Next Article in Journal
The Effect of Ethnicity on Identification of Korean American Speech
Next Article in Special Issue
Checked Syllables, Checked Tones, and Tone Sandhi in Xiapu Min
Previous Article in Journal
The Role of Linguistic Typology, Target Language Proficiency and Prototypes in Learning Aspectual Contrasts in Italian as Additional Language
Previous Article in Special Issue
The Phonetics of Tone and Voice Quality Interactions in Sylheti
 
 
Font Type:
Arial Georgia Verdana
Font Size:
Aa Aa Aa
Line Spacing:
Column Width:
Background:
Article

Pitch Range and Voice Quality in Dimasa Focus Intonation

by
Shakuntala Mahanta
1,*,
Amalesh Gope
2 and
Priti Raychoudhury
1,*
1
Department of Humanities and Social Sciences, Indian Institute of Technology Guwahati, Guwahati 781039, India
2
Department of English, Tezpur University, Tezpur 784028, India
*
Authors to whom correspondence should be addressed.
Languages 2021, 6(4), 185; https://doi.org/10.3390/languages6040185
Submission received: 7 May 2021 / Revised: 15 September 2021 / Accepted: 21 October 2021 / Published: 8 November 2021
(This article belongs to the Special Issue Exploring the Interaction between Phonation and Prosody)

Abstract

:
This paper presents an analysis of Dimasa focus intonation. The acoustic analysis shows that narrow focus sentences undergo a jump in the pitch range irrespective of the underlying tonal value of the morpheme it attaches to. In addition to f0 expansion, the prosodic property of focus in Dimasa was found to have different (tense) phonation in morphologically marked narrow focus sentences when compared to the broad focus context. Thus, the tense phonation property of sentences bearing morphological focus is not only an acoustic property of a higher pitch range but may also be an acoustic cue of discourse-level intonation.

1. Introduction

In this paper, we analyze sentences bearing morphological focus in Dimasa. We show that the prosodic cues for focus marking in a language such as Dimasa rest heavily on pitch range modification. Focus marking is morpho-syntactically indicated using a morphological focus marker which triggers a rise in the pitch range of the sentence. The characteristic pitch trends of the lexical tones are preserved along with expansion of the corresponding pitch range. We show in this paper that pitch range expansion is accompanied by tense phonation, and therefore we claim that the morphological focus marker leads to a voice quality change in Dimasa in discourse-level intonation. This study therefore addresses the role of voice quality in focus intonation, an area which has received very little attention in the literature. Previous studies (Kuang and Keating 2014; Kuang and Liberman 2016; Kuang et al. 2016; Kuang and Liberman 2018) have shown that voice quality plays a role in pitch range perception. This study shows from the perspective of production that pitch range differences at the level of intonation are accompanied by additional phonation differences.

1.1. Background: Phonation and Focus

Ladefoged (1971) observed that voicing varies from a relatively open glottis (breathy) through a stable glottal position (modal), to a relatively closed glottis (creaky). Along this continuum, there are two intermediate positions commonly referred to as tense and lax. Tense and lax phonation basically indicate two sides of the continuum, where lax is positioned on the breathier half (more open), and tense is positioned on the creakier half (more closed) (Esposito and Khan 2020). Based on segmental studies, Gordon and Ladefoged (2001) distinguished a falling spectrum from a flat spectrum depending upon whether the glottal constriction was narrower as in creaky phonation, or less so, as in breathy phonation. Unlike breathy and creaky, the spectral properties of tense and lax phonation remained unclear until more recent studies. The difference between the first and second harmonics has been reported to distinguish the lax vs. tense phonation contrasts where lax phonation is realized with relatively higher values (Kuang 2011; Kuang and Keating 2014). Spectral tilt measurements successfully distinguished phonological phonation types in many languages of the world: for example, Zapotec (Esposito 2004), Hmong varieties (Garellek et al. 2013; Keating et al. 2010), Gujarati (Khan 2012), Chong (DiCanio 2012), Yi languages (Kuang and Keating 2014), and Mazatec (Garellek and Keating 2011; Keating et al. 2010). In general, various spectral measurements associate higher and positive spectral values (in dB) with breathy vowels, an intermediate value with modal vowels, and less and often negative values with creaky vowels (Blankenship 2002; DiCanio 2009; Wayland and Jongman 2002; Esposito and Khan 2012). Since tense and lax phonation (somehow) represent the continuum between the breathy and modal and creaky and modal ranges, it is expected that lax phonation will be associated with higher (and positive) spectral values when compared to its tense phonation counterparts. Previous studies have shown that when ‘tense voice’ (Kuang and Liberman 2016; Kuang and Liberman 2018) was used as stimuli, it was perceived as ‘higher’ in pitch. Listeners generally hear higher pitches when the spectrum includes more high-frequency energy (i.e., tenser phonation). The results presented from our experiments further support the hypothesis that voice quality cues are strong indicators of higher-pitch range even at the level of discourse-level intonation. Another important contribution of this paper is, evidently, the use of natural speech to understand the role of phonation in intonational focus. While Kuang and Liberman (2016) and Kuang and Liberman (2018) used synthetic stimuli in their experiments, our results are based on natural speech.
As already mentioned, this study attempts to bridge the gap between research on phonation and the prosodic property of focus. Studies on focus marking in tone languages have shown that discourse-level intonation and lexical tones can use different acoustic properties of f0 movement and f0 range to convey discourse information structure (Chen and Gussenhoven 2008; Xu 1997). Xu (1999) showed that in Mandarin, non-final focus leads to pitch range expansion in the words under focus. Xu et al. (2012) reported focused raising of f0, and an increase in intensity and duration. Pitch expansion of the focus constituent is also attested in Hausa (Leben et al. 1989; Hartmann 2008). Thus, there are multiple instances where pitch modification is employed by a tone language for discourse information structure. Pitch range modification (called register in their work) in Hausa and Jita has previously been discussed in Inkelas and Leben (1990) and in Downing (1996). Das (2016) showed similar pitch range modification in Boro, although no phonation studies were carried out. As the overview of the literature shows, studies on f0 and focus are abundantly available, but in this paper, we address the often overlooked property of phonation when there is pitch range expansion under focus. The study of Esposito (2010) is among the rare instances which looks at the interaction between focus and phonation. She showed that in Santa Ana del Valle Zapotec, the otherwise contrastive phonation in the language is minimized in focus positions. The production of focus is also accompanied by high F0, but the phonation properties are attenuated.
The approach preferred here is to locate the notion of ‘focus’ and ‘prominence’ independent of the different branches of linguistics, and to also understand the influence of phonetic (and, to a lesser extent, phonological) properties on focus structure (determined by syntax/semantics). We consider the sub-categories of ‘broad’ and ‘narrow’ focus in this paper1. The specific instances of the narrow focus sentences that we consider here are utterances which signal new information by means of a morphological marker. Hence, we call them morphologically marked focus or morphological focus (abbreviated as MF) throughout this paper. The marker’s presence indicates narrow focus, and it is also identified as an MF marker or morphological focus marker.

