Next Article in Journal
Chilean Migrants in the Swedish Context from the 1970s until Recently: The Discursive Construction of Their Own Linguistic Trajectories
Next Article in Special Issue
How to Ensure Bilingualism/Biliteracy in an Indigenous Context: The Case of Icelandic Sign Language
Previous Article in Journal
Coolification and Language Vitality: The Case of Esperanto
Previous Article in Special Issue
The Writing Process and the Written Product in Bimodal Bilingual Deaf and Hard of Hearing Children
 
 
Font Type:
Arial Georgia Verdana
Font Size:
Aa Aa Aa
Line Spacing:
Column Width:
Background:
Article

The Interplay of Language Awareness and Bilingual Writing Abilities in Heritage Language Speakers

by
Claudia Maria Riehl
Institute for German as a Foreign Language, Ludwig-Maximilians-Universität Munich, 80539 Munich, Germany
Languages 2021, 6(2), 94; https://doi.org/10.3390/languages6020094
Submission received: 21 February 2021 / Revised: 15 May 2021 / Accepted: 18 May 2021 / Published: 21 May 2021
(This article belongs to the Special Issue Language and Literacy in Bilingual Learners)

Abstract

This paper investigates how language awareness influences the writing abilities of bilingual heritage language speakers. The study includes 175 bilingual 9th and 10th graders with Italian, Greek, or Turkish as their L1 and German as an early L2. The analysis is based on a corpus of narrative and argumentative texts in L1 and L2 and a language awareness test to explore semantic, pragmatic, and textual knowledge that was administered in both languages. We found that the students’ writing abilities in both languages were highly interdependent and there was a significant correlation between achieving high scores in the heritage language test and achieving equally high (or even higher) scores in the L2 test. The results further point to a significant correlation between metalinguistic awareness and writing abilities. However, there was a higher correlation between metalinguistic awareness and text level scores in the heritage language, which shows that writing abilities in this language are more dependent on metalinguistic awareness than in the language of schooling. Moreover, differences were found between the respective language groups and different school types. Based on these results, it is argued that the fostering of language awareness ought to be implemented more intensively in the language classroom.

1. Introduction

Defining language awareness has always been a challenge, since the notion has often been used as a cover term for “almost anything to do with language” (Donmall 1992). In an attempt to delimit the scope of this concept, James and Garrett (1992) defined five dimensions of language awareness:
  • The affective domain (including attitudes, individuals’ beliefs, and images about languages);
  • The social domain (related to ethnic diversity and variety of linguistic repertoires);
  • The power domain (dealing with language as an instrument of manipulation);
  • The cognitive domain (referring to the development of awareness of patterns and categories of language and the ability to reflect upon language);
  • The performance domain (related to language choice and management and the ability to talk about language).
In the field of plurilingual competence, the overarching body of research concerns the cognitive domain, since it is intrinsically related to learners’ repertoires and formal learning situations (Oliveira and Ançã 2018, p. 249). An essential function of the cognitive domain of language awareness is metalinguistic awareness, which is related to the concept of attention on language (Bialystok 2001). This includes the individual’s ability to pay attention to the structural features of language and language properties, on the one hand, and to the functions of language on the other hand. In this vein, metalinguistic awareness has close ties to other metalinguistic constructs such as metalinguistic knowledge, metalinguistic reflection, and metalinguistic ability (Simard and Gutiérrez 2018).
When referring to linguistic awareness in multilinguals, Jessner (2006) differentiates between cross-linguistic awareness and metalinguistic awareness. While cross-linguistic awareness relates to the learner’s implicit and explicit knowledge about links between different languages (e.g., the awareness of cognates or parallel syntactic structures), metalinguistic awareness also includes the development of learning strategies in multilingual learners (Jessner 2017). Accordingly, it has been claimed that metalinguistic awareness and language aptitude are intertwined (Rauch et al. 2011): the ability to develop explicit representations of language, to manipulate language, to focus attention on language, and to reflect on language are prerequisites for language learning. However, not all of these competencies are attributed to the concept of language awareness. Here, the notions of metalinguistic knowledge, metalinguistic ability, and metalinguistic reflection are also applied.
A central aspect that has been repeatedly addressed in the literature is the effect of metalinguistic awareness on literacy performance in bilingual and multilingual persons. Various studies have demonstrated that metalinguistic awareness has an impact on reading development in bilinguals (Bialystok and Craik 2010; Jessner 2006; Genelot 2001). It was even found that metalinguistic awareness mediates reading abilities in L3 in early bilinguals (Rauch et al. 2011).
In contrast, studies on writing abilities and their correlation with metalinguistic awareness are scarce. Most studies on bilingual or multilingual writing concentrate either on the interrelatedness of writing abilities (mainly in the context of emerging literacy in primary grades) (see Dressler and Kamil 2006; Fitzgerald 2006; Bialystok 2007; Soltero-González et al. 2012; Gantefort 2013; Berthele and Lambelet 2018) or on cross-linguistic transfer (cf. Cenoz and Gorter 2011; Uluçam-Wegmann et al. 2019). Here, the focus is on adolescent or adult L2 and L3 writers (de Angelis and Jessner 2012; Verspoor and Smiskova 2012; for an overview see Manchón 2017). In this context, the role of metalinguistic awareness has also been emphasized (cf. Jessner 2006; de Angelis and Jessner 2012). It has been demonstrated that, when writing in a foreign language, writers tend to focus on the morphosyntactic and lexical levels and neglect the rhetorical and textual dimensions (see reviews in Manchón et al. 2007; Manchón 2013). That is why metalinguistic awareness plays a central role at the pragmatic and textual level and is of particular interest when referring to text competence.
To date, however, there has been no detailed study conducted to explore the impact of metalinguistic awareness on writing abilities in an individual’s heritage language (L1) and the language of schooling (L2) and the correlation between metalinguistic knowledge in both languages. A study considering these aspects could inform both educators and researchers about the role of metalinguistic awareness as a mediator of literacy skills. It could shed light on underlying proficiencies that enable cross-linguistic transfer and the use of the whole linguistic repertoire.

1.1. Metalinguistic Awareness and Literacy

Studies on metalinguistic awareness have included all levels of language, from phonological awareness (Bialystok et al. 2003; Kremin et al. 2016) to lexical and syntactic awareness (Galambos and Goldin-Meadow 1990; Ricciardelli 1993; Bialystok 2007), to pragmatic awareness (Jessner 2006; Fehling 2008). When referring to literacy development, mainly in the early years of schooling, phonological awareness is the focus, since it is considered a prerequisite to the acquisition of phoneme–grapheme correspondences (Bialystok 2007; Bialystok 2012). However, reading and writing are complex and multidimensional processes that draw on a variety of knowledge resources; thus, in later stages of literacy development, the awareness of linguistic (lexical, grammatical), conceptual (topic, domain), and strategic aspects (reader orientation, etc.) becomes an essential requirement (Finkbeiner and Schluer 2018). Subsequently, writing ability can be considered with a more global understanding as the ability to write an appropriate text as expressed by the notion “text competence”1. This comprises “global-level discourse structure”, which includes “genre-appropriate principles” and “effective text performance” (cf. Berman and Nir-sagiv 2007, p. 91). In this context, structural knowledge, genre-specific knowledge, and strategic knowledge are considered transferable competences that can be fruitfully exploited when writing in another language (cf. Riehl 2013).

