Next Article in Journal
Pauses and Parsing: Testing the Role of Prosodic Chunking in Sentence Processing
Previous Article in Journal
Disfluencies Revisited—Are They Speaker-Specific?
 
 
Font Type:
Arial Georgia Verdana
Font Size:
Aa Aa Aa
Line Spacing:
Column Width:
Background:
Article

Acquiring the Dutch Plural in a Bilingual Setting: Investigating the Effects of Language Dominance, Overlap, and Variability

Faculty of Humanities, University of Amsterdam, 1012 VB Amsterdam, The Netherlands
*
Author to whom correspondence should be addressed.
Languages 2023, 8(3), 156; https://doi.org/10.3390/languages8030156
Submission received: 19 March 2023 / Revised: 19 June 2023 / Accepted: 20 June 2023 / Published: 26 June 2023

Abstract

In this study, we aimed to deepen the understanding of the circumstances under which crosslinguistic influence occurs, by focusing on the acquisition of the Dutch plural by two- and three-year old children who attend bilingual Dutch-English daycare. In doing so, we explored the roles of variability, overlap and language dominance as these are all factors that have been linked to the occurrence of crosslinguistic influence in studies on bilingual language acquisition and language contact. We investigated the expectation that young children who are exposed to English might show a stronger preference for -s pluralization in Dutch, because of the partial overlap in Dutch and English pluralization. In total, a group of 95 children that grew up with only Dutch and/or English at home and attended bilingual (Dutch-English) daycare (51 females, 44 males, mean age = 3;6 years) participated in an elicited production task. Results showed that no clear-cut evidence for unidirectional crosslinguistic influence from English to Dutch could be found in the form of -s overgeneralizations. However, we did find evidence for the role of variability in this domain of language, since children made more overgeneralizations when rhyme and sonorancy contradicted. Also, English exposure seemed to facilitate correct production of the -s affix, and children who overgeneralized the -s affix were mostly children that were exposed to the English language at home, suggesting that language dominance does play a role in preference for the -s affix.

1. Introduction

When two languages meet, they can be affected by each other’s presence. This has been established in language contact studies (e.g., Muysken 2013), but also in bilingual acquisition studies. Previous studies on crosslinguistic influence have shown that the extent to which one language can influence the other can vary from child to child (Mykhaylyk and Ytterstad 2017), and that the direction of the crosslinguistic influence can also differ. Crosslinguistic influence can take place unidirectionally (Argyri and Sorace 2007) or bidirectionally (van Dijk et al. 2021). These mixed results fit well into the so-called scenario approach: in his study on language contact, Muysken (2013, p. 710) stated that languages interact in different ways depending on various factors related to the social setting of the contact (Van Coetsem 1988; Thomason and Kaufman 1988). This means that whether crosslinguistic influence happens (and in what direction) is always dependent on the circumstances under which the contact occurs. Muysken (2013), therefore, formulated various factors that could possibly have an impact on the occurrence and direction of crosslinguistic influence, such as prestige and status of the two languages involved, contact factors (number of speakers and type of network), and similarity between languages.
This study aims to further identify circumstances in which languages might or might not affect each other by bringing together two research traditions. This will be achieved by investigating crosslinguistic influence in relation to a factor often researched in acquisition studies (language dominance) as well as factors studied in language contact studies (variability and overlap). More specifically, we will examine the role of language dominance, variability, and overlap in one particular scenario: the acquisition of plural marking in children who attend Dutch–English bilingual day care. The acquisition of the Dutch plural could be argued to be influenced by the presence of English in a child’s input due to partial overlap in plural marking between Dutch and English and variability in the plural marking of Dutch. The setting of bilingual Dutch–English day care centers makes for an interesting example since it is a situation of prolonged shared bilingualism involving two- and three-year-old children and two highly prestigious languages. According to Muysken’s (2013) scenario approach, these are social factors that could facilitate crosslinguistic influence.
By acknowledging the social setting in which this study takes place and bringing together factors stemming from these different research traditions, we hope to shed more light on the question of when signs of crosslinguistic influence can be spotted (or not). In the remainder of this paper, we will discuss the role of language dominance, variability, and overlap in crosslinguistic influence, as these are crucial to our study.

1.1. Language Dominance

In bilingual children, one language is often more dominant than the other. Grosjean (1982) notes that there are hardly any bilingual children that do not have one dominant language: “balanced bilinguals, those who are equally fluent in both languages are probably the exception and not the norm” (p. 235). What makes one language the dominant language has been defined and measured in different ways. Whereas some studies have defined the dominant language as being the language a child is most proficient in (Unsworth et al. 2018), others use the amount of language exposure to assess children’s language dominance (Argyri and Sorace 2007), as both are related to each other.
Regardless of language dominance being defined as the most proficient language or as the language with the greatest exposure, bilingual acquisition studies have found that language dominance can sometimes also determine the presence, strength, and direction of crosslinguistic influence. It can therefore play a prominent role (van Dijk et al. 2021). For example, previous studies have found that the weaker the language, the stronger the effect of crosslinguistic influence on it (e.g., Foroodi-Nejad and Paradis 2009; Kidd et al. 2015; Nicoladis 2006) and various studies have found that crosslinguistic influence is likely to occur from children’s most dominant language to their non-dominant language (e.g., Argyri and Sorace 2007; Döpke 1998; Nicoladis 1999; Paradis 2001; Yip and Matthews 2000, 2007). Still, the exact relationship between language dominance and occurrence of crosslinguistic influence and whether it can serve as an explanatory factor for the presence (or absence) of crosslinguistic influence remains undecided as other studies failed to find support for language dominance effects (e.g., Foroodi-Nejad and Paradis 2009; Hulk and Müller 2000; Müller 1998; Müller and Hulk 2001; Nicoladis 1999, 2002).

1.2. Variability and Overlap

In studies on bilingual (heritage) acquisition and language contact, it is believed that areas of language in which there is variability (alternation between structures) in a language, or similarity or overlap between the two languages, are particularly vulnerable to crosslinguistic influence For example, variability lies at the heart of the so-called Vulnerability Hypothesis, posed by de Prada Pérez (2019). This hypothesis states that variable phenomena are more vulnerable to crosslinguistic influence than categorial phenomena since variability is particularly difficult for bilingual speakers to acquire. Variable phenomena are language structures where a particular meaning can be expressed by different forms (e.g., Dutch pluralization, which can be formed by either adding -s or -en to the word stem), while categorical phenomena only have one form to express a particular meaning (e.g., English standard pluralization which is formed by adding -s to the word stem). According to de Prada Pérez (2019), language structures can be placed on a continuum ranging from categorical to variable. On the categorical end of the spectrum, phenomena are placed that only have one form. On the variable end of the spectrum, phenomena are placed that have two forms that are both as frequently used. Language structures that have two options, with one option being more frequent than the other, fall somewhere in between on this spectrum, making these structures not entirely variable or categorical. According to the Vulnerability Hypothesis, distributions on the variable end of the continuum will be more likely to be subjected to crosslinguistic influence than distributions on the categorial end of the continuum. The rationale is that if a linguistic structure has no rival, it is more firmly ingrained in the speaker’s repertoire, as opposed to when a linguistic structure is variable.
Evidence for the Vulnerability Hypothesis was found, for example, in studies concerned with the subject position in Spanish by bilingual speakers. Studies found that bilingual speakers had more difficulty with a variable phenomenon, such as the use of postverbal subjects in narrow focus, than with a categorial phenomenon, such as the use of unaccusative subjects. This has been observed for English–Spanish heritage speakers (Montrul 2003; De Prada Pérez and Pascual y Cabo 2012) as well as English L1 Spanish second language learners (Domínguez and Arche 2008; Hertel 2003).
Previous studies have found that partial overlap between languages (in either lexis or grammar) may trigger crosslinguistic influence (Adjémian 1983; Inagaki 2001; White 1991). For example, partial overlap between languages plays an important role in the Functional Convergence Hypothesis (Sánchez 2004). The hypothesis predicts that bilingual speakers map grammatical features from one language onto the morphological units of another if the two languages share similar features in a grammatical category. For example, Sánchez (2004, 2006) investigated the acquisition of the Spanish tense system in 38 Quechua–Spanish bilingual children. These bilingual children (aged 10–16 years) lived in the southern areas of Peru and spoke Quechua at home and only had access to Spanish in school, making them Quechua-dominant bilingual speakers. Results showed that the Quechua–Spanish bilingual children mapped Quechua evidentiality features on the Spanish tense system because, in Quechua, past tense features are linked to evidentiality, whereas in Spanish past tense features are linked to aspectual features.
Variability and overlap between two languages both play a role in the Alternation Hypothesis proposed by Jansen et al. (1980) in the field of L2 acquisition. This hypothesis states that “when the target language offers an alternation between two patterns […] a second language learner will tend to overgeneralize the pattern existing in his or her first language” (p. 315). This means that second language learners will likely adopt a strategy where they will select an alternative in the target language that matches the alternative in their L1 (Heine 2008; Muysken 2013). Jansen et al. (1980) investigated the Alternation Hypothesis in eight speakers of Turkish and eight speakers of Moroccan Arabic acquiring Dutch as a second language (aged 21–48 years). They all learned Dutch untutored as adults, and they varied in how long they had lived in the Netherlands, ranging from one to fifteen years. Two of the Turkish and three of the Moroccan speakers were married to native Dutch speakers. Results showed that in the early stages of the process of acquisition of Dutch word order (verb final in main clauses, verb second in dependent clauses) speakers indeed relied on language structures present in their first language (verb final position only in Turkish and verb second position only in Moroccan Arabic), thus supporting the Alternation Hypothesis. Evidence for the Alternation Hypothesis has also been found in the field of adult heritage bilingualism (Boumans 2006; Moro 2014; Moro and Klamer 2015; Silva-Corvalán 1994).
Silva-Corvalán (2008) stated that also, in the case of heritage bilingualism, “it seems logical to expect that frequently used patterns in the socially dominant language will motivate an increase in the frequency of use of parallel structures in the subordinate language” (p. 215), leading to convergence of the two languages in contact. Still, variability in a language and partial overlap between two languages do not always lead to convergence: Kupisch (2014) found that instead of selecting the structure that exists in both languages, bilingual adults sometimes tended to overuse a structure that was unique to one of the two languages—so-called “crosslinguistic overcorrection” (p. 223). This shows that the outcome (divergence or convergence) of crosslinguistic influence can sometimes differ depending on the circumstances under which the language contact occurs, as argued by Muysken (2013).

