Investigating the Relationship Between Leadership for Learning and Student Achievement Through the Mediation of Teacher Performance: A Meta-Analytic Structural Equation Modeling (MASEM) Approach
Abstract
1. Introduction
2. Conceptual Framework and the Hypotheses
2.1. Leadership for Learning and Student Achievement Relationship
2.1.1. Instructional Leadership—Student Achievement
2.1.2. Transformational Leadership—Student Achievement
2.1.3. Distributed Leadership—Student Achievement
2.1.4. Teacher Performance as a Mediator
3. Materials and Methods
Data Analysis
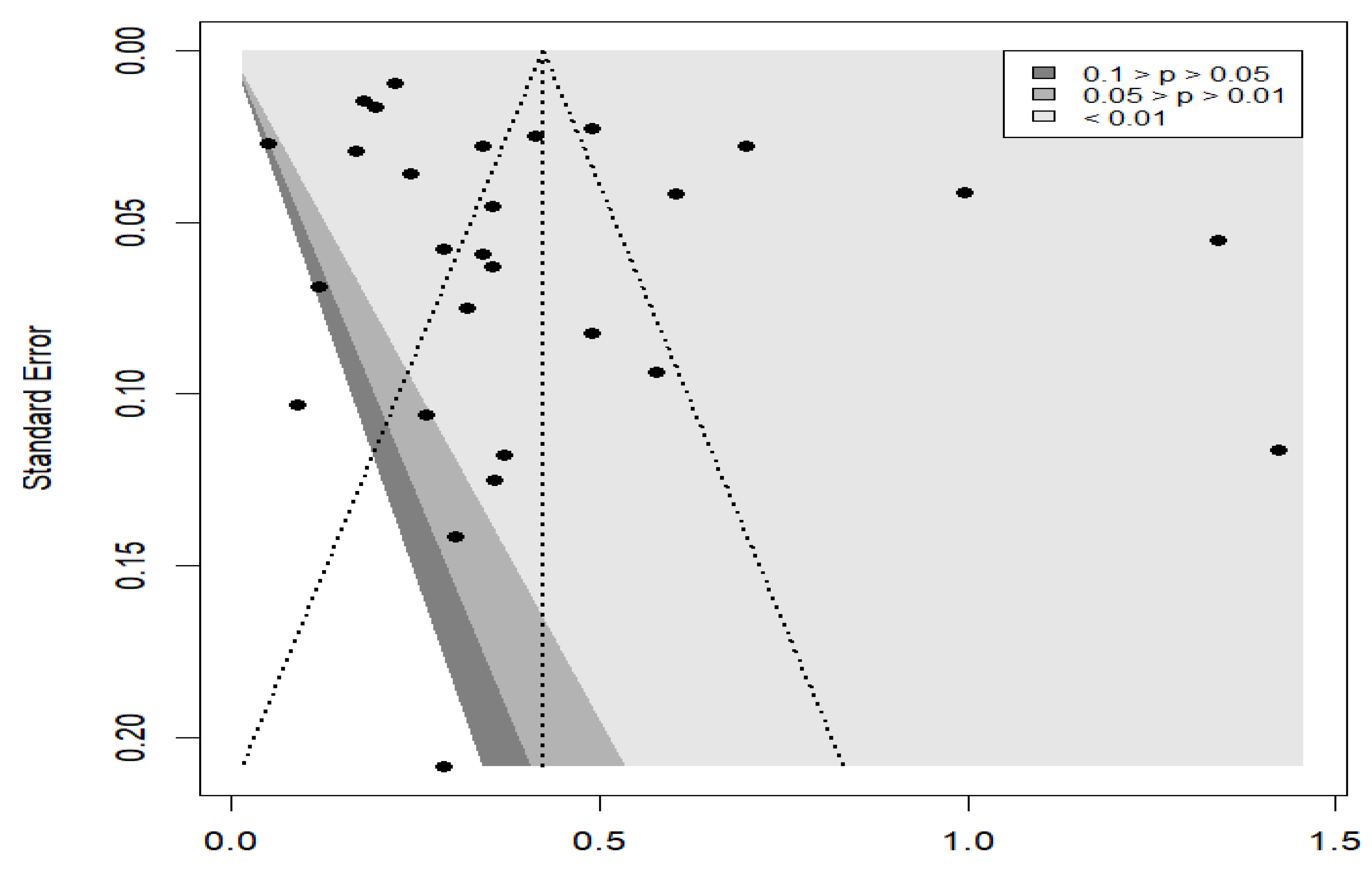
4. Results
4.1. Overall Effect Size Between Instructional Leadership and Teacher Performance
4.2. Overall Effect Size Between Instructional Leadership and Student Achievement
4.3. The Mediating Effect of Teacher Performance in the Relationship Between Instructional Leadership and Student Achievement
4.4. Overall Effect Size Between Transformational Leadership and Teacher Performance
4.5. Overall Effect Size Between Transformational Leadership and Student Achievement
4.6. Mediating Effect of Teacher Performance in the Relationship Between Transformational Leadership and Student Achievement
4.7. Overall Effect Size Between Distributed Leadership and Teacher Performance
4.8. Overall Effect Size Between Distributed Leadership and Student Achievement
4.9. The Mediating Effect of Teacher Performance in the Relationship Between Distributed Leadership and Student Achievement
5. Discussion and Conclusions
Limitations
Author Contributions
Funding
Institutional Review Board Statement
Informed Consent Statement
Data Availability Statement
Conflicts of Interest
References
- Dutta, V.; Sahney, S. Relation of principal instructional leadership, school climate, teacher job performance and student achievement. J. Educ. Adm. 2022, 60, 148–166. [Google Scholar] [CrossRef]
- Hallinger, P.; Gümüş, S.; Bellibaş, M.Ş. ‘Are principals instructional leaders yet?’ A science map of the knowledge base on instructional leadership, 1940–2018. Scientometrics 2020, 122, 1629–1650. [Google Scholar] [CrossRef]
- Robinson, V.M.; Lloyd, C.A.; Rowe, K.J. The impact of leadership on student outcomes: An analysis of the differential effects of leadership types. Educ. Adm. Q. 2008, 44, 635–674. [Google Scholar] [CrossRef]
