On the Directionality of the Balkan Turkic Verb Phrase: Variationist and Theoretical Perspectives
Abstract
:1. Introduction and Literature Review
2. Research Questions and Summary Answers
- (i)
- What are the extents of dependent–verb (XV) versus verb–dependent (VX) orders in Balkan Turkic?
- (ii)
- How much variation is there among different varieties of Balkan Turkic in the directionality of the verb phrase?
- (iii)
- How much variation is there in the directionality of the Balkan Turkic verb phrase with respect to different dependents of the verb?
- (iv)
- If there is indeed a preference for VX order in at least some Balkan Turkic varieties, what grammatical factor (e.g., the type of clause in which the verb and its dependents are found) underlies it?
- (v)
- Is this preference a sign of parameter shift from head-final to head-initial in the Balkan Turkic verb phrase?
3. The Structure of the Paper
4. Textual Sources, Method, and Statistics
- Dialect texts
- West Rumelian Turkish
- North Rumelian Turkic
- Historical texts that show early Balkan Turkic features (the so-called ‘transcription texts’)6
- 15th century: Yusof and Jakob Papas’ letters published by Brendemoen (1980), Pietro Bruto and Hadriano Fino’s bible verses in Weil (1953)
- 16th century: Filippo Argenti’s phrases in Adamović (2001), Bartholomaeus Georgievits’ dialogue, Our Father, the Apostles’ Creed, etc. in Heffening (1942), Marco Antonio Begliarmati’s dialogue in Teza (1892), the anonymous phrases in Adamović (1976), Guillaume Postel’s phrases in Drimba (1966), Reinhold Lubenau’s phrases in Adamović (1977)
- Directionality: bare object–verb versus verb–bare object, oblique–verb versus verb–oblique, etc. (a total of 21 pairs of opposing features)7
- Clause type: main, argument, relative, adverbial
- Finiteness: finite, nonfinite
- Metadata: century, author, genre, provenance
5. Spectrums of Directionality
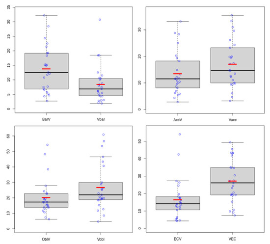
5.1. Verb Plus Dependent Combinations
- (1)
- Spectrum of Verb Plus Dependent Pairsverb+bare object < verb+accusative < verb+oblique < verb+dependent clause
5.1.1. Typological Perspectives
5.1.2. Historical Perspectives
5.2. Dialect Locales
- West Rumelian
- Kosovar Turkish: Mamuşa/Mamushë/Mamuša (Mam), Gilan/Gjilani/Gnjilane (Gji), Prizren/Prizreni/Prizren (Priz), Yanova/Janevë/Janjevo (Jan), Mitroviça/Mitrovica/Kosovska Mitrovica (Mit), Priştine/Prishtinë/Priština (Pris), Dobırçan/Miresh/Dobrčane (Dob), Vıçıtırın/Vushtrri/Vučitrn (Vuc), İpek/Pejë/Peć (Pej)
- Macedonian Turkish: Resne/Resen (Res), Ali Koç/Ali Koč (Ali), Ohri/Ohrid (Ohr), Yeni Mahalle/Jeni Maale (Jen), Konçe/Konče (Kon), Buçim/Bučim (Buc)
- Western Bulgarian Turkish: Montana (Mon), Köstendil/Kyustendil (Kyu)
- North Rumelian
- Gagauz: Kişinöv/Chișinău (Chi), Ossetia (Oss), Tomay/Tomai (Tom), Bessarabia (Bes), Odesa (Ode)
- Dobruja Turkish: Razgrad (Raz)
- East Rumelian
- Kırcaali/Kărdžali (Kar)
- Kazanlık/Kazanlăk (Kaz)
- (2)
- Balkan Turkic Dialect SpectrumEast Rum. Tur. (29%) < Kos. Tur. I (34%) < Dob. Tur. (38%) < Mac. Tur. I (41%)< Mac. Tur. II (57%) < Kos. Tur. II (62%) < West. Bul. Tur. (66%)/Gagauz (67%)
- (3)
- Fanning out Effect in Balkan TurkicAs the network of Balkan Turkic varieties fans out away from the borders of Turkey, the frequency of VX orders increases with distance.
6. Nouniness and Directionality of the Verb Phrase
| (4) | a. | Çeket-miş | [ kız-ı | aara-maa ]. | (Gagauz) | |
| begin-PRF | girl-ACC | look.for-INF | ||||
| ‘He began to look for the girl’. (Özkan 2007, p. 103) | ||||||
| b. | Ben | çik-ar-ım | [ kismet-ım-i | ara-maa ]. | (Mac. Tur. II) | |
| 1SG | go.out-AOR-1SG | livelihood-1SG.POSS-ACC | search-INF | |||
| ‘I am going out to look for my livelihood’. (Destanov 2016, p. 191) | ||||||
- (5)
- The Nouniness Condition on Constituent Order in Balkan TurkicNominal clauses have dominant XV constituent order, while finite and converbial clauses have balanced VX and XV orders.
7. The Verb Movement Hypothesis
- (6)
- Verb Movement Hypothesis
- VX order in Balkan Turkic nonnominal clauses can be derived through the movement of the verb to the left of its dependent.
