The Emotional Competence Assessment Questionnaire (ECAQ) for Children Aged from 3 to 5 Years: Validity and Reliability Evidence
Abstract
:1. Introduction
2. Materials and Methods
2.1. Participants
2.1.1. Qualitative Evidence Stage
2.1.2. Quantitative Evidence Stage
2.2. Measures
2.3. Procedure and Data Analysis
2.3.1. Qualitative Evidence Stage
2.3.2. Quantitative Evidence Stage
3. Results
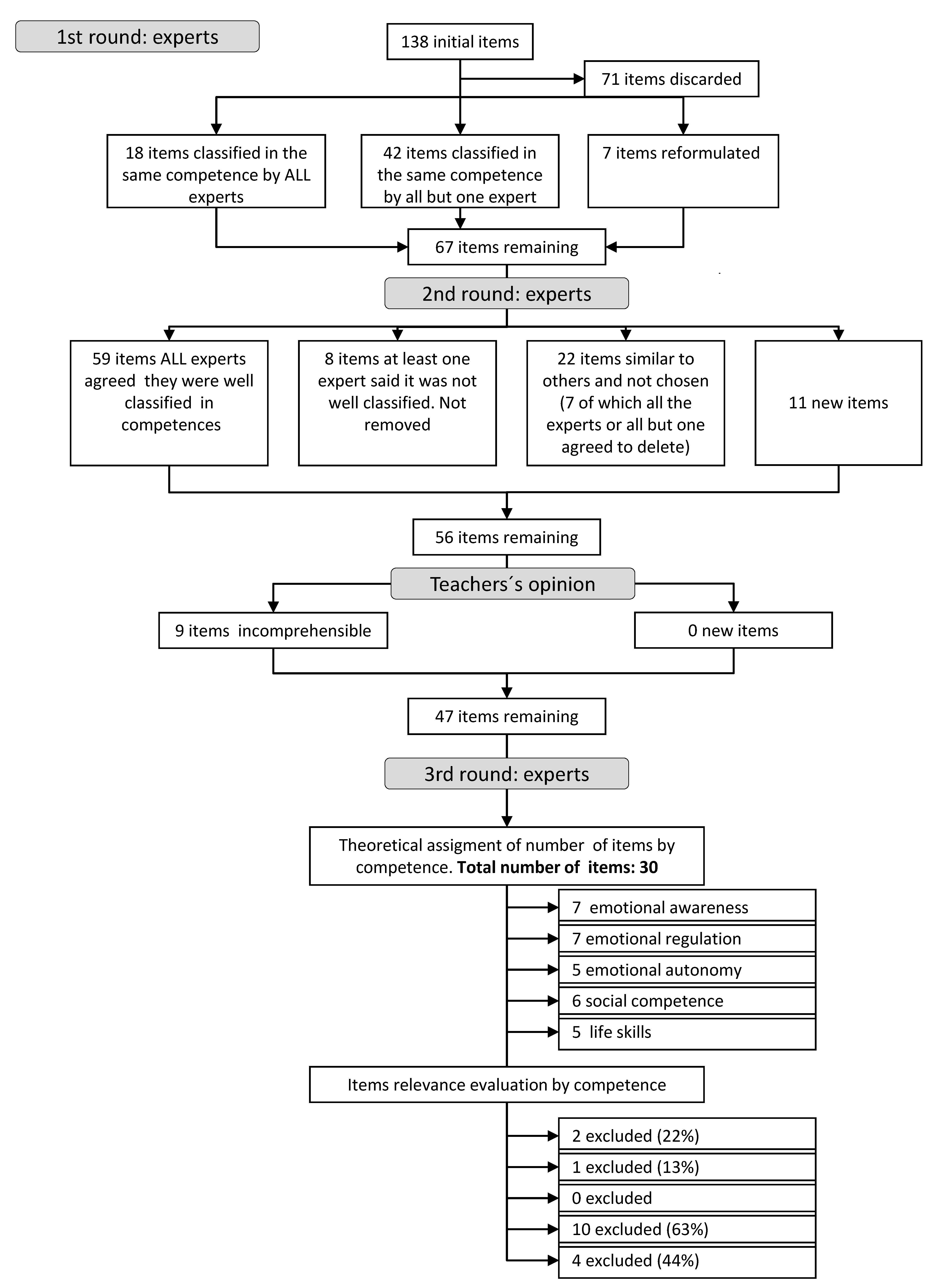
3.1. Evidence of Validity Based on Test Content
3.2. Evidence of Validity Based on Response Processes
3.3. Evidence of Validity Based on the Consequences of Testing
3.4. Evidence of Validity Based on the Internal Structure
3.5. Evidence of Validity Based on Relations to Other Variables
3.6. Reliability
4. Discussion
Supplementary Materials
Author Contributions
Funding
Institutional Review Board Statement
Informed Consent Statement
Data Availability Statement
Acknowledgments
Conflicts of Interest
References
- Allen, J.; Balfour, R.; Bell, R.; Marmot, M. Social determinants of mental health. Int. Rev. Psychiatry 2014, 26, 392–407. [Google Scholar] [CrossRef] [PubMed]
- Shi, W.; Yuan, G.F.; Hall, B.J.; Liu, X.; Su, Y.; Zhao, L.; Jia, P. Mental Disorders and Emotional Competence Among Chinese Adolescents Before and during COVID-19 Pandemic: A Longitudinal Mediation Model. Front. Public Health 2021, 9, 767004. [Google Scholar] [CrossRef] [PubMed]
- Durlak, J.A.; Weissberg, R.P.; Dymnicki, A.B.; Taylor, R.D.; Schellinger, K.B. The Impact of Enhancing Students’ Social and Emotional Learning: A Meta-Analysis of School-Based Universal Interventions. Child Dev. 2011, 82, 405–432. [Google Scholar] [CrossRef] [PubMed]
- Llorent, V.J.; González-Gómez, A.L.; Farrington, D.P.; Zych, I. Social and emotional competencies and empathy as predictors of literacy competence. Psicothema 2020, 32, 47–53. [Google Scholar] [CrossRef] [PubMed]
- Catalano, R.F.; Berglund, M.L.; Ryan, J.A.M.; Lonczak, H.S.; Hawkins, J.D. Positive Youth Development in the United States: Research Findings on Evaluations of Positive Youth Development Programs. Ann. Am. Acad. Pol. Soc. Sci. 2004, 591, 98–124. [Google Scholar] [CrossRef]
