Next Article in Journal
Size Matters: Vocabulary Knowledge as Advantage in Partner Selection
Next Article in Special Issue
Segmenting Speech: The Role of Resyllabification in Spanish Phonology
Previous Article in Journal
Retelling the Story of the Birds and the Bees in the Age of Biodiversity Extinction
Previous Article in Special Issue
Home Language Experience Shapes Which Skills Are Used during Unfamiliar Speech Processing
 
 
Font Type:
Arial Georgia Verdana
Font Size:
Aa Aa Aa
Line Spacing:
Column Width:
Background:
Article

Maintenance of Lexical Pitch Accent in Heritage Lithuanian: A Study of Perception and Production

by
Jessica Kantarovich
Department of Linguistics, The Ohio State University, Columbus, OH 43201, USA
Languages 2024, 9(9), 296; https://doi.org/10.3390/languages9090296
Submission received: 22 January 2024 / Revised: 1 July 2024 / Accepted: 19 August 2024 / Published: 3 September 2024

Abstract

This study investigates how the unique circumstances of heritage language acquisition impact prosody, an understudied aspect of heritage speech. I examine the perception and production of lexical pitch accent by two generations of heritage Lithuanian speakers in Chicago (n = 13), with a qualitative comparison to one normative native speaker also living in Chicago. The speakers participated in the following: (1) a perception task requiring them to identify meaning distinctions between pairs of words that differ only by accent; and (2) a production task in which they produced sentences containing nine nominal declensions, where pitch accent plays a morphological role. In task (1), speakers across the board were not able to identify meaning distinctions in accent-based minimal pairs, irrespective of their frequency, and were more accurate at perceiving pairs that differed on the basis of segmental phonological features. However, HSs with more education perceived more accent-based distinctions, as did HSs who were more engaged in the Chicago community. Older HSs maintained more distinctions than either the NS or the younger HSs, which suggests a change in progress in the language or the Chicago Lithuanian community. In task (2), none of the speakers consistently used pitch to signal word-level prominence. Instead, all speakers relied on changes in duration and vowel quality to signal word-level prominence, suggesting that, for these speakers, there has been a shift to a stress-accent system. The older HSs also patterned more like the NS in their retention of the expected stress in the nominal declensions. Dialect was also determined to play a role in the retention of standard accent patterns in both perception and production.

1. Introduction

1.1. Variation in Heritage Varieties and the Importance of Experience

Until very recently, heritage speakers of different languages have been a highly understudied population in linguistics. Although linguists have become more aware of what heritage languages can teach us about the human language faculty, certain populations of speakers, as well as certain linguistic domains, continue to be under-researched. This paper investigates both an understudied population (heritage speakers of Lithuanian living in the United States) and an understudied domain of heritage language research (prosody, specifically, lexical pitch accent).
The term “heritage speaker” has been used to describe individuals with a wide range of abilities, which has at times complicated studying their speech in a consistent way.1 There are a variety of definitions that appear in the literature but a foundational one is given in Valdés (2000): heritage speakers are individuals raised in a home where a language other than the majority language is spoken, who are bilingual to at least some extent in this majority language and their home language. These types of situations can vary on the basis of many factors, such as the extent of majority language dominance, stigmatization of the heritage language, age when acquisition was somehow interrupted (or when the speaker shifted to the competing language), etc. This variability produces the range of proficiency we find among heritage speakers, some of whom are as comfortable producing their heritage language as a normative native speaker, and some of whom are merely passive “overhearers”, who can understand the language but struggle to produce it. Thus, heritage speakers exemplify a population whose social and acquisition experiences have an outsize effect on their linguistic systems: while there are similarities in the types of linguistic behaviors exhibited by heritage speakers of different languages (Polinsky 2018), which may point to general cognitive constraints on language in situations of variable acquisition, heritage speakers’ degree of similarity to their normative counterparts depends largely on their backgrounds. In practice, heritage speakers’ backgrounds can be maximally distinct, especially with smaller speaker communities; this paper attempts to quantify these social and acquisition variables in a meaningful way to enable a consistent comparison.
This study expands the existing body of work on heritage languages by focusing on prosody, which has been largely uncharted territory in studies with these speakers. In particular, this study investigates both the perception and production of lexical pitch accent among heritage speakers of Lithuanian living in Chicago, Illinois. Typical accounts of Lithuanian accentuation (e.g., Kenstowicz 1970; Blevins 1993; Balode and Holvoet 2001) have focused on the behavior of lexically-specified free accents, which operate at the level of a particular word to render one mora tonically prominent. Discussion of the interaction of this accent with any other prosodic phenomena (such as phrasal accent or pragmatically conditioned prosody) has been rare. There are three distinct word-level accents in the language and there exist minimal pairs which differ on the basis of accent alone. The first aim of the present study is to determine whether heritage speakers are sensitive to this contrastiveness (as we normative speakers tend to be), and whether they can identify the meanings associated with these contrastive lexical items using only the cues supplied by the pitch accent. The second goal is to determine how these same speakers produce the accents in their own speech.
To that end, both heritage and normative speakers were asked to participate in several tasks: (1) a task in which participants were required to distinguish between the meanings of accent minimal pairs without sentential context; (2) a baseline-determination task, which involved translating 250 simple Lithuanian words into English; (3) a production task where they read aloud sentences containing the complete paradigms of differently accented nouns; and (4) an interview about their experience learning and speaking Lithuanian.
The findings of this study are presented below. The remainder of this introductory section discusses previous studies on heritage language phonology and what is currently known about lexical pitch accent in Lithuanian. Section 2 details the experimental design and describes the participants in the research. The results are presented in two separate sections: first, we consider the perception task (Section 3) and then the production task (Section 4). Section 5 summarizes the findings and considers the implications of the results for questions about heritage speaker phonology and the status of Lithuanian pitch accent.

1.2. Previous Studies of Prosody in Heritage Languages

In general, phonological studies of heritage speakers lag behind morphosyntactic ones; existing studies have tended to focus more on segmental phonology rather than prosody. Polinsky (2018, chp. 4) provides a comprehensive overview of the available investigations of heritage phonology that were available at the time of publication.
Studies of heritage prosody overwhelmingly focus on the perception and production of tone in tonal languages; to date, there have been no studies that specifically investigate the differences between heritage and normative (or L2) speakers’ abilities in producing or perceiving pitch accent. However, studies of lexical tone among heritage speakers report that they represent a third group with their own behavior that is distinct from normative speakers and L2 learners. Prosody is also clearly shown to be affected by heritage speakers’ variable acquisition backgrounds. This finding is perhaps surprising given what has been typically assumed in L1 acquisition: that suprasegmental features are acquired ahead of segmental ones (Peña et al. 2012).
Nevertheless, several studies of tonal acquisition by heritage speakers of Mandarin show that they differ from normative native speakers in perception and production. Chang and Yao (2016) directly investigated the question of the extent to which heritage speakers’ background affects their production of lexical tone: they found that heritage speakers with a higher degree of exposure to Mandarin patterned more like normative speakers in producing Tone 1 while those with lower exposure patterned more like L2 learners. Interestingly, heritage speakers patterned in a way that was markedly different from L2 and normative speakers when it came to the production of Tone 3 in final contexts. Yang (2015) found that purely linguistic factors also condition differences in heritage speakers’ use of tone in Mandarin: in this study, they were less accurate at producing tones in pitch contour contexts, and in general, exhibited a range of pitches compared with normative speakers. Yang’s study also included a perception component: study participants were asked to interpret sentences containing tokens of the four tones. Heritage speakers clearly outperformed L2 speakers except in cases where a high tone occurred towards the end of a sentence—in these cases, the heritage speakers appeared to be influenced by interference from English declination.
Another study of tonal perception in heritage speakers also suggests that the particular acoustic cues matter: younger speakers of Heritage Cantonese (aged 5–11) were better at differentiating tones with a greater phonetic contrast (Tone 1, which is high-level, and Tone 4, which is low-falling) than those with a more minimal contrast (Tone 2, which is mid-rising, and Tone 5, which is low-rising) (Kan and Schmid 2019). This finding is particularly suggestive of what to expect in the case of pitch accent, where the acoustic cues are not as distinctive to begin with, and where heritage speakers have a comparably limited set of exemplars from which to learn to identify the contrast.
It is also worth noting that although lexical pitch accent has not been investigated in the heritage language literature, there have been numerous studies of Spanish stress accent, which is also lexically conditioned. Most recently, Kim (2016, 2020) examined Spanish heritage speakers’ production and perception of lexical stress in different prosodic contexts, finding that they patterned like normative speakers in perceiving a stress accent in a variety of contexts, but patterned more like L2 speakers in not being able to faithfully produce a stress accent contrast in different positions (stress on the penultimate syllable vs. on the final syllable).
Overall, these studies present similar patterns: heritage speakers seem to acquire certain dimensions of the prosodic system (though not necessarily “better” than they acquire segmental phonology), and are often nearer in ability to normative native speakers than L2 learners. The distinctiveness of the acoustic cues associated with tonal and other suprasegmental contrasts also plays a role: more distinctive and salient cues are easier for heritage speakers to perceive. However, there have been only a handful of experimental investigations into heritage prosody, on a small subset of languages, and more work is needed. The aim of the present study is to examine the variation in heritage speakers’ perception and production of Lithuanian pitch accent and identify potential conditioning factors, and qualitatively compare their speech to that of a more normative native speaker, who lived most of his life in Lithuania.

1.3. Lexical Pitch Accent in Lithuanian

The term “pitch accent” is used variably in the literature on prosody. In the present work, “accent” refers to a means of signaling that a particular phonological segment is prominent with respect to some domain—in pitch accent systems, prominence is cued primarily through changes in the fundamental frequency of a segment (van der Hulst 2011). Lexical pitch accent in Lithuanian identifies a prominent segment within the domain of the word. This is different from the use of this term in the intonation literature, where it is used for prominence at the phrasal level (e.g., in Norwegian). Here, we are concerned with word-level prominence and will largely set aside questions about phrasal prosody except where it is relevant for explaining word-level accent phenomena.

1.3.1. The Phonological Status of Lithuanian Pitch Accent

Lithuanian pitch accent has received considerable attention from phonologists over the years, with accounts differing as to whether they derive the patterns of accented segments by considering pitch alone, or by examining how pitch interacts with other prosodic phenomena such as stress. Most accounts describe Lithuanian as a pitch accent system in the sense of van der Hulst (2011): pitch is used to signal the location of a prominent position in the word, in this case, the prominent mora. Stress can occur in any syllable of a word, and only stressed syllables can be accented—pitch accent can be thought of as the tonal realization of word stress (Balode and Holvoet 2001).
Stressed heavy syllables in Lithuanian can receive two distinct accents (which are used contrastively); stressed light syllables are only associated with one pitch accent. The three accents are given in (1), along with their corresponding diacritics. That these diacritics are not written regularly in the orthography, but are marked in dictionaries and learning materials (Kenstowicz 1970; Blevins 1993; Paulauskienė and Valeika 1994):
(1)
Pitch Accents in Lithuanian
-
the acute accent (falling)— V ;
-
the circumflex accent (rising)— V ˜ ;
-
the grave accent (high according to Blevins (1993))— V .
The acute and circumflex accents occur on bimoraic segments, which include long vowels, diphthongs (au, ai, ei, ui, ie, uo), and “mixed” diphthongs (vowel-sonorant sequences, namely Vl, Vm, Vn, Vr).
The grave accent is restricted to monomoraic stressed segments—only short vowels. Thus, only the bimoraic accents occur contrastively on the same segments, resulting in a number of minimal pairs. Some examples are given in (2).
(2)
Acute–Circumflex minimal pair examples
káltas‘guilty’
ka l ˜ tas‘chisel’
ːris ‘cheese’
s u ˜ ːris‘saltiness’
Lithuanian nouns display several paradigmatic accentuation patterns across their declensions, which are canonically grouped into four accentuation classes. These accentuation classes are independent of Lithuanian’s five morphological declensions, and members of all of the declensions can exhibit any of the four accentuation patterns. The accentuation classes differ based on whether the stem or the case marker receives the word stress, and which accent (acute or circumflex) is realized on the stressed syllable. Certain case suffixes are syncretic, and in several nominal paradigms, there are minimal pairs based on accent position, not only tonal realization. Representative members from these different classes are investigated in the production task of the present study; full paradigms of these nouns along with their expected accent patterns are given in Appendix E.
Early phonological accounts of this system (Kenstowicz 1970; Halle and Vergnaud 1987) derive the nominal accentuation patterns by considering the interaction of stress and accent. Blevins’ (1993) account ignores stress entirely, grounding the analysis in interactions between different the tonal representations of stems and case markers in the nominal system.
In the present work, we are concerned with the phonetic realization of pitch accent and whether different heritage speakers are able to learn and recognize these surface-level contrasts. However, in understanding how both heritage speakers and baseline speakers perceive and produce the accent-based contrasts (and the extent to which they rely on tone) we can also attempt to adjudicate among different phonological proposals—to what extent is tone phonemic (to what extent is it part of a speaker’s underlying representation of a segment)? To what extent is tone linked to other acoustic correlates of word-level prominence (“stress”), or is the co-occurrence of these distinct phonetic cues merely epiphenomenal?
Blevins (1993) provides a useful schematization for analyzing individual morae as tonically prominent. She analyzes accent in Lithuanian as a tonal system in which accented syllables are linked to a high tone: H tone is linked to the syllable-initial mora in grave and acute morphemes, and to the second mora in circumflex morphemes. This is illustrated in the following autosegmental representations (adapted from Blevins 1993, p. 239):
(3)
Tonal representation of lexical pitch accent in Lithuanian
Acute accent ( V V, V R):
[ μ μ ] s y l l a b l e
 |
 H
Circumflex accent (V V , VŔ):
[ < μ > μ ] s y l l a b l e
     |
     H
Grave accent ( V ):
[ μ ] s y l l a b l e
 |
 H
Under this analysis, the realization of the nominal accent paradigms occurs through the application of tonal reassociation and deletion rules, following the affixation of a case morpheme. These rules act on the interaction of underlyingly accented and unaccented stem/case morphemes. For our purposes, Blevins’ analysis makes several predictions for what we can expect from speakers who have acquired the standard accentuation system. First, stress on the stem is dominant: if a stem is underlyingly accented, it will always bear the surface accent. That is, whenever an underlyingly stressed stem is combined with an underlyingly stressed case suffix, the stress will surface on the stem. Put differently, we expect that stress can shift from accented case markers to unaccented stems, but not vice versa. In analyzing the production of heritage speakers, we are concerned with whether these generalizations hold (whether these speakers seem to have the same underlying representations), and whether they resolve inconsistencies in their acquisition gaps in a systematic way that is predicted by such an analysis.