- XV order in nominal clauses is due to the verb remaining in situ.
| (7) | a. | … | [F′ F° [VP Dep Vfin ]] | ⇨ | … | [F′ Vfin … [VP Dep tVfin ]] |
| b. | … | [F′ F° [VP Dep Vfin ]] |
- (8)
- … [GP … [G′ … [FP … [F′ … [VP Dep V ] … F° ] … G° ] …
- (9)
- * … [F′ … [VP Dep V ] … F° ] ⇨ … [F′ … [VP Dep tV ] … V ]
| (10) | Para | (✓da | / | ??bu sabah | / | *hesab-ın-a) | gönder-di-m. |
| money | FOC | this morning | account-2SG.POSS-DAT | send-PST-1SG | |||
| ‘I sent money as well/this morning/to your account’. | |||||||
- (11)
- a. … [F′ Vfin … Adv [VP Bar tVfin ]]b. … [F′ F° … Adv [VP Bar (*Adv) Vnfin ]]
| (12) | a. | İç-me-yäsin | bu günnerdä | içki. | (Gagauz) | |
| drink-NEG-OPT.2SG | these days | liquor | ||||
| ‘You should not drink any liquor these days’. (Özkan 2007, p. 175) | ||||||
| b. | Öge ane-si | ver-me-y | on-a | su. | (W. Bg. Tur.) | |
| stepmother-3SG.POSS | give-NEG-PRS.3SG | 3SG-DAT | water | |||
| ‘Her/his stepmother does not give her/him any water’. (Kakuk 1961a, p. 352) | ||||||
| (13) | a. | O | [pek gözäl | türkü | dä | çal-maa] | becer-är-miş. |
| 3SG | very well | ballad | FOC | play-INF | do.well-AOR-PRF | ||
| ‘S/he could play ballads very well’. (Özkan 2007, p. 103) | |||||||
| b. | Gel-sin | [ben-dän | harç | iste-mää ]. | |||
| come-IMP.3SG | 1SG-ABL | tribute | request-INF | ||||
| ‘He should come to request tribute from me’. (Özkan 2007, p. 177) | |||||||
8. Against the Head Parameter Hypothesis
| (14) | a. | Ver-er | çocaa | bıçaan-ı | |||
| give-AOR.3SG | boy;DAT | knife;3SG.POSS-ACC | |||||
| ‘S/he gives the boy his/her knife’. (Özkan 2007, p. 135) | |||||||
| b. | Kız | ver-er | o | kiad-ı | bir | markitancı-ya | |
| girl | give-AOR.3SG | that | paper-ACC | a | messenger-DAT | ||
| ‘The girl gives that note to a messenger’. (Özkan 2007, p. 153) | |||||||
| (15) | a. | Pin-mää | üst-ün-ä | yok nası. |
| mount-INF | top-3.POSS-DAT | NEG:AUX | ||
| ‘One cannot mount it’. (Özkan 2007, p. 114) | ||||
| b. | Yok nası | yaklaş-maa | ||
| NEG:AUX | approach-INF | |||
| ‘One cannot approach it’. (Özkan 2007, p. 176) | ||||
| (16) | a. | Ben | [PP | teri | yedi | yaşında ] | [VP | konoş-miş-om | Türçe ]. |
| 1SG | until | seven | years of age | speak-PRF-1SG | Turkish | ||||
| ‘I spoke Turkish until I was seven years of age’. (Sulçevsi 2019, p. 258) | |||||||||
| b. | Ben=y-ım | Kosovali | [PP | nice | cünülli ] | [VP | col-miş-ım | Türkiye-ye ]. | |
| 1SG=COP-1SG | Kosovar | as | volunteer | come-PRF-1SG | Turkey-DAT | ||||
| ‘I am Kosovar, I have come to Turkey as a volunteer’. (İğci 2010, p. 158) | |||||||||
9. Conclusions
- (1′)
- Spectrum of Verb Plus Dependent Pairsverb+bare object < verb+accusative < verb+oblique < verb+dependent clause
- (2′)
- Balkan Turkic Dialect SpectrumEast Rum. Tur. (29%) < Kos. Tur. I (34%) < Dob. Tur. (38%) < Mac. Tur. I (41%)< Mac. Tur. II (57%) < Kos. Tur. II (62%) < West. Bul. Tur. (66%)/Gagauz (67%).
- (3′)
- Fanning out Effect in Balkan TurkicAs the network of Balkan Turkic varieties fans out away from the borders of Turkey, the frequency of VX orders increases with distance.
- (5′)
- The Nouniness Condition on Constituent Order in Balkan TurkicNominal clauses have dominant XV constituent order, while finite and converbial clauses have balanced VX and XV orders.
- (6′)
- Verb Movement Hypothesis
- VX order in Balkan Turkic nonnominal clauses can be derived through the movement of the verb to the left of its dependent.
- XV order in nominal clauses is due to the verb remaining in situ.
