The Role of (Re)Syllabification on Coarticulatory Nasalization: Aerodynamic Evidence from Spanish
Abstract
1. Introduction
2. Literature Review
2.1. Resyllabification Revisited
2.2. Syllable Structure and Vocalic Nasalization
3. Research Questions
- RQ 1: Are there differences between nasal airflow contours in the degree of phonetic implementation of carryover and anticipatory coarticulatory nasalization in Spanish?
- RQ 2: Does syllable structure play a role in the degree of anticipatory coarticulatory nasality in Spanish?
- RQ 3: Do vowels across word junctures (resyllabification) show parallel carryover nasalization patterns as those within word boundaries?
4. Methodology
4.1. Participants
4.2. Stimuli
4.3. Equipment
4.4. Data Collection and Procedure
4.5. Data Annotation
4.6. Data Analysis
- Optimal model for V1: Context * Vowel + Sex + s(NormTime, by = interaction(Context, Vowel)) + s(NormTime, by = Sex) + s(NormTime, Speaker, by = interaction(Context, Vowel), bs = "fs", m = 1) + s(Word, bs = "re")
- Optimal model for V2: Context + Sex + s(NormTime, by = Context) + s(NormTime, by = Sex) + s(NormTime, Speaker, by = Context, bs ="fs", m = 1) + s(Word, bs = "re")
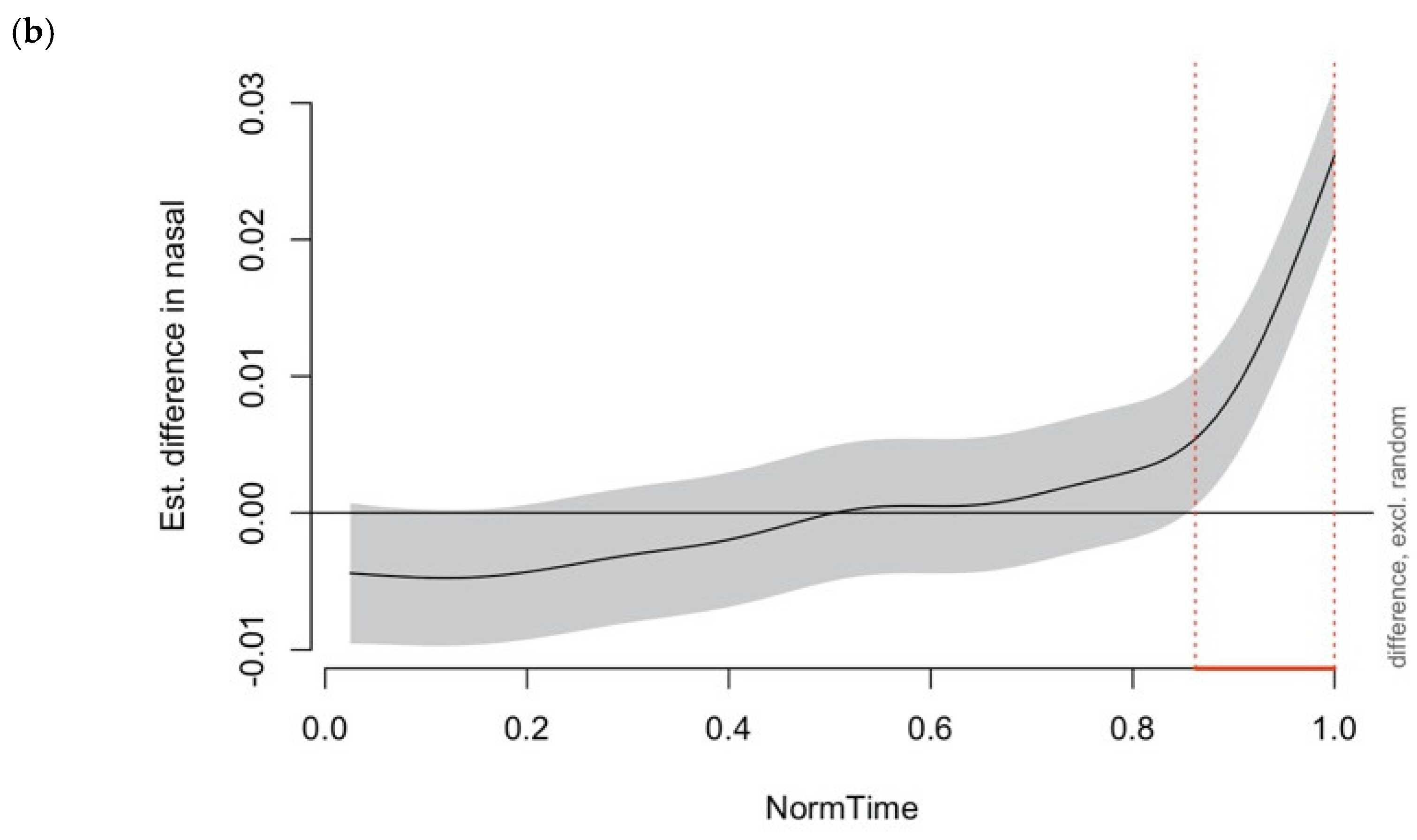
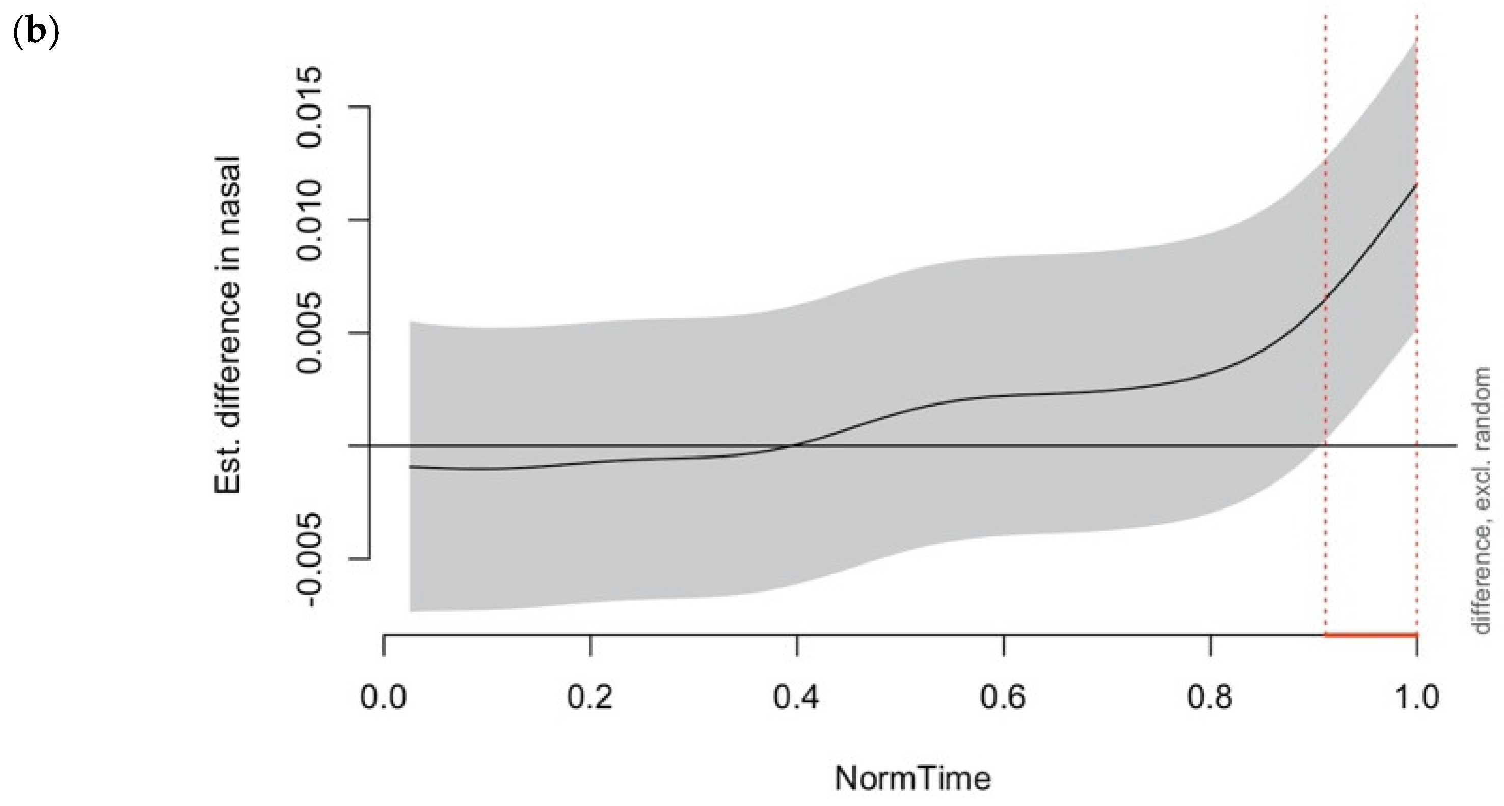
5. Results
5.1. Anticipatory Vowel Nasalization
5.2. Carryover Vowel Nasalization
6. Discussion
7. Conclusions
Funding
Institutional Review Board Statement
Informed Consent Statement
Data Availability Statement
Acknowledgments
Conflicts of Interest
Appendix A
| Model | AIC Score | Deviance Explained |
| Coarticulatory anticipatory nasalization (V1): | ||
| Context * Vowel + Sex + s(NormTime, by = interaction(Context, Vowel)) + s(NormTime, by = Sex) + s(NormTime, Speaker, by = interaction(Context, Vowel), bs = “fs”, m = 1) + s(Word, bs = “re”) | −127,117.7 | 72.9% |
| Context * Vowel + s(NormTime, by = interaction(Context, Vowel)) + s(NormTime, Speaker, by = interaction(Context, Vowel), bs = “fs”, m = 1) + s(Word, bs = “re”) | −114,413.8 | 67% |