1.3.2. Phonetic Correlates of Lithuanian Pitch Accent and Dialectal Variation

The canonical account of accentuation focuses on Standard Lithuanian, which is taught in school both in Lithuania and in heritage language schools in the United States. Education in Standard Lithuanian explicitly deals with teaching the accent distinctions (proper articulation of the acute vs. circumflex accents and the proper placement of the accent in the nominal paradigms); however, there are important dialectal differences that affect the use of accent, which are worth noting here. The participants in this study were born in (or have parents who were born in) regions where different West Aukštaitian, East Aukštaitian, and Žemaitian varieties are spoken. The relevant facts about variation in the production of accent and stress in these varieties are given below.
The standard language is based on a conservative variety of West Aukštaitian (a southwest variety, pietinių vakarų aukštaičių šnekta), dating back to the end of the nineteenth century (Tamošiūnaitė 2013). The available acoustic studies have failed to identify uniform patterns in how the accent contrast is cued, even in Standard Lithuanian: overall, the accent distinction is associated with several acoustic features that are used to varying degrees by different speakers in different segment types. Pitch, vowel quality, duration, and intensity have all been documented to play a role in the production of the contrast; in many accounts, pitch is not the mostly salient or consistent cue. Generally speaking, the Aukštaitian dialects closely resemble the standard language in the production of the accent: the acute accent is falling, and the circumflex accent is even or rising. There appear to be other acoustic correlates of these two accents, such that some descriptions disagree that the contrast is one of rising vs. falling pitch.
Balode and Holvoet (2001, pp. 50–51) Describe the acute and circumflex opposition as sharp vs. drawn—there is a clear signaling of pitch difference in the former but not necessarily the latter, and syllables of different types evidence different additional acoustic contrasts in the two accents. In vowel-sonorant sequences, the mora bearing accent is relatively longer, and the first vowel in circumflex-accented syllables tends to be more closed and centralized. In accented long vowels, there is also a difference in vowel quality between the two accents in addition to tone: acute-accented long vowels are tenser, while circumflex-accented long vowels are longer. Diphthongs are most reliably contrasted by tonal distinctions (falling for the acute accent and rising for the circumflex).
Ekblom (1922) found a measurable contrast between the acute accent (which had a short rise-fall pattern) and the circumflex accent (which had a steady rise pattern), while (Robinson (1968, p. 210) found no indication of a consistent contrast based on pitch, instead noting that the first mora in circumflex syllables was longer and tenser than the corresponding mora in acute syllables. Meanwhile, Kelly (2013) found that speakers actually exhibit individual differences in how they signal this contrast: some speakers use duration (the acute accent being longer than the circumflex), and others use maximum intensity (maximum intensity occurs earlier in circumflex segments relative to maximum intensity in acute segments).
Other studies of the acoustic characteristics of word-level accents when they are embedded in sentence-level intonation also found that pitch was not the most distinctive property of the contrast (Hualde and Riad 2014; Kazlauskienė and Sabonytė 2018). Hualde and Riad (2014) were unable to find consistent differences between acute-accented words and circumflex-accented words: in the same sentential contexts, speakers produced the near-minimal pairs with similar intonational contours. For example, when under focus, words bearing both the acute and circumflex accents displayed a rise in pitch throughout the stressed syllable. Similarly, Hualde and Riad observed a later rise in pitch in prefocal position, with the pitch peaking after the stressed syllable (Hualde and Riad 2014, p. 670). It is important to note here that the intonation of the stressed syllable was not comparable across different tokens of the same word, and appeared to depend more on pragmatic context. For the most part, they found that the acute vs. circumflex contrast is expressed via differences in vowel quality and relative duration, not F0.
Kazlauskienė and Sabonytė (2018) examined pitch across both stressed and unstressed syllables embedded in three different pragmatic contexts (declarative, exclamatory, and interrogative), under and not under focus (“phrase accent”). They measured F0 across these different contexts in the speech of three female speakers of Standard Lithuanian. They found a smaller difference in the minimum and maximum of F0 in acute-accented long vowels compared with the same vowels when they bore a circumflex accent, but they also found considerable variation with the younger speakers, showing no difference at all between acute and circumflex long vowels. They also observed an effect of syllable type: the range between minimum and maximum F0 varied more for accented diphthongs (and was generally greater in acute-accented diphthongs compared with circumflex-accented ones). Like Hualde and Riad (2014), they found that the sentential context makes a difference: for example, they found that the overall F0 is higher in exclamatory utterances, although the intonational contour of each accent was similar to that of declarative utterances (Kazlauskienė and Sabonytė 2018), suggesting that relative—rather than absolute—pitch may cue accent.
An intriguing proposal was made by Dogil and Möhler (1998), who found in their data that the salient distinguishing feature between the acute and circumflex accents was consistency in their production: the acute accent was always produced with steeply falling pitch of approximately the same range across different segment types, while the pitch properties of the circumflex accent varied greatly across tokens. Thus, the contrast is one of salience and variance: the acute accent is consistently produced with the same acoustic properties, and the circumflex accent is distinguishable by the fact that it is variable. There are certain implications of such an account for heritage speakers in particular. It has been argued that heritage speakers favor the maintenance of phonologically salient features (Polinsky 2018, p. 165); thus, we might expect the acute accent to be identified by such speakers more consistently than the circumflex accent. Although there has been continuous interest in trying to measure the acoustic properties of accent production in Lithuanian, there have been far fewer studies on the perception of the Lithuanian accent: my research uncovered no existing experiments looking specifically at the processing of the contrastiveness of different accents, even among speakers in Lithuania.2 A recent comprehensive overview article about the existing work on Lithuanian intonation published in both English and Lithuanian also failed to uncover any such studies (Melnik-Leroy et al. 2022).
Many of the Aukštaitian dialects display some predictable acoustic differences in the articulation of the accents. Most significantly, Balode and Holvoet (2001, p. 51) note that many of the dialects display a neutralization of tone in certain segments (in long monophthongs and the diphthongs /ie/ and /uo/), even in West Aukštaitian. The East Aukštaitian dialects spoken in and around Vilnius famously have no pitch-based distinction between the accents, signaling the contrast with vowel quality alone (Young 1991).
Žemaitian, also called Samogitian, differs most notably from Standard Lithuanian, in terms of both its phonological treatment of accent as well as its phonetic articulation. Žemaitian allows for multiple accents in the surface form of a single word. Compare the forms of dūmas ‘smoke’ in the standard language and Žemaitian (Blevins 1993):
(4)
Standard Lithuanian vs. Žemaitian pitch accent in dūmas (Class I)
sg.dat.dúumuidúumóu
pl.dat.dúumamsdúumáms
pl.inst.dúumaisdúumáas
The presence of a second word-level accent in Žemaitian dialects is thought to be the remnant of stress retraction, where stress and accent move to the preceding syllable in the word, usually from a short stressed segment to a preceding long segment. In Žemaitian, an additional, secondary stress remains on the originally stressed segment (Balode and Holvoet 2001, sct. 4.1.7).
There are also acoustic differences between Žemaitian and Standard Lithuanian (Balode and Holvoet 2001, sct. 4.1.8). In Žemaitian, both accents have a prominent first mora. The acute accent is replaced by a “broken” tone, in which there is an initial rise in pitch and intensity, followed by a glottal stop, and then a sharp drop in both. The circumflex tone lacks this sudden drop in pitch and intensity.
There is evidence that the status of the lexical pitch accent is in flux today in Lithuania, with speakers reporting that it is receding even in areas outside Vilnius. This is confirmed by ongoing research on the nominal paradigms: Kardelis (2017) observes that there is an ongoing neutralization of accent-based differences in the marking of accusatives among college-aged students, even among those who speak the standard language, and Bakšienė (2016) and Švageris (2015) report a similar neutralization of accusative marking across several other dialects where it is not expected.
This dialectal variation and apparent ongoing change is important to keep in mind as we consider the heritage speaker data. Although the perception of accent depends on a pitch-based contrast, this contrast is not always cued the same way across different dialects or even across different tone-bearing sequences in the same dialect, and we might expect speakers of West Aukštaitian dialects, whose varieties are closest to the standard, to be most accurate in perceiving the contrast as uttered by a standard speaker. Furthermore, since the accent contrast is increasingly being levelled in Lithuania, especially among young people, we can expect this change to be reflected in the behavior of heritage speakers who emigrated at different times (with less evidence of a contrast among younger heritage speakers and/or recent immigrants). As we show, this prediction was borne out by the results of our study: speakers associated with more recent waves of immigration from Lithuania pattern less like Standard Lithuanian than speakers from earlier waves of immigration.

1.4. Summary: Study Questions and Findings

In sum, previous experimental evidence does confirm that the circumflex and acute accents are associated with an acoustic contrast. However, since this contrast is not always salient or uniform across different environments, we can anticipate that heritage speakers will have some difficulty in accurately perceiving the different accents in isolation, and that their production will also differ from the standard patterns.
This study consists of two experiments that examine heritage speakers’ variation in their perception and production of pitch accent, relative to their unique experiences throughout the acquisition process. In particular, we ask the following:
  • Whether there are any significant differences in the processing of accent contrasts among heritage speakers of different backgrounds (i.e., do any of the speakers definitively lack an accent-based contrast).
    Findings: As a group, all of the study participants were less accurate at distinguishing between accent-based minimal pairs than minimal pairs that differ based on segmental phonology, even after controlling for frequency differences in the stimulus words. There were some noteworthy patterns based on the extralinguistic differences among the participants: heritage speakers with higher proficiency and more experience learning Lithuanian spent longer on items where an accent distinction was necessary, suggesting that they could perceive the unique acoustic features of the items, even if they could not resolve the contrasts correctly. Finally, a more qualitative comparison indicated that certain groups of heritage speakers were more likely to retain an accent contrast than others: these were those speakers with more education in Lithuanian, speakers with more engagement in the diaspora community, speakers of Žemaitian dialects, and speakers associated with the earlier immigration wave.
  • Whether there are any patterns in the placement of stress and accent in the heritage speakers’ production, which might be associated with differences in acquisition, direct dialectal influence (i.e., extremely limited linguistic input), or with the conflation of the different accentuation classes.
    Findings: As a group, the speakers do not consistently rely on tone in the marking of accented morae in the nominal paradigms, instead using duration and vowel quality differences, akin to a stress accent system rather than a pitch accent system. There are significant differences among heritage speakers in their stress placement: speakers from the earlier wave of immigration produce patterns closer to Standard Lithuanian stress placement than speakers from the recent immigration wave, as do speakers with more Lithuanian language use within their families. There are phonologically predictable changes among the innovative speakers consistent with an analysis like Blevins (1993), where underlyingly stressed case suffixes receive surface stress in unexpected contexts. Changes inconsistent with this system (stress placement on suffixes that are underlying not stressed) appear due to the acquisition of the competing system in Žemaitian or else the divergent attainment (Polinsky 2018) characteristic of heritage speakers with less experience with the language.

2. Materials and Methods

This section details the subject populations and the tasks they were asked to perform.

2.1. Participant Populations

Two groups of Lithuanian speakers participated in this study:
-
An adult normative speaker of Lithuanian living in the United States, with knowledge of English (n = 1).
-
Normative speakers were those who had lived in Lithuania until adulthood before immigrating to the US: they include adults who were born and raised in Lithuania, and have completed primary school and all or most of secondary school there. In general, the recruitment of normative speakers was difficult: several consulted on the study but did not want to formally participate (including one whose voice was recorded for the perception task stimuli and who therefore could not participate).
-
Adult heritage speakers of Lithuanian, who were either born in the United States or left Lithuania before completing a significant portion of their schooling there (n = 13).
-
Speakers ranged in age from 18 to 55. No heritage speakers below college age were consulted, to avoid significant variability in lexical proficiency in Lithuanian. All but one of the speakers in this group reported that Lithuanian was their first language, and they variously identified as either a balanced English–Lithuanian bilingual or dominant in English.

2.2. Linguistic Interview

Both heritage and normative speakers were interviewed about their experience learning and speaking Lithuanian and English, as well as their origins and those of their families. The complete list of questions is given in Appendix A.
The information from these interviews was processed and coded as the following variables:
(5)
Interview variables and levels:
  • Category [categorical]: heritage, normative;
  • Age [continuous];
  • Age of departure from Lithuania [continuous]: Value of 0 signifies that the participant was born in the US;
  • Education [categorical]: none (signifying no formal education in Lithuanian), primary school (for participants who had some primary school in Lithuania before moving to the US), Saturday school (for heritage speakers who attended weekly Lithuanian classes at the Saturday School in Chicago, or participated in an equivalent heritage language program, such as correspondence school), higher education (for normative speakers who have completed high school and possibly beyond in Lithuania);
  • Dialect [categorical]: Žemaitian, West Aukštaitian, East Aukštaitian (Vilnius) (determined based on either the participant’s place of birth, or, if the participant was not born in Lithuania, the place of birth of their parents and grandparents). All of the speakers of an East Aukštaitian variety came from Vilnius;
  • Generation [categorical]: Older Normative (speaker grew up during the era of Soviet control of Lithuania, between 40 and 60 years old), Older Heritage (speaker or speaker’s parents emigrated from Lithuania in 1950s or 1960s—between 40 and 60 years old), Younger Heritage (speaker or speaker’s parents are part of the most recent wave of immigration in the early 1990s, 18–30 years old)
The relevant metadata for all of the participants is given in Table 1.
These particular variables were isolated based on the hypothesis that they would prove to be the most significant in conditioning variation. Age of departure from Lithuania is included to look for potential differences based on the amount of time a heritage speaker actually lived in Lithuania. Dialect is included because of the variation described in Section 1.3.2, and the potential for dialect to disproportionately influence heritage speakers with linguistic input from minimal sources. Finally, the generation of the speakers is included to examine the possible effects of language change that may be taking place in Lithuania (we might expect the older heritage speakers to speak a more archaic version of the language, i.e., the language that was spoken by their parents in the 1950s and 1960s, and for the younger heritage speakers to speak a variety that is closer to Lithuanian being spoken today), as well as the differences in language maintenance the Chicago Lithuanian community. The two groups correspond to two distinct waves of migration to Chicago from Lithuania: one following World War II and the other representing more recent migration in the 1990s, following the liberation of Lithuania from the Soviet Union. These groups also correspond to the ones that naturally emerged in Tamošiūnaitė’s (2013) study of language maintenance in Lithuanian Saturday Schools in Chicago. Note that all of the speakers in the study were either born in Lithuania, or to parents who were born in Lithuania. No third-generation speakers participated in the study, for reasons that are consistent with Tamošiūnaitė’s (2013) findings about language maintenance: the language is often not transmitted beyond the second generation.

2.3. Task 1: Perception/Comprehension Task

The first experimental task focused on the identification of meaning distinctions between pairs of words that differ only by accent, as pronounced by a speaker of the standard variety (a Lithuanian language instructor). The stimuli were recorded on a Zoom H6 recorder with a Shure handheld dynamic microphone (in a mic stand on the table in front of the speaker). Efforts were made to ensure that the stimuli faithfully represented the prototypical standard language contrast between the acute and circumflex accents. The speaker was instructed to produce the words in the standard language. As a language instructor, she has extensive experience demonstrating the contrast for students, although she was also instructed to speak as naturally as possible and to avoid over-enunciating the tokens. Each token was produced several times; the stimuli used the second utterance of each token. Subsequent analysis in Praat showed that, as expected from previous phonetic research, this speaker used a variety of phonetic features to cue the accent distinction: these included pitch and (more reliably) changes in segment duration and vowel quality (lengthening accented morae, reducing unaccented vowels).
Subjects were played each token and asked to choose its meaning from a set of options. Subjects were instructed to take their time in answering, and were told that they would only hear the token once before having to make their choice. A total of 28 experimental items were tested (14 acute-circumflex minimal pairs), along with 32 random filler tokens. The filler tokens include minimal pairs and near-minimal pairs that contrast other features (e.g., segmental phonology), such as ratas ‘boot; shoe’ vs. batas ‘wheel’ and kasti ‘dig (inf.)’ vs. kąsti ‘bite (inf.)’ (with long vowel /a:/), as well as a combination of high-frequency words (penki ‘five’) and low-frequency words (auka ‘victim; sacrifice’) to be more directly comparable to the accented items. The complete list of tested items can be found in Appendix B.
The experiment was conducted using PsychoPy. The participants were seated at a computer while wearing a headset, and were played the experimental and filler items in a completely randomized order. Each recorded token was accompanied by a question asking the participant to identify the meaning of the stimulus they had just heard by keying the corresponding number on the computer keyboard. The following example illustrates the presentation of the stimulus for the item káltas ‘chisel’:
(6)
Select the meaning of the word you have just heard.
1—melody2—guilty3—chisel4—fence5—two or more of the above
6—I am unfamiliar with this word.
The experimental items would include the meanings of both members of the minimal pair (note the availability of choice (2), ‘guilty’, in this example, which is the meaning of the circumflex-accented k a l t a s ).
The following information was collected for each token: (1) response [1–6, as keyed by the participant], (2) correctness of response [0,1], and (3) reaction time as measured from the offset of the target to the button press on the keyboard.