1.2. The Dimasa Language and Its Tonal Properties

Dimasa belongs to the Boro Garo subgroup of the Tibeto Burman family of languages. There are 16 consonants: p, b, t, d, k, g, ʒ, s, h, r, m, n, ŋ, l, w, j, and six vowels: a, i, u, e, o, ə/.2. Most of the languages in this subgroup are tonal languages, except for Garo. Although Dimasa monosyllables have a few instances of glottal codas, we did not find a consistent correspondence between these glottal stops and the lexical tones. Phonation is also not contrastive in Dimasa. Dimasa attests two lexical tones, namely, high and low tones (Jacquesson 2008). Sarmah (2009) found three tones—high, mid, and low. The mid tone varies from the high tone in that the high tone has a rise and forms a contour in its latter part, whereas the mid tone remains a level tone. The distinction between all three tones is essentially realized in the latter part of the syllable in monosyllabic words, and in the second syllable in disyllabic words (Sarmah 2009). The language assigns tone only to the prosodic word, and contrastive tone is attested in the second syllable. Some examples of Dimasa citation tones where three lexical tones can be found are presented below in Table 1a. In Table 1b, we show the words used for illustration of tones in Figure 1 and Figure 2.
Figure 1 below plots the tonal contrast for the high–low pair /bái/‘announce’ and /bài/‘dance’ for the f0 direction. Figure 2 plots the pitch tracks of the high–low pair /dáiŋ/‘moon’ and /dàiŋ/‘chop’. A three-way lexical tone contrast was not found for these words. The reason for using these words for illustration was the stable tonal contrast produced by all the speakers, as against the variable production of contrastive tone of the words in Table 1.
We concur with Jacquesson (2008) that only two tones play a role in synchronic Dimasa phonology. The mid tone does not surface contrastively in most sentential patterns, and it seems to be variable, sometimes appearing as a level high tone and, at other times, indistinguishable from the high and low3 tones. In disyllables, Dimasa distinguishes tones based on the pitch variations in the second syllable. The lexical tone is received by the penultimate syllable of the same word when followed by a boundary tone4 in the final syllable. The high tone in Dimasa may surface with a high level pitch contour as in the word for ‘write’/réb/ and with a high rising tone as in the word for ‘blow’/ʃú/. These two variants of the lexical high tone have been argued to be allophonic in Dimasa by Sarmah (2009). He attributes this variance to the inherent property of voiceless consonants which raise the f0 for the words with an underlying high tone. Sarmah shows that the voiceless onsets /ʃ/ (/s/in the inventory we have shown) and /t/ embody their higher inherent frequency on the following vowels and notices a lower frequency in words with the liquid onset /r/.
Tonal alignment in Dimasa is always to the right of the prosodic word, as with its cognate language Boro. Das and Mahanta (2019) showed that, in Boro, the lexical tone shifts to a toneless suffix when the suffix is attached to a monosyllabic stem. However, suffixes with a prespecified underlying tone are not amenable to tonal change since the right edge of the prosodic word is already associated with a lexical tone. As shown in Table 2 and the following figures in Figure 3, the underlying tone of the stem tone aligns with the suffix.
This pattern is demonstrated by the time-normalized pitch contours in Figure 3. The lexical tone of the word for fire, wái, is high which surfaces as a rise and then a fall.
In the derived disyllabic word /wai-ké/‘fire-ACC’, the high tone follows the right-alignment pattern as the underlying high tone of the stem /wái/‘fire’ shifts to the accusative marker /-ke/. Each morpheme is represented by ten separate time points in Figure 4. It is distinctly visible that the pitch rises significantly from the onset of the accusative suffix here.

2. Recording Procedures, Materials, and Data Collection

This study was conducted on intonation patterns produced by Dimasa speakers residing in Haflong, in the northern half of Dima Hasao District, an administrative district of the Indian state of Assam. Nine native speakers of Dimasa (5 females, 4 males) of the age group 22–32 were recorded in a quiet room. Most speakers shared a fluency of English and Haflong-Hindi as well. For the experiment, native speakers of Dimasa were recorded in a quiet classroom of Haflong College and Dimasa Students’ Union’s office. Sentences were elicited in response to previously prepared questions, where the corresponding questions to elicit broad focus vs. narrow focus utterances were asked in Dimasa by one speaker to another. They practiced the task once before the recording started. Speech data were recorded with a Shure unidirectional head-worn microphone connected to a Tascam DR MKII 100 recorder (ensuring a constant microphone-to-mouth distance) via an xlr jack. Praat (Boersma and Weenik 2019) was used for segmentation and annotation of the data. For broad focus, declarative sentential forms in SOV order were elicited. In order to understand the influence of tones adjacent to the focus target, we tried to elicit as many tonal combinations as possible, i.e., HHH, HMH, LHL, LLL, and other possible combinations. For narrow focus, the morphological focus markers on subjects, objects, and verbs in three different forms of each sentence were adjoined. This experiment was part of a bigger experiment on Dimasa tones and intonation. Hence, various types of question and answer pairs (topicalized, contrastive, broad, narrow, and some other declarative utterances not related to the focus experiment) were mixed in the elicitation process. This ensured that there was enough variation in the elicitation process, precluding the need for separate sets of filler sentences. Dimasa has been reported to have three tones, and each word is assigned only one tone. In our work, we consider only two tones because of the variable behavior of the mid tone which may well be a neutral tone. Although previous acoustic work on Dimasa tones is available (Sarmah 2009), we also carried out an acoustic analysis on our own using a corpus of 20 monosyllabic lexical pairs.
The MF marker follows the argument while marking focus prominence on the subject or the object and precedes the tense or aspectual markers while the focus is on the verb. The suffix /-sníŋ/ is used to strongly mark prominence on the argument or the predicate that it attaches to and receives phonetic prominence. The Dimasa verb complex can include focus marking for a number of syntactic categories. The verb under focus is reduplicated in Dimasa. The first occurrence of the verb is uninflected and is followed by the MF marker /-sníŋ/, and it is not inflected for tense or number.
We considered MF sentences which were compared to broad focus sentences for this study. Our data for broad focus had 28 sentences in 3 iterations elicited from 8 speakers. The data for MF sentences consisted of 18 sentences from the same list which were elicited from 9 speakers with 3 iterations each. We segmented, labeled, and analyzed the data across all the speakers and iterations. The suffix /-sníŋ/ which follows the argument is the MF marker of the subject. See Appendix A for the sentences used in this paper.
This phenomenon is presented for visual inspection in Figure 4a, where the contrast between the sentences in broad focus and MF sentences is presented in their time-normalized f0 courses. The difference between the subject and the object in broad focus and MF sentences is visualized in the time-normalized course of f0 in Figure 4a,b. The difference between the verb in the broad focus and MF sentences is visualized in Figure 4c.