| Coarticulatory carryover nasalization (V2): | ||
| Context + Sex + s(NormTime, by = Context) + s(NormTime, by = Sex) + s(NormTime, Speaker, by = Context, bs = “fs”, m = 1) + s(Word, bs = “re”) | −86,151.6 | 80.7% |
| Context + s(NormTime, by = Context) + s(NormTime, Speaker, by = Context, bs = “fs”, m = 1) + s(Word, bs = “re”) | −77,586.6 | 78.5% |
Appendix B
- Model output for anticipatory vowel nasalization (V1)
- Formula: nasal ~ Context * Vowel + Sex + s(NormTime, by = interaction(Context, Vowel)) + s(NormTime, by = Sex) + s(NormTime, Speaker, by = interaction(Context, Vowel), bs = “fs”, m = 1) + s(Word, bs = “re”)
| Parametric Coefficients: | Estimate | SE | t-Value | p-Value |
| (Intercept) | 0.0009 | 0.002 | 0.502 | 0.61580 |
| Context CVN# | 0.002 | 0.003 | 0.735 | 0.46240 |
| Context CV.N#V | 0.0004 | 0.002 | 0.174 | 0.86202 |
| Context CVCV | 0.0007 | 0.002 | 0.378 | 0.70522 |
| Vowel e | 0.00006 | 0.002 | 0.027 | 0.97817 |
| Vowel i | 0.0008 | 0.002 | 0.321 | 0.74846 |
| Vowel o | 0.00000 | 0.003 | 0.000 | 0.99962 |
| Vowel u | 0.002 | 0.003 | 0.494 | 0.62124 |
| Sex Male | −0.002 | 0.001 | −3.128 | <0.01 |
| Context CVN# x Vowel e | −0.002 | 0.003 | −0.667 | 0.50486 |
| Context CV.N#V x Vowel e | 0.0031 | 0.004 | 0.843 | 0.39919 |
| Context CVCV x Vowel e | 0.0003 | 0.002 | 0.121 | 0.90404 |
| Context CVN# x Vowel i | 0.0003 | 0.004 | 0.073 | 0.94213 |
| Context CV.N#V x Vowel i | 0.0001 | 0.003 | 0.034 | 0.97307 |
| Context CVCV x Vowel i | −0.00008 | 0.002 | −0.036 | 0.97096 |
| Context CVN# x Vowel o | −0.0024 | 0.004 | −0.564 | 0.57271 |
| Context CV.N#V x Vowel o | −0.0003 | 0.004 | −0.075 | 0.93988 |
| Context CVCV x Vowel o | 0.0007 | 0.003 | 0.227 | 0.82066 |
| Context CVN# x Vowel u | −0.0009 | 0.005 | −0.183 | 0.85497 |
| Context CV.N#V x Vowel u | 0.0008 | 0.004 | 0.191 | 0.84872 |
| Context CVCV x Vowel u | −0.0005 | 0.003 | −0.170 | 0.86534 |
| Deviance explained = 72.9%. |
Appendix C
- Model output for carryover vowel nasalization (V2)
