Exploring the Nexus between Employment and Economic Contribution: A Study of the Travel and Tourism Industry in the Context of COVID-19
Abstract
1. Introduction
2. Literature Review
3. Methodology
3.1. Data
3.2. Quantile Regresiion
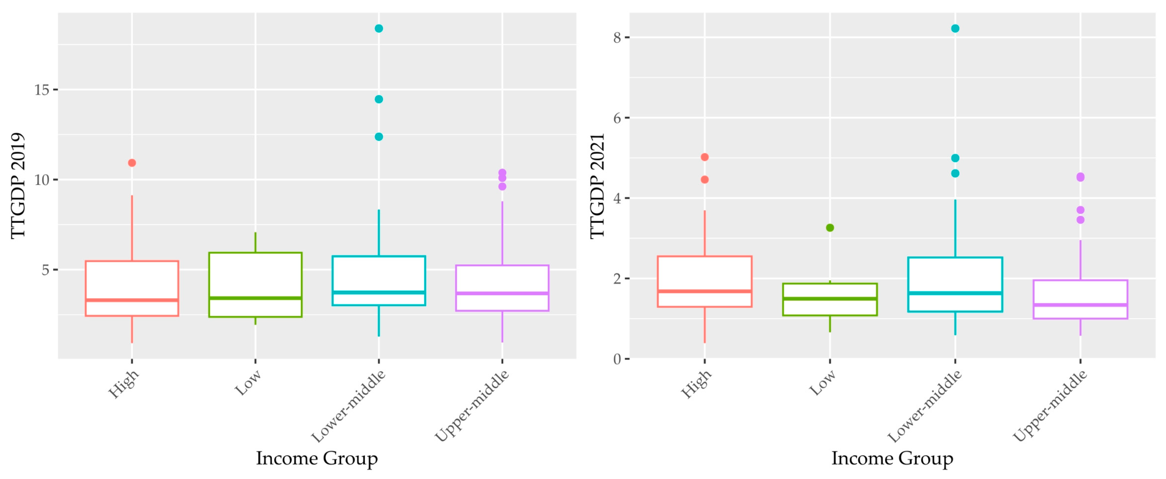
4. Results
5. Discussion
6. Conclusions
Author Contributions
Funding
Informed Consent Statement
Data Availability Statement
Conflicts of Interest
Appendix A
| Asia–Pacific | Europe and Eurasia | Middle East and North Africa | Sub-Saharan Africa | The Americas | ||||||
|---|---|---|---|---|---|---|---|---|---|---|
| AUS | LKA | ALB | ESP | ISL | NLD | ARE | AGO | MWI | ARG | MEX |
| BGD | MNG | ARM | EST | ITA | POL | BHR | BEN | NAM | BOL | NIC |
| HKG | MYS | AUT | FIN | KAZ | PRT | EGY | BWA | NGA | BRA | PAN |
| CHN | NPL | AZE | FRA | KGZ | ROU | ISR | CIV | RWA | CAN | PER |
| IDN | NZL | BEL | GBR | LTU | SRB | JOR | CMR | SEN | COL | PRY |
| IND | PAK | BGR | GEO | LUX | SVK | KWT | CPV | SLE | CRI | SLV |
| JPN | PHL | BIH | GRC | LVA | SVN | LBN | GHA | TCD | DOM | TTO |
| KHM | SGP | CYP | HRV | MDA | SWE | MAR | KEN | TZA | ECU | URY |
| KOR | THA | CZE | HUN | MKD | TJK | QAT | LSO | ZAF | GTM | USA |
| LAO | VNM | DEU | CHE | MLT | TUR | SAU | MLI | ZMB | HND | VEN |
| DNK | IRL | MNE | TUN | MUS | CHL | |||||
| YEM | ||||||||||
| High | Low | Lower-Middle | Upper-Middle | |||||||
|---|---|---|---|---|---|---|---|---|---|---|
| ARE | FIN | ISR | POL | GHA | BEN | KGZ | NPL | AGO | DOM | MLI |
| AUS | FRA | ITA | PRT | LSO | BGD | KHM | PAK | ALB | ECU | MNE |
| AUT | GBR | JPN | QAT | RWA | BOL | LAO | PHL | ARG | GEO | MYS |
| BEL | GRC | KOR | SAU | SEN | BWA | LKA | SLV | ARM | GTM | PAN |
| BHR | HKG | KWT | SGP | SLE | CIV | MAR | TCD | AZE | CHN | PER |
| CAN | HRV | LTU | SVK | YEM | CPV | MNG | TJK | BGR | JOR | PRY |
| CYP | HUN | LUX | SVN | EGY | MUS | TUN | BIH | KAZ | ROU | |
| CZE | CHE | LVA | SWE | HND | MWI | TZA | BRA | LBN | SRB | |
| DEU | CHL | MLT | TTO | IDN | NAM | VEN | CMR | MDA | THA | |
| DNK | IRL | NLD | URY | IND | NGA | VNM | COL | MEX | TUR | |
| ESP | ISL | NZL | USA | KEN | NIC | ZMB | CRI | MKD | ZAF | |
| EST | ||||||||||
Appendix B
| Country | ΔTTEMPL | ΔTTGDP | Country | ΔTTEMPL | ΔTTGDP | Country | ΔTTEMPL | ΔTTGDP | Country | ΔTTEMPL | ΔTTGDP |
|---|---|---|---|---|---|---|---|---|---|---|---|
| CPV | −7.34 | −13.40 | MWI | −1.34 | −2.21 | LTU | −0.80 | −0.68 | PRY | −0.11 | −0.58 |
| GRC | −6.35 | −5.43 | SWE | −1.32 | −0.89 | BRA | −0.75 | −1.28 | ZMB | −0.10 | −1.49 |
| KHM | −6.18 | −9.85 | ARG | −1.30 | −1.37 | CAN | −0.72 | −1.03 | SVK | −0.07 | −1.31 |
| TUN | −4.48 | −4.84 | AZE | −1.25 | −2.68 | IDN | −0.70 | −0.97 | DNK | −0.05 | −0.69 |
| MAR | −3.72 | −5.55 | PAK | −1.24 | −1.62 | ECU | −0.68 | −1.82 | FIN | −0.02 | −0.75 |
| LSO | −3.71 | −3.82 | TTO | −1.23 | −1.52 | CHN | −0.65 | −1.71 | ITA | 0.00 | −2.63 |
| LKA | −3.49 | −4.24 | ALB | −1.22 | −4.26 | ESP | −0.64 | −3.21 | GEO | 0.00 | −6.63 |
| MEX | −3.12 | −3.54 | MUS | −1.22 | −3.63 | COL | −0.62 | −1.15 | KOR | 0.03 | −0.26 |
| NZL | −3.11 | −2.97 | QAT | −1.17 | −0.64 | EGY | −0.62 | −3.68 | BEL | 0.05 | −1.01 |
| MLT | −2.94 | −4.03 | NIC | −1.17 | −3.02 | GHA | −0.62 | −1.35 | MKD | 0.11 | −0.76 |
| JOR | −2.86 | −3.84 | HRV | −1.17 | −6.47 | VEN | −0.60 | −1.19 | BGR | 0.12 | −1.84 |
| RWA | −2.78 | −4.52 | BGD | −1.16 | −1.59 | SRB | −0.49 | −1.47 | LVA | 0.15 | −1.85 |