2.4. Task 2: Baseline Proficiency Test

The second task, a baseline proficiency test, is designed to estimate the participants’ relative proficiency in the language. Polinsky and Kagan (2007) note two factors that correlate with speakers’ knowledge in structural tasks: speech rate (more experienced speakers talk faster) and lexical proficiency. The second of these is the diagnostic for this study.
Participants were asked to translate a list of 250 highly basic and frequent lexical items, pulled from a database of words and their associated frequencies based on mining Lithuanian movie subtitles.3 The full list of the tested items is given in Appendix C.
Each translation received a score between 0 and 2: 0 if the participant failed to give any response or if the response was completely incorrect, 1 if the response was a close translation (e.g., ‘I understand’ for ‘I understood’), and 2 if the response contained at least one completely accurate translation or definition. The identification of a correct translation was mostly trivial, as the tested words represent basic vocabulary.
It should be noted that this diagnostic is not meant to be an independent rigorous determination of the speaker’s overall proficiency: although the scoring was performed based on a rubric, the difference between a mistranslation, a close translation, and a correct translation is somewhat subjective. Scoring was performed by the author, in consultation with a speaker of Lithuanian and several Lithuanian language dictionaries (Piersarskas and Svecevičius 1979 and online resources) to maximally identify possible polysemies in definitions. Scoring was performed all at once without knowing the identity of the subject. Thus, it is a reasonable measure of the subjects’ proficiency relative to one another, and the performance of the normative speaker gives us an estimate of the upper bound for this diagnostic.

2.5. Task 3: Production Task

The final task tested the speakers’ ability to produce the accents, and how they chose to signal prominence. Of particular interest was whether all of the speakers maintained the four accentuation paradigms. There were two parts in the production task. In the first, participants were asked to read 54 sentences containing the inflected forms of representative nouns from each of the four classes. The accent was not overtly marked on the sentences (as is normal for the written language). In some paradigms, certain cases are contrasted solely through stress placement (e.g., galvà ‘head (nom.sg.)’ and gálva ‘head (inst.sg)’). Thus, participants were forced to rely on their understanding of grammatical relations in the sentence in order to provide the expected form.
The following words were tested:
(7)
a.vyras ‘man’ (Class I);
b.varna ‘crow’ (Class I);
c.lapė ‘fox’ (Class II);
d.ratas ‘wheel’ (Class II);
e.ranka ‘arm’ (Class II);
f.langas ‘window’ (Class III);
g.galva ‘head’ (Class III);
h.vaikas ‘child’ (Class IV);
i.kalba ‘speech’ (Class IV).
Participants were given a list of sentences containing 6 different singular cases for each of these nouns: nominative, genitive, dative, accusative, instrumental, and locative. (The vocative case was excluded due to the low frequency of the form for many of the chosen nouns. The plural was not included to ensure that participation in the study was not overly long or onerous.) The order of these sentences was completely randomized and the case of the noun was not explicitly indicated.
The second portion of the production task involved the elicitation of the minimal pair items from the perception task, to determine whether the speakers signaled a contrast in their own speech (even if they were not necessarily able to distinguish between minimal pair forms in the perception task). Given that many of the minimal pair words are highly specific to particular contexts, they were often difficult to elicit, and it was not possible to test for a contrast in each pair for every speaker. Therefore, the results of this portion of the task were only used as a predictor variable in analyzing the results of the perception study.
Like the stimulus talker, participants were recorded on a Zoom H6 recorder with an external Shure handheld dynamic microphone, positioned on the table in front of them with a mic stand.

3. Results: Perception of Accent

The results of the perception task were analyzed via several regression models. We analyzed three dependent variables: (1) the likelihood that participants selected a correct response across all items; (2) the likelihood that participants selected responses that indicated a conflation of the minimal pair items (selecting the same definition for both members of a minimal pair); and (3) reaction time. These dependent variables were examined with respect to the following predictive variables:
(8)
a.Experimental condition (fillers vs. accented minimal pair items);
b.Frequency of the item;
c.Participants’ scores from the baseline translation task;
d.Participants’ level of education in Lithuanian;
e.Participants’ ages of departure from Lithuania;
f.Participants’ generations (waves of immigration);
g.Participants’ ages;
h.Participants’ family dialect;
i.Whether participants displayed an accent-based contrast in their production of minimal pair items (tested as a secondary part of Task 3);
j.Participants’ speaker group (heritage vs. normative).
The final variable was not expected to be significant, given that it was only possible to recruit 1 normative participant. The models were run twice—once with the normative speaker, and once without—and there was no change in which independent variables emerged as predictive. The normative speaker is included as part of our analysis of the recruited speakers as a whole, to better understand how the remaining variables—dialect, generation, time in Lithuania, and item-based variables such as frequency and condition—affect the perception of accent among speakers living in Chicago. All observations about the differences between the normative speaker and the heritage speakers as a group are qualitative and serve to suggest future research directions. Potential caveats related to the normative speaker’s background are also carefully considered below.
Table 2 illustrates how the independent variables were coded in the regression models. Frequency values have been pulled from a Lithuanian frequency dictionary, where the upper bound (greatest number of occurrences of any word in the language) is given as 28,174 for ir ‘and’, out of a sample containing 1,012,673 words in total (Utka 2009).
For transparency, the normative speaker’s values are given separately in parentheses and the remaining values are based only on the heritage speakers’ data.
The following models produced significant or otherwise noteworthy results. They are listed with their corresponding section number for easier navigation of the discussion below. Independent variables that were identified as significant are given in bold.
  • Logistic regression examining all independent variables’ effects on the probability of selecting a correct response (Section 3.1.1).
    Dependent variable: Likelihood that participants selected a correct response across all items.
    Independent variables: Speakers’ background (age, age of departure, dialect, education, generation), speakers’ baseline scores, presence of a contrast in speakers’ production data, item frequency, and experimental conditions (accent vs. filler).
  • Logistic regression examining any interaction effects between the independent variables identified as significant in the preceding model (Section 3.1.2).
    Dependent variable: Likelihood that participants selected a correct response across all items.
    Independent variables: Interaction effects between item frequency and experimental conditions. [Not significant.]
  • Linear regression examining whether there is a relationship between performance on the baseline vocabulary test and the probability of selecting a correct response (Section 3.1.3).
    Dependent variable: Likelihood that participants selected a correct response across all items; likelihood that participants selected a correct response only across accented items (model was run twice).
    Independent variable: Baseline vocabulary test score.
  • Linear regression examining all independent variables’ effects on reaction time (Section 3.2.1).
    Dependent variable: Reaction time on individual items.
    Independent variables: Speakers’ background (age, age of departure, dialect, education, generation), speakers’ baseline scores, presence of a contrast in speakers’ production data, item frequency, whether an item was answered correctly, and experimental conditions (accent vs. filler).
  • Logistic regression examining all independent variables’ effects on the likelihood that participants’ selected responses that indicated a conflation of the minimal pair items (Section 3.3.1).
    Dependent variable: Likelihood that participants selected responses that indicated a conflation of the minimal pair items (filler items were excluded from this model).
    Independent variables: Speakers’ background (age, age of departure, dialect, education, and generation), speakers’ baseline scores, difference between frequencies of the two members of the minimal pair. [Not significant.]
The variables related to the speakers’ background and acquisition only turned out to be predictive in model (iv), for reaction time. Some of this lack of predictiveness can be explained by the relatively small sample and the large number of variables, so we also performed smaller-scale ANOVA analyses examining the differences in the likelihood of a merger (as in model (v)), based on examining these background variables one at a time. These results are discussed in Section 3.3.2.

3.1. Predicting Overall Correctness

Models (i–iii) were used to determine whether the probability of correctly identifying the tokens is predictable based on any of the factors given above. We expect to find variation among the heritage speakers based on their lexical proficiency, schooling in Lithuanian, and other factors related to their experiences acquiring Lithuanian. We are also particularly interested in the role that word-frequency plays in the perception of lexically conditioned accent, especially for the heritage speakers, for whom we expect the frequency effects to be magnified due to their comparatively limited exposure to the language.

3.1.1. Analysis of the Effects of Participant-Based and Item-Based Variables on Likelihood of Correct Responses

This analysis relied on a logistic regression incorporating all of our possible predictors:
(9)
Regression model (i)
l o g i t ( p ) = β 0 + β 1 · c o n d i t i o n + β 2 · b a s e l i n e + β 3 · e d u c a t i o n 1 + β 4 · e d u c a t i o n 2 + β 5 · e d u c a t i o n 3 + β 6 · d e p a r t u r e + β 7 · f r e q u e n c y + β 8 · c a t e g o r y + β 9 · a g e + β 10 · d i a l e c t 1 + β 11 · d i a l e c t 2 + β 12 · g e n e r a t i o n 1 + β 13 · g e n e r a t i o n 2 + β 14 · p r o d u c t i o n
The output of this regression showed that only two of the predictors were significant (Table 3).
The performance on the filler items is significantly higher than the performance on the accent items: average success was 42% on acute accent items, 50% on circumflex accent items, and 81% on fillers (see Figure 1).
The data clearly show that the experimental items, which require the speaker to have an accent-based contrast to correctly identify lexical items, are more difficult than filler items. What is interesting is that this difference also holds for the normative speaker that participated in the study: he scored 64% on the acute items, 50% on the circumflex items, and 81% on the fillers.
Frequency seems to have a positive effect on overall correctness in the task: participants scored higher on more frequent items. This is illustrated in Figure 2: the lowest scoring items (<50% correct responses across all participants) cluster in the lower frequency range (see the boxed region).
None of the extralinguistic factors emerged as significant, which is not entirely surprising given the inherent (but unfortunate) limitations of low study participation when working with a small speaker population—which includes at most 100,000 individuals of Lithuanian descent living in and around Chicago at its peak (The Economist 2018), to say nothing of their linguistic ability or connection to their Lithuanian heritage. (We can compare this to other more well-studied populations of immigrant communities in the United States, such as Russians in the New York–New Jersey–Connecticut tri-state area, who number approximately 1.6 million people,4 or heritage speakers of Spanish in many US cities).

3.1.2. Interaction Effects between Frequency and Condition

An additional model (model (ii)) was run to investigate any interaction effects between frequency and condition (accented items vs. filler items), to determine whether frequency might disproportionately affect the accented items relative to the filler items. No significant interaction effect was measured, indicating that the difference in performance on accented items relative to filler items cannot be accounted for by frequency effects alone: the perception task is identifying a real difference in the perception of tokens where an accent distinction is necessary.

3.1.3. Analysis of the Relationship between Participants’ Overall Correctness and Their Baseline Vocabulary Score

Model (i) investigated the effects of the predictors relative to binary responses on individual stimuli in the task. An additional linear regression model (model (iii)) was run to investigate the predictiveness of a speaker’s baseline test score relative to each individual speaker’s overall likelihood of producing a correct response in the perception task.
(10)
Regression model (iii)
Y = β 0 + β 1 · b a s e l i n e
When this model was run on correctness scores that incorporated the responses on all of the stimuli (fillers and accented tokens), there was a significant relationship between performance on the perception task and the participant’s baseline score ( β = 0.01, SE = 0.01, t = 3.32, p < 0.01)—that is, participants with higher baseline scores performed better on the perception task. However, when this model was run on average correctness excluding the filler tokens, the significant effect disappeared: thus, we can only conclude that the relative size of a subject’s lexicon may impact their performance on the non-accented filler items. Word frequency and lexical proficiency are not predictive of the variation in the perception of accented words: this finding supports the analysis that the accented tokens may be harder to distinguish for all of the speakers because of the need to perceive the accent successfully, not just based on their likelihood of exposure to those lexical items.

3.2. Predicting the Reaction Time for Individual Tokens

Further analysis (model (iv)) investigated whether the independent variables are predictive of differences in reaction time, measured in seconds, across all tokens from all participants.

3.2.1. Linear Regression Model Examining the Effects of Participant Background and Item-Based Variables on Reaction Time

(11)
Regression model (iv)
Y = β 0 + β 1 · c o n d i t i o n + β 2 · b a s e l i n e + β 3 · e d u c a t i o n 1 + β 4 · e d u c a t i o n 2 + β 5 · e d u c a t i o n 3 + β 6 · d e p a r t u r e + β 7 · f r e q u e n c y + β 8 · c a t e g o r y + β 9 · a g e + β 10 · d i a l e c t 1 + β 11 · d i a l e c t 2 + β 12 · g e n e r a t i o n 1 + β 13 · g e n e r a t i o n 2 + β 14 · p r o d u c t i o n + β 15 · c o r r e c t n e s s
Many of the predictors in this model were determined to have a significant effect on RT (see Table 4).
Several of these variables show relatively high Standard Error values, despite being significant: Education, Generation, and Production. The magnitude of these variables’ influence on response time is unclear, and their significance may be an artifact of the small sample size. Still, these may be useful variables to consider in future work with greater numbers of participants.
We are left with condition, baseline score, age of departure, age overall, and correctness as significant predictors of reaction time to the stimuli. Participants had lower RTs on filler items than experimental items, further suggesting that experimental items are distinctly challenging (independent of the effects of low frequency, which did not have a significant effect). Unsurprisingly, participants also spent less time on items that they answered correctly compared to those they did not.
A number of extra-linguistic factors also seem to predict RT: baseline score, current age, and age of departure from Lithuania. There is a small positive relationship between baseline score and RT: the higher the baseline score, the greater the RT. The same is true of the age of departure and current age: older speakers took longer to respond to items. One interpretation of this finding is that speakers with more experience (greater lexical knowledge, more time spent in Lithuania, and more time using the language across their lifespan) took longer to make a selection, perhaps because they were surveying a larger lexicon, were more aware that there might be a potential contrast they had to identify (even if they were not always successful in doing so), and spent longer deciding that they could not remember the definition of a particular word.

3.2.2. Summing up: Responses to Individual Tokens

The analyses in the preceding sections focus on how participants performed relative to their responses for individual items in the task (whether they identified the tokens correctly and how long they spent considering each token). The overall performance on the task has shown that identifying a word in isolation solely based on the accent distinction is difficult for both normative and heritage speakers, and this difficulty cannot be explained by differences in word frequency between the accented/non-accented items, or by the size of the participant’s lexicon, or, in turn, a subject’s ability to translate between English and Lithuanian. (These potential confounders are controlled for in the baseline task, which tests the translation of frequent words.)
However, in this study, we are particularly concerned with the contrastiveness of the Lithuanian accent and whether this distinction is being maintained in the language, and so we must also look specifically at the ways in which the participants are reacting to the minimal pairs, and we must consider both correct and incorrect responses—that is, we must allow for the possibility that even when speakers could not correctly identify the definition of an accented item, they may have still perceived that minimal pair tokens were different from one another, and answered accordingly. The following section examines the differences in participants’ perception of a contrast between the accented minimal pair tokens.

3.3. Predicting the Probability of an Accent Contrast

This analysis was run on the accented items only. The accent condition has two levels: an acute item and a circumflex item, for a total of 14 pairs. These pairs were recorded as individual items with the following information: the total RT of both tokens in the pair, the frequency difference between the two tokens in the pair, and the type of distinction the participant made between the two tokens, based on the answers they gave for both. The frequency difference is included as a possible predictor to test the hypothesis that participants may default to the more frequent member of a minimal pair in situations where there is a large difference in frequency, as in the case of jõs ‘her’ and jós ‘(he/she/they) will ride’.
The responses were first coded as belonging to one of eight categories, outlined in (12). They were then further binned according whether the responses indicated a perceived contrast between minimal pairs (1–4) or no contrast (6–8).
(12)
Types of Minimal Pair Distinctions
Contrast Present:
  • Correct: The participant associated the appropriate meaning with the appropriate accent. The participant has a contrast and knows both words.
  • Acute meaning not known: The participant correctly identified the circumflex item in the pair but indicated that they were unfamiliar with the acute item. (The participant heard a contrast between the two items, and their inability to give a correct answer for the acute item is due to a lexical gap.)
  • Circumflex meaning not known: The reverse of the previous option. The participant chose the correct acute meaning but indicated they did not know the word with the circumflex accent.
  • Lexical confusion: The participant marked the two members of the pair differently in their answers, but neither answer was correct. (A contrast was perceived, but the participant did not identify the correct definitions.)
Excluded:
5.
Did Not Know Either Meaning: The participant indicated that they were unfamiliar with both words in the pair. (These responses were excluded from the analysis, as we cannot conclude anything about contrastiveness from them.)
No Contrast:
6.
Merged to acute meaning: The participant selected the acute meaning for both words, indicating that they did not perceive a difference between the two accents.
7.
Merged to circumflex meaning: The participant selected the circumflex meaning for both words (also indicating the absence of a contrast).
8.
Lexical confusion: The participant gave the same incorrect answer for both members of the pair (such as two instances of “two or more of the above meanings”).
The following model considers only whether or not a participant indicated a contrast for a given pair. (A model was also run to analyze different patterns for different types of contrasts and mergers—e.g., merging to acute vs. circumflex, indicating a contrast with correct identification of the lexical items vs. without)—but none of the tested variables were significant and any differences appeared totally random.)

