Investigation of the Effect of Badges in the Online Homework System for Undergraduate General Physics Course
Abstract
:1. Introduction
- RQ 1.
- What is the effect of digital badges on the timeliness of assignment submissions within an undergraduate physics course?
- RQ 2.
- Do students actively attempt to earn digital badges when given the opportunity?
- RQ 3.
- What is the relationship between digital badges and the distributed practice of assignments within an undergraduate physics course?
2. Literature Review
2.1. Teaching of Introductory Physics with Web-Based Homework System
2.2. Digital Badges in Higher Education
3. Materials and Methods
3.1. Badge Design and Homework System
3.2. Requirements to Earn a Badge
- Score full marks on any of the assignment attempts—first, second, or third;
- The full-mark attempt occurred before a given date—typically one week after the assignment was made available—which was readily visible in the homework system.
3.3. Setting of This Study
3.4. Sample Size
3.5. Data Collection, Management and Analysis
4. Results and Discussion
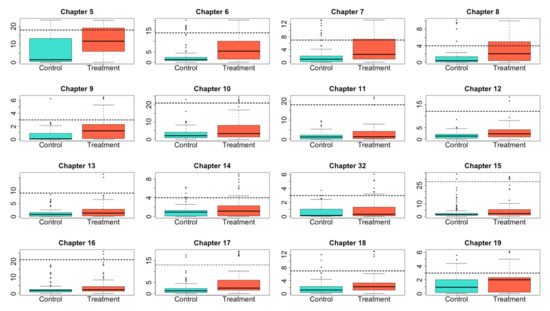
4.1. Timeliness of Assignment Submissions
4.2. Attempt to Earn Digital Badges
4.3. Distributed Practice
4.4. Performance on Assignment and Exams
5. Conclusions and Future Study
Author Contributions
Funding
Institutional Review Board Statement
Informed Consent Statement
Data Availability Statement
Acknowledgments
Conflicts of Interest
References
- Khoshkangini, R.; Valetto, G.; Marconi, A.; Pistore, M. Automatic generation and recommendation of personalized challenges for gamification. User Modeling User-Adapt. Interact. 2021, 31, 1–34. [Google Scholar] [CrossRef]
- De-Marcos, L.; Garcia-Cabot, A.; Garcia-Lopez, E.; Ramírez-Valarde, R.V.; Teixeira, A.M.; Martínez-Herráiz, J.-J. Gamifying Massive Online Courses: Effects on the Social Networks and Course Completion Rates. Appl. Sci. 2020, 10, 7065. [Google Scholar] [CrossRef]
- Kim, J.; Castelli, D.M. Effects of Gamification on Behavioral Change in Education: A Meta-Analysis. Int. J. Environ. Res. Public Health 2021, 18, 3550. [Google Scholar] [CrossRef] [PubMed]
- Garnett, T.; Button, D. The use of digital badges by undergraduate nursing students: A three-year study. Nurse Educ. Pract. 2018, 32, 1–8. [Google Scholar] [CrossRef] [PubMed] [Green Version]
- Morris, B.J.; Dragovich, C.; Todaro, R.; Balci, S.; Dalton, E. Comparing badges and learning goals in low-and high-stakes learning contexts. J. Comput. High. Educ. 2019, 31, 573–603. [Google Scholar] [CrossRef]
- Gibson, D.; Ostashewski, N.; Flintoff, K.; Grant, S.; Knight, E. Digital badges in education. Educ. Inf. Technol. 2015, 20, 403–410. [Google Scholar] [CrossRef] [Green Version]
- Hamari, J. Do badges increase user activity? A field experiment on the effects of gamification. Comput. Hum. Behav. 2017, 71, 469–478. [Google Scholar] [CrossRef]
- Imran, H. Evaluation of awarding badges on Student’s engagement in Gamified e-learning systems. Smart Learn. Environ. 2019, 6, 17. [Google Scholar] [CrossRef]
- Mcgovern, T.; Gogan, J. Can Digital Badging Support an Inclusive New Normal in Higher Education? In Proceedings of the 54th Hawaii International Conference on System Sciences, Grand Wailea, Maui, Hawaii, 5–8 January 2021; p. 6339. [Google Scholar]
- Haughton, N.A.; Singh, P.R. A Content Analysis of the Emergent Scholarship on Digital and Open Badges in Higher Education Learning and Assessment. Issues Trends Learn. Technol. 2019, 7, 2. [Google Scholar] [CrossRef]
