Next Article in Journal
Monitoring Metacognitive Strategies Use During Interaction Collaborative Groups
Next Article in Special Issue
Procedural Learning in Mixed Reality: Assessing Cognitive Load and Performance
Previous Article in Journal
Negative Self-Concept: Cross-Country Evidence of Its Importance for Understanding Motivation and Academic Achievement
Previous Article in Special Issue
The Effect of Self-Monitoring on Mental Effort and Problem-Solving Performance: A Mixed-Methods Study
 
 
Font Type:
Arial Georgia Verdana
Font Size:
Aa Aa Aa
Line Spacing:
Column Width:
Background:
Article

Effects of Observing Urban and Natural Scenes on Working Memory Depletion and Restoration: An EEG Study

by
Lorenzo Consalvi
1,†,
Kim Ouwehand
1,* and
Fred Paas
1,2,3
1
Department of Psychology Education and Child Studies (DPECS), Erasmus School of Social and Behavioural Sciences (ESSB), Erasmus University Rotterdam, 3062 PA Rotterdam, The Netherlands
2
School of Education/Early Start, University of Wollongong, Northfields Ave., Wollongong, NSW 2522, Australia
3
School of Education, University of New South Wales, Sydney, NSW 2308, Australia
*
Author to whom correspondence should be addressed.
Deceased author.
Educ. Sci. 2024, 14(11), 1204; https://doi.org/10.3390/educsci14111204
Submission received: 27 June 2024 / Revised: 25 August 2024 / Accepted: 25 October 2024 / Published: 1 November 2024
(This article belongs to the Special Issue Cognitive Load Theory: Emerging Trends and Innovations)

Abstract

Cognitive load theory focuses on the limited capacity of working memory (WM) to encapsulate information. While the original theory postulated a fixed capacity of working memory, research in the last decade has provided evidence for the depletion hypothesis. This hypothesis holds that WM becomes depleted after effortful cognitive operations that reduce its capacity, providing a framework for the restorative effects of rest periods. Rest periods during which natural scenery is observed have been found to replenish working memory after it has been subjected to depletion. In the present study, participants observed pictures depicting either a natural or an urban environment, after completing a cognitively depleting task. For this study, we obtained EEG measures of working memory by analyzing alpha and theta wave amplitudes. The motivation behind this choice was to derive a continuous index of WM capacity and address the lack of electrophysiological data regarding the depletion hypothesis. Previous research identified a decrease in alpha amplitude, and a simultaneous increase in theta activity with increasing WM load. Our findings partially replicated these results, as we observed a decrease in alpha amplitude with increasing cognitive load but no significant difference in theta power. Moreover, average signal amplitudes did not differ between the natural and the urban conditions, contrary to our hypothesis. These results suggest an absence of the expected environmental effect, opposing the outcome of existing research on the topic. The absence of this effect could also be attributed to similarities between the two conditions in certain factors thought to elicit differential physiological responses.

1. Introduction

The common cultural perception assuming that contact with natural environments induces beneficial effects on mental and spiritual well-being has spurred the emergence of a considerable amount of research unveiling the mechanisms that lie behind the relationship between the human brain and nature. The body of work that resulted was able to report the benefits of the interaction with nature on mental health, cognitive functions and psychophysiological processes [1,2,3,4].
The aim of the present study was to investigate the effect of observing natural scenery, as opposed to urban scenery, on the restoration of working memory after depletion by a cognitive effortful task. The intent was to substantiate the existing literature on the topic by providing psychophysiological measurements, using the electroencephalogram (EEG), and self-rated assessment of cognitive load. Furthermore, the research aimed to investigate the role of stress in the aforementioned relationship by complementing subjective ratings with heart rate measurements. It is important to consider objective physiological measures alongside subjective personal ratings, as they provide a more comprehensive understanding of cognitive processes, such as cognitive load, and arousal states, such as increased stress. Additionally, these measures allow for continuous monitoring throughout the execution of an experiment, offering more detailed insights into participants’ responses [5,6].

2. Working Memory Resource Depletion as an Extension of Cognitive Load Theory

Cognitive load theory (CLT) is a framework aimed at understanding how information processing load induced by a learning task affects the brain’s capacity to process new information. It is based on the assumption that human cognitive processing is limited by our working memory capacity, which can only hold a limited number of elements simultaneously [7]. Recent work around cognitive load theory has suggested the notion that working memory capacity is not fixed but varies depending on the learning conditions [8]. The hypothesis worked out by Chen and associates (2018) [8] suggests that working memory becomes fatigued after sustained cognitive processing, decreasing its capacity to process further information. This aligns with previous conceptualizations of WM depletion. However, their work also indicates that this depletion effect can be reversed with adequate rest. The conditions under which working memory can efficiently replenish remain an open question posed by Chen and associates. Fortunately, the literature has extensively investigated related phenomena [2,3,7]. In the present study, we focused on the attention restoration theory (ART), first proposed by Kaplan (1995) [2], and the stress reduction theory (SRT), advanced by Ulrich (1981) [3].

2.1. Attention Restoration Theory

Attention restoration theory [2] distinguishes between two main processes of attention. The first process, involuntary attention, is naturally attracted by salient or fascinating stimuli. The second process, directed attention, is guided by cognitive control and involves the suppression of distracting elements. Kaplan (1995) [2] referred to the latter as “directed attention”. According to ART, involuntary attention is immune to fatigue because it requires no conscious effort. This allows individuals engaging in involuntary attention to let their directed attention rest, providing an opportunity for recovery. ART proposes interventions to facilitate the recovery of effortful attention allowing cognitive rest [9]. The primary intervention is sleep. Alternatively, meditation serves as an effective aid for cognitive restoration. The third method, and the focus of the present study, is contact with environments that spontaneously capture involuntary attention, like natural environments.

2.2. Stress Reduction Theory

Stress reduction theory [3] posits that contact with natural environments provides greater benefits than environments lacking natural elements. Ulrich (1981) [3] observed that exposure to natural scenes can reduce arousal following stress, as evidenced by emotional states reports, heart rate and alpha rhythm amplitude. The mechanisms that underlie this arousal reduction are explained by traditional cognitive theories of emotion [10,11]. According to these theories, the first step in the appraisal of an environment is generalized affect (e.g., liking, interest, fear), which can be triggered by visual perception, imagination or memory. This initial affect reaction then influences cognitive evaluation of the scene [10]. Cognitive processes assess the stimuli (i.e., the environment) in terms of their significance for well-being. Cognitive theories of emotion suggest that the affective reaction of the observer is modeled by the preceding cognitive evaluation, refining the initial generalized affect and potentially giving rise to other emotions. These processes bring about physiological arousal and subjective feelings [10,12]. In the case of natural environments, affective reactions are thought to stem from interest and positive appraisal of their adaptive qualities, like the absence of threats and the availability of resources [13]. This hypothesis is rooted in an evolutionary perspective; in other words, scenes and sounds from nature are believed to be positively appraised because they represent environments where humans historically thrived. Ratcliffe and colleagues used semi-structured interviews to investigate which types of environment participants felt would facilitate recovery from stress and negative affect. In the twenty interview transcripts analyzed, they identified 186 examples of natural sounds, particularly birdsong (35%). Participants associated these sounds with positively valenced memories and feelings of safety [13].
These two theoretical perspectives offer valuable insights into the underlying mechanisms through which natural scenes impact cognition and appraisal, which were central to our investigation in this study. Distinguishing the individual effects of stress and attention decline can be challenging, as these phenomena often occur simultaneously [2]. The scope of this research was not to evaluate the validity of the assumptions underlying these theories but rather to replicate the co-occurrence of these cognitive processes as outlined in Kaplan’s (1995) [2] integrative framework. We suggest that future research should delve further into exploring the causal relationship between attention depletion and stress.

2.3. Integration

In light of the two paradigms proposed above, we will now focus on why WM is an important variable to assess. According to CLT, cognitive load rests on the capacity of working memory of withholding and processing information [7]. Only a limited amount of novel information can be remembered at the same time, and the amount decreases when this information has to be combined and elaborated on [14]. Attention and stress both influence WM depletion and restoration. To integrate WM into the ART framework, it is useful to examine the construct of executive functions. Executive functions (EFs) are a set of effortful mental processes required for concentration and selective attention. There are three main executive functions, namely inhibition (behavioral and cognitive inhibition), cognitive flexibility, and working memory [15]. Directed attention and WM are sustained by largely overlapping prefrontal–parietal systems, that enable top-down modulation. Top-down modulation is the mechanism that allows one to focus attention on task-relevant inputs while ignoring irrelevant ones. This same architecture is crucial for prioritizing stimuli during WM tasks [16].
When examining the relationship between stress and cognition, it has been observed that both everyday stressors and major stressful life events can bring about a decrease in WM capacity and attentional resources [17]. The study by Klein and Boals (2001) [17] supported the hypothesis that stressors represent involuntary thoughts that require WM resources to suppress. To test this hypothesis, the researchers administered a word memory task to participants, consisting of six sets of increasing difficulty. The study aimed at predicting the performance on this task based on participants’ state anxiety and reported stress from negative life events, measured through questionnaires. The results indicated that participants reporting higher stress obtained a lower score on the word memory task on average. Additionally, the negative correlation between task performance and stress from life events became more pronounced with more demanding task requirements. Klein and Boals (2001) [17] concluded that, unlike simple distractions, thoughts about adverse life events do not diminish as task demands increase.
Keeping these connections in mind, in the present research, we tried to investigate whether WM resources could be depleted by inducing stress and directed attention fatigue, leading to an increase in cognitive load. This was achieved by the administration of a cognitively effortful mathematical task. Moreover, we aimed at reversing the effect of stress and fatigue on WM resources, thus on cognitive load, through the presentation of natural scenarios. The extent to which we managed to increase and subsequently decrease cognitive load was assessed by means of performance on a WM task, administered once after the completion of the cognitively depleting task and once after scenario presentation.

