Abstract
Active learning, represented by inquiry-based science education (IBSE) strategies, is considered essential for students to develop skills and knowledge to prepare for the challenges of the 21st century world. The success of IBSE, and the resulting development of inquiry skills in particular, can be enhanced by various factors. This study is focused on the synergetic effect of the implementation of IBSE through well-designed inquiry activities across STEM-related disciplines, enhanced by digital technologies and formative assessment tools, delivered by teachers educated in this field. The corresponding research based on a quasi-experimental design evaluated the effect on the development of inquiry skills that were identified before and after a period of consistent implementation of IBSE, using a written test of inquiry skills as the main research instrument. The research findings on the sample of 2307 upper secondary school students confirmed a low initial level of inquiry skills, however a statistically significant improvement in students’ inquiry skills with medium size effect was identified. The detailed analysis shows the largest impact in the skill of determination of accuracy and statistically significant differences between genders without practical importance, however no difference was identified with regard to the number of inquiry activities undertaken.
1. Introduction
This study was initiated as part of the long-time intensive effort aimed at the implementation of innovations in STEM education at the national level combined with active learning strategies. Our partnership in large European projects, such as ESTABLISH [1] and SAILS [2] served as a professional starting point for intensive activities related to active learning represented mainly by inquiry-based science education (IBSE). A lot of attention was also paid to the assessment strategies, development of the respective instructional materials enhanced by digital technologies, and teacher professional development in this field. In addition, the IT Academy large-scale national project [3] provided a platform for a wide and consistent implementation of the IBSE methodologies designed. Even though there are many studies on the role of specific factors influencing the success of IBSE, in this case, the authors investigated the effect of IBSE—implemented across several STEM-related disciplines in a targeted and consistent manner, enhanced by digital technologies and formative assessment tools, and delivered by educated teachers—on the inquiry skill development. In the following sections, the theoretical background, goals, methods, results, and discussion pertaining to this research are presented.
1.1. Active Learning and IBSE
Active learning strategies and their implementation into teaching practice are still in focus by science educators and science education researchers. One of the key reasons for this relentless interest are the radical technological changes in the 21st century and implemented the growing set of shared problems and challenges that humans are facing [4,5]. Addressing these challenges requires a set of skills and knowledge to properly prepare learners for active engagement in the 21st century world [6]. The labour market needs people equipped with analytical thinking, digital skills, and communication skills [7].
Active learning engages students in the process of learning through activities and/or discussion in class, as opposed to passive listening to the teacher. It emphasizes higher-order thinking and often involves group work [8]. In active learning, students are required “to select, organize, and integrate information, either independently or in groups” [9]. It involves students in doing things and thinking about what they are doing [10]. McConnell and others [11] combine these aspects to formulate the following components of active learning: “(1) students participate in activities (either by doing or observing them) in addition to (or instead of) listening to direct instruction; (2) activities provide opportunities for student reflection on their learning or facilitate student–instructor interaction and assessment of learning; and (3) peer-to-peer interaction occurs as students complete the activity”.
There is a wide range of active learning strategies. Michael and Modell as cited in [12] as well as Hood Cataneo [13] list some of the strategies for science education, e.g., problem-based learning, cooperative/collaborative learning/group work, think-pair-share or peer instruction, and inquiry-based science education strategies. In an IBSE teaching and learning environment, learners are placed into situations in which they are invited to solve problems, formulate and answer questions independently, i.e., they follow the same procedures as scientists. Like scientists, students also investigate the world around them through active experimentation or by modelling the behaviour of an object or a system. This approach to learning requires a variety of skills often referred to as the science process or inquiry skills. Kuhltau [14] stresses that inquiry approach is the most efficient way to learn in the 21st century since students engaged in inquiry develop a variety of different competencies, knowledge, and skills. IBSE skills can be defined using different frameworks. Table 1 shows a framework of inquiry skills for experimental activities elaborated based on inquiry skills taxonomies [15,16,17,18]. This framework arranges skills into five stages of the inquiry process included the respective skills.
Table 1.
Framework of inquiry skills [19].
There have been a large number of studies conducted in the field of IBSE investigating its effect on students’ achievement in various fields. The results show its positive effect on conceptual understanding and inquiry skills development [19,20,21,22,23,24], as well as on other aspects of learning, e.g., curiosity [25] and attitudes and motivation towards science [26].
1.2. STEM Education and IBSE
Although inquiry-based learning originated in science education [27], where students are involved in authentic scientific practices (e.g., planning and designing experiments and collecting data), it also occurs in mathematical or technological contexts [28,29,30]. This approach to learning mirrors the procedure and thinking that scientists, engineers, and innovators use in the real world. As a result, inquiry-based learning naturally suits related disciplines such as science, technology, engineering and mathematics, or STEM disciplines, as defined by the National Science Foundation [31]. Even though there had been initiatives aimed at improvement much earlier, the call for the increased attention towards STEM education began in the early 2000s as a result of the need for today’s students to be prepared for a technology-based future and a changing workforce [32]. It is also viewed as a response to low levels of students’ interest and engagements in STEM-related disciplines, leading to declining enrolments and concerns about shortages in people taking up STEM-focused careers [33]. This is in contrast with the fact that “employment of STEM skilled labour in the European Union is increasing in spite of the economic crisis and demand is expected to grow. Around 7 million job openings are forecast until 2025. Demand for STEM skills concerns both upper-secondary and university graduates” [34].
The simple definition of STEM education is based on the idea of educating students in four specific areas (science, technology, engineering, mathematics). More detailed definitions are ambiguous, i.e., there is no single, universally accepted definition of the STEM education model. It can be implemented according to the number of disciplines involved, ranging from STEM 4.0 (integration of all four disciplines in problem-solving or project development) [35,36,37] to STEM 1.0 (disciplines are taught separately in each subject and independently).
The shape of this integration may vary. As suggested by Attard and others [38], the foundations of a STEM approach are formed within the disciplines of mathematics and science that are critical if students are to successfully apply the knowledge and skills from the individual disciplines to STEM-related learning. Shaughnessy [39] highlights the mathematics and science in his definition of STEM education: “STEM education refers to solving problems that draw on concepts and procedures from mathematics and science while incorporating the team work and design methodology of engineering and using appropriate technology”. Kelley and Knowles [40] define integrated STEM education as “the approach to teaching the STEM content of two or more STEM domains, bound by STEM practices within an authentic context for the purpose of connecting these subjects to enhance student learning”.
Nevertheless, what is considered important is that either separated or integrated approach should be based on applying constructivist strategies to learning, such as problem-based, project-based or inquiry-based approaches to learning. In this way students explore and come to their own understanding by answering questions and solving problems [38] and drawing evidence-based conclusions while collaborating with others [41]. Inquiry originated in the science disciplines and has long been considered as an effective approach to teaching and learning, particularly within STEM areas. A number of studies point to the benefits of an inquiry-based approach [37], e.g., increased student knowledge and skills in STEM subjects [42] or selected inquiry skills development [19], increased positive attitudes about STEM and STEM careers [43,44], increased understanding of how STEM activities apply to day-to-day life [45] as well as increased problem-solving ability [46].
Some studies point to the gender differences in relation to attitudes towards science. Girls are less interested in science education than boys [28,47,48,49] which usually results in fewer women choosing to study math, science and technology [50]. While the differences between boys and girls remain the same when it comes to field-of-study preference, gender differences in student’ achievements have decreased over the past few decades [51,52] as can be seen in the regular PISA assessment [53,54,55,56,57]. In PISA 2018, boys scored a few points higher than girls in mathematics. On the other hand, girls scored slightly better in science. In PISA 2018 reports [57,58] as well as in the meta-analysis by Reilly et al. [59], the authors suggest that gender differences in mathematics and science are generally small and boys and girls now show similar levels of performance.
1.3. Digital Technologies and IBSE
Several researchers claim that meaningful use of digital technologies can contribute to an increase in students’ motivation for active learning [60,61] and to enhanced subject attainment and attitude to learning [62]. The increased motivation can be linked to enhanced beliefs in their abilities to undertake and engage in learning activities [63]. Moreover, some specific digital tools have strong potential to enhance inquiry. In physics, biology, chemistry, or mathematics they can serve as powerful tools to support experimentation as well as modelling, which are two interconnected methods used by scientists to explore the world around us [64]. Digital technologies such as datalogging, video measurement and simulations enable students to collect, organize, and analyze data from real, virtual or even remote-controlled experiments [65]. With the assistance of computer simulations, students can analyze complex or even microscopic phenomena [66]. Such visualization tools implemented in inquiry activities improve students’ representational competence and conceptual understanding of chemical systems [67]. Computer simulations can also assist students in the development of specific inquiry skills, e.g., identifying and establishing relationships between variables [68,69]. In addition, students can construct computer models independently and compare their outcomes with the results of real experiments [70] to test their models. Students manipulating representations in computer simulations may understand science concepts more deeply because they can observe direct consequences of the changes they make [71]. In mathematics, dynamic tools such as GeoGebra enable students to learn abstract concepts in an interactive and explorative way [72] and support students in making connections between representations [73]. They help students to explore and conjecture mathematical relationships, generate appropriate examples and counterexamples from which students can investigate patterns and develop arguments [74]. Using these interactive dynamic tools provides advanced techniques to visualize and investigate mathematical structured relationships in both mathematics and science teaching [75] and contributes to developing learners’ visual and spatial intuition [76]. It helps to enhance students’ investigative, analytical and interpretative skills [77].