- Liyanagunawardena, T.R.; Scalzavara, S.; Williams, S.A. Open Badges: A Systematic Review of Peer-Reviewed Published Literature (2011–2015). Eur. J. Open Distance E Learn. 2017, 20, 1–16. [Google Scholar] [CrossRef] [Green Version]
- Noyes, J.A.; Welch, P.M.; Johnson, J.W.; Carbonneau, K.J. A systematic review of digital badges in health care education. Med. Educ. 2020, 54, 600–615. [Google Scholar] [CrossRef] [PubMed]
- Young, S.S.-C.; Hung, K.J. A study of development of the homework system to improve teaching and learning effectiveness of college General Physics courses. Int. J. Digit. Learn. Technol. 2022, 14, 63722–63744. [Google Scholar]
- Hung, K.C. A Study of Integrating Homework System into University General Physics; National Tsing Hua University: Hsinchu, Taiwan, 2015. [Google Scholar]
- Turpen, C.; Finkelstein, N.D. The construction of different classroom norms during Peer Instruction: Students perceive differences. Phys. Rev. Spec. Top. Phys. Educ. Res. 2010, 6, 020123. [Google Scholar] [CrossRef] [Green Version]
- Dancy, M.; Henderson, C. Pedagogical practices and instructional change of physics faculty. Am. J. Phys. 2010, 78, 1056–1063. [Google Scholar] [CrossRef] [Green Version]
- Fraser, J.M.; Timan, A.L.; Miller, K.; Dowd, J.E.; Tucker, L.; Mazur, E. Teaching and physics education research: Bridging the gap. Rep. Prog. Phys. 2014, 77, 032401. [Google Scholar] [CrossRef] [Green Version]
- Lynch, R.; Dembo, M. The relationship between self-regulation and online learning in a blended learning context. Int. Rev. Res. Open Distrib. Learn. 2004, 5, 1–16. [Google Scholar] [CrossRef] [Green Version]
- Zimmerman, B.J. Becoming a self-regulated learner: An overview. Theory Pract. 2002, 41, 64–70. [Google Scholar] [CrossRef]
- Abramovich, S. Understanding digital badges in higher education through assessment. Horizon 2016, 24, 126–131. [Google Scholar] [CrossRef]
- Denny, P. The effect of virtual achievements on student engagement. In Proceedings of the SIGCHI Conference on Human Factors in Computing Systems, Paris, France, 27 April 2013; pp. 763–772. [Google Scholar]
- Hakulinen, L.; Auvinen, T.; Korhonen, A. The Effect of Achievement Badges on Students’ Behavior: An Empirical Study in a University-Level Computer Science Course. Int. J. Emerg. Technol. Learn. 2015, 10, 4221. [Google Scholar] [CrossRef] [Green Version]
- Šuníková, D.; Kubincová, Z.; Simionescu, S.; Popescu, E. Peer assessment augmented with digital badges: A first experience report. In Proceedings of the 2017 16th International Conference on Information Technology Based Higher Education and Training (ITHET), Ohrid, Macedonia, 10–12 June 2017; pp. 1–5. [Google Scholar]
- Newby, T.J.; Cheng, Z. Instructional digital badges: Effective learning tools. Educ. Technol. Res. Dev. 2019, 68, 1053–1067. [Google Scholar] [CrossRef]
- Gossell-Williams, M.D. Enhancing undergraduate pharmacology course content through antimicrobial stewardship digital badge integration. Natl. J. Physiol. Pharm. Pharmacol. 2020, 10, 442–443. [Google Scholar]
- Aşıksoy, G. The effects of the gamified flipped classroom environment (GFCE) on students’ motivation, learning achievements and perception in a physics course. Qual. Quant. 2018, 52, 129–145. [Google Scholar] [CrossRef]
- Dela Cruz, M.K.B.; Tolentino, A.N.; Roleda, L.S. Increasing Student Motivation in College Physics with Gamified Instruction. In Proceedings of the 2020 11th International Conference on E-Education, E-Business, E-Management, and E-Learning, Osaka, Japan, 10–12 January 2020; pp. 268–274. [Google Scholar]
- Amado, C.M.; Roleda, L.S. Game Element Preferences and Engagement of Different Hexad Player Types in a Gamified Physics Course. In Proceedings of the 2020 11th International Conference on E-Education, E-Business, E-Management, and E-Learning, Osaka, Japan, 10–12 January 2020; pp. 261–267. [Google Scholar]