- Taylor, R.D.; Oberle, E.; Durlak, J.A.; Weissberg, R.P. Promoting Positive Youth Development through School-Based Social and Emotional Learning Interventions: A Meta-Analysis of Follow-Up Effects. Child Dev. 2017, 88, 1156–1171. [Google Scholar] [CrossRef]
- Ahmad, S.; Waldie, K.E.; Morton, S.M.B.; Peterson, E.R. Do Patterns of Levels of Socio-emotional Competence during Early Childhood Predict Executive Function at 4.5 Years? Child Psychiatry Hum. Dev. 2022, 53, 448–457. [Google Scholar] [CrossRef]
- López, M.J.; Olmo, M.M.D.; Pérez-Giménez, A.; Nebot, M. Diseños evaluativos en salud pública: Aspectos metodológicos. Gac. Sanit. 2011, 25, 9–16. [Google Scholar] [CrossRef] [Green Version]
- Halle, T.G.; Darling-Churchill, K.E. Darling-Churchill. Review of measures of social and emotional development. J. Appl. Dev. Psychol. 2016, 45, 8–18. [Google Scholar] [CrossRef] [Green Version]
- Roben, C.K.P.; Cole, P.M.; Armstrong, L.M. Longitudinal Relations Among Language Skills, Anger Expression, and Regulatory Strategies in Early Childhood. Child Dev. 2013, 84, 891–905. [Google Scholar] [CrossRef] [Green Version]
- Nix, R.L.; Bierman, K.L.; Domitrovich, C.E.; Gill, S. Promoting Children’s Social-Emotional Skills in Preschool Can Enhance Aca-demic and Behavioral Functioning in Kindergarten: Findings from Head Start REDI. Early Educ. Dev. 2013, 24, 1000–1019. [Google Scholar] [CrossRef] [Green Version]
- Finlon, K.J.; Izard, C.E.; Seidenfeld, A.; Johnson, S.R.; Cavadel, E.W.; Ewing, E.S.K.; Morgan, J.K. Emotion-based preventive intervention: Effec-tively promoting emotion knowledge and adaptive behavior among at-risk preschoolers. Dev. Psychopathol. 2015, 27, 1353–1365. [Google Scholar] [CrossRef] [PubMed] [Green Version]
- Waters, S.F.; Virmani, E.A.; Thompson, R.A.; Meyer, S.; Raikes, H.A.; Jochem, R. Emotion Regulation and Attachment: Unpacking Two Constructs and Their Association. J. Psychopathol. Behav. Assess. 2010, 32, 37–47. [Google Scholar] [CrossRef] [PubMed] [Green Version]
- Torres, M.M.; Domitrovich, C.E.; Bierman, K.L. Preschool interpersonal relationships predict kindergarten achievement: Mediat-ed by gains in emotion knowledge. J. Appl. Dev. Psychol. 2015, 39, 44–52. [Google Scholar] [CrossRef] [PubMed] [Green Version]