2.4. Physiological Measures of Cognitive Load: The Alpha and Theta Rhythms

Electroencephalographic (EEG) measures of cognitive load were central to the aim of the present study. EEG is a non-invasive neuroimaging technique that measures electrical activity in the brain with the use of electrodes placed on the scalp [5]. The EEG signal is the result of a number of oscillations that operate at different frequencies. These oscillations are believed to represent information processing and transfer between clusters of neurons [18]. The two oscillations taken into consideration in this research, alpha and theta, have been observed to react to differential cognitive load demands [6,18]. Alpha is the dominant frequency in the adult human EEG. It manifests itself with a “peak” in the conventional alpha region (7.5–12.5 Hz) in spectral analysis and rhythmic alpha waves [6]. This particular frequency is most easily recorded at posterior sites and it is commonly observed when the individual is in a state of “relaxed wakefulness” [18]. In contrast, the theta frequency reaches a peak within a frequency of 4–7.5 Hz, with a maximum amplitude around the frontal midline [19]. It is most prominent when the individual exerts focused and extensive attention on a task, but it is also induced during nocturnal sleep (especially in REM and in stage 1 NREM sleep). Alpha and theta respond in their own characteristic ways to task demands. It has been found that, when comparing EEG power in a resting condition with power in a condition of mental activation, alpha power decreases (desynchronizes) while theta power increases (synchronizes) [6]. As described by Klimesch (1999) [6] in his review, physiologically, EEG power is a reflection of the number of neurons that discharge in synchronization.
The two waveforms we were interested in observing have also been relevant in research in the field of environmental psychology. Particularly, researchers have shown interest in assessing the behavior of alpha and theta brainwaves at the presentation of natural scenes, as opposed to urban scenes [3,20]. In his study on the effect of natural and urban scenes on stress levels, Ulrich (1981) [3] was able to observe higher alpha amplitudes in his subjects when they were asked to look at scenes that included vegetation, rather than when viewing urban scenes, indicating a more wakefully relaxed state in the former condition. Similarly, Chen and associates (2020) [20] reported higher alpha–theta power in the occipital lobes during exposure to a restorative, natural environment.

2.5. Objectives and Research Questions

This study was designed to examine posterior alpha and frontal-midline theta activities as indicators of WM resource depletion and restoration following exposure to either a natural or an urban environment. The research aimed to integrate findings on the physiological implications of cognitive load (measured by alpha and theta wave power; Chen et al., 2020; Ulrich, 1981) [3,20] with existing literature on the EEG response to restorative environmental experiences (Berman et al., 2008; Kaplan, 1995) [1,2]. ART and SRT provided useful frameworks for understanding and discussing the expected results. As mentioned, testing the validity and predictive quality of these two theories, as well as directly comparing them, was beyond the scope of this study.
The research questions this study aimed to answer were whether posterior alpha and frontal-midline theta activities are sensitive to WM resource depletion and environmental restoration and what role stress plays in this effect. To address these questions, it was necessary to formulate directly testable hypotheses. First, we hypothesized that alpha desynchronization and theta synchronization would occur after completing a WM-depleting task compared to baseline, along with an expected increase in heart rate due to the task. When exposed to urban scenery, participants were predicted to exhibit the same pattern of (de-)activation in line with the principles of ART and SRT. Conversely, after exposure to a natural environment we expected to observe the opposite pattern: alpha synchronization, theta desynchronization and a heart rate decrease compared to the post-depletion signal. Lastly, task performance and self-reported measures of cognitive load and stress were hypothesized to reflect the same pattern as the EEG measures and to show a significant association with them.

3. Methods

3.1. Participants

An estimation of the needed sample size for this study was derived from a meta-analysis of existing studies on restorative environments [21]. According to this meta-analysis, the restorative effect of an environment on self-reported cognitive fatigue yielded an effect size of 0.76 (Hedges’ g). Based on this effect size, the preferred sample size, as calculated using G*Power 3.1 under an a priori scenario, was 58 (29 for each independent group). Bowler and colleagues (2010) [21] also reported an effect size of 0.23 for the impact of restorative environments on cognitive performance measures of attention, which would have required a much larger sample size for the purpose of this study. Therefore, the planned sample size was set at N = 58. This more restricted sample size also facilitated the measurement of neural correlates of WM load and physiological assessment of stress. The final sample that attended and completed the experiment consisted of 62 healthy subjects (mean age M = 20.3, SD = 1.92; 66.7% females, 33.3% males), recruited from the population of psychology students at Erasmus University Rotterdam (Rotterdam, the Netherlands). Participants were recruited through ERAS, an administration and support system, and were awarded course credits as compensation for participating.

3.2. Materials and Measures

3.2.1. Working Memory Depletion and Assessment Tasks

The study made use of two tasks related to WM capacity. The first task, the Trier Mental Challenge Test (TMCT) [22], was used to induce working memory fatigue and stress in participants, before the presentation of natural or urban pictures. The TMCT is a computer-based task in which participants have five seconds in each trial to solve arithmetic operations. The task is divided into three blocks of three minutes each, in which participants need to try to answer to as many trials as possible. Difficulty of the trials increased according to performance. Initially, participants were presented with simple summation or subtraction problems (e.g., “2 + 2”); as they accumulated correct responses, problems became longer and more complex, comprising different types of arithmetic operations (e.g., “8/4 − 15/5 + 24/4”). Participants gained 1 point for each correct answer and lost 1 point for each incorrect or late response.
The second task, the digit span task, was used to assess WM capacity after depletion and manipulation. This type of task is a very common measure in research on the relationship between nature and cognitive processes. For example, Berman and associates (2008) [1] used a similar digit span paradigm to infer the effects of viewing pictures of natural scenes on directed attention abilities. Van Oordt et al. (2022) [23] used the digit span task as well, after inducing WM load through the TMCT, in their study on the restorative effects of natural scenes in a similar experimental setup. Traditionally, the digit span test is divided into two blocks, the forward and the backward block. In the forward digit span, participants need to recall the numbers in the same order as they were presented one by one on the screen. In the backward task, participants are instructed to recall the numbers in the opposite order than the one they were presented in. The first digit span block was administered following the cognitive depleting task, while the second block was presented after the picture viewing, in a counterbalanced order. Each block comprised 14 trials, with trial lengths adjusted based on performance to ensure adequate WM taxation. In the initial trial of each block, participants were required to recall a sequence of three digits, presented sequentially on the screen. With each successful recall, the sequence length increased by one digit, up to a maximum of seven digits. Both digit span blocks were visually presented on a monitor using E-Studio 3.0, the software employed for the experimental design, which is part of the E-Prime 3.0 package. Data for analysis were extracted using E-Data Aid, a software tool from the same package that facilitates data filtering and organization. The scores for both digit span blocks used in the main analysis were calculated by dividing the number of successfully recalled sequences by the total number of sequences presented to each participant.

3.2.2. Cognitive Load and Stress Questionnaires

For the self-assessment of cognitive load, the study relied on two items that rated the extent to which participants found the task difficult or mentally effortful, using a 9-point Likert scale (Paas, 1992) [24]. Participants were asked to rate the difficulty with the prompt “Indicate on this scale how difficult you found the task” and assign a numerical value from 1 to 9 after task completion. Similarly, for mental effort, participants were asked, “Indicate on this scale how much mental effort it cost you to complete the task”. A value of 1 indicated an easy task with low mental effort, while a value of 9 indicated a difficult task with high mental effort. These two items were administered in the same order, three times throughout the experiment: after the cognitive depleting task (TMCT), and after the two digit span tasks. The reliability of the scale, measured with Cronbach’s alpha in Paas’ study (1992) [24], was established at α = 0.90.
Stress was measured using the Zuckerman Inventory of Personal Reactions (ZIPERS) [25]. This questionnaire was administered twice in each condition throughout the course of the experiment, the first time after the completion of the first digit span task (in order of time) and the second after the picture-viewing manipulation. The aim was to observe the differential effect of natural and urban scenarios on levels of induced stress. The present study only included the ZIPERS scale measuring stress states. The stress states scores are obtained through responses to 13 items on a 5-point Likert scale. Each item describes the state respondents felt during the preceding experimental phase (e.g., “I felt carefree or playful”, “I felt attentive or concentrating”). Importantly, the questionnaire aimed at measuring scores on 5 different subscales (fear arousal, positive affect, anger and aggression, attentive coping, and sadness). Scores on the 13 5-point items were summed into 5 separate compound scores, that corresponded to the different subscales, according to the instructions found in the development study by Zuckerman (1977) [25]. Internal (split-half) reliability was tested over 10 situations, with coefficients never dropping below α = 0.80 (Zuckerman, 1977) [25]. Test–retest reliability analyses showed a low to moderate coefficient of α = 0.34, this result was predicted as the scale measures provisional stress states. Once again, the E-Studio software came in useful in administering the questions and allowing participants to provide the answers. The software E-Data Aid allowed us to extrapolate the score on each question for every participant.

