You are currently viewing a new version of our website. To view the old version click .
Economies
  • Article
  • Open Access

15 January 2025

The Efficacy of Monetary and Fiscal Policies on Economic Growth: Evidence from Thailand

and
Faculty of Economics, Chiang Mai University, Chiang Mai 50200, Thailand
*
Author to whom correspondence should be addressed.
This article belongs to the Special Issue Studies on Factors Affecting Economic Growth

Abstract

This study empirically explores the dynamic effect of MP and FP on the economic growth of Thailand from Q1:2003 to Q2:2024. In this study, data analysis was conducted using an advanced sequence of the econometric modeling approach to guarantee that the estimated results were more consistent and reliable. First, we used Bayesian additive regression trees (BART) and Bayesian variable selection (BASAD) methods to determine macro factors with the highest probabilities influencing growth, in addition to monetary and fiscal policy tools during the studied periods. Second, we used the time-varying coefficients seemingly unrelated equation (TVSURE) model to examine the economic impact of MP and FP. Last, we also employed the Markov switching regression (MSR) model not only to support the findings from the TVSURE model but also to propose policy recommendations based on regime durations and transitions tempted by MP and FP. The main results from both TVSURE and MSR reveal the following: (1) MP is more consistent with expected growth outcomes while FP is stronger when localized, (2) MP is more effective in sustaining long periods of high growth, (3) FP is significantly stronger in recovering from recessions, and (4) the coordination of MP and FP has a similar performance to MP alone but with shorter transition periods. This study makes an empirical contribution to the ongoing debate on the effectiveness of MP and FP in boosting growth and aiding in the recovery from recessions in the case of Thailand. In addition, this study not only acknowledged certain limitations but also recommended policies to sustain the Thai economy.

1. Introduction

Monetary and fiscal policies are implemented as critical instruments to drive a nation toward economic prosperity. This paper agrees that monetary policy (MP) and fiscal policy (FP) are essential for maintaining sustainable economic growth, moderating inflation, ensuring debt sustainability, and achieving balanced public finances. For many countries, governments are responsible for fiscal tools and central banks, while, on the other hand, handling monetary tools to respond to any external shocks such as global financial and health crises. These kinds of crises are truly detrimental to the economy. For example, following the coronavirus (COVID-19) pandemic, China’s coordinated economic revival produced significant spillover effects globally that affected not only the economic growth but energy demand in upper-middle and also high-income nations (Yuan et al., 2022).
In modern days, the combination of MP and FP plus favorable investment conditions is quite important for output growth and social development in line with the long-term growth path. In fact, Behera et al. (2024) argued the need for an effective strategy to address extreme events like the COVID-19 pandemic. Fundamentally, MP and FP share the same objective of stimulating public welfare, similar to other mechanisms of public policies. Moreover, one study found evidence of a substitution association between policies (Afonso et al., 2019). Governments and central banks must collaborate closely to take actions that prevent the significant decline in economic activities. Fiscal sustainability is essential in supporting the initiatives of monetary authorities. Central banks, through implementing monetary policies, aim to safeguard price stability and governments through adjusting fiscal policies that regulate more revenue, propriate expenditures, and avoid budget deficits to create satisfactory conditions for economic development. While MP and FP may have different goals, a moderate monetary expansion should be implemented alongside a balanced fiscal policy except in extraordinary economic circumstances (Chugunov et al., 2021). For instance, central banks in advanced economies shifted to unconventional measures due to the zero lower bound, while fiscal tools showed limited consolidation efforts after the 2008 financial crisis (Silva & Vieira, 2017). In addition, Arora et al. (2022) supported the use of an optimal combination of MP and FP to achieve sustainable growth, particularly in terms of demand growth and price stability. Their study suggested that FP should take a leading role with monetary and trade policies, acting through adjustments as needed. They argued that this policy coordination can stabilize the economy and growth for the long term based on the quarterly dataset of India from Q1:1996–97 and Q4:2019–2020.
While both monetary policy (MP) and fiscal policy (FP) are widely considered as significant contributors towards improving the macroeconomic stability, their efficacy in sustaining growth for the Thai economy remains insufficiently explored. Moreover, given the challenges Thailand faces, such as household debt, aging population, inflation, political uncertainty, and global economic headwinds, the country also pursues opportunities in digital transformation and sustainable development. However, no empirical study has been conducted on the efficacy of MP and FP following these crises in Thailand. Therefore, we use the latest available data to examine the effects of monetary and fiscal policies along with other macro variables on the Thai economy. The empirical findings are obtained through this present study by using TVSURE and MSR models; this study examines the effectiveness of MP in sustaining long-term growth and FP in facilitating a rapid recovery during economic downturns in the case of Thailand. This paper contributes to the existing empirical literature by exploring the macro effects of MP and FP shocks, with a focus on tracking economic growth and the potential influence of a comprehensive set of variables.
This paper is structured as follows: it begins with a review of recent empirical studies, followed by a section on the data and methods of study used for data analysis. The results and discussions are then presented. Finally, conclusions and policy recommendations are provided at the end.