- Formula: nasal ~ Context + Sex + s(NormTime, by = Context) + s(NormTime, by = Sex) + s(NormTime, Speaker, by = Context, bs = “fs”, m = 1) + s(Word, bs = “re”)
| Parametric Coefficients: | Estimate | SE | t-Value | p-Value |
| (Intercept) | 0.017 | 0.005 | 3.148 | <0.01 |
| Context CVCV | −0.0149 | 0.005 | −2.781 | <0.01 |
| Context CVN#V | 0.0018 | 0.007 | 0.239 | 0.81 |
| Sex Male | −0.0008 | 0.001 | −0.563 | 0.57 |
| Deviance explained = 80.7%. |
| 1 | IRB Protocol Number: 20071, University of Illinois Urbana-Champaign. |
| 2 | It is worth mentioning that plot_diff() curve differences can only conduct pair-wise comparisons. |
| 3 | The colors in this palette are color vision deficiency-friendly in the original version in color. |
| 4 | A remark should be made about the visible “negative” airflow results. As Beristain (2023a) pointed out, the equipment’s built-in electric voltage and DC offset could explain such results, or there might be some phonetic cue involving negative airflow and vocalic nasalization in Spanish, as such results only appeared in Spanish but not in other languages that were originally analyzed by Beristain (2022). Considering that the negative values are generally a part of the confidence intervals, it should not pose any significant alterations in the current results. |
| 5 | Using vowels with different height and a relatively small corpus may have contributed to a somewhat large standard error. |
References
- Akaike, Hirotsugu. 1974. A new look at the statistical model identification. IEEE Transactions on Automatic Control 19: 716–23. [Google Scholar] [CrossRef]
- Beristain, Ander. 2022. The Acquisition of Acoustic and Aerodynamic Patterns of Coarticulation in Second and Heritage Languages. Ph.D. thesis, University of Illinois Urbana-Champaign, Champaign, IL, USA. [Google Scholar]
- Beristain, Ander. 2023a. Gestural timing patterns of nasality in highly proficient Spanish learners of English: Aerodynamic evidence. Language and Speech. [Google Scholar] [CrossRef] [PubMed]