Widely available mobile technologies have been already successfully used in inquiry-based science learning [78]. The smartphone can be a powerful device to collect data, especially with the various sensors that the modern smartphone carries [79,80]. Moreover, students can now go beyond just using mobile technology and can also be active developers of tools for exploring the world around them, thanks to their knowledge of informatics and coding, in particular [81,82].
There are many more digital technologies that can enhance learning. Nattland and Kerres [83] divide them into four categories: drill and practice programs, tutoring systems, intelligent tutoring systems, simulations and hypermedia systems. Their main benefit is connected with their common feature of interactivity based on getting regular feedback, individual learning pace and interaction with the learning environment by allowing manipulation of the presented information [72,84]. Hillmayr and others [72] collected a large number of studies published since the year 2000 investigating how the use of technology can enhance learning in secondary school mathematics and science. Based on the comprehensive meta-analysis they conclude that digital tool use had a positive effect on student learning outcomes. The results of the meta-analysis study show the largest effect sizes from the use of simulations. Karich and others [85], who also conducted research into the effect of simulations, stress that the main reason for this result might be the greater extent of learner control and learning through discovery and exploration. This result also provides evidence for the importance of this specific digital tool for the success of IBSE.
The effective use of digital tools can be influenced by various factors. Results of some studies show more positive attitudes towards digital technologies in boys than in girls [86,87]. The authors of several meta-analysis and comparative studies [88,89,90] suggest that male students hold more positive attitudes towards technology, use technology more actively, and have higher technological self-efficacy.
1.4. Formative Assessment and IBSE
A very important aspect of successful learning is giving regular and constructive feedback to the learner. The regular and interactive evaluation of students’ work with regard to the learning goals and indicating next steps in teaching is known as formative assessment [91]. There are a large number of studies aimed at perspectives on formative assessment in learning [92]. It is agreed that formative assessment is essential to the implementation of IBSE [93]. It should be embedded at every stage of inquiry-based learning [94]. Some formative assessment strategies are designed to directly develop inquiry skills e.g., making predictions, making inferences, drawing conclusions, or question generating [95].
Several research studies suggest that formative assessment supports student development of inquiry skills [96,97]. Other studies point to an important aspect in developing inquiry skills connected to the type of feedback in formative assessments. According to one intervention study [98], students who received information on the learning goal, learning level, and opportunities for improvement achieved a statistically significant increase of their inquiry skills in comparison to students who received only some or none of the mentioned information. As noted in the previous section, digital technologies can help in providing regular feedback on the basis of interaction with the learning environment while respecting the individual’s learning pace [72].
1.5. Teaching and Learning Materials and Teachers’ Professional Development in IBSE
The success of IBSE can be influenced by various factors discussed in the previous sections. Nevertheless, one of the most important elements of the successful implementation of IBSE is the teacher and their pedagogical content knowledge (PCK) in this field [99]. Implementation of IBSE needs motivated and educated teachers. Teachers should be convinced about its positive effect on students’ achievements. Some studies point to several barriers identified in IBSE, such as lack of teacher training, lack of time, lack of materials, lack of support, overemphasis on assessing content learning rather than process learning, inquiry approach is too difficult and far more time consuming [100,101]. As a result, it is essential to provide teachers with high-quality teaching and learning materials as well as to provide ongoing support through in-service and pre-service professional development in IBSE [102]. The results of a research project aimed at the effect of implementation of guided inquiry showed that for all three MAP tests [103] aimed at Scientific Practices, Science Concepts, Science Composite, the students of teachers participating in professional development had significantly higher than expected improvement relative to the comparison group containing students of non-participating teachers. Marshall and others [104,105] also stress that teachers need to devote significant time, at least initially, to lesson planning and must reflect often and deeply on their practice, which involves review and evaluation of the degree of success of their instruction.
Teachers also need support in implementing innovative approaches to teaching with the use of digital technologies. Hähkiöniemi [73] claims that for the use of technology-enriched inquiry-based mathematics teaching it is necessary to prepare pre-planned teaching units. They should involve not only instructional materials for students but also detailed description and comments for teachers on methods used in guiding students through the inquiry lesson.
Results of research conducted by Lee and others [106] show that well-designed inquiry science units can improve student understanding of complex topics across science courses and teaching contexts. It also shows that there are many ways for professional development to improve inquiry outcomes through inquiry workshops, curriculum development experience, mentoring, and peer collaboration.
1.6. Research Problem and Questions
As discussed in the previous sections, inquiry skills development in students is considered an important means for preparing learners for active engagement in the 21st century world. This is the main reason why, among many other active learning strategies, inquiry-based learning is in the main focus of this research. There have been a large number of studies conducted in the field of IBSE investigating its effect on students’ achievement and different elements influencing the success of IBSE (teacher, teaching and learning materials, digital technologies, formative assessment, implementation in STEM education). The existing studies generally investigate the individual effect of these elements and are aimed mainly at reviewing conceptual understanding or attitudes and motivation towards science; however, few studies focus on inquiry skills in particular or investigate the development of inquiry skills.
In the light of the existing research, the main research problem of this study concerns the efficacy of IBSE with regard to inquiry skills development. Unlike the studies investigating the role of specific elements on the success of IBSE, this research the focuses on the synergetic effect of implementation of well-designed inquiry activities across several STEM-related disciplines enhanced by digital technologies and formative assessment tools delivered by teachers educated in this field (the concept hereinafter referred to as “consistent implementation of IBSE across several STEM-related disciplines”). Attention is also paid to specific factors that can influence the success of IBSE.
The research addressed several questions:
- What is the effect of IBSE, if implemented consistently across several STEM-related disciplines, on the level of selected inquiry skill group development?
- What is the effect of IBSE, if implemented consistently across several STEM-related disciplines, on the development of selected inquiry skills?
- How do different factors (gender and number of implemented inquiry activities) influence the level of inquiry skills development?
2. Materials and Methods
2.1. Research Design
This research was conducted in the framework of the large national project IT Academy—Education for the 21st century that has been running in Slovakia from 2016–2022 [3]. The main project goals emerged from the imbalance between the current goals of the biology, physics, chemistry, geography, mathematics and informatics curricula emphasizing IBSE and active learning strategies and the lack of instructional materials and educated teachers in this field. The main project goals were:
- Development of inquiry activities for teaching biology, physics, chemistry, geography, mathematics and informatics in the form of complex teaching and learning materials based on the active learning and inquiry-based learning approaches enhanced by digital technologies and formative assessment tools. The inquiry activities were designed in accordance with the upper secondary curriculum goals. For successful implementation, an instructional model was needed. With regard to other studies [107,108], the 5E model was proposed as an appropriate model to design a lesson based on the IBSE approach (Figure 1). Each lesson plan was developed based on a pre-agreed structure common for all subjects. It started with an overview of the learning objectives with explicitly specified inquiry skills developed in the lesson using the framework in Table 1, teaching aids and materials needed for the lesson. Subsequently, the expected misconceptions and designed level of inquiry were addressed. This overview was followed by a detailed description of the teaching and learning scenario. The concept described served as the common framework for all subjects. Respecting the results of studies regarding the limitations of minimal guidance instruction [109], the lesson plans were designed at a lower level of student independence with the support of learning materials usually in the form of student worksheet and teacher guidance. The activities (mostly at the guided inquiry level including the lesson plans and complementary materials) were designed based on the agreed criteria by experts in education from universities as well as experienced secondary school teachers motivated to implement IBSE. These teachers cooperate with the universities as mentors in pedagogical practicum of student-teachers at secondary schools or participate at various in-service teacher trainings. Altogether, approximately 470 lesson plans were designed.
Figure 1. Main principles (left) and 5E instructional model (right) with corresponding learning cycle phases reflected in teaching and learning materials as well as in in-service teachers’ educational programmes. - Design and implementation of in-service teachers’ educational programmes aimed at IBSE enhanced by elements presented in Figure 1. In this way a large number of teachers were educated in the field of IBSE. Specific 50 h educational programmes designed for biology, physics, chemistry, geography, mathematics and informatics teachers were completed by almost 400 upper secondary school teachers.
- Implementation of IBSE teaching and learning materials in the classroom by teachers educated in the field of IBSE in two subsequent cycles. Even though the materials were designed by experts, their implementation in practice provided meaningful feedback from teachers. Their comments based on direct experience and analysis of students’ outcomes helped authors to make minor edits and improvements in the teaching and learning materials.
The IT Academy national project and implementation of its goals provided an opportunity for conducting this research between March 2018–December 2021. In order to answer the research questions, the following research design was implemented, presented in the structure in Figure 2. Firstly, more than 300 schools across different regions of Slovakia were contacted. They participated in the project voluntarily at different levels of involvement, e.g., they had access to the teaching and learning materials to use in the classroom or their teachers could join teacher educational programmes. Finally, 57 upper secondary schools (in many European countries known as grammar schools) participated in this research. Selected science, mathematics and informatics teachers from the participating schools completed teacher educational programmes and served as tutors for other colleagues from the same school. These teachers implemented the designed teaching and learning materials into practice. The experimental classes were selected based on the curriculum content and availability of teaching and learning materials. Since the schools as well as the experimental classes were not selected truly randomly, the research followed the quasi-experimental design.
Figure 2.
Research design.
Students from the experimental classes were exposed to coherent, intentional inquiry-based teaching and learning across STEM-related disciplines, i.e., biology, chemistry, physics, geography, mathematics and informatics. Even though geography is considered a bridge between natural and social science, it was included in the STEM group because a large part of its curriculum covers physical geography (branch of natural science). The IBSE approach has a large potential in this field as well [110].
