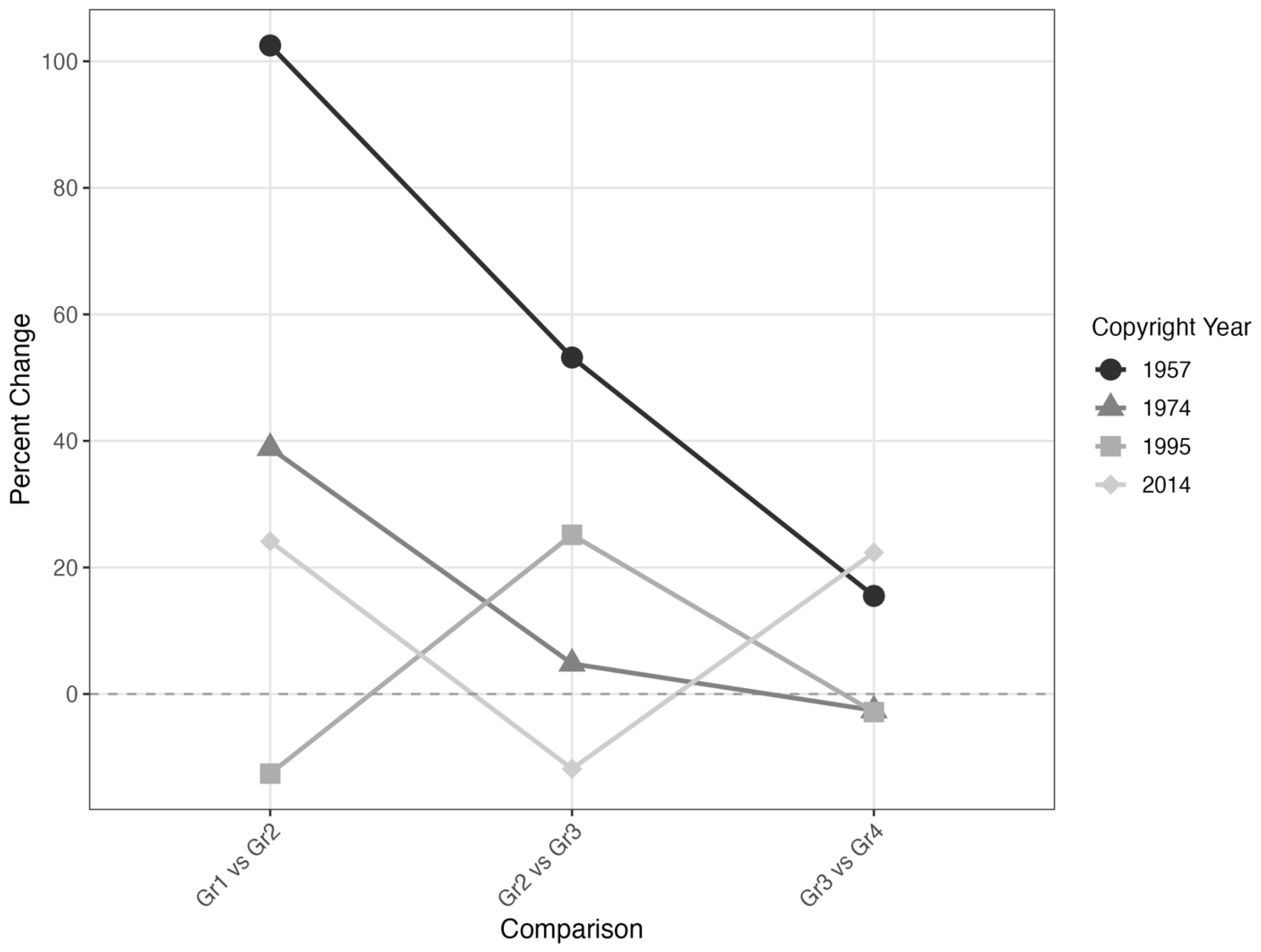
| Copyright Year | χ2 | p | Adjusted p | V | Gr1 (%) | Gr2 (%) | Change (%) | Gr3 (%) | Change (%) | Gr4 (%) | Change (%) |
|---|---|---|---|---|---|---|---|---|---|---|---|
| 1957 | 254.25 | <0.001 *** | <0.001 *** | 0.21 | 13.19 | 19.19 | 45.49 | 30.21 | 57.43 | 41.67 | 37.93 |
| 1974 | 278.65 | <0.001 *** | <0.001 *** | 0.19 | 19.55 | 33.41 | 70.90 | 43.07 | 28.91 | 48.73 | 13.14 |
| 1997 | 65.71 | <0.001 *** | <0.001 *** | 0.07 | 40.81 | 46.04 | 12.82 | 45.34 | −1.52 | 51.37 | 13.30 |
| 2014 | 87.7 | <0.001 *** | <0.001 *** | 0.08 | 41.13 | 44.59 | 8.41 | 47.52 | 6.57 | 52.61 | 10.71 |
| Copyright Year | Comparison | χ2 | p | Adjusted p | φ |
|---|---|---|---|---|---|
| 1957 | Gr1 vs. Gr2 | 6.86 | 0.009 ** | ns | 0.07 |
| Gr1 vs. Gr3 | 48.77 | <0.001 *** | <0.001 *** | 0.15 | |
| Gr1 vs. Gr4 | 121.69 | <0.001 *** | <0.001 *** | 0.21 | |
| Gr2 vs. Gr3 | 41.04 | <0.001 *** | <0.001 *** | 0.12 | |
| Gr2 vs. Gr4 | 160.38 | <0.001 *** | <0.001 *** | 0.21 | |
| Gr3 vs. Gr4 | 59.75 | <0.001 *** | <0.001 *** | 0.12 | |
| 1974 | Gr1 vs. Gr2 | 52.62 | <0.001 *** | <0.001 *** | 0.14 |
| Gr1 vs. Gr3 | 148.64 | <0.001 *** | <0.001 *** | 0.21 | |
| Gr1 vs. Gr4 | 226.6 | <0.001 *** | <0.001 *** | 0.25 | |
| Gr2 vs. Gr3 | 40.55 | <0.001 *** | <0.001 *** | 0.10 | |
| Gr2 vs. Gr4 | 104.91 | <0.001 *** | <0.001 *** | 0.15 | |
| Gr3 vs. Gr4 | 17.23 | <0.001 *** | <0.001 *** | 0.06 | |
| 1997 | Gr1 vs. Gr2 | 14.29 | <0.001 *** | 0.001 ** | 0.05 |
| Gr1 vs. Gr3 | 10.65 | 0.001 ** | 0.007 ** | 0.05 | |
| Gr1 vs. Gr4 | 62.41 | <0.001 *** | <0.001 *** | 0.10 | |
| Gr2 vs. Gr3 | 0.26 | ns | ns | 0.01 | |
| Gr2 vs. Gr4 | 18.02 | <0.001 *** | <0.001 *** | 0.05 | |
| Gr3 vs. Gr4 | 22.95 | <0.001 *** | <0.001 *** | 0.06 | |
| 2014 | Gr1 vs. Gr2 | 6.38 | 0.012 * | ns | 0.03 |
