Active Learning in the Extraction of Organic Compounds: A Study of Undergraduate Chemistry Students
Abstract
1. Introduction
2. Materials and Methods
2.1. Research Samples
2.2. Experimental Part
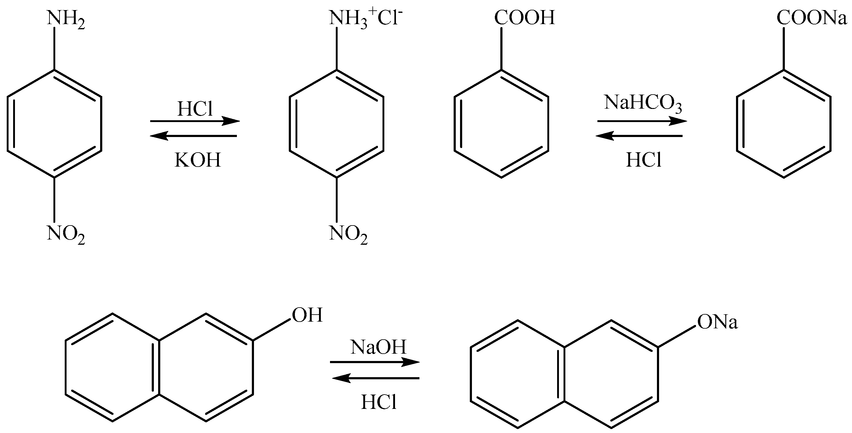
Extraction with Acid and Alkaline Solutions
- T1. The students were tasked with studying extraction from the chemistry literature, focusing on the factors that affect extraction and how these factors influence the dissolution of substances in each phase.
- T1a. Aqueous and organic phases in the extraction and dissolution of substances in each phase.
- T1b. Separation of selected organic substances from the mixture.
- T1c. Occupational Health and Safety when working with chemicals (scalding and ingestion).
2.3. Data Collection and Analysis
2.3.1. Questions to Be Answered in the Experiment
- ..........................................................................................................................................................................................................................................................................................................................
- .....................................................................................................................................................................................................................................................................................................................................................................................................................................................................
- .............................................................................................................................................................................................................................................................................................................
3. Results and Discussion
- − Assigning problems or unusual situations that require chemical knowledge to solve can promote critical thinking and application of theoretical knowledge (working with problems).
- − At the end of the experiment, a discussion was held on what the students had learned, what problems had arisen, and how things could have been conducted differently (reflection with discussion).
Results of the Questionnaire (2019–2023)
- − practical skills (handling laboratory equipment, working with tools and instruments)—it helped them learn how to plan, conduct and evaluate experiments,
- − they learned how to collect data and record observations (a key element of scientific research),
- − validate the theoretical knowledge they have acquired and link it to practice [56]),
- − they could also use knowledge from other subjects (Chemical calculations, Statistical processing of experimental data), analyse them, apply statistical methods, and draw conclusions from the results of experiments. As stated by Hsu [57], data science education from computer science and statistics departments is becoming more widely included in general education to enhance interdisciplinary and composite competencies,
- − laboratory exercises included teaching safety procedures and proper handling of chemicals,
- − working in a team, which is an important aspect of scientific work,
- − critical thinking and evaluation of evidence are also part of the laboratory exercise.
4. Conclusions
Author Contributions
Funding
Institutional Review Board Statement
Informed Consent Statement
Data Availability Statement
Conflicts of Interest
References
- Kustitskaya, T.A.; Esin, R.V.; Vainshtein, Y.V.; Noskov, M.V. Hybrid Approach to Predicting Learning Success Based on Digital Educational History for Timely Identification of At-Risk Students. Educ. Sci. 2024, 14, 657. [Google Scholar] [CrossRef]
- Pabby, A.K.; Sastre, A.M. Extraction-Solvent Extraction Principles. In Encyclopedia of Analytical Science, 3rd ed.; Worsfold, P., Townshend, A., Poole, C.F., Miró, M., Eds.; Elsevier: Amsterdam, The Netherlands, 2019; pp. 109–119. [Google Scholar]
- Ministry of Education, Research and Sport of the Slovak Republic. Innovated State Educational Programme. Available online: https://www.statpedu.sk/sk/svp/inovovany-statny-vzdelavaci-program (accessed on 21 September 2024).