1.2. Writing and Cross-Linguistic Influence

In the field of multilingual writing, a growing body of research is addressing bilinguals and multilinguals with a focus on the multidirectionality of cross-linguistic influence. Cenoz and Gorter’s (2011) study on Basque, Spanish, and English trilingual adolescents indicated that the different dimensions evaluated in the three languages (content, structure, vocabulary, grammar, and mechanics) are related to each other. Students with a high score in mechanics or vocabulary in one of the languages also tended to obtain good results in the other languages and vice versa. The authors concluded that multilingual persons can have similar strengths and weaknesses in different dimensions of writing and use similar general strategies when confronted with a specific writing task. Similar results were reported by Uluçam-Wegmann et al. (2019), who investigated writing strategies in German–Turkish adolescent bilinguals in Germany (Grade 7 and 8). The authors focussed on reader orientation and coherence formation in instructive texts and found significant interlingual correlations between reader orientation in Turkish and German and coherence formation in Turkish and German. Similar effects were identified by Gantefort (2013), who investigated the interrelatedness of narrative competences in bilingual German–Sorbian primary school children. He found that the children had language-independent access to macrostructural patterns and other narrative strategies.
While cross-sectional studies have explored cross-linguistic influence at a certain stage, the interrelatedness of abilities has been addressed in longitudinal studies. In this context, Sparrow et al. (2014) examined the biliteracy results of emerging Spanish–English bilingual students who participated in a paired literacy instruction model. The authors found longitudinal gains in students’ biliterate development and a strong relationship between Spanish and English reading and writing. Moreover, the study demonstrated that the paired literacy instruction model accelerated English literacy development while supporting the Spanish literacy development of the students.
These findings were corroborated by a large-scale panel study conducted in the framework of the MEZ project (Multilingual development: A longitudinal perspective, see https://www.mez.uni-hamburg.de/en/1uebermez.html, accessed on 19 May 2021), which focused on language skills in German (the majority language of schooling), Russian and Turkish as heritage languages, and English as a school-taught foreign language. MEZ followed two parallel cohorts over four waves of data collection (from Grade 7 or 9 to the end of Grade 9 or 11, respectively). The multiliteracy profiles of 805 German–Russian and German–Turkish bilinguals revealed positive interrelations of writing skills within multiliteracy profiles, which drove the development of literacy skills in each of the languages in the same direction (cf. Usanova and Schnoor 2021).
In a similar vein, the HELASCOT project explored Portuguese heritage speakers in French-speaking and German-speaking Switzerland (see Berthele and Lambelet 2018). In this project, writing abilities were tested at three measurement times (in Grades 3 and 4). The study found cross-linguistic correlations but profoundly questioned the interdependence theory and the notion of thresholds claimed by Cummins (2001) and others. Berthele (2018) stated that several causal mechanisms influence literacy at the same time: interdependence, time on task, language aptitude, and general cognition.
Given the fact that language aptitude and metalinguistic awareness are intertwined (Rauch et al. 2011), the current study aims to examine the effect of metalinguistic awareness on bilingual text production in more detail.

1.3. The Current Study

The study explored the interrelatedness of writing abilities and metalinguistic awareness in L1 and L2 in heritage language speakers. The aim was to investigate the correlation of writing abilities in the heritage language and language of schooling on the one hand and the role of metalinguistic awareness in this process on the other. The study was conducted in Munich, the second largest city in Germany, which has a large migrant population (28.1% foreigners and persons with a “migration background”2; see Statistisches Amt München 2019). To explore differences between heritage language communities based on divergent levels of prestige and access to heritage language instruction, we included three heritage language groups that are well represented in Germany in general and in Munich in particular: Turkish, Greek, and Italian. Turkish speakers represent the largest linguistic minority in Munich (ca. 38,000 = 2.45% of all inhabitants). Italian and Greek are also widely used heritage languages. The Greek community in Munich is the largest in Germany (around 26,500 speakers = 1.7% of all inhabitants), and the Italian community, which includes 28,000 speakers (1.8% of all inhabitants), has historical roots in Munich and a higher level of prestige in the host society than both of the other groups (cf. Riehl and Barberio, forthcoming). The heritage language communities have different levels of access to heritage language instruction. While the Greek community runs two Greek primary schools subsidized by the Greek government, children with a Turkish or Italian background only have access to afternoon school programs in their heritage language in the primary years. A secondary school with a bilingual program is only available for Greek and Italian students. Since we assumed that school type plays a central role for linguistic performance in L1 and L2 (cf. Riehl 2013; Woerfel et al. 2014), speakers from different types of secondary schools were included.
The study addressed the following research questions:
  • Are writing abilities in L1 and L2 interrelated and do they vary across language groups?
  • Is there an effect of language awareness on writing abilities of bilingual students?
  • Does metalinguistic awareness in L1 and L2 correlate, and are there differences in various subtypes of metalinguistic awareness?
  • Does metalinguistic awareness differ across language groups and school types?

2. Materials and Methods

2.1. Participants

The participants of this study included 175 heritage language speakers with diverse heritage language backgrounds. The sample encompassed 54 subjects with an Italian background, 55 with a Greek background, and 66 with a Turkish background.3 The subjects were recruited from three types of German secondary schools: the so-called Real-schu-le (vocational secondary school), Gymnasium (university-preparatory secondary school), and a special type of Gymnasium which offers a bilingual program in several European languages. For the recruiting procedure, we used a language-biographic questionnaire. Students identified as early bilinguals in the respective heritage languages and German were invited to participate in the study. We only included participants who had acquired Italian, Greek, or Turkish as their L1 and German as their L2 between the ages of 2 and 4. The age range of our respondents was 14 to 16 years (mean age = 14.9 years), and participants were tested either at the end of Grade 9 or the beginning of Grade 10 (for demographic details see Table 1).4

2.2. Instruments and Procedure

Writing tasks in L1 and L2. The subjects were asked to write two types of texts in each language: a narrative text in L2 German, a narrative text in L1 (i.e., Italian, Greek, or Turkish), an argumentative essay/letter in L2, and an argumentative essay/letter in L1. The narrative text was based on a picture impulse. The picture used to elicit L2 narratives showed a scene where a fireball was approaching a person in a courtyard, and the students were asked to narrate what was happening in this scene. The picture used for L1 elicitation showed a time machine that was traveling to the year 2798, and students had the task of narrating the events they imagined in this setting. For the argumentative essays, students were asked to write a letter to the principal of their school. In the L2 scenario, students had to respond to a proposed ban on mobile phones in the school area. In the L1 scenario, students were asked to react to a proposed ban on languages other than German from the schoolyard. In both scenarios, students were supposed to provide their arguments and discuss them explicitly. Between the tasks in L1 and L2 there was a two-week interval to avoid priming effects.
Language awareness test in L1 and L2. To test metalinguistic awareness, most studies used questionnaires that included the identification of speech parts, the correction of errors, or the verbalization of linguistic rules. Metalinguistic awareness is also operationalized using grammaticality judgement and correction tasks or verbalizations about language (see Simard and Gutiérrez 2018, p. 215). Other promising tests are thinking-aloud protocols (see Jessner 2006; Jessner et al. 2018), which provide noticeable insights into transfer strategies, mainly in translation tasks. Since we aimed to focus on the knowledge component rather than the strategic component, we applied a questionnaire that concentrated on dimensions deemed essential for textual competence, i.e., semantic, pragmatic, and textual awareness. For this purpose, we adopted a questionnaire developed by Fehling (2008) in a study on the impact of bilingual education on language awareness. The test consists of a questionnaire containing multiple-choice and open questions on semantics (synonyms, passe-partout words), pragmatics (forms of address, language use in informal and formal contexts), and textual knowledge (coherence and cohesion). The test included 15 questions in the pragmatic section and 15 questions in the semantic section, while the test on textual awareness consisted of open questions on textual features (see Appendix A). The test developed in German was translated and adopted to the respective heritage languages and was conducted in both L1 and L2 with a two-week interval. The aim was to explore whether and in what way the cognitive dimension of language awareness relates to text competence and whether metalinguistic knowledge in both languages is correlated.
Sociolinguistic interviews in L1 and L2. A semi-structured sociolinguistic interview, 15 to 20 min in length, was conducted with each student in L1 and, after two weeks, in L2 by a native speaker of the language used. The intention of this duplication strategy was to find out whether attitudes changed depending on whether the heritage language (=L1) or the dominant (national) language (=L2) was used. The interviews were also exploited to obtain metadata on the participants.