Pluralization in Dutch and English

In this study, we will focus on the acquisition of the Dutch plural since there is variability in how the Dutch plural can be formed. Additionally, it partially overlaps with English pluralization, thus offering an interesting viewpoint to investigate crosslinguistic influence. Standard pluralization in Dutch can be formed by adding either the -en or the -s affix to the stem1, whereas in English, standard plurals are formed by adding the -s affix2. See (1):
(1)a.éénstoel,tweestoel-en
onechair,twochair-PL
‘one chair, two chairs’
b.ééntafel,tweetafel-s
onetable,twotable-PL
‘one table, two tables’
Even though the precise numbers are unknown, it is stated that the vast majority of Dutch plurals take -en (Haeseryn et al. [1997] 2019). The distribution of nouns among the two categories (-s pluralization and -en pluralization, respectively) is determined by two phonological factors: stress and sonority (Van Haeringen 1947). The stress factor, otherwise called the rhythmic factor, entails that nouns should end in a trochaic stress pattern (van Wijk 2007). A noun with a stressed final syllable, therefore, usually makes -en more probable since this adds an unstressed syllable at the end of the noun (e.g., kanón ‘canon’, kanonnen ‘canons’). Consequently, a noun ending with an unstressed syllable usually makes -s more probable (e.g., táfel ‘table’, tafels, ‘tables’).
The second phonological factor is the sonority factor, which states that final clusters should have falling sonority (van Wijk 2007). The sonority factor thus imposes a requirement on the final cluster of a phonological noun. This sonority factor is largely dependent on the so-called sonority hierarchy (Clements 1990; Foley 1972; Kiparsky 1979; Selkirk 1984; Zwicky 1972; as cited in van Wijk 2007). The strongest preferences for -s and -en are found at the end of the sonority hierarchy: nouns ending in a vowel take plural -s almost without exception, while nouns ending in a final obstruent mostly take -en. The two phonological factors can conspire to make -en or -s highly likely, but they can also make conflicting predictions (e.g., the noun trui, or ‘sweater’, in which the stress factor would predict -en and the sonority factor would predict -s). In these conflict cases, it differs which factor wins, leading to many grey areas in Dutch pluralization that might be susceptible to crosslinguistic influence.

1.3. Acquisition of the Dutch Plural

Only a few studies have been concerned with the acquisition of the Dutch plural (Schaerlaekens 1980; Snow et al. 1980; van Wijk 2007; Zonneveld 2004), and in most studies, pluralization was studied alongside other morphological processes. These studies found that in spontaneous speech, monolingual Dutch children start to produce plurals very early on, in some cases even as young as 1;6 years old (Zonneveld 2004), but mostly between 2;0 and 2;6 years old (Schaerlaekens 1980). For example, Schaerlaekens (1980) provides an overview of first language acquisition of different Dutch morphological phenomena. On the basis of older studies and a corpus of spontaneous data, Schaerlaekens (1980) claimed that typically developing monolingual Dutch children go through several stages when acquiring the Dutch plural:
(2)Ionly singulars are produced, but the concept of the plural is present
IIaplurals are produced when required but only in limited amounts
IIbplurals are produced when required, but one affix for most plurals
IIIcorrect plurals are produced when required
In the first stage, children only use singulars, but the concept of plural is already present very early on. Plurals are then expressed by using “twee…” (‘two…’) or “allemaal…” (‘all…’) then, followed by the noun. The second stage starts around 2;0–2;6 years, at which age children mostly start to use plurals that are imitations of words that already occur as plurals in adult Dutch, such as haren (‘hairs’). After this stage of using limited amounts of plurals, children start to produce more and more plurals when required, but often incorrectly. According to Schaerlaekens (1980), most children choose either -en or -s to pluralize all words in this stage.
Not only Schaerlaekens (1980), but also Zonneveld (2004) reported that when acquiring the Dutch plural very early on, children have already started to produce plurals. Zonneveld (2004) used a corpus with longitudinal data from one child between the age of 1;5 to 2;2 years and found that the first non-imitated plural occurred at 1;6. Similar to Schaerlaekens (1980), Zonneveld (2004) finds that children overgeneralize both plural affixes.
Snow et al. (1980) compared the acquisitional paths of the Dutch plural in L1 learners of Dutch and L2 learners of Dutch. The L1 learners were 7- and 12-year-old children, with 8 children in each age group, whereas the L2 learners consisted of three age groups (5–10 years, 12–18 years, and adults). Snow et al. (1980) found that all learners (L1 and L2) went through the same stages when acquiring Dutch pluralization. They found the following acquisitional pattern in both L1 and L2 learners:
(3)Iboth -s and -en plurals are formed, and overgeneralization of both affixes
II-en plurals are produced correctly but also overgeneralized to -s contexts, and -s plurals are only correctly produced in very limited amounts
IIIboth -en and -s are largely correctly produced
Similar to Schaerlaekens (1980) and Zonneveld (2004), Snow et al. (1980) found an overgeneralization of both the -s and -en affixes in the beginning stages of Dutch plural acquisition. However, Snow et al. (1980) also found one stage in the acquisition of Dutch pluralization that did not occur in the acquisitional path of the L1 learners. It should be noted that this stage was only found in one five-year-old participant whose native language was English. In this stage, the participant only showed an exclusive use of -s for plurals. Since the participant’s L1 was English, this preference for -s pluralization might be the result of interference. As the youngest L1 participants had already been exposed to Dutch for over five years, it could not be established whether this stage was exclusive to L2 learners or whether L1 learners have done the same thing when going through the early stages of acquisition of the Dutch plural.
Instead of using language corpora, van Wijk (2007) investigated the acquisition of the Dutch plural in monolingual Dutch children using a Wug-test in a cross-sectional and longitudinal design. Results showed three-, four-, and five-year-old monolingual Dutch children both overgeneralize the -s and -en affixes. However, while the four- and five-year-old children produced more -s than -en overgeneralizations, three-year-old children were more likely to produce -en overgeneralizations, signaling a change in preference over time.
In short, different studies concerning the acquisition of the Dutch plural have found that young children start to produce plurals very early on. Furthermore, in the early stages of Dutch plural acquisition, children overgeneralize both the -s and -en affixes.

1.4. Current Study

To further deepen our understanding of the circumstances under which crosslinguistic influence occurs, this study focuses on the acquisition of the Dutch plural by two- and three- year-old children who attend bilingual Dutch–English day care. This is a unique setting to explore crosslinguistic influence, since it is a situation of prolonged shared bilingualism in a young age group, where two highly prestigious languages are involved. According to Muysken’s (2013) scenario approach, these are social factors that could facilitate crosslinguistic influence.
Within this unique context, we decided to explore the roles of variability, overlap, and language dominance more thoroughly, as these are all factors that have been linked to the occurrence of crosslinguistic influence in studies on bilingual language acquisition and language contact. In exploring these factors, this study brings together two research traditions that have been concerned with the interplay between languages. This study aims to answer the following research question: can signs of crosslinguistic influence be spotted in this situation, and if so, could these be directly linked to variability, partial overlap, and language dominance?
First, because of the partial overlap in Dutch and English pluralization, overgeneralizations of the -s affix in Dutch pluralization to plurals where the -en affix was required were taken as a sign of crosslinguistic influence since it could be expected that early sequential and simultaneous bilingual Dutch–English children have a stronger preference for the -s than the -en affix (Sánchez 2004; Jansen et al. 1980; Boumans 2006; Moro 2014; Moro and Klamer 2015; Silva-Corvalán 1994; Silva-Corvalán 2008). Second, following the Vulnerability Hypothesis (de Prada Pérez 2019), we expected that conditions where stress and sonority predict a different affix pose more variability between the -en and -s affixes and are thus more vulnerable and more likely to be subjected to crosslinguistic influence than conditions where they predict the same affix. Third, as a result of this variability, we expected a larger amount of -s overgeneralizations in these variable contexts than in contexts where stress and sonority predicted the same affix. To investigate this, items used in this study were manipulated in terms of stress and sonority in order to create contexts in which crosslinguistic influence might be more or less likely due to differing variability.
Fourth, the study set out to investigate the role of language dominance. We expected that, if language dominance indeed played a role in crosslinguistic influence, it could be predicted that children who are more intensively exposed to English are more likely to make -s overgeneralizations (because of the partial overlap between Dutch and English pluralization) than children who are less intensively exposed to English. Therefore, children included in this study varied in their language dominance since they all differed in terms of home language situations, as well as the number of days they visited the bilingual day care centers.