- Leithwood, K.; Harris, A.; Hopkins, D. Seven strong claims about successful school leadership revisited. Sch. Leadersh. Manag. 2020, 40, 5–22. [Google Scholar] [CrossRef]
- Witziers, B.; Bosker, R.J.; Krüger, M.L. Educational leadership and student achievement: The elusive search for an association. Educ. Adm. Q. 2003, 39, 398–425. [Google Scholar] [CrossRef]
- Gurr, D.; Drysdale, L.; Mulford, B. Models of successful principal leadership. Sch. Leadersh. Manag. 2006, 26, 371–395. [Google Scholar] [CrossRef]
- Leithwood, K.; Mascall, B.; Strauss, T.; Sacks, R.; Memon, N.; Yashkina, A. Distributing leadership to make schools smarter: Taking the ego out of the system. Leadersh. Policy Sch. 2007, 6, 37–67. [Google Scholar] [CrossRef]
- Karakose, T.; Leithwood, K.; Tülübaş, T. The intellectual evolution of educational leadership research: A combined bibliometric and thematic analysis using SciMAT. Educ. Sci. 2024, 14, 429. [Google Scholar] [CrossRef]
- Day, C.; Gu, Q.; Sammons, P. The impact of leadership on student outcomes: How successful school leaders use transformational and instructional strategies to make a difference. Educ. Adm. Q. 2016, 52, 221–258. [Google Scholar] [CrossRef]
- Tian, M.; Huber, S.G. Mapping educational leadership, administration and management research 2007–2016: Thematic strands and the changing landscape. J. Educ. Adm. 2020, 58, 129–150. [Google Scholar] [CrossRef]
- Kılınç, A.Ç.; Polatcan, M.; Çepni, O. Exploring the association between distributed leadership and student achievement: The mediation role of teacher professional practices and teacher self-efficacy. J. Curric. Stud. 2023, 55, 352–368. [Google Scholar] [CrossRef]
- Leithwood, K.; Aitken, R.; Jantzi, D. Making Schools Smarter: Leading with Evidence; Corwin Press: Thousand Oaks, CA, USA, 2006. [Google Scholar]
- Marzano, R.J.; Waters, T.; McNulty, B.A. School Leadership that Works: From Research to Results; Mid-Continent Research for Education and Learning: Denver, CO, USA, 2005. [Google Scholar]
- Leithwood, K.; Seashore, K.; Anderson, S.; Wahlstrom, K. Review of Research: How Leadership Influences Student Learning; Center for Applied Research and Educational Improvement: St Paul, MN, USA, 2004; Available online: https://conservancy.umn.edu/server/api/core/bitstreams/3414bbd1-cf1c-4182-83e3-34843fb69077/content (accessed on 1 November 2024).