2. Recent Empirical Studies on MP and FP in Relation to Growth

There has been extensive empirical research on the relationship between monetary policy (MP), fiscal policy (FP), and economic growth across different countries. However, the existing literature presents inconsistencies, with some studies showing positive impacts, while others report negative and natural relationships. As Andini (2024) notes, the nexus between these policies and growth depends on many factors including heterogeneity, sample size, research methods, control variables, and other relative elements. These varying factors may be a cause behind the mixed findings observed in the literature. In this section, we reviewed some of the recent empirical studies in this field to identify the gaps this study seeks to fill.
One of the most relevant empirical studies conducted by Tan et al. (2020) found the existence of a negative relationship between economic growth and the money market rate (as a tool of MP) and a positive link with government spending (as a tool of FP) in Thailand from Q1:1990 to Q1:2017. They concluded that FP is more effective in Thailand compared to Malaysia and Singapore. But this conclusion appears biased as it only considered two explanatory factors impacting the real GDP. Additionally, the results showed the outcomes are asymmetric, with MP and FP being mutually dependent. In contrast, Chugunov et al. (2021) empirically investigated the impact of FP and MP on economic growth in 19 emerging countries from 1995 to 2018. They found (1) the general government spending has a negative relationship with the per capital GDP growth, (2) the effect of public spending on economic development depends on three factors like institutions’ quality, expenditure composition, and fiscal architecture, and (3) there is a proven need to maximize the share of productive expenditures. Based on these results, they recommended using adaptive tools in MP to achieve both intermediate and final inflation targets. Similarly, Ozili (2024) used secondary annual data of 22 countries between 2011 and 2018 to investigate the impact of monetary, fiscal, and regulatory policies on sustainable development while controlling for economic growth. His findings showed the following: (1) economic policy improves sustainable development in developing and non-European countries but has a negative effect in developed and European countries, (2) expansionary MP supports SDG6, (3) expansionary fiscal policy boots SDG3: Good Health and Well-Being and SDG7: Affordable and Clean Energy but harms SDG6: Clean Water and Sanitation, (4) regulatory policy that is being designed to improve governance enhances SDG3 and SDG6, and (5) changes to these policies lead to changes in sustainable development.
Regarding exchange rate regimes, one study conducted by Ito and Kawai (2024) found that (1) monetary policy is effective in increasing real GDP growth under a flexible exchange rate regime but not under financially open fixed rate regime, (2) MP is most effective in curbing inflation and inflation volatility under a flexible exchange rate regime, and (3) FP positively affects GDP growth under a flexible exchange rate regime, and inflation volatility under a financially closed fixed rate regime helps achieve price stability in financially open economies. These findings were based on the sample of 61 developing and emerging economies from 1971 to 2020. When considering monetary and fiscal policies influencing sustainable development, it varies across countries and regions. Although the qualitative document analysis of Abeysekera (2024) on the role of monetary, fiscal, and public policies on SDGs before and after the COVID-19 pandemic, public policy was seen as a significant driver of sustainable development in Sri Lanka. In contrast, MP and FP were primarily directed toward economic recovery efforts. Dinh et al. (2024) examined the effect of MP and FP on sustainable development from 2005 to 2020 using a panel dataset of 33 developing and 7 developed countries. The study found that MP as measured by the money supply and inflation negatively affects sustainable development, while foreign exchange reserves and financial stability have a positive impact with probabilities of 89.6 percent in developed and 92.5 percent in developing countries. FP as measured by government spending positively supports sustainable development with a probability of 99.7 percent in both developed and developing countries. Meanwhile, tax income increases sustainable development with a 100 percent probability in developed countries but shows a 60.9 percent probability of a negative effect in developing countries.
Demirtas (2023) studied the effectiveness of expansionary MP and FP in 55 developed and 55 developing countries from 2007 to 2026 by using an Arellano–Bond GMM model. The results showed that MP is more effective than FP in developed countries and FP in developing countries supports aggregate demand. Moreover, Azad et al. (2021) explored the economic impact of MP and FP for Canada from Q1:1990 to Q4:2020 by using the regime-switching model and structural VAR model. They found that FP has been more active than MP for boosting short-term economic activity, but causes rising interest rates, lower investment, and higher inflation in the long term. Furthermore, Batayneh et al. (2024) empirically investigated MP and FP on US economic growth from Q1:1964 to Q3:2021 by using an unrestricted VAR model. They found that the federal budget deficit (FP) and money supply, federal funds rate, and exchange rate (MP) have no long-term relationship with growth. In the short term, expansionary MP and FP positively affect economic growth, while the exchange rate shows no significant effect. Additionally, the financial crisis and COVID-19 pandemic were found to have a negative impact on the US economy for the studied periods. Furthermore, Nuru (2020) studied the effects of MP and FP shocks in the South African economy by using a structural vector autoregressive (SVAR) model for the periods of Q2:1994 to Q2:2014. His findings showed that MP tightening reduces real economic activities and leads to exchange rate depreciation. For FP, the government spending multiplier increased as the tax multiplier was close to zero on impact and statistically insignificant. His study emphasized the presence of the important role of MP and FP in influencing economic activities and pollical decision-making.
In addition, Adegboyo et al. (2021) found that FP stimulates Nigeria’s economic growth in the long run with government spending but this is not consistent in the short run. Government revenue, however, was not found to affect growth. On the other hand, monetary policies showed that the money supply does not affect growth, but an increase in interest rates positively influence growth between 1985 and 2020. The authors suggested that policymakers use interest rates and fiscal policies to boost short-term economic growth for Nigeria. From 1960 to 2020 in Nigeria, the exchange rate and money supply had a positive and significant link with growth, while the interest rate showed a positive but insignificant relationship and the inflation rate had a negative and insignificant impact (Donald et al., 2024). Moreover, Isaiah et al. (2024) and Dodo et al. (2024) both examined the economic impact of MP and FP for the same country (Nigeria) for the periods between 1991 and 2022 and from 1981 to 2017, respectively. FP had a positive and significant effect on growth while MP negatively affects it (Dodo et al., 2024). Isaiah et al. (2024) noted MP was weak compared to FP in its impact on Nigeria’s economy while resulting in high inflation and exchange rate volatility. Mwale and Mulenga (2024) also found that 1 percent increases in tax revenue have a positive and significant long-term impact on growth by 3.36 percent, while external debt and public expenditure have negative effects by 1.17 percent and 0.003 percent, correspondingly, between 1991 and 2021 in Nigeria. In the short term, it showed 1 percent increases in tax revenue causes a growth decline by 0.003 percent and 6.14 percent, respectively.
Last but not least, Andini (2024) also argued that the economic growth–fiscal policy nexus can be varied, showing positive, negative, or neutral results depending on factors such as heterogeneous conditions, intermediate variables, research methods, sample size, and development level of countries studied, and many more. The study found the effect of government spending, taxation, and debt on growth remains unclear, including in reports by Nguyen et al. (2024), whereas they found FP as measured by public expenditure had a larger impact on economic growth than MP as measured by broad money (M2) between 1996 and 2021 in Vietnam. In addition, Aisyah et al. (2024) examined the FP-economic growth nexus in Indonesia and found a close and positive relationship. There was a long-run positive nexus between increases and decreases in government spending and economic growth between 1970 and 2019 in Somalia (Ali et al., 2024). In another empirical study by Kim et al. (2021) on a similar topic for the case of China, they found local spending has a larger impact on output growth than central spending between 1985 and 2016. It also showed a shift from infrastructure investments to R&D-driven growth in recent years. Net taxes and public debt in China were also found to influence the long-run growth.
The existing literature reviewed showed the mixed findings of the economic impact of MP and FP for different economies. Moreover, most of them tend to narrowly focus on either MP or FP alone so that they seem to overlook and ignore the consideration of various macroeconomic factors. We believe these findings may be subject to significant biases. The need for the effective and careful coordination of MP and FP in order to reduce threats to macroeconomic stability is clear. Therefore, this study adopts a monetary–fiscal mix approach to more comprehensively examine the effects of these policies on the Thai economy between the first quarter of 2003 to the second quarter of 2024 by using an advanced sequence of econometric modeling methods.