- Beristain, Ander. 2023b. An airflow analysis of Spanish and English anticipatory vowel nasalization among heritage bilinguals. Languages 8: 205. [Google Scholar] [CrossRef]
- BIOPAC Hardware Systems, Inc. 2020. AcqKnowledge Data Acquisition and Analysis Software. version 3.9.1. Goleta: BIOPAC Hardware Systems, Inc. [Google Scholar]
- Bissiri, Maria P., Maria-Luisa García-Lecumberri, Martin Cooke, and Jan Volín. 2011. The role of word-initial glottal stops in recognizing English words. Paper presented at Interspeech 2011, Florence, Italy, August 27–31. [Google Scholar]
- Boersma, Paul, and David Weenink. 2020. Praat: Doing Phonetics by Computer [Computer Program], Version 6.1.10. Available online: http://www.praat.org/ (accessed on 25 March 2020).
- Bongiovanni, Silvina. 2021. Acoustic investigation of anticipatory vowel nasalization in a Caribbean and a non-Caribbean dialect of Spanish. Linguistics Vanguard 7: 1–11. [Google Scholar] [CrossRef]
- Bradley, Travis G., Kimberly Morris, and Lillian Jones. 2022. Incomplete resyllabification and ambisyllabic gestural coupling in Spanish. Loquens 9: e094. [Google Scholar] [CrossRef]
- Brown, Earl K. 2008. A Usage-Based Account of Syllable- and Word-Final /s/ Reduction in Four Dialects of Spanish. Ph.D. thesis, The University of New Mexico, Albuquerque, NM, USA. [Google Scholar]
- Byrd, Dani, Stephen Tobin, Erik Bresch, and Shrikanth Narayanan. 2009. Timing effects of syllable structure and stress on nasals: A real-time MRI examination. Journal of Phonetics 37: 97–110. [Google Scholar] [CrossRef]
- Carignan, Christopher. 2021. A practical method of estimating the time-varying degree of vowel nasalization from acoustic features. Journal of the Acoustical Society of America 149: 911–22. [Google Scholar] [CrossRef] [PubMed]
- Clumeck, Harold. 1976. Patterns of soft palate movements in six languages. Journal of Phonetics 4: 337–51. [Google Scholar] [CrossRef]
- Cohn, Abigail C. 1990. Phonetic and phonological rules of nasalization. UCLA Working Papers 76. Available online: https://escholarship.org/uc/item/1xq3d5hr (accessed on 20 December 2023).
