Comparing University Students’ Performance in the Statistical Processing and Visualization of Laboratory Data before, during and after the COVID-19 Pandemic
Abstract
1. Introduction
2. Methodology
2.1. Study Participants
2.2. Definition of Students’ Homework
- Split the given experiment curve into a set of individual data points;
- Find a polynomial equation that best fits the given curve using a least squares analysis;
- Find the correlation coefficient of the regression equation;
- Plot the ideal curve using the regression equation;
- Calculate and display the difference between the original and the ideal curve.
2.3. Analysis of Students’ Performance
3. Results
3.1. Performance Measured by Achieved Scores
3.2. Performance Measured by Delivery Times
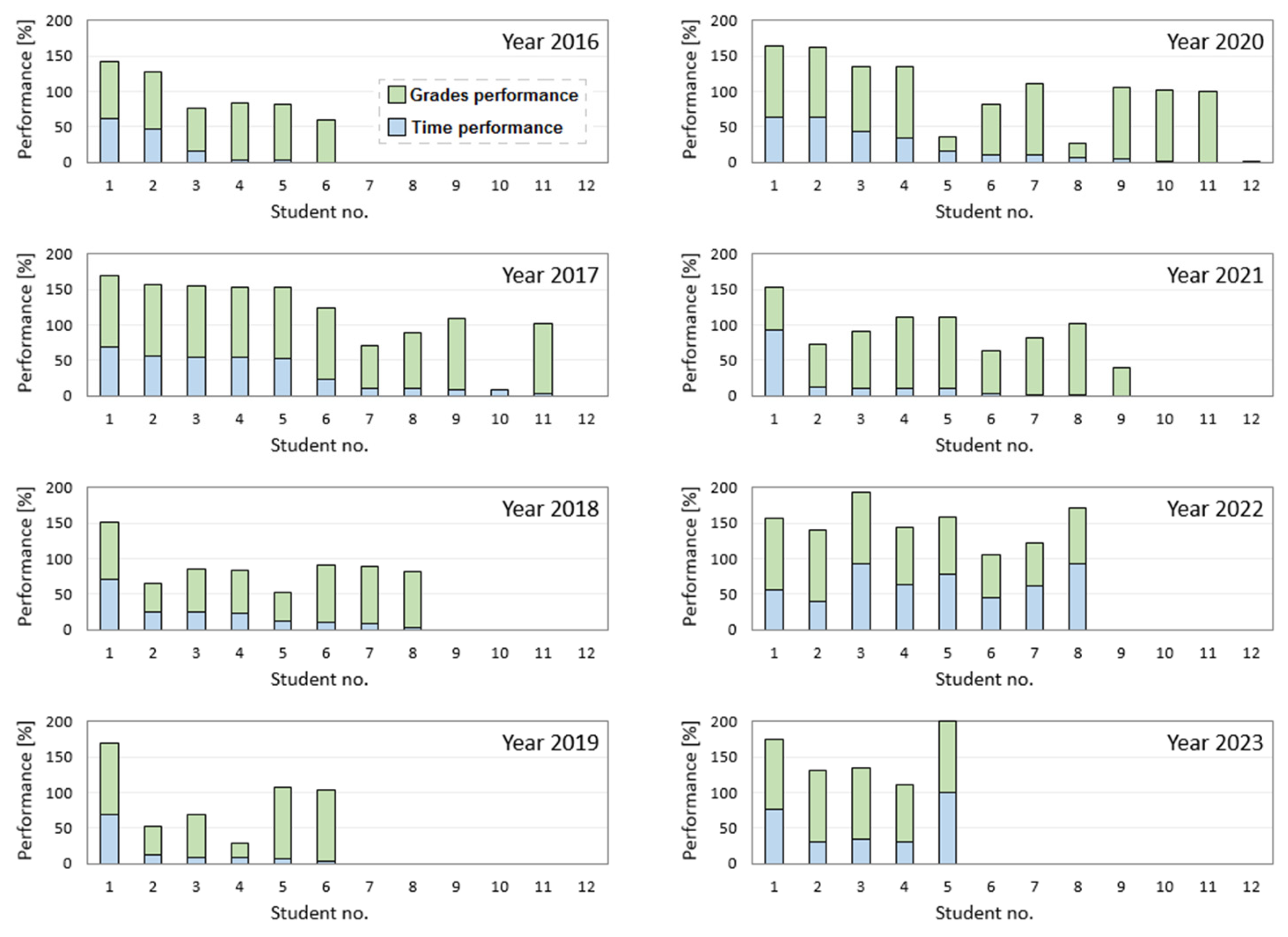
3.3. Combined Performance
4. Discussion and Concluding Remarks
Author Contributions
Funding
Institutional Review Board Statement
Informed Consent Statement
Data Availability Statement
Conflicts of Interest
References
- Adhikari, G. Intuition on virology, epidemiology, pathogenesis, and control of COVID-19. Nov. Res. Microbiol. J. 2020, 4, 955–967. [Google Scholar] [CrossRef]
- Sahu, P. Closure of Universities Due to Coronavirus Disease 2019 (COVID-19): Impact on Education and Mental Health of Students and Academic Staff. Cureus 2020, 2019, 4–9. [Google Scholar] [CrossRef] [PubMed]
- Khalil, R.; Mansour, A.E.; Fadda, W.A.; Almisnid, K.; Aldamegh, M.; Al-Nafeesah, A.; Alkhalifah, A.; Al-Wutayd, O. The sudden transition to synchronized online learning during the COVID-19 pandemic in Saudi Arabia: A qualitative study exploring medical students’ perspectives. BMC Med. Educ. 2020, 20, 285. [Google Scholar] [CrossRef]
- Iglesias-Pradas, S.; Hernández-García, Á.; Chaparro-Peláez, J.; Prieto, J.L. Emergency remote teaching and students’ academic performance in higher education during the COVID-19 pandemic: A case study. Comput. Hum. Behav. 2021, 119, 106713. [Google Scholar] [CrossRef]
- Al-Mawee, W.; Kwayu, K.M.; Gharaibeh, T. Student’s perspective on distance learning during COVID-19 pandemic: A case study of Western Michigan University, United States. Int. J. Educ. Res. Open 2021, 2, 100080. [Google Scholar] [CrossRef]
- Mahdy, M.A.A. The Impact of COVID-19 Pandemic on the Academic Performance of Veterinary Medical Students. Front. Vet. Sci. 2020, 7, 594261. [Google Scholar] [CrossRef]
- Vautier, A.; Enns, K.; Cadaret, C. Impacts of the COVID-19 Pandemic on Student Performance and Perceptions of Learning. NACTA J. 2023, 67, 109–116. [Google Scholar] [CrossRef]
- Cavanaugh, J.; Jacquemin, S.; Junker, C. A look at student performance during the COVID-19 pandemic. Qual. Assur. Educ. 2023, 31, 33–43. [Google Scholar] [CrossRef]
- Cortés-Albornoz, M.C.; Ramírez-Guerrero, S.; García-Guáqueta, D.P.; Vélez-Van-Meerbeke, A.; Talero-Gutiérrez, C. Effects of remote learning during COVID-19 lockdown on children’s learning abilities and school performance: A systematic review. Int. J. Educ. Dev. 2023, 101, 102835. [Google Scholar] [CrossRef]