- Weiland, C.; Yoshikawa, H. Impacts of a Prekindergarten Program on Children’s Mathematics, Language, Literacy, Executive-Function, and Emotional Skills. Child Dev. 2013, 84, 2112–2130. [Google Scholar] [CrossRef] [PubMed]
- Williford, A.P.; Vick Whittaker, J.E.; Vitiello, V.E.; Downer, J.T. Children’s Engagement Within the Preschool Classroom and Their Development of Self-Regulation. Early Educ. Dev. 2013, 24, 162–187. [Google Scholar] [CrossRef] [Green Version]
- Chinekesh, A.; Kamalian, M.; Eltemasi, M.; Chinekesh, S.; Alavi, M. The Effect of Group Play Therapy on Social-Emotional Skills in Pre-School Children. Glob. J. Health Sci. 2013, 6, 163–167. [Google Scholar] [CrossRef] [Green Version]
- Spritz, B.L.; Sandberg, E.H.; Maher, E.; Zajdel, R.T. Models of Emotion Skills and Social Competence in the Head Start Class-room. Early Educ. Dev. 2010, 21, 495–516. [Google Scholar] [CrossRef]
- Onchwari, G.; Keengwe, J. Examining the Relationship of Children’s Behavior to Emotion Regulation Ability. Early Child Educ. J. 2011, 39, 279–284. [Google Scholar] [CrossRef]
- Miller, A.R.; Johnston, C.; Klassen, A.F.; Fine, S.; Papsdorf, M. Family physicians’ involvement and self-reported comfort and skill in care of children with behavioral and emotional problems: A population-based survey. BMC Fam. Pract. 2005, 6, 12. [Google Scholar] [CrossRef] [Green Version]
- Bernard, M.E.; Magnum, N.D.U. Wellbeing Survey (Teacher Form—Early Years), 2nd ed.; Australian Council for Educational Research: Melbourne, Australia, 2009. [Google Scholar]
- Bisquerra, R. Educación emocional y competencias básicas para la vida. Rev. Investig. Educ. 2003, 21, 7–43. [Google Scholar]
- Bisquerra, R.; Pérez, N. Las competencias emocionales. Educ. XXI 2007, 10, 61–82. [Google Scholar] [CrossRef]
- AERA; APA; NCME. Standards for Educational and Psychological Testing; American Educational Research Association: Washington, DC, USA, 2014. [Google Scholar]
- Schmitt, S.A.; Flay, B.R.; Lewis, K. A pilot evaluation of the Positive Action prekindergarten lessons. Early Child Dev. Care 2014, 184, 1978–1991. [Google Scholar] [CrossRef]
- Corrigan, A. Social Competence Scale—Teacher Version‚ Grade 3/Year 4 (Fast Track Project Technical Report). 2003. Available online: http://www.fasttrackproject.org (accessed on 20 May 2022).