3.3.1. Analysis of the Likelihood of a Merger, Based on Participants’ Background and Item-Based Variables

This model considers whether any of the extra-linguistic predictors contribute to the likelihood of there being no contrast for an item. Other factors considered in this model are the total RT for the pair, the type of the condition (acute vs. circumflex), and the difference in frequency between the two members of the pair.
(13)
Regression model (v)
l o g i t ( p ) = β 0 + β 1 · b a s e l i n e + β 2 · t o t a l R T + β 3 · c a t e g o r y + β 4 · e d u c a t i o n 1 + β 5 · e d u c a t i o n 2 + β 6 · e d u c a t i o n 3 + β 7 · d e p a r t u r e + β 8 · f r e q u e n c y d i f f + β 9 · a g e + β 10 · g e n e r a t i o n 1 + β 11 · g e n e r a t i o n 2 + β 12 · d i a l e c t 1 + β 13 · d i a l e c t 2 + β 14 · p r o d u c t i o n
The model determined no significant effects for any of these predictors: the subjects do not appear to differ significantly in their responses, nor is any of their similarity explained by factors such as reaction time or frequency. The frequency differential had a fairly low p-value ( β = 0.01, SE = 0.01, z = 1.72, p < 0.09)—on average, the frequency difference between the two minimal pair items was about 106 where a contrast was noted, and about 252 where participants marked the two words as the same. This difference does not meet typical thresholds for significance, but it may be a variable worth considering in future research.
Participants’ individual likelihood of merging is shown in Figure 3. All of the subjects (except for VV13) are more likely to have a merger than a contrast, but they vary widely as to which accents (and particular pairs) they tend to perceive as contrastive. What is particularly interesting is that the normative speaker, VA8, also does not identify all of the pairs as contrastive (in fact, he only perceived a contrast for 4 out of 14 items, while VV13, a heritage speaker, perceived a contrast for 7 out of 14 items).

3.3.2. Smaller-Scale Analyses of Background Variables

In light of the variation between participants’ merging likelihoods, a number of ANOVA analyses were attempted for some of the factor variables, to look for meaningful differences on a smaller scale. The following single-factor ANOVAs were run. An asterisk (*) indicates where the analysis was run twice: including the normative speaker’s data, and without it.
  • Production* (whether the participant had any conflation of elicited minimal pairs in their own speech)
  • Dialect*
  • Education level* (participants were binned into two groups based on the number of years of schooling they had: high and low)
  • Generation
  • Community engagement (based on whether or not the speakers are engaged in the Chicago Lithuanian community)
The ANOVAs also did not identify significant variation among any of these groupings of participants. On average, the probability of a merger differed by no more than 10% among different factor levels, which suggests that the outliers do not form a concrete group based on just one variable.
Still, it is worth noting that these differences, however small, pattern in exactly the ways we expect. Consider the averages in Table 5, where a higher percentage is indicative of a greater tendency to conflate the minimal pairs.
For education (excluding the normative speaker), we find that speakers with more education, on average, preserved more distinctions: this is exactly what we expect, given that the accent contrast is rigorously taught both in Lithuania and in heritage language classes in the US. Similarly, individuals who are more engaged in the Chicago Lithuanian community (and are therefore able to speak Lithuanian with a wider social network) also display fewer mergers (here, there may be some overlap with individuals in the education category—heritage speakers with more years of schooling also tended to be more engaged in the Chicago community). Also expected are the dialect results: East Aukštaitian dialects, particularly in Vilnius, have a stronger tendency not to maintain a pitch-based distinction between the accents. This might account for the greater likelihood of mergers in East Aukštaitian relative to Žemaitian, where accent-based distinctions, though non-standard, are still fairly strong. The dialectal differences should not be overstated, however, as the distribution of speakers in each group was highly unbalanced—most of the participants (or their parents) came from West Aukštaitian language areas, so the differences between East Aukštaitian and Žemaitian may be mostly idiolectal.
Perhaps the most promising results, insofar as they may constitute an area for future research, are the probabilities by generation: the older normative speaker and the younger heritage speakers had, on average, 10–15% more conflation of minimal pairs than the older heritage speakers. Again, we must be conservative in concluding anything based on these preliminary data, especially without controlling for outliers, but these patterns are consistent with the hypothesis that the older heritage speakers are speaking a more conservative version of the language, acquired from their parents before the onset of change in Lithuania. The older normative speaker is from Vilnius, the area that is well known for collapsing these distinctions, which may account for why he recognized fewer distinctions even though he has undergone the most schooling in Standard Lithuanian. The younger heritage speakers are mostly from West Aukštaitia, which is typically described as having the most robust accent distinction (which is also closest to Standard Lithuanian). The absence of this contrast among the younger speakers may be indicative of ongoing change in Lithuania, or else it may be due to these speakers’ backgrounds: their younger age (and less experience speaking Lithuanian), and perhaps less intensive schooling in pitch accent compared to the older heritage speakers. Future research would require more participants across these specific categories in order to identify the exact nature of this variation.

3.3.3. Individual Variation

We must also consider the role that individual (idiolectal) variation plays in the maintenance of the accent contrast, especially among heritage speakers, whose experiences can differ in ways that are not easy to categorize or quantify. Figure 4 illustrates that most of the participants tended to cluster in the 70–75% range—conflating the two accents most of the time, but still maintaining some distinctions. This group mostly consists of the younger heritage speakers, plus the normative speaker from Vilnius. The outliers on the lower end of the distribution are all older heritage speakers, and the two outliers to the higher end are one younger heritage speaker (from New York, who is not involved in maintaining his language in any context outside of interaction with immediate family) and an older heritage speaker, who uses Lithuanian regularly within the Chicago Lithuanian community and in interacting with her friends. This speaker differed from the other older heritage speakers in that she does not use the language on a daily basis with family (such as children, a spouse, or a sibling). These details suggest that both the frequency and nature of interactions in the heritage language might matter, with ongoing language use in the family being more important than occasional use in the community, and an overall diversity of domains of use (in both the family and the community) being more important for maintenance than use within the home alone.

4. Results: Maintenance of Accent Paradigms in Production

Let us turn now to a discussion of the participants’ performance on the production task, which tested their preservation of the Lithuanian accent paradigms in the nominal system. This task affords us the opportunity to test whether (i) heritage speakers produce any kind of prosodic contrast where an accent contrast is expected, and (ii) whether (and how) the predictable nominal paradigms play a role in accent maintenance. Given the difficulty in identifying significant extralinguistic predictors for the perception of pitch accent, here we instead focus on a comprehensive evaluation of what prosodic cues the participants use to signal that a syllable is accented, and close with some discussion about whether these patterns appear to typify any of the extralinguistic groupings of the participants. Our hypothesis was that the morphophonological accent patterns in the nominal paradigm will be better maintained both among the heritage speakers and the normative speaker, since they are systematic and predictable and provide a larger number of tokens to a learner of the language, compared to the purely lexical accent tested in the perception task. However, we expected differences in the degree to which the heritage speakers maintained the nominal paradigms relative to the normative speaker, since inflectional morphology (such as case) is known to undergo changes among heritage speakers, via paradigmatic leveling or other kinds of syncretism (Choi 2003; Polinsky 2018). These predictions were borne out exactly as expected: the normative speaker produced an acoustically prominent mora in the expected position within the target word across almost all of the utterances, and did so using a locally high pitch on that mora a greater percentage of the time than the heritage speakers, who tended to only use other cues, such as duration and vowel quality. Overall, the heritage speakers did not always mark prominence on the expected mora or syllable, though there was considerable variation among them in this regard.

4.1. Phonetic Correlates of Accent in Nominal Paradigms

In the production task, participants were asked to read sentences containing all of the following forms, with no orthographic marking of stress or any other indication of which word was being targeted. The full paradigms of these forms appear in Appendix E. Note that, in Table 6, the accent marks the location of H tone, following Blevins’ (1993) convention. For our purposes, it also marks the mora that is expected to be prosodically prominent in some way—typically assumed to be a higher pitch, but as documented by previous studies, also cued by features such as relative duration and intensity.
A total of 756 tokens were collected from the 14 participants; of these, 275 tokens were analyzed using Praat to locate the peak pitch and intensity of the target nouns. The full paradigms were analyzed for the normative speaker and the heritage speaker with the least formal education in Lithuanian; the paradigms for ‘man’, ‘wheel’, ‘head’, and ‘child’ were analyzed for the remaining participants. Recall that previous studies have found a wide range of acoustic features for these different contrasts, including the type of contour on the bimoraic accents (i.e., the rate of pitch change), the “variability” in how an accent is produced, and the use of duration and intensity to signal the acute/circumflex contrast. This study differs from previous work in that it consulted a greater number of speakers and focused instead on whether pitch is used in a systematic way in the nominal paradigms, which has been the focus of most phonological accounts of pitch accent in Lithuanian but has not been comprehensively examined in any acoustic studies. The present study is also predominantly interested in the behavior of heritage speakers of the language, in addition to providing an account of a normative speaker’s production.
As in previous acoustic studies of word-level pitch accent, I found that the participants did not consistently use peak pitch on the expected morae; peak intensity also did not fall on the mora that was expected to bear a high tone (or even on that syllable). For most participants, it was difficult to isolate a “peak intensity”—instead, they tended to have a prominently low intensity on the stem coda consonant, with comparable intensity for both the stem nucleus and the case morpheme.
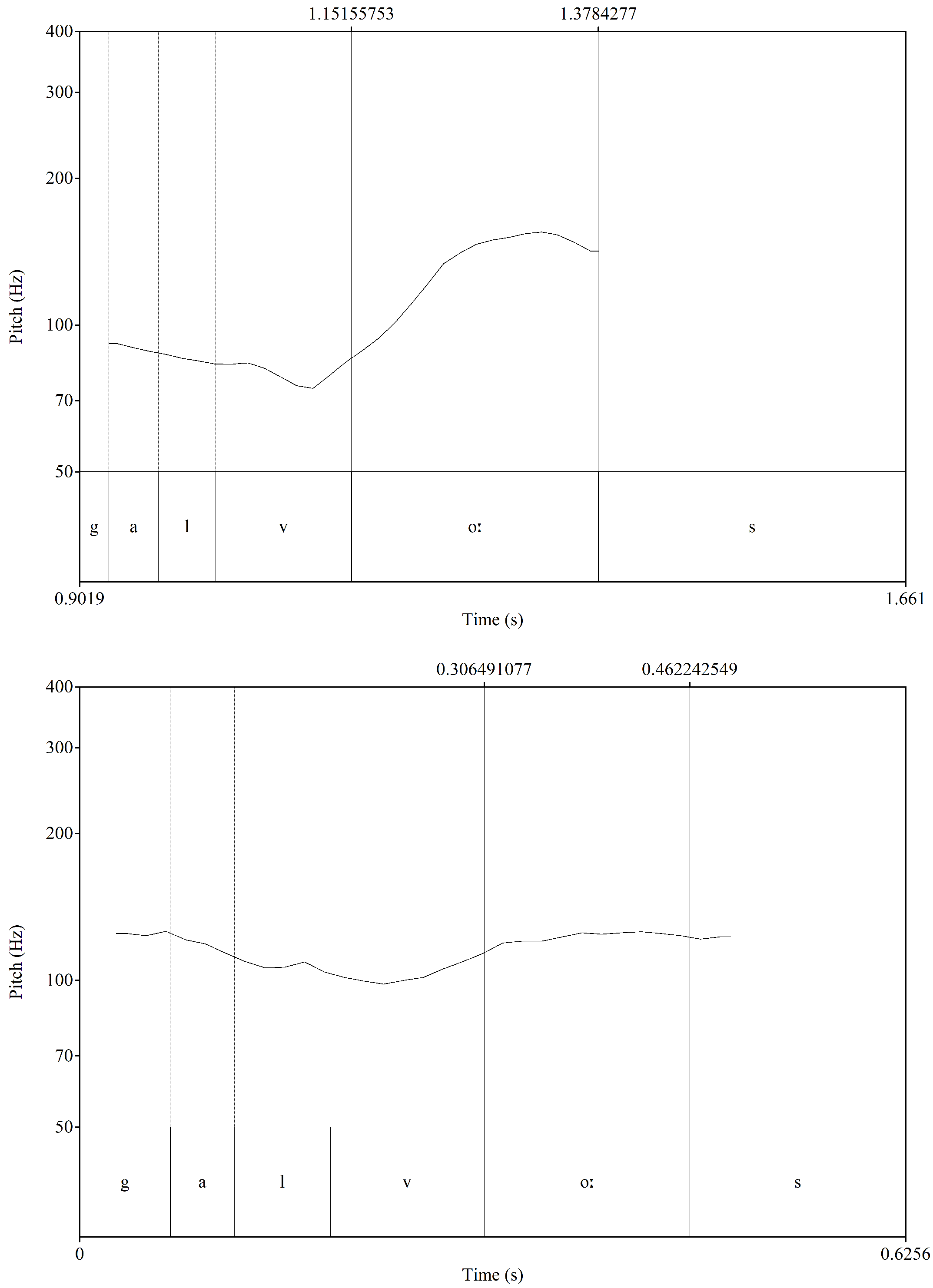
Similarly, there was not always a prominent peak F0; some speakers varied their pitch more than others. Consider the examples in Figure 5, which gives the pitch contours for galvoós ‘head-gen’ for a male heritage speaker (top) and the male normative speaker (bottom), who were the only two speakers in the sample to produce the expected circumflex accent on the case marker for this form. The heritage speaker produces a clear and sharply rising contour, while the normative speaker exhibits a less steep rise. Note also that in the normative speaker’s production, the peak on the case marker is barely higher than the pitch at the beginning of the word.
Of course, we expect interspeaker differences, especially in light of dialectal variation and the difficulty in identifying clear acoustic correlates for pitch accent in previous phonetic studies of Lithuanian. However, unlike some of the findings in previous phonetic studies, it was not the case that individual speakers had their own consistent pitch- or intensity-based strategies for marking an accent. (For example, no patterns emerged where speakers consistently had a rising tone on whatever segments they were accenting, or even consistent patterns for one type of accent and variable patterns for another, as in the Dogil and Möhler 1998 study.) The frequency with which the three participant groups—the normative speaker and the older vs. younger heritage speakers—used a locally high tone to signal the expected prominent mora is given in Table 7.
As a group, the speakers produced the tokens with the peak pitch on the expected mora only 38.8% of the time—this value is so low that it is difficult to judge whether those cases where relatively high pitch occurred on the expected mora are simply random. Some speakers displayed the expected behavior more than others—perhaps tellingly, the normative speaker’s pitch properties aligned with the tonal-moraic account 58.5% of the time. An older normative speaker (who tended to maintain perceptual contrasts in the first task) had the expected patterns 54.2% of the time. It is worth noting that once again, the older heritage speakers seem more likely to demonstrate the expected pitch accent behavior than their younger counterparts, although we should not overstate these findings: except for the normative speaker and the older speaker already mentioned, all of the other speakers aligned with the expected tonal patterns so infrequently (25–40% of the time) and non-systematically that the occurrence of high pitch on the expected mora is likely coincidental.
Some significant variation was present in which accents tended to be marked by the expected pitch patterns. The circumflex accent was by far the least likely to have peak pitch on the expected mora—24.3% of the time, compared to 42.6% for acute and 55.1% for grave, the accent found only on the case markers (F(2,270) = 9.22, p = 0.0001). The likelihood of finding H tone on the expected mora in the circumflex accent was significantly lower than in the acute accent (t(197) = 2.81, p = 0.005) and in the grave accent (t(131) = 4.18, p = 0.00005). This finding seems to underscore the claims by previous researchers that the circumflex accent in particular is not signaled by a prosodic peak, and therefore, if we assume that Dogil and Möhler’s (1998) model is correct, the circumflex accent may be less likely to be preserved among heritage speakers because its acoustic features are more variable and less salient.5
There are several caveats in using the location of peak pitch as our metric which must be addressed. The fact that peak pitch in the noun may not occur on the expected mora does not preclude the possibility that the expected pitch contour occurs in proximity to the correct syllable, but may not coincide with the location of the peak. This type of scenario may be explainable by the greater sentence prosody, which has been examined in a number of pilot studies with various results (see Section 1.3.2). One finding (from Hualde and Riad 2014) was that pragmatic context can have an effect on the location of peak pitch; for example, sentential focus can shift the peak pitch to occur after the word-accent syllable. In the present study, sentence prosody was difficult to control for in the selection of the expressions that the speakers were asked to produce, as many of the noun forms are rare and are only encountered in particular constructions (thus, some of the target words occur phrase-initially, phrase-medially, and phrase-finally.) Nevertheless, there were a number of cases where the speaker’s sentence prosody noticeably influenced the location of peak pitch in the target word. There was a tendency among the younger female speakers to use uptalk in declarative sentences, so that phrase-final tokens always ended in a significant rise, even where pitch was as expected elsewhere in the word. This is apparent in Figure 6: in Šuo ikando vyrą, ‘The dog bit the man’, there appears to be a falling pitch contour (acute accent) on the stem as expected, but then there is a steep rise in pitch on the case marker. This observation runs counter to what has been documented for normative speakers of Lithuanian in their production of declarative sentences, which tend to display a general falling pattern in F0 (Bikulčienė 1978, 1982; Kazlauskienė and Sabonytė 2018).
Reading proficiency also contributed to rising pitch on nouns that were not phrase-final: if speakers were having difficulty reading a word or were unsure of stress placement, the token would receive rising intonation, which is consistent with question intonation in both English and Lithuanian.
Another example where phrasal intonation seemed to affect the location of prominent pitch in the target word comes from the normative speaker’s data, in his production of galvojé ‘head-loc’ in the sentence meaning ‘The howling in the mind was getting stronger and stronger.’ The speaker seemed to get into character in producing the sentence, displaying (what was for him) a more pronounced overall falling intonation throughout the sentence, perhaps to voice the downtrodden attitude of the original author of the sentence. As a result, there is a local maximum on /e/ in the target word, but once again, the peak pitch is elsewhere, at the beginning of the word (see Figure 7). This finding echoes that of previous investigations of pitch accent that examined word-level accent in the broader context of sentential prosody: an overall falling pitch pattern is the expected one in declarative sentences, and the accent is indicated with a relative H tone, rather than an absolute H tone.
Despite the fluid status of pitch for these speakers, there was one robust pattern that emerged: all of the speakers, including the normative speaker, marked stress using duration. Those speakers for whom peak pitch seldom occurred on the accented mora nevertheless typically signaled moraic prominence by lengthening the relevant segment. Unstressed vowels also differed in quality from stressed vowels and were often reduced to a schwa-like vowel by all speakers. The diagrams in Figure 8 illustrate the use of both of these features by a younger heritage speaker, BK5, in the production of the minimal pair galvá ‘head-nom’ and gálva ‘head-inst’.
We can see that the accented /a/ differs from unaccented /a/ both in the quality of the vowel and in duration. In nominative galv-á, the vowel in the case marker is 0.14 s long compared to the stem vowel (0.05 s), while in instrumental gálv-a, the accented stem vowel lasts 0.19 s compared with 0.14 s for the affix vowel. The vowels also differ in quality depending on whether they are accented: in particular, the stem vowel shows a distinctly higher F1 band (indicating a low vowel) when stressed compared to when it is not stressed.