2.1. Acoustic Measurments: F0 and Duration

Both f0 and duration measurements were obtained from the nucleus of each syllable. For the normalized pitch value, each target word was measured for pitch at 10 consecutive points starting from the onset until the offset of the vowel/rime, i.e., start pitch to end pitch (0–100%), each point representing 10% of the total length of the pitch track. The average pitch value of the time-normalized values of each speaker’s production of homophonous words was drawn in contours to see the pitch contrast.
Wherever required (especially for the tone experiment), the average pitch value of the time-normalized values of homophonous words was drawn in contours to see the pitch variation, as shown in Figure 1. The target words were measured by segmenting individual sound files into phonemes, and PRAAT text grid files were created for the acoustic measurement of each target word.
The duration of each vowel in the subject, object, and verb positions in both MF and broad focus positions was obtained by running the prosody pro script.
The time-normalized pitch range of the entire sentence was considered for measuring pitch contours of individual sentences. Pitch range differences between MF and broad focus sentences for each sentence type were compared. The normalized pitch range of MF sentences was compared with that of the corresponding broad focus sentences. The MF sentences with focus on the subject, object, and verb in all the sentences (expressed by the morphological focus marker /-sníŋ/) were compared with their corresponding sentences with no focus. Duration, minf0, maxf0, and meanf0 of the focus vowels/words from the sentences were further measured by running two different PRAAT scripts to extract all the values.

2.2. Phonation Analysis

To examine the effect of voice quality of the vowels in broad focus vis-a-vis MF (narrow focus) contexts, we used the same sentences which were used to explore the focus-related properties as discussed above (Section 2.1). The target vowels in the subject position of a given sentence include [a] as in /aŋ/‘I’, [i] as in /niŋ/‘you’, and [u] as in /bu/‘he’. Similarly, the vowels in the object position include [u], [e], and [i] as in [bumu] ‘name’, /bune/‘3P-ACC’, /ʒuli-ke/‘bag’, /ri/‘cloth’, and /sisa-ke/’dog’. We compared the acoustic properties of the vowels occurring in broad focus sentences with those of the vowels in MF contexts.
It must be noted that the quality of the vowel may also impact the spectral tilt measurements. For example, the low F1 of a vowel directly influences the amplitude of the first and second harmonics (Iseli et al. 2007). For a long time, there was a tendency to ignore using high vowels to determine the phonation quality in a given language. To address this issue, Shue et al. (2011) incorporated the advancements of algorithms to correct the formant frequency and bandwidths (Hanson 1995; Iseli et al. 2007) in VoiceSauce. VoiceSauce is a free program that computes a variety of acoustic measurements including f0, formant frequencies, and harmonic amplitudes with corrections for surrounding formant frequencies and bandwidths. In this study, we included both high and low vowels and generated the corrected spectral values in VoiceSauce for the purpose of analysis.
Furthermore, studies also reported that the phonation qualities might reflect differences in male and female speakers due to different physiological properties (Simpson 2012; Hanson and Chuang 1999). In our case, we observed consistent results across gender. Therefore, we did not separate the male and female speakers’ data in our analysis.
The acoustic components6 considered in this study include amplitude differences of various harmonics and formants, viz., H1*-H2*, H1*-A1*, H1*-A2*, and H1*-A3*. Among these four acoustic measurements, the difference between the amplitudes of the first and second harmonics (H1*-H2*) and the difference between the amplitudes of the first harmonic and third formant (H1*-A3*) have been reported to systematically distinguish different phonation types in many languages (Garellek and Keating 2011; Keating et al. 2010; Blankenship 2002; DiCanio 2009; Esposito 2010). In a cross-linguistic study, Keating et al. (2010) observed that only H1*-H2* is capable of distinguishing different phonation categories both across and within languages. Blankenship (2002), on the other hand, observed that H1*-A2* is better at distinguishing breathy voice from modal voice. The findings of these studies indicate that there is consistency in the way the phonation differences are reflected in different languages in terms of different acoustic components. In this study, we therefore decided to examine the above-mentioned acoustic measurements, viz., H1*-H2*, H1*-A1*, H1*-A2*, and HI*-A3*, to explore the phonation qualities (if any) of the vowels bearing MF in different positions (viz., subject, object, and verb) of a sentence. The acoustic measurements were carried out automatically at every millisecond of the target vowel duration in VoiceSauce. The values were averaged across nine equal time points for each vowel to examine the acoustic changes (if any) over these time points.

3. Results

3.1. Pitch Range Results

An ANOVA test (conducted in IBM SPSS 20.0), where the duration of the vowel was the dependent variable and focus type (broad and MF) was the independent variable, was conducted. The corresponding vowels without focus for 220 subject, object, and verb tokens showed significant differences (subject [(1, 38) = 13.06; p < 0.001], object [F (1, 38) = 12.01; p < 0.001], and verb [F (1, 38) = 10.3; p < 0.001]). Duration was not found to be significantly different between MF and broad focus sentences.
Additionally, a visible difference in the pitch contour was found between MF and broad focus sentences. Irrespective of the difference in tonal sequences in the sentences, the pitch contour for the MF sentences always has an overall higher pitch when compared to that of the corresponding broad focus contour. The pitch contour variation between the broad focus and MF sentences shows up as a cue for identification of sentence patterns in Dimasa. The following figures provide an idea of the pitch range variations found among broad focus and MF sentences. The pitch tracks show that the contours for each type vary with respect to broad focus and narrow focus. Prosodic cues for focus marking in a tone language such as Dimasa rest heavily on pitch range modification in a way which allows lexical tones to preserve their characteristic f0 trends. No difference among the focus and post-focus parts could be found. The results show the pitch range variation for broad and MF sentences for three representative sentences with three different tonal sequences, namely, HHH, LLHL, and HLLL. The diagrams below in Figure 4 demonstrate that the pitch range for MF is higher than that for the broad focus sentences.
Examination of the pitch contours of the sentences containing the morphological focus marker /-sníŋ/‘only’ also revealed that they bear another local effect. The pitch contours of such sentences reveal that the MF markers occurring in non-final positions surface with a higher F0 peak than the preceding tone. There is noticeably a downslope of the post-subject and post-object constituents, although the pitch range variations between MF and broad focus is still maintained. It can be seen in the pitch tracks in Figure 4 that it is not only the time-normalized F0 contour for the MF marker /sniŋ/‘only’ which rises to a distinct higher target but the entire pitch contour also undergoes pitch range expansion. A comparison between the vowels bearing MF and the corresponding vowels without focus for the subject, object, and verb showed significant differences (subject [(1, 38) = 13.06; p < 0.001], object [F (1, 38) = 12.01; p < 0.001], and verb [F (1, 38) = 10.3; p < 0.001]). The duration was not found to be significantly different between MF and broad focus sentences.

