Optimized Energy Management Strategy for an Autonomous DC Microgrid Integrating PV/Wind/Battery/Diesel-Based Hybrid PSO-GA-LADRC Through SAPF
Abstract
1. Introduction
- The goal of this article is to design a novel, reliable management method for integrated PV/WT/BES systems used in microgrid applications, based on ADRC. This method efficiently manages the energy supply while optimizing the microgrid’s energy production.
- The global maximum peak (GMP) from the PV arrays is harvested by utilizing the proposed hybrid PSO-GA-LADRC technique, and the WT’s output power is maximized using the ADRC based on the optimal torque control (OTC) methodology.
- The DC bus voltage is managed, with active and reactive power being controlled, while external and internal uncertainties and disturbances are mitigated using active disturbance rejection control (ADRC).
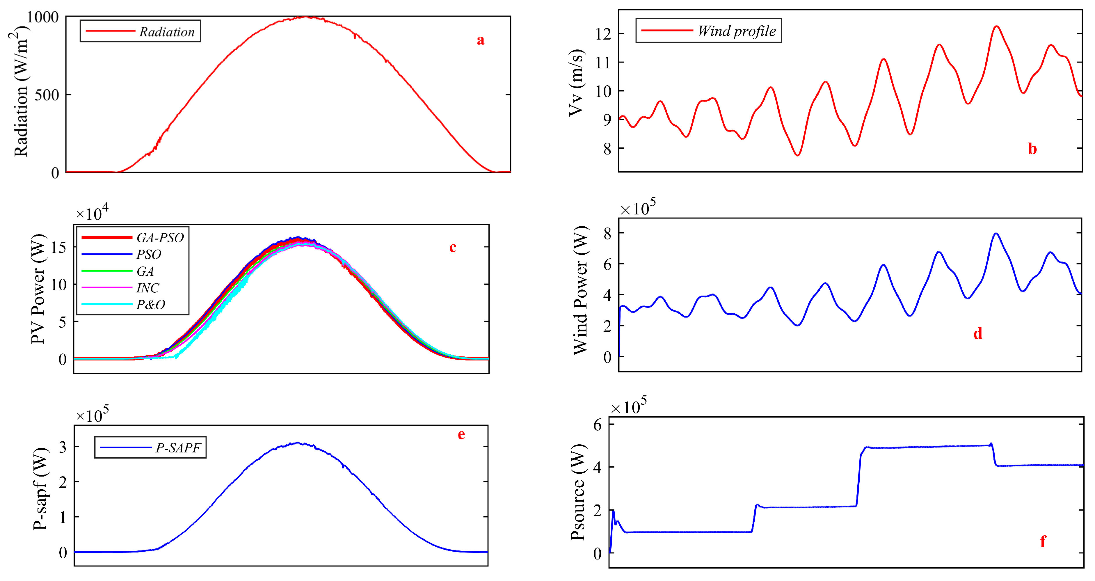
- Compared with traditional PSO, GA, INC, and P&O controllers, the proposed hybrid PSO-GA-ADRC-based intelligent inverter performs better in terms of minimizing harmonics, optimizing power quality, and boosting system stability.
- Comprehensive investigations and practical tests are carried out to verify the hybrid PSO-GA-ADRC’s resilience and efficiency, especially in the face of variable PV radiation and extremely dynamic wind speeds. Furthermore, the proposed hybrid PSO-GA-ADRC implementation’s practical viability is established via a hardware-in-the-loop (HIL) experimental platform.