- Ministry of Education, Research and Sport of the Slovak Republic. Innovated State Educational Programme for the 2nd Grade of Primary School. Human and Nature. Available online: https://www.statpedu.sk/sk/svp/inovovany-statny-vzdelavaci-program/inovovany-svp-2.stupen-zs/clovek-priroda (accessed on 21 September 2024).
- Ministry of Education, Research and Sport of the Slovak Republic. Innovated State Educational Programme for the Hight Schools with Four- and Five-Year Educational Programmes. Human and Nature. Available online: https://www.statpedu.sk/sk/svp/inovovany-statny-vzdelavaci-program/inovovany-svp-gymnazia-so-stvorrocnym-patrocnym-vzdelavacim-programom (accessed on 21 September 2024).
- Chemat, F.; Vian, M.A.; Fabiano-Tixier, A.S.; Nutrizio, M.; Jambrak, A.R.; Munekata, P.E.S.; Lorenzo, J.M. A review of sustainable and intensified techniques for extraction of food and natural products. Green Chem. 2020, 22, 2325–2353. [Google Scholar] [CrossRef]
- Orzolek, B.J.; Kozlowski, M.C. Separation of Food Colorings via Liquid–Liquid Extraction: An At-Home Organic Chemistry Lab. J. Chem. Educ. 2021, 98, 951–957. [Google Scholar] [CrossRef]
- Gimenez, J.; Bayarri, B.; Malato, S.; Peral, J.; Esplugas, S. Occupational risk assessment in AOPs labs and management system that comply with UN sustainable development goal. Process. Saf. Environ. 2024, 182, 903–917. [Google Scholar] [CrossRef]
- Yeerum, C.; Issarangkura Na Ayutthaya, P.; Kesonkan, K.; Kiwfo, K.; Suteerapataranon, S.; Panitsupakamol, P.; Paengnakorn, P.; Chinwong, D.; Chinwong, S.; Saenjum, C.; et al. Lab-at-Home: Hands-On Green Analytical Chemistry Laboratory for New Normal Experimentation. Sustainability 2022, 14, 3314. [Google Scholar] [CrossRef]
- Wu, H.; Molnár, G. Analysing Complex Problem-Solving Strategies from a Cognitive Perspective: The Role of Thinking Skills. J. Intell. 2022, 10, 46. [Google Scholar] [CrossRef]
- Tang, S.; Lei, C.-U.; Wei, H.Q. The effect of learning strategies adopted in K12 schools on student learning in massive open online courses. J. Comput. Assist. Learn. 2023, 40, 990–1005. [Google Scholar] [CrossRef]
- Tümay, H. Systems Thinking in Chemistry and Chemical Education: A Framework for Meaningful Conceptual Learning and Competence in Chemistry. J. Chem. Educ. 2023, 100, 3925–3933. [Google Scholar] [CrossRef]
- Mulcahy, M.B.; Holme, T.A. Working Together: Chemical Safety and Education. J. Chem. Educ. 2023, 100, 3748. [Google Scholar] [CrossRef]
- Villegas-Ch, W.; Román-Cañizares, M.; Palacios-Pacheco, X. Improvement of an Online Education Model with the Integration of Machine Learning and Data Analysis in an LMS. Appl. Sci. 2020, 10, 5371. [Google Scholar] [CrossRef]
- Kunt, F.; Türkyılmaz, E.S. Detection of Heavy Metals in Educational Institutions’ Indoor Dust and Their Risks to Health. Atmosphere 2023, 14, 780. [Google Scholar] [CrossRef]
- Salta, K.; Ntalakou, E.; Tsiortos, Z. Review of Hands-On Laboratory Experiments Employing Household Supplies. J. Chem. Educ. 2022, 99, 2563–2571. [Google Scholar] [CrossRef]
- Li, Y.; Liang, Y.; Yang, R.; Qiu, J.; Zhang, C.; Zhang, X. CourseKG: An Educational Knowledge Graph Based on Course Information for Precision Teaching. Appl. Sci. 2024, 14, 2710. [Google Scholar] [CrossRef]
- Huesca, G.; Martínez-Treviño, Y.; Molina-Espinosa, J.M.; Sanromán-Calleros, A.R.; Martínez-Román, R.; Cendejas-Castro, E.A.; Bustos, R. Effectiveness of Using ChatGPT as a Tool to Strengthen Benefits of the Flipped Learning Strategy. Educ. Sci. 2024, 14, 660. [Google Scholar] [CrossRef]