3.2. Voice Quality Results

Voice quality variations in the vowels occurring in the subject position: All the acoustic components7, viz., H1*-H2*, H1*-A1*, H1*-A2*, and H1*-A3*, showed a reduction in spectral values in the vowels occurring in the focus conditions. This was observed across all the vowels (viz., [a, u, i]) considered in this study. A one-way ANOVA was conducted to compare the spectral values of the vowels occurring in the subject focus condition with their counterparts in the broad focus conditions. In this test, focus conditions (viz., MF vs. broad focus) were the dependent variables, and the various acoustic components (viz., H1*-H2*, H1*-A1*, H1*-A2*, and H1*-A3*) were deemed to be the independent variables. A comparison of the mean values of the vowels occurring in the MF contexts indicated a significant interaction between the acoustic correlates and the focus types. Interestingly, all four acoustic correlates, viz., H1*-H2* [F (1, 80) = 33.52; p < 0.001], H1*-A1* [F (1, 80) = 31.52; p < 0.0001], H1*-A2* [F (1, 80) = 41.32; p < 0.0001], and H1*-A3* [F (1, 80) = 19.55; p < 0.0001], confirm that the (reduced) spectral values associated with the low vowel [a] (/aŋ/‘I’) in subject focus conditions are significantly low when compared to the vowels in broad focus conditions. However, only two of those four acoustic components, viz., H1*-H2* ([F (1, 60) = 37.32; p < 0.001] and [F (1, 60) = 17.52; p < 0.001]), and H1*-A3* ([F (1, 60) = 30.52; p < 0.001] and [F (1, 60) = 26.92; p < 0.0001]), indicate a statistically significant reduction in terms of spectral values in the two high vowels [u and i] when they occur in the subject focus conditions, respectively, even though a consistent reduction in the spectrum is also observed for the other two acoustic components, viz., H1*-A1* and H1*-A2*, for both these vowels. The results are shown below in Figure 5.
The overview of the distribution of spectral differences across nine time points for all the vowels occurring in different focus contexts indicates a steady low for the vowels occurring in the MF contexts. While an overall larger spectral difference could be observed for the vowel [a] across all acoustic components and all the time points, for the other two vowels, [u] and [i], such a difference is observed to be greater in the first six time points. This is shown in Figure 6.
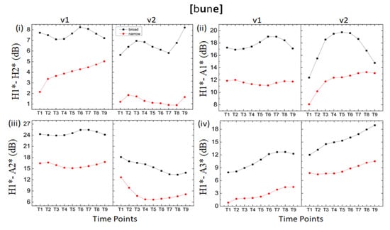
When we survey the voice quality variations in the vowels occurring in the object position, we find that the object vowels representing the (object) focus contexts show a similar spectrum reduction compared to their counterparts occurring in the broad focus context. This trend is similar to the one we observed for the vowels occurring in the subject focus position. The comparison of the mean spectral values for all the acoustic components, viz., H1*-H2* ([F (1, 54) = 32.32; p < 0.0001] and [F (1, 54) = 15.22; p < 0.001]), H1*-A1* ([F (1, 54) = 38.24; p < 0.0001] and [F (1, 54) = 28.22; p < 0.001]), H1*-A2* ([F (1, 54) = 53.32; p < 0.0001] and [F (1, 54) = 35.52; p < 0.001]), and H1*-A3* ([F (1, 54) = 26.42; p < 0.0001] and [F (1, 54) = 19.51; p < 0.001]), confirmed a significant spectrum reduction for both the vowels occurring in the object focus context compared to their counterparts in broad focus conditions. The mean spectral values of /u/ and /e/ in the subject position are presented in Figure 7.
As expected, a spectrum reduction was observed across all nine time points in both vowels occurring in the MF context. This is shown in Figure 8.

4. Discussion

The spectral reduction in the vowels occurring in the morphologically marked narrow focus context confirms that native Dimasa speakers make use of voice quality properties to distinguish MF contexts from broad focus conditions (along with pitch range differences). Recall the discussion in Section 1.1, where the distribution of tense and lax in the breathiness–modal–creaky continuum was discussed. In this context, Gordon and Ladefoged (2001) observed that the involvement of increased constriction in the laryngeal area may lead to a resemblance of creaky phonation; however, tense phonation does not precisely fall under the rubric of creaky phonation. Tense phonation, thus, falls under the creaky–modal range. Lax phonation, on the other hand, is expected to carry a similar glottal configuration to breathy phonation. However, the glottal configuration of lax phonation is likely to be less extreme, since it is only slightly breathy (Ladefoged and Maddieson 1996). Lax phonation, therefore, falls under the breathy–modal range. Generally, the spectral balance and tilt measures are reported to be the highest for breathy phonation, intermediate for modal, and the lowest (and often negative) for creaky phonation. Concomitantly, relatively higher and positive spectral values are expected for both lax and tense phonation types. In such cases, spectral values are expected to be higher for lax phonation compared to tense phonation types. In this context, it must be noted that a higher f0 is often realized in tense voice due to coarticulatory effects. In Dimasa, we observed an increased f0 (Figure 9) in the vowels associated with MF conditions.
Naturally, an important question which arises at this point is whether the spectral differences observed through different acoustic measurements (reduced spectral values for the vowels associated with MF contexts) are a by-product of a higher f0 borne out due to MF conditions. In this context, it is relevant to note that several Tibeto-Burman languages are known to have phonation-based register contrast (tense vs. lax) that is historically derived (Kuang 2011). Furthermore, Dimasa does not have breathiness contrasts in its consonant inventory. The language, at present8, attests a two-way tonal contrast in utterances (viz., high vs. low). While it is not possible to justify, at this point, that the phonation differences play an absolute role (and are the sole differentiating element) in identifying the differences in Dimasa intonation, we can argue that the phonation differences reported in this paper may facilitate the perception of focus-related information in this language (along with the f0 differences). The significant reduction in spectral values associated with the vowels in MF contexts appears to be in the continuum of modal to creaky (hence, tense phonation), for all the vowels representing the MF condition occurring in different positions of a sentence, viz., subject, object, and verb. On the other hand, the vowels representing the broad focus context are associated with higher spectral values and thus fall under the modal-to-breathy continuum (lax phonation). Although perception studies could not be carried out9, we predict that tense phonation would be a good cue to perceive the MF contexts in Dimasa.