- Spillane, J.P.; Halverson, R.; Diamond, J.B. Towards a theory of leadership practice: A distributed perspective. J. Curric. Stud. 2004, 36, 3–34. [Google Scholar] [CrossRef]
- Li, L.; Liu, Y. An integrated model of principal transformational leadership and teacher leadership that is related to teacher self-efficacy and student academic performance. Asia Pac. J. Educ. 2022, 42, 661–678. [Google Scholar] [CrossRef]
- Aas, M.; Brandmo, C. Revisiting instructional and transformational leadership. J. Educ. Adm. 2016, 54, 92–110. [Google Scholar] [CrossRef]
- Hallinger, P. Leadership for learning: Lessons from 40 years of empirical research. J. Educ. Adm. 2011, 49, 125–142. [Google Scholar] [CrossRef]
- Wu, H.; Shen, J. The association between principal leadership and student achievement: A multivariate meta-meta-analysis. Educ. Res. Rev. 2022, 35, 100423. [Google Scholar] [CrossRef]
- Ahn, J.; Bowers, A.J.; Welton, A.D. Leadership for learning as an organization-wide practice: Evidence on its multilevel structure and implications for educational leadership practice and research. Int. J. Leadersh. Educ. 2021, 27, 1300–1351. [Google Scholar] [CrossRef]
- Daniëls, E.; Hondeghem, A.; Dochy, F. A review on leadership and leadership development in educational settings. Educ. Res. Rev. 2019, 27, 110–125. [Google Scholar] [CrossRef]
- Sun, J. Conceptualizing the critical path linked by teacher commitment. J. Educ. Adm. 2015, 53, 597–624. [Google Scholar] [CrossRef]
- Bush, T.; Abdul Hamid, S.; Ng, A.; Kaparou, M. School leadership theories and the Malaysia education blueprint: Findings from a systematic literature review. Int. J. Educ. Manag. 2018, 32, 1245–1265. [Google Scholar] [CrossRef]
- Chen, H.; Li, M.; Ni, X.; Zheng, Q.; Li, L. Teacher effectiveness and teacher growth from student ratings: An action research of school-based teacher evaluation. Stud. Educ. Eval. 2021, 70, 101010. [Google Scholar] [CrossRef]
- Kokkinou, E.; Kyriakides, L. Investigating differential teacher effectiveness: Searching for the impact of classroom context factors. Sch. Eff. Sch. Improv. 2022, 33, 403–430. [Google Scholar] [CrossRef]
- Marsh, S.; Waniganayake, M.; Gibson, I.W. Scaffolding leadership for learning in school education: Insights from a factor analysis of research conducted in Australian independent schools. Educ. Manag. Adm. Leadersh. 2014, 42, 474–490. [Google Scholar] [CrossRef]
- Lundqvist, D.; Wallo, A.; Coetzer, A.; Kock, H. Leadership and learning at work: A systematic literature review of learning-oriented leadership. J. Leadersh. Organ. Stud. 2023, 30, 205–238. [Google Scholar] [CrossRef]
- Blase, J.; Blase, J. Handbook of Instructional Leadership: How Really Good Principals Promote Teaching and Learning; Corwin Press: Thousand Oaks, CA, USA, 1998. [Google Scholar]
- Gurr, D.; Drysdale, L.; Mulford, B. Instructional leadership in three Australian schools. In International Studies in Educational Administration; Commonwealth Council for Educational Administration & Management (CCEAM): Waterloo, ON, Canada, 2007; Volume 35, pp. 20–29. [Google Scholar]
- Hallinger, P. The Evolution of Instructional Leadership. In Assessing Instructional Leadership with the Principal Instructional Management Rating Scale; Springer: Cham, Swtzerland, 2015. [Google Scholar] [CrossRef]
