Increasing Socially Significant Behaviors for Children with Autism Using Synchronous Reinforcement
Abstract
1. Increasing Socially Significant Behaviors for Children with Autism Using Synchronous Reinforcement
… in synchronous reinforcement, the behavior and reinforcer relation is all or nothing—if the behavior is happening, the reinforcer is delivered, whereas, if the behavior is not happening then the reinforcer is not delivered. In contrast, in conjugate reinforcement, some dimension of the behavior controls some dimension of the reinforcer—if the behavior is happening at a certain rate or intensity, then the reinforcer is delivered at that rate or intensity.(p. 1661)
2. Method
2.1. Participants and Setting
2.2. Observation
2.3. Procedures
2.3.1. Experimental Design
2.3.2. Preference Assessment
2.3.3. Baseline
2.3.4. Synchronous Condition
2.4. Individual Procedures
2.4.1. Max
2.4.2. Emily
2.4.3. Ulysses
2.4.4. Carl
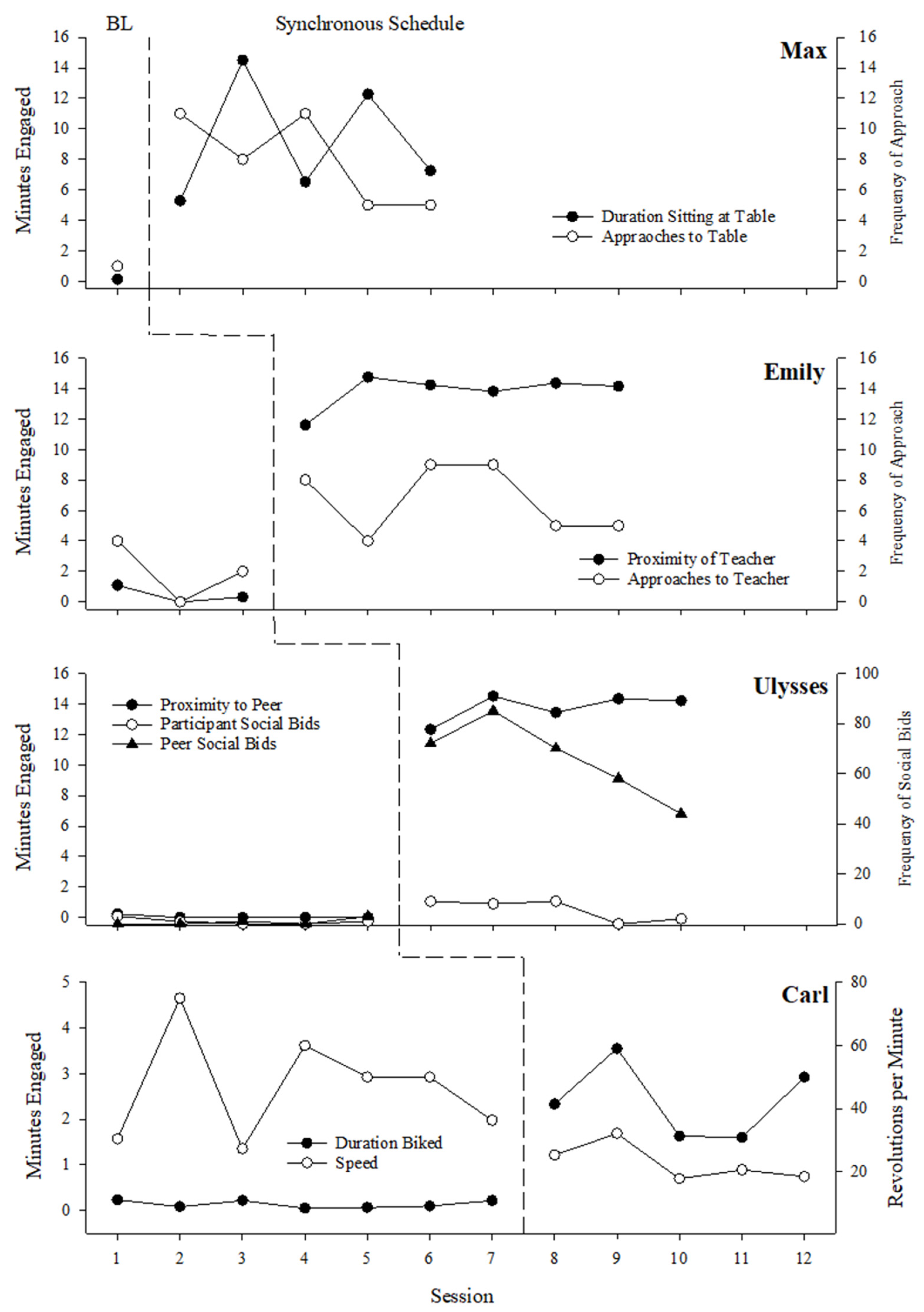
3. Results
4. Discussion
Author Contributions
Funding
Institutional Review Board Statement
Informed Consent Statement
Data Availability Statement
Conflicts of Interest
References
- Lindsley, O.R. A behavioral measure of television viewing. J. Advert. Res. 1962, 2, 2–12. [Google Scholar]
- Lindsley, O.R. Operant behavior during sleep: A measure of depth of sleep. Science 1957, 126, 1290–1291. [Google Scholar] [CrossRef] [PubMed]
- Lindsley, O.R.; Hobika, J.H.; Esten, B.E. Operant behavior during anesthesia recovery: A continuous and objective method. Anesthesiology 1961, 22, 937–946. [Google Scholar] [CrossRef] [PubMed]
- Lindsley, O.R.; Conran, P. Operant behavior during EST: A measure of depth of coma. Dis. Nerv. Syst. 1962, 23, 407–409. [Google Scholar]
- Lovitt, T.C. Use of conjugate reinforcement to evaluate the relative reinforcing effects of various narrative forms. J. Exp. Child Psychol. 1967, 5, 164–171. [Google Scholar] [CrossRef]
- McKirdy, L.S.; Rovee, C.K. The efficacy of auditory and visual conjugate reinforcers in infant conditioning. J. Exp. Child Psychol. 1978, 25, 80–89. [Google Scholar] [CrossRef]
- Morgan, B.J.; Lindsley, O.R. Operant Preference for Stereophonic over Monophonic Music. J. Music Ther. 1966, 3, 135–143. [Google Scholar] [CrossRef]
- Voltaire, M.; Gewirtz, J.L.; Pelaez, M. Infant responding compared under conjugate- and continuous-reinforcement schedules. Behav. Dev. Bull. 2005, 12, 71. [Google Scholar] [CrossRef]
- MacAleese, K.R.; Ghezzi, P.M.; Rapp, J.T. Revisiting conjugate schedules. J. Exp. Anal. Behav. 2015, 104, 63–73. [Google Scholar] [CrossRef]