3.2.3. EEG Recording and Data Preprocessing

Electroencephalographic activity was measured using a BioSemi ActiveTwo system. A set of 32 Ag/AgCl pin electrodes was attached to the scalp through a head cap according to the 10/20 international system. Four additional flat electrodes were used to record the electrooculogram (EOG): two placed above and below the left eye, to measure vertical eye movement, and two positioned on the outer canthi of both eyes, for horizontal eye movement. Moreover, two flat electrodes were placed on the opposite mastoids, and one other electrode was used to record the participants’ heart rate from beneath the rib. The sampling rate was set to 4096 Hz, with a decimation pre-set to 1/8, resulting in an effective sample rate of 512 Hz.
The data were pre-processed with the BrainVision Analyzer 2.0 program. First of all, the data were referenced to the “linked mastoids” (EXG5-EXG6 electrodes). The second step consisted in inspecting the data for abnormal signal ranges. We used the automatic Raw Data Inspector function, that allowed us to apply the same thresholds to all subjects. The Raw Data Inspector is mainly used to detect “flatliners” (channels that did not record any data). Hence, only the scan for “Low Activity” was allowed (below 0.1 μV) for all the channels, except VEOG, HEOG and reference channels. Data were high-passed at 0.1 Hz and low-passed at 60 Hz throughout each channel using an IIR filter. The next step involved the segmentation of the data to compare the wave amplitudes at different points in time in the experiment. Segments were created based on the marker position, for Analyzer to cut the signal around the starting point and ending point of the condition. The segmentation consisted in dividing the signal into five blocks, following the timeline of the experiment, in order, (1) baseline with participants being instructed to keep their eyes open, which lasted 1 min (or two blocks of 30 s); (2) baseline with participants instructed to keep their eyes closed, also lasting 1 min; (3) first administration of the digit span task, that took on average 4.5 min; (4) urban or natural manipulation, of 5 min in total; and (5) second administration of the digit span task, also 5 min on average. This division allowed us to test for differences in the signal in adjacent segments, according to our hypotheses. Once the data were segmented, we dealt with artifacts and bad electrodes using the “Reject Artifacts” function. Every channel except the EOG channels were included in this transformation. To analyze the spectral content of the EEG data we used Fourier transformation. This method translates data from the time domain (temporal changes) into the frequency domain (variations across different frequency bands). To minimize the impact of the edge effects, due to the segmentation being carried out before the Fourier transformation, a Hanning window was applied. The final step involved averaging the data across different time points to reduce noise and identify differences in the signal.
A parallel process was conducted on the heart rate data. A single electrode, positioned below the participant’s left ribcage, was employed to record the signal. Noise was filtered out through the IIR Filter function, with a low cutoff set at 0.1 Hz and a high cutoff at 40 Hz. An additional notch filter was used to remove activity at 50 Hz. The data were subsequently segmented into four portions according to marker positions, following the experimental blocks. These segments resembled the ones that were obtained from the recording of EEG activity, except that no differences in heart rate were expected during baseline based on whether participants had their eyes open or closed. Hence, the segments for this measure were, in order, baseline, first digit span administration, picture viewing and second digit span administration. To extract electrocardiogram (ECG) features from the signal for analysis, we employed the ECG Markers function. This function detected the five standard ECG components (P, Q, R, S, T) based on the positions of the different peaks in the recorded cardiac activity.
After data pre-processing, the figures corresponding to alpha and theta amplitude and heart rate (calculated in beats per minute; bpm) were exported, to allow for statistical analysis. In the case of alpha and theta amplitude, the original data, measured in microvolts (μV), were log-transformed to compensate for skewness of the distribution. To obtain mean amplitude and mean heart rate, the signal was averaged across time for each block and the data extracted for each of the two frequency bands, as well as for the heart rate measurement. This way, we obtained mean alpha, mean theta and mean beats per minute in each individual segment for every electrode site that we retained. Before the main analyses were conducted, we averaged the value we got on each site to obtain a single, more comprehensive, mean amplitude to be compared across phases (in the case of heart rate, this step was not necessary, as we only used one electrode).

3.3. Stimuli and Equipment

Participants were divided into two conditions and presented with a set of 30 pictures of either a natural or an urban environment (Figure 1). To ensure the images were representative of realistic scenarios for the sample population, the pictures were taken in green areas or central neighborhoods of a Dutch city using a 9 MP digital camera. The pictures had a resolution of 3024 × 3024 pixels and were adjusted to a square format to maintain uniformity among the stimuli. Weather conditions, points of observation and luminosity were kept constant to eliminate the potential influence of these factors on mood or attentional processes. The pictures in both conditions were carefully selected to exclude people, as their presence could draw attention and affect the results [26]. During picture presentation, participants were instructed to simply observe the carousel of images as they scrolled. No specific instruction on how to engage with the images was provided. No additional tasks were administered during this phase.
The participants were presented with the pictures, as well as the questionnaires and tests, with E-Studio, from the E-Prime 3.0 package, on a 22″ monitor, with a screen resolution of 1280 × 1024 pixels and a 120,000 Hz refresh rate. The test equipment also included a keyboard and a mouse, to allow participants to record their responses.

3.4. Procedure

Participants were informed about the procedure of the experiment in advance through e-mail. The e-mail contained instructions about the day and time of their reserved session, that required participants to be present at the Erasmus Behavioral Lab at Erasmus University. For the EEG data recording to be carried out successfully, participating students needed to show up with clean and dry hair and should have avoided consuming caffeine before the start of their session, for it could have compromised the results of the heart rate measurement. At the time participants were introduced to the lab, they needed to sign the informed consent form, informing them about the content and the goal of the experiment, as well as its duration and nature. The experiment unfolded in three phases, in the following order: the depletion phase, the manipulation phase and the assessment phase (Figure 2). Before the start of the tasks, students were wired to the BioSemi ActiveTwo equipment; after that, the depletion phase took place. All students, independently of their assigned condition (exposure to natural or urban pictures), completed the TMCT, after the measurement of physiological parameters at baseline. Baseline measurements were recorded with participants being presented an empty screen for the initial two minutes (alternating times when they needed to keep their eyes open with times in which they were asked to keep them closed). After the completion of the TCMT, subjects completed either the forward or the backwards block of the digit span task, based on a counterbalanced order. Subsequently, they were exposed to the manipulation phase. According to their assigned group, participants either viewed 30 pictures of a natural or an urban environment in random order. Each picture remained present on the screen for 10 s. In total, the manipulation phase lasted 5 min. Picture viewing was preceded and followed by the administration of the ZIPERS questionnaire. Next, the experiment proceeded with the assessment phase, in which participants carried out the second digit span block. The TCMT and both digit span blocks were followed by the two self-rating questions concerning the difficulty and the required mental effort in relation to each task just completed. Each phase was introduced by an instructional text informing participants about the questionnaires or tasks about to be administered and the modality of response. Every participant provided their responses to the questionnaires and the tasks with their right hand, according to the setup of the working station, comprising a keyboard and a mouse. Responding to the questionnaires and to the TCMT was possible using the mouse; the digit span tasks required subjects to enter a response with the keyboard. Answers on the TMCT and on the digit span tasks were followed by feedback screens lasting 1000 ms after each trial. At the end of the three phases participants were thanked, disconnected from the BioSemi system, debriefed and dismissed after being given a chance to clean themselves up. This experimental procedure shared similar characteristics with previously cited studies on the restorative effects of nature [1,20,23,26].

3.5. Processing and Statistical Analyses

At the end of data collection, the scores for each of the two conditions included accumulated points in the TMCT, pre- and post-manipulation ZIPERS scores, frontal-midline theta and occipital alpha average power (log-transformed), together with average heart rate (as measured at baseline, during depletion and during manipulation) and proportion of accuracy on the digit span task. Data processing and statistical analyses were all executed in IBM SPSS Statistics 27. The scores obtained were inspected for normality, homogeneity and outlying cases for each condition. Outliers were inspected considering Cook’s distance and standardized residuals. Cases with a Cook’s distance larger than 1 or standardized residuals more extreme than −3 or 3 (in task results and questionnaire scores) were removed. After inspection and data cleaning, a mean score was computed for each measure for both groups.
Differences in heart rate were investigated using a 2 × 4 factorial ANOVA. In this analysis, the two picture conditions were retained as a between-subjects factor, while the four experimental phases (namely, baseline, depletion, manipulation and assessment) functioned as a within-subject factor. Alpha and theta power were the dependent variables of two separate 2 × 5 factorial ANOVAs (one for each wave type). The same factors applied to these twin analyses, with the only difference being the separation of the baseline measurement into a period in which participants kept their eyes open with another one in which they were requested to close them. The aim was to confront differences in signal at different stages of the experiment (using each segment obtained during pre-processing as a measurement point) and at the same stage between groups. Fourteen electrodes out of the original thirty-two were retained for the analysis of variance of both alpha and theta, to infer statistical significance of the differences in signal amplitude. Electrode selection was based on previous studies in the context of research on cognitive load and its effect on the EEG spectrum [3,18,19,27,28]. According to their findings, the desynchronization of the alpha wave following an increase in cognitive load mainly involves the occipital, occipitoparietal and parietocentral regions; on the other hand, a more emphatic increase of theta amplitude, connected to augmented cognitive demands, was observed along the frontal-midline area. Therefore, the fourteen electrodes of interest for the analysis of the alpha wave included C3, CP1, CP5, P3, Pz, PO3, O1, Oz, O2, PO4, P4, CP6, CP2 and C4. The other fourteen, of relevance for comparing theta amplitude, consisted in Fp1, AF3, F7, F3, FC1, FC5, FC6, FC2, F4, F8, AF4, Fp2, Fz and Cz.
Mixed ANOVAs were also the chosen method to observe the hypothesized differences in ZIPERS scores, self-assessed cognitive load and mean accuracy between the two digit span tasks. In the first case, data on the questionnaire were collected on two occasions, namely after the depletion and after the manipulation. In the second, the scores on cognitive load reports after each one of the digit span blocks were considered for the main analysis.
In all factorial ANOVAs, Bonferroni-corrected post hoc comparisons were applied to test the hypotheses that working memory load and stress are higher in the urban, compared to the natural, condition. In order to infer the validity of the bioindicators, the associations between stress self-reports and heart rate and between alpha/theta power, memory performance and self-rated cognitive load were measured using bivariate correlations. If the physiological data were a valid indication of the level of cognitive load and stress, we would expect a significant linear association between biomarkers, task performance and subjective ratings. A significance level of α = 0.05 will be chosen for every statistical test.

4. Results

4.1. Descriptive Statistics

The descriptive statistics for each of the two conditions on every dependent variable in the experimental phases are reported in Table 1. An overview of the physiological measurements at baseline is found in Appendix A (Table A1).