- Salas-Pilco, S.Z.; Xiao, K.; Hu, X. Artificial Intelligence and Learning Analytics in Teacher Education: A Systematic Review. Educ. Sci. 2022, 12, 569. [Google Scholar] [CrossRef]
- Rydberg, J.; Cox, M.; Musicas, C.; Choppin, G.R. (Eds.) Solvent Extraction Principles and Practice, 2nd ed.; Taylor & Francis Group, LLC.: New York, NY, USA, 2004. [Google Scholar]
- Wells, M.J.M. Principles of extraction and the extraction of semivolatile organics from liquids. In Sample Preparation Techniques in Analytical Chemistry; Mitra, S., Ed.; John Wiley & Sons, Inc.: Hoboken, NJ, USA, 2003; Volume 162, Chapter 2. [Google Scholar]
- Kislik, V.S. Solvent Extraction: Classical and Novel Approaches, 1st ed.; Elsevier Science: Amsterdam, The Netherlands, 2011. [Google Scholar]
- Celius, T.C.; Peterson, R.C.; Anderson-Wile, A.M.; Kraweic-Thayer, M. From Observation to Prediction to Application: A Guided Exercise for Liquid-Liquid Extraction. J. Chem. Educ. 2018, 95, 1626–1630. [Google Scholar] [CrossRef]
- Assadieskandar, A.; Miranda, R.R.; Broyer, M.R. Visually Tracking Acid−Base Extractions Using Colorful Compounds. J. Chem. Educ. 2020, 97, 1402–1405. [Google Scholar] [CrossRef]
- Madigan, C.; Johnstone, K.; Cook, M.; Brandon, J. Do student internships build capability?–What OHS graduates really think. Saf. Sci. 2019, 111, 102–110. [Google Scholar] [CrossRef]
- Özbakır, O. Occupational Health and Safety Risk Assessment and Mitigation in Chemistry Laboratories: A Case Study of Iğdır University. Sirnak Univ. J. Sci. 2023, 4, 1–20. [Google Scholar]
- Feng, H.; Ding, Y.; Zhu, P.; Zheng, Y.; Lan, Q.; Huang, W.; Gao, M.; Liu, H. Chemical Lab Safety Education by Massive Open Online Course. ACS Chem. Health Saf. 2023, 30, 265–269. [Google Scholar] [CrossRef]
- Rashidi, M.A.; Khazaei, S.R.; Samimi, K.; Khodakarim, S.; Khatabakhsh, A.; Pouyakian, M. Application of Social Media in Chemical Safety Training: A Case Study of Training GHS Standards to Students and Laboratory Staff at a University. J. Chem. Educ. 2023, 100, 517–527. [Google Scholar] [CrossRef]
- Delvika, Y.; Mustafa, K. Evaluate the Implementation of Occupational Health and Safety (OHS) Management System Performance Measurement at PT. XYZ Medan to minimise Extreme Risks. IOP Conf. Ser. Mater. Sci. Eng. 2019, 505, 012028. [Google Scholar] [CrossRef]
- Pryor, P.; Hale, A.; Hudson, D. Development of a global framework for OHS professional practice. Saf. Sci. 2019, 17, 404–416. [Google Scholar] [CrossRef]
- Rahmi, A.; Ramdhan, D.H. Factors Affecting the Effectiveness of the Implementation of Application OHSMS: A Systematic Literature Review. J. Phys. Conf. Ser. 2021, 1933, 012021. [Google Scholar] [CrossRef]
- Johnson, W.; Bergfeld, W.F.; Belsito, D.V.; Hill, R.A.; Klaassen, C.D.; Liebler, D.C.; Marks, J.G.; Shank, R.C.; Slaga, T.J.; Snyder, P.W.; et al. Safety Assessment of Benzyl Alcohol, Benzoic Acid and its Salts, and Benzyl Benzoate. Int. J. Toxicol. 2017, 36 (Suppl. S3), 5S–30S. [Google Scholar] [CrossRef] [PubMed]
- Sambu, S.; Hemaram, U.; Murugan, R.; Alsofi, A.A. Toxicological and Teratogenic Effect of Various Food Additives: An Updated Review. BioMed Res. Int. 2022, 2022.1, 6829409. [Google Scholar] [CrossRef]
- Benzoic Acid. Available online: https://www.ncbi.nlm.nih.gov/mesh/68019817 (accessed on 9 September 2023).
- Armour, M.A. Hazardous laboratory chemicals disposal guide/Margaret-Ann. In Armour, 3rd ed.; CRC Press: Boca Raton, FL, USA, 2003; 680p, ISBN 1-56670-567-3. [Google Scholar]
- 4-Nitroanaline. Available online: https://pubchem.ncbi.nlm.nih.gov/compound/7475#section=ChEMBL-ID (accessed on 8 September 2023).