Funding
Institutional Review Board Statement
Informed Consent Statement
Data Availability Statement
Acknowledgments
Conflicts of Interest
| 1 | I prefer to use the more general term ‘Turkic’, except when ‘Turkish’ is the more established term in the literature, as it is not entirely clear to what degree these varieties have diverged and so whether at least some should be considered separate languages or can still be seen as dialects of Turkish. Several different classifications of Balkan Turkic varieties have been proposed in the literature. I refer the reader to Günşen (2012) for further information. |
| 2 | The term ‘Standard Average European’ is due to Whorf (1944) and, in recent studies, refers to a proposed sprachbund that includes Romance, Germanic, Balto-Slavic, the Balkan languages, etc. (see e.g., Haspelmath 1998, 2001; van der Auwera 2011). |
| 3 | Throughout the paper I refer to dialect locales with the forms used in the majority languages of the countries or territories in which the locales are located. I have no political motivations for this. |
| 4 | This apparent inconsistency in Matras’ views could perhaps be reconciled by interpreting his remarks in the following way: Macedonian Turkish may have relaxed the constraints on the use of the post-verbal objects in Turkish but not so far as to say that it has begun to stray away from the canonical (S)OV order of Turkish. In other words, there might not be a third position in the discussion; it would be integrated with the second. |
| 5 | For the purposes of this paper, we can use a definition of finiteness that is close to its traditional definition: the presence of verbal tense, person, and number. Nonfinite elements will, then, either lack these or have their nominal counterparts, as in the case of nominalizations. |
| 6 | An anonymous reviewer questions the relevance of transcription texts for diachronic studies of Balkan Turkic. This is a legitimate concern given the following background (see e.g., Hazai 1990; Stein 2016). The field of Turkology was the scene of a debate in the 1960s and the beginning of the 1970s revolving around the question of whether the linguistic content of transcription texts (particularly the Georgievits and Illésházy texts) consistently reflected any particular Turkish variety. Németh (1968, 1970) argued that the texts were representative of Balkan Turkic. Kissling (1968) opposed this view with the claim that the texts simply contained idiosyncratic linguistic mixtures and reflected an at best imperfectly learned Turkish superimposed on a Balkan substrate. The debate was eventually settled, however, in favor of the former position, and a school emerged that uses transcription texts as consistent sources of data for historical linguistic studies of Turkish (see e.g., Csató et al. 2016). |
| 7 | In the context of Turkish grammar, ‘bare object’ refers to a nonspecific object that is morphologically unmarked for case. An ‘oblique’ is a dependent marked in dative, locative, or ablative case. I will use the following abbreviations for verb and dependent pairs to avoid verbose descriptions: X = any dependent, bar = bare object, acc = accusative-marked object, obl = oblique, EC = embedded clause; verb plus dependent pairs in any constituent order: V+X, V+bar, V+acc, V+obl, V+EC; verb-final pairs: XV, barV, accV, oblV, ECV; verb-initial pairs: VX, Vbar, Vacc, Vobl, VEC. |
| 8 | The explanations of the abbreviations used for the dialect locales, the geographical distributions of these locales, and the color coding used in the table can be found in Section 5.2. |
| 9 | These frequency distributions for standard Turkish differ considerably from those given in Slobin (1978, p. 19, cited by Erguvanlı 1984, p. 2): S◊V = 48%, SV◊ = 25%, VS◊ = 6%, V◊S = 0%, ◊VS = 13%, ◊SV = 8%; ◊V = 69%, V◊ = 31%. I do not know what these differences may be due to. |
| 10 | The names of the dialect locales on this list are given (where applicable) in Turkic/Albanian/romanized Serbian, Turkic/romanized Macedonian, Turkic/Moldovan, or Turkic/romanized Bulgarian. |
| 11 | This relatively low C-index suggests that other explanatory variables have an impact on constituent order in addition to finiteness. Indeed, an alternative model with ‘variety’ (i.e., the one that each example comes from) as an additional explanatory variable had a better C-index (LL = 385.92, p < 0.0001; C-index: = 0.67). However, I did not take that model into consideration, as the present exploration focuses on grammatical factors among all possible determinants of constituent order. The following factors among others may be taken into account in the future to increase the explanatory potential of alternative logistic regression models: scrambling, properties of the matrix verb (e.g., whether it is a control, modal, or aspectual verb (cf. Icelandic; see e.g., Thráinsson 1984; 2007, sec. 8.2)), specificity of the object, etc. |
| 12 | An anonymous reviewer points out that mood (comprising imperatives/prohibitives, optatives, and interrogatives) is an important determinant of constituent order in Turkish. However, a logistic regression model based on a sample of 462 examples containing accusative-marked objects from Kosovar Turkish and Gagauz showed this grammatical factor not to be a significant predictor (LL = 6.52, p = 0.368). |