| URY | −2.67 | −4.11 | GTM | −1.13 | −1.85 | AGO | −0.48 | −0.78 | SAU | 0.15 | −1.47 |
| AUT | −2.62 | −4.01 | ROU | −1.10 | −0.77 | BIH | −0.47 | −1.50 | MNE | 0.17 | −7.91 |
| TZA | −2.61 | −2.70 | HUN | −1.10 | −1.51 | AUS | −0.44 | −1.46 | SGP | 0.27 | −2.43 |
| CYP | −2.51 | −5.73 | BHR | −1.07 | −3.45 | CHL | −0.43 | −1.29 | YEM | 0.30 | −1.13 |
| LBN | −2.33 | −5.86 | ZAF | −1.05 | −1.47 | DEU | −0.42 | −1.53 | IRL | 0.31 | −1.55 |
| HND | −2.13 | −3.25 | BOL | −1.01 | −1.65 | FRA | −0.40 | −1.92 | ARM | 0.42 | −2.65 |
| CRI | −2.13 | −3.12 | HKG | −1.01 | −3.84 | MLI | −0.35 | −2.50 | TUR | 0.62 | −2.57 |
| PAN | −2.03 | −3.92 | SLV | −1.01 | −2.58 | ISR | −0.33 | −0.96 | JPN | 0.76 | −0.85 |
| BWA | −1.97 | −3.34 | EST | −1.01 | −1.61 | KWT | −0.32 | −1.25 | SVN | 0.82 | −0.76 |
| CIV | −1.92 | −2.85 | USA | −0.99 | −1.01 | BEN | −0.30 | −1.25 | KGZ | 1.91 | 0.55 |
| NAM | −1.87 | 0.11 | KAZ | −0.97 | −1.08 | LUX | −0.28 | −0.79 | MDA | 2.44 | 0.18 |
| SEN | −1.82 | −2.71 | TJK | −0.97 | −1.71 | CHE | −0.26 | −1.01 | MYS | 3.14 | −1.87 |
| IND | −1.74 | −1.97 | ARE | −0.94 | −3.05 | GBR | −0.25 | −2.39 | NLD | 3.71 | 0.70 |
| LAO | −1.56 | −2.74 | SLE | −0.88 | −1.28 | TCD | −0.23 | −0.63 | THA | 4.29 | −5.91 |
| MNG | −1.54 | −2.69 | PER | −0.87 | −2.04 | VNM | −0.22 | −3.60 | PHL | 4.38 | −4.16 |
| KEN | −1.43 | −2.11 | NGA | −0.87 | −1.17 | CZE | −0.21 | −0.99 | |||
| ISL | −1.42 | −5.83 | CMR | −0.85 | −1.76 | POL | −0.15 | −1.06 | |||
| NPL | −1.34 | −2.44 | DOM | −0.83 | −3.15 | PRT | −0.13 | −3.88 |
References
- Ahmad, Nisar, Angeliki N. Menegaki, and Saeed Al-Muharrami. 2020. Systematic literature review of tourism growth nexus: An overview of the literature and a content analysis of 100 most influential papers. Journal of Economic Surveys 34: 1068–110. [Google Scholar] [CrossRef]
- Akamavi, Raphaël K., Fahad Ibrahim, and Raymond Swaray. 2023. Tourism and troubles: Effects of security threats on the global travel and tourism industry performance. Journal of Travel Research 62: 1755–800. [Google Scholar] [CrossRef]
- Antonakakis, Nikolaos, Mina Dragouni, and George Filis. 2015. How strong is the linkage between tourism and economic growth in Europe? Economic Modelling 44: 142–55. [Google Scholar] [CrossRef]
- Barišić, Patrik, and Tibor Kovač. 2022. The effectiveness of the fiscal policy response to COVID-19 through the lens of short and long run labor market effects of COVID-19 measures. Public Sector Economics 46: 43–81. [Google Scholar] [CrossRef]
- Bogale, Mekonnen, Shimekit Kelkay, and Wubishet Mengesha. 2020. COVID-19 pandemic and tourism sector in Ethiopia. Horn of African Journal of Business and Economics 1: 1–9. [Google Scholar]
- Borrego-Domínguez, Susana, Fernanda Isla-Castillo, and Mercedes Rodríguez-Fernández. 2022. Determinants of Tourism Demand in Spain: A European Perspective from 2000–2020. Economies 10: 276. [Google Scholar] [CrossRef]
- Brida, Juan Gabriel, Isabel Cortes-Jimenez, and Manuela Pulina. 2016. Has the tourism-led growth hypothesis been validated? A literature review. Current Issues in Tourism 19: 394–430. [Google Scholar] [CrossRef]
- Bulin, Daniel. 2014. EU Travel and Tourism Industry-A Cluster Analysis of Impact and Competitiveness. Global Economic Observer 2: 150–62. [Google Scholar]