- Shields, A.; Cicchetti, D. Emotion regulation among school-age children: The development and validation of a new criterion Q-sort scale. Dev. Psychol. 1997, 33, 906–916. [Google Scholar] [CrossRef] [PubMed]
- Servera, M.; García-Delgar, B.; Cicchetti, D. The emotion regulation checklist: Spanish Balearic Islands translation. 2016; Unpublished manuscript. [Google Scholar]
- Sireci, S.; Faulkner-Bond, M. Evidencia de validez basada en el contenido del test. Psicothema 2014, 26, 100–107. [Google Scholar]
- Falzarano, M.; Pinto Zipp, G. Seeking consensus through the use of the Delphi technique in health sciences research. J. Allied Health 2013, 42, 99–105. [Google Scholar]
- Bosque-prous, M.; Espelt, A.; Juárez, O.; Ramos, P.; Bartroli, M. Educación Emocional y Salud Pública. Psico 2015, 46, 409–411. [Google Scholar] [CrossRef]
- Rosseel, Y. lavaan: An R Package for Structural Equation Modeling. J. Stat. Softw. 2012, 48, 1–36. [Google Scholar] [CrossRef] [Green Version]
- Hu, L.; Bentler, P.M. Cutoff criteria for fit indexes in covariance structure analysis: Conventional criteria versus new alterna-tives. Struct. Equ. Model. Multidiscip. J. 1999, 6, 1–55. [Google Scholar] [CrossRef]
- Marsh, H.W.; Hau, K.-T.; Wen, Z. In Search of Golden Rules: Comment on Hypothesis-Testing Approaches to Setting Cutoff Values for Fit Indexes and Dangers in Overgeneralizing Hu and Bentler’s (1999) Findings. Struct. Equ. Model. A Multidiscip. J. 2004, 11, 320–341. [Google Scholar] [CrossRef]
- Rodriguez, A.; Reise, S.P.; Haviland, M.G. Evaluating bifactor models: Calculating and interpreting statistical indices. Psychol. Methods 2016, 21, 137–150. [Google Scholar] [CrossRef] [PubMed]
- Viladrich, C.; Angulo-brunet, A.; Doval, E. A journey around alpha and omega to estimate internal consistency reliability. An. Psicol. 2017, 33, 755–782. [Google Scholar] [CrossRef] [Green Version]
- Nunnally, J.C. Psychometric Theory; McGrawHill: New York, NY, USA, 1978. [Google Scholar]
- Prado-Galbarro, F.J.; Pérez-Ferrer, C.; Ortigoza, A.; López-Olmedo, N.P.; Braverman-Bronstein, A.; Rojas-Martínez, R.; de Castro, F.; Barrientos-Gutiérrez, T. Early childhood development and urban environment in Mexico. PLoS ONE 2021, 16, e0259946. [Google Scholar] [CrossRef] [PubMed]
- Locke, R.L.; Lang, N.J. Emotion knowledge and attentional differences in preschoolers showing context-inappropriate anger. Percept. Mot. Ski. 2016, 123, 46–63. [Google Scholar] [CrossRef]
- Sette, S.; Baumgartner, E.; Laghi, F.; Coplan, R.J. The role of emotion knowledge in the links between shyness and children’s socio-emotional functioning at preschool. Br. J. Dev. Psychol. 2016, 34, 471–488. [Google Scholar] [CrossRef]
- Di Maggio, R.; Zappulla, C.; Pace, U. The Relationship Between Emotion Knowledge, Emotion Regulation and Adjustment in Preschoolers: A Mediation Model. J. Child Fam. Stud. 2016, 25, 2626–2635. [Google Scholar] [CrossRef]
- Alonso-Alberca, N.; Vergara, A.I.; Fernández-Berrocal, P.; Johnson, S.R.; Izard, C.E. The adaptation and validation of the Emotion Matching Task for preschool children in Spain. Int. J. Behav. Dev. 2012, 36, 489–494. [Google Scholar] [CrossRef]