| 13 | An anonymous reviewer suggests that different types of converbial clause may diverge with respect to constituent order, particularly the most common converb -(y)Xp and the others. I have not found a significant difference from this perspective between the converbs attested in my sample (i.e., -(y)Xp, -(y)ken, -DX(y)nAn, -(y)XncA, -mAdAn, -(y)ArAk) using a log-likelihood test (G test: 3.56 (5), p = 0.61), although the data suggests that a larger sample may reveal the differences that the reviewer suspects to be present. |
| 14 | The early phases of this pattern can be observed in 14th–17th century transcription texts, where nominal clauses show almost no VX order with only 4%, while that order is at 35% in finite clauses. The texts contain very few examples of converbial clauses none of which are VX. |
| 15 | Unlike infinitival clauses in -mA in standard Turkish, those in -mAA in Balkan Turkic do not change their ending depending on the matrix verb in a way that makes the case they might be bearing clear. The forms in these examples may be dative-marked (cf. ara-mağ-a [search-Inf-Dat] ‘in order to look for’ in standard Turkish) or simply be bare. The matrix verbs that take infinitival complements normally assign dative, accusative, etc. to their noun phrase complements. I follow Menz (1999) in my glossing and do not attempt to analyze the infinitival marker into possible component suffixes for the purposes of this paper. |
| 16 | I also have very little to add about what the trigger for verb movement may be or, in other words, why such an asymmetry between nominal and nonnominal clauses should exist. One can always postulate a formal feature that triggers leftward verb movement in finite and converbial clauses but that runs the risk of just being stipulative. A truly explanatory account might attempt to draw a link between verb movement and the sizes of the three domains: Nominals might be ‘truncated’, such that they lack a higher position for the verb to move to. This may or may not go hand in hand with the degree of embeddedness of nonfinite clauses (assuming that dependent clauses may be embedded to different degrees on a cline from parataxis to hypotaxis): Converbial clauses may be less embedded, i.e., be closer to the parataxis end of the spectrum than nominal clauses (Christoph Schroeder, p.c.). |
| 17 | I had pointed out in footnote 11 that finiteness (or more accurately nouniness) as a factor does not fully account for the facts, as shown by a statistical indicator. There, I had also suggested some additional factors that could be investigated in the future, such as scrambling, properties of the matrix verb, specificity of the object, etc. This also ties in with two observational facts reported above: (i) Some nonnominal clauses have XV constituent order (52–57%), and (ii) some nominal clauses VX (29%). These observations are embedded in the formulation of the nouniness condition in (5). Now, the caveat that the nouniness condition does not have full force and effect naturally extends to my theoretical implementations of it in (6) and (7). Approaching the issue from a syntax theoretic perspective, one might propose, as suggested by an anonymous reviewer, that the application of verb movement has some degree of optionality. Part of this optionality may be apparent and could turn out to be down to some of the other factors mentioned, such as the properties of the matrix verb (which may or may not trigger verb movement in the embedded clause), while part of it may have to be expressly implemented by means of technical apparatus. This is, once more, an open question that I defer to future work. |
| 18 | Haider’s theory of head directionality is closely akin to Kayne’s (1994) proposal, in that both hypothesize that phrase structures are universally asymmetric, that they are right-branching. I refer the reader to Haider (2015, pp. 93–94) for a contrastive discussion of the two approaches. |
| 19 | There were no examples of converbial clauses with bare objects and adverbs, etc. in my sample. |
| 20 | This observation may not hold for the complements of restructuring verbs, as suggested by an example in Menz (1999, p. 49) in which the restructuring verb intervenes between the infinitive verb and its bare object: bir iš iste-r-im sor-maa [a matter want-Aor-1sg ask-Inf] ‘I’d like to ask something.’ Such examples are common in my sample, but none of them contain bare objects, so I am unable to comment further on this. |
| 21 | The following was brought to my attention by Luka Szucsich (p.c.): Given the noncompactness of head-final phrases, it is surprising that no interveners should be allowed between a verb and its bare object in Turkish, as observed in (10). As was pointed out in the discussion of that example, accusative-marked objects, by contrast, can be separated from their verbs by interveners as expected under the noncompactness of head-final phrases. These observations hold in Balkan Turkic varieties with dominant XV order as well. Jaklin Kornfilt (p.c.) suggests that the unexpected pattern with bare objects may have to do with the incorporation of bare objects into the verb. |