- Liu, Y.; Li, L.; Huang, C. To what extent is shared instructional leadership related to teacher self-efficacy and student academic performance in China? Sch. Eff. Sch. Improv. 2022, 33, 381–402. [Google Scholar] [CrossRef]
- Zhan, X.; Anthony, A.B.; Goddard, R.; Beard, K.S. Development, factor structure, and reliability of the Shared Instructional Leadership Scale in public secondary schools. Educ. Manag. Adm. Leadersh. 2023, 51, 75–94. [Google Scholar] [CrossRef]
- Hallinger, P.; Murphy, J. The social context of effective schools. Am. J. Educ. 1986, 94, 328–355. [Google Scholar] [CrossRef]
- Rodrigues, H.P.C.; de Lima, J.A. Instructional leadership and student achievement: School leaders’ perspectives. Int. J. Leadersh. Educ. 2021, 27, 360–384. [Google Scholar] [CrossRef]
- Berkovich, I. Will it sink or will it float: Putting three common conceptions about principals’ transformational leadership to the test. Educ. Manag. Adm. Leadersh. 2018, 46, 888–907. [Google Scholar] [CrossRef]
- Karakose, T.; Tülübaş, T.; Papadakis, S.; Yirci, R. Evaluating the intellectual structure of the knowledge base on transformational school leadership: A bibliometric and science mapping analysis. Educ. Sci. 2023, 13, 708. [Google Scholar] [CrossRef]
- Li, Y. A review of empirical research on transformational school leadership in China. ECNU Rev. Educ. 2022, 5, 156–184. [Google Scholar] [CrossRef]
- Burns, J.M. Leadership; Harper & Row: New York, NY, USA, 1978. [Google Scholar]
- Kılınç, A.Ç.; Özdemir, N.; Polatcan, M.; Savaş, G.; Dolapcı, E. Linking transformational leadership to teacher commitment and alienation: Do motivational climate profiles moderate? Educ. Manag. Adm. Leadersh. 2023, 17411432231184602. [Google Scholar] [CrossRef]
- Bush, T. The enduring power of transformational leadership. Educ. Manag. Adm. Leadersh. 2017, 45, 563–565. [Google Scholar] [CrossRef]
- Gibb, C.A. Leadership. In Handbook of Social Psychology; Lindzey, G., Ed.; Addison-Wesley: Boston, MA, USA, 1954; Volume 2, pp. 877–917. [Google Scholar]
- Spillane, J.P.; Halverson, R.; Diamond, J.B. Investigating school leadership practice: A distributed perspective. Educ. Res. 2001, 30, 23–28. [Google Scholar] [CrossRef]
- Gronn, P. Distributed leadership as a unit of analysis. Leadersh. Q. 2002, 13, 423–451. [Google Scholar] [CrossRef]
- Harris, A. Distributed leadership: Friend or foe? Educ. Manag. Adm. Leadersh. 2013, 41, 545–554. [Google Scholar] [CrossRef]
- Murphy, J. The architecture of school improvement. J. Educ. Adm. 2013, 51, 252–263. [Google Scholar] [CrossRef]
- Heck, R.H.; Hallinger, P. Distributed leadership in schools: Does system policy make a difference? In Distributed Leadership; Harris, A., Ed.; Springer: Berlin/Heidelberg, Germany, 2009; pp. 101–120. [Google Scholar] [CrossRef]
- Amels, J.; Krüger, M.L.; Suhre, C.J.; van Veen, K. The relationship between primary school leaders’ utilization of distributed leadership and teachers’ capacity to change. Educ. Manag. Adm. Leadersh. 2021, 49, 732–749. [Google Scholar] [CrossRef]
- Bellibaş, M.Ş.; Gümüş, S.; Liu, Y. Does school leadership matter for teachers’ classroom practice? The influence of instructional leadership and distributed leadership on instructional quality. Sch. Eff. Sch. Improv. 2021, 32, 387–412. [Google Scholar] [CrossRef]
- OECD. TALIS 2018 Technical Report; OECD Publishing: Paris, France, 2019; Available online: https://www.oecd.org/education/talis/TALIS_2018_Technical_Report.pdf (accessed on 4 June 2024).