2. Materials and Methods

2.1. Participants

An elicited production task was administered to 162 children aged between 2;6 and 3;11 that grew up with only Dutch and/or English at home and attended bilingual (Dutch–English) day care. However, the task turned out to be too linguistically demanding for children in this age group, resulting in a smaller group of 95 children (51 females, 44 males, mean age = 3;0 years) that were able to participate in the task. Out of these 95 children, 59 children grew up only hearing Dutch at home, 30 children heard both Dutch and English at home, and 6 children grew up only hearing English at home.
All children were recruited via various day care organizations which participated in a project aimed at the evaluation of early English language teaching in Dutch day cares. A total of ten day care organizations were allowed to offer a maximum of half of their opening hours in English instead of Dutch. Consequently, all children participating in this study were either simultaneous or early sequential bilingual Dutch–English and English–Dutch children. In addition, some children were early foreign language learners of English as they grew up hearing only Dutch at home and only attended bilingual day care for one day a week. Parents or caregivers gave informed consent prior to their children’s participation in this study. None of the children had auditory or other language-related problems. Ethical approval for this study was obtained from the University of Amsterdam Research Ethics Committee at the Faculty of Humanities.

2.2. Elicited Production Task

2.2.1. Task Composition

An elicited production task was used to elicit plurals. The experiment contained two main conditions: one condition in which stress and sonority predict the same affix, and one condition in which stress and sonority predict different affixes. It should be noted that in Dutch, when stress and sonority predict different affixes, sometimes both affixes are correct (e.g., aardappels, aardappelen (‘potatoes’)). However, in this task we only included items where one affix was correct to ensure the comparability of items.
Within these two main conditions, eight plurals were elicited in which the plural form ends with -en and eight ending with -s, leading to 16 plural items in total. Additionally, since a substantial amount of Dutch words are English cognates (such as bed and lamp) and cognates have been found to prime code-switches in bilingual adult speakers (Kootstra et al. 2012), it could be argued that cognates could also possibly prime -s pluralization in Dutch. Consequently, half of the plural forms ending with -en and -s were cognates, and the other half were non-cognates. Table 1 offers examples of the plural items elicited in the task.
Additionally, 16 prepositions were elicited, serving as filler items. All items were taken from the Duizend-en-een-woordenlijst (Bacchini et al. 2005), a wordlist listing the first 1001 words typically learned by preschoolers acquiring Dutch as a second language. Furthermore, we carried out a spontaneous speech analysis to check whether all words included in the test items were produced in the spontaneous speech of Dutch children in this particular age range. This was done by using CHILDES and four Dutch language corpora consisting of speech from children under the age of four: the Bol and Kuiken corpus (Bol and Kuiken 1990), the Groningen corpus (Bol 1996), the Schaerlaekens corpus (Schaerlaekens 1973) and the Wijnen corpus (Wijnen 1990). In total, 337 transcripts were analyzed. This analysis showed that all words included in the test items were produced in spontaneous speech by two- and three-year-old Dutch children.

2.2.2. Procedure

In the elicited production task, participants were presented with a dollhouse, its doll occupants and some of its furnishings. The experimenter told the participants that they had brought more furnishings and objects that had to be placed inside the house by the participants, and that she would hand them the objects one by one.
Then, the experimenter introduced a hand puppet called Sammy the Shy Turtle: Sammy also wanted to play with the dollhouse but was very shy. Therefore, Sammy would retract his head inside his shell. Still, Sammy was very curious about the dollhouse, so the participants were then asked to explain to Sammy what objects they placed inside the house in addition to the location of those specific objects, eliciting plurals and the prepositions op (‘on’ on a horizontal surface), aan (‘on’ on a vertical surface), om (‘on’ in cases of encirclement), and in (‘in’) in the process. The prepositions served as filler items. The purpose of Sammy’s presence was twofold: first, it acted as a way of comfort to participants who were hesitant and shy. Second, since it was visible to the children that Sammy was unable to see what was happening, his presence created a naturalistic environment in which plurals were elicited.
At the beginning of the experiment, two practice trials were administered, in which one plural (borden ‘plates’)3 and one preposition (onder ‘under’) were elicited. During the practice trials, the experimenter showed the children that they had to verbally describe the objects and their specific locations. After this practice phase, the test items were presented.
For the plural items, the experimenter would introduce and name two objects: e.g., Kijk eens wat ik heb meegenomen, een bed! Maar ik heb niet één bed meegenomen, ik heb nog een bed. (‘Look what I brought, a bed! But I didn’t just bring one bed, I brought another bed.’) Then, the experimenter would offer a sentence frame for the child to describe the objects: Ik heb hier dus niet één bed, maar twee…? (‘So I didn’t just bring one bed, but two….?’). The participants were then prompted to complete the sentence. After the participant completed the sentence, the experimenter would hand over the objects to the participant, after which the participant was allowed to find a suitable place for the objects inside the dollhouse.
When a child was unable to complete the sentence, the experimenter would repeat the sentence frame again, in addition to asking the child to describe the objects to Sammy: Sammy wil ook heel graag weten wat dit zijn! Kun je dat zeggen? Ik heb hier dus niet één bed, maar twee…? (‘Sammy is also really curious to know what these are! Can you explain that to him? I didn’t just bring one bed, but two…?’) If a child failed to complete the sentence, each item was presented three times in total. Then, the experimenter would hand over the objects to the participant and allow the participant to place them inside the house. The task was terminated if a participant failed to give a response to three consecutive items.

2.2.3. Scoring

Responses were coded into six different categories: (1) a response was coded as ‘correct’ when a participant correctly produced a plural with the target affix, (2) a response was coded as ‘overgeneralization’ when a participant incorrectly produced a plural ending with -s if an -en affix was required (e.g., beds instead of bedden) or the other way around (e.g., bekeren instead of bekers), (3) a response was coded as ‘singular’ when a participant produced the singular form of the target word (e.g., bed instead of bedden), (4) a response was coded as ‘diminutive’ if a child produced a plural using the diminutive form of a word (e.g., bedjes instead of bedden), (5) a response was coded as ‘no answer’ when a participant gave no answer after administering the item three times, and all other responses were scored as (6) ‘other’.

2.3. Measuring Language Dominance

Parents were asked to fill out an online parental questionnaire to gain more insight into the children’s language background and language input at home. The parental questionnaires were created using the Easion Survey software version 3.107 (Parantion 2017) and were sent by e-mail. On the basis of this parental questionnaire, a Dutch and English exposure measure was created. In this exposure measure, the amount of Dutch or English that was spoken to the child at home was included, as well as the amount of Dutch or English at day care.
This was calculated as follows: in the questionnaire, parents indicated with whom the child was during the mornings, afternoons, and evenings for each day of the week. This gave us a total number of parts of the day per week a child would spend with each caregiver and at day care. Also, parents indicated which languages were spoken to the child by these different people in percentages. On the basis of this information, an English and a Dutch exposure measure was calculated.
For example, one child spends time with his mother and father and grandmother every week. For each of these caregivers, parents indicated how many parts of the days per week a child would spend with this person and how much English (or Dutch) this person would speak. An English exposure at home measure was then calculated as follows: (% English spoken by mother × the total number of parts of the day spent with mother) + (% English spoken by father * the total number of parts of the day spent with father) + (% English spoken by grandmother × total number of parts of the day spent with grandmother). E.g., (70 × 8) + (40 × 7) + (90 × 2) = 1020. A similar measure was created for English exposure at day care. This was calculated by % of English spoken at day care ×the total number of parts of the day spent at day care, e.g., 10 × 50 = 500. Then, to create one combined English exposure measure that captures both exposures at home and at day care, these two values were added up and divided by 100 to provide us with a total number of time units per week a child was exposed to English (1020 + 500)/100 = 15.20 (with a maximum of 21 time units per week). Similarly, Dutch exposure measures were calculated. Together, the Dutch and English exposure measures for each child added up to 21 (the maximum number of time units per week).
By using these Dutch and English exposure measures, language dominance measures were calculated. For each child, a Dutch language dominance measure was calculated by subtracting the English language exposure from the Dutch language exposure. Similarly, an English dominance measure was calculated by subtracting the Dutch language exposure from the English language exposure.

2.4. Data Analysis

All analyses were carried out in R (R Core Team 2019) using the lme4 package (Bates et al. 2015). In order to determine whether variability (in terms of stress and sonority) and exposure to English had any effects on preferences for either the -en or the -s affix, one generalized model with mixed effects was set up. Following van Wijk (2007), the overgeneralization of an affix was taken as an indication of preference for that affix. Therefore, to investigate children’s preference for a certain affix, the model took overgeneralization (1 for overgeneralization, 0 for a correct answer) as a dependent variable. All other types of answers (singulars, diminutives, no answers, and answers coded as ‘other’) were not included in these models since these categories do not indicate a preference for a certain affix. Target (-en vs. -s), condition (stress and sonority predict the same affix vs. stress and sonority predict different affix), cognate status (non-cognate vs. cognate) and English dominance were included as predictor variables. In addition, the model included interactions between target and condition, target and English dominance, condition and English dominance, cognate status and target, and cognate status and condition. Orthogonal sum-to-zero contrast coding was applied to the binary predictor variables (i.e., target, condition and cognate status), and the continuous predictor of English dominance was mean-centered and divided by 10. We aimed to keep the model as fully specified as possible by including random intercepts for participants and items (Barr et al. 2013). In order to do so and to solve issues with non-converging models, we used the ‘bobyqa’ optimizer to refit this model by using the afex package (Singmann et al. 2021). This enabled us to report on the maximal random effect structure supported by the data (Jaeger 2009). The statistical significance of the predictors was assessed using 95% Wald confidence intervals (Agresti and Coull 1998).