| Gr1 vs. Gr3 | 22.79 | <0.001 *** | <0.001 *** | 0.06 | |
| Gr1 vs. Gr4 | 77.64 | <0.001 *** | <0.001 *** | 0.11 | |
| Gr2 vs. Gr3 | 5.16 | 0.023 * | ns | 0.03 | |
| Gr2 vs. Gr4 | 41.51 | <0.001 *** | <0.001 *** | 0.08 | |
| Gr3 vs. Gr4 | 17.52 | <0.001 *** | <0.001 *** | 0.05 |
Disclaimer/Publisher’s Note: The statements, opinions and data contained in all publications are solely those of the individual author(s) and contributor(s) and not of MDPI and/or the editor(s). MDPI and/or the editor(s) disclaim responsibility for any injury to people or property resulting from any ideas, methods, instructions or products referred to in the content. |
© 2025 by the author. Licensee MDPI, Basel, Switzerland. This article is an open access article distributed under the terms and conditions of the Creative Commons Attribution (CC BY) license (https://creativecommons.org/licenses/by/4.0/).
Share and Cite
Hiebert, E.H. Flattening the Developmental Staircase: Lexical Complexity Progression in Elementary Reading Texts Across Six Decades. Educ. Sci. 2025, 15, 1546. https://doi.org/10.3390/educsci15111546
Hiebert EH. Flattening the Developmental Staircase: Lexical Complexity Progression in Elementary Reading Texts Across Six Decades. Education Sciences. 2025; 15(11):1546. https://doi.org/10.3390/educsci15111546
Chicago/Turabian StyleHiebert, Elfrieda H. 2025. "Flattening the Developmental Staircase: Lexical Complexity Progression in Elementary Reading Texts Across Six Decades" Education Sciences 15, no. 11: 1546. https://doi.org/10.3390/educsci15111546
APA StyleHiebert, E. H. (2025). Flattening the Developmental Staircase: Lexical Complexity Progression in Elementary Reading Texts Across Six Decades. Education Sciences, 15(11), 1546. https://doi.org/10.3390/educsci15111546