- Ghanamah, R.; Eghbaria-Ghanamah, H. Impact of COVID-19 pandemic on behavioral and emotional aspects and daily routines of Arab israeli children. Int. J. Environ. Res. Public Health 2021, 18, 2946. [Google Scholar] [CrossRef]
- Casagrande, M.; Favieri, F.; Tambelli, R.; Forte, G. The enemy who sealed the world: Effects quarantine due to the COVID-19 on sleep quality, anxiety, and psychological distress in the Italian population. Sleep Med. 2020, 75, 12–20. [Google Scholar] [CrossRef] [PubMed]
- Sundarasen, S.; Chinna, K.; Kamaludin, K.; Nurunnabi, M.; Baloch, G.M.; Khoshaim, H.B.; Hossain, S.F.A.; Sukayt, A. Psychological impact of COVID-19 and lockdown among university students in malaysia: Implications and policy recommendations. Int. J. Environ. Res. Public Health 2020, 17, 6206. [Google Scholar] [CrossRef] [PubMed]
- Mertens, G.; Gerritsen, L.; Duijndam, S.; Salemink, E.; Engelhard, I.M. Fear of the coronavirus (COVID-19): Predictors in an online study conducted in March 2020. J. Anxiety Disord. 2020, 74, 102258. [Google Scholar] [CrossRef] [PubMed]
- Clark, A.E.; Nong, H.; Zhu, H.; Zhu, R. Compensating for academic loss: Online learning and student performance during the COVID-19 pandemic. China Econ. Rev. 2021, 68, 101629. [Google Scholar] [CrossRef] [PubMed]
- Acheampong, J.O. The impact of COVID-19 on students’ academic performance: The case of the university of Ghana business school. Cogent Educ. 2023, 10, 2186011. [Google Scholar] [CrossRef]
- Aristovnik, A.; Keržič, D.; Ravšelj, D.; Tomaževič, N.; Umek, L. Impacts of the COVID-19 Pandemic on Life of Higher Education Students: A global perspective. Sustainability 2020, 12, 8438. [Google Scholar] [CrossRef]
- Sá, M.J.; Serpa, S. The COVID-19 pandemic as an opportunity to foster the sustainable development of teaching in higher education. Sustainability 2020, 12, 8525. [Google Scholar] [CrossRef]
- Pertegal-Felices, M.L.; Valdivieso-Salazar, D.A.; Espín-León, A.; Jimeno-Morenilla, A. Resilience and Academic Dropout in Ecuadorian University Students during COVID-19. Sustainability 2022, 14, 8066. [Google Scholar] [CrossRef]
- de la Cruz-Campos, J.C.; Victoria-Maldonado, J.J.; Martínez-Domingo, J.A.; Campos-Soto, M.N. Causes of academic dropout in higher education in Andalusia and proposals for its prevention at university: A systematic review. Front. Educ. 2023, 8, 1130952. [Google Scholar] [CrossRef]
- Bonacini, L.; Gallo, G.; Patriarca, F. Unraveling the controversial effect of Covid-19 on college students’ performance. Sci. Rep. 2023, 13, 15912. [Google Scholar] [CrossRef] [PubMed]
- Elzainy, A.; El Sadik, A.; Al Abdulmonem, W. Experience of e-learning and online assessment during the COVID-19 pandemic at the College of Medicine, Qassim University. J. Taibah Univ. Med. Sci. 2020, 15, 456–462. [Google Scholar] [CrossRef] [PubMed]