- National Toxicology Program. NTP Toxicology and Carcinogenesis Studies of p-Nitroaniline (CAS No. 100-01-6) in B6C3F1 Mice (Gavage Studies). Natl. Toxicol. Program Tech Rep Ser. 1993, 418, 1–203. [Google Scholar] [PubMed]
- Hydrochloric Acid. Available online: https://www.chembk.com/en/chem/Hydrochloric%20acid (accessed on 8 September 2023).
- Hydrochlorid Acid. Available online: https://www.chemicalsafetyfacts.org/chemicals/hydrochloric-acid/ (accessed on 8 September 2023).
- Hydrochloric Acid. Available online: https://pubchem.ncbi.nlm.nih.gov/compound/Hydrochloric-Acid (accessed on 8 September 2023).
- Carroll, F.; Faruque, R.; Hewage, C.; Bentotahewa, V.; Meace, S. The Journey to Making ‘Digital Technology’ Education a Community Learning Venture. Educ. Sci. 2023, 13, 428. [Google Scholar] [CrossRef]
- Riess, W.; Martin, M.; Mischo, C.; Kotthoff, H.-G.; Waltner, E.-M. How Can Education for Sustainable Development (ESD) Be Effectively Implemented in Teaching and Learning? An Analysis of Educational Science Recommendations of Methods and Procedures to Promote ESD Goals. Sustainability 2022, 14, 3708. [Google Scholar] [CrossRef]
- Dingyloudi, F.; Strijbos, J.W. Community Representations in Learning Communities. Scand. J. Educ. Res. 2020, 64, 1052–1070. [Google Scholar] [CrossRef]
- Piccinno, T.F.; Basso, A.; Bracco, F. Results of a Peer Review Activity Carried out Alternatively on a Compulsory or Voluntary Basis. J. Chem. Educ. 2023, 100, 489–495. [Google Scholar] [CrossRef]
- Chen, Y.; Wang, Z.; Liu, J.; Guo, Y.; Chen, A.; Chen, B.; Hu, P.; Zhu, X.; Li, W.; Zhao, W.; et al. Optimization of extraction factor and nutritional characterisation of black soldier fly larvae oil via subcritical butane extraction. LWT 2023, 186, 115221. [Google Scholar] [CrossRef]
- Feng, S.; Tang, M.; Jiang, Z.; Ruan, Y.; Liu, L.; Kong, Q.; Xiang, Z.; Chen, T.; Zhou, L.; Yang, H.; et al. Optimization of Extraction Process, Structure Characterization, and Antioxidant Activity of Polysaccharides from Different Parts of Camellia Oleifera Abel. Foods 2022, 11, 3185. [Google Scholar] [CrossRef] [PubMed] [PubMed Central]
- Zhao, Z.; Liu, X.; Kang, D.; Xiao, Z.; Dong, W.; Lin, Q.; Zhang, A. Optimisation of the subcritical butane extraction of tung oil and its mechanism analysis. Processes 2022, 10, 1071. [Google Scholar] [CrossRef]
- Schaber, P.; McGee, C.; Jones, T. Building student community in a hybrid program. Occup. Ther. Health Care 2015, 29, 102–114. [Google Scholar] [CrossRef]
- Shea, P.; Swan, K.; Li, C.S.; Pickett, A. Developing learning community in online asynchronous college courses: The role of teaching presence. Online Learn. J. 2019, 9, 59–82. [Google Scholar] [CrossRef]
- Conte, E.; Cavioni, V.; Ornaghi, V.; Agliati, A.; Gandellini, S.; Santos, M.F.; Santos, A.C.; Simões, C.; Grazzani, I. Supporting Preschoolers’ Mental Health and Academic Learning through the PROMEHS Program: A Training Study. Children 2023, 10, 1070. [Google Scholar] [CrossRef]
- Zhang, P.; Ma, Z.; Ren, Z.; Wang, H.; Zhang, C.; Wan, Q.; Sun, D. Design of an Automatic Classification System for Educational Reform Documents Based on Naive Bayes Algorithm. Mathematics 2024, 12, 1127. [Google Scholar] [CrossRef]
- Kelley, E.W. LAB Theory, HLAB Pedagogy, and Review of Laboratory Learning in Chemistry during the COVID-19 Pandemic. J. Chem. Educ. 2021, 98, 2496–2517. [Google Scholar] [CrossRef]
- Barton, C.; Gasaway, K.C.; Islam, R.; Aziz, T.; Krewall, J.; Punthrangkul, D.; Willian, K.R. Implementation of an At-Home, First-Semester Biochemistry Lab Course: A Module Based on Banana Tyrosinase. J. Chem. Educ. 2022, 99, 1571–1578. [Google Scholar] [CrossRef]