- Mayer, J.D.; Caruso, D.R.; Salovey, P. The Ability Model of Emotional Intelligence: Principles and Updates. Emot. Rev. 2016, 8, 290–300. [Google Scholar] [CrossRef]
- Sancassiani, F.; Pintus, E.; Holte, A.; Paulus, P.; Moro, M.F.; Cossu, G.; Angermeyer, M.C.; Carta, M.G.; Lindert, J. Enhancing the Emotional and Social Skills of the Youth to Promote their Wellbeing and Positive Development: A Systematic Review of Universal School-based Randomized Controlled Trials. Clin. Pract. Epidemiol. Ment. Health 2015, 11, 21–40. [Google Scholar] [CrossRef] [Green Version]
- O’Reilly, M.; Svirydzenka, N.; Adams, S.; Dogra, N. Review of mental health promotion interventions in schools. Soc. Psychiatry Psychiatr. Epidemiol. 2018, 53, 647–662. [Google Scholar] [CrossRef] [Green Version]
- Anziom, B.; Strader, S.; Sanou, A.S.; Chew, P. Without Assumptions: Development of a Socio-Emotional Learning Framework That Reflects Community Values in Cameroon. Front. Public Health 2021, 9, 602546. [Google Scholar] [CrossRef] [PubMed]
- Jones, D.E.; Greenberg, M.; Crowley, M. Early Social-Emotional Functioning and Public Health: The Relationship Between Kindergarten Social Competence and Future Wellness. Am. J. Public Health 2015, 105, 2283–2290. [Google Scholar] [CrossRef] [PubMed]
- Humphrey, N.; Kalambouka, A.; Wigelsworth, M.; Lendrum, A.; Deighton, J.; Wolpert, M. Measures of Social and Emotional Skills for Children and Young People: A Systematic Review. Educ. Psychol. Meas. 2011, 71, 617–637. [Google Scholar] [CrossRef]
- Jones, S.; Zaslow, M.; Darling-Churchill, K.E.; Halle, T.G. Assessing early childhood social and emotional development: Key conceptual and measurement issues. J. Appl. Dev. Psychol. 2016, 45, 42–48. [Google Scholar] [CrossRef] [Green Version]
- Neil, A.L.; Christensen, H. Efficacy and effectiveness of school-based prevention and early intervention programs for anxiety. Clin. Psychol. Rev. 2009, 29, 208–215. [Google Scholar] [CrossRef] [PubMed]
- Fernández-Martínez, I.; Morales, A.; Espada, J.P.; Essau, C.A.; Orgilés, M. Effectiveness of the program super skills for life in reducing symptoms of anxiety and depression in young spanish children. Psicothema 2019, 31, 298–304. [Google Scholar] [CrossRef] [PubMed]
- Meilstrup, C.; Holstein, B.E.; Nielsen, L.; Due, P.; Koushede, V. Self-efficacy and social competence reduce socioeconomic inequality in emotional symptoms among schoolchildren. Eur. J. Public Health 2020, 30, 80–85. [Google Scholar] [CrossRef]
- Gedikoglu, M. Social and Emotional Learning. An Evidence Review and Synthesis of Key Issues; Education Policy Institute: London, UK, 2021. [Google Scholar]
- Darling-Churchill, K.E.; Lippman, L. Early childhood social and emotional development: Advancing the field of measurement. J. Appl. Dev. Psychol. 2016, 45, 1–7. [Google Scholar] [CrossRef] [Green Version]
- Mahoney, J.L.; Weissberg, R.P.; Greenberg, M.T.; Dusenbury, L.; Jagers, R.J.; Niemi, K.; Schlinger, M.; Schlund, J.; Shriver, T.P.; Van Ausdal, K.; et al. Systemic social and emotional learning: Promoting educational success for all preschool to high school students. Am. Psychol. 2021, 76, 1128–1142. [Google Scholar] [CrossRef]