3. Results

This study investigated whether signs of crosslinguistic influence were present in the acquisition of the Dutch plural in the form of overgeneralizations in Dutch–English toddlers, and if so, if these were linked to variability in the Dutch language (with regards to stress and sonority) and amount of English exposure. First, the different response types will be examined in the following subsection.

3.1. Response Types

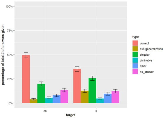
Figure 1 depicts response types given to items targeting -en and -s. For each participant, we calculated the proportion of (1) correct answers, (2) overgeneralizations, (3) answers containing a singular form of the noun, (4) answers containing a diminutive form of the noun, (5) other answers, and (6) no answers to items targeting -en and -s. We investigated the expectation children in our study might be inclined to overgeneralize -s. However, Figure 1 shows that children overgeneralized -en more often. On average, overgeneralizations were more frequently made in items targeting -s (13%) than in items targeting -en (4%). This indicates that children showed a stronger preference for the -en affix instead of the -s affix. Also, on average, a substantial number of responses to both items targeting -en (20%) and -s (26%) consisted of singular forms.
Since Figure 1 aggregates over all participants, it does not give any insight into the preferences of individuals for a certain affix. Therefore, we also investigated how many children overgeneralized, and if so, if they overgeneralized both affixes or just one. Table 2 shows the types of overgeneralizations children made and how many children made those types of overgeneralizations.
A high number of children only overgeneralized the -en affix (44/95), relatively few only overgeneralized the -s affix (12/95), and only two children overgeneralized both affixes. This shows that many children did have a strong preference for one affix. It should be noted that out of the twelve children that only overgeneralized -s, eight children were exposed to the English language at home (five out of eight were exposed to both Dutch and English at home). Meanwhile, 34 out of 44 children that only overgeneralized the -en affix were only exposed to the Dutch language at home (10 out of 44 to both Dutch and English).
We further investigated whether the amount of -en and -s overgeneralizations could be linked to variability and the amount of language use English children were exposed to. This will be discussed in the following subsections.

3.2. Overgeneralizations and Variability

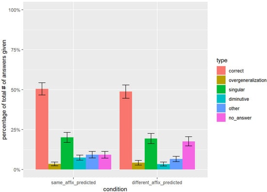
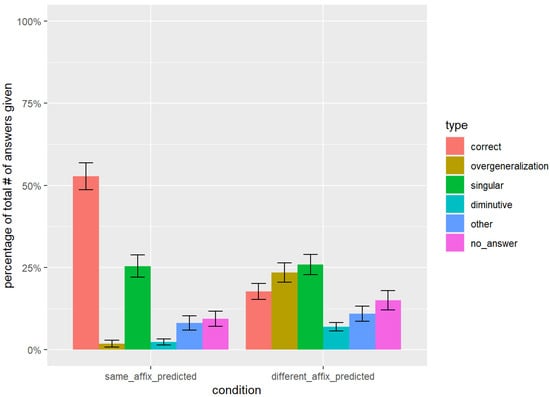
For variability in terms of stress and sonority, we investigated the hypothesis that overgeneralizations would be more likely to occur in situations where stress would suggest the -en affix and sonority the -s affix, or vice versa. Again, for each participant, we calculated the proportion of (1) correct answers, (2) overgeneralizations, (3) answers containing a singular form of the noun, (4) answers containing a diminutive form of the noun, (5) other answers, and (6) no answers to items where stress and sonority predicted the same or different affix. Figure 2 depicts responses to items targeting the -en affix, whereas Figure 3 depicts responses to items targeting -s. In both figures, we compared conditions where stress and sonority work together to predict the same affix and when stress and sonority contradict each other.
Responses to items requiring the -en affix are comparable when stress and sonority predict the same affix and when they predict a different affix: in both conditions, on average, children answered correctly in approximately 50% of the cases. Also, a substantial number of responses contained a singular form of the noun (20% in both conditions). Only 4% (when stress and sonority predict the same affix) and 3.5% (when stress and sonority predict a different affix) of the responses were overgeneralizations of the -s affix. Participants were more inclined to not give any answer when stress and sonority predicted a different affix (17.6%) than when they predicted the same affix (9.2%).
In items requiring the -s affix, results look partly different than items targeting the -en affix. For responses to the condition where stress and sonority predict the same affix, responses look similar: on average, 53% of the answers contained a correct response, and approximately a quarter of the responses contained a singular form of the noun. In this condition, only 2% of responses contained an overgeneralization of the -en affix.
However, when stress and sonority predict a different affix, on average, a larger proportion of responses contained an overgeneralization of the -en affix (23.5%, as opposed to 2% in the condition where stress and sonority predict the same affix). Consequently, the average amount of correct responses in the different conditions is substantially lower (18% as opposed to 53%). The average percentage of responses containing a singular form (26%), a pluralization with a diminutive (7%), other responses (11%), or no answers (15%) were comparable to those in other conditions.

3.3. Language Dominance

To gain further insight into children’s language dominance, we first calculated an English and Dutch exposure measure for each participant. The distribution of the language exposure measures of all participants is depicted in Figure 4. Each dot represents one participant, and the red crosses represent the overall means.
Results show that even though all children included in this study attended Dutch–English bilingual day care and heard Dutch and/or English at home, many children grew up hearing mostly Dutch: some only attended bilingual day care for one time unit per week. Some of these children also attended bilingual day care centers where English was spoken only 15% of the time (as opposed to other centers where English was spoken 50% of the time). This then resulted in a low English exposure measure of 0.15 and a high Dutch exposure measure of 20.85. As the Dutch and English language exposure measures together added up to 21 (the maximum number of time units per week), the two language exposure measures were strongly negatively correlated (r(93) = −1.000, p < 0.001).
The Dutch and English language exposure measures were then used to calculate Dutch and English language dominance measures. A Dutch language dominance measure was calculated by subtracting the English language exposure from the Dutch language exposure. An English dominance measure was calculated by subtracting the Dutch language exposure from the English language exposure. The distribution of the language dominance measures of all participants is depicted in Figure 5. Each dot represents one participant, and the crosses represent the overall means.
Similar to the results depicted in Figure 4, the results in Figure 5 show that the majority of children in this study were Dutch dominant language learners. To see whether the English language dominance measures could be linked to the amount of overgeneralizations children made, we ran a generalized mixed model, which will be discussed in the following subsection.

3.4. Outcomes of the Generalized Mixed Model: Role of Target, Condition, and English Language Dominance

In order to investigate the effects of the target (-en and -s), condition (stress and sonority predict same affix vs. stress and sonority predict different affix), and English dominance on overgeneralizations, a generalized mixed model was carried out. This model took overgeneralization (1 for overgeneralization, 0 for a correct answer) as a dependent variable. All other types of answers (singulars, diminutives, no answers, and answers coded as ‘other’) were not included in this model, since these categories do not indicate a preference for a certain affix. Additionally, target (-s vs. -en), condition (stress and sonority predict same affix vs. stress and sonority predict different affix) and English dominance were included as predictor variables. Also, cognate status was included as a predictor variable: as previously mentioned, half of the items consisted of cognates since a substantial amount of Dutch words are English cognates, and cognates have been found to prime code-switches in bilingual adult speakers. Therefore, we also wanted to control for cognate status. The outcomes of the model are reported in Table 3.
Even though we expected a stronger tendency to overgeneralize -s, this expectation was not borne out. In fact, a significant effect in the opposite direction was found: the significant main effect for the target (-en versus -s) (OR = 4.99, 95% Wald CI for OR = [2.34, 10.64], z = 4.168, p < 0.001) indicates that the odds for overgeneralization to occur were significantly greater in items targeting -s than the odds for items targeting -en. In other words: the odds for overgeneralization of the -en affix were significantly higher than the odds for overgeneralization of the -s affix.
In addition, a significant main effect for the condition was found (OR = 10.17, 95% Wald CI for OR = [4.93, 2.100], z = 6.727, p < 0.001): when stress and sonority predicted a different affix, odds for overgeneralization were 10.17 times bigger than when they predicted the same affix. Also, a significant main effect was found for English language dominance (OR = 1.97, 95% Wald CI for OR = [1.33, 2,93], z = 3.360, p < 0.001), suggesting that the more English-dominant children were, the more overgeneralizations they made.
Furthermore, a significant interaction effect was found between the target and condition (OR = 22.93, 95% Wald CI for OR = [5.08, 103.40], z = 4.076, p < 0.001), indicating that the observed effect for the target (higher odds for -en overgeneralization) is larger in situations where stress and sonority predict different affixes than when they predict the same affix.
Additionally, there was a significant negative interaction effect between target and English language dominance (OR = 0.12, 95% Wald CI for OR = [0.06, 0.24], z = −5.747, p < 0.001), meaning that the observed main effect for the target (higher odds for overgeneralization of -en than -s) decreased as children were more English dominant.
With regards to cognate status, no significant main effect for cognate status was found (non-cognate versus cognate) (OR = 0.76, 95% Wald CI for OR = [0.40, 1.44], z = −0.846, p = 0.40) and no interaction effect between target and cognate status (OR = 0.35, 95% Wald CI for OR = [0.10, 1.18], z = −1.689, p = 0.09) or condition and cognate status (OR = 0.60, 95% Wald CI for OR = [0.16, 2.20], z = −0.775, p = 0.44).
In short, a main effect for target was found (indicating that -en overgeneralizations occurred more frequently than -s overgeneralizations), as well as a main effect for condition (higher odds for overgeneralizations to occur when stress and sonority predicted different affixes), and a main effect for English language dominance (the more English dominant children were, the more overgeneralizations they made). In addition, we found a significant interaction effect between target and condition (higher odds for -en overgeneralizations when stress and sonority predicted different affixes) and a significant negative interaction effect for target and English language dominance (the observed main effect for target decreased as children were more English dominant). Also, we found no main effect for cognate status (no higher odds of overgeneralizations in cognates).