- Khan, F. Transformational leadership and teacher work performance: Mediating effect of job autonomy and trust in school principal–insights from senior secondary school data in India. Educ. Manag. Adm. Leadersh. 2023. [CrossRef]
- Tschannen-Moran, M.; Gareis, C.R. Faculty trust in the principal: An essential ingredient in high-performing schools. J. Educ. Adm. 2015, 53, 66–92. [Google Scholar] [CrossRef]
- Yukl, G. How leaders influence organizational effectiveness. Leadersh. Q. 2008, 19, 708–722. [Google Scholar] [CrossRef]
- Leithwood, K.; Harris, A.; Hopkins, D. Seven strong claims about successful school leadership. Sch. Leadersh. Manag. 2008, 28, 27–42. [Google Scholar] [CrossRef]
- Eliophotou Menon, M.; Lefteri, A. The link between transformational leadership and teacher self-efficacy. Education 2021, 142, 42–52. [Google Scholar]
- Hallinger, P.; Hosseingholizadeh, R.; Hashemi, N.; Kouhsari, M. Do beliefs make a difference? Exploring how principal self-efficacy and instructional leadership impact teacher efficacy and commitment in Iran. Educ. Manag. Adm. Leadersh. 2018, 46, 800–819. [Google Scholar] [CrossRef]
- Mardalena, M.; Sarinah, S.; Taufan, A.; Melina, A.; Hayati, H.; Yunus, M.; Elfisa, Y.; Saukani, S. Transformational Leadership on Teachers’ Performance Mediated by Teacher Satisfaction. Scaffolding J. Pendidik. Islam. Dan. Multikulturalisme 2024, 6, 67–88. [Google Scholar] [CrossRef]
- Mwove, P.N.; Mwania, J.M.; Kasivu, G.M. The extent to which principals’ use of transactional leadership style influences students’ academic performance in public secondary schools in Kenya. Int. J. Manag. Stud. Social. Sci. Res. 2023, 5, 56–64. [Google Scholar] [CrossRef]
- Ninković, S.R.; Knežević Florić, O.Č. Transformational school leadership and teacher self-efficacy as predictors of perceived collective teacher efficacy. Educ. Manag. Adm. Leadersh. 2018, 46, 49–64. [Google Scholar] [CrossRef]
- Cheung, M.W.L.; Hong, R.Y. Applications of meta-analytic structural equation modelling in health psychology: Examples, issues, and recommendations. Health Psychol. Rev. 2017, 11, 265–279. [Google Scholar] [CrossRef]
- Jeyaraj, A.; Dwivedi, Y.K. Meta-analysis in information systems research: Review and recommendations. Int. J. Inf. Manag. 2020, 55, 102226. [Google Scholar] [CrossRef]
- Moher, D.; Liberati, A.; Tetzlaff, J.; Altman, D.G.; PRISMA Group. Preferred reporting items for systematic reviews and meta-analyses: The PRISMA statement. Int. J. Surg. 2010, 8, 336–341. [Google Scholar] [CrossRef] [PubMed]
- Page, M.J.; McKenzie, J.E.; Bossuyt, P.M.; Boutron, I.; Hoffmann, T.C.; Mulrow, C.D.; Shamseer, L.; Tetzlaff, J.M.; Akl, E.A.; Brennan, S.E.; et al. The PRISMA 2020 statement: An updated guideline for reporting systematic reviews. BMJ 2021, 372, 71. [Google Scholar] [CrossRef] [PubMed]
- PRISMA Checklist. Available online: https://figshare.com/articles/dataset/PRISMA_Checklist_2023/22591693?file=40108636 (accessed on 4 June 2024).
- Alexander, R.A.; Scozzaro, M.J.; Borodkin, L.J. Statistical and empirical examination of the chi-square test for homogeneity of correlations in meta-analysis. Psychol. Bull. 1989, 106, 329–331. [Google Scholar] [CrossRef]
- Funder, D.C.; Ozer, D.J. Evaluating effect size in psychological research: Sense and nonsense. Adv. Methods Pract. Psychol. Sci. 2019, 2, 156–168. [Google Scholar] [CrossRef]
- Borenstein, M.; Higgins, J.P.T.; Hedges, L.V.; Rothstein, H.R. Basics of meta-analysis: I2 is not an absolute measure of heterogeneity. Res. Synth. Methods 2017, 8, 5–18. [Google Scholar] [CrossRef]
- Higgins, J.P.T.; Thompson, S.G.; Deeks, J.J.; Altman, D.G. Measuring inconsistency in meta-analyses. BMJ Br. Med. J. 2003, 327, 557–560. [Google Scholar] [CrossRef]
- Egger, M.; Davey Smith, G.; Schneider, M.; Minder, C. Bias in meta-analysis detected by a simple, graphical test. BMJ 1997, 315, 629–634. [Google Scholar] [CrossRef]
- Begg, C.B.; Mazumdar, M. Operating characteristics of a rank correlation test for publication bias. Biometrics 1994, 50, 1088–1101. [Google Scholar] [CrossRef] [PubMed]
- Duval, S.; Tweedie, R. Trim and fill: A simple funnel-plot–based method of testing and adjusting for publication bias in meta-analysis. Biometrics 2000, 56, 455–463. [Google Scholar] [CrossRef]
- R Core Team. R: A Language and Environment for Statistical Computing. R Foundation for Statistical Computing (4.1.2): [Computer software]. 2021. Available online: https://www.R-project.org/ (accessed on 1 November 2024).
- Schwarzer, G. Package ‘Meta’, (5.2-0) [Computer software]; CRAN: Maharashtra, India, 2022. Available online: https://github.com/guido-s/meta/ (accessed on 4 June 2024).