- Burggraeve, Koen, Grégory de Walque, and Helene Zimmer. 2015. The relationship between economic growth and employment. Economic Review 1: 32–52. [Google Scholar]
- Bussink, Henri, Tobias Vervliet, and Bas Ter Weel. 2022. The short-term effect of the COVID-19 crisis on employment probabilities of labour-market entrants in the Netherlands. De Economist 170: 279–303. [Google Scholar] [CrossRef]
- Cardenete, Manuel Alejandro, María del Carmen Delgado, and Paula Villegas. 2022. Impact assessment of COVID-19 on the tourism sector in Andalusia: An economic approach. Current Issues in Tourism 25: 2029–35. [Google Scholar] [CrossRef]
- Costanzo, Antonella, and Marta Desimoni. 2017. Beyond the mean estimate: A quantile regression analysis of inequalities in educational outcomes using INVALSI survey data. Large-Scale Assessments in Education 5: 1–25. [Google Scholar] [CrossRef]
- Cupák, Andrej, Ján Pokrivčák, and Martin Rizov. 2016. Diverzita spotreby potravín na Slovensku. Politická Ekonomie 64: 608–26. [Google Scholar] [CrossRef]
- Curtale, Riccardo, Filipe Batista e Silva, Paola Proietti, and Ricardo Barranco. 2023. Impact of COVID-19 on tourism demand in European regions-An analysis of the factors affecting loss in number of guest nights. Annals of Tourism Research Empirical Insights 4: 100112. [Google Scholar] [CrossRef]
- de Fátima Brilhante, Maria, and Maria Luísa Rocha. 2023. COVID-19 pre-pandemic tourism forecasts and post-pandemic signs of recovery assessment for Portugal. Research in Globalization 7: 100167. [Google Scholar] [CrossRef]
- Ding, Chenhao, Xin Gao, and Zhiyang Xie. 2024. Analysing the differential impact of the COVID-19 pandemic on the resilience of the tourism economy: A case study of the Chengdu-Chongqing urban agglomeration in China. International Journal of Disaster Risk Reduction 102: 104255. [Google Scholar] [CrossRef]
- Dogan, Eyup, Fahri Seker, and Serap Bulbul. 2017. Investigating the impacts of energy consumption, real GDP, tourism and trade on CO2 emissions by accounting for cross-sectional dependence: A panel study of OECD countries. Current Issues in Tourism 20: 1701–19. [Google Scholar] [CrossRef]
- Dogru, Tarik, and Ercan Sirakaya-Turk. 2017. Engines of tourism’s growth: An examination of efficacy of shift-share regression analysis in South Carolina. Tourism Management 58: 205–14. [Google Scholar] [CrossRef]
- Dogru, Tarik, and Umit Bulut. 2018. Is tourism an engine for economic recovery? Theory and empirical evidence. Tourism Management 67: 425–34. [Google Scholar] [CrossRef]
- Duro, Juan Antonio, Alejandro Perez-Laborda, Judith Turrion-Prats, and Melchor Fernández-Fernández. 2021. COVID-19 and tourism vulnerability. Tourism Management Perspectives 38: 100819. [Google Scholar] [CrossRef]
- European Commission. 2023. 2023 Country Report—Greece. Available online: https://economy-finance.ec.europa.eu/system/files/2023-05/EL_SWD_2023_608_en.pdf (accessed on 21 May 2024).
- Figini, Paolo, and Roberto Patuelli. 2022. Estimating the economic impact of tourism in the European Union: Review and computation. Journal of Travel Research 61: 1409–23. [Google Scholar] [CrossRef]
- Furio, Maria Cecilia G., Rowena V. Lumandas, Florinda G. Vigonte, and Marmelo V. Abante. 2023. Exploring the Complexities of the Philippine Economy: An In-Depth Analysis of Its Challenges during COVID-19 Pandemic. Available online: https://papers.ssrn.com/sol3/papers.cfm?abstract_id=4441323 (accessed on 21 May 2024).