4.2. Patterns in Nominal Accent Maintenance and Loss

In this section, we discuss the maintenance of stress position in the speech of the heritage speakers, independent of its tonal realization.
For this part of the analysis, all 756 tokens were listened to and marked as having correct or incorrect stress. The placement of stress was also noted (stem vs. case marker, distinguishing between -óje and -ojé in the multisyllabic locative morpheme).
The phonological analyses of pitch accent in Lithuanian depend on the fact that both stems and affixes may be underlyingly marked or unmarked for pitch (or accent/stress, depending on the account). The patterns of stem vs. desinence stress in the paradigms emerge due to the interaction between these variably accented and unaccented morphemes. The assumed underlying representations of the relevant morphemes in this study are given in Table 8. A generalization that can be made about these underlying representations (and their roles in Blevins’s analysis) is that stems which are underlyingly unaccented may still receive the surface accent; however, only accented case markers will ever surface with the word-level accent. That is, in the speech of a normative speaker who has completely acquired the system, we should never expect to find the non-bolded morphemes in Table 8 with the surface accent.
In situations of language loss, speakers often develop strategies for simplifying complex morphophonological rules, reducing the number of rules and systems they must maintain, through such processes as paradigmatic leveling. Here, we might expect to find paradigmatic leveling to Class I, which has stem stress (with acute accent) throughout the entire paradigm. Another simplification strategy we might expect would be to associate stress with particular morphemes, perhaps defaulting to stressing the underlyingly accented case markers whenever they appear, regardless of the paradigm.
These are the types of strategies we expect to find in situations where the language is not really used outside the home, and speakers do not undergo extensive formal education. This is not the case for most of the speakers that participated in this study, as most of them have as many as 10 years of weekly Lithuanian Saturday School. Therefore, we can expect the stress patterns in the nouns to be fairly robust, particularly for those speakers who have had the most extensive schooling.
The results of the stress placement analysis in the production data are given in Table 9.
The data indicated significant differences in the degree of conformity to the standard stress patterns between the three groups (F(2,740) = 12.1, p = 0.000007). Compared to the pitch-based accent distinction, these stress paradigms have been much better preserved among the heritage speakers (85.1% overlap with the standard patterns). As in the perception study, the clearest speaker-based variation here is between the younger and older heritage speakers: as a group, the older heritage speakers adhered significantly more closely to the standard patterns than the younger speakers (t(660) = −4.6, p = 0.000006).
All of the speakers demonstrated some deviation from the expected stress patterns; that is, no speaker was in 100% alignment with the standard patterns. This is not unexpected: stress placement, like the tonal properties of the different accents, varies across dialects. The most robust stress-based difference in the Lithuanian dialects is whether or not they exhibit stress retraction from the case suffix to the stem. As noted in Section 1.3.2, the standard language is based on the West Aukštaitian dialects of the Kaunas region, the Southern West Aukštaitian group, which does not exhibit stress retraction. Otherwise, stress retraction is attested in the Northern West Aukštaitian group, East Aukštaitian (with the exception of dialects around Utena and Vilnius), and Žemaitian, where retraction leaves behind a secondary stress on the suffix (Balode and Holvoet 2001).
Although we should not expect even normative speakers to pattern exactly like the standard language, some of the tokens produced by the normative speaker are puzzling. While he produced the expected stress 94% of the time, he produced the three following non-standard patterns:
(14)
Normative speaker VA8’s non-standard inflectional patterns:
  • viiré for víire ‘man-loc’ (Class I);
  • rańka for ranká ‘arm-inst’ (Class II);
  • galvá for gálva ‘head-inst’ (Class III).
(14b) is a fairly typical example of stress retraction; it is unexpected in this case only because this speaker grew up in Vilnius, where stress retraction is not attested, though of course there are numerous explanations for why a speaker might use a variant not associated with their hometown, especially if he is regularly in contact with speakers of other dialects, as in a diaspora community. (14a,c) appear to be the result of conflation with stress patterns in other accentuation classes and are consistent with the types of leveling also attested among the heritage speakers. Locative marker -e receives word-level stress in every other accentuation class: we expect víir-e ‘man-loc’ for Class I, but raat-é (Class II), lang-é (Class III), and vaik-é (Class IV). Similarly, there is nominative-instrumental syncretism for Lithuanian -a nouns like (14c), including stress placement, in every accentuation class except Class III:
(15)
nom-inst syncretism in a-stem nouns
  • várn-a ‘crow’ (Class I);
  • rank-á ‘arm’ (Class II);
  • inst gálv-a but nom galv-á ‘head’ (Class III);
  • kalb-á ‘speech’ (Class IV).
One explanation of the pattern in (14c), then, is that it conforms to a frequent syncretism pattern (that of classes II and IV). (14c) was by far the most common non-standardly stressed form in the data, with only 36% of all participants producing the expected stress.
Most of the non-standard stress patterns produced by the participants are of this type: apparent analogic changes in forms with similar segmental phonology, without widespread systematic (i.e., paradigmatic) change. There is no evidence that any speaker has leveled to a fewer number of paradigms, or that individual desinences are always treated the same way across declensions and accentuation classes. However, there are predictable patterns based on whether a form can be analyzed as underlyingly stressed (Table 8): in particular, underlyingly stressed case markers are the locus of most of the non-standard patterns. Speakers exhibit stress retraction and fail to stress case markers where expected (e.g., gaĺv-oje instead of galv-ojé ‘head-loc’ (Class III)), but also overgeneralize case marker stress to paradigms where they do not occur in the standard language (more than one speaker produced (14a), viiré for ‘man-loc’, a noun that belongs to Class I and should always have stem stress). The a-stems in (15), which have a number of stress-based minimal pairs (especially for speakers who do not have a strong vowel length contrast), exhibited the most variation.
Less expectedly, some of the heritage speakers placed word stress on case markers which should never have surface stress in any paradigm: in particular, these included forms such as raatúi ‘wheel-dat’, laapéi ‘fox-dat’, and kalbái ‘speech-dat’. The likeliest explanation for stress in these case markers is conflation with very similar markers which may be stressed: instrumental -u, nominative/instrumental -a, and instrumental -e.6 (Other underlyingly unstressed case markers which are less similar in form to other morphemes, such as -ees, -o, and -as, were never stressed by any of the speakers.) By and large, these types of patterns, which are not entirely analogic and run counter to phonological predictions, were mainly attested among heritage speakers with less language exposure, particularly the younger speakers: these were generally speakers who had standard stress placement < 80% of the time. It should also be noted that many of these speakers were from, or were born in North America to parents from areas where Southern West Aukštaitian dialects are spoken (Kaunas, Kybartai, and Marijampolė). This dialect group is expected to be the most like the standard language and does not tend to exhibit stress retraction or other changes to the morphophonology of the system of nominal inflection.
Two of these more innovative speakers are from Klaipeda, where the Žemaitian dialect is spoken. Žemaitian varieties have a tendency to retract stress to the stem, resulting in primary stem stress and secondary stress present on the case suffix and intervening syllables: e.g., súun-óu ‘son-dat’, dárb-óu ‘work-dat (Stang 1966, p. 139; Derksen 1991; Blevins 1993). The Žemaitian dative singular case form -ou (the equivalent of Standard Lithuanian -ui) surfaces with secondary stress, even though the standard suffix is unstressed. For these speakers, then, it is possible that stress placement on affixes that are not expected to receive stress in the standard language is actually due to the influence of the competing system of Žemaitian stress.
Although the younger heritage speakers produced the greatest number of non-standard stress patterns and most of the older speakers produced the expected forms around 95% of the time, there are several outliers that are worth noting for what they can tell us about the importance of experience in heritage speech. EG6, a younger heritage speaker who had lived in Lithuania until she was 8, generally produced expected stress. Meanwhile, EN14, an older heritage speaker (the same exceptional speaker from the perception study, who maintained fewer distinctions relative to the other older speakers) only produced expected stress 77% of the time. As we noted in the discussion of the perception results, EN14 does not use Lithuanian at home but only while out in the Lithuanian community, or with certain Lithuanian-speaking friends.
Ultimately, the speakers can be analyzed as belonging to two groups, with two distinct kinds of backgrounds and in turn two distinct patterns of linguistic behavior. The first consists of speakers who grew up using Lithuanian on a regular basis with their families and in school (whether in Lithuania or in heritage schools in North America). These speakers display both well-known dialectal features and analogic changes consistent with what might be expected based on the underlying phonology of the nominal system. The normative speaker can be analyzed as belonging to this group: whether his patterns are consistent with that of a typical speaker from Vilnius or language attrition due to his lengthy time in the US is difficult to say without further research with normative speakers in Lithuania.
The second group consists mostly of younger speakers, who have comparatively less engagement with the Lithuanian community (except for with their parents), who produce not only more non-standard stress placement, but also patterns that are not expected either from dialectal variation or analogy with other forms. For some of these speakers, this may be due to the influence of the dative singular case marker in Žemaitian, which is secondarily stressed. These speakers’ production is therefore more consistent with a system that is intermediate between two distinct systems of phonological stress—the one in Standard Lithuanian and the one in Žemaitian—or one that was incompletely acquired.