2.3. Data Analysis

The texts were analyzed both qualitatively and quantitatively. For this purpose, a model was adopted that ranks texts according to specific features by defining holistic scores (Riehl 2013; Riehl et al. 2018; see also Berman and Nir-sagiv 2007 for macrostructural analysis). The analytical grid developed for the text classification comprised three categories: the macrostructure of the text, the discourse mode (conceptual oral versus conceptual literal), and the discourse stance (features of the author’s involvement in, or detachment from, the text). The definition of macrostructural features for the narrative texts followed the Labovian criteria of narrative analysis (see Labov 1972), and for the expository text, the classification developed by Augst and Faigel (1986) for the analysis of students’ texts was used (for a more detailed description, see Riehl 2020).
The “discourse mode” category was based on the criteria of conceptual orality and literacy modeled by Koch and Oesterreicher ([1985] 2012). The conceptual oral versus conceptual literate mode was used to assess two extremes of a scale where texts are located. Conceptual orality and literacy are expressed on various levels of the linguistic system, mainly the lexical, morpho-syntactic, and text-organizational levels. At the conceptual oral pole, for example, speakers employ basic or colloquial vocabulary, a low type–token ratio and passe-partout words (i.e., words with a very general meaning such as to do, to make, thing, etc.), aggregative syntactic patterns and elliptic constructions as well as semantically unspecific particles of linear organization. At the conceptual literate pole, elaborated, literary or academic vocabulary, and a high type–token ratio, integrative patterns,5 and full-structured clauses and semantically specified elaborated text organizers are used (see Riehl 2020).
The “discourse stance” category refers to a writer’s involvement in the text versus the writer’s detachment from the text. Involvement and detachment strategies vary according to the text genre (for a more detailed description, see Riehl 2013; Riehl 2020).
In the first step of the analysis, all texts were analyzed according to the criteria summarized above by three independent raters. In the second step, five levels of text composition were identified, and all texts were ranked according to these levels (1 = conceptual oral, associative structure to 5 = conceptual literate, elaborated macrostructure). The ranking was performed by the same raters who had been trained over several sessions on how to apply the analytic grid in detail. The inter-rater-reliability was relatively high (0.96% for the narrative texts and 0.93% for the argumentative texts). All texts that did not receive the same score from each rater were explicitly discussed in a focus group.
The LAT was analyzed according to scores defined for each question of the questionnaire. There was a maximum of 56 points in the pragmatic subtest and 60 points in the semantic subtest. In the subtest on textual awareness, a total of 16 points could be achieved. To make the subtests comparable to each other, the scores achieved in the tests were converted to percentages.
The interviews were analyzed using a qualitative content analysis (Mayring 2000). From there, we extracted metadata to be used in a more detailed analysis (Riehl 2020).

2.4. Statistical Analysis

To explore the interrelatedness of text competences in L1 and L2 and the influences of genre and the heritage language background, we performed a mixed 2 × 2 × 3 Manova on the text-level scores to determine the influences of text type, language type (L1 or L2), and heritage language group. We also included a descriptive statistical analysis (Research question 1). To analyze the correlation between metalinguistic awareness and total text competence, scores achieved in the writing tasks and scores obtained in the LAT were correlated in L1 and L2 using Pearson’s correlation analysis. Additionally, a linear model of statistical analysis was applied to investigate the effect of LAT scores on the respective genres, i.e., narrative and argumentative texts, and languages (L1 and L2). We also regarded the impacts of the respective subtests of the LAT (pragmatic, semantic, and textual awareness) on text competences in the respective languages using Pearson’s correlation analyses (Research question 2). Finally, to identify whether there was a correlation between LAT performance in L1 and L2, Pearson’s correlation analysis was carried out to compare the total scores obtained in the LAT and scores obtained in the individual subtests (Research question 3). To determine differences between the different language groups and school types, a descriptive statistical analysis method was applied (Research question 4). As a last step, a multiple regression analysis was conducted to investigate to what extent language awareness functions as predictor variable for textual performance (referring to Research question 2).

3. Results

3.1. The Interrelation of Text Competence in L1 and L2

In the first step, we compared text-level scores across text types and languages using 2 × 2 × 3 MANOVA. It turned out that there were significant differences between text competences in the respective text types. Students scored significantly higher in the narrative texts than in the argumentative texts in both languages (F(1, 174) = 83.375, p < 0.001). A similar effect was found for the respective languages where students scored significantly higher in L2 than in L1 across both text types (F(1, 174) = 85.714, p < 0.01) (Figure 1). The two-way interaction between Text Type and Language did not reach significance (F(1, 174) = 0.805, p = 0.371).
With regard to the heritage language groups, the analysis revealed no main effect of Language Group, indicating that the overall text scores were the same in Turkish, Italian, and Greek speakers (F(2, 174) = 1.651, p = 0.195). However, a significant two-way interaction between Language Group and Language was found (F(2, 174) = 4.942, p < 0.01), suggesting that the differences between L1 and L2 text competence varied remarkably across the three heritage language groups. The descriptive statistics for these analyses are presented in Table 2.
Except for the argumentative text in L1, where students achieved only a maximum of level 4 (see below), the subjects scored within the range of level 1 to level 5. The standard deviations shown in Table 2 indicate that the text-level scores were spread remarkably across the three heritage language groups. Post hoc tests (Bonferroni) indicated that text-level scores in L1 and L2 were significantly higher in narrative than in argumentative texts across the three heritage language groups (in all cases p < 0.001). The same is true for text level scores: Students scored significantly higher in L2 than in L1 across the three heritage language groups (in all cases p < 0.05). However, the distinction between L1 and L2 text level scores was most prominent in the Greek speakers as compared with the Turkish and Italian subjects.
To determine whether those students who attained high scores in L1 also achieved high scores in L2, the text production of individual subjects across languages was compared in a qualitative analysis. Fourteen students from the sample achieved level 4 in the argumentative text in L1, while none of the subjects achieved level 5 in their heritage language.6 Only one subject obtained a slightly lower score in L2 (=level 3). All others composed L2 argumentative texts at the same level or even at the highest level, level 5 (3 subjects at level 5, 10 subjects at level 4).
For the narrative text production, seven subjects achieved level 5 in L1. Among these, the same student scored lower in L2 (level 4), and all others scored equally high (level 5). Nevertheless, that student also achieved a high score in German (level 4) and composed in a conceptual written mode. Twenty subjects obtained level 4 in the narrative text test in L1, with 4 of these scoring slightly lower in L2 (i.e., achieved level 3) and the remaining 16 either achieving the same level or a higher level (level 5, 6 students = 30%) (see Riehl 2020). These results corroborate the statistical finding showing that there is a high correlation between text competence in L1 and L2. It also supports the assumption that a high level of competence in the heritage language is linked to high writing abilities in the second language. We therefore hypothesized that these findings are related to metalinguistic awareness as a mediator of literacy competence (cf. Rauch et al. 2011).