During a certain time period, teachers were implementing the designed high-quality teaching and learning materials enriched by digital technologies and formative assessment tools. Each experimental lesson was registered through an online project portal. For each completed lesson, teachers answered an online questionnaire in order to provide feedback. They reflected on how they managed to reach the intended goals, implemented formative assessment tools and digital technologies, and how much assistance students needed to effectively engage in inquiry activities. They also reported any problems they or their students faced during the lesson. In addition, teachers submitted filled-in worksheets or other products collected from five students. It allowed for a better control of the whole process and information about the ongoing experimental instruction was made visible to the research team.
Before and after experimental instruction the level of inquiry skills development was tested using the same research instrument described in the following section. The pre-test was made available between March 2018–March 2020 when schools gradually joined the research. In order to minimize the practice effect of the pre-test [111], a four-month time interval was set as the minimum time to elapse between the pre-test and post-test administration.
2.2. Research Instrument
A test of inquiry skills was the main research instrument used in this study in order to monitor and assess the level of inquiry skills development. The test was developed earlier on the basis of existing testing instruments [112,113,114] and inquiry skills taxonomies [16,17,18]. It consists of 14 test items that are distributed over different inquiry skills and subject matter (Table 2). Most test items are multiple-choice items with one or two correct answers. In two questions students select from a set of variables to identify appropriate variables and their relationship. The students’ answers were evaluated on the basis of agreed criteria. Each answer was assigned a value of 0–1, point which means that students could achieve a test score in the range of 0–14 points. For multiple choice items with one correct answer students got 1 point for the correct choice, but in all other cases (even when the correct answer was combined with another option) they got 0 points. Multiple-choice items with two correct answers were scored with 1 point for choosing just two correct answers and 0.5 point for choosing just one correct answer. In all other cases a score of 0 points was assigned. A detailed description of the test design can be found in [115,116]. The online version was prepared and administered through the LMS Moodle system.
Table 2.
Distribution of test items across different inquiry skills and subject matter.
2.3. Research Sample
The sample involved in the research included students aged 15–18 from the first, second or third grades at various upper secondary schools (including grammar schools). All the STEM-related subjects are compulsory for students in the first three years of study while the fourth grade curriculum differs based on students’ individual interest in specific subjects. Altogether, 109 classes from 57 upper secondary schools with more than 8700 students were involved, i.e., they answered the pre-test or post-test, and they were exposed to experimental teaching. Firstly, students who completed the test in a period less than 15 min and more than 90 min were excluded. These time limits were based on the estimated time needed for test completion that was set at 30–40 min assuming that students read and answer the test items with comprehension. Since there are always students who can complete the test much faster, the lower time limit was set at half of the lower estimate, i.e., 15 min. The upper limit was set at 90 min with regard to the fact that an upper secondary school lesson lasts 45 or even 90 min. Students who did not correctly answer a single test item or students with some missing answers were also excluded from the sample. Next, only those students who completed both pre-test and post-test were finally involved in the research that resulted in the final number of 2307 students. To study the effect of inquiry activities number (IAN) between pre- and post-test, the sample was divided into two group: up to 5 and more than 5 activities. Table 3 represents sizes of the studied sample according to gender and IAN.
Table 3.
Sample sizes of the research sample reflecting gender and IAN.
2.4. Ethical Consideration
The schools that participated in this research were involved in the IT Academy national project. At the beginning of the project, a large number of schools across Slovakia were approached. The schools that were interested in cooperation signed a contract under which they agreed with the implementation of the developed teaching and learning materials and the evaluation of their effectiveness in the classroom. These schools were awarded the “IT Academy partner” status. The students were informed and agreed that the test results concerning their inquiry skills would be statistically processed for research purposes. In terms of result evaluation, each student participant was assigned a code to maintain confidentiality of their personal information.
2.5. Data Analysis
The performance of students in the test was expressed as a percentage. The overall test performance as well as performance in six inquiry skills were analyzed. First, the main features of sample distribution of overall performance in pre- and post-test were analyzed using the basic descriptive statistics. Next, the paired t-test and two-way analysis of variance (ANOVA) were used to address the questions of overall improvement. Finally, for testing the improvement in six inquiry skills the Hotelling T2 test was used. All statistical analyses were performed in R [117,118].
3. Results
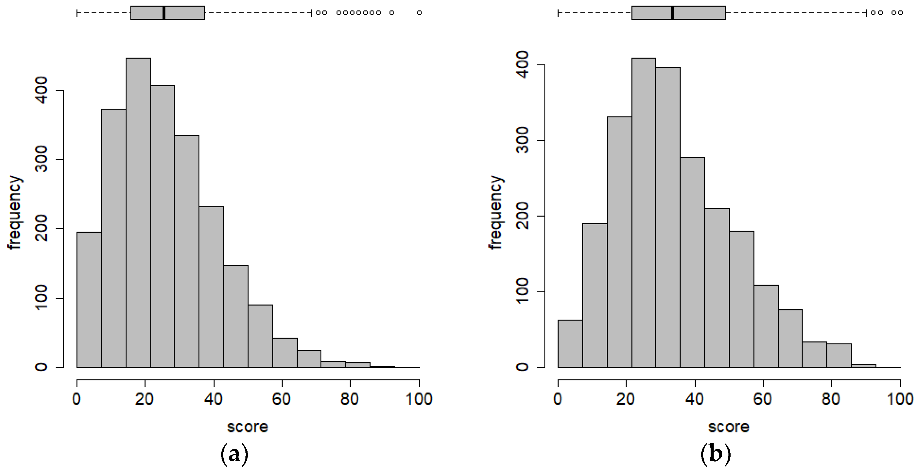
The overall score of pre- and post-test basic descriptive statistics are shown in Table 4 and its distribution is represented in Figure 3 and Figure 4.
Table 4.
Descriptive statistics of pre- and post-tests scores.
Figure 3.
Distribution of pre-test (a) and post-test (b) score.
Figure 4.
Distribution of post-test and pre-test score difference (a) and comparison of mean gains across gender and IAN (b).
To study the relative improvement, the difference between post-test and pre-test scores was calculated and analyzed. The distribution of overall improvement is shown in
The average improvement between pre-test and post-test is 7.99%. For the whole sample the mean score has shifted from 27.12% to 35.11% (median shifts from 25.00% to 32.14%). A paired t-test with the alternative that the performance is greater for post-test showed this shift to be statistically significant (t = 22.89, df = 2306, p < 0.001) with a 95% confidence interval (CI) (7.41, 100). The Cohen’s d for this improvement is 0.48, which means moderate effect [119].
Considering the question of the effect of gender and IAN on the student’s gain a two-way ANOVA was conducted. The normality of the residuals was rejected; however, ANOVA is known to be robust to this assumption as long as homogeneity is not rejected. Nevertheless, using Levene’s test the homogeneity was also rejected (test statistic = 3.19, p = 0.02); to deal with heteroskedasticity we used White-adjusted heteroscedasticity corrected standard errors. Moreover, we checked these ANOVA results with a permuted Wald-type statistic, which allows non-normal error terms as well as heteroscedastic variances [117]. Gender is a statistically significant factor affecting the total gain (test statistic = 11.52, p = 0.0009), while IAN is not (test statistic = 0.058, p = 0.81). Gender and IAN do not interact significantly (test statistic = 0.92; p = 0.33), which means that the IAN increases the gain for boys in the same way as for girls.
Boys have higher mean gain comparing to girls, however, the coefficient η2 being equal to 0.004 indicates that it is only statistically significant without practical importance.
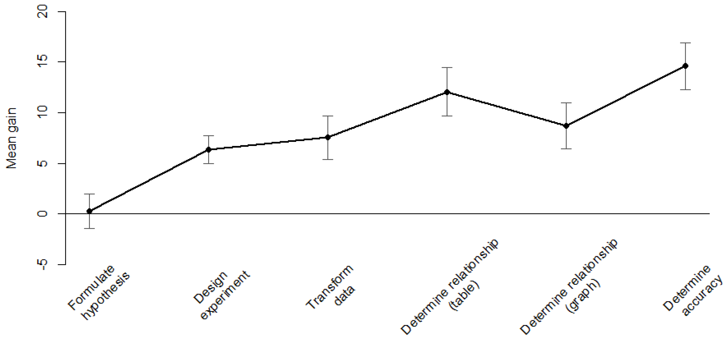
Finally, we considered improvement in six inquiry skills given in Table 2. The results are summarized in Table 5 and in Figure 5 the mean gain is shown. The Hotelling T2 test confirms a statistically significant improvement in all inquiry skills together (T2 = 605.24, df1 = 6, df2 = 2301, p < 0.001). In addition, a paired t-test with Bonferroni correction also revealed an improvement in every considered inquiry skill except the skill Formulate hypothesis (Figure 5).
Table 5.
Results of difference between pre- and post-test in six inquiry skills.
Figure 5.
Comparison of mean gains (together with CI) across the six inquiry skills.
Here we present and analyze the results of one test item aimed at the skill Formulate hypothesis (Table 6). Its main goal is to select all possible hypotheses that enable finding the answer to the presented research question. This test item has two correct answers ((b) and (e)). The average pre-test score reached the value of 23.12% while in the post-test students reached 24.47%. This result shows a low initial level of students’ achievements and almost no practical improvement. This fact can also be seen in the frequencies of selected answers that did not change significantly in post-test compared to pre-test.
Table 6.
Example of test item focusing on formulating hypothesis with its evaluation.
All the offered answers involve key words such as water, earth, sun and also temperature and time, which can be found in the answers, even though they are not mentioned explicitly. Students were expected to decide what relationships between which variables they should observe in order to answer the research question.