2. Overview of the Proposed Hybrid PV/Wind/Battery Energy System
2.1. PV Array Mathematical Model
2.2. Wind Turbine Mathematical Modeling
2.3. The PMSG Mathematical Modeling
2.4. The Modeling of Battery Storage and Bidirectional Converter (BC) Design
2.5. The Modeling of the Proposed Load
2.6. The Modeling of the RLC Filter
3. The Five Converters’ Proposed ADRC Controllers
3.1. PV DC-DC Converter Control
3.1.1. Hybrid PSO-GA Technique
3.1.2. Hybrid PSO- GA-LADRC Technique
3.2. MSC Control Circuit
3.3. The Control Circuit of BSC
3.4. LSC Control Circuit
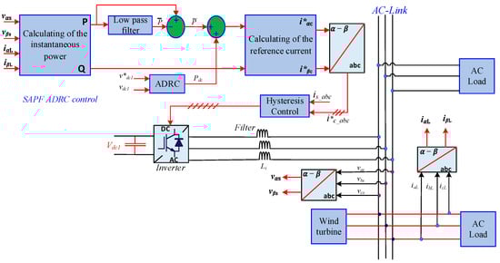
3.5. SAPF Control Circuit
4. Simulation Results and Discussion
4.1. Effect of Changing Both Irradiation and Wind Speed During the Day
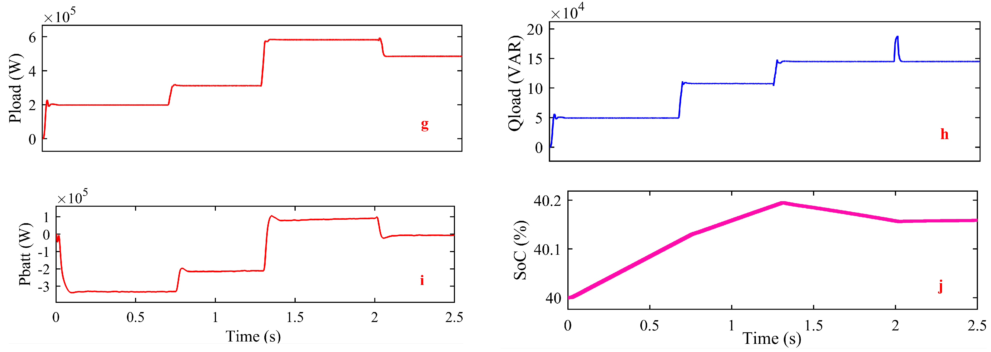
4.2. Effect of Constant Both Irradiation (1000 W/m2) and Wind Speed (10 m/s)
5. Experimental Analysis of the Hardware-in-the-Loop (HIL)
6. Conclusions
- Stability of voltage and frequency: The algorithm guarantees constant voltage and frequency throughout a range of operating circumstances by employing a PSO-GA-ADRC-based control approach. Maintaining dependable power distribution requires this stability, particularly in microgrids with variable renewable energy sources (RESs).
- Effective energy balance: by combining wind and photovoltaic systems with battery storage, the approach balances electricity generation and consumption to avoid surplus or shortage, thus improving efficiency and overall performance.
- Enhancement of power quality: By using the PV system as an active filter, the control method lessens harmonic distortions brought on by nonlinear loads. By providing the required harmonic current components, this function mitigates frequent problems that may otherwise deteriorate power quality.
- System robustness under variable conditions: Hardware-in-the-loop (HIL) testing shows that the algorithm is resilient in the face of changing load demands and renewable input fluctuations. Even in the face of generation and load fluctuations, this dependability enables real-time, standalone microgrid situations.
Author Contributions
Funding
Institutional Review Board Statement
Informed Consent Statement
Data Availability Statement
Acknowledgments
Conflicts of Interest
Nomenclature
| List of Symbols | |||
| Pm | Mechanical power | Rs | Stator resistance of PMSG |
| Vw | Wind speed | Cout | Output capacitance |
| ρ | Air density | La | Armature resistance |
| As | Swept area by the blades | ωm−base | Base rotational speed |
| Cp | Performance coefficient | p | Pole pairs of PMSG |
| λ | Tip speed ratio | Ωt | Rotating speed of the WT |
| R | Blade radius | ψf | Permanent magnet’s flux |
| ωm | Rotational speed | Ld | Direct inductance |
| d | Duty ratio | Lq | Quadrature inductance |
| Tem | Electromagnetic torque | Pmopt | Optimal power |
| Taero | Aerodynamic torque | Tmopt | Mechanical optimal torque |
| Tm | Mechanical torque | Vdc | DC bus voltage |
| J | Total inertia | isabc | 3-ph stator currents |
| F | Viscous friction | C | DC link capacitor |
| βa | Pitch angle | Lf | Filter inductance |
| Cp−max | Maximum Cp value | Rf | Filter resistance |
| λopt | Optimum λ value | Vsa, Ifa | Grid voltage and current |