- Cheung, M.W.-L. Meta-Analysis: A structural Equation Modeling Approach; John Wiley&Sons: New York, NY, USA, 2015. [Google Scholar]
- Cheung, M.W.-L.; Chan, W. Meta-analytic structural equation modeling: A two-stage approach. Psychol. Methods 2005, 10, 40–64. [Google Scholar] [CrossRef]
- Schutte, N.S.; Keng, S.-L.; Cheung, M.W.-L. Emotional intelligence mediates the connection between mindfulness and gratitude: A meta-analytic structural equation modeling study. Mindfulness 2021, 12, 2613–2623. [Google Scholar] [CrossRef]
- Jack, S. Meta-Analytic Structural Equation Modelling; Springer: Berlin/Heidelberg, Germany, 2015; Available online: https://www.suzannejak.nl/MASEM_SJak.pdf (accessed on 3 March 2024).
- Cheung, M.W.-L. MetaSEM: An R package for meta-analysis using structural equation modeling. Front. Psychol. 2015, 5, 1521. [Google Scholar] [CrossRef]
- Rosseel, Y. lavaan: An R package for structural equation modeling. J. Stat. Softw. 2012, 48, 1–36. [Google Scholar] [CrossRef]
- Chang, H.W.; Wang, M.H. Sparse correlation coefficient for objective image quality assessment. Signal Process Image Commun. 2011, 26, 577–588. [Google Scholar] [CrossRef]
- Pietsch, M.; Tulowitzki, P. Disentangling school leadership and its ties to instructional practices–an empirical comparison of various leadership styles. Sch. Eff. Sch. Improv. 2017, 28, 629–649. [Google Scholar] [CrossRef]
- Tatlah, A.; Akhtar, S.N.; Hashmi, M.A. Effect of instructional leadership on teachers’ performance and job commitment: A comparison of public and private universities of Lahore. J. Educ. Res. 2019, 22, 133. [Google Scholar]
- Gurr, D. A think-piece on leadership and education. In Background Paper Prepared for the 2024/5 Global Education Monitoring Report; UNESCO: Paris, Franch, 2023. [Google Scholar]
- Karakose, T.; Kardas, A.; Kanadlı, S.; Tülübaş, T.; Yildirim, B. How collective efficacy mediates the association between principal instructional leadership and teacher self-efficacy: Findings from a meta-analytic structural equation modeling (MASEM) study. Behav. Sci. 2024, 14, 85. [Google Scholar] [CrossRef]
- Hallinger, P. Leading Educational Change: Reflections on the practice of instructional and transformational leadership. Camb. J. Educ. 2003, 33, 329–352. [Google Scholar] [CrossRef]
- Leithwood, K.; Jantzi, D. A review of transformational school leadership research 1996–2005. Leadersh. Policy Sch. 2005, 4, 177–199. [Google Scholar] [CrossRef]
- Bossert, S.T.; Dwyer, D.C.; Rowan, B.; Lee, G.V. The instructional management role of the principal. Educ. Adm. Q. 1982, 18, 34–64. [Google Scholar] [CrossRef]
- Wang, L.H.; Gurr, D.; Drysdale, L. Successful school leadership: Case studies of four Singapore primary schools. J. Educ. Adm. 2016, 54, 270–287. [Google Scholar] [CrossRef]
- Leithwood, K.; Sun, J. The nature and effects of transformational school leadership: A meta-analytic review of unpublished research. Educ. Adm. Q. 2012, 48, 387–423. [Google Scholar] [CrossRef]
- Anderson, M. Transformational Leadership in Education: A Review of Existing Literature. Int. Social. Sci. Rev. 2017, 93, 1–13. Available online: http://digitalcommons.northgeorgia.edu/issr/vol93/iss1/4 (accessed on 3 March 2024).