4. Discussion

In this study, we investigated the acquisition of the Dutch plural in two- and three-year-old children attending Dutch–English bilingual day care. This particular situation of shared bilingualism in very young children with two prestigious languages allowed us to investigate crosslinguistic influence in direct relation to different factors that have been mentioned in the literature on language contact literature and on bilingual language acquisition, i.e., variability, overlap and language dominance. By investigating the role of these three factors, we brought together two research traditions that have identified different factors that could predict the occurrence of crosslinguistic influence, namely language contact studies and acquisition studies.
We expected to find that children attending Dutch–English bilingual day care might show a stronger preference for the -s affix than the -en affix, leading to more -s overgeneralizations, due to the partial overlap between Dutch and English pluralization (Boumans 2006; Jansen et al. 1980; Moro 2014; Moro and Klamer 2015; Silva-Corvalán 1994). The proportion of overgeneralizations, however, was substantially higher for items targeting -s (12.7%) than items targeting -en (3.86%). This indicates that more children showed preferences for the -en affix instead of the -s affix.
We also predicted that crosslinguistic influence (in the form of -s overgeneralizations) would be more prevalent in contexts where stress and sonority predicted different affixes, as these conflicting contexts could lead to more overgeneralizations (van Wijk 2007). We did indeed find that more overgeneralizations occurred when stress and sonority predicted different affixes, particularly on -s items: on average, approximately a quarter of responses to -s items in this condition were overgeneralizations of the -en affix (as opposed to only 1.84% of overgeneralizations of the -en affix when stress and sonority predicted the same affix). This tendency was only found in responses to -s items and not in response to -en items: our prediction that crosslinguistic influence in the form of -s overgeneralizations would be more likely to manifest itself in these conflicting conditions was thus not borne out.
Consequently, no amount of -s overgeneralization was found that might have been indicative of crosslinguistic influence in this particular group of bilingual children. Rather, we found the opposite: children seemed to have a preference for the -en affix. This finding could be explained by the fact that the majority of Dutch plurals seem to take the -en suffix, as stated by Haeseryn et al. ([1997] 2019). Since the precise numbers regarding the distribution between -en and -s pluralization are unknown, we checked if the claim that the vast majority of Dutch nouns take -en was also true for nouns to which children below the age of four are exposed. We did so by analyzing the countable nouns included in the Duizend-en-een-woordenlijst (Bacchini et al. 2005), a wordlist listing the first 1001 words that should be learned by preschoolers acquiring Dutch as a second language before starting primary school. Results showed that out of 419 countable nouns included in the list, 299 (71%) took -en, 116 took -s (28%), two took -en and -s (0.5%), and two took -eren (−0.5%), showing that the majority of nouns children in the age group are exposed to indeed take -en.
This raises questions as to how susceptible the Dutch plural actually is to crosslinguistic influence since it might be a more categorical language phenomenon (de Prada Pérez 2019) than a variable language phenomenon. In addition, a critical property of the -en suffix is that it is also used to mark the infinitive form of verbs, as well as past participles of some verb classes (e.g., lop-en ‘to walk’, ge-lop-en ‘walked’) (Davis et al. 2011). As a result, the -en suffix is probably more frequently attested in the Dutch input, even though children in this study are exposed to both Dutch and English. This higher frequency of -en could thus possibly account for this finding, as this might make -en the preferred suffix.
However, the large amount of -en overgeneralizations does raise the question of whether the overgeneralization of the -en suffix could maybe also be considered a crosslinguistic influence. Previous studies on language contact have stated that crosslinguistic influence does not only always lead to convergence of the two languages in question, but also that it could also lead to divergence. For example, Kupisch (2014) found that bilingual adults sometimes overuse the structure that was unique to one of the two languages instead of the structure that exists in both languages, also referred to as crosslinguistic overcorrection. This could, in theory, explain the abundance of -en overgeneralizations in this group of children that attend Dutch–English bilingual day care.
However, we believe that occurrences of crosslinguistic overcorrection in two- and three-year-old children are unlikely since the effort that it takes to make crosslinguistic overcorrections presupposes a certain level of (meta)linguistic awareness (Kühl and Braunmüller 2014). In addition, up until now, crosslinguistic overcorrection has only been detected in adult bilingual speakers in experimental tasks (Kupisch 2014). We think that this could be linked to the idea that crosslinguistic overcorrection requires a certain degree of linguistic awareness, one that two- and three- year-old children probably have not reached yet.
Rather, the significant negative interaction effect between English exposure and target suggests that there may have been other (limited) crosslinguistic influence effects present in our data, as it seems to indicate that more exposure to the English language instead facilitates correct production of the -s affix in children below the age of four. This could be interpreted as a facilitative effect of crosslinguistic influence where more exposure to English possibly accelerates the acquisition of the -s affix in Dutch.
If these results are taken together, this study does not provide strong evidence for crosslinguistic influence, despite our attempt to select a domain and age group in which crosslinguistic influence might be expected. The only evidence we have found is the significant negative interaction effect. Still, this significant negative interaction effect between the target and the amount of English exposure was unexpected, and the reason why exposure to English possibly facilitates the learning of the -s affix remains undecided and requires further research. It could be that overlap with the English -s affix (and therefore the higher frequency of -s pluralization in the input) makes children more aware of the existence of this -s affix, thus resulting in faster acquisition of -s pluralization. Another explanation could be that bilingualism has facilitatory effects on children’s metalinguistic and phonological awareness (Bialystok 2005; Campbell and Sais 1995). This, combined with the higher frequency of the -s pluralization in the Dutch–English input, could make these children more sensitive to the differences between the -en and -s affix when requiring the Dutch plural. Nevertheless, the idea of a bilingual advantage with regard to phonological awareness has been questioned (Bialystok 2005; Bialystok et al. 2003). Additionally, our finding needs replication, as it remains to be seen to what extent the results presented in our study are typical for how English affects the acquisition of the Dutch plural since our study had its limitations.
The first limitation is that the group of children that participated in this study is a group in which the majority (60 out of 95) grew up with only the Dutch language at home. This means that, even though they were exposed to the English language at day care, this group is not as bilingual as they would have been if all children were also exposed to both languages at home. As a result, the majority of children included in this study were Dutch-dominant language learners (as depicted in Figure 5). It could be that for this reason, no clear evidence for crosslinguistic influence in the form of -s overgeneralizations could be found in this group.
Also, it is important to bear in mind that even though we found no amount of -s overgeneralization that might have been indicative of crosslinguistic influence as we had expected, the degree of overgeneralizations of both the -s and -en affix greatly varied from child to child. Results showed that 12 children only overgeneralized the -s affix. Out of these 12 children, 8 were exposed to the English language at home (5 out of 8 were exposed to both Dutch and English at home). This does, to an extent, suggest that language dominance does play a role in preference for the -s affix.
This also links back to the idea that Dutch pluralization is quite possibly not variable enough (as the majority of Dutch nouns take -en). It may be placed more towards the categorical end of the spectrum and, therefore, might not be as susceptible to crosslinguistic influence as initially thought. For example, de Prada Pérez (2019) states that each speaker differs as to how far toward the categorical end of the spectrum they exhibit crosslinguistic influence. It can be dependent on individual and social factors: for example, highly proficient bilingual speakers might only show signs of crosslinguistic influence in highly variable phenomena, whereas low proficiency bilinguals might also do so in less variable phenomena. This suggests that, even if we consider Dutch pluralization to be a less variable phenomenon, signs of crosslinguistic influence in the form of -s overgeneralizations might be found in a group consisting of English dominant children. Future research is needed to determine whether this is indeed the case.
Additionally, the English plurals are usually formed by adding the -s affix to the word stem, but the phonetic value of the English suffix differs as it is dependent on the final sound of the word. The suffix can be realized as [s], [z] or [iz]. This suggests that on a phonetic level, English has three productive plural allomorphs instead of only one. As a result, one could claim that English pluralization should not be categorized as a categorical phenomenon. This could also raise doubts about the assigned positions of English and Dutch on the categorical-variable spectrum. However, the three phonetic values of the -s suffix in English all derive from the same morphological operation, namely, adding the -s suffix to the word stem. Therefore, on a morphological level, we think that English pluralization could be considered a categorical phenomenon. Still, it is possible that the different phonetic values of the -s affix have made the occurrence of crosslinguistic influence from English to Dutch pluralization less probable than initially thought.
The second limitation lies in the status of the two languages involved. Even though Dutch and English are both highly prestigious languages, both of them fulfill different roles: Dutch is the national language, whereas English can be considered a highly prestigious national second language (Ammon and McConnell 2002). Usually, crosslinguistic influence takes place from the most to least prestigious language (Muysken 2013). Since both languages are prestigious in the Netherlands (Edwards 2016), it is understandable that the amount of crosslinguistic influence that takes place is only limited. Still, whether or not children in this age study are already sensitive to the status and prestige of the languages is questionable as they are very young. Thus, it could also be the case that the status of the two languages did not play a role at all in this context, which could also explain the fact that we did not detect as much crosslinguistic influence as expected.
Third, the task was initially administered to 162 children. However, the task turned out to be too linguistically demanding for many children in this age group, resulting in a select group of children that were able to participate in the task. In particular, children with weaker Dutch language skills were unable to participate in the task because they did not understand what was expected of them and were unable to complete the sentences. This raises the question as to whether our findings will still hold in a sample where children with weaker language skills are also included. Furthermore, the task itself required a lot of attention from the children: they were presented with a dollhouse and toys. Even though the use of these objects created an engaging and more naturalistic environment, some children found it difficult to remain focused.
Fourth, our study did not include a control group of children that did not receive any input in English. Instead, we included children that covered the entire range of Dutch–English bilingualism, ranging from children that were Dutch-dominant speakers to children that were English-dominant speakers. In our statistical model, we then included an amount of English exposure as a continuous predictor variable to investigate the effects of exposure to English on our findings. At the start of our study, we noticed how the group of bilingual Dutch–English children was not a homogenous group, as they all differed in terms of the amount of English they were exposed to, as illustrated in Figure 4. Since this was the case, we believed that a traditional group comparison was not suitable. However, we think that in future research, it would be desirable to include a control group that only receives Dutch input and that could be compared to a homogenous group of Dutch–English bilingual children. In doing so, the acquisition of the Dutch plural of bilingual Dutch–English children can be directly compared to that of monolingual Dutch children.
Lastly, an anonymous reviewer kindly pointed out to us that the item fiets (‘bicycle’) used in our experiment may not have been the best choice, as Dutch nouns ending in a sibilant usually take -en. This could have possibly influenced children’s pluralization choice for -en. In the design of our experiment, we were solely interested in the predictions that stress and sonority made with regard to pluralization and whether they made competing predictions or not. For fiets, they both make the same predictions (namely en) which is why we selected the item. Still, apart from the predictions made by the two phonological factors, children’s choices could have also been influenced by the idea that nouns ending in a sibilant usually take en. However, when looking at the results per item, we found that two children overgeneralized -s in response to the item fiets. In response to the items hond and lamp (items placed within the same category in the experiment), three children overgeneralized -s, suggesting that these items behaved similarly to fiets. Still, we believe it would have been best if another item was selected that did not end in a sibilant. All in all, the findings in our study suggest that in this particular context involving two highly prestigious languages, within this particular language domain, and in this specific age group mostly consisting of Dutch-dominant children, no clear-cut evidence for unidirectional crosslinguistic influence from English to Dutch could be found in the form of -s overgeneralizations. However, we did find evidence for the role of variability in this domain of language since children made more overgeneralizations when stress and sonority contradicted. Also, some evidence of crosslinguistic influence was found in that English exposure seemed to facilitate correct production of the -s affix, and more tentatively in the sense that children who overgeneralized the -s affix were mostly children that were exposed to the English language at home.
We believe that our study highlights the importance of bringing together two branches of research that both have been concerned with the interplay between languages, in that we have shown that investigating a factor well researched in language acquisition studies (namely, language dominance) in relation to factors put forward in language contact studies (variability and overlap) has proven to be a fruitful approach to gain further insight into the absence or occurrence of crosslinguistic influence.
Also, please note that we did not find any evidence for unidirectional crosslinguistic influence from Dutch to English in the form of -s overgeneralizations in this particular context. Studies on language contact have often emphasized how the outcome of crosslinguistic influence can differ in different contexts, such that it is not sufficient to claim that when two languages come into contact, crosslinguistic influence will most definitely occur from A to B, but that it is always dependent on the circumstances and the contexts in which it occurs (Muysken 2013). We are thus aware that language dominance or variability effects might very well look different if, for example, different languages were involved or children with higher proficiency in English: different factors might play a role in different contexts. We believe that insights from language contact studies are thus useful and crucial in bilingual language acquisition research in that it forces us to be aware of the many different outcomes of crosslinguistic influence: it might manifest itself differently in different contexts, with different factors playing different roles.