The answers express certain experience from everyday life. Nevertheless, some students were not able to choose the answers that represent the hypotheses clearly linked to the research question. This is the case of the (a) answer (it is a hypothesis but not corresponding with the research question) that was selected by a fairly large number of students in combination with the correct (b) answer in both pre- and post-test. We assume that the frequency of the (a) answer choice was influenced also by the fact that this option was clearly and simply formulated and understandable for many students and moreover, it was connected with the (b) answer. Some students did not distinguish between a hypothesis and a research question. This fact can be seen in selecting answer (d) separately or in combination with the correct option (b). The selection of a single correct answer ((b) or (e)) instead of both two correct answers ((b) and (e)) that were mutually exclusive indicates that students may have believed that it is sufficient to test just one of these hypotheses.
4. Discussion and Conclusions
The aim of this study was to assess the effect of IBSE on the level of inquiry skills development. The results show that the implementation of IBSE has an impact on the development of inquiry skills. Implementing IBSE through well-designed inquiry activities across several STEM-related disciplines enhanced by digital technologies and formative assessment tools delivered by educated teachers in this field proved to be effective with regard to inquiry skills development. Having a closer look at the individual research questions we can draw the following conclusions that are discussed below.
4.1. Effect of IBSE on Inquiry Skill Group Development
As the detailed analysis of test results shows, there is a statistically significant improvement in students’ inquiry skills of almost 8% (Table 4). This improvement corresponds to an effect size (Cohen’s d) of 0.48 that means that the experimental intervention has a medium effect on inquiry skills development [119], i.e., the improvement has medium practical significance. These benchmarks given by Cohen in 1969 are used widely across social sciences. Recently, mainly for educational research, Kraft [120] revised these benchmarks and proposed 0.2 as the lower bound for a large effect size. However, according to the research design and several limitations of our study, the interpretation of the given effect size according to Cohen was opted for.
This practically significant improvement is in line with various studies on the effect of IBSE on inquiry skills, however, they mainly focus on the implementation in a single STEM-related subject (physics, chemistry, biology, ecology, mathematics) or integrated science [121,122,123,124,125,126,127,128,129,130]. Inquiry skills improvement was identified when implementing a virtual physics lab [128] or simulation-based inquiry instruction in chemistry [129] that also confirms the role of digital technologies in IBSE. Unlike the aforementioned studies, this research investigates implementation of IBSE across several STEM-related subjects. The question is whether the subject difficulty might affect the gained results. It was assumed that the inquiry approach to teaching and learning was crucial, and the subject content did not play a determining role in this case. The inquiry activities in all subjects were designed based on the agreed framework to target the development of inquiry skills in all subjects concerned. Results of our previous study aimed at consistent implementation of IBSE across three STEM-related subjects (mathematics, physics and informatics) with a much smaller research sample of 300 students show a statistically significant improvement of 7% [19]. This is in line with other similar studies aimed at STEM education. Consistent STEM approach to education provides opportunities to solve problems that require the use and therefore also the subsequent development of inquiry skills. As suggested by Pahrudin [131], STEM integrated with answering questions and solving problems can improve scientific literacy, creativity and learning outcomes. All these studies including this research show that inquiry skills development needs systematic and consistent implementation of IBSE, and that without targeted inquiry teaching students’ inquiry skills stay underdeveloped.
Another question that may emerge in discussion is the achieved value of inquiry skills improvement. Apart from the above mentioned facts the research design also took into account that teachers and their pedagogical content knowledge are crucial for the success of IBSE [99,104,132]. Respecting this important fact, teachers completed educational programmes aimed at IBSE and the principles of instructional materials design. On the other hand, even though the online feedback was collected after each experimental lesson, we had no direct influence on whether teachers actually implemented the inquiry activities applying IBSE strategies in a consistent way as designed in the instructional materials. We assume that there is still some open space for teachers to enhance their motivation towards IBSE and their skills to implement IBSE successfully, and also with regard to digital technologies as well as formative assessment tools. As emerged from the discussions with teachers who participated in the research, teachers expressed their need for ongoing support to improve inquiry outcomes. This is in line with the outcomes of other similar studies [106] which suggested that teachers’ professional development can be conducted in many ways, such as inquiry workshops, curriculum development experience, mentoring or peer collaboration. Moreover, Marshall and others [104] even stress that teachers need to devote time to lesson planning and regular reflection on their own practice. Reflecting the results of this and other research, we followed up with regular teacher training webinars as well as meetings dealing with IBSE implementation.
Implementation of IBSE is a complex and long-term process that requires systematic and ongoing support of teachers in stimulating and developing their pedagogical and professional development. Moreover, it needs changes in educational policy also including the curriculum design that should reflect IBSE approaches connected with the content, learning goals, teaching and learning strategies as well as the assessment. For science education, in particular, effective classroom organization with a smaller number of students and science laboratories with appropriate equipment are also important factors for success.
4.2. Effect of IBSE on Selected Inquiry Skills Development
In addition to the analysis of overall test results, the study considered improvement in six inquiry skills (Table 2). The results show significant improvement in every considered inquiry skill except the skill Formulate hypothesis (Table 5, Figure 5). Larger improvement was identified in the skills Determine accuracy, Determine relationships based on tables and graphs compared to the skills Design experiment and Transform data to standard forms (i.e., tables or graphs). Three skills representing the highest, lowest and medium improvement are discussed below.
The skill of Determining accuracy is one of the important inquiry skills when conducting experiments and collecting experimental data. Development of this specific skill does not need to be the center of attention of each of the STEM-related subjects. On the other hand, experimental inquiry activities in physics, chemistry or biology offer many opportunities in this field. Nevertheless, as also presented in the research of Čipková and Karolčík [133], students of biology had difficulties in identifying the accuracy of experimental data and possible sources of error that distort the results of an experiment. For the development of this skill students need to be directly involved in manipulating the measuring device or equipment and in data collection. Balanay and Roa [134] in their study report that a student-centered approach and particularly inquiry-based learning in conducting science experiments helps to develop students’ scientific skills involved in recognizing possible errors. The results of these studies correspond with this research showing a low initial level of development of 24.47%, however, this research study identified the highest improvement here of almost 15%. This result confirms the fact that targeted IBSE teaching and learning help to develop inquiry skills. Students in this research were likely exposed to activities involving identifying possible sources of errors across several STEM-related subjects, which can be considered as the main reason for the students’ large progress in this skill.
The inquiry skill Formulate hypothesis can be classified as a higher-order inquiry skill. The low initial level of its development of 21.29% as well as no practical improvement (only 0.27%) after the IBSE implementation suggests that the development of this skill may not be sufficiently stimulated at school. Inquiry activity usually starts with the research question to which the hypotheses should be formulated. However, students at this point may still have limited knowledge about the investigated phenomenon and when formulating a hypothesis, they often apply only their intuition. Another reason may be found in the fact that the implemented inquiry activities are predominantly designed at the confirmation or guided inquiry level where the teacher helps students a great deal and far fewer activities are based on a more open inquiry level with higher level of students’ independence. As a result, students are not only unable to formulate hypotheses independently, but they cannot even select the correct answer from the offered options. Some students also mix the research question with the hypothesis. The achieved results are in line with other similar studies. Kadir, Lucyana and Satriawati [135] report that even after two cycles of teaching and learning based on an open inquiry approach students still have difficulty in developing hypotheses and drawing conclusions. A similar outcome is presented by Arantika, Saputro and Mulyani [126] who found that even though learning is done by the inquiry model through activities on formulating hypotheses, students still have difficulty in this skill. As also argued by Zeidan and Jayosi [136], formulating hypotheses belongs to integrated process skills that are more difficult to improve compared to other skills.
The skill of designing experiments involves identifying variables (independent, dependent and control variable) connected with the research question or testing the corresponding hypothesis. When designing experiments students need to be clear which variables to measure or observe, what variable to manipulate and what variable(s) to control [137]. Nevertheless, many studies show that students have difficulties in designing experiments. If the research question or hypothesis does not include variables named explicitly, students usually fail to identify concrete variables that they could measure or observe [138]. Sometimes they vary too many variables not realizing that only one variable can be changed in order to see its effect [139]. As suggested by Hmelo and others [140], students need help to overcome the mentioned difficulties. They need to be guided in the processes of inquiry learning, i.e., when designing experiments students are provided with scaffolds in the form of guiding questions and hints that lead them through gradual experimental design as well as appropriate variables selection [141]. Research by Ganajová and others [97] points to the importance of formative assessment integrated in IBSE for designing experiments’ skill development. The research involving experimental and control group monitoring six inquiry skills resulted in an interesting outcome where the experimental group achieved a statistically significant difference just in the designing experiments’ skill. The initial level of development of designing experiment skill in this paper’s research was 32.35% with a significant improvement of 6.34%. This result suggests that the implementation of IBSE helped students to improve this skill. As presented earlier, the implemented inquiry activities were designed mostly at the confirmation or guided inquiry level. It means that students were provided with detailed guidance in the form of hints and questions that students answered before moving to another step, and similarly in the experimental design stage of the experimental activity. Moreover, the activities were enhanced by formative assessment tools.
The results from this research complement and strengthen the results of the above-mentioned studies. It strongly suggests that IBSE at the confirmation or guided inquiry level can help not only in the Designing experiments skill but is effective in all other monitored inquiry skills with a demonstrated practical improvement.
4.3. Different Factors Influencing the Effect Size
In PISA testing within the period of 2012–2018 [55,56,57] a statistically significant difference between the learning outcomes of boys and girls in Slovakia was identified in favor of boys, however, the average gender gap for OECD countries has decreased over this period. Looking at the OECD countries, in 2018 boys achieved higher results in mathematics than girls. On the other hand, girls outperformed boys in science. These gender gaps identified in PISA 2018 were very small and girls and boys showed similar levels of performance [57].