3.2. The Impact of Metalinguistic Awareness on Writing Abilities

To address the impact of metalinguistic awareness on text competence, we analyzed the correlation between scores in L1 and L2. We then compared the total scores in the language awareness test with the total scores in the respective genres, i.e., narrative and argumentative texts. In a more detailed analysis, we regarded the impact of the respective subtests of the LAT (pragmatic, semantic, and textual awareness) on text competence in the respective languages.
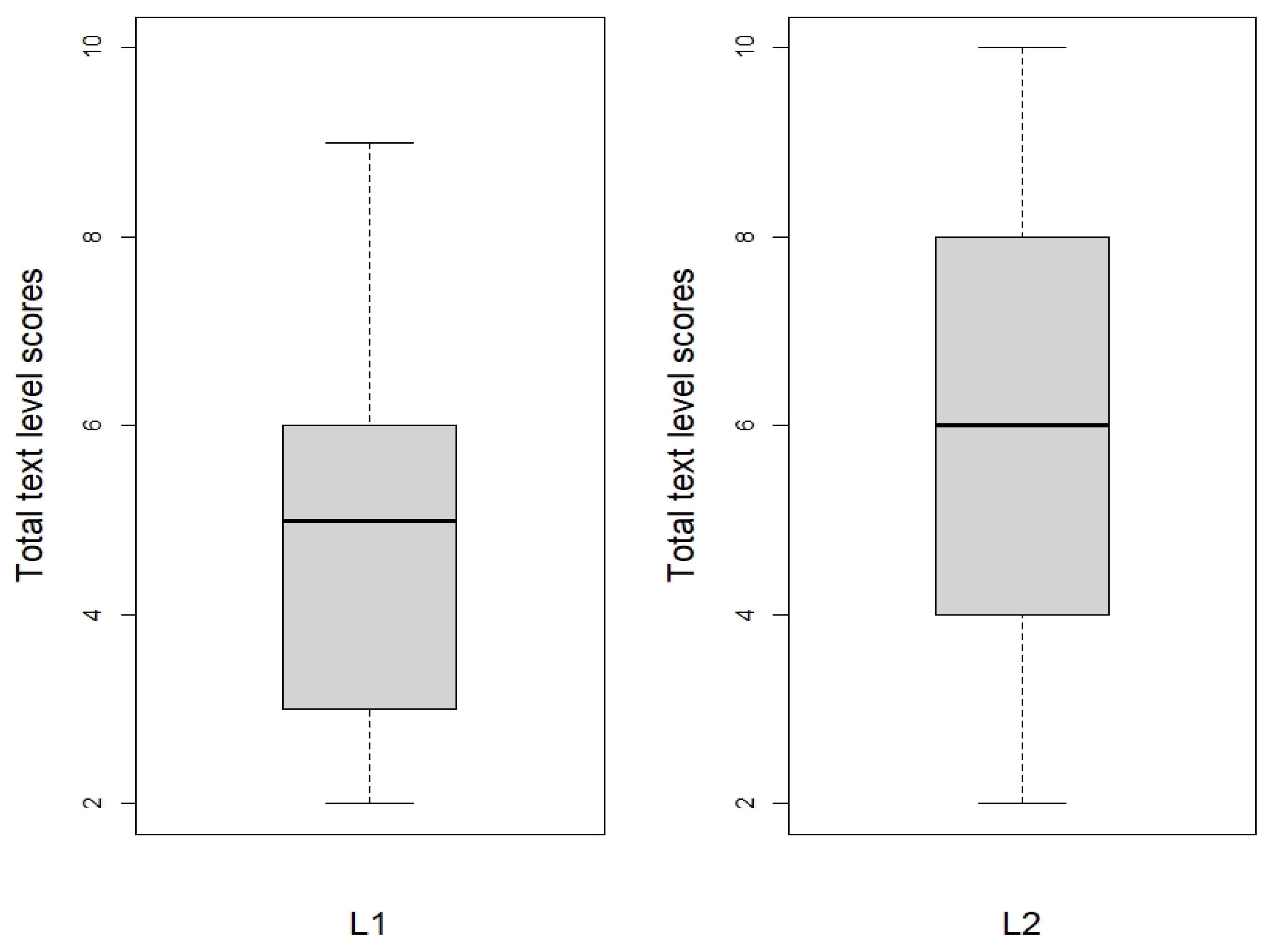
In total, our subjects achieved higher scores in L2 than in L1. The highest scores were achieved in the pragmatic awareness test, and in this test the scores were even higher in L1 than in L2. The lowest scores were found in the textual awareness subtest and reached the same level in both languages (cf. Figure 2).7
To explore the effect of language awareness on writing performance in the respective languages, Pearson’s correlation analysis was carried out to compare the scores achieved in the LAT and text-level scores in both genres and languages. Overall, the results showed substantial correlations between narrative and argumentative text competencies in L1 and L2 and participants’ metalinguistic awareness ability. In L2, a correlation coefficient of r = 0.42 (p < 0.001) was achieved for language awareness in L2 and text competency in the narrative text, and a coefficient of r = 0.46 (p < 0.001) was obtained for the correlation between language awareness and competence in the argumentative text. Similar coefficients were found for L1 text production and L1 language awareness, but both correlation coefficients were slightly higher (for narrative texts: r = 0.43, p < 0.001; for argumentative texts: r = 0.50, p < 0.001). Hence, it can be deduced that the correlation between language awareness and the text-level scores is higher in both languages for the argumentative texts than for the narrative texts.
When looking at the subtests of the LAT, the correlation between scores in the semantic awareness test and text competence was the highest, and the impact was much more pronounced in L1 (r = 0.51, p < 0.001) than in L2 (r = 0.37, p < 0.001). The correlation between pragmatic awareness and text competence was equally high in both languages (L1: r = 0.36, p < 0.001; L2: r = 0.37, p < 0.001). The lowest correlation was found between textual awareness and text competence scores in L2, but the correlation was still highly significant (r = 0.25, p < 0.001). Here, the correlation between textual awareness scores and text competence scores was higher in L1 (r = 35, p < 0.001).
In the next step, a linear model was applied to investigate the influence of the total LAT scores on narrative and argumentative text competence. It was found that language awareness had a highly significant impact on the writing of narrative texts (F(1, 174) = 34.87, p < 0.001). It had an even higher influence on the argumentative competence, and this was also highly significant (F(1, 174) = 63.26, p < 0.001). When comparing the impact of language awareness on text competence in the respective languages, we found an equally high effect in both languages, which was highly significant (for L1: F(1, 174) = 53.68, p < 0.001; for L2: F(1, 174) = 37.05, p < 0.001). The detailed analysis of the respective subtests of the LAT showed that the impact of all subtests in L1 on both narrative and argumentative texts in L1 was also highly significant (p < 0.001). The same held for the effect of all individual subtests in L2 on narrative and argumentative text competence in L2.

3.3. Correlation of Metalinguistic Awareness in L1 and L2

To test the relationship between LAT performance in both languages, Pearson’s correlation analysis was carried out. The results revealed a significant correlation between the total LAT results in L1 and those in L2 (r = 0.42, p < 0.001). In a more fine-grained analysis, the respective subtests of the LAT were correlated: The highest correlation was found between the textual awareness scores in L1 and L2 (r = 0.48, p < 0.001). The scores in the pragmatic awareness subtest were also significantly correlated (r = 0.34, p < 0.001). In contrast, there was no significant correlation between the L1 and L2 scores in the semantic awareness test (r = 0.035, p = 0.643). This result is not surprising since semantic knowledge is rather language-specific, as will be discussed below. The results are visualized in Figure 3:

3.4. Language Awareness across Language Groups and School Types

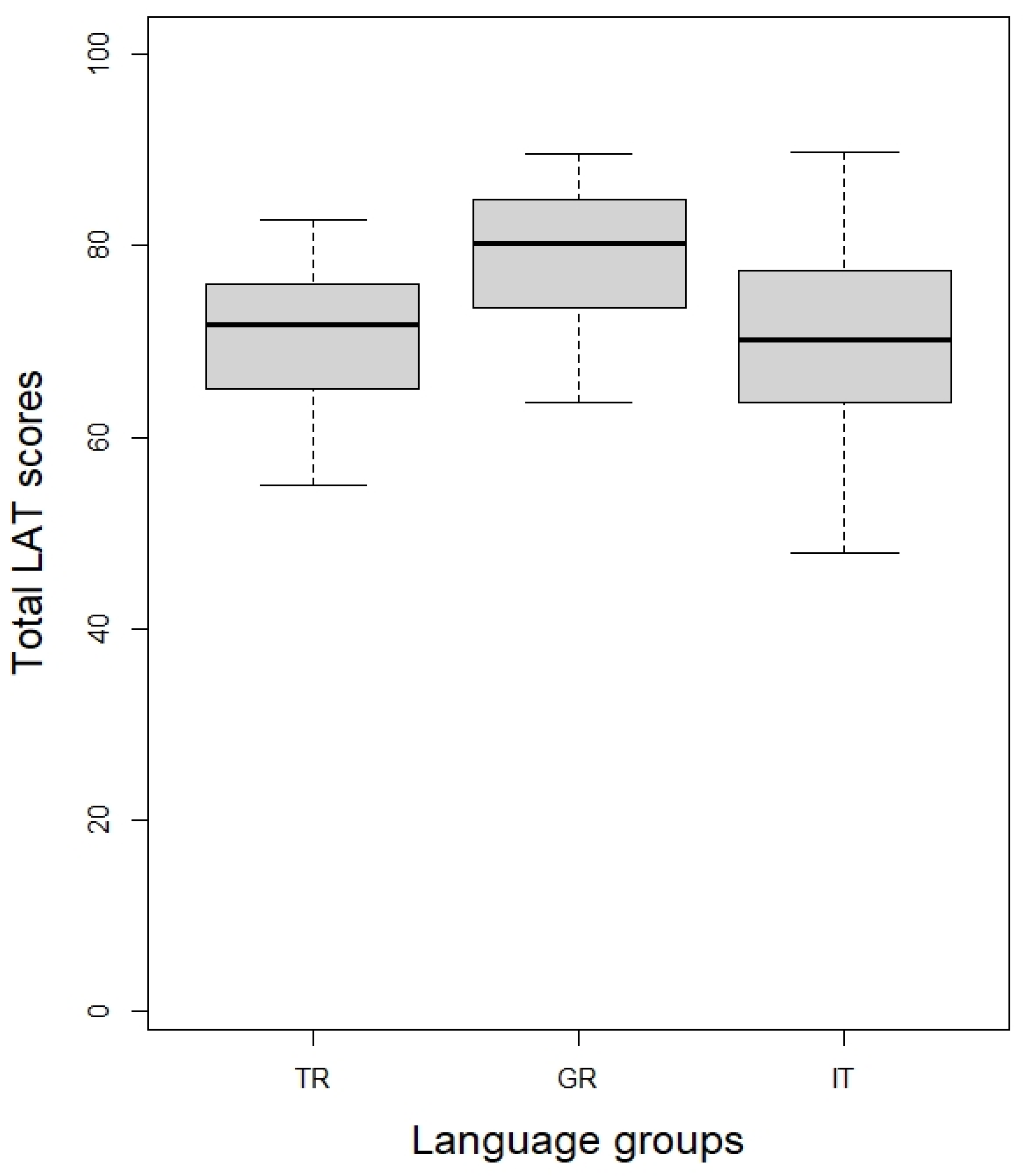
To determine differences between Greek, Italian, and Turkish speakers, we compared the scores in the language awareness test across the three language groups descriptively. When looking at the overall scores in both languages, it was found that the Greek students outperformed their Italian and Turkish peers (cf. Figure 4).
Interestingly, the Italian group displayed the highest overall range and highest interquartile range, while their mean score was very similar to that of the Turkish group. The scores of students in the Turkish group, however, had a similar interquartile range to the Greek group, which means that the statistical variance within these groups was more homogenous. Moreover, in the Greek group, the total range was smaller than in the other groups (cf. Table 3).
When comparing the scores in L1 and L2 across the different language groups, an even more differentiated picture emerged (cf. Figure 5).
As shown in Figure 5, in the Greek group, the range between the maximum and minimum scores in L1 and L2 was much larger. The mean in L1 was slightly higher than in L2, but the range was much smaller in L2, thus showing that LAT scores were more similar in L2 than in L1 in this language group. The most prominent distinction between LAT scores in L1 and L2 was found in the Italian group. The scores not only displayed a larger range between the highest and lowest scores but also a broader interquartile range across languages. Similar to the total scores, the means in both languages were lower than in the Greek group and were very similar to the means of the Turkish group. The Turkish group, on the other hand, demonstrated the most homogeneous dispersion of LAT scores in both languages. However, similar to the other two groups, the scores were higher in L2 than in L1, and the interquartile range was similar in both languages (cf. Table 4).
Table 4 also shows that the maximum scores achieved in L2 in all three language groups were similar (between 92.39 and 94.35). However, the results attained by the Greek language group differed significantly (F(2, 173) = 23.32; p < 0.001) from those attained by the Italian and Turkish groups.
Another factor considered to have a central impact on language awareness is the school type. As mentioned in Section 2.1, in this study, we included different types of secondary schools: the so-called Realschule (vocational secondary school), Gymnasium (university-preparatory secondary school) and a special type of Gymnasium offering a bilingual program (only available for a number of European languages, which does not include Turkish). Our hypothesis was that due to the higher requirements of the Gymnasium and the focus on linguistic skills in general, students attending this type of school develop a higher level of metalinguistic awareness. We also hypothesized that students in the bilingual program would achieve higher scores in the language awareness test in the heritage language, since they have better access to literacy in L1 than students in the other school types. The outcomes of the statistical analysis corroborated this assumption (see Figure 6).
Regarding the total scores in the LAT test, the highest mean, the densest interquartile range and the lowest overall range were attained by students at the bilingual school. In contrast, the lowest scores as well as the highest total range were achieved by students attending vocational schools (see Table 5).
When looking at the scores achieved in L1 and L2, respectively, a similar picture emerges (see Figure 7).
Not surprisingly, students attending the bilingual school had the highest mean score in L1, but they also had an almost equally high mean score in L2. With the exception of one outlier, the range between minimum and maximum scores was also very low in both languages. The difference between L1 LAT performance and L2 LAT performance was most prominent in the students attending Gymnasium schools. For this school type, the mean score for L1 was slightly higher than that attained by students from the bilingual school. The range between the minimum and maximum scores was more pronounced in L1 than in L2. In contrast, students attending the vocational school type demonstrated lower mean scores and higher interquartile ranges in both L1 and L2. The differences in scores in both L1 and L2 between the Realschule on the one hand and Gymnasium and bilingual school on the other hand were highly significant (p < 0.001) (cf. Table 6).
To exclude the idea that the lower scores in the Turkish group were related to the fact that Turkish students were not represented in the bilingual Gymnasium but had a higher level of representation in the vocational school, an interaction analysis between School Type and Language Group was conducted, but this did not show interactional effects (multiple R2 in L1: 0.31; in L2: 0.37, p > 0.05) (also see Figure 8 for the interaction between school type and language group).

3.5. Predictor Variables

To test the predictability of the various factors, a multiple linear regression analysis was conducted using LAT score as the dependent variable and language group and school type as the predictor variables. Realschule and Turkish language group served as a reference category. The analysis showed significant effects on LAT scores in L1 (multiple R2 = 0.29). The highest effect was exerted by attendance at the bilingual school (estimated coefficient 14.6, (p < 0.001) followed by attendance at a Gymnasium (6.32) (p < 0.001). Affiliation to the Greek language group was also a significant predictor (5.8; p < 0.01) (see Table A1 in Appendix B). For LAT scores in L2, similar results were found with even higher predictability (multiple R2 = 0.36). However, the effect of attendance at the bilingual school on LAT scores was lower for L2 (8.7) than for L1, but it was still highly significant (p < 0.001). There was a similar finding for the effect of attending a Gymnasium (7.7) (p < 0.001) and the effect of belonging to the Greek language group (7.3) on the LAT scores in L2 (see Table A2 in Appendix B).
Finally, we measured the effects of language awareness, school type, and language group on text competence using a multiple linear regression analysis. The text competence score was used as the dependent variable, and LAT scores, language group, and school type were predictor variables. A text level of 0, Realschule, and Turkish language group served as a reference category. The results indicated that the LAT scores are a significant predictor for text competence in both L1 and L2, and the same holds for attending a Gymnasium. Significant effects on text competence in L1 were also exerted by attendance at the bilingual school and affiliation to the Greek language group. The three predictors had a higher level of predictability in L1 (multiple R2 = 0.40) than in L2 (multiple R2 = 0.29) (see Table A3 and Table A4 in Appendix B).