5. Discussion

Although this study consulted a relatively small number of participants, there are several robust generalizations about heritage speakers’ perception and production of pitch accent that emerged from the study. This was made possible through the identification of several extralinguistic variables based on a sociolinguistic questionnaire, and with a moderately diverse group of heritage speakers of different backgrounds who were analyzed from a variationist perspective. In this way, it was possible to map different linguistic behaviors to different kinds of experience learning Lithuanian as a heritage language, without relying on normative speakers (who used the language until adulthood in Lithuania) to function as a “baseline”. The normative speaker who participated in this study was also analyzed according to the same variables as the heritage speakers, and was also shown to be affected by the unique aspects of his linguistic experience, including his dialect exposure and changes to pitch accent that are underway even in the more standard dialects of Lithuania today.
Overall, the perception and production of pitch accent by the participants in this study differ from the canonical descriptions of Standard Lithuanian, but are consistent both with the limited acoustic studies that exist for Lithuanian pitch accent, and our expectations about heritage speaker differences based on studies of pitch and stress-accent perception in other languages.
In the perception task, we analyzed the performance of the two generations of heritage speakers and the normative speaker for systematic differences based on the extralinguistic information that was collected, their performance on a translation task to assess relative proficiency, and the effects of lexical frequency. The analysis examined the effect of these variables in both the overall performance of speakers (% correct responses and reaction time) and whether speakers were able to perceive a contrast in accented minimal pair items. All of the speakers (including the normative speaker) were more accurate in distinguishing minimal pairs based on segmental differences than prosodic (accent) differences ( β = 1.67, SE = 0.16, z = 10.3, p < 0.01), even after taking frequency into account. The speakers also tended to be more accurate in identifying high-frequency items—a generalization which also held for the normative speaker. This is not unexpected for a lexically-conditioned contrast which must be learned and stored individually. It was also not surprising that speakers who scored higher on the lexical proficiency task were also more accurate in the perception task ( β = 0.01, SE = 0.01, t = 3.32, p < 0.01): the size of a speaker’s lexicon roughly correlates with their ability to perceive word tokens in isolation. Heritage speakers with less extensive schooling or fewer opportunities to maintain the language with family had smaller lexicons (or, possibly, more difficulty with translation between Lithuanian and English) and were not as proficient at perceiving recorded tokens. Reaction time, meanwhile, revealed a somewhat surprising finding about linguistic background. Longer reaction times were correlated not with lower proficiency or less experience with the heritage language, but with the opposite: speakers with relatively more experience (older speakers, speakers who spent more time in Lithuania, and speakers with higher lexical baseline scores) took longer to respond to individual stimuli in the perception task, perhaps indicating that they could perceive differences in the acoustic correlates of accent, without being able to correctly resolve them.
Heritage speakers did not exhibit statistically significant differences in their accuracy in perceiving individual stimulus items, or in their tendency to conflate the accented pairs, on the basis of extralinguistic differences. However, there are some promising initial findings from a raw quantitative comparison of the different speaker groups that are worth investigating with larger numbers of participants and additional methods. Heritage speakers with more education perceived more accent-based distinctions, as did heritage speakers who were more engaged in the Chicago community. The older generation of heritage speakers also perceived more accent-based distinctions overall (even compared with the normative speaker). There are several reasons why this might be the case. One theory is that we are seeing a departure from pitch-based distinctions in mainstream Lithuanian: the older heritage speakers may be speaking a more archaic version of the language, while the younger heritage learners are speaking more like their parents, who were born and raised in Lithuania long after the parents of the older heritage speakers had left.
The low accuracy of all of the speakers in identifying accented items (as well as in being able to distinguish a contrast between minimal pairs at all) raises interesting questions about the supposed contrastiveness of the lexical pitch accent: it appears that phonetic cues in isolation are not sufficient to signal a contrast, even for a normative speaker who is highly educated in the standard language, where this distinction is taught explicitly. A drawback of working within the Chicago Lithuanian community has been the difficulty of recruiting normative Lithuanian speakers for participation in the study. Such speakers are less easily accessible in Chicago: the city has a long history of Lithuanian settlement, and there have been successive generations of heritage speakers—these speakers make up most of the community, and are perhaps more excited about their background than the recent diaspora settlers. The college-age American-born speakers are probably also more accustomed to the culture of participation in academic studies, while older immigrants (especially those who lived under the Soviet regime) are likely to be suspicious of such institutions. The normative speaker who did participate in the study may not be an ideal candidate for comparison with the heritage speakers, as there is a very high chance that the dialect spoken in the area where he grew up (the Vilnius East Aukštaitian dialect) may have impacted his perception of pitch-based distinctions. However, we must be cautious not to overstate the role of dialectal influence for this speaker, who has received extensive education in Lithuania (in the standard language), even completing some of his doctorate there.
Thus, the normative speaker’s performance on the perception task is intriguing—why might he perceive even fewer accent-based distinctions than the older heritage speakers? Given that the speaker has lived in Chicago for almost 20 years, it is possible that he has actually lost the acute/circumflex accent contrast due to contact with English, and due to the fact that he himself interacts predominantly with heritage speakers, rather than other normative speakers. This in and of itself would be a surprising pattern: just as prosody is thought to be acquired early, it is also expected to be one of the last things lost in situations of language shift or attrition (Thomason and Kaufman 1988; Polinsky 1996; Winford 2003). Yet another explanation calls into question the effectiveness of schooling for the transmission of the accent contrast, if even a speaker with considerable education is unable to perceive (or produce) the distinct tonal accents. Indeed, many Lithuanian speakers who were consulted in the course of this work report that the prosodic properties of accent are notoriously hard to learn, even though they are taught explicitly and are subject to stringent testing in school.
The alternative conclusion—that this speaker’s Lithuanian is completely normative and completely standard, yet he still lacked a contrast for many items and was sensitive to frequency effects—raises questions about how contrastive the acute and circumflex accents actually are. While it is not necessarily surprising that even a normative speaker might not know the meanings of certain low-frequency items, we expect a normative speaker to indicate in some way that he is able to tell the acute and circumflex pairs apart. Another potential explanation for the normative speaker’s performance is that the task is simply too difficult. Participants would only hear a word once, without a sentential frame that might orient the hearer to the particular pitch properties of the speaker’s voice. Participants would also generally not hear the two items side-by-side.7
However, it would seem unlikely that this result is an artifact of the experimental design: in similar investigations with Japanese, speakers of accented varieties were easily able to differentiate words based on cues from lexical pitch accent alone (Cutler and Otake 1999; Otake and Cutler 1999). Studies of stress accent languages (such as Spanish and English) have shown that speakers can correctly identify accented tokens (whether by indicating their meaning or indicating the lexical class they belong to) without any contextual cues. One example is the study in Kim (2016), in which normative and heritage speakers of Spanish were able to select the correct audio-recorded form of the verb (third person cantó vs. first person canto) to complete a sentence. In a study of English stress accent that is directly comparable to the present investigation, Ou (2016) asked normative English speakers as well as L2 speakers (whose first language was Mandarin) to identify recorded minimal pairs of English lexical items that differ on the basis of stress, in particular, noun–verb pairs such as PERmit and perMIT. The normative English speakers had no trouble correctly identifying whether the token was a noun or a verb, and the Mandarin-speaking L2 speakers were also shown to correctly be able to identify the nouns and to at least be able to perceive a contrast between the items even if they could not always correctly identify individual lexemes.
Thus, these initial results may instead indicate that the accent contrast in Lithuanian is not perceived purely phonetically, or that it may not be salient enough for speakers to perceive in isolation. Further work is necessary to determine what types of circumstances facilitate accent perception among both normative and heritage speakers: for example, whether accent perception in Lithuanian requires sentential context, or surrounding speech to orient the hearer to the particular pitch properties of the speaker’s voice.
One way in which a future study could control for the importance of sentential context in processing a pitch accent-based distinction would be through the incorporation of semantic plausibility. In such a study, speakers would hear full sentences for the relevant tokens: a sentence that is semantically plausible with the word with the acute accent, but not the circumflex, and vice versa (such an experiment would have the added benefit of making recall slightly easier for the heritage speakers, who may have been familiar with some of the words in the perception task but not entirely sure of their meanings).
Turning to the production task, there were similar differences that emerged on the basis of speaker experience. This task tested two broad questions by examining both the prosodic and segmental features of accent production in the nominal inflectional paradigms of Lithuanian, where accent plays a morphological role: (1) whether speakers maintain the expected stress placement across the paradigms, and (2) how this stress is cued acoustically (pitch, duration, vowel quality, or intensity).
Here again, there were significant differences between the older generation and the younger generation of heritage speakers, as well as patterns that can be linked to dialect differences. The older generation produced the expected accent placement 91.5% of the time, compared to 79.5% of the time for younger heritage speakers (t(660) = −4.6, p = 0.000006), which is consistent with the conclusion that the older speakers have more completely acquired the nominal accentuation system. Another possibility is that the task was harder for the younger heritage speakers, because their reading proficiency is lower. Both of these scenarios would be consistent with a shift in the degree of maintenance in the community: younger heritage speakers are not maintaining the pitch accent as well as the older speakers, even with (what seems to be) the same degree of educational training and social involvement in the Lithuanian community.
Nevertheless, many of the changes exhibited by the innovative heritage speakers are consistent with their having acquired the same phonological system. Here, Blevins’ (1993) analysis seems to predict the locus of variation: stems that are underlyingly accented per Blevins’ analysis always receive the accent in the heritage speakers’ production, while underlyingly accented suffixes (which can sometimes be subject to deletion rules in the standard language) are subject to more variation, occasionally surfacing with the accent in heritage speakers’ production where it is not expected in Standard Lithuanian. Suffixes which are not underlyingly accented—and therefore should never receive surface stress—are almost never accented among the heritage speakers. Where they do receive stress, this pattern is also consistent with speaker-based differences: the affected suffixes are those that would receive stress in the distinct Žemaitian system and are used by speakers with likely knowledge of this dialect, or the pattern occurs among speakers who are divergent in accent placement across the board, whose patterns are suggestive of the divergent attainment of the normative system, rather than the acquisition of a competing one.
The stress placement patterns exhibited by the heritage speakers are also compatible with Kushnir’s (2022) analysis, which argues that suffixes must be distinguished as either strongly or weakly accented (that is, there is a three-way distinction in underlying representations, instead of Blevins’ two-way distinction of accented or not accented). Kushnir’s account explains the difference in behavior between suffixes that are always underlyingly accented in Blevins’ analysis—such as inst.sg -u and loc.sg -e—but which have different surface realizations when they are combined with accented stems. Blevins resolves this issue by positing additional rules that either allow for the insertion or deletion of H-tones in different stem classes. Kushnir resolves this as a result of the interaction of three different possibilities for the underlying representations of stems and suffixes: Classes I and II stems are underlyingly strongly accented, while Classes III and IV are underlyingly weakly accented; suffixes like gen.sg -o are underlyingly unaccented, while inst.sg -u is weakly accented, and loc.sg -e is strongly accented. If we adopt Kushnir’s analysis, the changes in the heritage speaker systems can be understood as stemming from a conflation of these underlying representations, which would explain why the greatest divergence was observed in homophonous suffixes with variable surface behavior (conflation between nom.sg -a, strongly accented in this analysis, and inst.sg -a, which is weakly accented).
Another noteworthy finding of this study has been that tonic prominence does not generally occur on the expected mora throughout the nominal accentuation paradigms, even for the normative speaker. In the production task, none of the speakers consistently used tone to signal word-level prominence (although the normative speaker produced the expected patterns 58.5% of the time, compared to 34.1% for heritage speakers). Instead, the expected prominence was consistently signaled through changes in duration and vowel quality, suggesting that, at least for the heritage speakers, there has been a shift from a pitch-accent system to a stress-accent system. Although the heritage speakers (in particular, those in the younger generation) show signs of having incompletely acquired the stress patterns in the standard language, it is very likely that the shift to stress-accent was facilitated not only by English influence, but also the fact that these same cues are attested in the accent production of normative speakers, including the one recorded in this study. That is to say, when it comes to marking stress, the heritage speakers are relying on cues that have been shown to co-occur with pitch among normative speakers, and this shift may best be described as a convergence between their two linguistic systems.
These facts do cast doubt on entirely pitch-based phonological accounts of the nominal system—especially an account such as Blevins’, which strives to account for the data entirely through the use of tonal representations, ignoring the notion of stress entirely. Given that the correlates of accent that seem most consistently used and retained in the language are actually duration and vowel quality differences, tone may actually be epiphenomenal—that is, while stress is clearly phonemic, pitch is not.
This result is also entirely in keeping with the frequently observed tendency of heritage speakers to reduce ambiguity in both the phonological and morphosyntactic domains, in this case, moving to a more salient contrast (an entirely distinct vowel quality) compared to the expected contrast, which involves the presence of a high tone at different times in syllables bearing different accents, or a slightly longer duration for different morae in syllables of different accents. The choice of stress accent over other potential ways to resolve this issue of salience can likely be explained by the direct influence of English: English-like prosody was apparent not only in word-level accent, but also in sentence-level prosodic patterns, such as the use of uptalk by younger heritage speakers. However, the additional acoustic analysis of pitch accent across different speaker populations is sorely needed before we can develop a complete picture of Lithuanian pitch accent, how it may be changing in Lithuania, and how these nuances are reflected in heritage speech.

Funding

This research was conducted with the support of the Humanities Division at the University of Chicago.

Institutional Review Board Statement

The study was conducted according to the guidelines of the Declaration of Helsinki, and approved by the Institutional Review Board of the University of Chicago (protocol code IRB15-1816, approved on 1/8/2016).

Informed Consent Statement

Informed consent was obtained from all subjects involved in the study.

Data Availability Statement

The data presented in this study are available upon request from the corresponding author.

Acknowledgments

This work would not be possible without the enormous assistance of the following people: Daiva Litvinskaitė, who met with me to record the tokens used in the perception task and provided a great deal of useful information on how the Lithuanian language is taught to heritage speakers, Giedrius Subačius, who put me in touch with my first consultants for the study, and Yaroslav Gorbachov, who provided this non-speaker with very useful feedback on the grammaticality of the production tokens as well as materials on Lithuanian dialectology. Elena Vaikšnoraitė provided very helpful feedback on some of the data and identified several mistranslations in the write-up. Thanks are also due to Jeff Geiger for his patience in demonstrating some of the features of PsychoPy, and to Anastasia Giannakidou, for putting me in touch with the older community of heritage speakers, who added a dimension of variation to the research. Ming Xiang was also enormously helpful, providing feedback on both the experimental design and interpretation of the results. Finally, I am very grateful to John Goldsmith and Jason Riggle, who provided input on the framing of my research questions and on the analysis.

Conflicts of Interest

The author declares no conflicts of interest. The funders had no role in the design of the study; in the collection, analyses, or interpretation of data; in the writing of the manuscript; or in the decision to publish the results.

Appendix A. Interview Questions

  • What is your age and place of birth?
  • What do you consider your first language? Do you consider yourself equally bilingual in both English and Lithuanian, or do you have an easier time with one over the other? If there are differences, describe them—for example, is it easier to read in one language, or to talk about technical things such as your schoolwork in one of the languages?
  • Do you speak any other languages? If so, are you native or did you study them in school? For how long?
  • If you were born in Lithuania, please give the city/region where you mainly lived, and your age when you left Lithuania.
  • Where in Lithuania are your parents/grandparents from?
  • If you are 18 or older: With whom did you mainly speak Lithuanian while you were growing up (e.g., your parents, grandparents, other relatives, friends, etc.)?
  • Did you have any formal schooling in the Lithuanian language? If so, what sort of schooling, and for how many years (e.g., primary school in Lithuania, Lithuanian Saturday School in Chicago)?
  • How do you primarily use Lithuanian today? (e.g., speaking with relatives, reading, browsing the internet, watching movies, etc.)
  • Have you made any trips to Lithuania since emigrating (or at all, if you were not born in Lithuania)?

Appendix B. Perception Tokens

NumberItemCondition/TypeGloss
1káltasAccent/Acute‘chisel’
1 ka l tas Accent/Circumflex‘guilty’
2áukštasAccent/Acute‘high’
2aũkštasAccent/Circumflex‘floor/story’
3ántisAccent/Acute‘duck’
3añtisAccent/Circumflex‘bosom’
4kártisAccent/Acute‘pole; perch’
4 ka l tas Accent/Circumflex‘bitterness’
5šáukAccent/Acute‘Shoot!; Fire! (imp.)’
5šaũkAccent/Circumflex‘Cry!; Shout! (imp.)’
6kó:šeAccent/Acute‘he/she filtered’
6kõ:šeAccent/Circumflex‘porridge’
7áuštiAccent/Acute‘to cool; to chill (inf.)’
7aũštiAccent/Circumflex‘to come (as for the dawn) (inf.)’
8drímbaAccent/Acute‘lout; bumpkin’
8 dri m ba Accent/Circumflex‘fallen/falling’
9rú:gštįAccent/Acute‘acid’
9rũ:gštįAccent/Circumflex‘sourness’
10sú:risAccent/Acute‘cheese’
10sũ:risAccent/Circumflex‘saltiness’
11vóktiAccent/Acute‘to gather/collect; to clean (inf.)’
11võgtiAccent/Circumflex‘to steal (inf.)’
12lýgtisAccent/Acute‘bargain; haggle’
12lỹgtisAccent/Circumflex‘equations (acc.pl.)’
13ėdžiuAccent/Acute‘fodder; trough’
13ėdžiuAccent/Circumflex‘crib; manger’
14jósAccent/Acute‘(he/she/they) will ride’
14jõsAccent/Circumflex3sg.fem.gen pronoun ‘her’
15kąstiFiller‘bite (inf.)’
16kastiFiller‘dig (inf.)’
17gaidaFiller‘note; melody’
18klaidaFiller‘mistake’
19batasFiller‘boot; shoe’
20ratasFiller‘wheel’
21kojosFiller‘legs; feet’
22kovasFiller‘rook; March (month)’
23vorasFiller‘spider’
24storasFiller‘fat; heavy’
25rankaFiller‘hand; arm’
26penkiFiller‘five’
27gyvulysFiller‘animal; beast’
28pelenaiFiller‘ashes’
29keptiFiller‘to fry; cook; bake (inf.)’
30bijotiFiller‘to be afraid (inf.)’
31alusFiller‘beer’
32juodasFiller‘black’
33mėlynėFiller‘blueberry; bruise’
34krūmasFiller‘bush’
35chorasFiller‘choir’
36plunksnaFiller‘feather’
37siaubingasFiller‘gruesome; ghastly; shocking’
38nemandagusFiller‘impolite’
39pievaFiller‘meadow’
40padasFiller‘sole’
41žadasFiller‘promise’
42aukaFiller‘victim; sacrifice’
43šešėlisFiller‘shadow’
44ugnisFiller‘fire’
45dūmasFiller‘smoke’
46geltonasFiller‘yellow’