Considering inquiry skills development, some studies also indicate differences between boys and girls. As reported by Wang, Guo and Jou [128] differences were observed in the development of scientific inquiry skills during the experimental course between students of different genders. Boys performed better in process skills and comprehensive skills, while girls performed better in learning attitude and communications.
In this research we identified a statistically significant difference in the improvement of inquiry skills between girls and boys in favor of boys, however this difference proved to be at the borderline of practical significance. This result is in line with the trends of narrowing the gender gap identified in PISA testing [57] and other studies [59] over the past decades.
When considering the effect of completed inquiry activities, the results show that it practically did not affect the gains. As discussed previously, we see still significant potential for improvement in teachers’ professional competencies and their pedagogical mastery [132].
Beside this, number of inquiry activities increases the gain for boys in the same way as for girls. We can conclude that IBSE based on an inductive and constructivist approach to learning can be considered as an appropriate model of education in STEM-related subjects, as also stressed by Harlen [93] who claims that learning through scientific inquiry should be part of the experience of all students without any preferences.
Author Contributions
Conceptualization, Z.J. and S.L.; methodology, Z.J., S.L., Ľ.Š., J.G. and M.K.; data curation J.G. and D.K.; formal analysis D.K. and J.G.; investigation Z.J., S.L., Ľ.Š., J.G. and M.K.; visualization D.K., J.G. and Ľ.Š.; writing-original draft preparation Z.J., S.L. and D.K.; writing-review and editing Z.J., S.L., Ľ.Š., J.G. and M.K. All authors have read and agreed to the published version of the manuscript.
Funding
This research was funded by the National project IT Academy—Education for the 21st Century, ITMS: 312011F057, which is supported by the European Social Fund and the European Regional Development Fund in the framework of the Operation Programme Human Resources. We also acknowledge the support of the National Grant KEGA No. 004 UPJŠ-4/2020 “Creation, Implementation, and Verification of the Effectiveness of Digital Library with the Formative Assessment Tools for the Natural Sciences, Mathematics and Informatics at the Elementary School”.
Institutional Review Board Statement
Not applicable.
Informed Consent Statement
Informed consent was obtained from all subjects involved in the study.
Data Availability Statement
The data supporting reporting results are not publicly available. They are available on request from the corresponding author.
Acknowledgments
We would like to thank all teachers and students who participated in this study.
Conflicts of Interest
The authors declare no conflict of interest.
References
- Dublin City University ESTABLISH—European Science and Technology in Action: Building Links with Industry, Schools and Home. Available online: http://www.establish-fp7.eu/ (accessed on 26 August 2022).
- Dublin City University SAILS—Strategies for Assessment of Inquiry Learning in Science. Available online: http://www.sails-project.eu/index.html (accessed on 26 August 2022).
- CVTI SR IT Akadémia—Vzdelávanie Pre 21. Storočie. Available online: https://itakademia.sk/ (accessed on 26 August 2022).
- Chu, S.; Reynolds, R.; Taveres, N.; Lee, C. 21st Century Skills Development Through Inquiry-Based Learning. From Theory to Practice; Springer: Berlin/Heidelberg, Germany, 2016; ISBN 978-981-10-2481-8. [Google Scholar]
- World Economic Forum. The Future of Jobs, Employment, Skills and Workforce Strategy for the Fourth Industrial Revolution. Global Challenge Insight Report; World Economic Forum: Geneva, Switzerland, 2016; p. 167. [Google Scholar]
- Dorfman, B.S.; Issachcar, H.; Zion, M. Yesterday’s Students in Today’s World—Open and Guided Inquiry Through the Eyes of of Graduated High School Biology Students. Res. Sci. Educ. 2020, 50, 123–149. [Google Scholar] [CrossRef]
- Levy, F.; Murnane, R.J. The New Division of Labor: How Computers Are Creating the Next Job Market; Russell Sage Foundation: New York, NJ, USA, 2012. [Google Scholar]
- Freeman, S.; Eddy, S.L.; McDonough, M.; Smith, M.K.; Okoroafor, N.; Jordt, H.; Wenderoth, M.P. Active Learning Increases Student Performance in Science, Engineering, and Mathematics. Psychol. Cogn. Sci. 2014, 111, 8410–8415. [Google Scholar] [CrossRef] [PubMed]
- National Research Council. Discipline-Based Education Research: Understanding and Improving Learning in Undergraduate Science and Engineering; Singer, S.R., Nielsen, N.R., Schweingruber, H.A., Eds.; National Academies Press: Washington, DC, USA, 2012. [Google Scholar]
- Bonwell, C.C.; Eison, J.A. Active Learning, Creating Excitement in the Classroom. ASHE-ERIC Higher Education Report No.1; The George Washington University, School of Education and Human Development: Washington, DC, USA, 1991; ISBN 1-878380-08-7. [Google Scholar]
- McConnell, D.A.; Chapman, L.; Czajka, D.; Jones, J.P.; Ryker, K.D.; Wiggen, J. Instructional Utility and Learning Efficacy of Common Active Learning. J. Geosci. Educ. 2017, 65, 604–625. [Google Scholar] [CrossRef]
- Michael, J. Where’s the Evidence That Active Learning Works? Adv. Physiol. Educ. 2006, 30, 159–167. [Google Scholar] [CrossRef]
- Cataneo, K.H. Telling Active Learning Pedagogies Apart: From Theory to Practice. J. New Approaches Educ. Res. 2017, 6, 144–152. [Google Scholar] [CrossRef]
- Kuhlthau, C.C.; Maniotes, L.K.; Caspari, A.K. Guided Inquiry: Learning in the 21st Century; ABC-CLIO, LLC: Santa Barbara, CA, USA, 2015; ISBN 978-1-4408-3381-6. [Google Scholar]
- Fuhrman, M. Development of a Laboratory Structure and Task Analysis Inventory and an Analysis of Selected Chemistry. Unpublished Master’s Thesis, University of Iowa, Iowa City, IA, USA, 1978. [Google Scholar]
- Tamir, P.; Lunetta, V.N. Inquiry-Related Tasks in High School Science Laboratory. Sci. Educ. 1981, 5, 477–484. [Google Scholar] [CrossRef]
- Fradd, S.H.; Lee, O.; Sutman, F.X.; Kim, S.M. Promoting! Science Literacy with English Language Learners through Instructional Materials Development: A Case Study. Biling. Res. J. 2015, 4, 417–439. [Google Scholar] [CrossRef]
- Van den Berg, E. The PCK of Laboratory Teaching: Turning Manipulation of Equipment into Manipulation of Ideas. Sci. Educ. 2013, 4, 74–92. [Google Scholar] [CrossRef]
- Ješková, Z.; Lukáč, S.; Hančová, M.; Šnajder, Ľ.; Guniš, J.; Balogová, B.; Kireš, M. Efficacy of Inquiry Activities with Regard to the Level of Students’ Inquiry Skills. J. Balt. Sci. Educ. 2016, 15, 559–574. [Google Scholar] [CrossRef]
- Satchwell, R.E.; Loepp, F.L. Designing and Implementing an Integrated Mathematics, Science, and Technology Curriculum for the Middle School. J. Ind. Teach. Educ. 2002, 39, 41–66. [Google Scholar]
- Sahintepe, S.; Erkol, M.; Aydogdu, B. The Impact of Inquiry Based Learning Approach on Secondary School Students’ Science Process Skills. Open J. Educ. Res. 2020, 4, 117–142. [Google Scholar] [CrossRef]
- Koksal, E.A.; Berberoglu, G. The Effect of Guided-Inquiry Instruction on 6th Grade Turkish Students’ Achievement, Science. Int. J. Sci. Educ. 2014, 36, 66–78. [Google Scholar] [CrossRef]
- Bunterm, T.; Lee, K.; Kong, J.N.L.; Srikoon, S.; Vangpoomyai, P.; Rattanavongsa, J.; Rachahoon, G. Do Different Levels of Inquiry Lead to Different Learning Outcomes? A Comparison between Guided and Structured Inquiry. Int. J. Sci. Educ. 2014, 36, 1937–1959. [Google Scholar] [CrossRef]
- Gengarelly, L.M.; Abrams, E.D. Closing the Gap: Inquiry in Research and the Secondary Science Classroom. J. Sci. Educ. Technol. 2009, 18, 74–84. [Google Scholar] [CrossRef]
- Wu, P.H.; Kuo, C.Y.; Wu, H.K.; Jen, T.H.; Hsu, Y.S. Learning Benefits of Secondary School Students’ Inquiry-Related Curiosity: A Cross-Grade Comparison of the Relationships among Learning Experiences, Curiosity, Engagement, and Inquiry Abilities. Sci. Educ. 2018, 102, 917–950. [Google Scholar] [CrossRef]
- Cairns, D.; Areepattamannil, S. Exploring the Relations of Inquiry-Based Teaching to Science Achievement and Dispositions in 54 Countries. Res. Sci. Educ. 2019, 49, 1–23. [Google Scholar] [CrossRef]
- Barrow, L.H. A Brief History of Inquiry: From Dewey to Standards. J. Sci. Teacher. Educ. 2006, 17, 265–278. [Google Scholar] [CrossRef]
- Rocard, M.; Csemely, P.; Jorde, D.; Lenzen, D.; Walberg-Henriksson, H.; Hemmo, V. Science Education Now: A Renewed Pedagogy for the Future of Europe; European Commission: Brussels, Belgium, 2007. [Google Scholar]
- Artigue, M.; Dillon, J.; Harlen, W.; Léna, P. Learning through Inquiry. Available online: http://fibonacci-project.eu/ (accessed on 6 June 2022).