4. Discussion

Our results demonstrate that LAT and text competence scores are highly correlated, which leads to the conclusion that subjects with higher metalinguistic awareness have higher text competence in L1 and L2. These findings support previous studies on multilingual writers (Jessner 2006; de Angelis and Jessner 2012). Furthermore, it was shown that levels of text competence in both languages are substantially related to each other. This corroborates previous findings on the multilingual writing of heritage language speakers, which showed the interrelatedness of writing abilities (Cenoz and Gorter 2011; Uluçam-Wegmann et al. 2019; Usanova and Schnoor 2021). Additionally, it can be assumed that a high text competence in L1 is linked to a high competence in L2, a hypothesis that was supported by the qualitative analysis. However, subjects from all three language groups achieved significantly higher levels of text competence in the L2 test, which is not surprising since German is the dominant language used in the area under study as well as the language of schooling, and the majority of our subjects had no or little access to bilingual school programs (see below).
Our findings supported the assumption that there is an effect of language awareness on writing abilities of bilingual students: In this context, it is a relevant outcome of our study that the correlation between metalinguistic awareness and text level was higher in L1 than in L2. This result points to the fact that text competence in the heritage language is even more dependent on metalinguistic awareness than text competence in L2. We attribute this difference in dependence to a higher automaticity in text writing in the language of instruction. When writing a text, students must control their output at different levels such as linguistic correctness, macrostructure, stylistic appropriateness, and reader orientation. Experienced writers have already automatized lower-level features (e.g., linguistic correctness), which allows them to focus their attention on higher level phenomena (e.g., stylistic appropriateness) (see Riehl 2013).
With respect to the text genre, the lower correlation coefficient between metalinguistic awareness and text level scores in the narrative texts can be explained by the fact that argumentative texts require a higher register competence (e.g., more elaborate vocabulary, more complex syntactic structures), because the higher requirements of a more complex macrostructural organization, the use of academic language registers, and detachment strategies demand more differentiated knowledge at different levels of language production (for similar findings, see So et al. 2018). This is especially true for the production of argumentative texts in L1, which is less automatized (see above). The results of the pragmatic subtest revealed that students were aware of differences between formal and informal language, a prerequisite for writing a stylistically appropriate text (Berman and Nir-Sagiv 2007; Riehl 2013). Students achieving the highest scores in text production had to produce texts in a conceptual literate mode and be familiar with literacy conventions in the respective language. This is best reflected by pragmatic knowledge, as addressed in the pragmatic tasks in the language awareness test (see Appendix A).
When looking at the effects of various subtests of language awareness on writing abilities we found the highest correlation between the semantic subtest and text competence scores. The high correlation between semantic awareness and text competence can be explained by the fact that a differentiated vocabulary and high type token frequency are basic components of conceptual literate language (see Koch and Oesterreicher [1985] 2012). The lowest (but still significant) correlation was found between textual awareness scores and text competence. However, as demonstrated in Figure 2, students achieved the lowest mean scores in the textual awareness subtest, and even the students with the highest scores showed deficits. An explanation for this could be that particular textual features, such as coherence or cohesion, are not explicitly taught, and students have difficulty with expressing their implicit knowledge. This observation points to an obvious flaw in the test and ought to be taken in consideration in future test designs.
A correlation analysis among the respective subtests of the LAT showed that both pragmatic and textual awareness were highly correlated between L1 and L2. As Bialystok (2001, 2007) pointed out, metalinguistic awareness includes the individual’s ability to pay attention to both properties of language and the function of language. Thus, we can speculate that students with high metalinguistic awareness use their knowledge about the pragmatic use of language more consciously and are able to transfer this knowledge from one language to the other. This corroborates earlier findings claiming that pragmatic and textual conventions and textual characteristics such as coherence and cohesion are not language specific but are transferable from L1 to L2 and vice versa (Hulstijn 2015; Finkbeiner and Schluer 2018; Riehl 2020; Uluçam-Wegmann et al. 2019). In contrast, the low correlation between test scores for L1 and L2 in this subtest is a function of the language specificity of semantic knowledge.
When comparing the respective language groups, it became evident that the Greek heritage language speakers achieved higher scores in the LAT in both their heritage language and in German compared with their Italian or Turkish peers. A similar result was found for text competence which is related to language awareness. Here, mainly in L2 the Greek students achieved higher mean scores than both the other groups. This may be attributed to the fact that the Greek migration to Germany is characterized by some unusual features such as commuting migration and transnational mobility. Interest in the accumulation of educational qualifications and orientation towards returning home had a conspicuous impact on the second generation of Greek migrants, resulting in a large number of individuals with high academic attainment (cf. Siouti 2019). These assumptions are supported by statistics on access to higher education by students with a migration background (see Kemper 2015). Moreover, Greek students in Munich have the possibility of attending a mother tongue school in their primary years. As mentioned above (see Section 2.1), the Greek community in Munich maintains its own school system (two primary schools and one secondary school), which is structured along the same lines as the Greek school system. This is financed by the Greek state and coordinated by the Greek diplomatic missions in Germany (cf. Siouti 2019). In contrast, Turkish and Italian children have no access to similar programs in primary school. For Turkish speakers, heritage language schooling is limited to afterschool programs, and for Italian students, a private bilingual primary school was opened only recently (see Riehl and Barberio, forthcoming). As demonstrated in a previous analysis of the data, students who had attended a primary school taught in their mother tongue obtained the highest impact factors for equally high levels of text competence not only in L1 but also in L2 (Riehl 2020).
However, it became evident in this study that text competence and language awareness were also dependent on the type of school attended at the time of testing: It was found that attending a school with a bilingual program has a significant impact on language awareness in a student’s heritage language and leads to more balanced language skills. The scores achieved by students attending this school type and in those attending a Gymnasium were significantly higher than those obtained by students attending a vocational school. These results can be attributed to two different aspects: First, in general, students with greater achievements in primary school prefer to attend a Gymnasium instead of a Realschule. Second, the curricula in the two types of school differ conspicuously: The Gymnasium is a university-preparatory school with more emphasis on linguistic skills, while Realschule, as a vocational school type, focuses on technical and practical skills. Moreover, in a Gymnasium, students learn additional foreign languages. In a Realschule, only English classes are compulsory, but in a Gymnasium, students usually learn a second foreign language, primarily French (44 participants in our sample), followed by Latin (13 participants in our sample). As Jessner et al. (2018) demonstrated in a study on the language awareness of multilingual students, Latin learners presented more advanced metalinguistic and metacognitive abilities than their peers with no experience in Latin instruction. The authors attributed these findings to the fact that learners of Latin are more accustomed to analyzing and objectifying language and reflecting on multilingual strategies. This was not addressed in our study but ought to be included in further analyses. Since metalinguistic awareness is related to explicit language learning (cf. Ullman 2016), it is highly plausible that it is fostered by the learning of foreign languages. As Hufeisen and Jessner (2019) pointed out, this particularly holds for strategy building.
Against this background, it becomes obvious that this study has some limitations. Firstly, looking only at L1 and L2 is a reductionist approach when analyzing the linguistic repertoire of a multilingual person. As studies on multilingual writing (including L3s) have revealed, there is a cross-linguistic effect between all languages spoken by a multilingual speaker, independent of whether they were acquired early or later in life (cf. Cenoz and Gorter 2011; Usanova and Schnoor 2021). Additionally, studies on language awareness that have addressed the whole linguistic repertoire of late multilinguals have demonstrated that speakers develop a high cross-linguistic awareness about links between different languages (Jessner 2006; Jessner et al. 2018). Hence, future research on the interrelatedness of metalinguistic awareness in heritage language speakers ought to include all languages spoken by an individual.
Additionally, cross-sectional studies provide limited informative value when exploring the development of the multilingual system and the interrelatedness of competencies in respective languages. Longitudinal studies may give better insight into the interaction of language awareness and the development of writing abilities.
Another limitation relates to the test design: The LAT ought to be adjusted by improving the test measures, mainly regarding the assessment of textual awareness. It became evident that students had difficulty with the open-question format used in this subtest. Furthermore, it would be of interest to measure additional dimensions of language awareness, e.g., syntactical awareness, and to employ alternative test measures.
In this study, we have demonstrated that metalinguistic awareness has a major effect on text competence, but we still do not know what determines language awareness. Since, as evidenced in previous studies, literacy activities (reading and writing activities performed outside the school context) have a major effect on the development of writing abilities (Duarte et al. 2014; Riehl et al. 2018; Riehl 2020), we might assume that literacy activities also affect language awareness. However, it is difficult to decide what comes first. It should rather be presumed that the three components strengthen each other: the better my writing, the more I write, and the more I write, the better my language awareness; the better my language awareness, the better my writing abilities; and so on. To explore the interdependence of these factors is also a challenge for future research.

5. Conclusions

The findings reported in the present study clearly demonstrate that writing abilities in different languages are not only significantly correlated between each other but also highly correlated with metalinguistic awareness. This was evidenced by the results of a LAT containing three different subtests: semantic, pragmatic, and textual awareness. While semantic awareness was found to be language specific and did not (or only marginally) correlate, the results for pragmatic and textual awareness showed a highly significant correlation in both languages. This means that competence in these areas is not language specific but rather is a function of a plurilingual competence that might be accessed in all languages spoken by an individual.
Against this background, language users ought to be encouraged to activate their plurilingual repertoire in order to use the scaffolding function and to develop metalinguistic awareness. In this context, it should be noted that, in a multilingual classroom, all languages available to learners should be included in the language learning process, and heritage language speakers should be encouraged to use their respective L1s for comparison. As has been demonstrated in various studies (see Jessner et al. 2016), comparison of languages fosters language learning via the use of common structures and the establishment of neuronal links. In this vein, learning can be promoted by teaching programs that are based on the comparison of languages, such as models of integrated language didactics (Le Pape Racine 2007; Wokusch 2013). This particularly holds for the development of text competence. Teachers should motivate students to establish synergetic linkages between their respective languages by using their metalinguistic knowledge.
However, to enhance our understanding of how heritage learners develop literacy skills and how this is fostered by language awareness, more research is needed. Test measures have to be improved and expanded using online and offline methods. Here, interdisciplinary research designs that combine psycholinguistic, sociolinguistic, and educational approaches are promising.

Funding

This project was funded by the Federal Ministry for Education and Research (BMBF) in the framework of the research cluster “Sprachliche Bildung und Mehrsprachigkeit” (Language education and multilingualism) (01JM1305).

Institutional Review Board Statement

The study was conducted according to the guidelines of the Declaration of Helsinki, and approved by the Bavarian Federal Ministry of Education, Science and Art, Munich, Germany (Bayerisches Staatsministerium für Bildung und Kultus, Wissenschaft und Kunst) (protocoll code III.9-5 O 6106/40/2).