| Database | Search Strategy |
|---|---|
| PubMed | (“emotional intelligence” [All Fields] OR “emotional education” [All Fields] OR “emotion regulation” [All Fields] OR “emotion recognition” [All Fields] OR “emotion competence” [All Fields] OR “emotional awareness” [All Fields] OR “emotional regulation” [All Fields] OR “emotional learning” [All Fields] OR “emotional literacy” [All Fields] OR “socioemotional skills” [All Fields] OR “life skills” [All Fields] OR “emotional skills” [All Fields]) AND ((“evaluation studies” [Publication Type] OR “evaluation studies as topic” [MeSH Terms] OR “evaluation” [All Fields]) OR (“Assessment” [Journal] OR “assessment” [All Fields]) OR program[All Fields] OR (“Intervention (Amstelveen)” [Journal] OR “intervention” [All Fields] OR “Interv Sch Clin” [Journal] OR “intervention” [All Fields]) OR (“research design” [MeSH Terms] OR (“research” [All Fields] AND “design” [All Fields]) OR “research design” [All Fields] OR “test” [All Fields]) OR (“weights and measures” [MeSH Terms] OR (“weights” [All Fields] AND “measures” [All Fields]) OR “weights and measures” [All Fields] OR “scale” [All Fields]) OR tool[All Fields] OR (“Measurement (Lond)” [Journal] OR “measurement” [All Fields] OR “Measurement ( Mahwah N J)” [Journal] OR “measurement” [All Fields]) OR (“weights and measures” [MeSH Terms] OR (“weights” [All Fields] AND “measures” [All Fields]) OR “weights and measures” [All Fields] OR “measure” [All Fields]) OR instrument[All Fields] OR (“indicators and reagents” [Pharmacological Action] OR “indicators and reagents” [MeSH Terms] OR (“indicators” [All Fields] AND “reagents” [All Fields]) OR “indicators and reagents” [All Fields] OR “indicator” [All Fields])) AND ((“child” [MeSH Terms] OR “child” [All Fields] OR “children” [All Fields]) OR kids[All Fields] OR preschool[All Fields] OR (“child, preschool” [MeSH Terms] OR (“child” [All Fields] AND “preschool” [All Fields]) OR “preschool child” [All Fields] OR “preschooler” [All Fields])) |
| Embase | (“emotional intelligence” OR “emotional education” OR “emotion regulation” OR “emotion recognition” OR “emotion learning” OR “emotion competence” OR “emotional awareness” OR “emotional regulation” OR “emotional learning” OR “emotional literacy” OR “socioemotional skills” OR “life skills” OR “emotional skills”) AND (evaluation OR assessment OR program OR intervention OR test OR scale OR tool OR measurement OR measure OR instrument OR indicator) AND (children OR kids OR preschool OR preschooler) |
| PsycINFO: | (“emotional intelligence” OR “emotional education” OR “emotion regulation” OR “emotion recognition” OR “emotion learning” OR “emotion competence” OR “emotional awareness” OR “emotional regulation” OR “emotional learning” OR “emotional literacy” OR “socioemotional skills” OR “life skills” OR “emotional skills”) AND (evaluation OR assessment OR program OR intervention OR test OR scale OR tool OR measurement OR measure OR instrument OR indicator) AND (children OR kids OR preschool OR preschooler) |