- Cohn, Abigail C. 1993. Nasalisation in English: Phonology or phonetics. Phonology 10: 43–81. [Google Scholar] [CrossRef]
- Colina, Sonia. 1995. A Constraint-Based Analysis of Syllabification in Spanish, Catalan, and Galician. Ph.D. dissertation, University of Illinois at Urbana-Champaign, Champaign, IL, USA. [Google Scholar]
- Colina, Sonia. 1997. Identity constraints and Spanish resyllabification. Lingua 103: 1–23. [Google Scholar] [CrossRef]
- Colina, Sonia. 2002. Interdialectal variation in Spanish /s/ aspiration: The role of prosodic structure and output-to-output constraints. In Structure, Meaning, and Acquisition in Spanish: Papers from the 4th Hispanic Linguistics Symposium. Edited by James F. Lee, Kimberly L. Geeslin and J. Clancy Clements. Somervilla: Cascadilla Press, pp. 230–43. [Google Scholar]
- Colina, Sonia. 2009. Spanish Phonology: A Syllabic Perspective. Washington, DC: Georgetown University Press. [Google Scholar]
- Delvaux, Véronique, Didier Demolin, Bernard Harmegnies, and Alain Soquet. 2009. The aerodynamics of nasalization in French. Journal of Phonetics 36: 578–606. [Google Scholar] [CrossRef]
- Diakoumakou, Evanthia. 2005. Coarticulatory nasalization in modern Greek: Evidence for a link between coarticulation and syllable structure. Journal of the Acoustical Society of America 117: 2459. [Google Scholar] [CrossRef]
- Diakoumakou, Evanthia. 2009. Coarticulatory Vowel Nasalization: Evidence from Modern Greek. Riga: VDM Verlag. [Google Scholar]
- Durand, Jacques, Bernard Laks, Basilio Calderone, and Atanas Tchobanov. 2011. Que savons-nous de la liaison aujourd’hui? [What do we know today about liaison]? Langue Française 169: 103–35. [Google Scholar] [CrossRef]
- Goodin-Mayeda, C. Elizabeth. 2016. Nasals and Nasalization in Spanish and Portuguese: Perception, Phonetics, and Phonology. Amsterdam: John Benjamins. [Google Scholar] [CrossRef]
- Hajek, John. 1997. Universals of Sound Change in Nasalization. Hoboken: Wiley-Blackwell. [Google Scholar]
- Harris, James. 1983. Syllable Structure and Stress in Spanish: A Nonlinear Analysis. Cambridge, MA: MIT Press. [Google Scholar]
- Harris, James, and Ellen M. Kaisse. 1999. Palatal vowels, glides and obstruents in Argentinian Spanish. Phonology 19: 117–90. [Google Scholar] [CrossRef]
- Henderson, Janette B. 1984. Velopharyngeal Function in Oral and Nasal Vowels. Ph.D. thesis, University of Connecticut, Storrs, CT, USA. [Google Scholar]
- Horiguchi, Satoshi, and Fredericka Bell-Berti. 1987. The Velotrace: A device for monitoring velar position. Cleft Palate Journal 24: 104–11. [Google Scholar] [PubMed]
- Hualde, José I. 2014. Los Sonidos del Español [The Sounds of Spanish]. Cambridge: Cambridge University Press. [Google Scholar] [CrossRef]
- Hualde, José I., and Jon Ortiz de Urbina. 2003. A Grammar of Basque. Berlin: De Gruyter Mouton. [Google Scholar] [CrossRef]
- Hualde, José I., and Pilar Prieto. 2014. Lenition of sibilants in Catalan and Spanish. Phonetica 71: 109–27. [Google Scholar] [CrossRef] [PubMed]
- Huffman, Marie K., and Rena A. Krakow, eds. 1993. Nasals, Nasalization, and the Velum (Phonetics and Phonology V). San Diego: Academic Press. [Google Scholar] [CrossRef]
- Jiménez-Bravo, Miguel, and José María Lahoz-Bengoechea. 2023. Durational cues to resyllabification in Spanish. Loquens 10: e099. [Google Scholar] [CrossRef]
- Kahn, Daniel. 1976. Syllable-Based Generalizations in English Phonology. Ph.D. thesis, Massachusetts Institute of Technology, Cambridge, MA, USA. [Google Scholar]
- Kaisse, Ellen M. 1999. Resyllabification precedes all segmental rules. In Formal Perspectives on Romance Linguistics: Selected Papers from the 28th Linguistic Symposium on Romance Languages. Edited by Jean-Marc Authier, Barbara E. Bullock and Lisa A. Reed. Amsterdam: John Benjamins, pp. 197–210. [Google Scholar]
- Kochetov, Alexei. 2020. Research methods in articulatory phonetics II: Studying other gestures and recent trends. Language and Linguistics Compass 14: e12371. [Google Scholar] [CrossRef]