4.2. Physiological Measures of Stress and Cognitive Load

To measure the effect of depletion and environmental restoration on physiological indicators of cognitive load, this study focused on the difference in average alpha and theta wave amplitude between the two conditions. The results of the ANOVA conducted on the alpha signal showed no effect of condition F(1, 56) = 0.35, p = 0.556 ηp2 = 0.01. However, a main effect of phase was found F(2.72, 152.06) = 106.22, p < 0.001, ηp2 = 0.66 (Figure A2). From the post hoc pairwise comparisons, it emerged that, in the natural condition, alpha amplitude significantly decreased from baseline to the depletion phase, as expected. Subsequently, we observed a significant increase during the manipulation compared to the depletion phase. Finally, alpha power in the natural condition decreased again as a result of increased cognitive load demands in the assessment phase; once again, this last difference was significant. Similar fluctuations in alpha power were observed among participants in the urban condition. In this group, alpha wave amplitude decreased from baseline to the depletion phase, followed by an increase during the manipulation phase, and then a subsequent decrease from manipulation to assessment. All observed differences in the urban group were statistically significant (a more detailed outline of this section, mean differences and significance level are reported in Table A2). The interaction effect between condition and phase was not significant F(2.72, 151.06) = 2.56, p = 0.063, ηp2 = 0.04.
The other analysis of variance aimed at inferring differences in theta frequency amplitude. Similarly to the previous analysis, participants in the natural and in the urban conditions did not differ in their average theta amplitude F(1, 56) = 0.12, p = 0.730 ηp2 < 0.01. However, the average signal of the two groups was significantly affected by experimental phase F(3.46, 193.99) = 37.89, p < 0.001, ηp2 = 0.40 (Figure A2). In the natural group, post hoc pairwise comparisons highlighted a more pronounced theta amplitude in the depletion phase compared to baseline; this increase was significant. Theta amplitude then followed a decreasing tendency during the manipulation phase and a subsequent increase while participants completed the second digit span block, that is, during the assessment phase; the last two effects described were not significant. Theta frequency amplitude followed a similar trend in participants in the urban condition. Among those in this group, frontal-midline theta activity significantly increased from baseline to the depletion phase. The decrease observed during manipulation and the increase that occurred during assessment both fell below the significance level (mean difference values are reported in Table A3). In this case too, we encountered a non-significant interaction effect between condition and phase, meaning that the difference in signal between the two conditions did not change as an effect of phase F(3.46, 193.99) = 1.76, p = 0.148, ηp2 = 0.03. For the heart rate measurement we encountered an increase (across both conditions) in beats per minute in the depletion phase compared to baseline. This effect was then followed by a decrease in bpm during picture viewing and a second increase in the assessment phase. Analysis of contrasts revealed a significant cubic effect of phase on bpm, F(1, 49) = 49.66, p < 0.001, ηp2 = 0.50, but no effect of picture condition F(1, 49) = 0.26, p = 0.612 ηp2 < 0.01 (Table A3).

4.3. Cognitive Performance

A third 2 × 2 ANOVA was used to infer the difference in digit span performance between the two groups after the depletion and after the manipulation. Hence, here we used condition as a between-subjects factor and time as a within-subject factor. Results showed neither main effects of picture condition, F(1, 58) = 1.22, p = 0.274, ηp2 = 0.02, nor time, F(1, 58) = 0.60, p = 0.442, ηp2 = 0.01, nor an interaction effect between picture condition and time F(1, 58) = 1.92, p = 0.171, ηp2 = 0.03. These results illustrate that digit span performance did not change as a factor of time and that participants in the natural condition did not score on average higher nor lower than those in the urban condition on digit span accuracy. Lastly, there was no difference in scores from a measurement point to the other in either of the groups.

4.4. Subjective Reports of Stress and Cognitive Load

Statistical significance of the ZIPERS questionnaire difference scores was inferred by a series of mixed 2 × 2 ANOVA designs, with picture condition as a between-subjects factor and time as a within-subject factor. ANOVAs were carried out on each of the five subscales making up the questionnaire.
The only subscale that presented a significant difference between conditions was positive affect, with participants in the natural condition scoring 2.06 points higher on average than their counterparts in the urban condition (F(1, 59) = 10.44, p = 0.002, 95% CI [0.79, 3.34]). Additionally, we observed changes in scores in all subscales, except sadness, between the first and the second measurement time. Fear arousal decreased by 2.11 points on average (F(1, 57) = 61.56, p < 0.001, 95% CI [1.57, 2.65]); similarly, anger and aggression showed a 2.07-point decrease (F(1, 55) = 40.60, p < 0.001, 95% CI [1.42, 2.72]). Positive affect increased by 2.02 points (F(1, 59) = 17.76, p < 0.001, 95% CI [−2.97, −1.06]), while attentive coping underwent the largest decrease with 2.65 points (F(1, 59) = 96.44, p < 0.001, 95% CI [2.11, 3.19]). The interaction effect between measurement time and condition was significant in two out of five cases, namely in positive affect, F(1, 59) = 23.06, p < 0.001, ηp2 = 0.23, and anger and aggression F(1, 55) = 5.25, p = 0.026, ηp2 = 0.09. In these two cases the difference in scores between conditions was dependent on measurement time. Scores were adjusted for multiple comparisons using the Bonferroni correction.
The 2 × 2 ANOVA designs were used to investigate the difference in cognitive load self-reports. On this occasion, we kept the same two conditions as a between-subjects factor and time as a within-subject factor. Even though participants were asked to assess their cognitive load on three occasions, namely after the depletion task and after each one of the two digit spans, only the scores on the last two assessments were included in the analysis. That is because we were mainly interested in the difference in cognitive load resulting from the manipulation. The analysis was performed on the two subscales measuring perceived task difficulty and invested mental effort. Participants in the natural and in the urban conditions did not report any significant difference in scores on difficulty, F(1, 58) = 0.02, p = 0.880, ηp2 = 0.00, nor on mental effort F(1, 58) = 0.50, p = 0.481, ηp2 = 0.01. On the former, scores did not differ as an effect of time F(1, 58) = 1.16, p = 0.287, ηp2 = 0.02. The interaction effect between condition and time in the difficulty subscale was not significant F(1, 58) = 0.01, p = 0.915, ηp2 = 0.00. Similar results were obtained from the analysis of the mental effort subscale, where time did not exert a significant effect on the scores, F(1, 58) = 1.67, p = 0.201, ηp2 = 0.03, and the interaction effect between the between- and the within-subject factors remained below the significance level F(1, 58) = 0.42, p = 0.839, ηp2 = 0.00. In these cases as well, Bonferroni correction was applied to adjust for multiple comparisons.

4.5. Associations Between Physiological Measurements, Digit Span Performances and Subjective Ratings

We used Pearson correlations to infer the strength and direction of associations between the variables in our analyses. The bivariate correlations between alpha and theta amplitudes and digit span performance during the depletion phase were inconclusive, as were the associations between these brain oscillations and self-reported cognitive load. In addition, no significant correlations were found between heart rate and digit span accuracy or between heart rate and any of the pre-manipulation ZIPERS subscales. Heart rate did not appear to reliably predict any of the ZIPERS scores obtained after the environmental manipulation (Figure A1).
In the assessment phase, the bivariate correlation analyses also revealed no significant associations between self-reports, performance measurements and mean alpha and theta amplitudes in either condition. However, among participants in the natural condition, digit span accuracy correlated negatively with self-reported task difficulty, depicting a moderate effect (r = −0.607, p < 0.001), while in the urban condition, digit span accuracy showed a mild to moderate negative correlation with perceived mental effort (r = −0.350, p = 0.05). Correlation tables highlighting all the described relationships are reported in Appendix E.

5. Discussion

The main question this research aimed to answer was whether posterior alpha and frontal theta activities are sensitive to WM demands and whether these could be alleviated by observing natural scenery. The role of stress was also considered as a paradigm to possibly explain the effect. The motivation behind this research was to extend the current understanding of the role that natural and urban environments can play in learning and memory performance, as proposed by ART by Kaplan (1995) and SRT by Ulrich (1981) [2,3]. The results indicated an absence of a significant difference between the group exposed to natural environments and the group exposed to urban environments across all measures of cognitive load. This suggests either a lack of the expected effect from the environmental type or excessive similarity between the two types of stimuli. It is possible that the selected scenario for the manipulation phase did not possess certain characteristics necessary for modulating directed attention. However, self-reported measures of stress highlighted a significant increase in positive affect in the natural environment condition compared to the urban environment condition. Differences in heart rate, fear arousal, attentive coping, anger and aggression and sadness remained below significance levels.