| 22 | Christoph Schroeder (p.c.) points out that this argument weakens if var and yok in these constructions are no longer copular elements, i.e., if they just function as markers of negation and affirmation respectively. I have no evidence to rule out this possibility at this point. |
| 23 | The observations in this section also suggest that some varieties of Balkan Turkic, such as Gagauz, may belong to a third language type, rather than being either head-initial or head-final (also pointed out to me by Luka Szucsich (p.c.) and an anonymous reviewer): the so-called T3 languages with no fixed licensing direction (e.g., Slavic languages; see e.g., Haider 2013, 2015; Haider and Szucsich 2022). Like Gagauz, for instance, T3 languages resemble head-initial languages on the surface but behave like head-final ones. This is another issue to be explored in future work. |
References
- Adamović, Milan. 1976. Vocabulario Nuovo mit seinem Türkischen Teil. Rocznik Orientalistyczny 38: 45–50. [Google Scholar]
- Adamović, Milan. 1977. Das Osmanisch-türkische Sprachgut bei R. Lubenau. Beiträge zur Kenntnis Südosteuropas und des Nahen Orients 25. München: R. Trofenik. [Google Scholar]
- Adamović, Milan. 2001. Das Türkische des 16. Jahrhunderts: Nach den Aufzeichnungen des Florentiners Filippo Argenti (1533). Göttingen: Pontus Verlag. [Google Scholar]
- Artun, Erman. 2013. Geçmişten Günümüze Kültürel Değişim ve Gelişim Sürecinde Balkanlarda Türkçe. Hëna e Plotë “Beder” Üniversitesi 1: x–xx. [Google Scholar]
- Baker, Mark C. 2011. Degrees of Nominalization: Clause-like Constituents in Sakha. Lingua 121: 1164–93. [Google Scholar] [CrossRef]
- Balcı, Mustafa. 2010. Kosova ve Makedonya Türk Ağızlarında Devrik Cümle Meselesi. Avrasya Etüdleri 38: 43–60. [Google Scholar]
- Blau, Otto. 1868. Bosnisch-türkische Sprachdenkmäler. Leipzig: Deutsche Morgenländische Gesellschaft. [Google Scholar]
- Boev, Emil. 1968. Bulgaristan Türk Diyalektolojisiyle İlgili Çalışmalar. In XI. Türk Dil Kurultayında Okunan Bilimsel Bildiriler 1966. Ankara: Türk Tarih Kurumu, pp. 171–78. [Google Scholar]
- Bombaci, Alessio. 1940. Padre Pietro Ferraguto e la Sua Grammatica Turca (1611). Annali del Reale Istituto Superiore Orientale di Napoli, Nuova Serie 1: 205–36. [Google Scholar]
- Borsley, Robert D., and Jaklin Kornfilt. 2000. Mixed extended projections. In The Nature and Function of Syntactic Categories. Syntax and Semantics 32. Edited by Robert D. Borsley. San Diego: Academic Press, pp. 101–31. [Google Scholar]
- Brendemoen, Bernt. 1980. Labiyal Ünlü Uyumunun Gelişmesi Üzerine Bazı Notlar. Türkiyat Mecmuası 19: 223–40. [Google Scholar]
- Brezina, Vaclav. 2018. Statistics in Corpus Linguistics: A Practical Guide. Cambridge: Cambridge University Press. [Google Scholar]
- Csató, Éva Á., Astrid Menz, and Fikret Turan, eds. 2016. Spoken Ottoman in Mediator Texts. Wiesbaden: Harrassowitz Verlag. [Google Scholar]
- Destanov, Ekrem. 2016. Doğu Makedonya Sözlü Geleneğinde Masallar Üzerine Bir Inceleme. Unpublished dissertation, Yildiz Technical University, Istanbul, Turkey. [Google Scholar]
- Doerfer, Gerhard. 1959. Das Gagausische. In Philologiae Turcicae Fundamenta I. Edited by Jean Deny, Kaare Grønbech, Helmuth Scheel and Zeki Velidi Togan. Wiesbaden: Steiner, pp. 260–71. [Google Scholar]
- Drimba, Vladimir. 1966. ‘L’Instruction des Mots de la Langue Turcesque’ de Guillaume Postel (1575). Türk Dili Araştırmaları Yıllığı-Belleten 14: 77–101. [Google Scholar]
- Dryer, Matthew S. 1998. Aspects of word order in the languages of Europe. In Constituent Order in the Languages of Europe. Edited by Anna Siewierska. Berlin: Mouton de Gruyter, pp. 283–319. [Google Scholar]
- Dryer, Matthew S. 2013a. Order of object and verb. In The World Atlas of Language Structures Online. Edited by Matthew S. Dryer and Martin Haspelmath. Leipzig: Max Planck Institute for Evolutionary Anthropology. Available online: https://wals.info/chapter/83 (accessed on 13 June 2022).
- Dryer, Matthew S. 2013b. Order of subject, object and verb. In The World Atlas of Language Structures Online. Edited by Matthew S. Dryer and Martin Haspelmath. Leipzig: Max Planck Institute for Evolutionary Anthropology. Available online: https://wals.info/chapter/81 (accessed on 11 August 2022).
- Dryer, Matthew S. 2013c. Position of negative morpheme with respect to subject, object, and verb. In The World Atlas of Language Structures Online. Edited by Matthew S. Dryer and Martin Haspelmath. Leipzig: Max Planck Institute for Evolutionary Anthropology. Available online: https://wals.info/chapter/144 (accessed on 7 March 2022).
- Dryer, Matthew S., and Orin D. Gensler. 2013. Order of object, oblique, and verb. In The World Atlas of Language Structures Online. Edited by Matthew S. Dryer and Martin Haspelmath. Leipzig: Max Planck Institute for Evolutionary Anthropology. Available online: https://wals.info/chapter/84 (accessed on 11 August 2022).
- Dryer, Matthew S., and Martin Haspelmath, eds. 2013. The World Atlas of Language Structures Online. Leipzig: Max Planck Institute for Evolutionary Anthropology. Available online: https://wals.info (accessed on 18 August 2022).
- Du Ryer, André. 1630. Rudimenta Grammatices Linguae Turcicae. Paris: Antoniu Vitray. [Google Scholar]