- Kohler, Klaus J. 1994. Glottal stops and glottalization in German. Phonetica 51: 38–51. [Google Scholar] [CrossRef]
- Krakow, Rena A. 1989. The Articulatory Organization of Syllables: A Kinematic Analysis of Labial and Velar Gestures. Ph.D. thesis, Yale University, New Haven, CT, USA. [Google Scholar]
- Krakow, Rena A. 1993. Nonsegmental influences on velum movement patterns: Syllables, sentences, stress, and speaking rate. In Nasals, Nasalization, and the Velum. Edited by Marie K. Huffman and Rena A. Krakow. San Diego: Academic Press, pp. 87–116. [Google Scholar]
- Krakow, Rena A. 1999. Articulatory organization of syllables: A review. Journal of Phonetics 27: 23–54. [Google Scholar] [CrossRef]
- Lahoz-Bengoechea, José María, and Miguel Jiménez-Bravo. Forthcoming. Mismo grado de nasalización en VN# y V#N en español [Same degree of nasalization in VN# and V#N in Spanish]. In Proceedings from the 9th International Conference on Experimental Phonetics (CIFE). Vigo: Universidad de Vigo, in press.
- Martínez, Ruth M. 2021. The Bidirectional Acquisition of Oral and Nasal Gestural Timing in L2 Brazilian Portuguese and Rioplatense Spanish Nasal Structures. Ph.D. thesis, University of Toronto, Toronto, ON, USA. [Google Scholar]
- MATLAB. 2020. 9.8.0.1323502. R2020a. Natick: The MathWorks Inc. [Google Scholar]
- Passino, Diana, Joaquim Brandão de Carvalho, and Tobias Scheer. 2022. Syllable structure and (re)syllabification. In Manual of Romance Phonetics and Phonology. Edited by Christoph Gabriel, Randall Gess and Trudel Meisenburg. Berlin and Boston: De Gruyter, pp. 89–126. [Google Scholar] [CrossRef]
- R Core Team. 2020. R: A Language for Statistical Computing. Available online: https://www.R-project.org/ (accessed on 15 January 2024).
- R Studio Team. 2020. RStudio: Integrated Development for R. Available online: http://www.rstudio.com/ (accessed on 15 January 2024).
- Robinson, Kimball. 2012. The dialectology of syllabification: A review of variation in the Ecuadorian Highlands. Romance Philology 66: 115–45. [Google Scholar] [CrossRef]
- Sampson, Rodney. 1999. Nasal Vowel Evolution in Romance. Oxford: Oxford University Press. [Google Scholar]
- Sauzet, Patrick. 2012. Occitan plurals. A case for a morpheme-based morphology. In Inflection and Word Formation in Romance Languages. Edited by Sascha Gaglia and Marc-Olivier Hinzelin. Amsterdam and Philadelphia: Benjamins, pp. 179–200. [Google Scholar]
- Shosted, Ryan K. 2009. The Aeroacoustics of Nasalized Fricatives: An Instrumental Study in Phonetic Typology. Saarbrucken: VDM Verlag. [Google Scholar]
- Shosted, Ryan K., Christopher Carignan, and Panying Rong. 2012. Managing the distinctiveness of phonemic nasal vowels: Articulatory evidence from Hindi. The Journal of Acoustical Society of America 131: 455–65. [Google Scholar] [CrossRef] [PubMed]
- Solé, Maria-Josep. 1992. Phonetic and phonological processes: The case of nasalization. Language and Speech 35: 29–43. [Google Scholar] [CrossRef]
- Stoakes, Hywel M., Janet M. Fletcher, and Andrew R. Butcher. 2020. Nasal coarticulation in Bininj Kunwok: An aerodynamic analysis. Journal of the International Phonetic Association 50: 305–32. [Google Scholar] [CrossRef]
- Strycharczuk, Patricia, and Martin Kohlberger. 2016. Resyllabification reconsidered: On the durational properties of word-final /s/ in Spanish. Journal of the Association for Laboratory Phonology 7: 3. [Google Scholar] [CrossRef]
- Torreira, Francisco, and Mirjam Ernestus. 2012. Weakening of intervocalic /s/ in the Nijmegen Corpus of Casual Spanish. Phonetica 69: 124–48. [Google Scholar] [CrossRef]
- Van Rij, Jacolien, Martijn Wieling, R. Harald Baayen, and Hedderik Van Rij. 2017. Itsadug: Interpreting Time Series and Autocorrelated Data Using GAMMs (R Package Version 2.3). Available online: https://cran.r-project.org/web/packages/itsadug/index.html (accessed on 15 January 2024).