- Ghosh, Sajal. 2009. Electricity supply, employment and real GDP in India: Evidence from cointegration and Granger-causality tests. Energy Policy 37: 2926–29. [Google Scholar] [CrossRef]
- Grant, Lewis R. 2024. Lessons Learned from the Kyrgyz Republic’s Public Health Response to COVID-19. Health Security 22. [Google Scholar] [CrossRef]
- Henseler, Martin, Helene Maisonnave, and Asiya Maskaeva. 2022. Economic impacts of COVID-19 on the tourism sector in Tanzania. Annals of Tourism Research Empirical Insights 3: 100042. [Google Scholar] [CrossRef]
- Hyslop, Dean, David C. Maré, and Shannon Minehan. 2023. COVID-19 Wage Subsidy: Outcome Evaluation; Wellington: Motu Economic and Public Policy Research Trust. Available online: https://www.msd.govt.nz/documents/about-msd-and-our-work/publications-resources/statistics/covid-19/wage-subsidy-evaluation-reports/wage-subsidy-scheme-outcomes-evaluation.pdf (accessed on 21 May 2024).
- ILO Brief. 2021. COVID-19 and Employment in the Tourism Sector in the Asia–Pacific Region. Available online: https://www.ilo.org/resource/brief/covid-19-and-employment-tourism-sector-asia-pacific-region (accessed on 21 May 2024).
- Islam, Anisul M. 2021. Impact of COVID-19 pandemic on global output, employment and prices: An assessment. Transnational Corporations Review 13: 189–201. [Google Scholar] [CrossRef]
- Islam, Mohammad Monirul, and Farha Fatema. 2020. COVID-19 and sustainable tourism: Macroeconomic effect and policy comparison among Europe, the USA and China. Asian Business Review 10: 53–60. [Google Scholar] [CrossRef]
- Jencova, Sylvia, Igor Petruska, and Marta Lukacova. 2021. Relationship between ROA and total indebtedness by threshold regression model. Montenegrin Journal of Economics 17: 37–46. [Google Scholar] [CrossRef]
- Julius, Evelina, Samuel Nuugulu, and Lukas Julius. 2022. Forecasting the Economic Impacts of COVID-19: A Case for the Namibian Economy. In COVID-19 and a World of Ad Hoc Geographies. Edited by Stanley D. Brunn and Donna Gilbreath. Cham: Springer International Publishing, vol. 1, pp. 1445–66. [Google Scholar] [CrossRef]
- Kalina, Jan, and Petra Vidnerová. 2019. Implicitly weighted robust estimation of quantiles in linear regression. In Conference Proceedings of the 37th International Conference on Mathematical Methods in Economics 2019. Paper presented at the 37th International Conference on Mathematical Methods in Economics 2019, České Budějovice, Czech Republic, September 11–13. České Budejovice: University of South Bohemia. [Google Scholar]
- Kavya Lekshmi, R. S., and Hrushikesh Mallick. 2022. Contribution of international tourism to economic growth of Kerala: A subnational-level analysis in India. Journal of Policy Research in Tourism, Leisure and Events 14: 165–82. [Google Scholar] [CrossRef]
- Klinger, Sabine, and Enzo Weber. 2020. GDP-employment decoupling in Germany. Structural Change and Economic Dynamics 52: 82–98. [Google Scholar] [CrossRef]
- Koenker, Roger. 2005. Quantile Regression. New York: Cambridge University Press. [Google Scholar]
- Koenker, Roger, Victor Chernozhukov, Xuming He, and Limin Peng. 2017. Handbook of Quantile Regression. Boca Ranton: CCR Press. [Google Scholar]
- Kováč, Štefan. 2013. Vybrané faktory predlženosti podnikov v podmienkach SR. Forum Statisticum Slovacum 7: 79–85. [Google Scholar]
- Kožić, Ivan, and Ivan Sever. 2022. Can tourism activity stabilize cyclical employment? Annals of Tourism Research Empirical Insights 3: 100043. [Google Scholar] [CrossRef]
- Lee, Seojin. 2015. Research note: Quality of government and tourism destination competitiveness. Tourism Economics 21: 881–88. [Google Scholar] [CrossRef]
- Li, Mingxiang. 2015. Moving beyond the linear regression model: Advantages of the quantile regression model. Journal of Management 41: 71–98. [Google Scholar] [CrossRef]
- Lim, Weng Marc, and Wai-Ming To. 2022. The economic impact of a global pandemic on the tourism economy: The case of COVID-19 and Macao’s destination-and gambling-dependent economy. Current Issues in Tourism 25: 1258–69. [Google Scholar] [CrossRef]
- Manzoor, Faiza, Longbao Wei, Muhammad Asif, Muhammad Zia ul Haq, and Hafiz ur Rehman. 2019. The contribution of sustainable tourism to economic growth and employment in Pakistan. International Journal of Environmental Research and Public Health 16: 3785. [Google Scholar] [CrossRef]