- Liu, P. Transformational Leadership Research in China (2005–2015). Chin. Educ. Soc. 2018, 51, 372–409. [Google Scholar] [CrossRef]
- Karadag, E. The effect of educational leadership on students’ achievement: A cross-cultural meta-analysis research on studies between 2008 and 2018. Asia Pac. Educ. Rev. 2020, 21, 49–64. [Google Scholar] [CrossRef]
- Marks, H.M.; Printy, S.M. Principal leadership and school performance: An integration of transformational and instructional leadership. Educ. Adm. Q. 2003, 39, 370–397. [Google Scholar] [CrossRef]
- Kwan, P. Is transformational leadership theory passé? Revisiting the integrative effect of instructional leadership and transformational leadership on student outcomes. Educ. Adm. Q. 2020, 56, 321–349. [Google Scholar] [CrossRef]
- Bellibaş, M.Ş.; Kılınç, A.Ç.; Polatcan, M. The moderation role of transformational leadership in the effect of instructional leadership on teacher professional learning and instructional practice: An integrated leadership perspective. Educ. Adm. Q. 2021, 57, 776–814. [Google Scholar] [CrossRef]
- Grissom, J.A.; Loeb, S.; Master, B. Effective instructional time use for school leaders: Longitud. Evid. Obs. Principals. Educ. Res. 2013, 42, 433–444. [Google Scholar]
- Pietsch, M.; Tulowitzki, P.; Koch, T. On the differential and shared effects of leadership for learning on teachers’ organizational commitment and job satisfaction: A multilevel perspective. Educ. Adm. Q. 2019, 55, 705–741. [Google Scholar] [CrossRef]
- Sun, J.; Leithwood, K. Transformational school leadership effects on student achievement. Leadersh. Policy Sch. 2012, 11, 418–451. [Google Scholar] [CrossRef]
- Lumby, J. Distributed leadership and bureaucracy. Educ. Manag. Adm. Leadersh. 2019, 47, 5–19. [Google Scholar] [CrossRef]
- Tian, M.; Risku, M.; Collin, K. A meta-analysis of distributed leadership from 2002 to 2013: Theory development, empirical evidence and future research focus. Educ. Manag. Adm. Leadersh. 2016, 44, 146–164. [Google Scholar] [CrossRef]
- Harris, A.; Leithwood, K.; Day, C.; Sammons, P.; Hopkins, D. Distributed leadership and organizational change: Reviewing the evidence. J. Educ. Change 2007, 8, 337–347. [Google Scholar] [CrossRef]
- Malloy, C.; Leithwood, K. Effects of distributed leadership on school academic press and student achievement. In How School Leaders Contribute to Student Success: The Four Paths Framework; Leithwood, K., Sun, J., Pollock, K., Eds.; Springer: Berlin/Heidelberg, Germany, 2017; Volume 23, pp. 69–92. [Google Scholar]
- Liu, Y.; Bellibas, M.S.; Gümüş, S. The effect of instructional leadership and distributed leadership on teacher self-efficacy and job satisfaction: Mediating roles of supportive school culture and teacher collaboration. Educ. Manag. Adm. Leadersh. 2021, 49, 430–453. [Google Scholar] [CrossRef]
- Harris, A.; De Flaminis, J. Distributed leadership in practice. Manag. Educ. 2016, 30, 141–146. [Google Scholar] [CrossRef]
- Karakose, T.; Polat, H.; Tülübaş, T.; Demirkol, M. A review of the conceptual structure and evolution of digital leadership research in education. Educ. Sci. 2024, 14, 1166. [Google Scholar] [CrossRef]
- Bektaş, F.; Kılınç, A.Ç.; Gümüş, S. The effects of distributed leadership on teacher professional learning: Mediating roles of teacher trust in principal and teacher motivation. Educ. Stud. 2022, 48, 602–624. [Google Scholar] [CrossRef]
- Liu, Y.; Werblow, J. The operation of distributed leadership and the relationship with organizational commitment and job satisfaction of principals and teachers: A multi-level model and meta-analysis using the 2013 TALIS data. Int. J. Educ. Res. 2019, 96, 41–55. [Google Scholar] [CrossRef]
- Papadakis, S.; Gözüm, A.İ.C.; Kaya, Ü.Ü.; Kalogiannakis, M.; Karaköse, T. Examining the validity and reliability of the teacher self-efficacy scale in the use of ICT at home for preschool distance education (TSES-ICT-PDE) among Greek preschool teachers: A comparative study with Turkey. In IoT, AI, and ICT for Educational Applications: EAI/Springer Innovations in Communication and Computing; Papadakis, S., Ed.; Springer: Cham, Switzerland, 2024. [Google Scholar]

