Informed Consent Statement

Informed consent was obtained from all subjects involved in the study and from their respective parents.

Data Availability Statement

The data presented in this study are available on request from the corresponding author. The data are not publicly available since the Federal Ministry did not give permission to place the data in an open repository.

Acknowledgments

My special thanks go to Teresa Barberio, Eleni Tasiopoulou and Seda Yilmaz Woerfel for data collection and assistance in the data analysis. I’m also indebted to the Statistical Consulting Unit (StaBLab) of the LMU Munich for their substantial help in the statistical analysis. Furthermore, I would like to thank two anonymous reviewers for their helpful comments on a previous version of the manuscript.

Conflicts of Interest

The author declares no conflict of interests.

Appendix A. Excerpts from the LAT

In the following text, some excerpts of the LAT are provided. The examples include the particular instructions and two exemplary questions for each task.

Appendix A.1. Subtest A: Pragmatic Awareness

(a)
To what extent do you agree with the following statements?
1 Strongly agree2 Agree3 Disagree4 Strongly disagree
In a narration, the structure of the text is not important. The expression of feelings is very important.
Pro and cons are very important in argumentative texts.
(b)
When speaking to the following people, would you use the following sentences? Multiple answers are possible.
To your principalTo your teacherTo your friendsTo your parentsTo your siblingsTo nobody
I would start a letter with “Hello Mr. Müller”
“Due to my illness yesterday, it was impossible for me to attend school”

Appendix A.2. Subtest B: Semantic Awareness

(a)
Replace the words marked in bold in the following sentences with a more appropriate expression.
Before the guests arrive, he would like to prepare the dinner.
(1) make
(2) produce
(3) generate
(4) form
In Germany people mostly eat potatoes.
(1) only
(2) more and more
(3) usually
(4) always
(b)
Replace the expressions marked in bold in the following sentences with a more appropriate expression or, if necessary, reformulate the sentence.
(a)
If you don’t have anything important to say about the discussion, then you should say nothing at all.
(b)
She looked into his eyes and said goodbye to him.
(c)
At school they make gifts for Christmas.

Appendix A.3. Subtest C: Textual Awareness

Read through the following short texts and write down, in detail, what you notice.
(a)
My mother is scary. My mother always imagines the worst. My mother is afraid that I will do something wrong. Anna’s mother is much easier to cope with. She allows her daughter to go out at night. I would like to have a mother like this.
(b)
Elli Link came to Berlin in 1918. She was 19 years old. Before that, she lived in Braunschweig, where she worked as a hairdresser.
Elli Link came to Berlin in 1918. The horse nickered when the man entered the church. There were some broken dishes where the briefcase was found.

Appendix B

Table A1. Effects of school type and language group on LAT scores in L1.
Table A1. Effects of school type and language group on LAT scores in L1.
VariablesEstimateStand. Errort-Value
Bilingual School8.689 ***1.820 ***4.775
Gymnasium7.700 ***1.284 ***5.995
Group GR7.258 ***1.440 ***5.041
Group IT−1.8681.546−1.208
R20.3674
adjusted R20.3529
F (df = 5;173)25.27 ***
Signif. codes: 0 ‘***’ 0.001 ‘**’ 0.01 ‘*’ 0.05 ‘.’ 0.1 ‘ ’ 1.
Table A2. Effects of school type and language group on LAT scores in L2.
Table A2. Effects of school type and language group on LAT scores in L2.
VariablesEstimateStand. Errort-Value
Bilingual School14.598 ***2.238 ***6.523
Gymnasium6.323 ***1.771 ***4.003
Group GR5.799 **3.275 **3.275
Group IT−1.6631.901−0.875
R20.2908
adjusted R20.2745
F (df = 5;173)17.84 ***
Signif. codes: 0 ‘***’ 0.001 ‘**’ 0.01 ‘*’ 0.05 ‘.’ 0.1 ‘ ’ 1.
Table A3. Effects of LAT scores, school type, and language group on text competence in L1.
Table A3. Effects of LAT scores, school type, and language group on text competence in L1.
VariablesEstimateStand. Errort-Value
LAT_L10.08203 ***0.01131 ***7.251
Bilingual School0.77770 *0.37258 *2.087
Gymnasium1.05115 ***0.24633 ***4.267
Group GR−0.65938 *0.27225 *−2.422
Group IT0.191530.284310.674
R20.3982
adjusted R20.3808
F (df = 5;173)22.9 ***
Signif. codes: 0 ‘***’ 0.001 ‘**’ 0.01 ‘*’ 0.05 ‘.’ 0.1 ‘ ’ 1.
Table A4. Effects of LAT scores, school type and language group on text competence L2.
Table A4. Effects of LAT scores, school type and language group on text competence L2.
VariablesEstimateStand. Errort-Value
LAT_L20.07044 ***0.01689 ***4.171
Bilingual School0.512520.431151.189
Gymnasium1.38890 ***0.31429 ***4.419
Group GR−0.132370.34335−0.386
Group IT0.037830.345800.109
R20.2886
adjusted R20.268
F (df = 5;173)14.04 ***
Signif. codes: 0 ‘***’ 0.001 ‘**’ 0.01 ‘*’ 0.05 ‘.’ 0.1 ‘ ’ 1.