- El Said, G.R. How Did the COVID-19 Pandemic Affect Higher Education Learning Experience? An Empirical Investigation of Learners’ Academic Performance at a University in a Developing Country. Adv. Hum.-Comput. Interact. 2021, 2021, 6649524. [Google Scholar] [CrossRef]
- Nasrullah, S.; Khan, M.S.; Nasrullah, S.; Khan, M.S. The Impact of Time Management on the Students’ Academic Achievements. Int. Peer-Rev. J. 2015, 11, 66–72. Available online: www.iiste.org (accessed on 30 December 2023).
- Rashid, A.; Sharif, I.; Khan, S.; Malik, F. Relationship Between Time Management Behavior and Academic Performance of University Students. J. Bus. Soc. Rev. Emerg. Econ. 2020, 6, 1497–1504. [Google Scholar] [CrossRef]
- Dost, S.; Hossain, A.; Shehab, M.; Abdelwahed, A.; Al-Nusair, L. Perceptions of medical students towards online teaching during the COVID-19 pandemic: A national cross-sectional survey of 2721 UK medical students. BMJ Open 2020, 10, e042378. [Google Scholar] [CrossRef] [PubMed]
- Hostinar, C.E.; Velez, G. Generation COVID: Coming of Age Amid the Pandemic. Curr. Opin. Psychol. 2023, 55, 101725. [Google Scholar] [CrossRef]
- Neilson, W. Homework and performance for time-constrained students. Econ. Bull. 2005, 9, 1–6. [Google Scholar]
- Conto, C.A.; Akseer, S.; Dreesen, T.; Kamei, A.; Mizunoya, S.; Rigole, A. Potential effects of COVID-19 school closures on foundational skills and Country responses for mitigating learning loss. Int. J. Educ. Dev. 2021, 87, 102434. [Google Scholar] [CrossRef]
- Smith, J.; Guimond, F.A.; Bergeron, J.; St-Amand, J.; Fitzpatrick, C.; Gagnon, M. Changes in students’ achievement motivation in the context of the COVID-19 pandemic: A function of extraversion/introversion? Educ. Sci. 2021, 11, 30. [Google Scholar] [CrossRef]
- Ahmed, M.Z.; Ahmed, O.; Aibao, Z.; Hanbin, S.; Siyu, L.; Ahmad, A. Epidemic of COVID-19 in China and associated Psychological Problems. Asian J. Psychiatr. 2020, 51, 102092. [Google Scholar] [CrossRef]
- Trautwein, U.; Köller, O. The Relationship Between Homework and Achievement—Still Much of a Mystery. Educ. Psychol. Rev. 2003, 15, 115–145. [Google Scholar] [CrossRef]
- Guven, M.; Babayigit, B.B. Self-regulated learning skills of undergraduate students and the role of higher education in promoting self-regulation. Eurasian J. Educ. Res. 2020, 2020, 47–70. [Google Scholar] [CrossRef]
- Ilozor, B.D.; Efuntoye, O.T.; Das, R.R. Evaluating Students’ Performance Relative to Their Time Investment in an Asynchronous Online Class. J. Technol. Manag. Appl. Eng. 2023, 39, 2–13. [Google Scholar] [CrossRef]
- Moè, A.; Consiglio, P.; Katz, I. Exploring the circumplex model of motivating and demotivating teaching styles: The role of teacher need satisfaction and need frustration. Teach. Teach. Educ. 2022, 118, 103823. [Google Scholar] [CrossRef]
- Lapitan, L.D.; Tiangco, C.E.; Sumalinog, D.A.G.; Sabarillo, N.S.; Diaz, J.M. An effective blended online teaching and learning strategy during the COVID-19 pandemic. Educ. Chem. Eng. 2021, 35, 116–131. [Google Scholar] [CrossRef]