Appendix C. Baseline Test Tokens

ItemGloss
‘who/what (acc.)’
‘3sg masc. acc. pronoun’
tėti‘dad’
galėčiau‘be able/be allowed (1sg.sbjv.)’
ja‘3sg fem. inst. pronoun’
jau‘already’
nesvarbu‘it does not matter’
sakiau‘say/tell (1sg.pst.)’
tokio‘such/this (masc.gen.)’
diena‘day’
vardas‘name’
bent‘at least; at any rate’
žmona‘wife’
tavim‘you (sg.inst.)’
šią‘this’
tavęs‘2sg gen. pronoun’
kuri‘that which; whom’
irgi‘also; too; as well’
metų‘duration; years’
buvau‘be (1sg.pst.)’
pamatyti‘to see (inf.)’
atsiprašau‘excuse me; I’m sorry’
darbas‘work; job’
būk‘be (2sg.imp.)’
ten‘there’
šio‘hereof; thereof; this’
jūs‘2sg. pol./2pl. pronoun’
lyg‘like; as if; as though; as it were; quasi’
nei‘nor; as…as; like’
padėti‘to help; to lay; to contribute; to support; to succor (inf.)’
nenoriu‘I do not want’
nieko‘nothing’
kas‘who; what (nom.)’
geras‘good (masc.nom.)’
tam‘thereto’
gi‘well; yet’
save‘self’
pasakyk‘say/be able to say (2sg.imp.)’
štai‘that; here; there’
žinai‘know/be aware of (2sg.pres.)’
puiku‘That is great!/Excellent!’
geriau‘better/preferably’
trys‘three’
eik‘walk/go (2sg.imp.)’
gali‘be able to (2sg.pres./3sg/pl.pres.)’
taip‘yes’
jokių‘any; none’
prie‘to; near; next to’
rytoj‘tomorrow’
tik‘just, only, but, yet, ever, never’
gera‘good (fem.neut./nom.)’
vėl‘again’
jei‘if; supposing that’
turim‘we have’
beveik‘almost, nearly’
einam‘we go’
gal‘maybe; perhaps’
daug‘much; a lot’
šitą‘this’
supratau‘I understood’
negaliu‘I cannot’
tuo‘this/that (inst.dem.)’
jie‘they (masc.)’
prieš‘ago; before; against; prior to’
tėvas‘father’
jos‘they (nom.fem.); her (gen./poss. fem.)’
niekada‘never’
vyksta‘happenings; traveling; going on’
kol‘while; as long as; when; after; until’
klausyk‘Listen! (imp.)’
niekas‘nobody/nothing; anybody/anything’
sere‘sir’
turbūt‘probably; likely; presumedly’
čia‘here’
kartą‘once; one day’
vaikai‘children’
žiūrėk‘Look! (imp.)’
paskui‘then; subsequently’
gyvenimas‘life’
žino‘know (3sg/pl.pres.)’
‘for; behind; beyond; away’
atsitiko‘it happened’
žmonių‘man (gen.pl.)’
ar‘whether’
norėčiau‘I would like’
žmonės‘man/person (nom.pl./voc.pl.)’
visų‘all; common (everyone’s, belonging to everyone)’
dvi‘two’
atleisk‘forgive, release, exempt, dismiss (imp.)’
du‘two’
a‘Ah! (exclamation)’
arba‘or’
neturi‘not have (3sg/3pl.pres.)’
durys‘doors’
šis‘this’
gerai‘well; good (fem.sg.dat.)’
jai‘3sg.fem.dat. pronoun’
labai‘very; really; good (fem.sg.)’
mūsų‘our’
neturiu‘I do not have’
daugiau‘more’
mes‘we’
sveikas‘hello (lit. healthy)’
sunku‘difficult (neut.); heavy’
viską‘all (acc.)’
viskas‘all (nom.)’
nesu‘I am not’
šiek‘a little; some; a few’
sakau‘I say/tell’
kažką‘something’
tavo‘your (2sg.poss.)’
tave‘you (2sg.acc.)’
tau‘you (2sg.dat.)’
sau‘(for) myself; yourself; themselves’
tada‘then’
toliau‘away; further; then; hereafter’
labiau‘more; worse’
tiesiog‘straight; right; really; simply; real’
kada‘when’
tikiuosi‘I believe/hope’
dieną‘day (acc.)’
ateikCome! (2sg.imp.)
to‘that one (3sg.masc.)’
daro‘he/she does/makes/draws’
vienas‘one; alone; single’
žinote‘you know (2pl.pres.)’
velnias‘devil; demon’
viena‘one; alone’
tuoj‘at once; immediately’
nori‘you/he/she/they want(s) (2sg/3sg/3pl.pres.)’
pone‘sir (voc.)’
kažkas‘something/someone’
tos‘they/those’
į‘to; into’
šiandien‘today’
leisk‘Let! (2sg.imp.)’
net‘even; yet’
tarp‘between; among’
ta‘that (fem.)’
maniau‘I thought’
koks‘what; which; what kind’
darbą‘work; job (acc.)’
mus‘we (acc.)’
visas‘all; whole; entire; everyone’
gyvenimą‘life (acc.)’
‘from; of’
kita‘other; next’
pirmyn‘forward; ahead’
atgal‘back’
manai‘you believe/assume/think (2sg.pres.)’
pažiūrėk‘Look! (2sg.imp.)’
nebus‘he/she/they will not be (2sg/3sg/3pl.fut.)’
patinka‘he/she/they like(s) (2sg/3sg/3pl.pres.)’
esu‘I am’
manim‘1sg.inst. pronoun’
jo‘his (3sg.gen.masc.)’
tačiau‘but; however’
anksčiau‘previously; before; formerly’
daryti‘to do; to make; to draw (inf.)’
truputį‘a little; a bit; lightly’
pats‘husband; self (masc.)’
reiškia‘it means/signifies’
nereikia‘there is no need/it is not necessary’
jiems‘they (3pl.dat.)’
vėliau‘later’
reikia‘it is necessary to’
kalba‘language’
per‘through; within; per; during; over’
tuos‘those’
jums‘you (2pl.dat./inst.)’
‘that’
juk‘after all; is not it? (tag question)’
tai‘that; then; So that is…! (emph.)’
galiu‘I am able/I can’
apie‘about’
ponia‘ma’am’
galime‘we are able/we can’
kaip‘as; how’
yra‘He/she/it is; they are’
būti‘to be (inf.)’
vietą‘place (acc.)’
draugas‘male friend’
darbo‘work; job (gen.)’
žmogus‘man (acc.)’
kuris‘which’
bet‘but; yet; although’
mama‘mom’
tie‘those’
kartais‘sometimes’
pasakė‘He/she/it/they said/told’
jas‘they (3pl.acc.)’
ko‘what’
velnių‘hell/devils’
manęs‘1sg.gen. pronoun’
tiesa‘truth’
pati‘wife; self (fem.)’
matai‘you see (2sg.pres.)’
tu‘you (2sg.nom.)’
mums‘we (1pl.dat/inst.)’
norėjau‘I wanted’
‘from; of’
kam‘what for; for whom’
tikras‘real; certain; authentic’
vieta‘place (nom./inst.)’
tikriausiai‘probably’
prašau‘please’
‘not’
buvo‘he/she/it was; they were (3sg/3pl. past)’
puikiai‘perfectly’
kokia‘what/which one/what kind’
negali‘he/she/it/they cannot’
‘3pl.gen. pronoun’
žmones‘men (acc.)’
nesbecause; since’
noriu‘I want (1sg.pres.)’
jeigu‘if; supposing that’
kiek‘how much; how many; slightly; as far as’
laiko‘time (gen.)’
eiti‘to go (inf.)’
pasakyti‘to say; to tell (inf.)’

Appendix D. Production Task Sentences

Appendix D.1. Nominative

manThe man is tall.Vyras yra aukštas.
crowThe crow can fly.Varna gali skristi.
foxA fox hunts.Lapė medžioja.
wheelThe wheel is broken.Ratas yra sulūžęs.
armThe hand is injured or broken.Ranka yra sužeista arba sulaužyta.
windowThe window is open.Langas yra atidarytas.
headHis head is large.Jo galva yra didelė.
childThe child cries.Vaikas verkia.
speechMy language is difficult.Mano kalba yra sunki.

Appendix D.2. Genitive

manI wait for the man.Laukiu vyro.
crowThe crow’s wings are large.Varnos sparnai yra dideli.
foxDo not go near the fox.Neikite arti prie lapės.
wheelStand away from the wheel.Stovėti atokiau nuo rato.
armThere is a bee near your arm.Šalia jūsų rankos yra bitė.
windowShe is near the window.Ji yra šalia lango.
headA raven is flying about over my head.Virš mano galvos juodvarnis skraido.
childI took the child’s toy.Aš paėmiau vaiko žaislą.
speechThe grammar of the language is hard.Kalbos gramatika yra sunki.

Appendix D.3. Dative

manI’m writing a letter to the man.Rašau vyrui laišką.
crowWe give seeds to the crow.Mes duodame sėklas varnai.
foxIt is difficult for the fox to hunt.Lapei sunku medžioti.
wheelIt is difficult for the wheel to turn.Ratui sunku suktis.
arm“Concerto for the left hand” tells about Paul Wittgenstein.“Koncertas kairiajai rankai“ pasakoja apie Paulį Vitgenšteiną.
windowWindow latchlangui užsklęsti
headWarm for the feet, and for the head.Šilta kojoms ir galvai.
childI gave the child a candy.Daviau vaikui saldainį.
speechFurthermore, the language required both developers and readers.O kalbai reikalingi abudu: ir kūrėjai, ir skaitytojai.

Appendix D.4. Accusative

manThe dog bit the man.Šuo įkando vyrą.
crowI found a crow.Radau varną.
foxWe found a fox.Mes radome lapę.
wheelWe broke the wheel.Mes sulaužėme ratą.
armI injure my arm.Aš sužeidžiu savo ranką.
windowI open the window.Aš atidarau langą.
headI injure my head.Aš sužeidžiu savo galvą.
childI hug the child.Aš apkabinu vaiką.
speechI am studying a language.Aš mokausi kalbą.

Appendix D.5. Instrumental

manI do not agree to exchange places with a man more than a day.Nesutikčiau keistis vietomis su jokiu vyru nei vienai dienai.
crowWe flew by crow.Atvykome varna.
foxThe cub will become a fox.Jauniklis taps lape.
wheelHorsemen surrounded the hill in a tight circle.Vieni raiteliai glaudžiu ratu apsupo kalvą.
armA lazy man shows the way with his hand as well.Tinginys ir kelią ranka rodo.
windowA box with a window is perfect for this.Tam puikiai tinka dėžutė su langu.8
headThe football player hit the ball with his head.Futbolininkas galva smūgiavo kamuolį į vartus.
childI walk with a child.Vaikštau su vaiku.
speechI expressed the thought using language.Aš išreiškiau mintį kalba.

Appendix D.6. Locative

manPaul gives us qualities to look for in a man.Paulius mums pateikia savybes, kurių turėtume ieškoti vyre.
crowTake a list of lodging possibilities in Varna.Peržiūrėkite nakvynės pasiūlymų Varnoje sąrašą.
foxDo not seek a pet in a fox.Neįžvelk lapėje naminio gyvūnėlio.
wheelThe bird hides in the wheel.Paukštis slepiasi rate.
armThe firework exploded in his hand.Fejerverkas sprogo jo rankoje.
windowI see my reflection in the window.Matau savo atspindį lange.
headFor many years the howling in the mind was getting stronger and stronger.Jau daug metu staugimas galvoje, vis stiprėjo ir stiprėjo.
childCreativity is a good quality in a child.Kūrybiškumas yra gera savybė vaike.
speechInclusions from other languages in Vilnius Youth speech (article title)Kitų kalbų intarpai Vilniaus jaunimo kalboje

Appendix E. Full Accentuation Paradigms of Target Nouns in the Production Task

Class IClass IIClass IIIClass IV
mancrowfoxwheelarmwindowheadchildspeech
sgnomvíirasvárnalaáperaátasrankálángasgalvávaíkaskalbá
genvíirovárnoslaápeesraátorańkoslángogalvoósvaíkokalboós
datvíiruivárnailaápeiraátuirańkailánguigálvaivaíkuikaĺbai
accvíiraavárnaalaápææraátaarańkaalángaagálvaavaíkaakaĺbaa
instvíiruvárnalaapéraatúrankálángugálvavaikúkalbá
locvíirevárnojelaápeejeraatérańkojelangégalvojévaikékalbojé
vocvíirevárnalaáperaáterańkalángegálvavaíkekaĺba
plnomvíiraivárnoslaápeesraátairańkoslangaígálvosvaikaíkaĺbos
genvíiruvárnulaápiuraátuurańkuulanguúgalvuúvaikuúkaĺbuu
datvíiramsvárnomslaápeemsraátamsrańkomslangámsgalvómsvaikámskalbóms
accvíirusvárnaslaapésraatúsrankáslángusgálvasvaikúskalbás
instvíiraisvárnomislaápeemisraátaisrańkomislangaísgalvomísvaikaískalbomís
locvíiruosevárnoselaápeeseraátuoserańkoselanguoségalvosévaikuosékalbosé
vocvíiraivárnoslaápeesraátairańkoslangaígálvosvaikaíkaĺbos

Notes

1
The use of this term in contrast with “native speakers” is in itself controversial. I concur with a reviewer, as well as Polinsky (2018), that heritage speakers are indeed also native speakers with a distinct acquisition process. Therefore, I prefer the term “normative speaker” for the participant in the study who had a non-disrupted acquisition experience in Lithuania, who would likely be referred to as a “native speaker” in other work. I avoid terms such as “baseline speaker” or “standard speaker” since the normative speaker’s unique linguistic background is also relevant to consider as a variable in the present study, rather than a control.
2
There appears to be one study of the perception of Lithuanian intonation (Kazlauskienė and Dereškevičiūtė 2022), which examined phrasal intonation and tested whether speakers could identify the type of sentence, such as if it was a yes–no question, based on prosodic cues alone.
3
4
5
This is, in fact, a prediction Dogil and Möhler make: that the circumflex accent will be more prone to change than the acute accent, because its perceptual correlates are less clear.
6
An alternative explanation for stressed -ai may be the -o-stem nominative plural -, though dative -ai only occurs for -a- stem nouns.
7
It is worth noting, however, that some minimal pairs may have been played next to each other for some participants, due to the complete randomization of the tokens.
8
This sentence contained a typo in the stimulus materials, and has been excluded from analysis.