- Linn, M.C.; Gerard, L.; Matuk, C. International Handbook of the Learning Sciences. In Inquiry Learning and Opportunities for Technology; Routledge: New York, NY, USA, 2018; ISBN 978-1-315-61757-2. [Google Scholar]
- National Science Teaching Association STEM Education Teaching and Learning|NSTA. Available online: https://www.nsta.org/nstas-official-positions/stem-education-teaching-and-learning (accessed on 6 June 2022).
- Gunn, J. Resilient Educator: The Art of Inquiry in STEAM Education. Available online: https://resilienteducator.com/classroom-resources/steam-inquiry-based-learning/ (accessed on 6 June 2022).
- Becker, K.; Park, K. Effects of Integrative Approaches among Science, Technology, Engineering, and Mathematics (STEM) Subjects on Students’ Learning: A Preliminary Meta-Analysis. J. STEM Educ. 2011, 12, 23–37. [Google Scholar]
- Caprile, M.; Palmén, R.; Sanz, P.; Dente, G. Encouraging STEAM Studies for the Labour Market; European Parliament: Strasbourg, France, 2015. [Google Scholar]
- Bybee, R.W. The Case for STEM Education: Challenges and Opportunities; NSTA Press: Arlington, VA, USA, 2013; ISBN 978-1-936959-25-9. [Google Scholar]
- Sanders, M. STEM, STEM Education, STEMmania. Technol. Teach. 2009, 68, 20–26. [Google Scholar]
- Lowrie, T.; Downes, N.; Leonard, S. STEM Education for All Young Australians: A Bright Spots Learning Hub Foundation Paper for SVA, in Partnership with Samsung; NATSEM, University of Canberra: Canberra, Australia, 2017; p. 47. [Google Scholar]
- Attard, C.; Grootenboer, P.; Attard, E.; Laird, A. Affect and Engagement in STEM Education; Danaia, L., MacDonald, S.M.A., Eds.; Springer: Singapore, 2020. [Google Scholar]
- Shaughnessy, J.M. Mathematics in a STEM Context. Math. Teach. Middle Sch. 2013, 18, 324. [Google Scholar] [CrossRef]
- Kelley, T.R.; Knowles, J.G. A Conceptual Framework for Integrated STEM Education. Int. J. STEM Educ. 2016, 3, 1. [Google Scholar] [CrossRef]
- Melville, W. Inquiry as a Teaching Strategy; Gunstone, R., Ed.; Springer: Dordrecht, The Netherlands, 2015; pp. 507–510. ISBN 978-94-007-2149-4. [Google Scholar]
- Duran, M.; Hoft, M.; Lawson, D.; Medjahed, B.; Orady; Elsayed, E. Urban High School Students’ IT/STEM Learning: Findings from a Collaborative Inquiry- and Design-Based Afterschool Program. J. Sci. Educ. Technol. 2013, 23, 116–137. [Google Scholar] [CrossRef]
- Kim, H. Inquiry-Based Science and Technology Enrichment Program for Middle School-Aged Female Students. J. Sci. Educ. Technol. 2016, 25, 174–186. [Google Scholar] [CrossRef]
- Kim, H. Inquiry Based Science and Technology Program: Green Earth Enhanced with Enquiry. J. Sci. Educ. Technol. 2011, 20, 803–814. [Google Scholar] [CrossRef]
- Perrin, M. Inquiry-Based Pre-Engineering Activities for K-4 Students. J. STEM Educ. Innov. Res. 2004, 5, 29–34. [Google Scholar]
- Hathcock, S.; Dickerson, D.; Eckhoff, A.; Katsioloudis, P. Scaffolding for Creative Product Possibilities in a Design-Based STEM Activity. Res. Sci. Educ. 2015, 45, 727–748. [Google Scholar] [CrossRef]
- Schleier, A. PISA 2018, Insights and Interpretations. 2019. Available online: https://www.oecd.org/pisa/PISA%202018%20Insights%20and%20Interpretations%20FINAL%20PDF.pdf (accessed on 1 August 2022).
- Desy, E.A.; Scott, A.P.; Brockman, V. Gender Differences in Science-Related Attitudes and Interests Among Middle School and High School Students. Sci. Educ. 2011, 20, 30–32. [Google Scholar]
- Miller, P.H.; Blessing, J.S.; Schwartz, S. Gender Differences in Highschool Students’ Views about Science. Int. J. Sci. Educ. 2006, 28, 363–381. [Google Scholar] [CrossRef]
- European Commission; Directorate-General for Communications Networks, Content and Technolog. Women in Digital Age: Executive Summary; Publications Office: Brussels, Belgium, 2018; ISBN 978-92-79-77683-0. [Google Scholar]
- Francis, B.; Skelton, B. “The Self-Made Self”: Analysing the Applicability of Current Key Ideas for Theories of Gender and Education. In Troubling Gender in Education; Routledge: London, UK, 2009; pp. 11–23. ISBN 978-0-415-60221-1. [Google Scholar]
- Hyde, J.S.; Linn, M.C. Gender Similarities in Mathematics and Science. Science 2006, 314, 599–600. [Google Scholar] [CrossRef] [PubMed]
- OECD. PISA 2006: Science Competencies for Tomorrow’s World, Executive Summary; OECD Publishing: Paris, France, 2007; p. 56. [Google Scholar]
- OECD Publishing. PISA 2009 Results: What Students Know and Can Do—Student Performance in Reading, Mathematics and Science (Volume I); OECD Publishing: Paris, France, 2010; p. 276. [Google Scholar]
- OECD. PISA 2012 Results: What Students Know and Can Do—Student Performance in Mathematics, Reading and Science (Volume I, Revised Edition, February 2014); OECD Publishing: Paris, France, 2014; p. 564. [Google Scholar]
- OECD. PISA 2015 Results (Volume 1): Excellence and Equity in Education; OECD Publishing: Paris, France, 2016; p. 494. [Google Scholar]
- OECD. PISA 2018 Results (Volume II): Where All Students Can Succeed; OECD Publishing: Paris, France, 2019. [Google Scholar]
- OECD. PISA 2018 Results, Combined Executive Summaries, Volume I, II & III; OECD Publishing: Paris, France, 2019; p. 31. [Google Scholar]
- Reilly, D.; Neumann, D.L.; Andrews, G. Sex Differences in Mathematics and Science Achievement: A Meta-Analysis of NAEP Assessment. J. Educ. Psychol. 2015, 107, 645–662. [Google Scholar] [CrossRef]
- Škoda, J.; Doulík, P.; Bílek, M.; Šimonová, I. The Effectiveness of Inquiry Based Science Education in Relation to the Learners’ Motivation Types. J. Balt. Sci. Educ. 2015, 14, 791–803. [Google Scholar] [CrossRef]
- Astuti, F.N.; Suranto, S.; Masykuri, M. Augmented Reality for Teaching Science: Students’ Problem Solving Skill, Motivation, and Learning Outcomes. J. Pendidkan Biol. Indones. 2019, 5, 305–312. [Google Scholar] [CrossRef]
- Cox, M.; Abbott, C.; Webb, M.; Blakeley, B.; Beauchamp, T.; Rhodes, V. ICT and Attainment: A Review of the Research Literature; DfES: London, UK, 2003; p. 51. [Google Scholar]
- Passey, D. Technology Enhancing Learning: Analysing Uses of Information and Communication Technologies by Primary and Secondary School Pupils with Learning Frameworks. Curric. J. 2006, 17, 139–166. [Google Scholar] [CrossRef]
- Ellermeijer, T. The Use of ICT in the Framework of Inquiry Based Science Education (IBSE). In Proceedings of the HSCI2013—10 International Conference Hands-on Science Educating for Science and through Science, Košice, Slovakia, 1–5 July 2013; Costa, M.F., Dorrío, B.V., Kireš, M., Eds.; Pavol Jozef Šafárik University: Košice, Slovakia, , 2013; pp. 3–7. [Google Scholar]
- Gruber, S.; Vetter, M.; Eckert, B.; Jodl, H.J. Experimenting from a Distance RCL-Experiments for Teaching Physics at High-School; München, Germany, 2015. [Google Scholar]
- Tran, T.; Van den Berg, E.; Ellermeijer, T.; Beishuizen, J. Learning to Teach Inquiry with ICT. Phys. Educ. 2017, 53, 1–7. [Google Scholar] [CrossRef]
- Stieff, M. Improving Representational Competence Using Molecular Simulations Embedded in Inquiry Activities. J. Res. Sci. Teach. 2011, 48, 1137–1158. [Google Scholar] [CrossRef]
- Mohamed, M.I.; Trudel, L. The Impact of Cognitive Tools on the Development of the Inquiry Skills of High School Students in Physics. Int. J. Adv. Comput. Sci. Appl. 2013, 4, 124–129. [Google Scholar] [CrossRef]