3. Research Methodology

In this study, data analysis was conducted using an advanced sequence of econometric modeling approach to guarantee that the estimated results were more consistent and reliable. We initially used Bayesian additive regression trees (BART) and Bayesian variable selection (BASAD) methods to determine macro factors with the highest probabilities of influencing growth in addition to monetary and fiscal policy tools during the studied periods. While both the BART and BASAD methods are still weak at choosing between relevant and irrelevant variables, the final selection of variables was based on a mix-order approach between the two models. This way, we improve the consistency of both the BART and BASAD models by selecting between relevant and irrelevant variables for the final variable selection based on a mix-order technique between the two models. Secondly, we proceeded the time-varying coefficients seemingly unrelated equation (TVSURE) model to examine the economic impact of MP and FP. Finally, we used the Markov switching regression (MSR) model not only to support the findings from the TVSURE model but also to propose policy recommendations based on regime durations and transitions. In order to support the findings from the time-varying seemingly unrelated regression equations (TVSURE) model and to determine whether MP, FP, or the coordination of MP and FP is more effective in sustaining growth, we developed three empirical equations to further examine the regime-shifting effect of MP and FP on the Thai economy. For this to be achieved, we employed the Markov switching regression (MSR) model. Since TVSURE and MSR are linear models, we applied a log transformation to the final selected variables of the study in order to linearize the relationships between the variables. This way, it helps us to better fit the model by making nonlinear relationships more linear and by stabilizing the variance. Figure 1 represents the conceptual framework of the study.
Figure 1. Conceptual framework of this study.

3.1. Bayesian Additive Regression Trees (BART) Model

BART is a method that is being used to determine potential input predictors influencing the dependent variable of the study based on the posterior inclusion probabilities of variables. This model is a non-parametric one, by incorporating the Bayesian technique, first developed by Chipman et al. (2010) and which is later implemented in R version 4.4.1. by Kapelner and Bleich (2016). The model has both advantages and disadvantages. One of the pros of using this model is being able to handle nonlinear datasets. This model consists of three components: 1. additive trees; 2. prior specification; and 3. a stochastic process for posterior distribution so it is also known as the sum of trees. Variables are ranked based on their average posterior inclusion probabilities. One of the cons is that this model only produces a small fraction of the variation of the overall relationship that can be explained. In this study, we used the “BartMachine” package in RStudio version 4.4.1 in order to apply this method.

3.2. Bayesian Variable Selection (BASAD) Model

As proposed, additionally, we used the “basad” package in RStudio to select the variables with higher posterior inclusion probabilities, influencing the dependent variables of this study. This method was first introduced by Narisetty and He (2014), which was later implemented in R programming by Xiang and Narisetty (2022). It also results in the same performance as the BART model by combining adaptive sampling with a Bayesian framework. This method can be computationally intensive when the model space is large and sensitive to the choice of priors. Nevertheless, it is a useful tool with which to determine the most relevant variables where there is uncertainty about the model structure or parameters. Since both BART and BASAD have their own weaknesses and strengths, this study will adopt a mix-order selection approach utilizing these two methods in choosing the most influential input variables, in addition to MP and FP tools.

3.3. Time-Varying Coefficients Seemingly Unrelated Equation (TVSURE) Model

Seemingly unrelated equations (SURE) models developed by Zellner (1962) are extensions of linear regressions to a multi-equation framework. In this study, a TVSURE with two equations model was employed following Casas and Fernandez-Casal (2022). This model wraps time-varying ordinary least squares (tvOLS) and time-varying generalized least squares (tvGLS) to estimate the coefficients of TVSURE. One of the advantages of this model is that it can estimate each equation independently, assuming no cross-equation error correlations. In our SURE model, the following two equations were included:
l g d p r t = α 10 + α 11 l m 2 t + α 12 l p i r s t + α 13 l i n f t + α 14 l u s d t o b a h t t + α 15 l u n e m p t + ε 1 t  
l g d p r t = α 20 + α 21 l g o v r e v t + α 22 l g o v e x p t + α 23 l g o v d e b t t + α 24 l u n e m p t + ε 2 t  
where lgdpr = the logarithm of the GDP growth rate, lm2 = the logarithm of the money supply (m2), lpirs = the logarithm of the policy interest rates, linf = the logarithm of the consumer price inflation, lusdtobaht = the logarithm of the exchange rate (US dollar against Thai baht), and lunemp = the logarithm of the unemployment rate (variable selected by the mix-order variable selection approach).
In this model we applied, the time-varying variance–covariance matrix of two or more series is estimated nonparametrically using the ‘tvReg’ package. E( γ i t , γ i t ) = σ i i t when t = t’, and zero otherwise. This allows the variance–covariance matrix to be time-varying with the following expression at any given time t (quarter):
Σ t = σ 11 t σ N 1 t σ N 1 t σ 12 t σ 22 t σ N 2 t   σ 1 N t σ 2 N t σ N N t
Since the matrix is assumed to be locally stationary, its linear estimator is defined by the following:
vech Σ ~ τ = t = 1 Τ vech γ t τ γ t K h t τ s 2 s 1 τ t s 0 s 2 s 1 2
where s j = t = 1 T ( τ t ) j K b τ t for j = 0, 1, 2; K b · is a symmetric kernel function that assigns a higher weight to values close to the focal point ( τ = t/T); and b is the bandwidth parameter. A single bandwidth is used across all co-movements, ensuring that Σ ~ τ remains positive-definite.