- Erguvanlı, Eser E. 1984. The Function of Word Order in Turkish Grammar. Berkeley: University of California Press. [Google Scholar]
- Friedman, Victor A. 1982. Balkanology and Turcology: West Rumelian Turkish in Yugoslavia as Reflected in Prescriptive Grammar. Studies in Slavic and General Linguistics 2: 1–77. [Google Scholar]
- Friedman, Victor A. 2006. West Rumelian Turkish in Macedonia and adjacent areas. In Turkic Languages in Contact. Edited by Hendrik Boeschoten and Lars Johanson. Wiesbaden: Harrassowitz Verlag, pp. 27–45. [Google Scholar]
- Gallotta, Aldo. 1986. Latin Harfleriyle Yazılmış Birkaç Osmanlı Atasözü. İstanbul Üniversitesi Edebiyat Fakültesi Türk Dili ve Edebiyatı Dergisi 24–25: 235–249. [Google Scholar]
- Göksel, Aslı, and Celia Kerslake. 2005. Turkish: A Comprehensive Grammar. London and New York: Routledge. [Google Scholar]
- Gülsevin, Gürer. 2017. Yaşayan Türkiye Türkçesi Ağızlarının Tarihî Dönemlerini Belirleyebilmek İçin Bir Yöntem Denemesi Örneği: XVII. Yüzyıl Batı Rumeli Türkçesi Ağızları. Ankara: Türk Dil Kurumu Yayınları. [Google Scholar]
- Günşen, Ahmet. 2010. Rumeli Ağızlarının Söz Dizimi Üzerine I: Makedonya ve Kosova Türk Ağızları Örneği. Turkish Studies 5: 462–94. [Google Scholar]
- Günşen, Ahmet. 2012. Balkan Türk Ağızlarının Tasnifleri Üzerine Bir Değerlendirme. Turkish Studies 7: 111–29. [Google Scholar]
- Haider, Hubert. 1992. Branching and Discharge. Working Papers of the SFB 340 23. Stutgart: University of Stuttgart. [Google Scholar]
- Haider, Hubert. 2010. The Syntax of German. Cambridge: Cambridge University Press. [Google Scholar]
- Haider, Hubert. 2013. Symmetry Breaking in Syntax. Cambridge: Cambridge University Press. [Google Scholar]
- Haider, Hubert. 2015. Head directionality. In Contemporary Linguistic Parameters. Edited by Antonio Fábregas, Jaume Mateu and Michael T. Putnam. London and New York: Bloomsbury Academic, pp. 73–97. [Google Scholar]
- Haider, Hubert, and Luka Szucsich. 2022. Slavic Languages—“SVO” Languages without SVO Qualities? Theoretical Linguistics 48: 1–39. [Google Scholar] [CrossRef]
- Haliloğlu, Neşe. 2017. Zavet Köyü Türk Ağzı. Unpublished Master’s thesis, Ahi Evran University, Kırşehir, Turkey. [Google Scholar]
- Haspelmath, Martin. 1998. How Young is Standard Average European? Language Sciences 20: 271–87. [Google Scholar]
- Haspelmath, Martin. 2001. The European linguistic area: Standard Average European. In Language Typology and Language Universals: An International Handbook. Edited by Martin Haspelmath, Ekkehard König, Wulf Oesterreicher and Wolfgang Raible. Berlin: Walter de Gruyter, vol. 2, pp. 1492–510. [Google Scholar]
- Hazai, György. 1960. Textes Turcs du Rhodope. Acta Orientalia Academiae Scientiarum Hungaricae 10: 185–229. [Google Scholar]
- Hazai, György. 1990. Die Denkmäler des Osmanisch-Türkeitürkischen in nicht-arabischen Schriften. In Handbuch des türkischen Sprachwissenschaft. Edited by György Hazai. Budapest: Akadémiai Kiadó, pp. 63–73. [Google Scholar]
- Heffening, Willi. 1942. Die türkischen Transkriptionstexte des Bartholomaeus Georgievits aus den Jahren 1544–1548. Leipzig: Brockhaus. [Google Scholar]
- Helmholdt, Wolfgang. 1966. Das türkische Vaterunser in Hans Schiltbergers Reisebuch. Central Asiatic Journal 11: 141–43. [Google Scholar]
- Herbinius, Johannes. 1675. Horae Turcico-Catecheticae: Sive Institutio Brevis Catechetica, Cuiusdam Turcae Circumcisi. Danzig: David-Fridericus Rhetius. [Google Scholar]
- İğci, Alpay. 2010. Vıçıtırın-Kosova Türk Ağzı. Unpublished Master’s thesis, Ege University, Izmir, Turkey. [Google Scholar]
- Jable, Ergin. 2010. Kosova Türk ağızları. Unpublished dissertation, Sakarya University, Sakarya, Turkey. [Google Scholar]
- Johanson, Lars. 2021. Turkic. Cambridge Language Surveys. Cambridge and New York: Cambridge University Press. [Google Scholar]
- Kakuk, Suzanne. 1958. Textes Turcs de Kazanlyk II: Zehra Džafer. Acta Orientalia Academiae Scientiarum Hungaricae 8: 241–311. [Google Scholar]
- Kakuk, Suzanne. 1960. Constructions Hypotactiques dans le Dialecte Turc de la Bulgarie Occidentale. Acta Orientalia Hungarica 11: 249–57. [Google Scholar]
- Kakuk, Suzanne. 1961a. Die türkische Mundart von Küstendil und Michailovgrad. Acta Linguistica Academiae Scientiarum Hungaricae 11: 301–86. [Google Scholar]
- Kakuk, Suzanne. 1961b. Türkische Volksmärchen aus Küstendil. Ural-altaische Jahrbücher 33: 90–94. [Google Scholar]
- Kakuk, Suzanne. 1972. Le Dialecte Turc d’Ohrid en Macédoine. Acta Orientalia Academiae Scientiarum Hungaricae 26: 227–83. [Google Scholar]
- Kandybowicz, Jason, and Mark C. Baker. 2003. On Directionality and the Structure of the Verb Phrase: Evidence from Nupe. Syntax 6: 115–55. [Google Scholar] [CrossRef]
- Katona, Louis K. 1969. Le Dialecte Turc de la Macédoine de l’Ouest. Türk Dili Araştırmaları Yıllığı-Belleten 17: 57–194. [Google Scholar]
- Kayne, Richard. 1994. The Antisymmetry of Syntax. Cambridge: MIT Press. [Google Scholar]
- Keskin, Cem, Taner Sezer, Christoph Schroeder, Lale Diklitaş, Zeynep Güler, Nil Özkul, Süleyman Yüceer, Ayşe N. Güler, and Ebru Özgenç. in preparation. Balkan Turkic Corpus. University of Potsdam.
- Keskin, Cem. in press. Rumelian Turkish Features in Pietro Ferraguto’s Grammatica Turchesca (1611). Zeitschrift der Deutschen Morgenländischen Gesellschaft.