5. Conclusions

These results, that is, the way that tense phonation is associated with pitch range in the MF condition, bear important implications for any theory of focus prosody. Dimasa presents an instance where pitch raising and voice quality changes are recruited for prosodic purposes. This generates great interest for the typology of intonation since it employs neither phonological rephrasing (Ladd 1996; Downing 2006, 2007, 2008) nor sentence stress (Szendröi 2003; Truckenbrodt 1995; Samek-Lodovici 2005) for its focus prosody. In sum, the results for focus marking in Dimasa show how prosodic information and voice quality can play a vital role in information structure in addition to the support it provides to lexical tones. They also show how the acoustic aspects of a tone language can employ different aspects of acoustic possibilities for tone and intonation. Further, they also show the role of voice quality in the organization of information structure in tone languages.
Previous studies of tone languages have shown that f0 is not the sole property of tonally contrastive lexical items. There are languages where voice quality plays a major role in addition to f0 or even instead of f0, indicating tonal or register contrast (Bradley 1982; Brunelle 2005; Brunelle 2009; DiCanio 2009; Esposito 2012; Kuang 2013; Laver 1980; Ladefoged 1971). In this paper, we report findings from Dimasa, a language where there is no contrastive phonation, but we show that at the discourse structure level, higher pitch correlates with phonation differences only in specific focus types. Therefore, in addition to f0, the prosodic property of morphologically marked narrow focus sentences attests a different phonation (in the range of modal to tense) than that from the broad focus context. Thus, unlike other tone languages where voice quality plays a role at the segmental level, in Dimasa, the phonation property of modal to tense along with the higher pitch range of the sentence bearing morphological focus can be considered to be the acoustic cues, apart from the morphological information of the presence of the morphological focus marker. Finally, this paper also indicates that voice quality may serve as a perceptual cue for prosodic information at the discourse structure level which may be explored in further research on Tibeto-Burman languages.

Author Contributions

Conceptualization, S.M.; methodology, S.M. and A.G.; software, S.M. and A.G.; validation, S.M.; formal analysis, S.M.; investigation, S.M. and P.R.; resources, S.M. And P.R.; data curation, P.R.; writing—original draft preparation, S.M.; writing—review and editing, S.M. (whole) A.G. and P.R. (parts); visualization, S.M.; supervision, S.M.; project administration, S.M.; funding acquisition, S.M. All authors have read and agreed to the published version of the manuscript.

Funding

This research was partially funded by DeITy (Department of Information Technology), awarded to Shakuntala Mahanta IITG/SM/P/03.

Institutional Review Board Statement

Ethical review and approval were waived for this study, as it was not related to bio-medical and health research.

Informed Consent Statement

Informed consent was obtained from all subjects involved in the study.

Data Availability Statement

The raw data is available with the corresponding author and can be made available for non-profit, academic and research purposes.

Acknowledgments

We would like to express our sincere thanks to the Dimasa Students’ Union in Haflong and Guwahati for helping us to conduct this study, and gratitude to Shri Amit Daulagupu and Vimi Daulagupu for their kindness and hospitality during our stay in Haflong.

Conflicts of Interest

The authors declare no conflict of interest.

List of Abbreviations

LOC Locative marker
ACCAccusative marker
GENGenitive marker
INSTInstrumental marker
PRESPresent tense marker
PSTPast tense marker
FUTFuture tense marker
PERFPerfective marker
GNOGnomic aspect
REFLEXReflexive marker
ASRTAssertive
SINGSingular
PlPlural
COPCopulative
VNVerbal noun

Appendix A

In the sentences from 1 to 18, /-sníŋ/ was added to the arguments to elicit narrow focus. The rest are for broad focus alone.
  • nìŋ     ninì bumú tsi-là     pu-dù    LLHLL
    2Psing   your name   say-REFLX can-PRES
    you can tell (me) your name
2.
nìŋ     ninì bumú  reb-lá     pu-dù    LLHHL
2Psing   your name  write-REFLX  can-PRES
you can write down your name
3.
áŋ  wai-ké     ʃu-ku-mà   naŋ-dú    HHLH
1PSing fire-ACC   blow-ASP-FUT  need-PRES
I need to blow the fire off
4.
sisà aŋ-ké    wai-bà      LHL
dog 1PSing-DAT  bite-PERF
the dog bit me
5.
ʒìŋ  bu-kè  do-ká      LLH
1P-PL  3P-ACC  hit-PST
we hit him
6.
áŋ    ri-ké    brai-bá     HHH
1P SING  cloth-ACC  buy-PERF
I bought a cloth
7.
áŋ   bu-nè  kìm  ri-kà      HLLL
1P SING 3P SING-ACC flower buy-PST
I gave the flower to him
8.
bù   sisa-kè   ʒig-bá     LLH
3P SING  dog-ACC   kick-PERF
he kicked the dog
9.
bù   ibù ʒuli-ké  kai-bà     LLHL
3P SING this  bag-ACC   carry-PERF
he carried this bag
10.
bù aŋ-ké  bai-bà  nu-kà    LHLL
3PSing  1P-DAT   dance-PST  see-PST
he saw me dance
11.
ʒìŋ buʃu-há  bai-dù      LHL
1P Pl festival-LOC  dance-PRES
we dance at Bushu
12.
ansaraò  jao-bí      LH
kids   make noise-Assrtv
the kids are making noise
13.
ʒìŋ   bu-kè   do-ká      LLH
1P Pl  3P-ACC  beat-PST
we beat him up
14.
áŋ  rí   brai-bá         HHH
1P cloth  buy-PERF
I bought a cloth
15.
ané      dì  naŋ-dù       HLL
1P Sing-ACC   water need-PRES
I want water
16.
áŋ    oraha-ni-sáng    kai-lang-bá      HHH
1PSING there-GEN-from run-GNO-Pst
I ran away from there
17.
bù     tsi-ká        LH
3PSing die-PST
he died
18.
bù  sainlai-bà hemsíníŋ di-bí      LLHH
3P SING talk-PST  very   sweet-Assertv
he can talk very sweetly
19.
áŋ   duhà ʒi-má      HLH
1P SING now eat-FUT
I will eat now
20.
nìŋ    ibù mogoŋ-ké   lai-ʒáŋ  rèb   pu-dù   LLHHLL
2Psing this   meat-ACC banana leaf-INST  wrap can-PRES
you wrap this meat in banana leaf
21.
áŋ    aní   jao-ké  ʃu-mà      HHHL
1P SING  1P-GEN hand-ACC-FUT
I will wash my hand
22.
áŋ    màkàm ʒi-má   naŋ-dú      HLHH
1P SING  rice eat-FUT   need-PRES
I need to eat rice
23.
bunʃí naolai-hà   graoʒámá    bai-bá     HLHH
3P-Pl village-LOC   words-declaration  announce-PST
they made an announcement in the village
24.
nìŋ    ibù mogoŋ-ké   basà basà   klaihì   dáiŋ  LLHLLLH
2P SING this meat-ACC   small small   do-VN  chop
chop this meat into little pieces
25.
ibù   kìm   buʃù rao-bí      LLLH
this  flower  thorn has Assrtv
this flower has thorns
26.
áŋ aní   jao-ké   ʃu-mà      HHHL
1P 1P-GEN hand-ACC   wash-FUT
I will wash my hand
27.
ʒìŋ  dò   ʣa-dù      LLL
1P Pl six COP-PRES
Only we are six in number
28.
ané  dì   naŋ-dù        HLL
1P-ACC water  need-PRES
I want water