| Name of the Moderator | k | Effect Size | 95% CI. | Heterogeneity | |||
|---|---|---|---|---|---|---|---|
| Lower Limit | Upper Limit | Qb | df | p | |||
| School level | 16 | 0.597 | 0.484 | 0.690 | 12.44 | 2 | 0.002 * |
| Primary | 9 | 0.651 | 0.492 | 0.767 | |||
| Secondary | 5 | 0.431 | 0.380 | 0.480 | |||
| Higher education | 2 | 0.691 | 0.629 | 0.750 | |||
| Country | 4 | 0.597 | 0.484 | 0.690 | 78.28 | 6 | 0.0001 * |
| Indonesia | 9 | 0.643 | 0.430 | 0.788 | |||
| Pakistan | 4 | 0.640 | 0.562 | 0.707 | |||
| The USA | 1 | 0.580 | 0.543 | 0.615 | |||
| Malaysia | 1 | 0.757 | 0.654 | 0.833 | |||
| Turkey | 1 | 0.370 | 0.156 | 0.551 | |||
| India | 1 | 0.260 | 0.152 | 0.362 | |||
| Nigeria | 1 | 0.330 | 0.212 | 0.438 | |||
| Name of the Moderator | k | Effect Size | 95% CI. | Heterogeneity | |||
|---|---|---|---|---|---|---|---|
| Lower Limit | Upper Limit | Qb | df | p | |||
| Scale type | 4 | 0.370 | 0.276 | 0.458 | 3.77 | 2 | 0.15 |
| Primary | 16 | 0.429 | 0.285 | 0.554 | |||
| Secondary | 8 | 0.275 | 0.175 | 0.370 | |||
| High School | 3 | 0.260 | 0.134 | 0.378 | |||
| Publication Type | 4 | 0.402 | 0.290 | 0.503 | 4.11 | 1 | 0.043 |
| Article | 2 | 0.487 | 0.312 | 0.630 | |||
| Dissertation | 2 | 0.289 | 0.208 | 0.366 | |||
| Moderators | k | Effect Size | 95% CI. | Heterogeneity | |||
|---|---|---|---|---|---|---|---|
| Lower Limit | Upper Limit | Qb | df | p | |||
| School level | 9 | 0.448 | 0.332 | 0.551 | 12.46 | 3 | 0.0060 |
| Primary | 2 | 0.486 | 0.431 | 0.539 | |||
| Secondary | 2 | 0.402 | 0.314 | 0.483 | |||
| High School | 1 | 0.220 | 0.059 | 0.370 | |||
| Higher education | 4 | 0.498 | 0.256 | 0.681 | |||
| Country | 8 | 0.456 | 0.332 | 0.565 | 6.22 | 2 | 0.045 |
| Indonesia | 4 | 0.508 | 0.285 | 0.679 | |||
| The USA | 2 | 0.492 | 0.439 | 0.542 | |||
| Malaysia | 2 | 0.307 | 0.153 | 0.446 | |||
Disclaimer/Publisher’s Note: The statements, opinions and data contained in all publications are solely those of the individual author(s) and contributor(s) and not of MDPI and/or the editor(s). MDPI and/or the editor(s) disclaim responsibility for any injury to people or property resulting from any ideas, methods, instructions or products referred to in the content. |
© 2024 by the authors. Licensee MDPI, Basel, Switzerland. This article is an open access article distributed under the terms and conditions of the Creative Commons Attribution (CC BY) license (https://creativecommons.org/licenses/by/4.0/).
Share and Cite
Papadakis, S.; Kanadlı, S.; Kardas, A.; Tülübaş, T.; Karakose, T.; Polat, H. Investigating the Relationship Between Leadership for Learning and Student Achievement Through the Mediation of Teacher Performance: A Meta-Analytic Structural Equation Modeling (MASEM) Approach. Educ. Sci. 2024, 14, 1320. https://doi.org/10.3390/educsci14121320
Papadakis S, Kanadlı S, Kardas A, Tülübaş T, Karakose T, Polat H. Investigating the Relationship Between Leadership for Learning and Student Achievement Through the Mediation of Teacher Performance: A Meta-Analytic Structural Equation Modeling (MASEM) Approach. Education Sciences. 2024; 14(12):1320. https://doi.org/10.3390/educsci14121320
Chicago/Turabian StylePapadakis, Stamatios, Sedat Kanadlı, Abdurrahman Kardas, Tijen Tülübaş, Turgut Karakose, and Hakan Polat. 2024. "Investigating the Relationship Between Leadership for Learning and Student Achievement Through the Mediation of Teacher Performance: A Meta-Analytic Structural Equation Modeling (MASEM) Approach" Education Sciences 14, no. 12: 1320. https://doi.org/10.3390/educsci14121320
APA StylePapadakis, S., Kanadlı, S., Kardas, A., Tülübaş, T., Karakose, T., & Polat, H. (2024). Investigating the Relationship Between Leadership for Learning and Student Achievement Through the Mediation of Teacher Performance: A Meta-Analytic Structural Equation Modeling (MASEM) Approach. Education Sciences, 14(12), 1320. https://doi.org/10.3390/educsci14121320