Author Contributions

Conceptualization, D.K., S.P.A., S.A. and F.K.; software, not applicable; validation, not applicable; formal analysis, D.K.; resources, D.K., S.P.A., S.A. and F.K.; writing—original draft preparation, D.K.; writing—review and editing, S.P.A., S.A. and F.K.; visualization, D.K.; supervision, D.K., S.P.A., S.A. and F.K. All authors have read and agreed to the published version of the manuscript.

Funding

This research was funded by the Dutch Ministry of Social Affairs and Employment, grant number 201700273.510.

Institutional Review Board Statement

The study was conducted in accordance with the Declaration of Helsinki, and approved by the Ethics Committee of the Faculty of Humanities at the University of Amsterdam (protocol code 2017-61 and 18 December 2017).

Informed Consent Statement

Informed consent was obtained from all subjects involved in the study.

Data Availability Statement

The data are available on the study’s OSF repository at this link: https://osf.io/5chk9/ (accessed on 23 June 2023).

Conflicts of Interest

The authors declare that they have no known competing financial interests or personal relationships that could have appeared to influence the work reported in this paper.

Notes

1
Additionally, there are a limited number of nouns with special forms of pluralization: some nouns take -eren (kind, kinderen) as their plural affix (double plural), and Latin loanwords follow the Latin pluralization rules (museum, musea. For an overview, see Haeseryn et al. [1997] 2019). Since the nouns that take this affix are few and are considered to be exceptions, this subsection will not discuss these nouns in further detail.
2
For English, there are a limited number of irregular plural nouns, such as child, children or feet, fee and sheep. As these nouns are considered tob exceptions to the rule, this subsection will not discuss these nouns in further detail.
3
This practice item could have primed -en responses. However, straight after this practice item, a preposition was elicited. The item that was administered after that was the item honden (‘dogs’), to which 41% of the responses were correct, and 18% of responses consisted of the singular form hond ‘dog’. This percentage correct is even lower than the percentage of correct responses to the item ballen ‘balls’ (64%) that also elicited -en later on in the task.