Notes

1
Broad focus and narrow focus have been understood and elicited for the purpose of this paper as responses to the two types of questions below:
(1a) What happened?
(1b) What did he eat?
The two questions are understood to give rise to two different focus conditions (where capitalization indicates that the word receives a nuclear accent):
(2a) [F He ate a PIZZA]—Broad Focus
(2b) He ate [F a PIZZA]—Narrow Focus
In 2b, the new information receives the focus, whereas in 2a, the entire sentence is under focus, and hence broad focus.
2
Both Jacquesson (2008) and Sarmah (2009) reported 16 consonants. Jacquesson (2008) reported five vowels, while Sarmah (2009) reported six vowels. Sarmah reported the sixth vowel (the so-called sixth vowel in Boro Garo languages, Joseph and Burling 2006) as ɘ. We found it to be akin to the schwa.
3
This distribution may very well be the result of it being the neutral tone, and more investigation is required to decide on the status of the mid tone.
4
The boundary tone in declarative utterances is an L% or an HL% in Dimasa, resulting in boundary lowering.
5
The third-person singular is not marked for gender in Dimasa. It is transcribed as /bo/ in Longmailai (2012).
6
We examined a few other measurements as well, viz., energy, CPP, and H2*–H4*. However, none of these measurements display any consistency. Hence, we do not report these measurements in this paper.
7
One of the reviewers suggested the use of normalized spectral values. It must be noted that spectral values are automatically generated in VoiceSauce (Shue et al. 2011), and the corrected values have been used in this paper for further analysis.
8
We recorded and examined the tonal properties in Dimasa as part of the current project and found a two-way tonal contrast in the variety that we examined.
9
The current pandemic situation did not allow us to reach out to an adequate number of respondents for responses.