3.4. Markov Switching Regression (MSR) Model

In order to support the findings from the TVSURE model, we further conducted a regime-switching analysis that was first proposed by Goldfeld and Quandt (1973) and Hamilton (1989), and further found in Perlin (2015). Following Sanchez-Espigares and Lopez-Moreno (2022), we used the ‘MSwM’ package in RStudio to estimate the regime shifting relationships between policies and growth. Let the Markov switching regression (MSR) model with two regimes be expressed as follows:
γ 1 , t = β 1 , 1 r t x 1 , t + β 1 , 2 r t x 2 , t + + β 1 , i r t x i , t + ϵ 1 , t  
γ 2 , t = β 2 , 1 r t x 1 , t + β 2 , 2 r t x 2 , t + + β 2 , i r t x i , t + ϵ 2 , t
with
ϵ 1 , t ~ Ν 0 , σ 1 2 , r 1  
ϵ 2 , t ~ Ν 0 , σ 2 2 , r 2  
C o v a r i a n c e ϵ 1 , t , ϵ 2 , t = 0
where γ 1 , t   and   γ 2 , t represent dependent variables, x i , t represents all input predictors or independent variables, β i represents the mean of the parameters to be estimated, σ 1 , σ 2 are residuals of regime 1 and regime 2, and ϵ 1 , t , ϵ 2 , t are the error terms.

4. Data and Empirical Results

4.1. Data Descriptive

The study used the secondary quarterly time series data as obtained from the CEIC database through the Chiang Mai University Network for the periods of Q1:2003 to Q2:2024. The analysis focused on economic growth measured as GDP growth as the dependent variable and included a range of independent variables arranged by the policy domain. Broad money, the policy interest rate, the inflation rate, and the exchange rate were considered as MP tools while government revenue, expenditure, and debt were taken as FP tools. Intermediate factors were also considered as they have potential indirect and direct effects on the economic growth of Thailand; these are consumer confidence in the present and future, gold price, diesel price, gasoline 95 price, imports, exports, household debt, unemployment rate, foreign direct investment, electricity generation, and a dummy variable to account for the economic impact of the 2008 financial crisis and the recent COVID-19 pandemic. The selection of policy variables in this study is driven by the existing literature emphasizing their theoretical relevance and empirical significance in macroeconomic research. Variables such as the consumer confidence index (present and future) were included to account for household and business expectations while the gold price serves as a proxy for financial stability and inflationary trends. Imports and exports measure trade openness and external demand, while diesel and gasoline prices represent input costs influencing production and inflation. Variables such as household debt, unemployment, FDI, and electricity generation were included as they reflect domestic credit conditions, labor market dynamics, investment growth, and industrial activities, respectively. A dummy variable for external shocks accounts for major disruptions including the 2008 financial crisis and COVID-19 pandemic. However, the final input predictors in addition to the core MP and FP variables were determined by using a mix-order variable selection approach based on Bayesian variable selection methods. A brief summary of each variable covering its data source, symbol, and unit of measurement is provided in Table A1 (Appendix A). Table 1 provides summary statistics of variables. Most key variables are normally distributed random numbers from the Jarque–Bera test.
Table 1. Summary statistics of variables.

4.2. Variables Selection by Using BART, BASAD, and Mix-Order Approaches

According to the literature, there are many factors directly and indirectly affecting economic growth, but there is uncertainty about factors at significant levels for specific time periods. We, therefore, first used the Bayesian addictive regression trees (BART) method to find which of the input control variables most significantly influenced growth in Thailand during the studied periods. Secondly, we applied the Bayesian variable selection with adaptive method (BASAD) to enhance the variable selection, and, finally, conducted a mix-order selection utilizing BART and BASAD. Both methods are based on posterior inclusion probabilities of input predictors that explain the dependent variable of the study. In this way, we can assure a good variable selection approach before proceeding with the final estimation. In Table 2, the variables are shown in the order of their inclusion probabilities, from highest to lowest, in influencing the growth of the Thai economy between the first quarter of 2003 to the second quarter of 2024. Based on those results, we concluded that only the unemployment variable tends to influence economic growth in Thailand, in addition to MP and FP tools.
Table 2. Variable selection results.