- Stahl, G. Redesigning mathematical curriculum for blended learning. Educ. Sci. 2021, 11, 165. [Google Scholar] [CrossRef]
- Ionescu, C.A.; Paschia, L.; Gudanescu Nicolau, N.L.; Stanescu, S.G.; Neacsu Stancescu, V.M.; Coman, M.D.; Uzlau, M.C. Sustainability analysis of the e-learning education system during pandemic period—COVID-19 in Romania. Sustainability 2020, 12, 9030. [Google Scholar] [CrossRef]
- Gerhátová, Ž.; Perichta, P.; Palcut, M. Project-based teaching of the topic ‘energy sources’ in physics via integrated e-learning—Pedagogical research in the 9th grade at two primary schools in Slovakia. Educ. Sci. 2020, 10, 371. [Google Scholar] [CrossRef]
- Bozkurt, A. Resilience, Adaptability, and Sustainability of Higher Education: A Systematic Mapping Study on the Impact of the Coronavirus (COVID-19) Pandemic and the Transition to the New Normal. J. Learn. Dev. 2022, 9, 1–16. [Google Scholar] [CrossRef]
- Adedoyin, O.B.; Soykan, E. Covid-19 pandemic and online learning: The challenges and opportunities. Interact. Learn. Environ. 2023, 31, 863–875. [Google Scholar] [CrossRef]
- Mohammad, R.F.; Hinduja, P.; Siddiqui, S. Unveiling the path to sustainable online learning: Addressing challenges and proposing solutions in Pakistan. Int. J. Educ. Manag. 2024, 38, 136–157. [Google Scholar] [CrossRef]
- Tsang, J.T.Y.; So, M.K.P.; Chong, A.C.Y.; Lam, B.S.Y.; Chu, A.M.Y. Higher education during the pandemic: The predictive factors of learning effectiveness in COVID-19 online learning. Educ. Sci. 2021, 11, 446. [Google Scholar] [CrossRef]
- Munir, H. Reshaping Sustainable University Education in Post-Pandemic World: Lessons Learned from an Empirical Study. Educ. Sci. 2022, 12, 524. [Google Scholar] [CrossRef]
- Mahajan, R.; Kumar, S.; Agrawal, M. Online teaching effectiveness: Lessons from Indian universities during the Covid-19 pandemic. Glob. Bus. Organ. Excell. 2023, 43, 135–151. [Google Scholar] [CrossRef]
- Gherheș, V.; Stoian, C.E.; Fărcașiu, M.A.; Stanici, M. E-learning vs. Face-to-face learning: Analyzing students’ preferences and behaviors. Sustainability 2021, 13, 4381. [Google Scholar] [CrossRef]
- Alonso-García, M.; Garrido-Letrán, T.M.; Sánchez-Alzola, A. Impact of COVID-19 on educational sustainability. Initial perceptions of the university community of the university of cádiz. Sustainability 2021, 13, 5938. [Google Scholar] [CrossRef]
- Kulikowski, K.; Przytuła, S.; Sułkowski, Ł. E-learning? Never again! On the unintended consequences of COVID-19 forced e-learning on academic teacher motivational job characteristics. High. Educ. Q. 2022, 76, 174–189. [Google Scholar] [CrossRef]
- Al-Adwan, A.S.; Albelbisi, N.A.; Hujran, O.; Al-Rahmi, W.M.; Alkhalifah, A. Developing a holistic success model for sustainable e-learning: A structural equation modeling approach. Sustainability 2021, 13, 9453. [Google Scholar] [CrossRef]
- Markauskaite, L.; Carvalho, L.; Fawns, T. The role of teachers in a sustainable university: From digital competencies to postdigital capabilities. Educ. Technol. Res. Dev. 2023, 71, 181–198. [Google Scholar] [CrossRef] [PubMed]