References

  1. Blankenship, Barbara. 2002. The timing of nonmodal phonation in vowels. Journal of Phonetics 30: 163–91. [Google Scholar] [CrossRef] [Green Version]
  2. Boersma, Paul, and David Weenik. 2019. Praat: Doing Phonetics by Computer (Version 5.3.04_win32) [Computer Programme]. Available online: http://www.praat.org/ (accessed on 12 January 2012).
  3. Bradley, David. 1982. Register in Burmese. In Tonation. Edited by Bradley David. Canberra: Pacific Linguistics, the Australian National University, pp. 117–32. [Google Scholar]
  4. Brunelle, Marc. 2005. Register and tone in Eastern Cham: Evidence from a word game. Mon-Khmer Studies 35: 121–31. [Google Scholar]
  5. Brunelle, Marc. 2009. Tone perception in Northern and Southern Vietnamese. Journal of Phonetics 37: 79–96. [Google Scholar] [CrossRef]
  6. Chen, Yiya, and Carlos Gussenhoven. 2008. Emphasis and tonal implementation in Standard Chinese. Journal of Phonetics 36: 724–46. [Google Scholar] [CrossRef]
  7. Das, Kalyan. 2016. Tone and Intonation in Boro. Unpublished Ph.D. dissertation, IIT Guwahati, Guwahati, India. [Google Scholar]
  8. Das, Kalyan, and Shakuntala Mahanta. 2019. Intonational phonology of Boro. Glossa: A Journal of General Linguistics 4: 103. [Google Scholar] [CrossRef] [Green Version]
  9. DiCanio, Christian. 2009. The Phonetics of Register in Takhian Thong Chong. Journal of the International Phonetic Association 39: 162–88. [Google Scholar] [CrossRef] [Green Version]
  10. DiCanio, Christian. 2012. Coarticulation between tone and glottal consonants in Itunyoso Trique. Journal of Phonetics 40: 1–15. [Google Scholar] [CrossRef]
  11. Downing, Laura J. 1996. The Tonal Phonology of Jita. Munich: LINCOM Europa. [Google Scholar]
  12. Downing, Laura J. 2006. The prosody and syntax of focus in Chitumbuka. ZAS Papers in Linguistics 43: 55–79. [Google Scholar] [CrossRef]
  13. Downing, Laura J. 2007. Focus prosody divorced from stress and intonation in Chichewa, Chitumbuka and Durban Zulu. Paper presented at the ICPhS 2007 Satellite Meeting, Intonational Phonology: Understudied or Fieldwork Languages, Saarbrücken, Germany, August 5. [Google Scholar]
  14. Downing, Laura J. 2008. Focus and prominence in Chichewa, Chitumbuka and Durban Zulu. ZAS Papers in Linguistics 49: 47–65. [Google Scholar] [CrossRef]
  15. Esposito, Cristina M. 2004. Santa Ana del Valle Zapotec phonation. UCLA Working Paper on Phonetics 103: 71–105. [Google Scholar]
  16. Esposito, Christina M. 2010. Variation in contrastive phonation in Santa Ana del Valle Zapotec. Journal of the International Phonetic Association 40: 181–98. [Google Scholar] [CrossRef]
  17. Esposito, Cristina M. 2012. An acoustic and electroglottographic study of White Hmong tone and phonation. Journal of Phonetics 40: 466–76. [Google Scholar] [CrossRef]
  18. Esposito, Christina, and Sameer ud Dowla Khan. 2020. The cross-linguistic patterns of phonation types. Lang Linguist Compass 14: e12392. [Google Scholar] [CrossRef]
  19. Garellek, Marc, and Patricia Keating. 2011. The acoustic consequences of phonation and tone interactions in Jalapa Mazatec. Journal of the International Phonetic Association 41: 185–205. [Google Scholar] [CrossRef] [Green Version]
  20. Garellek, Marc, Patricia Keating, Christina M. Esposito, and Jody Kreiman. 2013. Voice quality and tone identification in White Hmong. The Journal of the Acoustical Society of America 133: 1078–89. [Google Scholar] [CrossRef] [PubMed] [Green Version]
  21. Gordon, Matthew, and Peter Ladefoged. 2001. Phonation types: A cross-linguistic overview. Journal of Phonetics 29: 383–406. [Google Scholar] [CrossRef] [Green Version]
  22. Hanson, Helen. 1995. Glottal Characteristics of Female Speakers. Ph.D. dissertation, Harvard University, Cambridge, MA, USA. [Google Scholar]
  23. Hanson, Helen, and Erika Chuang. 1999. Glottal characteristics of male speakers: Acoustic correlates and comparison with female data. Journal of the Acoustical Society of America 106: 1064–77. [Google Scholar] [CrossRef]
  24. Hartmann, Katharina. 2008. Focus and Emphasis in Tone and Intonational Languages. Edited by Anita Steube. In The Discourse Potential of Underspecified Structures. Berlin and New York: De Gruyter, pp. 389–412. [Google Scholar] [CrossRef]
  25. Inkelas, Sharon, and William Leben. 1990. Where phonology and phonetics intersect: The case of Hausa intonation. In Papers in Laboratory Phonology: Between the Grammar and Physics of Speech. Edited by Beckman Mary and John Kingston. Cambridge: Cambridge University Press, pp. 17–34. [Google Scholar]
  26. Iseli, Markus, Yen-Liang Shue, and Abeer Alwan. 2007. Age, sex, and vowel dependencies of acoustic measures related to the voice source. Journal of the Acoustical Society of America 121: 2283–95. [Google Scholar] [CrossRef] [Green Version]
  27. Jacquesson, Francois. 2008. A Dimasa Grammar. Available online: http://brahmaputra.ceh.vjf.cnrs.fr/bdd/IMG/pdf/Dimasa_Grammar-2.pdf (accessed on 5 May 2021).
  28. Joseph, Umbavu Varghese, and Robbins Burling. 2006. The Comparative Phonology of the Boro Garo Languages. Manasagangotri: Central Institute of Indian Languages. [Google Scholar]
  29. Keating, Patricia, Christina Esposito, Mark Garellek, Sameer ud Dowla Khan, and Jiangjing Kuang. 2010. Phonation contrasts across languages. UCLA Working Papers in Phonetics 108: 188–202. [Google Scholar]
  30. Khan, Sameer ud Dowla. 2012. The Phonetics of Contrastive Phonation in Gujrati. Journal of Phonetics 40: 780–95. [Google Scholar] [CrossRef]
  31. Kuang, Jianjing. 2011. Phonation contrast in two register contrast languages and its influence on vowel quality and tone. Paper presented at the 17th International Congress of Phonetics Sciences, Hong Kong, China, August 17–21; pp. 1146–49. [Google Scholar]
  32. Kuang, Jianjing. 2013. The tonal space of contrastive five level tones. Phonetica 70: 1–23. [Google Scholar] [CrossRef] [PubMed]
  33. Kuang, Jianjing, and Patricia Keating. 2014. Vocal fold vibratory patterns in tense versus lax phonation contrasts. Journal of the Acoustical Society of America 136: 2784–97. [Google Scholar] [CrossRef] [PubMed] [Green Version]
  34. Kuang, Jianjing, and Mark Liberman. 2016. Pitch-range perception: The dynamic interaction between voice quality and fundamental frequency. Paper presented at the Interspeech, San Francisco, CA, USA, September 8–12; pp. 1350–54. [Google Scholar]
  35. Kuang, Jianjing, and Mark Liberman. 2018. Integrating voice quality cues in the pitch perception of speech and non-speech utterances. Frontiers in Psychology 9: 21–47. [Google Scholar] [CrossRef]
  36. Kuang, Jianjing, Yixuan Guo, and Mark Liberman. 2016. Voice quality as a pitch-range indicator. Proceedings of Speech Prosody 2016: 1061–65. [Google Scholar]
  37. Ladd, Robert. 1996. Intonational Phonology, 1st ed. Cambridge: Cambridge University Press. [Google Scholar]
  38. Ladefoged, Peter. 1971. Preliminaries to Linguistic Phonetics. Chicago: University of Chicago Press, pp. 1–123. [Google Scholar]
  39. Ladefoged, Peter, and Ian Maddieson. 1996. The Sounds of the World’s Languages. Oxford: Blackwell, pp. 1–425. [Google Scholar]
  40. Laver, John. 1980. The Phonetic Description of Voice Quality. Cambridge: Cambridge Univeristy Press. [Google Scholar]
  41. Leben, William, Sharon Inkelas, and Mark Cobler. 1989. Phrases and Phrase Tones in Hausa. In Current Approaches to African Linguistics. Dordrecht: Foris, pp. 45–61. [Google Scholar]
  42. Longmailai, Manali. 2012. Personal Pronouns in Dimasa. In Northeast Indian Linguistics Society 4, CUP. Edited by Mark W. Post, Gwendolyn Hyslop and Stephen Morey. New Delhi: Foundation Books, pp. 105–18. [Google Scholar]
  43. Samek-Lodovici, Vieri. 2005. Prosody-syntax interaction in the expression of focus. Natural Language and Linguistic Theory 23: 687–755. [Google Scholar] [CrossRef]
  44. Sarmah, Priyankoo. 2009. Tone Systems of Dimasa and Rabha: A Phonetic and Phonological Study. Ph.D. dissertation, University of Florida, Gainesville, FL, USA. [Google Scholar]
  45. Shue, Yen-Liang, Patricia Keating, Chad Vicenik, and Kristine Yu. 2011. VoiceSauce: A program for voice analysis. Paper presented at the International Congress of Phonetic Science XVII, Hong Kong, China, August 17–21; pp. 1846–49. [Google Scholar]
  46. Simpson, Adrian. 2012. The first and second harmonics should not be used to measure breathiness in male and female voices. Journal of Phonetics 40: 477–90. [Google Scholar] [CrossRef]
  47. Szendröi, Kriszta. 2003. A stress-based approach to the syntax of Hungarian focus. Linguistic Review 20: 37–78. [Google Scholar] [CrossRef] [Green Version]
  48. Truckenbrodt, Hubert. 1995. Phonological Phrases: Their Relation to Syntax, Focus, and Prominence. Ph.D. dissertation, MIT, Cambridge, MA, USA. [Google Scholar]