5.1. Cognitive Repletion Through Environmental Exposure, the Role of Brain Oscillations and Alternative Explanations

One of the practical aims of this paper was to bridge the findings that support the notion that exposure to a restorative environment, such as a natural environment, can benefit a range of cognitive functions and well-being [2,3,23] with those that highlight the role of alpha and theta oscillations in modulating these cognitive functions and emotional states, such as elevated stress [6,18,19]. The study design aimed to provide psychophysiological data as real-time measures of cognitive load and stress, thereby validating subjective reports typically used in most studies on the topic.
To understand the role of the alpha and theta frequencies in EEG spectrum analysis, we refer to the findings of Klimesch and colleagues (1999) [6] on the functional significance of these two waves. According to their review, alpha oscillations observed at posterior sites are associated with a cognitive state of “relaxed wakefulness” and tend to synchronize with decreased mental workload [6]. Conversely, theta oscillations, observable at frontal sites (particularly on the “frontal midline”), are most prominent when a subject is engaged in focused attention [6,19]. Understanding the function of these parameters is crucial for interpreting our results within the context of Kaplan’s ART (1995) [2]. Kaplan’s theory highlights the restorative characteristics of natural environments, proposing that these environments capture involuntary attention—a cognitive mechanism requiring no effort. When observers are in a state of effortless attention, their cognitive functions requiring focused effort are allowed to rest. However, the analysis of the spectral components of the EEG and heart rate in the present research did not reveal a significant restorative effect from exposure to a natural environment. These results stand in marked contrast to those reported in the existing literature [1,20,23,26].
Berman and colleagues (2008) [1] investigated the restorative role of nature on cognitive functioning, finding support for Kaplan’s ART through consistent differences on performances on a backward digit span task and restorative experience self-ratings between participants that observed natural scenery and those that did not. In a second study, conducted within the same research, they tested the assumption that the characteristic peacefulness of natural environments would bring about the restorative effect they observed. They reached the conclusion that peacefulness could not be retained as the decisive factor, as participants observing different scenes in the same laboratory settings registered significantly different scores on the dependent variables, highlighting, once again, the restorative characteristics of natural scenery. Similar findings were replicated by van Oordt et al. (2022) [23], who used research settings similar to the present study. Van Oordt and colleagues also aimed at corroborating Kaplan’s framework by testing WM capacity. They found significantly different performance on a digit span task between participants exposed to natural scenery and those who observed an urban or a third control setting. In the studies by Grassini et al. (2019) [26] and Chen et al. (2020) [20], these results were substantiated by EEG spectral analysis, in addition to participants’ self-reports and performance evaluations. Grassini and colleagues observed a positive increase in alpha wave power, associated with increased relaxation, when participants viewed static images of natural scenery. Conversely, the theta band showed a decrease in power while viewing the same scenes, which they connected with a decreased state of arousal. Chen and associates (2020) [20] found an increased activity in the alpha band in the occipital lobes elicited by exposure to a restorative natural environment.
The results of the present research indicated that both the natural and urban manipulations were effective in reducing fear arousal, anger and aggression, while also increasing attentive coping, as demonstrated by the analysis of the ZIPERS scores. Additionally, the natural condition significantly increased positive affect, with participants in this condition reporting feeling more carefree, affectionate or elated and more likely to act friendly compared to participants in the urban condition [25]. Both conditions also appeared to decrease heart rate, an indicator of reduced stress arousal and anxiety [3]. However, definite conclusions about the causal relationship between environmental exposure and a reduction of stress cannot be drawn, due to the absence of a proper control group. The effect might have been brought about by simple rest from a working period. During the manipulation, in both the natural and the urban group, we were also able to observe an increase in alpha wave amplitude. To interpret this result in the context of our findings, we turn once again to previous studies investigating the functional significance of alpha wave suppression [3,6,28]. Ulrich (1981) [3] had used alpha wave amplitude as an operationalization of stress, describing it as a valid measure of cortical arousal, that correlates with states of alertness, showing a negative association with physiological arousal and feelings of anxiety. Following his definition, we could interpret the increase in alpha activity found during the manipulation phase as a reflection of a decreased state of anxiety and reduced physiological arousal. This interpretation is backed up by the results reported above of the ZIPERS stress questionnaire and heart rate measurement. It is, once again, important to keep in mind that it is, at present, not possible to attribute this effect to the exposition to environmental sceneries, as a no-condition control group was not included in the design. Klimesch (1999) [6] and Gevins and colleagues (1997) [28] found alpha wave amplitude to reflect directed attention and to be sensitive to WM demands and cognitive load. In order to reach a similar conclusion, we would have expected the increase in alpha amplitude observed during the manipulation phase to be accompanied by better performance on the second digit span block, as compared to the first, and a decrease in self-reported cognitive load, other than by a significant decrease in theta amplitude during said phase. The mentioned results were not observed in the present study. Hence, we cannot propose a decrease in cognitive load during the manipulation, despite the increase in alpha amplitude.
As mentioned in the opening section of the Discussion, we failed to replicate the positive effects of natural environments reported in previous research on the topic. The mixed ANOVAs that we used to compare our participants in the two different groups did not reveal any restorative effect of exposure to a natural environment, as opposed to an urban one. One possible explanation for the absence of this effect, aside from the argument that such an effect might not exist, is that environments may need to differ significantly on various parameters to elicit differential effects on stress and cognitive load. In his 1995 review of empirical findings in support of ART, Kaplan discusses several components that distinguish restorative environments from non-restorative ones. These components retained their importance in eliciting cognitive rest through the previously described mechanism. In the first place, nature provides a sense of “being away”; secondly, natural scenery elicits what is called “fascination”, which is characteristic of those environments that can capture attention but in an undramatic way. When in a state of fascination, the observer is relieved from effortful attention and is, then, free to think of other things. The third component listed by Kaplan is “extent”. Extent is typical of natural areas, even if they do not include vast extensions of land. Many natural environments contain elements (e.g., paths and trails) that provide the feeling of being in a much more extended area than one actually is. Kaplan calls this feeling a “connection to a larger world”. The fourth and last element that allows cognitive rest in a natural environment is referred to as “compatibility”. This last principle asserts that there exists a special resonance between natural settings and human beings. This is due to the fact that, for many people, functioning in the natural environment is perceived as much less effortful than functioning in an urban setting, despite the greater familiarity with the latter [2]. A similar description of visual properties influencing aesthetic preference and interest is also found in a review by Ulrich (1983) [12]; these visual properties are thought to be related to more specific mechanisms occurring within the affective response process of people interacting with a given environment. Environments can differ in their complexity and structural properties. Complexity refers to the number of independently perceived elements in a scene [29]. Similarly, structural properties pertain to the extent to which an environment is structured in patterns. Another variable that enriches this framework is the notion of focality, that refers to the degree to which a scene contains a focal point [30]. Next, Ulrich describes ground surface texture as a landscaped feature that can modulate preference. Lastly, environments are categorized as containing, or not containing, elements of threat or risk. In terms of these properties, a particular environment should elicit higher preference if it shows moderate complexity (if complexity is too high or too low, preference tends to decline), has structural properties that include a focal point and other examples of patterning or clustering, the ground surface texture is homogeneous and elements of threat or tension are negligible or absent. In addition to these properties, preference can also increase as a function of depth, presence of a deflected vista and presence of water [12]. The material in the present study was produced and selected in order to prioritize ecological validity over a representation of two qualitatively distinct environments. The motivation that guided selection was to directly confront natural elements and urban ones to enquire whether the simple presence of these elements in an observed scene could bring about the desired replenishing effect. As a result, elements of threat or tension (e.g., traffic, large crowds, garbage, etc.) were omitted. Both conditions presented a diverse array of either urban or natural elements, with the intent of building up a more comprehensive picture sample. A side effect of this approach could have been the reduction of highly preferred elements (e.g., water) to a minimum or insufficient amount. Finally, picture complexity, depth and texture homogeneity were not inferred.
Ulrich had already hinted at the role that preference plays in the affective reaction to different types of environments in his paradigm-defining paper of 1981 [3]. On that occasion, he observed a difference in relaxed wakefulness, operationalized as alpha wave amplitudes, between participants observing vegetation and water scenes and those observing urban scenes. Ulrich was interested in observing differences in alpha amplitude as correlates of feelings of anxiety and stress arousal. However, our psychophysiological data, which appear to challenge Ulrich’s conclusions, suggest that there is no differential effect of the type of environment on stress arousal. Our heart rate analysis, like Ulrich’s research, showed no significant differences between groups, suggesting that physiological responses to environmental exposure may vary based on individual characteristics, previous emotional state, personality and daily experiences. This explanation finds support in the research of Zajonc (1980) [11], which proposes that affective reactions, like the ones considered in this framework, do not depend on cognition. According to Zajonc’s theory [11], the first stage of response to a stimulus is characterized by global affects related to preferences. In other words, the quality and intensity of the affective reactions are subjected to the influence of internal states of the observer, together with previous experiences of the observer with stimuli of the same class [12]. With these facts in mind, we suggest that future research includes participants’ preferences, as well as a more thorough examination of the aesthetic characteristics of the environment, in the theoretical model. Techniques that might be useful in guiding the aesthetic assessment include multiscale entropy (MSE) and monocular depth estimation (MDE). This approach may help clarify the complex interactions between environment type and affective responses.

5.2. Limitations

The first limitation to address is the lack of a true control group in the study design. Ideally, this control group would have been exposed to neutral scenery to test the causal assumption that environmental settings can regulate stress arousal, as demonstrated by previous results [23]. The choice of a two-condition design in the present study was motivated by the expected sample size and power analysis. Furthermore, it was beyond the scope of this study to investigate the effects of specific components or aesthetic qualities of each environment, which might be central in evoking the hypothesized affective response and cognitive repletion. Instead, the methodological choice was to provide participants with ecologically valid stimuli. Since the sample was recruited from a population of students from the Dutch city of Rotterdam, the pictures selected for the manipulation were taken from the same area. The original idea was to test the restorative (or depleting) effects of the participants’ habitual environment. We ensured that the pictures in both conditions did not contain elements that could influence affective reactions or appraisals through different mechanisms (e.g., people, traffic, advertisement), in an effort to directly contrast nature with urban settings. Future research should address the cognitive and affective responses elicited by scenery that differ in the domains described by Ulrich (1983) [12] and Kaplan (1995) [2]. Another methodological improvement be the use of techniques that allow observation of the specific elements participants pay attention to (e.g., eye tracking), to better understand how these elements affect the processes of interest.

6. Conclusions

In conclusion, the results showed that both urban and natural pictures elicited correlates of reduced stress and anxiety, as evidenced by a significant increase in alpha wave amplitude and a significant reduction in heart rate during picture viewing. However, we cannot conclude that these desirable effects were caused by the presentation of environmental pictures, as the study did not include a control group to test this hypothesis. Concerning the difference in activation between the urban and the natural group, we did not find any effect of type of environment on the restoration of WM. Although participants in the natural group reported feeling significantly more carefree, affectionate or elated, and more likely to act friendly than those in the urban group, we cannot recommend it for a general reduction in stress due to the inconclusiveness of the majority of the stress measures. Participants in the natural group did not perform better on a post-manipulation digit span task, nor did they report greater cognitive load or demonstrate greater stress, than the urban group, as hypothesized. Analyses of variance of heart rate and alpha/theta band power did not produce significant results with regard to the differences between the two groups, in contrast to findings from previous research [1,20]. We speculate that the hypothesized effects are only elicited by environments that differ on specific parameters (e.g., fascination, presence of threats). Future research is encouraged to investigate the influence of these parameters in more depth.

Author Contributions

Conceptualization, L.C., K.O. and F.P.; methodology, L.C., K.O. and F.P.; formal analysis, L.C.; investigation, L.C.; resources, L.C.; data curation, L.C. and K.O.; writing—original draft preparation, L.C. and K.O.; writing—review and editing, K.O. and F.P.; visualization, L.C.; supervision, K.O. and F.P.; project administration, L.C. All authors have read and agreed to the published version of the manuscript.

Funding

This research received no external funding.