- Cohen, D.J.; Lindsley, O.R. Catalysis of controlled leadership in cooperation by human stimulation. J. Child Psychol. Psychiatry 1964, 5, 119–137. [Google Scholar] [CrossRef]
- Lindsley, O.R. Experimental analysis of social reinforcement: Terms and methods. Am. J. Orthopsychiatry 1963, 33, 624–633. [Google Scholar] [CrossRef]
- Nathan, P.E.; Schneller, P.; Lindsley, O.R. Direct measurement of communication during psychiatric admission interviews. Behav. Res. Ther. 1964, 2, 49–57. [Google Scholar] [CrossRef]
- Fagen, J.W.; Ohr, P.S. Individual differences in infant conditioning and memory. In Individual Differences in Infancy: Reliability, Stability, and Prediction; Columbo, J., Fagen, J., Eds.; Lawrence Endbaum: Hillsdale, NJ, USA, 1990; pp. 157–190. [Google Scholar]
- Gross, J.; Hayne, H.; Herbert, J.; Sowerby, P. Measuring infant memory: Does the ruler matter? Dev. Psychobiol. 2002, 40, 183–192. [Google Scholar] [CrossRef]
- Rovee, C.K.; Rovee, D.T. Conjugate reinforcement of infant exploratory behavior. J. Exp. Child Psychol. 1969, 8, 33–39. [Google Scholar] [CrossRef]
- Siqueland, E.R.; DeLucia, C.A. Visual reinforcement of non-nutrive sucking in human infants. Science 1969, 165, 1144–1146. [Google Scholar] [CrossRef]
- Siqueland, E.R.; Lipsitt, L.P. Conditioned head-turning in human newborns. J. Exp. Child Psychol. 1966, 3, 356–376. [Google Scholar] [CrossRef]
- Rapp, J.T.; Dozier, C.L.; Carr, J.E.; Patel, M.R.; Enloe, K.A. Functional analysis of erratic body movement maintained by visual stimulation. Incorporating conjugate reinforcement into a paired-stimulus preference assessment. Behav. Modif. 2004, 28, 118–132. [Google Scholar] [CrossRef]
- Rapp, J.T. Conjugate reinforcement: A brief review and suggestions for applications to the assessment of automatically reinforced behavior. Behav. Interv. 2008, 23, 113–136. [Google Scholar] [CrossRef]
- Switzky, H.N.; Haywood, H.C. Conjugate control of motor activity in mentally retarded persons. Am. J. Ment. Defic. 1973, 77, 567–570. [Google Scholar]
- Diaz de Villegas, S.C.; Dozier, C.L.; Jess, R.L.; Foley, E.A. An evaluation of synchronous reinforcement for increasing on-task behavior in preschool children. J. Appl. Behav. Anal. 2020, 53, 1660–1673. [Google Scholar] [CrossRef]
- Hardesty, E.M.; Lerman, D.C.; Hardee, J.L. A comparison of synchronous and noncontingent stimulus delivery on task engagement. J. Appl. Behav. Anal. 2023, 56, 664–673. [Google Scholar] [CrossRef] [PubMed]
- Smith, T. Discrete Trial Training in the Treatment of Autism. Focus Autism Other Dev. Disabil. 2001, 16, 86–92. [Google Scholar] [CrossRef]