| List of units | |||
| Temperature T (°C) | degrees Celsius | ||
| Radiation (W/m2) | watts per square meter | ||
| Air density ρ (kg/m3) | kilograms per cubic meter | ||
| Electron’s charge q (C) | coulombs | ||
| Boltzmann’s constant k (J/K) | joules per Kelvin | ||
| Aerodynamic power Paero (W) | watts | ||
| Aerodynamic torque Taero (N·m) | Newton-meters | ||
| WT’s rotational velocity Ωt (rad/s) | radians per second | ||
| Electromagnetic torque Tem (N·m) | Newton-meters | ||
| Total inertia J (kg·m2) | kilogram meter squared | ||
| Friction factor f (N·m·s/rad) | Newton meter seconds per radian | ||
| Permanent magnet’s flux ψf (Wb) | weber | ||
| Active power PL (W) | watts | ||
| Reactive power QL (VAR) | volt–amperes reactive | ||
| List of Abbreviations | |||
| MPPT | Maximum power point tracking | MPP | Maximum power point |
| LADRC | Linear active disturbance rejection control | PSO | Particle swarm optimization |
| WECS | Wind energy conversion systems | CSA | Cuckoo search algorithm |
| PMSG | Permanent magnet synchronous generator | GWO | Grey wolf optimization |
| CFOA | Catch fish optimization algorithm | WOA | Whale optimization algorithm |
| GA | Genetic algorithm | MFO | Moth–flame optimization |
| ESO | Extended-state observer | CSA | Crow search algorithm |
| OTC | Optimal torque control | SSA | Slap–swarm Optimization |
| RES | Renewable energy source | RE | Relative error |
| GMP | Global maximum power | MAE | Mean absolute error |
| WT | Wind turbine | RMSE | Root mean square error |
| SMC | Sliding-mode control | PSCs | Partial shading conditions |
| PVS | Photovoltaic system | P&O | Perturbation and observation |
| SAPF | shunt active power filter | ||
Appendix A
- (i)
- PV array system rated power: P = 250 kW
- (ii)
- PV panel rated power: P = 255 W
- (iii)
- Open circuit voltage of the PV panel: Voc = 37.94 V
- (iv)
- Short circuit current of the PV panel: Isc = 8.76 A
- (v)
- MPP voltage of the PV panel: Vmpp = 30.71
- (vi)
- MPP current of the PV panel: Impp = 8.37 A
- (vii)
- Number of series connected panels per string: Ns = 10
- (viii)
- Number of PV panel strings: Np = 39
- (i)
- DC bus voltage Vdc = 900 V
- (ii)
- DC bus capacitor C = 3000 × 10−6 F
- (iii)
- Filter resistance Rf = 0.0001 Ω
- (iv)
- Filter inductance Lf = 3 × 10−3 H
- (i)
- Radius: R = 24 m
- (ii)
- Nominal wind speed: VV = 12 m/s
- (iii)
- Total inertia of the mechanical transmission: JT = 105 kg·m2
- (iv)
- Cp max = 0.43
- (v)
- λoptimal = 4.4971
- (vi)
- Nominal power: Pn = 750 kW
- (vii)
- Stator resistance: Rs = 6.52e × 10−3 Ω
- (viii)
- Stator inductance: Ls = Ld = Lq = 3.85 × 10−3 H
- (ix)
- Pair poles P = 26
- (i)
- PV voltage loop (KpVpv = 60; β01Vpv = 480; β02Vpv = 57,600)
- (ii)
- PV current loop (KpiL = 300; β01iL = 2400; β02iL = 1,440,000)
- (iii)
- DC link voltage loop (KpVdc = 60; β01Vdc = 480; β02Vdc = 57,600)
- (iv)
- Grid filter current loop (Kpig = 300; β01ig = 2400; β02ig = 1,440,000)
References
- Ganguly, A.; Biswas, P.K.; Sain, C.; Ustun, T.S. Modern DC–DC Power Converter Topologies and Hybrid Control Strategies for Maximum Power Output in Sustainable Nanogrids and Picogrids—A Comprehensive Survey. Technologies 2023, 11, 102. [Google Scholar] [CrossRef]