Institutional Review Board Statement

The study was conducted in accordance with the Declaration of Helsinki and approved by the Institutional Review Board (or Ethics Committee) of Erasmus University Rotterdam (protocol code ETH2223-0666, June 2023).

Informed Consent Statement

Informed consent was obtained from all subjects involved in the study.

Data Availability Statement

The original data presented in the study are openly available in PsychArchives at https://doi.org/10.23668/psycharchives.15015).

Acknowledgments

We express our gratitude to the Erasmus Behavioral Lab for their support with preparing and conducting the research and Kristel de Groot for her assistance in the data analysis. We wish to honor the memory of our first author, Lorenzo Consalvi, whose talent and kind spirit profoundly shaped this work. Lorenzo passed away shortly after completing the revisions for this manuscript, and we dedicate this article to his lasting contribution and enthusiasm for this field.

Conflicts of Interest

The authors declare no conflicts of interest.

Appendix A

Table A1. Baseline measurement for alpha and theta (log-transformed) and heart rate (bpm).
Table A1. Baseline measurement for alpha and theta (log-transformed) and heart rate (bpm).
NaturalUrban
M (SD)M (SD)
Alpha (eyes open) 1.35 (0.86)1.58 (0.91)
Alpha (eyes closed)2.00 (0.93)2.23 (0.88)
Theta (eyes open)1.33 (0.72)1.37 (0.63)
Theta (eyes closed)1.17 (0.68)1.28 (0.64)
Heart rate73.36 (9.52)71.96 (9.11)

Appendix B

Table A2. Mean Differences in Alpha Amplitude Between the Different Phases.
Table A2. Mean Differences in Alpha Amplitude Between the Different Phases.
NaturalUrban
Phase (I)Phase (J)Mean Difference (I-J) bPhase (I)Phase (J)Mean Difference (I-J)
12−0.643 *12−0.665 *
30.052 30.242 *
4−0.211 * 4−0.067
5−0.011 50.156
210.643 *210.665 *
30.695 * 30.907 *
40.432 * 40.598 *
50.632 * 50.821 *
31−0.05231−0.242 *
2−0.695 * 2−0.907 *
4−0.264 * 4−0.309 *
5−0.063 5−0.086
410.211 *410.067
2−0.432 * 2−0.598 *
30.264 * 30.309 *
50.201 * 50.223 *
510.01151−0.156
2−0.632 * 2−0.821 *
30.063 30.086
4−0.201 * 4−0.223 *
Note. The numbers correspond to the phases in order of completion (1 = baseline with eyes open; 2 = baseline with eyes closed; 3 = depletion; 4 = manipulation; 5 = assessment). *. Mean difference significant at the 0.05 level. b. Adjustment for multiple comparisons: Bonferroni.
Table A3. Mean Differences in Theta Amplitude Between the Different Phases.
Table A3. Mean Differences in Theta Amplitude Between the Different Phases.
NaturalUrban
Phase (I)Phase (J)Mean Difference (I-J) bPhase (I)Phase (J)Mean Difference (I-J)
120.162 *120.096
3−0.177 * 3−0.109 *
4−0.152 * 4−0.089
5−0.215 * 5−0.170 *
21−0.162 *21−0.096
3−0.339 * 3−0.205 *
4−0.314 * 4−0.185 *
5−0.377 * 5−0.266 *
310.177 *310.109 *
20.339 * 20.205 *
40.025 40.020
5−0.038 5−0.061
410.152 *410.089
20.314 * 20.185 *
3−0.025 3−0.020
5−0.064 5−0.081
510.215 *510.170 *
20.377 * 20.266 *
30.038 30.061
40.064 40.081
Note. The numbers correspond to the phases in order of completion (1 = baseline with eyes open; 2 = baseline with eyes closed; 3 = depletion; 4 = manipulation; 5 = assessment). *. Mean difference significant at the 0.05 level. b. Adjustment for multiple comparisons: Bonferroni.

Appendix C

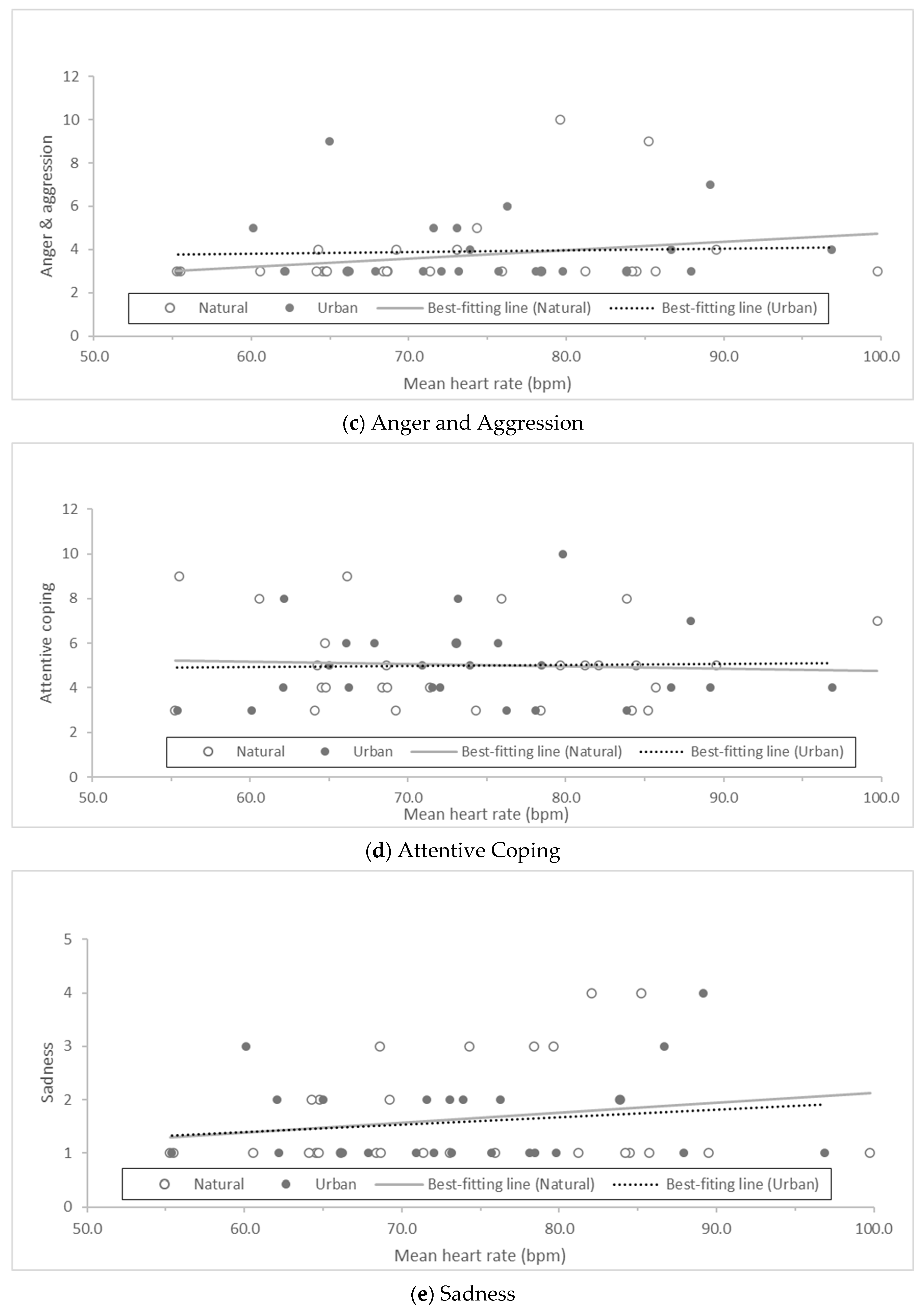
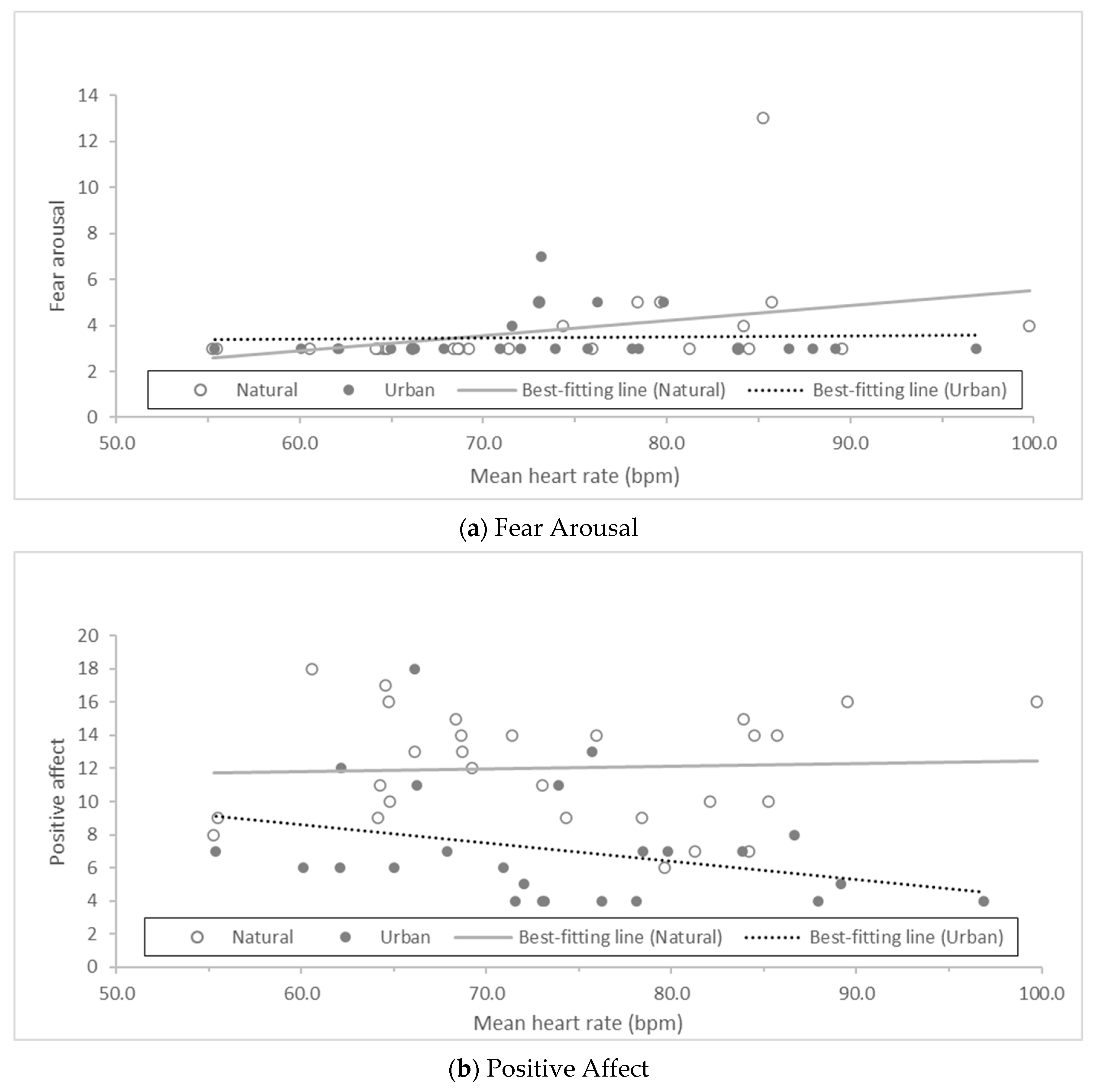
Figure A1. Linear Associations Between Heart Rate and Post-Manipulation ZIPERS Subscores.
Figure A1. Linear Associations Between Heart Rate and Post-Manipulation ZIPERS Subscores.
Education 14 01204 g0a1aEducation 14 01204 g0a1b
Figure A2. Note. Error bars represent standard errors of the mean.
Figure A2. Note. Error bars represent standard errors of the mean.
Education 14 01204 g0a2