4.3. The Efficacy of MP and FP on Economic Growth by Using TVSURE Model

In this study, our primary purpose was to examine the time-varying effects of the economic impact of monetary and fiscal policies in Thailand. To meet this objective, we employed a multi-equation regression with time-varying coefficients, specifically, time-varying seemingly unrelated equations (TVSURE). This model is a linear system where each equation has its own dependent variable and a set of independent variables that may differ across equations. In our case, we considered the same dependent variable (GDP growth) to separately model the effects of monetary and fiscal policy tools to investigate the relationship between the shifts in these policies and growth over time.
Table 3 and Table 4 present the coefficients of input predictors including the minimum, first quantile, median, mean, third quantile, and maximum values. The results reveal the time-varying effects of MP and FP on economic growth in Thailand between Q1:2003 and Q2:2024. In Table 3, it shows that broad money, currency devaluation, and unemployment had a positive impact on growth, while the policy interest rate and consumer price inflation exhibited a negative relationships during studied periods. The positive relationship between broad money and economic growth suggests that a greater money supply may stimulate economic activities in Thailand, as expected by monetary theory. This is consistent with the Keynesian view on the positive relationship between an expansionary money supply and lower interest rate. The positive nexus between currency devaluation and growth aligns with the theory of exchange rate adjustments where a weaker currency enhances export competitiveness by making local goods and services cheaper in the global market. This leads to higher exports, and, thus, it supports growth. However, a depreciated currency could also increase inflationary pressures so it must be carefully monitored. The positive relationship between unemployment and growth in somewhat counterintuitive but it can be explained by a few possible factors. One explanation could be that rising unemployment might mark a period of economic restructuring where labor shifts from less productive to more productive. Another explanation is that high unemployment could reflect periods of economic challenges such as the impact of growing advanced technologies or external shocks like the COVID-19 pandemic. The negative association between policy interest rates and economic growth is consistent with the theoretical expectation that higher interest rates tend to depress investment and consumption. Thereby, it slows down growth and this effect aligns with the traditional view of monetary policy where central banks may raise interest rates to control inflation. Lastly, the negative link between inflation and growth is in line with classical and monetarist economic theories that speculate high inflation decreases purchasing power and increases the cost of business operations.
Table 3. Economic impact of monetary policy in Thailand between Q1:2003–Q2:2024.
Table 4. Economic impact of fiscal policy in Thailand between Q1:2003–Q2:2024.
In Table 4, it shows that government revenue and government expenditure had a negative effect on growth, while government debt and unemployment exhibited positive relationships with growth. The negative association between government revenue and growth could possibly be due to higher taxes or other forms of revenue generation that reduces disposable income and consumption, which results in a slowdown in economic activities for the studied periods in Thailand. Similarly, the negative relationship between government expenditure and growth could indicate that increased government spending might end up in non-productive sectors, thus leading to inefficiencies. On the other hand, the positive nexus between government debt and economic growth could be explained by the fact that government borrowing may be used to finance productive investments or infrastructure projects that stimulate economic activities in the short term and in the long term. While high debt levels are generally seen as risky, debt financing for growth-oriented investments might lead to a higher economic output. Once more, the positive relationship between unemployment and growth could suggest that certain periods of business cycles are associated with times of technological change or external shocks like the global financial crisis and COVID-19 pandemic.
In sum, while monetary policy (MP) appears more consistent and theoretically aligned with the expected outcomes (e.g., money supply supporting growth), fiscal policy (FP) shows potential for stronger localized impacts. Additionally, we evaluate whether the trends of MP and FP moved in the same directions (See Figure 2). The figure revealed the same patterns between MP and FP. Despite this, we concluded that MP was more effective than FP in Thailand during the studied periods.
Figure 2. Time-varying coefficients of economic impact of monetary and fiscal policies in Thailand.
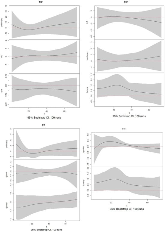
In order to support the findings of the impact of these policies estimated by points for each quarter, we further computed the time-varying coefficients by using 95 percent incredible intervals with the bootstrap method. These interval results enhanced the robustness of the estimates (see Figure 3). If the coefficient values of the variables are shown to be above zero, they indicate positive relationships between the dependent and independent variables. Conversely, when the coefficients fall below zero, they show the presence of negative associations. It reveals little or no impact of the independent variable on economic growth for periods where the coefficients are close to zero. In our analysis, the money supply was found to have a sustained positive effect on growth, starting from the first 10 quarters and onwards, while the policy interest rate recorded a negative effect. Despite the insignificance of currency devaluation, monetary policies are somehow considered effective because the lines representing the consumer price inflation and unemployment rates started to moving downward since about 37 quarters. For fiscal policies, the results showed government revenue at the swing stage, although government debt and unemployment were found to affect growth negatively and continuously. In addition, government expenditure was found to have increased over time during the studied periods.
Figure 3. Time-varying coefficients of variables by using 95% incredible intervals with bootstrap method. The solid black lines indicate the estimates and grey bands are their 95 percent bootstrap confidence intervals and red lines indicate zero.

4.4. Regime Shifting Relationships by Using Markov Switching Regression Model

In this study, we additionally employed the autoregressive Markov switching regression model to support the findings from the TVSURE model and propose policy recommendations. Based on the estimation, we found that monetary policy is more effective, in terms of growth, than monetary policy in sustaining long quarters of high growth for Thailand between Q1:2023 and Q2:2024 (see Table 5). Moreover, the results revealed FP has significant strength in recovering from recessions much more quickly, as transitions from slow growth to high growth occur during a shorter length of time (5.48 quarters) than under MP (11.08 quarters). This means that Thailand should pay more attention to fiscal tools during economic downturns. Surprisingly, the coordination of MP and FP showed a similar performance to MP alone with a high growth duration of 70 quarters, while lowering the transition periods from slow to high growth to 11.96 quarters. Other results including regime-switching relationships between each considered variable and economic growth are presented in Table A2, Table A3 and Table A4 (Appendix A).
Table 5. Regime transitions and durations between high growth and slow growth.