- Mariolis, Theodore, Nikolaos Rodousakis, and George Soklis. 2021. The COVID-19 multiplier effects of tourism on the Greek economy. Tourism Economics 27: 1848–55. [Google Scholar] [CrossRef]
- Martín-Critikián, Davina, José Rodríguez-Terceño, Juan Enrique Gonzálvez-Vallés, and Mónica Viñarás-Abad. 2021. Tourism advertising in times of crisis: The case of Spain and COVID-19. Administrative Sciences 11: 101. [Google Scholar] [CrossRef]
- Miyawaki, Atsushi, Takahiro Tabuchi, Yasutake Tomata, and Yusuke Tsugawa. 2021. Association between participation in the government subsidy programme for domestic travel and symptoms indicative of COVID-19 infection in Japan: Cross-sectional study. BMJ Open 11: e049069. [Google Scholar] [CrossRef] [PubMed]
- Monterrubio, Carlos. 2022. The informal tourism economy, COVID-19 and socioeconomic vulnerability in Mexico. Journal of Policy Research in Tourism, Leisure and Events 14: 20–34. [Google Scholar] [CrossRef]
- Moreno-Luna, Libertad, Rafael Robina-Ramírez, Marcelo Sánchez-Oro Sánchez, and José Castro-Serrano. 2021. Tourism and sustainability in times of COVID-19: The case of Spain. International Journal of Environmental Research and Public Health 18: 1859. [Google Scholar] [CrossRef]
- Mulder, Nanno. 2020. The impact of the COVID-19 pandemic on the tourism sector in Latin America and the Caribbean, and options for a sustainable and resilient recovery. In International Trade Series 157. Santiago: Economic Commission for Latin America and the Caribbean. [Google Scholar]
- Munawar, Hafiz Suliman, Sara Imran Khan, Fahim Ullah, Abbas Z. Kouzani, and M. A. Parvez Mahmud. 2021. Effects of COVID-19 on the Australian economy: Insights into the mobility and unemployment rates in education and tourism sectors. Sustainability 13: 11300. [Google Scholar] [CrossRef]
- Nagaj, Rafał, and Brigita Žuromskaitė. 2021. Tourism in the Era of COVID-19 and Its Impact on the Environment. Energies 14: 2000. [Google Scholar] [CrossRef]
- Navarro-Chávez, César Lenin, Francisco Javier Ayvar-Campos, and Celeste Camacho-Cortez. 2023. Tourism, Economic Growth, and Environmental Pollution in APEC Economies, 1995–2020: An Econometric Analysis of the Kuznets Hypothesis. Economies 11: 264. [Google Scholar] [CrossRef]
- Paramati, Sudharshan Reddy, Md Samsul Alam, and Ching-Fu Chen. 2017. The effects of tourism on economic growth and CO2 emissions: A comparison between developed and developing economies. Journal of Travel Research 56: 712–24. [Google Scholar] [CrossRef]
- Pasieka, Stanislava, Oleksandr Kirdan, Oksana Braslavska, Inna Kosmidailo, Olga Oliinyk, Inna Povorozniuk, and Maryna Drobotova. 2022. The Economic Role of Tourism in European Countries’ Sustainable Development. Management Theory and Studies for Rural Business and Infrastructure Development 44: 323–37. [Google Scholar] [CrossRef]
- Peterson, Ryan R., and Robin B. DiPietro. 2021. Exploring the impact of the COVID-19 pandemic on the perceptions and sentiments of tourism employees: Evidence from a small island tourism economy in the Caribbean. International Hospitality Review 35: 156–70. [Google Scholar] [CrossRef]
- Pham, Tien, and Anda Nugroho. 2022. Tourism-induced poverty impacts of COVID-19 in Indonesia. Annals of Tourism Research Empirical Insights 3: 100069. [Google Scholar] [CrossRef]
- Pham, Tien Duc, Larry Dwyer, Jen-Je Su, and Tramy Ngo. 2021. COVID-19 impacts of inbound tourism on Australian economy. Annals of Tourism Research 88: 103179. [Google Scholar] [CrossRef] [PubMed]
- Radovanov, Boris, Branislav Dudic, Michal Gregus, Aleksandra Marcikic Horvat, and Vincent Karovic. 2020. Using a two-stage DEA model to measure tourism potentials of EU countries and Western Balkan countries: An approach to sustainable development. Sustainability 12: 4903. [Google Scholar] [CrossRef]
- Ramlall, Indranarain. 2024. Modeling the impact of COVID-19 on the tourism sector in Mauritius: A dynamic stochastic general equilibrium analysis. Annals of Tourism Research Empirical Insights 5: 100130. [Google Scholar] [CrossRef]
- Rodousakis, Nikolaos, and George Soklis. 2022. The COVID-19 multiplier effects of tourism on the German and Spanish economies. Evolutionary and Institutional Economics Review 19: 497–510. [Google Scholar] [CrossRef]