Appendix D

Figure A3. Pictures used in the manipulation phase for the natural condition.
Figure A3. Pictures used in the manipulation phase for the natural condition.
Education 14 01204 g0a3aEducation 14 01204 g0a3bEducation 14 01204 g0a3c
Figure A4. Pictures used in the manipulation phase for the urban condition.
Figure A4. Pictures used in the manipulation phase for the urban condition.
Education 14 01204 g0a4aEducation 14 01204 g0a4bEducation 14 01204 g0a4c

Appendix E

Table A4. Pearson Correlations Between Alpha, Theta, Digit Span Performance and Cognitive Load Self-Reports in the Depletion Phase.
Table A4. Pearson Correlations Between Alpha, Theta, Digit Span Performance and Cognitive Load Self-Reports in the Depletion Phase.
AlphaThetaDigit SpanMental EffortDifficulty
AlphaPearson Correlation10.801 **−0.0140.1970.001
Sig. (2-tailed) <0.0010.9140.1340.996
ThetaPearson Correlation0.801 **1−0.1360.1760.022
Sig. (2-tailed)<0.001 0.3050.1820.868
Digit spanPearson Correlation−0.014−0.1361−0.115−0.283 *
Sig. (2-tailed)0.9140.305 0.3770.027
Mental effortPearson Correlation0.1970.176−0.11510.639 **
Sig. (2-tailed)0.1340.1820.377 <0.001
DifficultyPearson Correlation0.0010.022−0.283 *0.639 **1
Sig. (2-tailed)0.9960.8680.027<0.001
* Correlation is significant at the 0.05 level (2-tailed). ** Correlation is significant at the 0.01 level (2-tailed).
Table A5. Pearson Correlation Between Heart Rate, Digit Span Performance and ZIPERS Subscales Scores in the Depletion Phase.
Table A5. Pearson Correlation Between Heart Rate, Digit Span Performance and ZIPERS Subscales Scores in the Depletion Phase.
Heart RateDigit SpanFear ArousalPositive AffectAnger and AggressionAttentionSadness
Heart RatePearson Correlation10.0160.0720.093−0.056−0.0410.016
Sig. (2-tailed) 0.9110.6120.5120.6910.7730.909
Digit SpanPearson Correlation0.0161−0.042−0.006−0.288 *0.421 **−0.283 *
Sig. (2-tailed)0.911 0.7480.9610.0250.0010.027
Fear ArousalPearson Correlation0.072−0.04210.0880.234−0.0150.169
Sig. (2-tailed)0.6120.748 0.5010.0700.9100.194
Positive AffectPearson Correlation0.093−0.0060.0881−0.0690.057−0.003
Sig. (2-tailed)0.5120.9610.501 0.5990.6610.984
Anger and AggressionPearson Correlation−0.056−0.288 *0.234−0.0691−0.426 **0.287 *
Sig. (2-tailed)0.6910.0250.0700.599 0.0010.025
AttentionPearson Correlation−0.0410.421 **−0.0150.057−0.426 **1−0.430 **
Sig. (2-tailed)0.7730.0010.9100.6610.001 0.001
SadnessPearson Correlation0.016−0.283 *0.169−0.0030.287 *−0.430 **1
Sig. (2-tailed)0.9090.0270.1940.9840.0250.001
* Correlation is significant at the 0.05 level (2-tailed). ** Correlation is significant at the 0.01 level (2-tailed).
Table A6. Pearson Correlation Between Heart Rate and ZIPERS Subscales Scores in the Manipulation Phase.
Table A6. Pearson Correlation Between Heart Rate and ZIPERS Subscales Scores in the Manipulation Phase.
Heart RateFear ArousalPositive AffectAnger and AggressionAttentionSadness
Heart RatePearson Correlation10.253−0.0990.160−0.0220.191
Sig. (2-tailed) 0.0740.4850.2620.8740.176
Fear ArousalPearson Correlation0.2531−0.1620.499 **−0.0760.424 **
Sig. (2-tailed)0.074 0.216<0.0010.5650.001
Positive AffectPearson Correlation−0.099−0.1621−0.322 *0.237−0.236
Sig. (2-tailed)0.4850.216 0.0120.0660.067
Anger and AggressionPearson Correlation0.1600.499 **−0.322 *1−0.2220.662 **
Sig. (2-tailed)0.262<0.0010.012 0.089<0.001
AttentionPearson Correlation−0.022−0.0760.237−0.2221−0.290 *
Sig. (2-tailed)0.8740.5650.0660.089 0.024
SadnessPearson Correlation0.1910.424 **−0.2360.662 **−0.290 *1
Sig. (2-tailed)0.1760.0010.067<0.0010.024
* Correlation is significant at the 0.05 level (2-tailed). ** Correlation is significant at the 0.01 level (2-tailed).
Table A7. Pearson Correlations Between Alpha, Theta, Digit Span Performance and Cognitive Load Self-Reports in the Assessment Phase (Divided by Condition).
Table A7. Pearson Correlations Between Alpha, Theta, Digit Span Performance and Cognitive Load Self-Reports in the Assessment Phase (Divided by Condition).
ConditionAlphaThetaDigit SpanMental EffortDifficulty
NaturalAlphaPearson Correlation10.800 **0.013−0.095−0.093
Sig. (2-tailed) <0.0010.9490.6300.636
ThetaPearson Correlation0.800 **1−0.101−0.042−0.133
Sig. (2-tailed)<0.001 0.6090.8320.501
Digit SpanPearson Correlation0.013−0.1011−0.129−0.337
Sig. (2-tailed)0.9490.609 0.5040.074
Mental EffortPearson Correlation−0.095−0.042−0.12910.709 **
Sig. (2-tailed)0.6300.8320.504 <0.001
DifficultyPearson Correlation−0.093−0.133−0.3370.709 **1
Sig. (2-tailed)0.6360.5010.074<0.001
UrbanAlphaPearson Correlation10.813 **−0.0540.403 *0.058
Sig. (2-tailed) <0.0010.7720.0250.755
ThetaPearson Correlation0.813 **1−0.2200.356 *0.138
Sig. (2-tailed)<0.001 0.2350.0490.460
Digit SpanPearson Correlation−0.054−0.2201−0.162−0.279
Sig. (2-tailed)0.7720.235 0.3770.122
Mental EffortPearson Correlation0.403 *0.356 *−0.16210.587 **
Sig. (2-tailed)0.0250.0490.377 <0.001
DifficultyPearson Correlation0.0580.138−0.2790.587 **1
Sig. (2-tailed)0.7550.4600.122<0.001
** Correlation is significant at the 0.01 level (2-tailed). * Correlation is significant at the 0.05 level (2-tailed).