5. Conclusions and Policy Recommendations

This study investigated the efficacy of monetary and fiscal policies on economic growth in Thailand using quarterly data from Q1:2003 to Q2:2024. Monetary and fiscal policies are widely regarded as significant contributors to maintaining economic growth for most countries in recent years. A large body of literature has also empirically explored these policies’ effect on real growth by using different samples and methodologies. However, the empirical study focusing on this nexus in Thailand is insufficiently reported. This has led us to fill the gap through this present study. Following the identification of unemployment as the variable with the highest and most significant probability of affecting economic growth, alongside MP and FP based on a mix-order selection approach utilizing BART and BASAD, we proceeded with data analysis using two different econometric models.
The estimation of the TVSURE model revealed that monetary policy is more consistent and aligned with theoretical expectations compared to fiscal policy, despite both policies sharing similar trends during the studied periods. Additionally, the findings from the MSR model of this study confirmed that monetary policy is more effective than fiscal policy in maintaining economic growth for Thailand. But fiscal policy was also found to be more effective in the recovery from recessions. In addition, the coordination of MP and FP is found to have a similar performance to MP alone in the case of Thailand. The overall results highlight the important role of monetary policy in sustaining long-term economic growth in Thailand.
Even though this study has provided valuable insights into the relative efficacy of MP and FP, several limitations must be acknowledged, which future research could address in order to enhance the robustness of the findings. First, the use of quarterly time series data obscure certain short-term economic dynamics that could influence the effectiveness of policies, particularly during periods of abrupt economic changes or policy shifts. Second, the application of different econometric models may produce slight variations in the results, underscoring the potential sensitivity of the findings to the model specifications. Third, the inclusion of variables with similar probabilities of influence identified through the mix-order selection method utilizing BART and BASAD in this study may dilute the robustness of the determined macro factors, potentially affecting the precision of policy implications.
Despite certain limitations, this study has potential policy implications. According to the findings in this study, we suggest that governments and policymakers prioritize the use of monetary policy tools such as policy interest rate adjustments and money supply management to sustain and promote growth. While MP has shown greater efficacy in sustaining growth, FP has been found to be more effective in aiding in the recovery from economic recessions. Governments and policymakers should design targeted fiscal measures such as stimulus packages or increased public investment, especially during periods of economic downturns to accelerate recovery. The coordination of MP and FP has shown comparable performance to MP alone but with shorter transition periods. Therefore, a coordinated approach should focus on aligning policy objectives and timelines to maximize their combined impact. Furthermore, unemployment emerged as the variable with the highest significant probability of influencing growth; thus, public policies such as job creation programs, vocational training programs, and support for micro, small, and medium enterprises (MSMEs) should be prioritized in order to strengthen the growth process by addressing unemployment effectively and efficiently.

Author Contributions

Conceptualization, H.K. and P.P.; methodology, P.P.; software, P.P. and H.K.; validation, P.P. and H.K.; formal analysis, P.P. and H.K.; investigation, P.P. and H.K.; resources, P.P. and H.K.; data curation, H.K.; writing—original draft preparation, H.K. and P.P.; writing—review and editing, P.P. and H.K.; visualization, P.P. and H.K.; supervision, P.P.; project administration, P.P. and H.K.; funding acquisition, P.P. All authors have read and agreed to the published version of the manuscript.

Funding

This research received no external funding.

Data Availability Statement

All the data used in this study were collected from CEIC database, publicly accessible via Chiang Mai University (CMU) network at https://insights.ceicdata.com, accessed on 3 December 2024.

Conflicts of Interest

There are no potential conflicts of interest to declare regarding the authorship, publication or affiliation of authors.

Abbreviations

The following abbreviations are used in this manuscript:
BARTBayesian Additive Regression Trees
BASADBayesian Variable Selection
BICBayesian Information Criterion
FPFiscal Policy
CEICChina Economic Information Center
MSMEsMicro, Small, and Medium Enterprises
MPMonetary Policy
MSRMarkov Switching Regression
SDGsSustainable Development Goals
TVSURETime-varying Coefficients Seemingly Unrelated Equation