- Wood, Simon N. 2011. Fast stable restricted maximum likelihood and marginal likelihood estimation of semiparametric generalized linear models. Journal of the Royal Statistical Society (B) 73: 3–36. [Google Scholar] [CrossRef]
- Zuazo, Koldo. 2014. Euskalkiak [The Basque Dialects]. Donostia: Elkar. [Google Scholar]



















| CV.CV (Oral Control) | CVN# (Tautosyllabic) | CV.NV# (Heterosyllabic) | CVN#V (Resyllabification) | |
|---|---|---|---|---|
| /i/ | tita ‘aunt’ | patín ‘rollerblade’ | patina ‘s/he rollerblades’ | patín atado ‘tied rollerblade’ |
| /e/ | cateto ‘ignorant’ | ten ‘you have, imp.’ | tena ‘timber’ | ten atado ‘have (it) tied’ |
| /a/ | tato ‘little brother’ | tan ‘so’ | gitana ‘gypsy’ | tan atado ‘so tied’ |
| /o/ | pitote ‘fuss’ | botón ‘button’ | botona ‘s/he buttons’ | botón atado ‘tied button’ |
| /u/ | batuta ‘baton’ | atún ‘tuna’ | gatuna ‘cat-like’ | atún atado ‘tied tuna’ |
| Number | |
|---|---|
| Anticipatory nasalization (V1) | 9 speakers × 5 vowel conditions [i, e, a, o, u] × 40 time-points × 4 syllable conditions [CVCV; CVN#; CV.NV#; CV.N#V] × 2 repetitions × = 14,400 |
| Carryover nasalization (V2) | 9 speakers × 5 vowel conditions [i, e, a, o, u] × 40 time-points × 3 syllable conditions [CVCV; CV.NV#; CV.N#V] × 2 repetitions = 10,800 |
| Total: 25,200 datapoints |
| Onset of Nasalization | |
|---|---|
| CVN# (tautosyllabic) | 0.86 |
| CV.NV# (heterosyllabic) | 0.92 |
| CV.N#V (resyllabification) | 0.89 |
| Offset of Nasalization | |
|---|---|
| CV.NV# (heterosyllabic) | 0.51 |
| CV.N#V (resyllabification) | 0.75 |
Disclaimer/Publisher’s Note: The statements, opinions and data contained in all publications are solely those of the individual author(s) and contributor(s) and not of MDPI and/or the editor(s). MDPI and/or the editor(s) disclaim responsibility for any injury to people or property resulting from any ideas, methods, instructions or products referred to in the content. |
© 2024 by the author. Licensee MDPI, Basel, Switzerland. This article is an open access article distributed under the terms and conditions of the Creative Commons Attribution (CC BY) license (https://creativecommons.org/licenses/by/4.0/).
Share and Cite
Beristain, A. The Role of (Re)Syllabification on Coarticulatory Nasalization: Aerodynamic Evidence from Spanish. Languages 2024, 9, 219. https://doi.org/10.3390/languages9060219
Beristain A. The Role of (Re)Syllabification on Coarticulatory Nasalization: Aerodynamic Evidence from Spanish. Languages. 2024; 9(6):219. https://doi.org/10.3390/languages9060219
Chicago/Turabian StyleBeristain, Ander. 2024. "The Role of (Re)Syllabification on Coarticulatory Nasalization: Aerodynamic Evidence from Spanish" Languages 9, no. 6: 219. https://doi.org/10.3390/languages9060219
APA StyleBeristain, A. (2024). The Role of (Re)Syllabification on Coarticulatory Nasalization: Aerodynamic Evidence from Spanish. Languages, 9(6), 219. https://doi.org/10.3390/languages9060219