- Lukáč, S.; Sekerák, J. Impact of Inquiry Approaches to Mathematics Teaching on the Development of Skills to Analyse and Interpret Relationships Between Variables. ICTE J. 2016, 5, 5–20. [Google Scholar] [CrossRef][Green Version]
- Timková, V.; Ješková, Z. Computer Modelling in Physics Teaching. In The Role of Laboratory Work in Improving Physics Teaching and Learning; Sokołowska, D., Michelini, M., Eds.; Springer: Cham, Switzerland, 2018; ISBN 978-3-319-96184-2. [Google Scholar]
- Buckley, B.C.; Gobert, J.D.; Kindfield, A.C.H.; Horwitz, P.; Tinker, R.F.; Gerlits, B.; Wilensky, U.; Dede, C.; Willett, J. Model-Based Teaching and Learning with BioLogicaTM: What Do They Learn? How Do They Learn? How Do We Know? J. Sci. Educ. Technol. 2004, 13, 23–41. [Google Scholar] [CrossRef]
- Hillmayr, D.; Ziernwald, L.; Reinhold, F.; Hofer, S.I.; Reiss, K.M. The Potential of Digital Tools to Enhance Mathematics and Science. Comput. Educ. 2020, 153, 103897. [Google Scholar] [CrossRef]
- Hähkiöniemi, M. Teacher’s Reflections on Experimenting with Technology-Enriched Inquiry-Based Mathematics Teaching with a Preplanned Teaching Unit. J. Math. Behav. 2013, 32, 295–308. [Google Scholar] [CrossRef]
- Davis, J.D.; Fonger, N.L. An Analytical Framework for Categorizing the Use of CAS Symbolic Manipulation in Textbooks. Educ. Stud. Math. 2015, 88, 239–258. [Google Scholar] [CrossRef]
- Hohenwarter, M.; Preiner, J. Dynamic Mathematics with GeoGebra. J. Online Math. Its Appl. ID 1448 2007, 7, 2–12. [Google Scholar]
- Jones, K. Research on the Use of Dynamic Geometry Software: Implications for the Classroom. Micromath 2002, 18, 18–20. [Google Scholar]
- McFarlane, A.; Sakellariou, S. The Role of ICT in Science Education. Camb. J. Educ. 2010, 32, 219–232. [Google Scholar] [CrossRef]
- Nikou, S.A.; Economides, A.A. Motivation Related Predictors of Engagement in Mobile-Assisted Inquiry-Based Science Learning. In Proceedings of the 2018 IEEE Global Engineering Education Conference (EDUCON), Santa Cruz de Tenerife, Spain, 17–20 April 2018; Institute of Electrical and Electronics Engineers: Santa Cruz de Tenerife, Spain, 2018; pp. 1222–1229. [Google Scholar]
- Nikolopoulou, K.; Kousloglou, M. Mobile Learning in Science: A Study in Secondary Education in Greece. Creat. Educ. 2019, 10, 1271–1284. [Google Scholar] [CrossRef]
- Sáenz-Zulueta, C.; Pombo, C. What Is It for? Scientific Inquiry as a Key to Teaching Twenty First Century Science, Technology, Engineering and Mathematics Skills. Case Study Done by Lab4You; Inter-American Development Bank: Washington, DC, USA, 2018. [Google Scholar]
- Šnajder, Ľ.; Guniš, J. The Inquiry Based Approach in Learning of Mobile Applications Programming. In Proceedings of the Information and Communication Technologies in Education; Kostolányová, K., Ed.; University of Ostrava: Rožnov pod Radhoštěm, Czech Republic, 2015; pp. 211–221. [Google Scholar]
- Gutschank, J. Coding in STEM Education; Science on Stage Deutschland, e.V.: Berlin, Germany, 2019; ISBN 978-3-942524-58-2. [Google Scholar]
- Nattland, A.; Kerres, M. Computerbasierte Methoden Im Unterricht (Computer-Based Methods in Class). In Handbuch Unterricht; Arnold, K.H., Weichmann, U., Snadfurch, J., Eds.; Julius Klinkhardt: Bad Heilbrunn, Germany, 2009; pp. 317–324. [Google Scholar]
- Greefrath, G.; Hertleif, C.; Siller, H.S. Mathematical Modelling with Digital Tools—A Quantitative Study on Mathematising with Dynamic Geometry Software. Math. Educ. 2018, 50, 233–244. [Google Scholar] [CrossRef]
- Karich, A.C.; Burns, M.K.; Maki, K.E. Updated Meta-Analysis of Learner Control within Educational Technology. Rev. Educ. Res. 2014, 84, 392–410. [Google Scholar] [CrossRef]
- Sáinz, M.; López-Sáez, M. Gender Differences in Computer Attitudes and the Choice of Technology-Related. Comput. Educ. 2010, 54, 578–587. [Google Scholar] [CrossRef]
- Csuka, S.I.; Martos, T.; Kapornaky, M.; Sallay, V. Attitudes Toward Technologies of the Near Future: The Role of Technology Readiness in a Hungarian Adult Sample. Int. J. Innov. Technol. Manag. 2019, 16, 1950046. [Google Scholar] [CrossRef]
- Cai, Z.; Fan, X.; Du, J. Gender and Attitudes toward Technology Use: A Meta-Analysis. Comput. Educ. 2017, 1–13. [Google Scholar] [CrossRef]
- Siddiq, F.; Scherer, R. Is There a Gender Gap? A Meta-Analysis of the Gender Differences in Students’ ICT Literacy. Educ. Res. Rev. 2019, 27, 205–217. [Google Scholar] [CrossRef]
- Tam, H.; Chan, A.Y.; Lai, O.L. Gender Stereotyping and STEM Education: Girls’ Empowerment through Effective ICT Training in Hong Kong. Child. Youth Serv. Rev. 2020, 119, 105624. [Google Scholar] [CrossRef]
- Black, P.; Wiliam, D. Assessment and Classroom Learning. Assess. Educ. Princ. Policy Pract. 1998, 5, 7–74. [Google Scholar] [CrossRef]
- Guevara-Fernández, J.A.; Carranza-Dávila, R.G.; Ríos-Lozada, R.N.; Ramirez-Delgado, J.G.; Hernández-Fernández, B. Perspectives of Formative Assessment in Learning: A Systematic Review. J. Posit. Sch. Psychol. 2022, 6, 1672–1683. [Google Scholar]
- Harlen, W. Assessment & Inquiry-Based Science Education: Issues in Policy and Practice; Global Network of Science Academies: Trieste, Italy, 2013; ISBN 978-1-291-33214-8. [Google Scholar]
- Koksalan, S.; Ogan-Bekiroglu, F. Embedding Formative Assessment in Inquiry-Based Learning. In Research Highlights in Education and Science 2019; Wenxia, W., Selahattin, A., Eds.; ISRES Publishing: Konya, Turkey, 2019; ISBN 978-605-81654-9-6. [Google Scholar]
- Keeley, P. Science Formative Assessment: 75 Practical Strategies for Linking Assessment, Instruction and Learning; Corwin Press: Thousand Oaks, CA, USA, 2008; ISBN 978-1-4129-4180-8. [Google Scholar]
- Grob, R.; Holmeier, M.; Labudde, P. Formative Assessment to Support Students’ Competences in Inquiry.Based Science Education. Int. J. Probl. -Based Learn. 2017, 11, 1673. [Google Scholar] [CrossRef]
- Ganajová, M.; Sotáková, I.; Lukáč, S.; Ješková, Z.; Jurková, V.; Orosová, R. Formative Assessment as a Tool to Enhance the Development of Inquiry Skills in Science Education. J. Balt. Sci. Educ. 2022, 20, 204–222. [Google Scholar] [CrossRef]
- Scheuermann, H.; Ropohl, M. Do Different Types of Feedback in Formative Assessment Enhance Inquiry Skills Differently? In Proceedings of the Electronic Proceedings of the ESERA 2015 Conference: Science Education Research: Engaging Learners for a Sustainable Future; Lavonen, J., Juuti, K., Lampiselkä, J., Uitto, A., Hahl, K., Eds.; University of Helsinki: Helsinki, Finland, 2016; pp. 1560–1566. [Google Scholar]
- Anderson, R.D. Reforming Science Teaching: What Research Says about Inquiry. J. Sci. Teacher. Educ. 2002, 13, 1–12. [Google Scholar] [CrossRef]
- Welch, W.W.; Klopfer, L.E.; Aikenhead, G.S.; Robinson, J.T. The Role of Inquiry in Science Education: Analysis and Recommendations. Sci. Educ. 1981, 65, 33–50. [Google Scholar] [CrossRef]
- Eltinge, E.M.; Roberts, C.W. Linguistic Content Analysis: A Method to Measure Science as Inquiry in Textbooks. J. Res. Sci. Teach. 1993, 30, 65–83. [Google Scholar] [CrossRef]
- Durando, M.; Sjoberg, S.; Gras-Velazquez, A.; Leontaraki, I.; Santolaya, E.M.; Tasiopoulou, E. Teacher Training and IBSE Practice in Europe. A European Schoolnet Overview; European Schoolnet EUN Partnership AISBL: Brusel, Belgium, 2019; ISBN 978-94-92913-84-5. [Google Scholar]
- NWEA MAP Growth: Precisely Measure Student Growth and Performance. Available online: https://www.nwea.org/map-growth/ (accessed on 13 July 2022).