| Cochrane Database of Systematic Reviews | http://www.cochranelibrary.com/cochrane-database-of-systematic-reviews/ (accessed on 15 January 2017) |
| Criteria | Description of the Criteria |
|---|---|
| Criterion 1 | At least one emotional competence was assessed. |
| Criterion 2 | Free access to the test was authorized by the author/s. |
| Criterion 3 | The respondents were teachers. |
| Criterion 4 | Evidence of reliability and validity was provided. |
| Criterion 5 | The test was used in at least one research project. |
| Model | X2 | df | CFI | TLI | RMSEA | RMSEA 90%CI |
|---|---|---|---|---|---|---|
| 5 factors | 5990.54 | 395 | 0.98 | 0.98 | 0.11 | [0.11–0.12] |
| 3 factors | 4296.12 | 402 | 0.99 | 0.99 | 0.09 | [0.09–0.10] |
| 1 factor | 8737.37 | 405 | 0.98 | 0.97 | 0.14 | [0.14–0.14] |
| Bifactor (3 specific) | 2357.29 | 375 | 0.99 | 0.99 | 0.07 | [0.07–0.07] |
| Factor | Item | Factor Loadings for General Factor | Factor Loadings for Specific Factors |
|---|---|---|---|
| awa1 | The child can express why he/she or another person can feel a certain emotion | 0.73 | 0.51 |
| awa2 | The child is able to communicate aspects of himself/herself of which to feel proud about, both when asked and spontaneously | 0.73 | 0.48 |
| awa3 | The child identifies body signs (facial expression, posture, and tone of voice) reflecting every emotion | 0.74 | 0.32 |
| awa4 | The child can explain what emotion he/she is feeling | 0.75 | 0.52 |
| awa5 | The child knows that different people can feel different emotions when facing the same situation | 0.82 | 0.13 |
| awa6 | The child is aware that what he/she does can affect how others feel | 0.83 | 0.05 |
| awa7 | The child recognizes that emotions can be preceded by a specific situation | 0.95 | 0.07 |
| awa8 | The child is able to make coherent decisions considering how he/she feels, what he/she needs, and the impact that the decision will have | 0.88 | 0.00 |
| awa9 | The child is aware that his/her emotions influence subsequent behaviors | 0.89 | 0.02 |
| reg1 | The child controls his rage when there is a disagreement | 0.65 | 0.57 |
| reg2 | The child waits his/her turn | 0.49 | 0.62 |
| reg3 | The child can autonomously control his/her excitement not to bother the others | 0.60 | 0.65 |
| reg4 | The child manages his/her negative emotions independently, not lingering on them | 0.75 | 0.36 |
| reg5 | The child uses appropriate strategies to control anxiety | 0.77 | 0.39 |
| reg6 | When the child has a problem, he/she strives to see the positive side of things | 0.79 | 0.24 |
| reg7 | The child demonstrates self-control | 0.68 | 0.59 |
| reg8 | The child treats the others fairly and tolerates differences | 0.71 | 0.42 |
| reg9 | The child is able to share things | 0.63 | 0.50 |
| reg10 | The child can soothe himself/herself when excited or angry | 0.67 | 0.57 |
| reg11 | The child is able to accept and tolerate that things do not turn out as he/she expected | 0.68 | 0.53 |
| reg12 | The child can do an activity for a while, enjoying it and concentrating while being oblivious to what happens elsewhere | 0.74 | 0.19 |