- Hamad, S.A.; Ghalib, M.A. Fuzzy MPPT Operation-Based Model Predictive Flux Control for Linear Induction Motors. Int. J. Hydrogen Energy 2024, 50, 1035–1044. [Google Scholar] [CrossRef]
- AL-Wesabi, I.; Zhijian, F.; Farh, H.M.H.; Dagal, I.; Al-Shamma’a, A.A.; Al-Shaalan, A.M.; Kai, Y. Hybrid SSA-PSO Based Intelligent Direct Sliding-Mode Control for Extracting Maximum Photovoltaic Output Power and Regulating the DC-Bus Voltage. Int. J. Hydrogen Energy 2024, 51, 348–370. [Google Scholar] [CrossRef]
- Houssein, E.H.; Ibrahim, I.E.; Kharrich, M.; Kamel, S. An Improved Marine Predators Algorithm for the Optimal Design of Hybrid Renewable Energy Systems. Eng. Appl. Artif. Intell. 2022, 110, 104722. [Google Scholar] [CrossRef]
- Nagadurga, T.; Narasimham, P.V.R.L.; Vakula, V.S. Global Maximum Power Point Tracking of Solar PV Strings Using the Teaching Learning Based Optimisation Technique. Int. J. Ambient Energy 2022, 43, 1883–1894. [Google Scholar] [CrossRef]
- Al-wesabi, I.; Zhijian, F.; Jiuqing, C.; Hussein, H.M.; Aboudrar, I.; Dagal, I.; Kandil, T.; Al-shamma, A.A.; Saeed, F. International Journal of Hydrogen Energy Fast DC-Link Voltage Control Based on Power Flow Management Using Linear ADRC Combined with Hybrid Salp Particle Swarm Algorithm for PV / Wind Energy Conversion System. Int. J. Hydrogen Energy 2024, 61, 688–709. [Google Scholar] [CrossRef]
- Kodakkal, A.; Veramalla, R.; Kuthuri, N.R.; Salkuti, S.R. An Optimized Enhanced Phase Locked Loop Controller for a Hybrid System. Technologies 2022, 10, 40. [Google Scholar] [CrossRef]
- Zhang, Y.; Wei, W. Model Construction and Energy Management System of Lithium Battery, PV Generator, Hydrogen Production Unit and Fuel Cell in Islanded AC Microgrid. Int. J. Hydrogen Energy 2020, 45, 16381–16397. [Google Scholar] [CrossRef]
- Madaci, B.; Chenni, R.; Kurt, E.; Hemsas, K.E. Design and Control of a Stand-Alone Hybrid Power System. Int. J. Hydrogen Energy 2016, 41, 12485–12496. [Google Scholar] [CrossRef]
- Zeb, K.; Islam, S.U.; Khan, I.; Uddin, W.; Ishfaq, M.; Busarello, T.D.C.; Muyeen, S.M.; Ahmad, I.; Kim, H.J. Faults and Fault Ride Through Strategies for Grid-Connected Photovoltaic System: A Comprehensive Review. Renew. Sustain. Energy Rev. 2022, 158, 112125. [Google Scholar] [CrossRef]
- Fotopoulou, M.; Rakopoulos, D.; Petridis, S.; Drosatos, P. Assessment of Smart Grid Operation under Emergency Situations. Energy 2024, 287, 129661. [Google Scholar] [CrossRef]
- Maghami, M.R.; Hassani, R.; Gomes, C.; Hizam, H.; Othman, M.L.; Behmanesh, M. Hybrid Energy Management with Respect to a Hydrogen Energy System and Demand Response. Int. J. Hydrogen Energy 2020, 45, 1499–1509. [Google Scholar] [CrossRef]
- Han, Y.; Chen, W.; Li, Q.; Yang, H.; Zare, F.; Zheng, Y. Two-Level Energy Management Strategy for PV-Fuel Cell-Battery-Based DC Microgrid. Int. J. Hydrogen Energy 2019, 44, 19395–19404. [Google Scholar] [CrossRef]
- Roumila, Z.; Rekioua, D.; Rekioua, T. Energy Management Based Fuzzy Logic Controller of Hybrid System Wind/Photovoltaic/Diesel with Storage Battery. Int. J. Hydrogen Energy 2017, 42, 19525–19535. [Google Scholar] [CrossRef]