References

  1. Berman, M.G.; Jonides, J.; Kaplan, S. The cognitive benefits of interacting with nature. Psychol. Sci. 2008, 19, 1207–1212. [Google Scholar] [CrossRef] [PubMed]
  2. Kaplan, S. The restorative benefits of nature: Toward an integrative framework. J. Environ. Psychol. 1995, 15, 169–182. [Google Scholar] [CrossRef]
  3. Ulrich, R.S. Natural versus urban scenes: Some psychophysiological effects. Environ. Behav. 1981, 13, 523–556. [Google Scholar] [CrossRef]
  4. Ulrich, R.S.; Simons, R.F.; Losito, B.D.; Fiorito, E.; Miles, M.A.; Zelson, M. Stress recovery during exposure to natural and urban environments. J. Environ. Psychol. 1991, 11, 201–230. [Google Scholar] [CrossRef]
  5. Antonenko, P.; Paas, F.; Grabner, R.; van Gog, T. Using electroencephalography to measure cognitive load. Educ. Psychol. Rev. 2010, 22, 425–438. [Google Scholar] [CrossRef]
  6. Klimesch, W. EEG alpha and theta oscillations reflect cognitive and memory performance: A review and analysis. Brain Res. Rev. 1999, 29, 169–195. [Google Scholar] [CrossRef] [PubMed]
  7. Sweller, J.; van Merriënboer, J.J.; Paas, F. Cognitive architecture and instructional design: 20 years later. Educ. Psychol. Rev. 2019, 31, 261–292. [Google Scholar] [CrossRef]
  8. Chen, O.; Castro-Alonso, J.C.; Paas, F.; Sweller, J. Extending cognitive load theory to incorporate working memory resource depletion: Evidence from the spacing effect. Educ. Psychol. Rev. 2018, 30, 483–501. [Google Scholar] [CrossRef]
  9. Kaplan, S.; Berman, M.G. Directed attention as a common resource for executive functioning and self-regulation. Perspect. Psychol. Sci. 2010, 5, 43–57. [Google Scholar] [CrossRef]
  10. Lazarus, R.S.; Kanner, A.D.; Folkman, S. Emotions: A cognitive–phenomenological analysis. Theor. Emot. 1980, 1980, 189–217. [Google Scholar] [CrossRef]
  11. Zajonc, R.B. Feeling and thinking: Preferences need no inferences. Am. Psychol. 1980, 35, 151–175. [Google Scholar] [CrossRef]
  12. Ulrich, R.S. Aesthetic and affective response to natural environment. Behav. Nat. Environ. 1983, 6, 85–125. [Google Scholar] [CrossRef]
  13. Ratcliffe, E.; Gatersleben, B.; Sowden, P.T. Bird sounds and their contributions to perceived attention restoration and stress recovery. J. Environ. Psychol. 2013, 36, 221–228. [Google Scholar] [CrossRef]
  14. Cowan, N. The magical number 4 in short-term memory: A reconsideration of mental storage capacity. Behav. Brain Sci. 2001, 24, 87–114. [Google Scholar] [CrossRef]
  15. Diamond, A. Executive functions. Annu. Rev. Psychol. 2013, 64, 135–168. [Google Scholar] [CrossRef]
  16. Gazzaley, A.; Nobre, A.C. Top-down modulation: Bridging selective attention and working memory. Trends Cogn. Sci. 2012, 16, 129–135. [Google Scholar] [CrossRef]
  17. Klein, K.; Boals, A. The relationship of life event stress and working memory capacity. Appl. Cogn. Psychol. Off. J. Soc. Appl. Res. Mem. Cogn. 2001, 15, 565–579. [Google Scholar] [CrossRef]
  18. Klimesch, W.; Schack, B.; Sauseng, P. The functional significance of theta and upper alpha oscillations. Exp. Psychol. 2005, 52, 99–108. [Google Scholar] [CrossRef]
  19. Inanaga, K. Frontal midline theta rhythm and mental activity. Psychiatry Clin. Neurosci. 1998, 52, 555–566. [Google Scholar] [CrossRef]
  20. Chen, Z.; He, Y.; Yu, Y. Attention restoration during environmental exposure via alpha-theta oscillations and synchronization. J. Environ. Psychol. 2020, 68, 101406. [Google Scholar] [CrossRef]
  21. Bowler, D.E.; Buyung-Ali, L.M.; Knight, T.M.; Pullin, A.S. A systematic review of evidence for the added benefits to health of exposure to natural environments. BMC Public Health 2010, 10, 1–10. [Google Scholar] [CrossRef] [PubMed]
  22. Kirschbaum, C.; Pirke, K.M.; Hellhammer, D.H. The ‘Trier Social Stress Test’—A tool for investigating psychobiological stress responses in a laboratory setting. Neuropsychobiology 1993, 28, 76–81. [Google Scholar] [CrossRef] [PubMed]
  23. Van Oordt, M.; Ouwehand, K.; Paas, F. Restorative effects of observing natural and urban scenery after working memory depletion. Int. J. Environ. Res. Public Health 2022, 20, 188. [Google Scholar] [CrossRef] [PubMed]
  24. Paas, F. Training strategies for attaining transfer of problem-solving skill in statistics: A cognitive-load approach. J. Educ. Psychol. 1992, 84, 429–434. Available online: https://psycnet.apa.org/doi/10.1037/0022-0663.84.4.429 (accessed on 1 June 2023). [CrossRef]
  25. Zuckerman, M. Development of a situation-specific trait-state test for the prediction and measurement of affective responses. J. Consult. Clin. Psychol. 1977, 45, 513–523. Available online: https://psycnet.apa.org/doi/10.1037/0022-006X.45.4.513 (accessed on 1 June 2023). [CrossRef]
  26. Grassini, S.; Revonsuo, A.; Castellotti, S.; Petrizzo, I.; Benedetti, V.; Koivisto, M. Processing of natural scenery is associated with lower attentional and cognitive load compared with urban ones. J. Environ. Psychol. 2019, 62, 1–11. [Google Scholar] [CrossRef]
  27. Stipacek, A.; Grabner, R.H.; Neuper, C.; Fink, A.; Neubauer, A.C. Sensitivity of human EEG alpha band desynchronization to different working memory components and increasing levels of memory load. Neurosci. Lett. 2003, 353, 193–196. [Google Scholar] [CrossRef] [PubMed]
  28. Gevins, A.; Smith, M.E.; McEvoy, L.; Yu, D. High-resolution EEG mapping of cortical activation related to working memory: Effects of task difficulty, type of processing, and practice. Cereb. Cortex 1997, 7, 374–385. [Google Scholar] [CrossRef]
  29. Berlyne, D.E. Aesthetics and psychobiology. J. Aesthet. Art Crit. 1973, 31, 553. [Google Scholar] [CrossRef]
  30. Ulrich, R.S. Visual landscape preference: A model and application. Man-Environ. Syst. 1977, 7, 279–293. Available online: http://ovidsp.ovid.com/ovidweb.cgi?T=JS&PAGE=reference&D=psyc2&NEWS=N&AN=1979-31072-001 (accessed on 1 June 2023).
Figure 1. Below is a Sample of the Pictures Used for the Manipulation. The Three Pictures on the First Row are Among those Used in the Natural Condition, While the Three at the Bottom Were Retrieved From the Urban Condition. The Full Set of Pictures is Provided in Appendix D.
Figure 1. Below is a Sample of the Pictures Used for the Manipulation. The Three Pictures on the First Row are Among those Used in the Natural Condition, While the Three at the Bottom Were Retrieved From the Urban Condition. The Full Set of Pictures is Provided in Appendix D.
Education 14 01204 g001
Figure 2. Experiment Flow With the Tasks Carried Out in Each Phase.
Figure 2. Experiment Flow With the Tasks Carried Out in Each Phase.
Education 14 01204 g002
Table 1. Descriptive Statistics of the Physiological and Behavioral Measurements in each experimental phase: Alpha and Theta Oscillations (log-transformed), Heart Rate (bmp), Digit Span (proportion score), Perceived Difficulty (1–9 Likert), Mental Effort (1–9 Likert) and scores on the ZIPERS items (Fear Arousal, Positive Affect, Anger and aggression, Attentive Coping and Sadness; sum score).
Table 1. Descriptive Statistics of the Physiological and Behavioral Measurements in each experimental phase: Alpha and Theta Oscillations (log-transformed), Heart Rate (bmp), Digit Span (proportion score), Perceived Difficulty (1–9 Likert), Mental Effort (1–9 Likert) and scores on the ZIPERS items (Fear Arousal, Positive Affect, Anger and aggression, Attentive Coping and Sadness; sum score).
Experimental PhaseDepletionManipulationAssessment
Natural UrbanNatural UrbanNatural Urban
M(SD)M(SD)M(SD)M(SD)M(SD)M(SD)
Alpha1.30 (1.69)1.30 (0.81)1.57 (0.74)1.60 (0.85)1.36 (0.75)1.39 (0.85)
Theta1.51 (0.62)1.47 (0.58)1.48 (0.62)1.44 (0.57)1.54 (0.61)1.52 (0.55)
Heart rate81.02 (13.11)77.09 (9.18)73.50 (10.67)73.85 (10.14)79.72 (12.46)80.54 (11.50)
Digit span0.68 (0.15)0.63 (0.11) 0.67 (0.15)0.66 (0.11)
DS difficulty5.93 (1.39)5.75 (1.63) 6.21 (1.80)6.03 (1.90)
DS mental effort6.83 (1.44)6.47 (1.54) 6.79 (1.99)6.81 (1.58)
Fear arousal6.03 (1.92)5.28 (1.93)3.75 (1.96)3.50 (1.01)
Positive affect7.86 (2.46)8.09 (2.74)12.17 (3.36)7.81 (3.70)
Anger and aggression6.10 (2.66)5.06 (2.02)3.68 (1.723.81 (1.40)
Attentive coping7.79 (1.63)7.59 (1.68)5.00 (1.89)5.09 (1.89)
Sadness1.69 (0.93)1.56 (0.88)1.62 (0.98)1.56 (0.80)
Note: DS = digit span.
Disclaimer/Publisher’s Note: The statements, opinions and data contained in all publications are solely those of the individual author(s) and contributor(s) and not of MDPI and/or the editor(s). MDPI and/or the editor(s) disclaim responsibility for any injury to people or property resulting from any ideas, methods, instructions or products referred to in the content.

Share and Cite

MDPI and ACS Style

Consalvi, L.; Ouwehand, K.; Paas, F. Effects of Observing Urban and Natural Scenes on Working Memory Depletion and Restoration: An EEG Study. Educ. Sci. 2024, 14, 1204. https://doi.org/10.3390/educsci14111204

AMA Style

Consalvi L, Ouwehand K, Paas F. Effects of Observing Urban and Natural Scenes on Working Memory Depletion and Restoration: An EEG Study. Education Sciences. 2024; 14(11):1204. https://doi.org/10.3390/educsci14111204

Chicago/Turabian Style

Consalvi, Lorenzo, Kim Ouwehand, and Fred Paas. 2024. "Effects of Observing Urban and Natural Scenes on Working Memory Depletion and Restoration: An EEG Study" Education Sciences 14, no. 11: 1204. https://doi.org/10.3390/educsci14111204

APA Style

Consalvi, L., Ouwehand, K., & Paas, F. (2024). Effects of Observing Urban and Natural Scenes on Working Memory Depletion and Restoration: An EEG Study. Education Sciences, 14(11), 1204. https://doi.org/10.3390/educsci14111204

Note that from the first issue of 2016, this journal uses article numbers instead of page numbers. See further details here.

Article Metrics

Back to TopTop