References

  1. Adjémian, Christian. 1983. The Transferability of Lexical Properties. In Language Transfer in Language Learning. Issues in Second Language Research. Edited by Susan M. Gass and Larry Selinker. Rowley: Newbury Home, pp. 250–68. [Google Scholar]
  2. Agresti, Alan, and Brent A. Coull. 1998. Approximate Is Better than ‘Exact’ for Interval Estimation of Binomial Proportions. The American Statistician 52: 119–26. [Google Scholar]
  3. Ammon, Ulrich, and Grant McConnell. 2002. English as an Academic Language in Europe: A Survey of its Use in Teaching. In Duisburger Arbeiten zur Sprach- und Kulturwissenschaft. Berlin: Peter Lang. [Google Scholar]
  4. Argyri, Efrosyni, and Antonella Sorace. 2007. Crosslinguistic Influence and Language Dominance in Older Bilingual Children. Bilingualism 10: 79–99. [Google Scholar] [CrossRef]
  5. Bacchini, Sylvia, Theo Boland, Manon Hulsbeek, Hanneke Pot, and Mieke Smits. 2005. Duizend-En-Een-Woorden: De Allereerste Woorden Voor Anderstalige Peuters En Kleuters. Enschede: SLO, Stichting Leerplanontwikkeling. [Google Scholar]
  6. Barr, Dale J., Roger Levy, Christoph Scheepers, and Harry J. Tily. 2013. Random Effects Structure for Confirmatory Hypothesis Testing: Keep It Maximal. Journal of Memory and Language 68: 255–78. [Google Scholar] [CrossRef]
  7. Bates, Douglas, Martin Mächler, Ben Bolker, and Steve Walker. 2015. Fitting Linear Mixed-Effects Models Using Lme4. Journal of Statistical Software 67: 1–48. [Google Scholar] [CrossRef]
  8. Bialystok, Ellen. 2005. Consequences of Bilingualism for Cognitive Development. In Handbook of Bilingualism: Psycholinguistic Approaches. Edited by Judith F. Kroll and Annette M. B. de Groot. New York: Oxford University Press, pp. 417–32. [Google Scholar]
  9. Bialystok, Ellen, Shilpi Majumder, and Michelle M. Martin. 2003. Developing Phonological Awareness: Is There a Bilingual Advantage? Applied Psycholinguistics 24: 27–44. [Google Scholar] [CrossRef]
  10. Bol, Gerard. 1996. Optional Subjects in Dutch Child Language. In Proceedings of the Groningen Assembly on Language Acquisition. Edited by Charlotte Koster and Frank Wijnen. Groingen: Centre for Language and Cognition, pp. 125–35. [Google Scholar]
  11. Bol, Gerard, and Folkert Kuiken. 1990. Grammatical Analysis of Developmental Language Disorders: A Study of the Morphosyntax of Children with Specific Language Disorders, with Hearing Impairment and with Down’s Syndrome. Clinical Linguistics and Phonetics 4: 77–86. [Google Scholar] [CrossRef]
  12. Boumans, Louis. 2006. The Attributive Possessive in Moroccan Arabic Spoken by Young Bilinguals in the Netherlands and Their Peers in Morocco. Bilingualism 9: 213–31. [Google Scholar] [CrossRef]
  13. Campbell, Ruth, and Efisia Sais. 1995. Accelerated Metalinguistic (Phonological) Awareness in Bilingual Children. British Journal of Developmental Psychology 13: 61–68. [Google Scholar] [CrossRef]
  14. Clements, George N. 1990. The Role of the Sonority Cycle in Core Syllabification. In Papers in Laboratory Phonology I: Between the Grammar and Physics of Speech. Edited by John Kingston and Mary Beckman. Cambridge: Cambridge University Press, pp. 283–333. [Google Scholar]
  15. Davis, Matthew H., Maarten van Casteren, and William D. Marslen-Wilson. 2011. Frequency Effects in Processing Inflected Dutch Nouns: A Distributed Connectionist Account. Morphological Structure in Language Processing 151: 427–62. [Google Scholar] [CrossRef]
  16. de Prada Pérez, Ana. 2019. Theoretical Implications of Research on Bilingual Subject Production: The Vulnerability Hypothesis. International Journal of Bilingualism 23: 670–94. [Google Scholar] [CrossRef]
  17. De Prada Pérez, Ana, and Diego Pascual y Cabo. 2012. Interface Heritage Speech across Proficiencies. Unaccusativity, Focus, and Subject Position in Spanish. Paper presented at 14th Hispanic Linguistics Symposium, Provo, UT, USA, October 12–14; pp. 308–18. [Google Scholar]
  18. Domínguez, Laura, and María J. Arche. 2008. Optionality in L2 Grammars: The Acquisition of SV/VS Contrast in Spanish. Paper presented at 32nd Annual Boston University Conference on Language Development, Boston, MA, USA, November 2–4; no. Res 000231609. pp. 96–107. [Google Scholar]
  19. Döpke, Susanne. 1998. Competing Language Structures: The Acquisition of Verb Placement by Bilingual German-English Children. Journal of Child Language 25: 555–84. [Google Scholar] [CrossRef]
  20. Edwards, Alison. 2016. English in the Netherlands: Functions, Forms and Attitutes. Amsterdam and Philadelphia: John Benjamins. [Google Scholar] [CrossRef]
  21. Foley, James. 1972. Rule Precursors and Phonological Change by Meta-Rule. In Linguistic Change and Generative Theory. Edited by Robert P. Stockwell and Ronald K. S. Macaulay. Bloomington: Indiana University Press. [Google Scholar]
  22. Foroodi-Nejad, Farzaneh, and Johanne Paradis. 2009. Crosslinguistic Transfer in the Acquisition of Compound Words in PersianEnglish Bilinguals. Bilingualism 12: 411–27. [Google Scholar] [CrossRef]
  23. Grosjean, François. 1982. Life with Two Languages: An Introduction to Bilingualism. Cambridge: Harvard University Press. [Google Scholar]
  24. Haeseryn, W., K. Romijn, G. Geerts, J. de Rooij, and M. van den Toorn. 2019. 3.5.2.1 Algemene opmerkingen. Algemene Nederlandse Spraakkunst. Groningen/Deurne. Available online: https://e-ans.ivdnt.org/topics/pid/ans03050201lingtopic (accessed on 10 May 2018). First published 1997.
  25. Heine, Bernd. 2008. Contact-Induced Word Order Change without Word Order Change. In Language Contact and Contact Languages. Edited by Peter Siedmund and Noemi Kintana. Amsterdam and Philadelphia: John Benjamins, pp. 33–60. [Google Scholar] [CrossRef]
  26. Hertel, Tammy Jandrey. 2003. Lexical and Discourse Factors in the Second Language Acquisition of Spanish Word Order. Second Language Research 19: 273–304. [Google Scholar] [CrossRef]
  27. Hulk, Aafke, and Natascha Müller. 2000. Bilingual First Language Acquisition at the Interface between Syntax and Pragmatics. Bilingualism: Language and Cognition 3: 227–44. [Google Scholar] [CrossRef]
  28. Inagaki, Shunji. 2001. Motion verbs with goal PPs in the L2 acquisition of English and Japanese. Studies in Second Language Acquisition 23: 153–70. [Google Scholar] [CrossRef]
  29. Jaeger, T. Florian. 2009. Random Effect: Should I Stay or Should I Go? HLP/Jaeger Lab Blog (Rochester). Available online: https://hlplab.wordpress.com/2009/05/14/random-effect-structure/ (accessed on 9 June 2020).
  30. Jansen, Bert, Josien Lalleman, and Pieter Muysken. 1980. The Alternation Hypothesis: Acquisition of Dutch Word Order by Turkish and Moroccan Foregin Workers. Language Learning 31: 315–36. [Google Scholar] [CrossRef]
  31. Kidd, Evan, Angel Chan, and Joie Chiu. 2015. Cross-Linguistic Influence in Simultaneous Cantonese-English Bilingual Children’s Comprehension of Relative Clauses. Bilingualism 18: 438–52. [Google Scholar] [CrossRef]
  32. Kiparsky, Paul. 1979. Metrical Structure Assignment Is Cyclic. Linguistic Inquiry 10: 421–41. [Google Scholar]
  33. Kootstra, Gerrit Jan, Janet G. Van Hell, and Ton Dijkstra. 2012. Priming of Code-Switches in Sentences: The Role of Lexical Repetition, Cognates, and Language Proficiency. Bilingualism 15: 797–819. [Google Scholar] [CrossRef]
  34. Kühl, Karoline, and Kurt Braunmüller. 2014. Linguistic Stability and Divergence: An Extended Perspective on Language Contact. In Stability and Divergence in Language Contact. Factors and Mechanisms. Edited by Kurt Braunmüller, Steffen Höder and Karoline Kühl. Amsterdam and Philadelphia: John Benjamins Publishing. [Google Scholar]
  35. Kupisch, Tanja. 2014. Adjective Placement in Simultaneous Bilinguals (German-Italian) and the Concept of Cross-Linguistic Overcorrection. Bilingualism 17: 222–33. [Google Scholar] [CrossRef]
  36. Montrul, S. 2003. Bilingual Inaccusitivity. In Proceedings of the Annual Boston Conference on Language Development 27. Edited by Barbara Beachley, Amanda Brown and Frances Conlin. Somerville: Cascadilla Press, pp. 556–67. [Google Scholar]
  37. Moro, Francesca, and Marian Klamer. 2015. Give-Constructions in Heritage Ambon Malay in the Netherlands. Journal of Language Contact 8: 263–98. [Google Scholar] [CrossRef]
  38. Moro, Francesca. 2014. Resultative Constructions in Heritage Ambon Malay in the Netherlands. Linguistics in the Netherlands 31: 78–92. [Google Scholar] [CrossRef]
  39. Müller, Natascha. 1998. Transfer in Bilingual First Language Acquisition. Bilingualism: Language and Cognition 1: 177–80. [Google Scholar] [CrossRef]
  40. Müller, Natascha, and Aafke Hulk. 2001. Crosslinguistic Influence in Bilingual Language Acquisition: Italian and French as Recipient Languages. Bilingualism: Language and Cognition 4: 1–21. [Google Scholar] [CrossRef]
  41. Muysken, Pieter. 2013. Language Contact Outcomes as the Result of Bilingual Optimization Strategies. Bilingualism: Language and Cognition 16: 709–30. [Google Scholar]
  42. Mykhaylyk, Roksolana, and Elinor Ytterstad. 2017. Directionality of Cross-Linguistic Influence: Which Referring Choices Do Bilingual Ukrainian–English Children Make? International Journal of Bilingualism 21: 99–121. [Google Scholar] [CrossRef]
  43. Nicoladis, Elena. 1999. ‘Where Is My Brush-Teeth?’ Acquisition of Compound Nouns in a French–English Bilingual Child. Bilingualism: Language and Cognition 2: 245–56. [Google Scholar] [CrossRef]
  44. Nicoladis, Elena. 2002. What’s the Difference between ‘toilet Paper’ and ‘Paper Toilet’? French-English Bilingual Children’s Crosslinguistic Transfer in Compound Nouns. Journal of Child Language 29: 843–63. [Google Scholar] [CrossRef]
  45. Nicoladis, Elena. 2006. Cross-Linguistic Transfer in Adjective-Noun Strings by Preschool Bilingual Children. Bilingualism 9: 15–32. [Google Scholar] [CrossRef]
  46. Paradis, Johanne. 2001. Do Bilingual Two-Year-Olds Have Separate Phonological Systems? International Journal of Bilingualism 5: 19–38. [Google Scholar] [CrossRef]
  47. Parantion. 2017. Easion Survey. V. 3.107. PC. Available online: https://easion.nl/ (accessed on 17 May 2022).
  48. R Core Team. 2019. R: A Language and Environment for Statistical Computing. Vienna: R Foundation for Statistical Computing. Available online: https://www.r-project.org/ (accessed on 8 January 2020).
  49. Sánchez, Liliana. 2004. Functional Convergence in the Tense, Evidentiality and Aspectual Systems of Quechua Spanish Bilinguals. Bilingualism: Language and Cognition 7: 147–62. [Google Scholar] [CrossRef]
  50. Sánchez, Liliana. 2006. Functional Convergence and Morphological Elaboration. In L2 Acquisition and Creole Genesis. Edited by Claire Lefebvre, Lydia White and Christine Jourdan. Amsterdam and Philadelphia: John Benjamins, pp. 277–94. [Google Scholar]
  51. Schaerlaekens, Anne Marie. 1973. The Two-Word Sentence in Child Language. The Hague: Mouton. [Google Scholar]
  52. Schaerlaekens, Anne Marie. 1980. De taalontwikkeling van het kind: Een oriëntatie in het Nederlandstalig onderzoek. Groningen: Wolters Noordhoff. [Google Scholar]
  53. Selkirk, Elisabeth. 1984. On the Major Class Features and Syllable Theory. In Language Sound Structure. Edited by Mark Aronoff and Richard Oehrle. Cambridge: MIT Press. [Google Scholar]
  54. Silva-Corvalán, Carmen. 1994. Language Contact and Change: Spanish in Los Angeles. Oxford: Clarendon Press. [Google Scholar]
  55. Silva-Corvalán, Carmen. 2008. The Limits of Convergence in Language Contact. Journal of Language Contact 2: 213–24. [Google Scholar] [CrossRef]
  56. Singmann, Henrik, Ben Bolker, Jake Westfall, Frederik Aust, and Mattan S. Ben-Shacher. 2021. Afex: Analysis of Factorial Experiments. Available online: https://cran.r-project.org/package=afex (accessed on 17 May 2022).
  57. Snow, Catherine, Norval Smith, and Marian Hoefnagel-Höhle. 1980. The acquisition of some Dutch morphological rules. Journal of Child Language 7: 539–53. [Google Scholar] [CrossRef]
  58. Thomason, Sarah Grey, and Terrence Kaufman. 1988. Language Contact, Creolization, and Genetic Linguistics. Berkely and Los Angeles: University of California Press. [Google Scholar]
  59. Unsworth, Sharon, Vicky Chondrogianni, and Barbora Skarabela. 2018. Experiential Measures Can Be Used as a Proxy for Language Dominance in Bilingual Language Acquisition Research. Frontiers in Psychology 9: 1809. [Google Scholar] [CrossRef]
  60. Van Coetsem, Frans. 1988. Loan Phonology and the Two Transfer Types in Language Contact. Dordrecht: Foris. [Google Scholar]
  61. van Dijk, Chantal, Elise Van Wonderen, Elly Koutamanis, Gerrit Jan Kootstra, Ton Dijkstra, and Sharon Unsworth. 2021. Cross-Linguistic Influence in Simultaneous and Early Sequential Bilingual Children: A Meta-Analysis. Journal of Child Language 49: 897–929. [Google Scholar] [CrossRef]
  62. Van Haeringen, Coenraad Bernardus, ed. 1947. De Meervoudsvorming in Het Nederlands. In Neerlandica: Verspreide Opstellen. ’s-Gravenhage: Daamen, pp. 186–209. [Google Scholar]
  63. van Wijk, Judith. 2007. The Acquisition of the Dutch Plural. Utrecht: LOT. [Google Scholar]
  64. White, Lydia. 1991. Argument structure in second language acquisition. French Language Studies 1: 189–207. [Google Scholar] [CrossRef]
  65. Wijnen, Frank. 1990. The Development of Sentence Planning. Journal of Child Language 17: 651–75. [Google Scholar] [CrossRef]
  66. Yip, Virginia, and Stephen Matthews. 2000. Syntactic Transfer in a Cantonese–English Bilingual Child. Bilingualism: Language and Cognition 3: 193–208. [Google Scholar] [CrossRef]
  67. Yip, Virginia, and Stephen Matthews. 2007. The Bilingual Child: Early Development and Language Contact. Cambridge: Cambridge University Press. [Google Scholar]
  68. Zonneveld, Wim. 2004. De verwerving van een morfologisch proces: Nederlandse meervoudsvorming. Nederlandse Taalkunde 9: 1–28. [Google Scholar]
  69. Zwicky, Arnold. 1972. Note on a Phonological Hierarchy in English. In Linguistic Change and Generative Theory. Edited by Robert Stockwell and Ronald Macaulay. Bloomington: Indiana University Press. [Google Scholar]
Figure 1. Responses to items targeting -en and -s.
Figure 1. Responses to items targeting -en and -s.
Languages 08 00156 g001
Figure 2. Responses to -en items, comparing the same versus different conditions.
Figure 2. Responses to -en items, comparing the same versus different conditions.
Languages 08 00156 g002
Figure 3. Responses to -s items, comparing the same versus different conditions.
Figure 3. Responses to -s items, comparing the same versus different conditions.
Languages 08 00156 g003
Figure 4. Language exposure measures for Dutch (Min = 2.0, Max = 20.85, M = 15.8, SD = 5.25) and English (Min = 0.15, Max = 19.0, M = 5.2, SD = 5.25).
Figure 4. Language exposure measures for Dutch (Min = 2.0, Max = 20.85, M = 15.8, SD = 5.25) and English (Min = 0.15, Max = 19.0, M = 5.2, SD = 5.25).
Languages 08 00156 g004
Figure 5. Language dominance measures for Dutch (Min = −17, Max = 20.70, M = 11.48, SD = 9.81) and English (Min = −20.70, Max = 17.0, M = −11.48, SD = 9.81).
Figure 5. Language dominance measures for Dutch (Min = −17, Max = 20.70, M = 11.48, SD = 9.81) and English (Min = −20.70, Max = 17.0, M = −11.48, SD = 9.81).
Languages 08 00156 g005
Table 1. Overview of the plural test items.
Table 1. Overview of the plural test items.
Non-CognatesCognates
-en-s-en-s
Stress and
sonority predict the
same affix
Hond
(‘dog’)
Fiets
(‘bicycle’)
Auto
(‘car’)
Beker
(‘cup’)
Bed
(‘bed’)
Lamp
(‘lamp’)
Baby
(‘baby’)
Lolly
(‘lollipop’)
Stress and
sonority predict different affixes
Stoel
(‘chair’)
Trui
(‘sweater’)
Cadeau
(‘present’)
Paraplu
(‘umbrella’)
Bal
(‘ball’)
Wiel
(‘wheel’)
Robot
(‘robot’)
T-shirt
(‘t-shirt’)
Table 2. Types of overgeneralizations.
Table 2. Types of overgeneralizations.
Type of
Overgeneralization
Total # of ChildrenDutch onlyEnglish OnlyDutch and English
-en only4434010
-s only12345
both affixes2101
no overgeneralization3721313
Table 3. Outcomes of the generalized mixed model.
Table 3. Outcomes of the generalized mixed model.
PredictorsOdds Ratio95% Wald CI for ORz Valuep
Target4.992.34–10.644.169<0.001
Condition10.174.93–21.006.727<0.001
English dominance1.971.33–2.933.360<0.001
Cognate status0.760.40–1.44−0.8460.40
Target * condition22.935.08–103.404.076<0.001
Target * English dominance0.120.06–0.24−5.747<0.001
Condition * English dominance0.710.33–1.51−0.8950.37
Cognate status * target0.350.10–1.18−1.6890.09
Cognate status * condition0.600.16–2.20−0.7750.44
Disclaimer/Publisher’s Note: The statements, opinions and data contained in all publications are solely those of the individual author(s) and contributor(s) and not of MDPI and/or the editor(s). MDPI and/or the editor(s) disclaim responsibility for any injury to people or property resulting from any ideas, methods, instructions or products referred to in the content.