- Abramovich, S.; Schunn, C.; Higashi, R.M. Are badges useful in education? It depends upon the type of badge and expertise of learner. Educ. Technol. Res. Dev. 2013, 61, 217–232. [Google Scholar] [CrossRef]
- Glover, I.; Latif, F. Investigating Perceptions And Potential Of Open Badges In Formal Higher Education. In Proceedings of the EdMedia+ Innovate Learning, Victoria, BC, Canada, 24–28 June 2013; pp. 1398–1402. [Google Scholar]
- Haaranen, L.; Ihantola, P.; Hakulinen, L.; Korhonen, A. How (not) to Introduce Badges to Online Exercises. In Proceedings of the 45th ACM Technical Symposium on Computer Science Education, Atlanta, GA, USA, 5–8 March 2014; pp. 33–38. [Google Scholar]
- Hakulinen, L.; Auvinen, T.; Korhonen, A. Empirical Study on the Effect of Achievement Badges in TRAKLA2 Online Learning Environment. In Proceedings of the 2013 Learning and Teaching in Computing and Engineering, Washington, DC, USA, 21–24 March 2013; pp. 47–54. [Google Scholar]
- Hanus, M.D.; Fox, J. Assessing the effects of gamification in the classroom: A longitudinal study on intrinsic motivation, social comparison, satisfaction, effort, and academic performance. Comput. Educ. 2015, 80, 152–161. [Google Scholar] [CrossRef]
- Barrie, S.C. A research-based approach to generic graduate attributes policy. High. Educ. Res. Dev. 2012, 31, 79–92. [Google Scholar] [CrossRef]
- Rohrer, D.; Taylor, K. The effects of overlearning and distributed practise on the retention of mathematics knowledge. Appl. Cogn. Psychol. Off. J. Soc. Appl. Res. Mem. Cogn. 2006, 20, 1209–1224. [Google Scholar] [CrossRef]
- Grote, M.G. The Effect of Massed Versus Spaced Practice on Retention and Problem-Solving in High School Physics. Ohio J. Sci. 1995, 95, 243–247. [Google Scholar]
- Uanhoro, J.O. A Quasi-Experimental Study on the Effect of Badges on Timeliness within an Undergraduate Physics Cours; National Tsing Hua University: Hsinchu, Taiwan, 2016. [Google Scholar]
- Liang, J. Study of the Effectiveness of a Web-Based Interactive Homework; Mississippi State University: Starkville, MS, USA, 2002. [Google Scholar]
- Demirci, N. University Students’ Perceptions of Web-Based vs. Paper-Based Homework in a General Physics Course. Eurasia J. Math. Sci. Technol. Educ. 2007, 3, 29–34. [Google Scholar] [CrossRef]


| Assignment | Topic | Badge Image | Assignment | Topic | Badge Image |
|---|---|---|---|---|---|
| Chapter 5 | Motion, Force and Newton’s Laws | ![]() | Chapter 6 | Work, Energy, and Power | ![]() |
| Chapter 7 | Conservation of Energy | ![]() | Chapter 8 | Gravity | ![]() |
| Chapter 9 | Systems of Particles | ![]() | Chapter 10 | Rotational Motion | ![]() |
| Chapter 11 | Rotational Motion | ![]() | Chapter 12 | Static Equilibrium and Oscillatory Motion | ![]() |
| Chapter 13 | Static Equilibrium & Oscillatory Motion | ![]() | Chapter 14 | Wave Motion, & Interference & Diffraction | ![]() |
| Chapter 32 | Wave Motion, & Interference & Diffraction | ![]() | Chapter 15 | Fluid Motion | ![]() |
| Chapter 16 | Thermo-dynamics | ![]() | Chapter 17 | Thermo-dynamics | ![]() |
| Chapter 18 | Thermo-dynamics | ![]() | Chapter 19 | Thermo-dynamics | ![]() |
| Chapters | Requirement (Name) | Image |
|---|---|---|
| Chapters 5–9 | Obtain 4 badges from 5 assignments (Bronze Cup) | ![]() |
| Chapters 10–14 & 32 | Obtain 4 badges from 6 assignments (Silver Cup) | ![]() |
| Chapters 15–19 | Obtain 4 badges from 5 assignments (Gold Cup) | ![]() |