- Dhifli, M.; Lashab, A.; Guerrero, J.M.; Al-turki, Y.A. An Efficient External Energy Maximization-Based Energy Management Strategy for a Battery/Supercapacitor of a Micro Grid System Enhanced Intelligent Energy Management System for a Renewable Energy-Based AC Microgrid. Int. J. Comput. Sci. Netw. Secur. 2020, 20, 196–203. [Google Scholar]
- Rezk, H.; Nassef, A.M.; Abdelkareem, M.A.; Alami, A.H.; Fathy, A. Comparison among Various Energy Management Strategies for Reducing Hydrogen Consumption in a Hybrid Fuel Cell/Supercapacitor/Battery System. Int. J. Hydrogen Energy 2021, 46, 6110–6126. [Google Scholar] [CrossRef]
- Tabanjat, A.; Becherif, M.; Hissel, D.; Ramadan, H.S. Energy Management Hypothesis for Hybrid Power System of H2/WT/PV/GMT via AI Techniques. Int. J. Hydrogen Energy 2018, 43, 3527–3541. [Google Scholar] [CrossRef]
- Nureddin, A.A.M.; Rahebi, J.; Ab-Belkhair, A. Power Management Controller for Microgrid Integration of Hybrid PV/Fuel Cell System Based on Artificial Deep Neural Network. Int. J. Photoenergy 2020, 2020, 8896412. [Google Scholar] [CrossRef]
- Mubaarak, S.; Zhang, D.; Liu, J.; Chen, Y.; Wang, L.; Zaki, S.A.; Yuan, R.; Wu, J.; Zhang, Y.; Li, M. Potential Techno-Economic Feasibility of Hybrid Energy Systems for Electrifying Various Consumers in Yemen. Sustainability 2021, 13, 228. [Google Scholar] [CrossRef]
- Khare, V.; Nema, S.; Baredar, P. Optimisation of the Hybrid Renewable Energy System by HOMER, PSO and CPSO for the Study Area. Int. J. Sustain. Energy 2017, 36, 326–343. [Google Scholar] [CrossRef]
- Nguyen, D.; Fujita, G. Analysis of Sensorless MPPT Method for Hybrid PV-Wind System Using DFIG Wind Turbines. Sustain. Energy Grids Netw. 2016, 5, 50–57. [Google Scholar] [CrossRef]
- Babatunde, O.M.; Munda, J.L.; Hamam, Y. Hybridized Off-Grid Fuel Cell/Wind/Solar PV/Battery for Energy Generation in a Small Household: A Multi-Criteria Perspective. Int. J. Hydrogen Energy 2022, 47, 6437–6452. [Google Scholar] [CrossRef]
- Wu, Z.; Liu, Y.; Chen, P.; Chen, Y. Economic Operation of Islanded Micro-Grids via Modified Active Disturbance Rejection Control. Int. J. Electr. Power Energy Syst. 2024, 158, 109974. [Google Scholar] [CrossRef]
- Ayodele, T.R.; Mosetlhe, T.C.; Yusuff, A.A.; Ogunjuyigbe, A.S.O. Off-Grid Hybrid Renewable Energy System with Hydrogen Storage for South African Rural Community Health Clinic. Int. J. Hydrogen Energy 2021, 46, 19871–19885. [Google Scholar] [CrossRef]
- Okundamiya, M.S. Size Optimization of a Hybrid Photovoltaic/Fuel Cell Grid Connected Power System Including Hydrogen Storage. Int. J. Hydrogen Energy 2021, 46, 30539–30546. [Google Scholar] [CrossRef]
- Fodhil, F.; Hamidat, A.; Nadjemi, O. Potential, Optimization and Sensitivity Analysis of Photovoltaic-Diesel-Battery Hybrid Energy System for Rural Electrification in Algeria. Energy 2019, 169, 613–624. [Google Scholar] [CrossRef]
- Zhang, W.; Maleki, A.; Pourfayaz, F.; Shadloo, M.S. An Artificial Intelligence Approach to Optimization of an Off-Grid Hybrid Wind/Hydrogen System. Int. J. Hydrogen Energy 2021, 46, 12725–12738. [Google Scholar] [CrossRef]
- Xu, C.; Ke, Y.; Li, Y.; Chu, H.; Wu, Y. Data-Driven Configuration Optimization of an off-Grid Wind/PV/Hydrogen System Based on Modified NSGA-II and CRITIC-TOPSIS. Energy Convers. Manag. 2020, 215, 112892. [Google Scholar] [CrossRef]