Share and Cite

MDPI and ACS Style

Keydeniers, D.; Aalberse, S.P.; Andringa, S.; Kuiken, F. Acquiring the Dutch Plural in a Bilingual Setting: Investigating the Effects of Language Dominance, Overlap, and Variability. Languages 2023, 8, 156. https://doi.org/10.3390/languages8030156

AMA Style

Keydeniers D, Aalberse SP, Andringa S, Kuiken F. Acquiring the Dutch Plural in a Bilingual Setting: Investigating the Effects of Language Dominance, Overlap, and Variability. Languages. 2023; 8(3):156. https://doi.org/10.3390/languages8030156

Chicago/Turabian Style

Keydeniers, Darlene, Suzanne P. Aalberse, Sible Andringa, and Folkert Kuiken. 2023. "Acquiring the Dutch Plural in a Bilingual Setting: Investigating the Effects of Language Dominance, Overlap, and Variability" Languages 8, no. 3: 156. https://doi.org/10.3390/languages8030156

APA Style

Keydeniers, D., Aalberse, S. P., Andringa, S., & Kuiken, F. (2023). Acquiring the Dutch Plural in a Bilingual Setting: Investigating the Effects of Language Dominance, Overlap, and Variability. Languages, 8(3), 156. https://doi.org/10.3390/languages8030156

Article Metrics

Back to TopTop