| wel1 | The child usually has a positive attitude | 0.76 | 0.21 |
| wel2 | The child helps the others | 0.76 | 0.09 |
| wel3 | The child is able to initiate social contacts and interactions | 0.71 | 0.40 |
| wel4 | The child seems to be emotionally well | 0.72 | 0.42 |
| wel5 | The child is able to enjoy | 0.74 | 0.50 |
| wel6 | The child has a positive self-image | 0.71 | 0.54 |
| wel7 | The child has reasonable self-expectations considering his/her age and the period of life | 0.83 | 0.20 |
| wel8 | The child feels confident and self-confident | 0.72 | 0.42 |
| wel9 | The child shows good social skills with friends | 0.76 | 0.38 |
| M | SD | Min | Max | ECAQ | 1 | 2 | 3 | 4 | 5 | 6 | 7 | |
|---|---|---|---|---|---|---|---|---|---|---|---|---|
| ERC Subsample (n = 134) | ||||||||||||
| ECAQ | 117.69 | 27.44 | 49 | 177 | 1.00 | |||||||
| Total ERC (1) | 50.49 | 8.13 | 27 | 78 | −0.29 | 1.00 | ||||||
| Lability/Negativity (2) | 23.28 | 7.30 | 14 | 55 | −0.62 | 0.84 | 1.00 | |||||
| Regulation (3) | 23.27 | 4.46 | 11 | 32 | 0.63 | 0.22 | −0.33 | 1.00 | ||||
| SRS Subsample (n = 119) | ||||||||||||
| ECAQ | 126.73 | 27.87 | 39 | 178 | 1.00 | |||||||
| Total SRS | 172.18 | 31.29 | 62 | 219 | 0.79 | |||||||
| SCS-T Subsample (n = 89) | ||||||||||||
| ECAQ | 123.75 | 29.08 | 63 | 179 | 1.00 | |||||||
| Total SCS-T (4) | 82.16 | 18.58 | 43 | 119 | 0.83 | 1.00 | ||||||
| Prosocial (5) | 25.39 | 6.00 | 13 | 37 | 0.83 | 0.95 | 1.00 | |||||
| Regulation(6) | 32.75 | 7.73 | 19 | 48 | 0.80 | 0.95 | 0.88 | 1.00 | ||||
| Academic (7) | 24.01 | 5.96 | 10 | 34 | 0.70 | 0.92 | 0.83 | 0.80 | 1.00 | |||
Publisher’s Note: MDPI stays neutral with regard to jurisdictional claims in published maps and institutional affiliations. |
© 2022 by the authors. Licensee MDPI, Basel, Switzerland. This article is an open access article distributed under the terms and conditions of the Creative Commons Attribution (CC BY) license (https://creativecommons.org/licenses/by/4.0/).
Share and Cite
Bartroli, M.; Angulo-Brunet, A.; Bosque-Prous, M.; Clotas, C.; Espelt, A. The Emotional Competence Assessment Questionnaire (ECAQ) for Children Aged from 3 to 5 Years: Validity and Reliability Evidence. Educ. Sci. 2022, 12, 489. https://doi.org/10.3390/educsci12070489
Bartroli M, Angulo-Brunet A, Bosque-Prous M, Clotas C, Espelt A. The Emotional Competence Assessment Questionnaire (ECAQ) for Children Aged from 3 to 5 Years: Validity and Reliability Evidence. Education Sciences. 2022; 12(7):489. https://doi.org/10.3390/educsci12070489
Chicago/Turabian StyleBartroli, Montse, Ariadna Angulo-Brunet, Marina Bosque-Prous, Catrina Clotas, and Albert Espelt. 2022. "The Emotional Competence Assessment Questionnaire (ECAQ) for Children Aged from 3 to 5 Years: Validity and Reliability Evidence" Education Sciences 12, no. 7: 489. https://doi.org/10.3390/educsci12070489
APA StyleBartroli, M., Angulo-Brunet, A., Bosque-Prous, M., Clotas, C., & Espelt, A. (2022). The Emotional Competence Assessment Questionnaire (ECAQ) for Children Aged from 3 to 5 Years: Validity and Reliability Evidence. Education Sciences, 12(7), 489. https://doi.org/10.3390/educsci12070489