- Schreibman, L.; Dawson, G.; Stahmer, A.C.; Landa, R.; Rogers, S.J.; McGee, G.G.; Kasari, C.; Ingersoll, B.; Kaiser, A.P.; Bruinsma, Y.; et al. Naturalistic developmental behavioral interventions: Empirically validated treatments for autism spectrum disorder. J. Autism Dev. Disord. 2015, 45, 2411–2428. [Google Scholar] [CrossRef] [PubMed]
- Ala’i-Rosales, S.; Zueg, N.; Baynam, T. The development of interests in children with autism: A method to establish baselines for analysis and evaluation. Behav. Dev. Bull. 2008, 14, 3–16. [Google Scholar] [CrossRef]
- Watson, P.J.; Workman, E.A. The non-concurrent multiple baseline across-individuals design: An extension of the traditional multiple baseline design. J. Behav. Ther. Exp. Psychiatry 1981, 12, 257–259. [Google Scholar] [CrossRef]
- Fisher, W.; Piazza, C.C.; Bowman, L.G.; Hagopian, L.P.; Owens, J.C.; Slevin, I. A comparison of two approaches for identifying reinforcers for persons with severe and profound disabilities. J. Appl. Behav. Anal. 1992, 25, 491–498. [Google Scholar] [CrossRef]
- Tessing, J.L.; Napolitano, D.A.; McAdam, D.B.; Dicesare, A.; Axelrod, S. The effects of providing access to stimuli following choice making during vocal preference assessments. J. Appl. Behav. Anal. 2006, 39, 501–506. [Google Scholar] [CrossRef]
- DeLeon, I.G.; Iwata, B.A. Evaluation of a multiple-stimulus presentation format for assessing reinforcer preferences. J. Appl. Behav. Anal. 1996, 29, 519–532. [Google Scholar] [CrossRef]
- Baer, D.M.; Wolf, M.M. The entry into natural communities of reinforcement. In Control of Human Behavior: From Cure to Prevention; Ulrich, R., Stachnik, T., Mabry, J., Eds.; Scott Foresman: Glenview, IL, USA, 1970; Volume 2, pp. 319–324. [Google Scholar]
- Baer, D.M.; Rowbury, T.; Goetz, E. Behavioral traps in the preschool: A proposal for research. In Minnesota Symposia on Child Psychology; Pick, A.D., Ed.; University of Minnesota Press: Minneapolis, MN, USA, 1976; Volume 10, pp. 3–27. [Google Scholar]
- Rosales-Ruiz, J.; Baer, D.M. Behavioral cusps: A developmental and pragmatic concept for behavior analysis. J. Appl. Behav. Anal. 1997, 30, 533–544. [Google Scholar] [CrossRef]
- Lindsley, O.R. Operant conditioning methods applied to research in chronic schizophrenia. Psychiatr. Res. 1956, 5, 118–139. [Google Scholar]
- Koegel, R.L.; Vernon, T.W.; Koegel, L.K. Improving social initiations in young children with autism using reinforcers with embedded social interactions. J. Autism Dev. Disord. 2009, 39, 1240–1251. [Google Scholar] [CrossRef]

| Child | Age and Ethnicity | Diagnosis | Setting | Target Goal Responses | Non-Targeted Measures | Reinforcer |
|---|---|---|---|---|---|---|