References

  1. Bakšienė, Rima. 2016. Vakarų Aukštaičių Kauniškių Priegaidės: Marijampolės šnekta. Vilnius: Lietuvių Kalbos Institutas. [Google Scholar]
  2. Balode, Laimute, and Axel Holvoet. 2001. The Lithuanian language and its dialects. In Circum-Baltic Languages: Volume 1: Past and Present. Edited by Östen Dahl and Maria Koptjevskaja-Tamm. Amsterdam: John Benjamins, pp. 41–79. [Google Scholar]
  3. Bikulčienė, Petronėlė. 1978. Skatinimo ir konstatavimo intonacijų gretinimas. In Kalbos Garsai ir Melodika. Vilnius: pp. 3–11. [Google Scholar]
  4. Bikulčienė, Petronėlė. 1982. Liepimo intonacijos. In Kalbos Garsai ir Prozodija. Vilnius: Vaizdas, pp. 3–15. [Google Scholar]
  5. Blevins, Juliette. 1993. A Tonal Analysis of Lithuanian Nominal Accent. Language 69: 237. [Google Scholar] [CrossRef]
  6. Chang, Charles B., and Yao Yao. 2016. Toward an understanding of heritage prosody: Acoustic and perceptual properties of tone produced by heritage, native, and second language speakers of Mandarin. Heritage Language Journal 13: 134–60. [Google Scholar] [CrossRef]
  7. Choi, Hye-Won. 2003. Paradigm leveling in American Korean. Language Research 39: 183–204. [Google Scholar]
  8. Cutler, Anne, and Takashi Otake. 1999. Pitch accent in spoken-word recognition in Japanese. Journal of the Acoustical Society of America 105: 1877–88. [Google Scholar] [CrossRef] [PubMed]
  9. Derksen, Rick. 1991. An introduction to the history of Lithuanian accentuation. Studies in West Slavic and Baltic Linguistics = Studies in Slavic and General Linguistics 16: 45–84. [Google Scholar]
  10. Dogil, Gregor, and Gregor Möhler. 1998. Phonetic invariance and phonological stability: Lithuanian pitch accents. Paper presented at the 5th International Conference on Spoken Language Processing (ICSLP), Sydney, Australia, November 30–December 4; pp. 75–86. [Google Scholar]
  11. Ekblom, Richard. 1922. Manuel Phonétique de la Langue Lituanienne. Stockholm: P. A. Norstedt. [Google Scholar]
  12. Halle, Morris, and Jean-Roger Vergnaud. 1987. An Essay on Stress. Cambridge, MA: MIT Press. [Google Scholar]
  13. Hualde, José I., and Tomas Riad. 2014. Word accent and intonation in Baltic. Speech Prosody 7: 668–72. [Google Scholar] [CrossRef]
  14. Kan, Rachel T. Y., and Monika S. Schmid. 2019. Development of tonal discrimination in young heritage speakers of Cantonese. Journal of Phonetics 73: 40–54. [Google Scholar] [CrossRef]
  15. Kardelis, Vytautas. 2017. Trys klausimai dėl lietuvių kalbos prozodinės sistemos. Lietuvių Kalba 11: 1–12. [Google Scholar]
  16. Kazlauskienė, Asta, and Regina Sabonytė. 2018. F0 in Lithuanian: The indicator of stress, syllable accent, or intonation? In Human Language Technologies: The Baltic Perspective. Edited by Kadri Muischnek and Kaili Müürisep. Amsterdam: IOS Press, pp. 55–62. [Google Scholar] [CrossRef]
  17. Kazlauskienė, Asta, and Sigita Dereškevičiūtė. 2022. Observations on basic intonational patterns of questions and statements in standard Lithuanian. Studies about Languages / Kalbų Studijos 40: 90–102. [Google Scholar] [CrossRef]
  18. Kelly, Niamh. 2013. An Acoustic Description of Lithuanian Pitch Accent. Presented at the Texas Linguistic Society, Austin. Available online: http://www.academia.edu/4958937/An_Acoustic_Description_of_Lithuanian_Pitch_Accent (accessed on 30 August 2024).
  19. Kenstowicz, Michael. 1970. On the Notation of Vowel Length in Lithuanian. Papers in Linguistics 3: 73–113. [Google Scholar] [CrossRef]
  20. Kim, Ji Young. 2016. The Perception and Production of Prominent in Spanish by Heritage Speakers and L2 Learners. UC dissertation, University of Illinois, Urbana, IL, USA. [Google Scholar]
  21. Kim, Ji Young. 2020. Discrepancy between heritage speakers’ use of suprasegmental cues in the perception and production of Spanish lexical stress. Bilingualism: Language and Cognition 23: 233–50. [Google Scholar] [CrossRef]
  22. Kushnir, Yuriy. 2022. Accent strength in Lithuanian: Evidence from the Saussurean Accent Shift. Glossa: A Journal of General Linguistics 7: 1–47. [Google Scholar] [CrossRef]
  23. Melnik-Leroy, Gerda Ana, Jolita Bernatavičienė, Gražina Korvel, Gedimas Navickas, Gintautas Tamulevičius, and Povilas Treigys. 2022. An overview of Lithuanian intonation: A linguistic and modelling perspective. Informatica 33: 795–832. [Google Scholar] [CrossRef]
  24. Otake, Takashi, and Anne Cutler. 1999. Perception of suprasegmental structure in a non-native dialect. Journal of Phonetics 27: 229–53. [Google Scholar] [CrossRef]
  25. Ou, Shu-chen. 2016. Perception of English lexical stress with a marked pitch accent by native speakers of Mandarin. Taiwan Journal of Linguistics 14: 1–31. [Google Scholar] [CrossRef]
  26. Paulauskienė, Aldona, and Laimutis Valeika. 1994. Modern Lithuanian: A Textbook for Foreign Students. Vilnius: Žodynas. [Google Scholar]
  27. Peña, Marcela, Janet F. Werker, and Ghislaine Dehaene-Lambertz. 2012. Earlier speech exposure does not accelerate speech acquisition. Journal of Neuroscience 32: 11159–63. [Google Scholar] [CrossRef] [PubMed]
  28. Piersarskas, Bronius, and Bronius Svecevičius. 1979. Lithuanian-English Dictionary. Vilnius: Vilnius Mokslas Publishers. [Google Scholar]
  29. Polinsky, Maria. 1996. Cross-linguistic parallels in language loss. Southwestern Journal of Linguistics 14: 1–44. [Google Scholar]
  30. Polinsky, Maria, and Olga Kagan. 2007. Heritage Languages: In the ‘Wild’ and in the Classroom. Language and Linguistics Compass 1: 368–95. [Google Scholar] [CrossRef]
  31. Polinsky, Maria. 2018. Heritage Languages and Their Speakers. Cambridge: Cambridge University Press. [Google Scholar]
  32. Robinson, David F. 1968. Some acoustic correlates of tone in Standard Lithuanian. The Slavic and East European Journal 12: 206–12. [Google Scholar] [CrossRef]
  33. Stang, Christian S. 1966. Vergleichende Grammatik der Baltischen Sprachen. Bergen: Universitetsforslaget. [Google Scholar]
  34. Švageris, Evaldas. 2015. Lietuvių ir Latvių Tarmių Monoftongų Priegaidžių Akustiniai Požymiai: Lyginamoji Analizė. Ph.D. dissertation, Vilniaus Universitetas, Vilnius, Lithuania. [Google Scholar]
  35. Tamošiūnaitė, Aurelija. 2013. Lithuanian Saturday Schools in Chicago: Student proficiency, generational shift, and community involvement. Heritage Language Journal 10: 108–33. [Google Scholar] [CrossRef]
  36. The Economist. 2018. Chicago is the Second-Biggest Lithuanian City. Available online: https://www.economist.com/united-states/2018/08/23/chicago-is-the-second-biggest-lithuanian-city (accessed on 23 August 2018).
  37. Thomason, Sarah J., and Terrence Kaufman. 1988. Language Contact, Creolization and Genetic Linguistics. Los Angeles: University of California Press. [Google Scholar]
  38. Utka, Andrius. 2009. Dažninis Rašytinės Lietuvių Kalbos Žodynas. Kaunas: Vytauto Didžiojo Universitetas. [Google Scholar]
  39. Valdés, Guadalupe. 2000. The teaching of heritage languages: An introduction for Slavic-teaching professionals. In The Learning and Teaching of Slavic Languages and Cultures. Edited by Olga Kagan and Benjamin Rifkin. Bloomington: Slavica, pp. 375–403. [Google Scholar]
  40. van der Hulst, Harry G. 2011. Pitch Accent Systems. In The Blackwell Companion to Phonology. Edited by Marc van Oostendorp, Colin J. Ewen, Elizabeth Hume and Keren Rice. Oxford: Wiley Blackwell, vol. II, pp. 1003–27. [Google Scholar] [CrossRef]
  41. Winford, Don. 2003. An Introduction to Contact Linguistics. Malden: Blackwell Publishing. [Google Scholar]
  42. Yang, Bei. 2015. Perception and Production of Mandarin Tones by Native Speakers and L2 Learners. Berlin: Springer. [Google Scholar]
  43. Young, Steven. 1991. The Prosodic Structure of Lithuanian. Lanham: University Press of America. [Google Scholar]
Figure 1. Overall correctness in the perception task by condition.
Figure 1. Overall correctness in the perception task by condition.
Languages 09 00296 g001
Figure 2. Average correctness of individual tokens in the perception task by frequency.
Figure 2. Average correctness of individual tokens in the perception task by frequency.
Languages 09 00296 g002
Figure 3. Contrasts and mergers of accented items in the perception task, by subject.
Figure 3. Contrasts and mergers of accented items in the perception task, by subject.
Languages 09 00296 g003
Figure 4. Distribution of merging likelihood.
Figure 4. Distribution of merging likelihood.
Languages 09 00296 g004
Figure 5. Pitch contour for galvoós ‘head-gen’: male heritage speaker vs. male normative speaker.
Figure 5. Pitch contour for galvoós ‘head-gen’: male heritage speaker vs. male normative speaker.
Languages 09 00296 g005
Figure 6. Uptalk in the target token, víiraa, in Šuo ikando víiraa, ‘The dog bit the man.’ (as produced by a younger female heritage speaker).
Figure 6. Uptalk in the target token, víiraa, in Šuo ikando víiraa, ‘The dog bit the man.’ (as produced by a younger female heritage speaker).
Languages 09 00296 g006
Figure 7. Local maximum in galvojé (as produced by the male normative speaker).
Figure 7. Local maximum in galvojé (as produced by the male normative speaker).
Languages 09 00296 g007
Figure 8. Accent minimal pair (galvá vs. gálva) produced by a younger heritage speaker.
Figure 8. Accent minimal pair (galvá vs. gálva) produced by a younger heritage speaker.
Languages 09 00296 g008
Table 1. Sociolinguistic background of participants.
Table 1. Sociolinguistic background of participants.
ParticipantSexAgeGroup and GenerationBirthplaceL1Emigration AgeDialectEducation
GK1Female23Younger HeritageLithuaniaLithuanian4ŽemaitianNone
ER2Female20Younger HeritageLithuaniaLithuanian3W. AukštaitianSaturday
SG3Male25Younger HeritageUSALithuanianNAW. AukštaitianSaturday
UJ4Female19Younger HeritageLithuaniaLithuanian7ŽemaitianPrimary
BK5Female18Younger HeritageUSALithuanianNAW. AukštaitianSaturday
EG6Female26Younger HeritageLithuaniaLithuanian12VilniusPrimary
GZ7Female23Younger HeritageLithuaniaLithuanian11W. AukštaitianPrimary
VA8Male53(Older) NormativeLithuaniaLithuanian35VilniusHigher Ed
ANB9Female49Older HeritageUSALithuanianNAW. AukštaitianSaturday
DL10Female50Older HeritageUSALithuanianNAW. AukštaitianSaturday
GL11Female55Older HeritageUSALithuanianNAŽemaitianSaturday
VC12Male49Older HeritageCanadaLithuanianNAW. AukštaitianSaturday
VV13Female48Older HeritageUSALithuanianNAW. AukštaitianSaturday
EN14Female55Older HeritageCanadaEnglishNAW. AukštaitianSaturday
Table 2. Independent variables used in the regression models.
Table 2. Independent variables used in the regression models.
VariableDescriptionTypeValues (or Range of Values)
AgeAge of subject at time of participationcontinuous18–55 (53)
BaselineScore on baseline testContinuous369–480 (480)
CategorySpeaker classificationCategoricalHeritage (normative)
ConditionExperimental condition of tested itemCategoricalFiller, accent
CorrectnessWhether the item was answered correctly by a given participantCategorical0, 1
DepartureAge at which subject left Lithuania (0 for American-born)Continuous0–12 (35)
DialectMain dialect used within subject’s familyCategoricalŽemaitian, West Aukštaitian, East Aukštaitian (East Aukštaitian)
EducationType of formal education in the Lithuanian languageCategoricalNone, primary school, Saturday School (higher education)
FrequencyFrequency of tested item in a sample of 1,000,000+ wordsContinuous1–1881
FrequencydiffDifference between the two frequency values of minimal pair itemsContinuous0–1871
GenerationGeneration to which subject belongsCategorical1960s/older heritage, 1990s/younger heritage (1990s/older normative)
ProductionSubject’s production of minimal pair itemsCategoricalMerger, no merger (merger)
Table 3. Summary of Logistic Regression Analysis for Average Correctness on Perception Task.
Table 3. Summary of Logistic Regression Analysis for Average Correctness on Perception Task.
Variable β SEzSig. (p)
Condition (Filler)1.670.1610.3p < 0.01
Frequency0.010.013.37p < 0.01
Table 4. Summary of linear regression analysis on reaction time.
Table 4. Summary of linear regression analysis on reaction time.
Variable β SEtSig. (p)
Condition (filler)−1.240.37−3.07p < 0.01
Baseline0.290.083.56p < 0.01
Education (primary school)−63.0617.33−3.64p < 0.01
Education (higher education)−330.6085.30−3.87p < 0.01
Departure9.552.483.86p < 0.01
Age−1.880.58−3.20p < 0.01
Correctness−1.620.39−4.17p < 0.01
Generation: younger heritage−57.7617.69−3.27p < 0.01
Production: no merger−26.007.50−3.59p < 0.01
Table 5. Probability of accent conflation by group.
Table 5. Probability of accent conflation by group.
Education *Community EngagementGenerationDialect
High66.9%Engaged64.9%Older normative71.4%West Aukštaitian69.9%
Low75.7%Not engaged72.3%Older heritage61.0%East Aukštaitian71.4%
Younger heritage75.9%Žemaitian64.9%
Asterisk (*) indicates that the data excludes the normative speaker.
Table 6. Nouns tested in the production task (with prominent mora indicated).
Table 6. Nouns tested in the production task (with prominent mora indicated).
Class IClass IIClass IIIClass IV
mancrowfoxwheelarmwindowheadchildspeech
nomvíirasvárnalaáperaátasrankálángasgalvávaíkaskalbá
genvíirovárnoslaápeesraátorańkoslángogalvoósvaíkokalboós
datvíiruivárnailaápeiraátuirańkailánguigálvaivaíkuikaĺbai
accvíiraavárnaalaápææraátaarańkaalángaagálvaavaíkaakaĺbaa
instvíiruvárnalaapéraatúrankálángugálvavaikúkalbá
locvíirevárnojelaápeejeraatérańkojelangégalvojévaikékalbojé
Table 7. Participants’ use of pitch to signal prominence in the position expected in the standard language.
Table 7. Participants’ use of pitch to signal prominence in the position expected in the standard language.
Speaker GroupPercentage of Tested Tokens with Expected Pitch Accent
Normative58.5%
Older heritage43.8%
Younger heritage31.4%
Table 8. Underlying representations, adapted from Blevins (1993).
Table 8. Underlying representations, adapted from Blevins (1993).
StemsCase Markers
-o- Stems-a- Stems-o- Stems-a- Stems
víir-várn--as (NOM), -ée (NOM)
lang-galv--o (GEN)-oós, -ees (GEN)
vaik -kalb--ui (DAT)-ai, -eei (DAT)
raát-laáp--aa (ACC)-aa, -ææ(ACC)
rańk- (INST), é (INST)
(LOC)-ojé, -eejé (LOC)
Table 9. Participants’ stress placement (using any phonetic cue, including pitch, duration, and changes to vowel quality).
Table 9. Participants’ stress placement (using any phonetic cue, including pitch, duration, and changes to vowel quality).
Participant (By Speaker Type)Percentage of Tested Tokens with the Expected Stress Placement
Normative94.3%
VA894.3%
Older heritage91.5%
ANB998.1%
DL1098.1%
EN1477.4%
GL1184.9%
VC1294.3%
VV1396.2%
Younger heritage79.6%
BK579.2%
EG696.2%
ER275.5%
GK166.7%
GZ784.9%
SG366.0%
UJ488.7%
All Participants85.7%
Disclaimer/Publisher’s Note: The statements, opinions and data contained in all publications are solely those of the individual author(s) and contributor(s) and not of MDPI and/or the editor(s). MDPI and/or the editor(s) disclaim responsibility for any injury to people or property resulting from any ideas, methods, instructions or products referred to in the content.

Share and Cite

MDPI and ACS Style

Kantarovich, J. Maintenance of Lexical Pitch Accent in Heritage Lithuanian: A Study of Perception and Production. Languages 2024, 9, 296. https://doi.org/10.3390/languages9090296

AMA Style

Kantarovich J. Maintenance of Lexical Pitch Accent in Heritage Lithuanian: A Study of Perception and Production. Languages. 2024; 9(9):296. https://doi.org/10.3390/languages9090296

Chicago/Turabian Style

Kantarovich, Jessica. 2024. "Maintenance of Lexical Pitch Accent in Heritage Lithuanian: A Study of Perception and Production" Languages 9, no. 9: 296. https://doi.org/10.3390/languages9090296

APA Style

Kantarovich, J. (2024). Maintenance of Lexical Pitch Accent in Heritage Lithuanian: A Study of Perception and Production. Languages, 9(9), 296. https://doi.org/10.3390/languages9090296

Article Metrics

Back to TopTop