- Marshall, J.C.; Smart, J.B.; Alston, D.M. Inquiry-Based Instruction: A Possible Solution to Improving Student Learning of Both Science Concepts and Scientific Practices. Int. J. Sci. Math. Educ. 2017, 15. [Google Scholar] [CrossRef]
- Marshall, J.C. Succeeding with Inquiry in Science and Math Classroom; ASCD: Alexandria, VA, USA, 2013; ISBN 978-1-4166-1608-5. [Google Scholar]
- Lee, H.S.; Linn, M.C.; Varma, K.; Liu, O.L. How Do Technology-Enhanced Inquiry. J. Res. Sci. Teach. 2010, 47, 71–90. [Google Scholar] [CrossRef]
- Bybee, R.W.; Taylor, J.A.; Scotter, P.V.V.; Powell, J.C.; Westbrook, A.; Landes, N. The BSCS 5E Instructional Model: Origins and Effectiveness; BSCS: Colorado Springs, CO, USA, 2006; p. 65. [Google Scholar]
- Duran, L.; Duran, E. The 5E Instructional Model: A Learning Cycle Approach for Inquiry-Based Science Teaching. Sci. Educ. Rev. 2004, 3, 49–58. [Google Scholar]
- Kirschner, P.A.; Sweller, J.; Clark, R.E. Why Minimal Guidance During Instruction Does Not Work: An Analysis of the Failure of Constructivist, Discovery, Problem-Based, Experiential, and Inquiry-Based Teaching. Educ. Psychol. 2006, 41, 75–86. [Google Scholar] [CrossRef]
- Passon, J.; Schlesinger, J. Inquiry-Based Learning in Geography. In Inquiry-Based Learning in Geography; Mieg, H.A., Ed.; Springer: Cham, Switzerland, 2019; pp. 281–290. ISBN 978-3-030-14223-0. [Google Scholar]
- Frankel, J.R.; Wallen, N.E.; Hyun, H.H. How to Design and Evaluate Research in Education; McGraw-Hill: New York, NY, USA, 2012; ISBN 978-0-07-809785-0. [Google Scholar]
- Wenning, C.J. Assessing Inquiry Skills as a Component of Scientific Literacy. J. Phys. Teach. Educ. Online 2007, 2, 21–24. [Google Scholar]
- Burns, J.C.; Okey, J.R.; Wise, K.C. Development of an Integrated Process Skill Test: TIPS II. J. Res. Sci. Teach. 1985, 2, 169–177. [Google Scholar] [CrossRef]
- Gormally, C.; Peggy, B.; Mary, L. Developing a Test of Scientific Literacy Skills (TOSLS): Measuring Undergraduates’ Evaluation of Scientific Information and Arguments. CBE Life Sci. Educ. 2012, 4, 364–377. [Google Scholar] [CrossRef]
- Ješková, Z.; Jurková, V.; Lukáč, S.; Šnajder, Ľ.; Guniš, J. Development of Inquiry Skills at Upper Secondary Level. In Proceedings of the Journal of Physics: Conference Series; IOP Publishing Ltd.: Budapest, Hungary, 2021; Volume 1929. [Google Scholar]
- Ješková, Z.; Balogová, B.; Kireš, M. Assessing Inquiry Skills of Upper Secondary School; Jagiellonian University: Krakow, Poland, 2018; pp. 175–181. [Google Scholar]
- The R Foundation The R Project for Statistical Computing. Available online: https://www.R-project.org/ (accessed on 26 August 2022).
- Friedrich, S.; Konietschke, F.; Pauly, M. GFD: An R Package for the Analysis of General Factorial Designs. J. Stat. Softw. 2017, 79, 1–18. [Google Scholar] [CrossRef]
- Cohen, J. Statistical Power Analysis for the Behavioral Sciences; Lawrence Erlbaum Associates: Hillsdale, NJ, USA, 1988. [Google Scholar]
- Kraft, M.A. Interpreting Effect Sizes of Education Interventions. Educ. Res. 2020, 49, 241–253. [Google Scholar] [CrossRef]
- Minner, D.D.; Levy, A.J.; Century, J. Inquiry-Based Science Instruction—What Is It and Does It Matter? Results from a Research Synthesis Years 1984 to 2002. J. Res. Sci. Teach. 2010, 47, 474–496. [Google Scholar] [CrossRef]
- Gormally, C.; Brickman, P.; Hallar, B.; Armstrong, N. Effects of Inquiry-Based Learning on Students’ Science Literacy. Int. J. Scholarsh. Teach. Learn. 2009, 3, 16. [Google Scholar] [CrossRef]
- Wilson, C.; Taylor, J.A.; Kowalski, S.; Carlson, J. The Relative Effects and Equity of Inquiry-Based and Commonplace Science Teaching on Students’ Knowledge, Reasoning and Argumentation. J. Res. Sci. Teach. 2010, 47, 276–301. [Google Scholar] [CrossRef]
- Marx, R.W.; Blumenfield, P.C.; Krajcik, J.S.; Fishman, B.; Soloway, E.; Geier, R.; Tal, R.T. Inquiry-Based Science in the Middle Grades: Assessment of Learning in Urban Systemic Reform. J. Res. Sci. Teach. 2004, 41, 1063–1080. [Google Scholar] [CrossRef]
- Beck, C.W.; Blumer, L.S. Inquiry-Based Ecology Laboratory Courses Improve Student Confidence and Scientific Reasoning Skills. Ecosphere 2012, 3, 1–11. [Google Scholar] [CrossRef]
- Arantika, J.; Saputro, S.; Mulyani, S. Effectiveness of Guided Inquiry-Based Module to Improve Science Process Skills. J. Phys. Conf. Ser. 2019, 1157, 042019. [Google Scholar] [CrossRef]
- Tekin, G.; Mustu, O.E. The Effect of Research-Inquiry Based Activities on the Academic Achievement, Attitudes, and Scientific Process Skills of Students in the Seventh Year Science Course. Eur. Educ. Res. 2021, 4, 109–131. [Google Scholar] [CrossRef]
- Wang, J.; Guo, D.; Jou, M. A Study on the Effects of Model-Based Inquiry Pedagogy on Students’ Inquiry Skills in a Virtual Physics Lab. Comput. Hum. Behav. 2015, 49, 658–669. [Google Scholar] [CrossRef]
- Cayvaz, A.; Akcay, H.; Kapici, H.O. Comparison of Simulation-Based and Textbook-Based Instructions on Middle School Students’ Achievement, Inquiry Skills and Attitudes. Int. J. Educ. Math. Sci. Technol. 2020, 8, 34–43. [Google Scholar] [CrossRef]
- Ozturk, E. The Effect of STEM Activities on the Scientific Inquiry Skills of Pre-Service Primary School Teachers. J. Educ. Sci. Environ. Health 2021, 7, 296–308. [Google Scholar] [CrossRef]
- Pahrudin, A.; Misbah; Alisia, G.A.; Saregar, A.; Asyhari, A.; Anugrah, A.; Susilowati, N.E. The Effectiveness of Science, Technology, Engineering, and Mathematics-Inquiry Learning for 15-16 Years Old Students Based on K-13 Indonesian Curriculum: The Impact on the Critical Thinking Skills. Eur. J. Educ. Res. 2021, 10, 681–692. [Google Scholar] [CrossRef]
- Pečiuliauskienė, P.; Kaminskienė, L. The Implementation of Cognitively Challenging Tasks: The Role of Science Teachers’ Professional Development and Teaching Experience. Educ. Sci. 2022, 12, 439. [Google Scholar] [CrossRef]
- Čipková, E.; Karolčík, Š. Assessing of Scientific Inquiry Skills Achieved by Future Biology Teachers. Chem. -Didact. -Ecol. -Metrol. 2018, 23, 71–80. [Google Scholar] [CrossRef]
- Balanay, C.A.S.; Roa, E.C. Assessment on Students’ Science Process Skills: A Student- Centred Approach. Int. J. Biol. Educ. 2013, 3, 24–44. [Google Scholar]
- Kadir, L.; Satriawati, G. The Implementation of Open-Inquiry Approach to Improve Students’ Learning Activities, Responses, and Mathematical Creative Thinking Skills. J. Math. Educ. 2017, 8, 103–114. [Google Scholar] [CrossRef]
- Zeidan, A.H.; Jayosi, M.R. Science Process Skills and Attitudes toward Science Among. World J. Educ. 2015, 5, 13–24. [Google Scholar] [CrossRef]
- Arnold, J.C.; Kremer, K.; Mayer, J. Understanding Students’ Experiments: What Kind of Support Do They Need in Inquiry Tasks? J. Educ. Psychol. 2014, 36, 2719–2749. [Google Scholar] [CrossRef]
- Lawson, A.E. Sound and Faulty Arguments Generated by Preservice Biology Teachers When Testing. J. Res. Sci. Teach. 2002, 39, 237–252. [Google Scholar] [CrossRef]
- Glaser, R.; Schauble, L.; Raghavan, K.; Zeitz, C. Scientific Reasoning across Different Domains; De Corte, L., Linn, M.C., Mandl, H., Verschaffel, L., Eds.; Springer: Berlin/Heidelberg, Germany, 1992; Volume 84, pp. 345–371. [Google Scholar]
- Hmelo, C.E.; Nagarajan, A.; Day, R.S. Effects of High and Low Prior Knowledge on Construction. J. Exp. Educ. 2000, 69, 36–56. [Google Scholar] [CrossRef]
- Zacharia, Z.C.; Manoli, C.; Xenofontos, N.; De Jong, T.; Pedaste, M.; Van Riesen, S.A.N.; Kamp, E.T.; Mäeots, M.; Siiman, L.; Tsourlidaki, E. Identifying Potential Types of Guidance for Supporting Student Inquiry When Using Virtual and Remote Labs in Science: A Literature Review. Educ. Technol. Res. Dev. 2015, 63, 257–302. [Google Scholar] [CrossRef]
Publisher’s Note: MDPI stays neutral with regard to jurisdictional claims in published maps and institutional affiliations. |
© 2022 by the authors. Licensee MDPI, Basel, Switzerland. This article is an open access article distributed under the terms and conditions of the Creative Commons Attribution (CC BY) license (https://creativecommons.org/licenses/by/4.0/).