| Max | 5.8 years old, Ethiopian | Autism | Kitchen | Duration sitting at lunch table | Frequency of approaches to table | BackyardigansTM book (Simon & Schuster, New York, NY, USA), Thomas the TrainTM book (Random House, New York, NY, USA), V-techTM toys (V-Tech, Hong Kong, China) |
| Emily | 7.8 years old, Asian Caucasian | Autism, Down syndrome, epilepsy | 1:1 therapy room | Proximity to therapist | Frequency of approaches to therapist | Leap FrogTM phonics radio, electronic shape computer toy (V-Tech, China) |
| Ulysses | 5.5 years old, Middle Eastern | Autism, mixed receptive language disorder | School room | Proximity to peers | Child social bids; peer social bids | iPhone© videos, e.g., Tom & JerryTM, Mickey MouseTM Clubhouse, and TeletubbiesTM (Apple, Cupertino, CA, USA) |
| Carl | 5.7 years old, Caucasian | Presumptive PDD-NOS; chromosomal deletion | Physical therapy gym | Bike pedaling | Speed (revolutions per minute) | Ghost stories told by therapist |
Disclaimer/Publisher’s Note: The statements, opinions and data contained in all publications are solely those of the individual author(s) and contributor(s) and not of MDPI and/or the editor(s). MDPI and/or the editor(s) disclaim responsibility for any injury to people or property resulting from any ideas, methods, instructions or products referred to in the content. |
© 2023 by the authors. Licensee MDPI, Basel, Switzerland. This article is an open access article distributed under the terms and conditions of the Creative Commons Attribution (CC BY) license (https://creativecommons.org/licenses/by/4.0/).
Share and Cite
Stordahl, S.K.; Cihon, J.H.; Alai-Rosales, S.; Rosales-Ruiz, J. Increasing Socially Significant Behaviors for Children with Autism Using Synchronous Reinforcement. Educ. Sci. 2023, 13, 751. https://doi.org/10.3390/educsci13070751
Stordahl SK, Cihon JH, Alai-Rosales S, Rosales-Ruiz J. Increasing Socially Significant Behaviors for Children with Autism Using Synchronous Reinforcement. Education Sciences. 2023; 13(7):751. https://doi.org/10.3390/educsci13070751
Chicago/Turabian StyleStordahl, Stephany K., Joseph H. Cihon, Shahla Alai-Rosales, and Jesus Rosales-Ruiz. 2023. "Increasing Socially Significant Behaviors for Children with Autism Using Synchronous Reinforcement" Education Sciences 13, no. 7: 751. https://doi.org/10.3390/educsci13070751
APA StyleStordahl, S. K., Cihon, J. H., Alai-Rosales, S., & Rosales-Ruiz, J. (2023). Increasing Socially Significant Behaviors for Children with Autism Using Synchronous Reinforcement. Education Sciences, 13(7), 751. https://doi.org/10.3390/educsci13070751