- Sánchez López, Fernando. 2024. Tourism and Economic Misery: Theory and Empirical Evidence from Mexico. Economies 12: 88. [Google Scholar] [CrossRef]
- Scarlett, Hubert G. 2021. Tourism recovery and the economic impact: A panel assessment. Research in Globalization 3: 100044. [Google Scholar] [CrossRef]
- Schubert, Stefan Franz. 2021. COVID-19: Economic consequences for a small tourism dependent economy. Revista Brasileira de Pesquisa em Turismo 15: 2297. [Google Scholar] [CrossRef]
- Seabra, Cláudia, and Ketan Bhatt. 2022. Tourism sustainability and COVID-19 pandemic: Is there a positive side? Sustainability 14: 8723. [Google Scholar] [CrossRef]
- Şengel, Ümit, Merve Işkın, Mustafa Çevrimkaya, and Gökhan Genç. 2023. Fiscal and monetary policies supporting the tourism industry during COVID-19. Journal of Hospitality and Tourism Insights 6: 1485–501. [Google Scholar] [CrossRef]
- Šenková, Anna, Martina Košíková, Daniela Matušíková, Kristína Šambronská, Ivana Kravčáková Vozárová, and Rastislav Kotulič. 2021. Time series modeling analysis of the development and impact of the COVID-19 pandemic on spa tourism in Slovakia. Sustainability 13: 11476. [Google Scholar] [CrossRef]
- Škare, Marinko, Domingo Riberio Soriano, and Małgorzata Porada-Rochoń. 2021. Impact of COVID-19 on the travel and tourism industry. Technological Forecasting and Social Change 163: 120469. [Google Scholar] [CrossRef] [PubMed]
- Solarin, Sakiru Adebola, Gloria Claudio-Quiroga, and Luis A. Gil-Alana. 2024. Persistence in Australian tourism employment industries. Current Issues in Tourism 27: 754–67. [Google Scholar] [CrossRef]
- Sultana, Sharmin. 2016. Economic contribution of tourism industry in Bangladesh. Journal of Tourism, Hospitality and Sports 22: 45–54. [Google Scholar]
- Sun, Ya-Yen, Lintje Sie, Futu Faturay, Ilmiawan Auwalin, and Jie Wang. 2021. Who are vulnerable in a tourism crisis? A tourism employment vulnerability analysis for the COVID-19 management. Journal of Hospitality and Tourism Management 49: 304–8. [Google Scholar] [CrossRef]
- Sun, Ya-Yen, Mengyu Li, Manfred Lenzen, Arunima Malik, and Francesco Pomponi. 2022. Tourism, job vulnerability and income inequality during the COVID-19 pandemic: A global perspective. Annals of Tourism Research Empirical Insights 3: 100046. [Google Scholar] [CrossRef]
- Tabash, Mosab I., Suhaib Anagreh, Balal Haider Subhani, Mamdouh Abdulaziz Saleh Al-Faryan, and Krzysztof Drachal. 2023. Tourism, remittances, and foreign investment as determinants of economic growth: Empirical evidence from selected Asian economies. Economies 11: 54. [Google Scholar] [CrossRef]
- Tandrayen-Ragoobur, Verena, Neha Devi Tengur, and Sheereen Fauzel. 2022. COVID-19 and Mauritius’ tourism industry: An island perspective. Journal of Policy Research in Tourism, Leisure and Events 1: 1–17. [Google Scholar] [CrossRef]
- Tang, Chor Foon, and Eu Chye Tan. 2015. Does tourism effectively stimulate Malaysia’s economic growth? Tourism Management 46: 158–63. [Google Scholar] [CrossRef]
- Tang, Chor Foon, and Eu Chye Tan. 2017. Tourism-Led Growth Hypothesis: A New Global Evidence. Cornell Hospitality Quarterly 59: 304–11. [Google Scholar] [CrossRef]
- Tangkitvanich, Poum. 2021. The paradox of Thailand’s success in controlling COVID-19. Asian Economic Papers 20: 175–99. [Google Scholar] [CrossRef]
- Turismo de Portugal. 2023. Government Materialises a Funding Line with 50 Million Euros for Investments in Sustainability. Available online: https://business.turismodeportugal.pt/en/noticias/Pages/turismo-de-portugal-cria-linha-credito-investimentos-sustentabilidade.aspx (accessed on 21 May 2024).
- Uppink Calderwood, Lauren, and Maksim Soshkin. 2022. Travel & Tourism Development Index 2021: Rebuilding for a Sustainable and Resilient Future. Geneva: World Economic Forum. [Google Scholar]
- Vašaničová, Petra, and Marta Miškufová. 2023. Portfolio Cash Flow on Peer-to-Peer (P2P) Lending Platform: The Quantile Regression Approach. In Conference Proceedings of the 41th International Conference on Mathematical Methods in Economics 2023. Paper presented at the 41th International Conference on Mathematical Methods in Economics 2023, Prague, Czech Republic, September 13–15. Prague: Prague University of Economics and Business. [Google Scholar]