Appendix A

Table A1. Source of data, symbol, and unit of measurement of variables used in this study.
Table A1. Source of data, symbol, and unit of measurement of variables used in this study.
VariablesSymbolUnitSource
Real Gross Domestic Product GrowthGDPR%CEIC, https://www.ceicdata.com (accessed on 2 December 2024)
Money Supply, M2 (Broad Money)M2US dollar millionCEIC, https://www.ceicdata.com
Policy Interest RatePIRS%CEIC, https://www.ceicdata.com
Inflation, Consumer Price IndexINF2019 = 100CEIC, https://www.ceicdata.com
Exchange Rate (1 US dollar to Baht)USDTOBAHTBaht per USDCEIC, https://www.ceicdata.com
Government RevenueGOVREVUS dollar millionCEIC, https://www.ceicdata.com
Government ExpenditureGOVEXPUS dollar millionCEIC, https://www.ceicdata.com
Government DebtGOVDEBTUS dollar millionCEIC, https://www.ceicdata.com
Consumer Confidence Index: PresentCCIPPointCEIC, https://www.ceicdata.com
Consumer Confidence Index: FutureCCIFPointCEIC, https://www.ceicdata.com
Gold Price, 99.99% pure standardGOLDPRUS dollarCEIC, https://www.ceicdata.com
Diesel Price, base wholesale valueDIESELPRUS dollarCEIC, https://www.ceicdata.com
Gasoline 95 price, base retail valueGASOLINEPRUS dollarCEIC, https://www.ceicdata.com
Imports % of Nominal GDPIMPORT%CEIC, https://www.ceicdata.com
Exports % of Nominal GDPEXPORT%CEIC, https://www.ceicdata.com
Household Debt % of Nominal GDPHHDEBT%CEIC, https://www.ceicdata.com
Unemployment RateUNEMP%CEIC, https://www.ceicdata.com
FDI % of Nominal GDPFDI%CEIC, https://www.ceicdata.com
Electricity Generation total GwhECGGwhCEIC, https://www.ceicdata.com
External Shocks Dummy Variable aEXTS0 and 1CEIC, https://www.ceicdata.com
Note: a indicates the presence and absence of external shock events, whereas 0 indicates absent periods with no financial crisis and COVID-19 pandemic, and 1 indicates present periods of financial crisis which occurred in Q1:2007 and Q4:2008 worldwide and COVID-19 impact between Q1:2020 and Q4:2021.
Table A2. Regime-switching relationships between fiscal policy and economic growth in Thailand.
Table A2. Regime-switching relationships between fiscal policy and economic growth in Thailand.
VariableHigh-Growth RegimeSlow-Growth Regime
EstimateStd. ErrorT-Valuep-ValueEstimateStd. ErrorT-Valuep-Value
Intercept7.17104.97241.44220.14923.40561.19012.86160.004 **
Log (Govrev)0.48671.08150.45000.6527−0.41900.1972−2.12470.033 *
Log (Govexp)−1.04222.6324−0.39590.69221.34320.27234.93280.00 ***
Log (Govdebt)−0.01341.5557−0.00860.9931−0.99010.1422−6.96270.00 ***
Log (Unemp)−0.02280.7916−0.02880.97700.89760.15685.72450.00 ***
Residual0.82 0.17
Notes: * statistically significant; ** strongly significant; and *** highly significant.
Table A3. Regime-switching relationships between monetary policy and economic growth in Thailand.
Table A3. Regime-switching relationships between monetary policy and economic growth in Thailand.
VariableHigh-Growth RegimeSlow-Growth Regime
EstimateStd. ErrorT-Valuep-ValueEstimateStd. ErrorT-Valuep-Value
Intercept49.340132.01461.54120.123332.32811.325124.39670.00 ***
Log (M2)−0.96263.0892−0.31160.75531.76020.082321.38760.00 ***
Log (Pirs)−0.83590.8221−1.01680.3092−0.23710.0799−2.96750.003 **
Log (Inf)−5.950916.3619−0.36370.7161−12.95110.2360−54.87750.00 ***
Log (Usdtobaht)−2.31755.7257−0.36370.71611.45450.34784.18200.00 ***
Log (Unemp)−0.47711.1489−0.41530.67790.31990.15712.03630.041 *
Residual0.86 0.22
Notes: * statistically significant; ** strongly significant; and *** highly significant.
Table A4. Regime-switching relationships between monetary and fiscal policies and economic growth in Thailand.
Table A4. Regime-switching relationships between monetary and fiscal policies and economic growth in Thailand.
VariableHigh-Growth RegimeSlow-Growth Regime
EstimateStd. ErrorT-Valuep-ValueEstimateStd. ErrorT-Valuep-Value
Intercept153.224919.13368.00820.00 ***12.44801.67297.44100.00 ***
Log (Govrev)0.69561.23700.56230.57390.07180.19510.36800.7128
Log (Govexp)−0.42433.3246−0.12760.8984−0.06220.2800−0.22210.8242
Log (Govdebt)7.57142.15023.52130.00 ***−1.34620.1217−11.06160.00 ***
Log (M2)−6.75733.0856−2.18990.028 *3.09020.102930.03110.00 ***
Log (Pirs)−0.03360.7302−0.04600.9633−0.12810.0703−1.82220.0684
Log (Inf)−29.639210.1052−2.93310.003 **−9.64500.2771−34.80690.00 ***
Log (Usdtobaht)−5.62651.8111−3.10670.001 **2.33780.35946.50470.00 ***
Log (Unemp)−1.03731.1267−0.92070.35720.49340.15943.09540.001 **
Residual0.75 0.17
Notes: * statistically significant; ** strongly significant; and *** highly significant.