  49. Wayland, Ratree, and Allard Jongman. 2002. Registrogenesis in Khmer: A phonetic account. Mon-Khmer Studies 32: 101–15. [Google Scholar]
  50. Xu, Yi. 1997. Contextual tonal variations in Mandarin. Journal of Phonetics 25: 61–83. [Google Scholar] [CrossRef]
  51. Xu, Yi. 1999. Effects of tone and focus on the formation and alignment of f0 contours. Journal of Phonetics 27: 55–105. [Google Scholar] [CrossRef]
  52. Xu, Yi, Szu-wei Chen, and Bei Wang. 2012. Prosodic focus with and without post-focus compression: A typological divide within the same language family? The Linguistic Review 29: 131–47. [Google Scholar] [CrossRef] [Green Version]
Figure 1. Time-normalized pitch tracks for [bai] series: /bái/‘announce’, and/bài/‘dance’. N = 28, 7 speakers x 2 iterations x 2 lexical items.
Figure 1. Time-normalized pitch tracks for [bai] series: /bái/‘announce’, and/bài/‘dance’. N = 28, 7 speakers x 2 iterations x 2 lexical items.
Languages 06 00185 g001
Figure 2. Time-normalized pitch tracks for [daiŋ] series: /dáiŋ/‘moon’, and/dàiŋ/‘chop’. N = 28, 7 speakers x 2 iterations x 2 lexical items.
Figure 2. Time-normalized pitch tracks for [daiŋ] series: /dáiŋ/‘moon’, and/dàiŋ/‘chop’. N = 28, 7 speakers x 2 iterations x 2 lexical items.
Languages 06 00185 g002
Figure 3. Averaged time-normalized pitch tracks of /wái/‘fire’ series with and without the ACC element /-ké/. N = 28, 7 speakers × 2 iterations × 2 lexical items.
Figure 3. Averaged time-normalized pitch tracks of /wái/‘fire’ series with and without the ACC element /-ké/. N = 28, 7 speakers × 2 iterations × 2 lexical items.
Languages 06 00185 g003
Figure 4. Morphological focus and broad focus: Time-normalized course of mean f0 for all tokens across all speakers. The diagram in panel (a) compares a broad focus sentence with the subject in MF sentences. The diagram in panel (b) compares the same broad focus sentence with the object in MF. The diagram in (c) compares the sentence in broad focus with a sentence with a verb in MF. The x-axis represents the average of the time-normalized f0 for 8 speakers in 2 iterations. Each word is plotted over 10 interval points. The y-axis represents pitch in Hz.
Figure 4. Morphological focus and broad focus: Time-normalized course of mean f0 for all tokens across all speakers. The diagram in panel (a) compares a broad focus sentence with the subject in MF sentences. The diagram in panel (b) compares the same broad focus sentence with the object in MF. The diagram in (c) compares the sentence in broad focus with a sentence with a verb in MF. The x-axis represents the average of the time-normalized f0 for 8 speakers in 2 iterations. Each word is plotted over 10 interval points. The y-axis represents pitch in Hz.
Languages 06 00185 g004
Figure 5. Mean spectral values calculated for all the acoustic components over total vowel duration for the vowels [u and a] occurring in the subject position of the words /bu/‘he’ and /aŋ/‘I.’ The solid line represents the vowels in broad focus contexts, and the striped line indicates the vowels in the MF contexts. The vowel in the MF condition is realized with low spectral values compared to the vowel in the broad focus context.
Figure 5. Mean spectral values calculated for all the acoustic components over total vowel duration for the vowels [u and a] occurring in the subject position of the words /bu/‘he’ and /aŋ/‘I.’ The solid line represents the vowels in broad focus contexts, and the striped line indicates the vowels in the MF contexts. The vowel in the MF condition is realized with low spectral values compared to the vowel in the broad focus context.
Languages 06 00185 g005
Figure 6. Time point spectral values calculated for all the acoustic components over total vowel duration for the vowels [u and a] occurring in the subject position of the words /bu/‘he’ and /aŋ/‘I.’ The blue line represents the vowels in broad focus contexts, and the red line indicates the vowels in the MF contexts. The vowel in the MF condition is realized with low spectral values compared to the vowel in the broad focus context.
Figure 6. Time point spectral values calculated for all the acoustic components over total vowel duration for the vowels [u and a] occurring in the subject position of the words /bu/‘he’ and /aŋ/‘I.’ The blue line represents the vowels in broad focus contexts, and the red line indicates the vowels in the MF contexts. The vowel in the MF condition is realized with low spectral values compared to the vowel in the broad focus context.
Languages 06 00185 g006
Figure 7. Mean spectral values calculated for all the acoustic components over total vowel duration of [u and e] occurring in the subject position of the word /bune/‘3P-ACC’. The solid line represents the vowels in broad focus contexts, and the striped line indicates the vowels in the MF focus contexts. v1 is the vowel [u] of the first syllable, and v2 [e] is the vowel of the second syllable. The vowel in the MF condition is realized with low spectral values compared to the vowel in the broad focus context.
Figure 7. Mean spectral values calculated for all the acoustic components over total vowel duration of [u and e] occurring in the subject position of the word /bune/‘3P-ACC’. The solid line represents the vowels in broad focus contexts, and the striped line indicates the vowels in the MF focus contexts. v1 is the vowel [u] of the first syllable, and v2 [e] is the vowel of the second syllable. The vowel in the MF condition is realized with low spectral values compared to the vowel in the broad focus context.
Languages 06 00185 g007
Figure 8. Time point spectral values calculated for all the acoustic components over total vowel duration for the vowels [u and e] occurring in the object position of the word /bune/‘3P-ACC’. The blue line represents the vowels in broad focus contexts, and the red line indicates the vowels in the MF contexts. v1 is the vowel [u] of the first syllable, and v2 [e] is the vowel of the second syllable. The vowel in the MF condition is realized with low spectral values compared to the vowel in the broad focus context.
Figure 8. Time point spectral values calculated for all the acoustic components over total vowel duration for the vowels [u and e] occurring in the object position of the word /bune/‘3P-ACC’. The blue line represents the vowels in broad focus contexts, and the red line indicates the vowels in the MF contexts. v1 is the vowel [u] of the first syllable, and v2 [e] is the vowel of the second syllable. The vowel in the MF condition is realized with low spectral values compared to the vowel in the broad focus context.
Languages 06 00185 g008
Figure 9. Time-normalized f0 tracks of vowels representing MF and broad focus conditions. The left panel represents the vowels occurring in subject positions, while the right panel represents the vowels occurring in the object positions. The blue line represents the vowels in broad focus contexts, and the red line indicates the vowels in the MF contexts.
Figure 9. Time-normalized f0 tracks of vowels representing MF and broad focus conditions. The left panel represents the vowels occurring in subject positions, while the right panel represents the vowels occurring in the object positions. The blue line represents the vowels in broad focus contexts, and the red line indicates the vowels in the MF contexts.
Languages 06 00185 g009
Table 1. (a) Dimasa tones; (b) Dimasa tones illustrated in the figures.
Table 1. (a) Dimasa tones; (b) Dimasa tones illustrated in the figures.
(a) ToneWordGlossWordGlossWordGloss
High ‘speak’ lái ‘page’ maitái‘year’
Mid ‘die’laī ‘easy’maitāi‘crop’
Low tì ‘blood’ laì ‘wishmaitài ‘source’
(b) ToneWordGlossWordGloss
Highbái‘announce’,dáiŋ‘moon’
Lowbài‘dance’dàiŋ‘chop’
Table 2. Tonal alignment in Dimasa-derived disyllables.
Table 2. Tonal alignment in Dimasa-derived disyllables.
WordGlossPerfectiveWordGlossAccusativeWordGlossReflexive
kái‘run’kai-báwái‘fire’wai-kétsì‘say’ti-là
kài‘carry’kai-bà5‘he/she’bu-kèréb‘write’reb-lá
Publisher’s Note: MDPI stays neutral with regard to jurisdictional claims in published maps and institutional affiliations.

Share and Cite

MDPI and ACS Style

Mahanta, S.; Gope, A.; Raychoudhury, P. Pitch Range and Voice Quality in Dimasa Focus Intonation. Languages 2021, 6, 185. https://doi.org/10.3390/languages6040185

AMA Style

Mahanta S, Gope A, Raychoudhury P. Pitch Range and Voice Quality in Dimasa Focus Intonation. Languages. 2021; 6(4):185. https://doi.org/10.3390/languages6040185

Chicago/Turabian Style

Mahanta, Shakuntala, Amalesh Gope, and Priti Raychoudhury. 2021. "Pitch Range and Voice Quality in Dimasa Focus Intonation" Languages 6, no. 4: 185. https://doi.org/10.3390/languages6040185

APA Style

Mahanta, S., Gope, A., & Raychoudhury, P. (2021). Pitch Range and Voice Quality in Dimasa Focus Intonation. Languages, 6(4), 185. https://doi.org/10.3390/languages6040185

Article Metrics

Back to TopTop