- Vašaničová, Petra, and Sylvia Jenčová. 2022. Determinants of International Tourism Inbound Receipts: The Quantile Regression Approach. In Conference Proceedings of the 40th International Conference on Mathematical Methods in Economics 2022. Paper presented at the 40th International Conference on Mathematical Methods in Economics 2022, Jihlava, Czech Republic, September 7–9. Jihlava: College of Polytechnics Jihlava. [Google Scholar]
- Vasanicova, Petra, Sylvia Jencova, Beata Gavurova, and Radovan Bacik. 2021. Cultural and Natural Resources as Determinants of Travel and Tourism Competitivenes. Transformations in Business & Economics 20: 300–16. [Google Scholar]
- Vernekar, Shradha. 2015. The Growth of Travel and Tourism: An Overview. Journal of Commerce and Management Thought 6: 547–57. [Google Scholar] [CrossRef]
- Walmsley, Andreas. 2017. Overtourism and underemployment: A modern labour market dilemma. Paper presented at the 13th International Conference on Responsible Tourism in Destinations, Reykjavik, Iceland, September 29–30; Reykjavik: Icelandic Tourism Research Centre. [Google Scholar]
- Wickramasinghe, Kanchana, and Athula Naranpanawa. 2023. Tourism and COVID-19: An economy-wide assessment. Journal of Hospitality and Tourism Management 55: 131–38. [Google Scholar] [CrossRef]
- Wu, Doris Chenguang, Chenyu Cao, Wei Liu, and Jason Li Chen. 2022. Impact of domestic tourism on economy under COVID-19: The perspective of tourism satellite accounts. Annals of Tourism Research Empirical Insights 3: 100055. [Google Scholar] [CrossRef]
- Xiong, Yu, and Xiaohan Tang. 2023. Tourism during health disasters: Exploring the role of health system quality, transport infrastructure, and environmental expenditures in the revival of the global tourism industry. PLoS ONE 18: e0290252. [Google Scholar] [CrossRef] [PubMed]
- Yepez, Carlos, and Walter Leimgruber. 2024. The evolving landscape of tourism, travel, and global trade since the COVID-19 pandemic. Research in Globalization, 100207, in press. [Google Scholar] [CrossRef]








| Asia–Pacific (20) | Europe and Eurasia (43) | Middle East and North Africa (12) | Sub-Saharan Africa (21) | The Americas (21) | ||||||
|---|---|---|---|---|---|---|---|---|---|---|
| 2019 | 2021 | 2019 | 2021 | 2019 | 2021 | 2019 | 2021 | 2019 | 2021 | |
| Mean | 4.80 | 4.22 | 4.63 | 4.17 | 4.96 | 3.51 | 3.91 | 2.31 | 3.96 | 2.74 |
| S.D. | 3.02 | 3.17 | 2.84 | 2.31 | 2.14 | 1.21 | 3.37 | 2.00 | 2.00 | 1.37 |
| Min | 1.12 | 0.73 | 0.82 | 1.05 | 1.14 | 1.45 | 0.93 | 0.69 | 1.04 | 0.93 |
| Q1 | 3.13 | 1.74 | 2.37 | 2.34 | 3.90 | 2.74 | 1.91 | 1.27 | 2.55 | 1.87 |
| Median | 4.57 | 3.18 | 3.61 | 3.76 | 5.41 | 3.97 | 3.09 | 1.82 | 3.52 | 2.62 |
| Q3 | 5.24 | 5.27 | 6.45 | 6.16 | 6.80 | 4.40 | 4.21 | 2.66 | 4.58 | 3.06 |
| Max | 14.63 | 11.45 | 12.72 | 9.29 | 7.44 | 4.89 | 16.42 | 9.09 | 9.06 | 6.39 |
| High (45) | Low (6) | Lower-Middle (33) | Upper-Middle (33) | |||||
|---|---|---|---|---|---|---|---|---|
| 2019 | 2021 | 2019 | 2021 | 2019 | 2021 | 2019 | 2021 | |
| Mean | 4.96 | 4.24 | 3.46 | 1.88 | 4.49 | 2.98 | 3.87 | 3.38 |
| S.D. | 2.67 | 2.06 | 2.28 | 0.86 | 3.34 | 2.48 | 2.25 | 2.40 |
| Min | 1.12 | 1.05 | 1.14 | 0.83 | 0.93 | 0.70 | 0.82 | 0.69 |
| Q1 | 3.25 | 2.60 | 1.76 | 1.33 | 2.86 | 1.55 | 2.25 | 1.85 |
| Median | 4.60 | 4.07 | 2.83 | 1.69 | 3.55 | 2.24 | 3.21 | 2.74 |
| Q3 | 5.90 | 5.62 | 5.02 | 2.48 | 5.07 | 3.33 | 5.19 | 4.14 |
| Max | 12.72 | 9.29 | 6.80 | 3.09 | 16.42 | 11.45 | 8.58 | 10.75 |
| Asia–Pacific (20) | Europe and Eurasia (43) | Middle East and North Africa (12) | Sub-Saharan Africa (21) | The Americas (21) | ||||||
|---|---|---|---|---|---|---|---|---|---|---|
| 2019 | 2021 | 2019 | 2021 | 2019 | 2021 | 2019 | 2021 | 2019 | 2021 | |
| Mean | 4.90 | 2.04 | 4.18 | 1.90 | 4.96 | 1.99 | 4.35 | 1.74 | 4.04 | 1.92 |
| S.D. | 3.49 | 1.81 | 2.71 | 1.01 | 2.27 | 0.79 | 3.66 | 1.18 | 1.97 | 1.09 |
| Min | 0.92 | 0.59 | 0.96 | 0.39 | 1.64 | 0.68 | 1.28 | 0.57 | 1.34 | 0.76 |
| Q1 | 2.82 | 1.04 | 2.29 | 1.20 | 3.09 | 1.35 | 2.34 | 0.98 | 2.74 | 1.09 |
| Median | 3.76 | 1.52 | 3.44 | 1.68 | 5.36 | 2.13 | 3.35 | 1.39 | 3.71 | 1.85 |
| Q3 | 5.78 | 2.55 | 5.52 | 2.45 | 6.41 | 2.57 | 4.73 | 1.90 | 5.29 | 2.26 |
| Max | 14.46 | 8.22 | 10.93 | 4.54 | 8.33 | 3.21 | 18.39 | 5.00 | 9.13 | 5.02 |
| High (45) | Low (6) | Lower-Middle (33) | Upper-Middle (33) | |||||
|---|---|---|---|---|---|---|---|---|