- Gombkötő, N.; Štempeľová, I.; Takáč, O. Evaluating Sustainable Online Education: A Cross-Disciplinary Analysis of IT Device Utilization among Slovakian and Hungarian University Students. Sustainability 2024, 16, 699. [Google Scholar] [CrossRef]
- Antoniadou, M.; Rahiotis, C.; Kakaboura, A. Sustainable Distance Online Educational Process for Dental Students during COVID-19 Pandemic. Int. J. Environ. Res. Public Health 2022, 19, 9470. [Google Scholar] [CrossRef] [PubMed]
- Jain, S.; Aggarwal, P.; Sharma, N.; Sharma, P. Fostering sustainability through education, research and practice: A case study of TERI University. J. Clean. Prod. 2013, 61, 20–24. [Google Scholar] [CrossRef]












| Year | Publication Date (p) | Deadline Date (d) | Download Date (t1) | Upload Date (t2) | Grades | Homework Duration (d − p) |
|---|---|---|---|---|---|---|
| 2016 | yes | yes | no | yes | yes | 7 days |
| 2017 | yes | yes | no | yes | yes | 7 days |
| 2018 | yes | yes | no | yes | yes | 7 days |
| 2019 | yes | yes | no | yes | yes | 7 days |
| 2020 | yes | yes | yes | yes | yes | 21 days |
| 2021 | yes | yes | yes | yes | yes | 12 days |
| 2022 | yes | yes | yes | yes | yes | 14 days |
| 2023 | yes | yes | yes | yes | yes | 21 days |
Disclaimer/Publisher’s Note: The statements, opinions and data contained in all publications are solely those of the individual author(s) and contributor(s) and not of MDPI and/or the editor(s). MDPI and/or the editor(s) disclaim responsibility for any injury to people or property resulting from any ideas, methods, instructions or products referred to in the content. |
© 2024 by the authors. Licensee MDPI, Basel, Switzerland. This article is an open access article distributed under the terms and conditions of the Creative Commons Attribution (CC BY) license (https://creativecommons.org/licenses/by/4.0/).
Share and Cite
Pašák, M.; Palcut, M. Comparing University Students’ Performance in the Statistical Processing and Visualization of Laboratory Data before, during and after the COVID-19 Pandemic. Educ. Sci. 2024, 14, 241. https://doi.org/10.3390/educsci14030241
Pašák M, Palcut M. Comparing University Students’ Performance in the Statistical Processing and Visualization of Laboratory Data before, during and after the COVID-19 Pandemic. Education Sciences. 2024; 14(3):241. https://doi.org/10.3390/educsci14030241
Chicago/Turabian StylePašák, Matej, and Marián Palcut. 2024. "Comparing University Students’ Performance in the Statistical Processing and Visualization of Laboratory Data before, during and after the COVID-19 Pandemic" Education Sciences 14, no. 3: 241. https://doi.org/10.3390/educsci14030241
APA StylePašák, M., & Palcut, M. (2024). Comparing University Students’ Performance in the Statistical Processing and Visualization of Laboratory Data before, during and after the COVID-19 Pandemic. Education Sciences, 14(3), 241. https://doi.org/10.3390/educsci14030241