| All Chapters | Obtain 3 badges from chapters 5–9, 3 badges from chapters 10–14 & 32, and 3 badges from chapters 15–19 (Star) | ![]() |
| All Chapters | Obtain 4 badges from chapters 5–9, 4 badges from chapters 10–14 & 32, and 4 badges from chapters 15–19 (Einstein) | ![]() |
| Estimate (Days) | SE | t | p | |
|---|---|---|---|---|
| Group | 1.84 | 0.16 | 11.39 | <2.22 × 1016 *** |
| Scaled pre-test grade | 0.69 | 0.083 | 8.36 | <2.22 × 1016 *** |
| Type of Badge | Group | Badge Count (Unique Earners) | M | SD | W | p |
|---|---|---|---|---|---|---|
| Sum: chapters 5–9 badges | Control | 22 (12) | 0.23 | 0.71 | 2375 | 0.00015 *** |
| Treatment | 67 (25) | 0.99 | 1.54 | |||
| Sum: chapters 10–14, 32 badges | Control | 6 (6) | 0.064 | 0.25 | 2759 | 0.0080 ** |
| Treatment | 29 (13) | 0.43 | 1.00 | |||
| Sum: chapters 15–19 badges | Control | 14 (10) | 0.15 | 0.53 | 2806 | 0.035 * |
| Treatment | 31 (15) | 0.46 | 1.01 | |||
| Sum: all chapter badges | Control | 42 (19) | 0.45 | 1.09 | 2276 | 0.00013 *** |
| Treatment | 127 (31) | 1.87 | 2.92 | |||
| Bronze Cup | Control | 1 (1) | 0.011 | 0.10 | 2854 | 0.0035 ** |
| Treatment | 8 (8) | 0.12 | 0.33 | |||
| Silver Cup | Control | 0 (0) | 0 | 0 | 3149 | 0.24 |
| Treatment | 1 (1) | 0.015 | 0.12 | |||
| Gold Cup | Control | 1 (1) | 0.011 | 0.10 | 3136 | 0.38 |
| Treatment | 2 (2) | 0.029 | 0.17 | |||
| Star | Control | 0 (0) | 0 | 0 | 3102 | 0.097 |
| Treatment | 2 (2) | 0.029 | 0.17 |
| Period in Semester | Group | n | Mean (sd) | Median | Min | Max | Range |
|---|---|---|---|---|---|---|---|
| 1st period | Control | 327 | 1.25 (3.01) | 0.16 | 0 | 22.60 | 22.60 |
| Treatment | 223 | 1.91 (2.82) | 0.59 | 0 | 15.26 | 15.26 | |
| 2nd period | Control | 430 | 0.62 (1.37) | 0.13 | 0.00013 | 18.99 | 18.99 |
| Treatment | 321 | 1.12 (2.45) | 0.24 | 0 | 19.02 | 19.02 | |
| 3rd period | Control | 354 | 0.84 (2.18) | 0.080 | 6.94 × 105 | 19.01 | 19.01 |
| Treatment | 259 | 1.42 (3.22) | 0.10 | 1.16 × 105 | 21.67 | 21.67 | |
| All periods | Control | 1111 | 0.87 (2.23) | 0.12 | 0 | 22.60 | 22.60 |
| Treatment | 803 | 1.44 (2.83) | 0.20 | 0 | 21.67 | 21.67 |
| Exam | Estimate | SE | t | p | Adjusted R-Squared |
|---|---|---|---|---|---|
| First Exam | 2.969 | 2.824 | 1.051 | 0.295 | 0.00065 |
| Second Exam | 4.097 | 1.898 | 2.159 | 0.0323 * | 0.02224 |
| Third Exam | 2.657 | 2.720 | 0.977 | 0.33 | −0.00029 |
Publisher’s Note: MDPI stays neutral with regard to jurisdictional claims in published maps and institutional affiliations. |
© 2022 by the authors. Licensee MDPI, Basel, Switzerland. This article is an open access article distributed under the terms and conditions of the Creative Commons Attribution (CC BY) license (https://creativecommons.org/licenses/by/4.0/).
Share and Cite
Uanhoro, J.; Young, S.S.-C. Investigation of the Effect of Badges in the Online Homework System for Undergraduate General Physics Course. Educ. Sci. 2022, 12, 217. https://doi.org/10.3390/educsci12030217
Uanhoro J, Young SS-C. Investigation of the Effect of Badges in the Online Homework System for Undergraduate General Physics Course. Education Sciences. 2022; 12(3):217. https://doi.org/10.3390/educsci12030217
Chicago/Turabian StyleUanhoro, James, and Shelley Shwu-Ching Young. 2022. "Investigation of the Effect of Badges in the Online Homework System for Undergraduate General Physics Course" Education Sciences 12, no. 3: 217. https://doi.org/10.3390/educsci12030217
APA StyleUanhoro, J., & Young, S. S.-C. (2022). Investigation of the Effect of Badges in the Online Homework System for Undergraduate General Physics Course. Education Sciences, 12(3), 217. https://doi.org/10.3390/educsci12030217






