- Kirli, Nadejda. 2001. N. N. Baboglu’nun ‘Legendanın izi’ Adlı Eserinin Cümle Bilgisi Yönünden İncelemesi. Unpublished Master’s thesis, Çukurova University, Adana, Turkey. [Google Scholar]
- Kissling, Hans J. 1968. Bemerkungen zu einigen Transkriptionstexten. Zeitschrift für Balkanologie 6: 119–27. [Google Scholar]
- Koeneman, Olaf. 2000. The Flexible Nature of Verb Movement. Utrecht: LOT Publications. [Google Scholar]
- Koopman, Hilda. 1984. The Syntax of Verbs. Dordrecht: Foris. [Google Scholar]
- Kornfilt, Jaklin. 1997. Turkish. London and New York: Routledge. [Google Scholar]
- Kowalski, Tadeusz. 1933. Les Turcs et la Langue Turque de la Bulgarie du Nord-Est. Krakow: Polska Akademia Umiejętności. [Google Scholar]
- Matras, Yaron. 2009. Language Contact. Cambridge: Cambridge University Press. [Google Scholar]
- Matras, Yaron, and Şirin Tufan. 2007. Grammatical borrowing in Macedonian Turkish. In Grammatical Borrowing in Cross-Linguistic Perspective. Edited by Yaron Matras and Jeanette Sakel. Berlin: Mouton de Gruyter, pp. 215–27. [Google Scholar]
- Menz, Astrid. 1999. Gagausische Syntax: Eine Studie zum kontaktinduzierten Sprachwandel. Wiesbaden: Harrassowitz Verlag. [Google Scholar]
- Menz, Astrid. 2014. Gagauz. Journal of Endangered Languages 3: 55–69. [Google Scholar]
- Mollova, Mefküre. 1970. Coïncidences des zones linguistiques bulgares et turques dans les Balkans. In Actes du 10e Congrès International des Linguistes. Bucharest: Editions de l’Académie de la Republique Socialiste de Roumanie, pp. 217–21. [Google Scholar]
- Németh, Gyula. 1956. Zur Einteilung der türkischen Mundarten Bulgariens. Sofia: Bulgarische Akademie der Wissenschaften. [Google Scholar]
- Németh, Gyula. 1968. Die türkische Sprache des Bartholomaeus Georgievits. Acta Linguistica Academiae Scientiarum Hungaricae 18: 263–71. [Google Scholar]
- Németh, Gyula. 1970. Die türkische Sprache in Ungarn im siebzehnten Jahrhundert. Bibliotheca Orientalis Hungarica 13. Budapest: Akadémiai Kiadó. [Google Scholar]
- Németh, Gyula. 1980. Bulgaristan Türk Ağızlarının Sınıflandırılması Üzerine. Türk Dili Araştırmaları Yıllığı-Belleten 1981: 113–67. [Google Scholar]
- Özkan, Nevzat. 1996. Gagavuz Türkçesi Grameri. Türk Dil Kurumu Yayınları 657. Ankara: Atatürk Kültür, Dil ve Tarih Yüksek Kurumu. [Google Scholar]
- Özkan, Nevzat. 2007. Gagavuz Destanları. Türk Dil Kurumu Yayınları. Ankara: Atatürk Kültür, Dil ve Tarih Yüksek Kurumu. [Google Scholar]
- Pokrovskaja, Ljudmila A. 1979. Nekotorye osobennosti sintaksisa gagauzskogo jazyka i balkansko-tureckix govorov. In Problemy Sintaksisa Jazykov Balkanskogo Areala. Leningrad: Nauka, pp. 199–225. [Google Scholar]
- Pollock, Jean-Yves. 1989. Verb Movement, Universal Grammar, and the Structure of IP. Linguistic Inquiry 20: 365–424. [Google Scholar]
- Simovski, Apostol. 2022. Census 2021; Republic of North Macedonia State Statistical Office. Available online: https://www.stat.gov.mk/PrikaziSoopstenie_en.aspx?rbrtxt=146 (accessed on 4 August 2022).
- Slobin, Dan. 1978. Universal and Particular in the Acquisition of Language. Presented at workshop-conference on Language Acquisition: State of the Art, Philadelphia, PA, USA, May 1978. [Google Scholar]
- Stein, Heidi. 2016. The Dialogue between a Turk and a Christian in the Grammatica Turchesca of Pietro Ferraguto (1611). Syntactical features. In Spoken Ottoman in Mediator Texts. Edited by Éva Á. Csató, Astrid Menz and Fikret Turan. Wiesbaden: Harrassowitz Verlag, pp. 161–71. [Google Scholar]
- Sulçevsi, İsa. 2019. Kosova Türkçesi ve Fiil Yapıları. Unpublished dissertation, Istanbul University, Istanbul, Turkey. [Google Scholar]
- Teza, Emilio. 1892. Un Dialogo Turco Fatto in Italia nel Cinquecento. Rendiconti della R. Accademia dei Lincei 1: 391–407. [Google Scholar]
- Thráinsson, Höskuldur. 1984. Different types of infinitival complements in Icelandic. In Sentential Complementation. Edited by Wim de Geest and Yvan Putseys. Dordrecht: Foris, pp. 247–56. [Google Scholar]
- Thráinsson, Höskuldur. 2007. The Syntax of Icelandic. Cambridge Syntax Guides. Cambridge: Cambridge University Press. [Google Scholar]
- Uzun, Engin. 2000. Anaçizgileriyle Evrensel Dilbilgisi ve Türkçe. Istanbul: Multilingual. [Google Scholar]
- van der Auwera, Johan. 2011. Standard Average European. In The Languages and Linguistics of Europe: A Comprehensive Guide. Edited by Bernd Kortmann and Johan van der Auwera. Berlin: Mouton de Gruyter, vol. 1, pp. 291–306. [Google Scholar]
- Weil, Gotthold. 1953. Ein unbekannter türkischer Transkriptionstext aus dem Jahre 1489. Oriens 6: 239–65. [Google Scholar] [CrossRef]
- Whorf, Benjamin L. 1944. The Relation of Habitual Thought and Behavior to Language. ETC: A Review of General Semantics 1: 197–215. [Google Scholar]
- Wiese, Heike, Artemis Alexiadou, Shanley Allen, Oliver Bunk, Natalia Gagarina, Kateryna Iefremenko, Esther Jahns, Martin Klotz, Thomas Krause, Annika Labrenz, and et al. 2021. RUEG Corpus. Available online: https://korpling.german.hu-berlin.de/annis3/#c=rueg (accessed on 10 August 2022).