- Shukla, V.K.; Verma, A. Enhancing the LMS experience through AIML Base and Retrieval Base chatbots using R. In Proceedings of the International Conference on Automation, Computational and Technology Management, London, UK, 24–26 April 2019; pp. 561–567. [Google Scholar]
- Simmons, T.; Mistry, N. A Snapshot of Chemistry Teaching and Learning Practices in UK Higher Education as It Emerges from the COVID-19 Pandemic. J. Chem. Educ. 2023, 100, 2564–2573. [Google Scholar] [CrossRef]
- Lieberman, A.; Mace, D.H.P. The role of ‘accomplished teachers’ in professional learning communities: Uncovering practice and enabling leadership. Teach. Teach. Theory Pract. 2009, 15, 459–470. [Google Scholar] [CrossRef]
- Hsu, Y.-C. Mapping the Landscape of Data Science Education in Higher General Education in Taiwan: A Comprehensive Syllabi Analysis. Educ. Sci. 2024, 14, 763. [Google Scholar] [CrossRef]
- Ambruso, K.; Riley, K.R. At-Home Laboratory Experiments for the Analytical Chemistry Curriculum. J. Chem. Educ. 2022, 99, 1125–1131. [Google Scholar] [CrossRef]





| Questions | 2019–2021 (A Group: 20 Respondents) | 2021–2023 (B Group: 20 Respondents) | ||
|---|---|---|---|---|
| True (Number of Respondents) | False (Number of Respondents) | True (Number of Respondents) | False (Number of Respondents) | |
| 1. Principle of extraction of an unknown mixture | 20 | 0 | 20 | 0 |
| 2. What determines the aqueous and organic phases once equilibrium is reached? | 4 | 16 | 16 | 4 |
| 3. What are the ways to remove the emulsion? | 2 | 18 | 6 | 14 |
| 4. Separating a mixture of substances: benzoic acid, β-naphthol, 4-nitroaniline with the help of HCl, NaHCO3, NaOH, KOH and their reactions. | 12 | 8 | 16 | 4 |
| 5. Identify three types of compounds that can be separated by extraction with acidic and basic solutions. | 2 | 18 | 4 | 16 |
| 6. OHS when working with acidic or basic solutions during extraction. | 2 | 18 | 15 | 5 |
| 7. Knowledge acquired. | It has not been evaluated. | It has not been evaluated. | ||
Disclaimer/Publisher’s Note: The statements, opinions and data contained in all publications are solely those of the individual author(s) and contributor(s) and not of MDPI and/or the editor(s). MDPI and/or the editor(s) disclaim responsibility for any injury to people or property resulting from any ideas, methods, instructions or products referred to in the content. |
© 2024 by the authors. Licensee MDPI, Basel, Switzerland. This article is an open access article distributed under the terms and conditions of the Creative Commons Attribution (CC BY) license (https://creativecommons.org/licenses/by/4.0/).
Share and Cite
Jakubčinová, J.; Feszterová, M.; Silliková, V. Active Learning in the Extraction of Organic Compounds: A Study of Undergraduate Chemistry Students. Educ. Sci. 2024, 14, 1051. https://doi.org/10.3390/educsci14101051
Jakubčinová J, Feszterová M, Silliková V. Active Learning in the Extraction of Organic Compounds: A Study of Undergraduate Chemistry Students. Education Sciences. 2024; 14(10):1051. https://doi.org/10.3390/educsci14101051
Chicago/Turabian StyleJakubčinová, Jana, Melánia Feszterová, and Veronika Silliková. 2024. "Active Learning in the Extraction of Organic Compounds: A Study of Undergraduate Chemistry Students" Education Sciences 14, no. 10: 1051. https://doi.org/10.3390/educsci14101051
APA StyleJakubčinová, J., Feszterová, M., & Silliková, V. (2024). Active Learning in the Extraction of Organic Compounds: A Study of Undergraduate Chemistry Students. Education Sciences, 14(10), 1051. https://doi.org/10.3390/educsci14101051