- Alturki, F.A.; Al-Shamma’a, A.A.; Farh, H.M.H.; AlSharabi, K. Optimal Sizing of Autonomous Hybrid Energy System Using Supply-demand-based Optimization Algorithm. Int. J. Energy Res. 2021, 45, 605–625. [Google Scholar] [CrossRef]
- Modu, B.; Abdullah, M.P.; Bukar, A.L.; Hamza, M.F.; Adewolu, M.S. Operational Strategy and Capacity Optimization of Standalone Solar-Wind-Biomass-Fuel Cell Energy System Using Hybrid LF-SSA Algorithms. Int. J. Hydrogen Energy 2024, 50, 92–106. [Google Scholar] [CrossRef]
- Xu, Y.; Huang, S.; Wang, Z.; Ren, Y.; Xie, Z.; Guo, J.; Zhu, Z. Optimization Based on Tabu Search Algorithm for Optimal Sizing of Hybrid PV/Energy Storage System: Effects of Tabu Search Parameters. Sustain. Energy Technol. Assess. 2022, 53, 102662. [Google Scholar] [CrossRef]
- Al-Wesabi, I.; Fang, Z.; Farh, H.M.H.; Al-Shamma’a, A.A.; Al-Shaalan, A.M.; Kandil, T.; Ding, M. Cuckoo Search Combined with PID Controller for Maximum Power Extraction of Partially Shaded Photovoltaic System. Energies 2022, 15, 2513. [Google Scholar] [CrossRef]
- Mammeri, E.; Ahriche, A.; Necaibia, A.; Bouraiou, A. New MPPT Hybrid Controller Based on Genetic Algorithms and Particle Swarm Optimization for Photovoltaic Systems. Int. J. Circuits Syst. Signal Process. 2023, 17, 83–91. [Google Scholar] [CrossRef]
- Farzaneh, J.; Keypour, R.; Ahmadieh, M. A New Maximum Power Point Tracking Based on Modified Firefly Algorithm for PV System Under Partial Shading Conditions. Technol. Econ. Smart Grids Sustain. Energy 2018, 3, 9. [Google Scholar] [CrossRef]
- Ibrahim, A.W.; Hussein Farh, H.M.; Fang, Z.; Al-Shamma’a, A.A.; Xu, J.; Alaql, F.; Alfraidi, W.; Zafar, M.H. A Comprehensive Comparison of Advanced Metaheuristic Photovoltaic Maximum Power Tracking Algorithms during Dynamic and Static Environmental Conditions. Heliyon 2024, 10, e37458. [Google Scholar] [CrossRef]
- Pilakkat, D.; Kanthalakshmi, S. An Improved P&O Algorithm Integrated with Artificial Bee Colony for Photovoltaic Systems under Partial Shading Conditions. Sol. Energy 2019, 178, 37–47. [Google Scholar] [CrossRef]
- Zdiri, S.; Chrouta, J.; Zaafouri, A. Cooperative Multi-Swarm Particle Swarm Optimization Based on Adaptive and Time-Varying Inertia Weights. In Proceedings of the 2021 IEEE 2nd International Conference on Signal, Control and Communication (SCC), Tunis, Tunisia, 20–22 December 2021; pp. 200–207. [Google Scholar] [CrossRef]
- Talbi, B.; Krim, F.; Laib, A.; Sahli, A. Model Predictive Voltage Control of a Single-Phase Inverter with Output LC Filter for Stand-Alone Renewable Energy Systems. Electr. Eng. 2020, 102, 1073–1082. [Google Scholar] [CrossRef]
- Chen, M.; Ma, S.; Wu, J.; Huang, L. Analysis of MPPT Failure and Development of an Augmented Nonlinear Controller for MPPT of Photovoltaic Systems under Partial Shading Conditions. Appl. Sci. 2017, 7, 95. [Google Scholar] [CrossRef]
- Laabidi, H.; Jouini, H.; Mami, A. Sliding Mode Control For PV-Wind Hybrid System Connected to Grid. Int. Conf. Green Energy Environ. Eng. 2018, 37, 39–44. [Google Scholar]
- Al-Wesabi, I.; Fang, Z.; Wei, Z.; Dong, H. Direct Sliding Mode Control for Dynamic Instabilities in Dc-Link Voltage of Standalone Photovoltaic Systems with a Small Capacitor. Electronics 2022, 11, 133. [Google Scholar] [CrossRef]