- Zabërgja, Sabri, Kadri Sojeva, Avni Kastrati, Zymer Maxhari, Rrahman Tara, Dren Gashi, and Hysni Ferizi. 2013. Population by Mother Tongue, Sex and Municipality 2011; Kosovo Agency of Statistics. Available online: https://askdata.rks-gov.net/pxweb/en/ASKdata/ASKdata__Census%20population__Census%202011__3%20By%20Municipalities/tab%205%206.px (accessed on 4 August 2022).
- Zaiontz, Charles. 2020. Real Statistics Using Excel. Available online: https://www.real-statistics.com/free-download/ (accessed on 20 April 2020).



| Mam | Kar | Kaz | Gji | Priz | Raz | Res | Ali | Ohr | Jen | Kon | Jan | Chi | Buc | Mit | Pris | Mon | Dob | Vuc | Pej | Kyu | Oss | Tom | Bes | Ode | VX | |
| Vbar | 9% | 15% | 16% | 26% | 17% | 14% | 8% | 14% | 31% | 39% | 37% | 41% | 38% | 34% | 55% | 58% | 35% | 54% | 67% | 84% | 41% | 57% | 67% | 74% | 50% | 35% |
| Vacc | 38% | 48% | 28% | 63% | 38% | 48% | 22% | 46% | 18% | 62% | 68% | 50% | 63% | 65% | 64% | 59% | 69% | 65% | 45% | 56% | 70% | 74% | 79% | 73% | 79% | 53% |
| Vobl | 24% | 44% | 34% | 18% | 47% | 74% | 29% | 63% | 25% | 46% | 53% | 68% | 57% | 63% | 58% | 57% | 70% | 55% | 72% | 65% | 76% | 88% | 70% | 74% | 81% | 54% |
| VEC | 58% | 14% | 35% | 55% | 39% | 43% | 72% | 30% | 66% | 40% | 52% | 58% | 64% | 67% | 69% | 68% | 65% | 75% | 70% | 54% | 70% | 60% | 72% | 70% | 67% | 55% |
| VX | 26% | 28% | 30% | 37% | 37% | 38% | 40% | 40% | 40% | 46% | 53% | 55% | 59% | 60% | 61% | 61% | 63% | 63% | 65% | 66% | 69% | 71% | 72% | 73% | 75% |
| XV | VX | Other | |
|---|---|---|---|
| V+bar | 64.7% | 34.8% | 0.5% |
| V+acc | 46.2% | 52.9% | 0.9% |
| V+obl | 45.3% | 53.5% | 1.2% |
| V+EC | 35.7% | 55.5% | 8.9% |
| Gagauz | Turkish | |
|---|---|---|
| S◊V | 27.6% | 73.8% |
| SV◊ | 49.6% | 11.8% |
| VS◊ | 8.5% | 0.3% |
| V◊S | 3.1% | 0.9% |
| ◊VS | 4.3% | 1.7% |
| ◊SV | 6.8% | 11.5% |
| ◊V | 38.7% | 87.0% |
| V◊ | 61.3% | 13.0% |
| Vbar | Vacc | Vobl | VEC | |
|---|---|---|---|---|
| Vbar | - | 0.39 | 0.51 ** | 0.42 * |
| Vacc | 0.39 | - | 0.56 ** | 0.55 ** |
| Vobl | 0.51 ** | 0.56 ** | - | 0.42 * |
| VEC | 0.42 * | 0.55 ** | 0.42 * | - |
| 14th–17th c. | 20th–21st c. | |
|---|---|---|
| Vbar | 13% | 35% |
| Vacc | 31% | 53% |
| Vobl | 38% | 54% |
| VEC | 59% | 55% |
Disclaimer/Publisher’s Note: The statements, opinions and data contained in all publications are solely those of the individual author(s) and contributor(s) and not of MDPI and/or the editor(s). MDPI and/or the editor(s) disclaim responsibility for any injury to people or property resulting from any ideas, methods, instructions or products referred to in the content. |
© 2022 by the author. Licensee MDPI, Basel, Switzerland. This article is an open access article distributed under the terms and conditions of the Creative Commons Attribution (CC BY) license (https://creativecommons.org/licenses/by/4.0/).
Share and Cite
Keskin, C. On the Directionality of the Balkan Turkic Verb Phrase: Variationist and Theoretical Perspectives. Languages 2023, 8, 2. https://doi.org/10.3390/languages8010002
Keskin C. On the Directionality of the Balkan Turkic Verb Phrase: Variationist and Theoretical Perspectives. Languages. 2023; 8(1):2. https://doi.org/10.3390/languages8010002
Chicago/Turabian StyleKeskin, Cem. 2023. "On the Directionality of the Balkan Turkic Verb Phrase: Variationist and Theoretical Perspectives" Languages 8, no. 1: 2. https://doi.org/10.3390/languages8010002
APA StyleKeskin, C. (2023). On the Directionality of the Balkan Turkic Verb Phrase: Variationist and Theoretical Perspectives. Languages, 8(1), 2. https://doi.org/10.3390/languages8010002