| 2019 | 2021 | 2019 | 2021 | 2019 | 2021 | 2019 | 2021 | |
| Mean | 4.06 | 1.96 | 4.11 | 1.64 | 5.04 | 2.08 | 4.24 | 1.71 |
| S.D. | 2.32 | 1.00 | 2.23 | 0.92 | 3.76 | 1.57 | 2.62 | 1.05 |
| Min | 0.92 | 0.39 | 1.94 | 0.66 | 1.28 | 0.59 | 0.96 | 0.57 |
| Q1 | 2.43 | 1.29 | 2.38 | 1.08 | 3.02 | 1.18 | 2.71 | 1.00 |
| Median | 3.30 | 1.68 | 3.42 | 1.49 | 3.73 | 1.63 | 3.68 | 1.34 |
| Q3 | 5.48 | 2.55 | 5.94 | 1.87 | 5.74 | 2.52 | 5.24 | 1.95 |
| Max | 10.93 | 5.02 | 7.08 | 3.26 | 18.39 | 8.22 | 10.38 | 4.54 |
| Dependent Variable: TTGDP | ||||||||
|---|---|---|---|---|---|---|---|---|
| Model 2019 | Model 2021 | |||||||
| Quantile | Intercept | p-Value | TTEMPL | p-Value | Intercept | p-Value | TTEMPL | p-Value |
| 0.05 | 0.41825 | 0.3468 | 0.44487 | 0.0039 | 0.47871 | 0.0234 | 0.13748 | 0.0043 |
| 0.10 | 0.77640 | 0.0063 | 0.45132 | 0.0000 | 0.44007 | 0.0000 | 0.19163 | 0.0000 |
| 0.15 | 0.59295 | 0.0490 | 0.57188 | 0.0000 | 0.41625 | 0.0000 | 0.22744 | 0.0000 |
| 0.20 | 0.56324 | 0.2985 | 0.60670 | 0.0000 | 0.44572 | 0.0000 | 0.23046 | 0.0000 |
| 0.25 | 0.59518 | 0.0009 | 0.64714 | 0.0000 | 0.38971 | 0.0000 | 0.29746 | 0.0000 |
| 0.30 | 0.37305 | 0.0022 | 0.77284 | 0.0000 | 0.41880 | 0.0007 | 0.30563 | 0.0000 |
| 0.35 | 0.26166 | 0.1225 | 0.85194 | 0.0000 | 0.37555 | 0.0022 | 0.35562 | 0.0000 |
| 0.40 | 0.28223 | 0.1287 | 0.88888 | 0.0000 | 0.42767 | 0.0003 | 0.35339 | 0.0000 |
| 0.45 | 0.24104 | 0.1143 | 0.94441 | 0.0000 | 0.47022 | 0.0001 | 0.38179 | 0.0000 |
| 0.50 | 0.24071 | 0.1462 | 0.97230 | 0.0000 | 0.46292 | 0.0002 | 0.40312 | 0.0000 |
| 0.55 | 0.33519 | 0.0363 | 0.97051 | 0.0000 | 0.49380 | 0.0002 | 0.42848 | 0.0000 |
| 0.60 | 0.31753 | 0.0177 | 0.99668 | 0.0000 | 0.49527 | 0.0003 | 0.44671 | 0.0000 |
| 0.65 | 0.26577 | 0.0357 | 1.03754 | 0.0000 | 0.58753 | 0.0000 | 0.43632 | 0.0000 |
| 0.70 | 0.23992 | 0.0662 | 1.06249 | 0.0000 | 0.49178 | 0.0001 | 0.48800 | 0.0000 |
| 0.75 | 0.30017 | 0.2694 | 1.05847 | 0.0000 | 0.61232 | 0.0000 | 0.48243 | 0.0000 |
| 0.80 | 0.24037 | 0.3604 | 1.10539 | 0.0000 | 0.63203 | 0.0001 | 0.49985 | 0.0000 |
| 0.85 | 0.34532 | 0.4089 | 1.10518 | 0.0000 | 0.66393 | 0.0034 | 0.53225 | 0.0000 |
| 0.90 | 1.01647 | 0.1241 | 1.05813 | 0.0000 | 0.46011 | 0.1166 | 0.67775 | 0.0000 |
| 0.95 | 1.19484 | 0.2247 | 1.13764 | 0.0004 | 0.81636 | 0.0047 | 0.65768 | 0.0000 |
| ANOVA p-value = 0.0000 | ANOVA p-value = 0.0000 | |||||||
| OLS | 0.36165 | 0.1430 | 0.90659 | 0.0000 | 0.47897 | 0.0002 | 0.40655 | 0.0000 |
| BP = 23.670 (p-value = 0.0000); R2 = 0.7643 | BP = 32.508 (p-value = 0.0000); R2 = 0.6221 | |||||||
| Variables | n | W+ | W− | z | p-Value |
|---|---|---|---|---|---|
| QR coefficients 2019 QR coefficients 2021 | 19 | 190 | 0 | 3.8029 | 0.0001 |
Disclaimer/Publisher’s Note: The statements, opinions and data contained in all publications are solely those of the individual author(s) and contributor(s) and not of MDPI and/or the editor(s). MDPI and/or the editor(s) disclaim responsibility for any injury to people or property resulting from any ideas, methods, instructions or products referred to in the content. |
© 2024 by the authors. Licensee MDPI, Basel, Switzerland. This article is an open access article distributed under the terms and conditions of the Creative Commons Attribution (CC BY) license (https://creativecommons.org/licenses/by/4.0/).
Share and Cite
Vašaničová, P.; Bartók, K. Exploring the Nexus between Employment and Economic Contribution: A Study of the Travel and Tourism Industry in the Context of COVID-19. Economies 2024, 12, 136. https://doi.org/10.3390/economies12060136
Vašaničová P, Bartók K. Exploring the Nexus between Employment and Economic Contribution: A Study of the Travel and Tourism Industry in the Context of COVID-19. Economies. 2024; 12(6):136. https://doi.org/10.3390/economies12060136
Chicago/Turabian StyleVašaničová, Petra, and Katarína Bartók. 2024. "Exploring the Nexus between Employment and Economic Contribution: A Study of the Travel and Tourism Industry in the Context of COVID-19" Economies 12, no. 6: 136. https://doi.org/10.3390/economies12060136
APA StyleVašaničová, P., & Bartók, K. (2024). Exploring the Nexus between Employment and Economic Contribution: A Study of the Travel and Tourism Industry in the Context of COVID-19. Economies, 12(6), 136. https://doi.org/10.3390/economies12060136