- Inomoto, R.S.; de Almeida Monteiro, J.R.B.; Sguarezi Filho, A.J. Boost Converter Control of PV System Using Sliding Mode Control with Integrative Sliding Surface. IEEE J. Emerg. Sel. Top. Power Electron. 2022, 10, 5522–5530. [Google Scholar] [CrossRef]
- Aboudrar, I.; El Hani, S.; Heyine, M.S.; Naseri, N. Dynamic Modeling and Robust Control by ADRC of Grid-Connected Hybrid PV-Wind Energy Conversion System. Math. Probl. Eng. 2019, 2019, 8362921. [Google Scholar] [CrossRef]
- Han, J. From PID to Active Disturbance Rejection Control. IEEE Trans. Ind. Electron. 2009, 56, 900–906. [Google Scholar] [CrossRef]
- Oubail, Y.; Aboudrar, I.; Hafydy, M.E.; Rachid, E.A.M.; Lahoussine, E. Active Disturbance Rejection Control of an Islanded PV/Wind/Battery Microgrid with Power Quality Enhancement by SAPF. Int. J. Power Electron. Drive Syst. 2023, 14, 1660–1674. [Google Scholar] [CrossRef]
























| Method 1: Tournament Selection (TS) | Method 2: Simulated Crossover (SBX) |
![]() | ![]() |
| Method 3: Polynomial mutation (PM) | Method 4: PSO Algorithm |
![]() | ![]() |
| Method 5: PSO-GA Algorithm | |
![]() | |
Disclaimer/Publisher’s Note: The statements, opinions and data contained in all publications are solely those of the individual author(s) and contributor(s) and not of MDPI and/or the editor(s). MDPI and/or the editor(s) disclaim responsibility for any injury to people or property resulting from any ideas, methods, instructions or products referred to in the content. |
© 2024 by the authors. Licensee MDPI, Basel, Switzerland. This article is an open access article distributed under the terms and conditions of the Creative Commons Attribution (CC BY) license (https://creativecommons.org/licenses/by/4.0/).
Share and Cite
Ibrahim, A.-W.; Xu, J.; Al-Shamma’a, A.A.; Farh, H.M.H.; Aboudrar, I.; Oubail, Y.; Alaql, F.; Alfraidi, W. Optimized Energy Management Strategy for an Autonomous DC Microgrid Integrating PV/Wind/Battery/Diesel-Based Hybrid PSO-GA-LADRC Through SAPF. Technologies 2024, 12, 226. https://doi.org/10.3390/technologies12110226
Ibrahim A-W, Xu J, Al-Shamma’a AA, Farh HMH, Aboudrar I, Oubail Y, Alaql F, Alfraidi W. Optimized Energy Management Strategy for an Autonomous DC Microgrid Integrating PV/Wind/Battery/Diesel-Based Hybrid PSO-GA-LADRC Through SAPF. Technologies. 2024; 12(11):226. https://doi.org/10.3390/technologies12110226
Chicago/Turabian StyleIbrahim, AL-Wesabi, Jiazhu Xu, Abdullrahman A. Al-Shamma’a, Hassan M. Hussein Farh, Imad Aboudrar, Youssef Oubail, Fahad Alaql, and Walied Alfraidi. 2024. "Optimized Energy Management Strategy for an Autonomous DC Microgrid Integrating PV/Wind/Battery/Diesel-Based Hybrid PSO-GA-LADRC Through SAPF" Technologies 12, no. 11: 226. https://doi.org/10.3390/technologies12110226
APA StyleIbrahim, A.-W., Xu, J., Al-Shamma’a, A. A., Farh, H. M. H., Aboudrar, I., Oubail, Y., Alaql, F., & Alfraidi, W. (2024). Optimized Energy Management Strategy for an Autonomous DC Microgrid Integrating PV/Wind/Battery/Diesel-Based Hybrid PSO-GA-LADRC Through SAPF. Technologies, 12(11), 226. https://doi.org/10.3390/technologies12110226