References

  1. Abeysekera, I. (2024). The influence of fiscal, monetary, and public policies on sustainable development in Sri Lanka. Sustainability, 16, 580. [Google Scholar] [CrossRef]
  2. Adegboyo, O. S., Keji, S. A., & Fasina, O. T. (2021). The impact of government policies on Nigeria economic growth (case of fiscal and monetary and trade policies). Future Business Journal, 7(1), 59. [Google Scholar] [CrossRef]
  3. Afonso, A., Alves, J., & Balhote, R. (2019). Interactions between monetary and fiscal policies. Journal of Applied Economics, 22(1), 132–151. [Google Scholar] [CrossRef]
  4. Aisyah, S., Suarmanayasa, I. N., Efendi, E., Widiastuti, B. R., & Harsono, I. (2024). The impact of fiscal policy on economic growth: A case study of Indonesia. Management Studies and Entrepreneurship Journal, 5(2), 3773–3782. [Google Scholar]
  5. Ali, A. O., Mohamed, J., & Mohamed, M. O. (2024). Asymmetric modeling of the fiscal policy-economic growth nexus in Somalia. Cogent Economics & Finance, 12(1), 2312372. [Google Scholar] [CrossRef]
  6. Andini, M. (2024). The influence of fiscal policy on economic growth. Journal of Economics, Management and Finance, 3(1), 1–9. [Google Scholar] [CrossRef]
  7. Arora, N., Monga, S., & Sharma, D. (2022). Coordination of monetary and fiscal policies for growth with price stability in a post-COVID-19 Indian economy. Economic Papers, 41(3), 247–259. [Google Scholar] [CrossRef]
  8. Azad, N. F., Serletis, A., & Xu, L. (2021). COVID-19 and monetary-fiscal policy interaction in Canada. The Quarterly Review of Economics and Finance, 81, 376–384. [Google Scholar] [CrossRef]
  9. Batayneh, K. I., Aleqap, M. M., & Salamat, W. A. (2024). The impact of fiscal and monetary policies on economics growth: An empirical study of the USA. Montengegrin Journal of Economics, 20(3), 113–126. [Google Scholar]
  10. Behera, C., Rath, B. N., & Mishra, P. K. (2024). The impact of monetary and fiscal stimulus on stock returns during the COVID-19 Pandemic. Journal of Asian Economics, 90, 101680. [Google Scholar] [CrossRef]
  11. Casas, I., & Fernandez-Casal, R. (2022). tvReg: Time-varying Coefficients in Multi-Equation Regression in R. The R Journal, 14(1), 79–100. [Google Scholar] [CrossRef]
  12. Chipman, H. A., George, E. I., & McCulloch, R. E. (2010). BART: Bayesian addictive regression trees. Annals of Applied Statistics, 4(1), 266–298. [Google Scholar] [CrossRef]
  13. Chugunov, I., Pasichnyi, M., Koroviy, V., Kaneva, T., & Nikitishin, A. (2021). Fiscal and monetary policy of economic development. European Journal of Sustainable Development, 10(1), 42–52. [Google Scholar] [CrossRef]
  14. Demirtas, T. (2023). The growth effect of the expansionary monetary and fiscal policies applied in the periods when the economies shrank: Developed and developing countries cases. Eurasian Journal of Social Sciences, 11(3–4), 95–114. [Google Scholar] [CrossRef]
  15. Dinh, L. Q., Oanh, T. T. K., & Ha, N. T. H. (2024). Financial stability and sustainable development: Perspectives from fiscal and monetary policy. International Journal of Finance and Economics, 30(1), 1–18. [Google Scholar] [CrossRef]
  16. Dodo, F. E., Chijioke, U. J., & Gwandu, B. S. (2024). Effect of monetary and fiscal policies on economic growth in Nigeria. Studies in Economics and International Finance, 4(1), 37–49. [Google Scholar]
  17. Donald, A. O., Joseph, O. U., & Julie, E. I. (2024). A co-integration approach to assess the impact of Nigeria monetary policy on economic growth. International Journal of Development Mathematics, 1(3), 236–244. [Google Scholar]
  18. Goldfeld, S. M., & Quandt, R. E. (1973). A Markov model for switching regressions. Journal of Econometrics, 1(1), 3–15. [Google Scholar] [CrossRef]
  19. Hamilton, J. (1989). A new approach to the economic analysis of nonstationary time series and the business cycle. Econometrica, 57(2), 357–384. [Google Scholar] [CrossRef]
  20. Isaiah, O., Mchael, N. O., Amakoromo Grace, I., Valentine, A. C., & Ideba, E. E. (2024). Application of optimal control modelling procedure for determining the impact of the nigerian monetary and fiscal policies on its economic growth. Asian Journal of Economics, Finance and Management, 6(1), 74–87. Available online: https://prh.globalpresshub.com/review-history/1486 (accessed on 19 December 2024).
  21. Ito, H., & Kawai, M. (2024). Monetary and fiscal policy impacts under alternative trilemma regimes. Journal of International Money and Finance, 149, 103182. [Google Scholar] [CrossRef]
  22. Kapelner, A., & Bleich, J. (2016). bartMachine: Machine learning with bayesian additive regression trees. Journal of Statistical Software, 70(4), 1–40. [Google Scholar] [CrossRef]
  23. Kim, J., Wang, M., Park, D., & Petalcorin, C. C. (2021). Fiscal policy and economic growth: Some evidence from China. Review of World Economics, 157, 555–582. [Google Scholar] [CrossRef]
  24. Mwale, R., & Mulenga, R. (2024). Fiscal policy and economic growth nexus: Evidence from Zambia. American Journal of Economies, 8(2), 15–39. [Google Scholar] [CrossRef]
  25. Narisetty, N. N., & He, X. (2014). Bayesian variable selection with diffusing priors. Ann. Statist, 42(2), 789–817. [Google Scholar] [CrossRef]
  26. Nguyen, K. T., Do, H. G., Nguyen, N. T. T., & Le, N. M. T. (2024). The impacts of monetary and fiscal policies on economic growth in Vietnam. Montenegrin Journal of Economics, 20(4), 19–26. [Google Scholar]
  27. Nuru, N. Y. (2020). Monetary and fiscal policy effects in South African economy. African Journal of Economic and Management Studies, 11(4), 625–638. [Google Scholar] [CrossRef]
  28. Ozili, P. K. (2024). Economic policy for sustainable development: Role of monetary policy, fiscal policy and regulatory policy. Circular Economy and Sustainability, 4(4), 2625–2656. [Google Scholar] [CrossRef]
  29. Perlin, M. (2015). MS_Regress—The MATLAB package for markov regime switching models. Available online: https://ssrn.com/abstract=1714016 (accessed on 15 December 2024).
  30. Sanchez-Espigares, J. A., & Lopez-Moreno, A. (2022). Fitting markov switching models, package ‘MSwM’. Available online: https://cran.r-project.org/web//packages//MSwM/MSwM.pdf (accessed on 3 December 2024).
  31. Silva, C. G. D., & Vieira, F. V. (2017). Monetary and fiscal policy in advanced and developing countries: An analysis before and after the financial crisis. The Quarterly Review of Economics and Finance, 63, 13–20. [Google Scholar] [CrossRef]
  32. Tan, C. T., Mohamed, A., Habibullah, M. S., & Chin, L. (2020). The impacts of monetary and fiscal policies on economic growth in Malaysia, Singapore and Thailand. South Asian Journal of Macroeconomics and Public Finance, 9(1), 1–17. [Google Scholar] [CrossRef]
  33. Xiang, Q., & Narisetty, N. (2022). Package ‘basad’. CRAN. Available online: https://cran.r-project.org/web/packages/basad/basad.pdf (accessed on 15 December 2024).
  34. Yuan, B., Leiling, W., Saydaliev, H. B., Dagar, V., & Acevedo-Duque, A. (2022). Testing the impact of fiscal policies for economic recovery: Does monetary policy act as catalytic tool for economic Survival. Economic Change and Restructuring, 22, 2215–2235. [Google Scholar] [CrossRef]
  35. Zellner, A. (1962). An efficient method of estimating seemingly unrelated regression on tests for aggregation bias. Journal of the American Statistical Association, 57(298), 348–368. [Google Scholar] [CrossRef]
Disclaimer/Publisher’s Note: The statements, opinions and data contained in all publications are solely those of the individual author(s) and contributor(s) and not of MDPI and/or the editor(s). MDPI and/or the editor(s) disclaim responsibility for any injury to people or property resulting from any ideas, methods, instructions or products referred to in the content.

Article Metrics

Citations

Article Access Statistics

Multiple requests from the same IP address are counted as one view.