References

  1. Augst, Gerhard, and Peter Faigel. 1986. Von der Reihung zur Gestaltung Untersuchungen zur Ontogenese der schriftsprachlichen Fähigkeiten von 13–23 Jahren. [Studies on the Ontogenesis of Writing Abilities between the Age of 13 and 23]. Frankfurt am Main, Bern and New York: Lang. [Google Scholar]
  2. Berman, Ruth A., and Bracha Nir-Sagiv. 2007. Comparing narrative and expository text construction across adolescence: A developmental paradox. Discourse Processes 43: 79–120. [Google Scholar] [CrossRef]
  3. Berthele, Raphael. 2018. Assessing Heritage Languages and Interdependence: Why and How? In Heritage and School Language Literacy Development in Migrant Children. Interdependence or Independence? Edited by Raphael Berthele and Amelia Lambelet. Bristol: Multilingual Matters, pp. 188–200. [Google Scholar] [CrossRef]
  4. Berthele, Raphael, and Amelia Lambelet, eds. 2018. Heritage and School Language Literacy Development in Migrant Children. Interdependence or Independence? Bristol: Multilingual Matters. [Google Scholar] [CrossRef]
  5. Bialystok, Ellen. 2001. Bilingualism in Development. Language, Literacy, and Cognition. Cambridge: Cambridge University Press. [Google Scholar] [CrossRef]
  6. Bialystok, Ellen. 2007. Acquisition of literacy in bilingual children: A framework for research. Language Learning 57: 45–77. [Google Scholar] [CrossRef]
  7. Bialystok, Ellen. 2012. The Impact of Bilingualism on Language and Literacy Development. In The Handbook of Bilingualism and Multilingualism. Edited by Tej K. Bhatia and William C. Ritchie. Chichester: Wiley-Blackwell, pp. 624–48. [Google Scholar] [CrossRef]
  8. Bialystok, Ellen, and Fergus I. M. Craik. 2010. Cognitive and linguistic processing in the bilingual mind. Current Directions in Psychological Science 19: 19–23. [Google Scholar] [CrossRef]
  9. Bialystok, Ellen, Shilpi Majumder, and Michelle M. Martin. 2003. Developing Phonological Awareness: Is there a Bilingual Advantage? Applied Psycholinguistics 24: 27–44. [Google Scholar] [CrossRef]
  10. Cenoz, Jasone, and Durk Gorter. 2011. Focus on Multilingualism: A Study of Trilingual Writing. The Modern Language Journal 95: 356–69. [Google Scholar] [CrossRef]
  11. Cummins, Jim. 2001. Bilingual Children’s Mother Tongue: Why Is It Important for Education? Sprogforum 7: 15–20. Available online: https://inside.isb.ac.th/nativelanguage/files/2015/11/Bilingual-Childrens-Mother-Tongue.pdf (accessed on 19 May 21).
  12. de Angelis, Gessica, and Ulrike Jessner. 2012. Writing across languages in a bilingual context. A Dynamic Systems Theory approach. In L2 Writing Development: Multiple Perspectives. Edited by Rosa María Manchón. Berlin and Boston: Mouton de Gruyter. [Google Scholar] [CrossRef]
  13. Donmall, Gillian. 1992. Language Awareness: Wat is dat? Language Awareness 1: 1–3. [Google Scholar] [CrossRef]
  14. Dressler, Cheryl, and Michael L. Kamil. 2006. First- and second-language literacy. In Developing Literacy in Second-Language Learners: Report of the National Literacy Panel on Language Minority Children and Youth. Edited by Diane August and Timothy Shanahan. Mahwah: Lawrence Erlbaum, pp. 197–246. [Google Scholar] [CrossRef]
  15. Duarte, Joana, Ingrid Gogolin, Thorsten Klinger, and Birger Schnoor. 2014. Mehrsprachige Kompetenzen in Abhängigkeit von familialen Sprachpraxen. Lili Zeitschrift für Literaturwissenschaft und Linguistik 174: 66–85. [Google Scholar] [CrossRef]
  16. Fehling, Sylvia. 2008. Language Awareness und bilingualer Unterricht: Eine komparative Studie [Language Awareness and Bilingual Instruction: A Comparative Study], 2nd ed. Frankfurt am Main: Lang. [Google Scholar]
  17. Finkbeiner, Claudia, and Jennifer Schluer. 2018. Language Awareness in the Teaching of Reading and Writing. In The Routledge Handbook of Language Awareness. Edited by Peter Garrett and Joseph M. Cots. New York: Routledge, pp. 108–23. [Google Scholar] [CrossRef]
  18. Fitzgerald, Jill. 2006. Multilingual writing in preschool through 12th grade: The last 15 years. In Handbook of Writing Research. Edited by Charles A. MacArthur, Steve Graham and Jill Fitzgerald. New York: Guilford Press, pp. 337–54. [Google Scholar] [CrossRef]
  19. Galambos, Sylvia Joseph, and Susan Goldin-Meadow. 1990. The effects of learning two languages on levels of metalinguistic awareness. Cognition 34: 1–56. [Google Scholar] [CrossRef]
  20. Gantefort, Christoph. 2013. Schriftliches Erzählen Mehrsprachiger Kinder. Entwicklung und Sprachenübergreifende Fähigkeiten. [Written Narratives of Multilingual Children: Their Development and Cross-Linguistic Competencies]. Münster: Waxmann. [Google Scholar]
  21. Genelot, Sophie. 2001. Evaluation Quantitative du Cursus EVLANG: Rapport Final. Dijon: Université du Bourgogne, I.R.E.D.U. Available online: https://jaling.ecml.at/pdfdocs/evlang/evlang4.pdf (accessed on 19 May 2021).
  22. Herdina, Philip, and Ulrike Jessner. 2002. A Dynamic Model of Multilingualism: Perspectives of Change in Psycholinguistics. Clevedon: Multilingual Matters. [Google Scholar] [CrossRef]
  23. Hufeisen, Britta, and Ulrike Jessner. 2019. The Psycholinguistics of Multiple Language Learning and Teaching. In Twelve Lectures on Multilingualism. Edited by David Singleton and Larissa Aronin. Bristol: Multilingual Matters, pp. 65–100. [Google Scholar] [CrossRef]
  24. Hulstijn, Jan H. 2015. Language Proficiency in Native and Non-Native Speakers. Theory and Research. Amsterdam and Philadelphia: Benjamins. [Google Scholar] [CrossRef]
  25. James, Carl, and Peter Garrett. 1992. The scope of language awareness. In Language Awareness in the Classroom. Edited by Carl James, Peter Garrett and Christopher N. Candlin. London: Routledge, pp. 1–18. [Google Scholar] [CrossRef]
  26. Jessner, Ulrike. 2006. Linguistic Awareness in Multilinguals: English as a Third Language. Edinburgh: University Press. Available online: https://www.cambridge.org/core/books/linguistic-awareness-in-multilinguals/D4585651B7228FA7A703D57D48307253 (accessed on 19 May 2021).
  27. Jessner, Ulrike. 2017. Language Awareness in Multilinguals: Theoretical Trends. In Language Awareness and Multilingualism. Encyclopedia of Language and Education. Edited by Jasone Cenoz, Durk Gorter and Stephen May. New York: Springer, pp. 19–29. [Google Scholar] [CrossRef]
  28. Jessner, Ulrike, Manon Megens, and Stefanie Graus. 2016. Crosslinguistic influence in third language acquisition. In Crosslinguistic Influence in Second Language Acquisition. Edited by Rosa Alonso Alonso. Bristol: Multilingual Matters, pp. 193–214. [Google Scholar]
  29. Jessner, Ulrike, Valentina Török, and Claudia Pellegrini. 2018. The role of Latin in multilingual learners’ strategies. Language Education and Multilingualism 85: 85–102. [Google Scholar] [CrossRef]
  30. Kemper, Thomas. 2015. Bildungsdisparitäten von Schülern nach Staatsangehörigkeit und Migrationshintergrund. Eine schulformspezifische Analyse anhand von Daten der amtlichen Schulstatistik. [Educational Disparities of Students According to Nationality and Migration Background. A School Type-Specific Analysis Based on Data from Official School Statistics]. Münster and New York: Waxmann. [Google Scholar]
  31. Koch, Peter, and Wulf Oesterreicher. 2012. Language of Immediacy—Language of Distance: Orality and Literacy from the Perspective of Language Theory and Linguistic History. In Communicative Spaces. Variation Contact and Change: Papers in Honour of Ursula Schaefer. Edited by Claudia Lange, Beatrix Weber and Göran Wolf. Frankfurt am Main, Bern and New York: Lang, pp. 441–73. First published 1985. [Google Scholar] [CrossRef]
  32. Kremin, Lena van der Velde, Maria Mercedes Arredondo, Lucy Shih Ju Hsu, Teresa Satterfield, and Ioulia Kovelman. 2016. The effects of Spanish heritage language literacy on English reading for Spanish-English bilingual children in the US. International Journal of Bilingual Education and Bilingualism 22: 192–206. [Google Scholar] [CrossRef] [PubMed]
  33. Labov, William. 1972. Language in the Inner City: Studies in the Black English Vernacular. Philadelphia: University of Pennsylvania Press. [Google Scholar]
  34. Le Pape Racine, Christine. 2007. Integrierte Sprachendidaktik. Immersion und das Paradoxe an ihrem Erfolg [Integrative language didactics. Immersion and the paradoxon of its success]. Beiträge zur Lehrerinnen-und Lehrerbildung 25: 156–67. [Google Scholar]
  35. Manchón, Rosa María. 2013. Writing. In The Psycholinguistics of Bilingualism. Edited by Francois Grosjean and Ling Li. Oxford: Wiley-Blackwell, pp. 100–15. Available online: https://www.wiley.com/en-gb/The+Psycholinguistics+of+Bilingualism-p-9781118349731 (accessed on 19 May 2021).
  36. Manchón, Rosa María. 2017. The Multifaceted and Situated Nature of the Interaction between Language and Writing in Academic Settings: Advancing Research Agendas. In Teaching Writing for Academic Purposes to Multilingual Students. Instructional Approaches. Edited by John Bitchener, Neomy Storch and Rosemary Wette. New York: Routledge, pp. 183–200. [Google Scholar] [CrossRef]
  37. Manchón, Rosa María, Joca J. de Larios, and Liz Murphy. 2007. A review of writing strategies: Focus on conceptualizations and impact of first language. In Language Learner Strategies: 30 Years of Research and Practice. Edited by Ernesto Macaro and Andrew D. Cohen. Oxford: University Press, pp. 229–50. [Google Scholar] [CrossRef]
  38. Mayring, Philipp. 2000. Qualitative Content Analysis. Forum Social Resarch 1: 20. [Google Scholar] [CrossRef]
  39. Oliveira, Ana Luísa, and Maria Helena Ançã. 2018. Language Awareness and the Development of Learners’ Plurilingual Competence. In The Routledge Handbook of Language Awareness. Edited by Peter Garrett and Joseph M. Cots. New York: Routledge, pp. 238–56. [Google Scholar] [CrossRef]
  40. Raible, Wolfgang. 1992. Junktion. Eine Dimension der Sprache und ihre Realisierungsformen zwischen Aggregation und Integration. [Junction. A Linguistic Dimension and Its Forms of Realization between Aggregation and Integration]. Heidelberg: Winter. [Google Scholar]
  41. Rauch, Dominique Patricia, Johannes Naumann, and Nina Jude. 2011. Metalinguistic awareness mediates effects of full biliteracy on third-language reading proficiency in Turkish-German bilinguals. International Journal of Bilingualism 16: 402–18. [Google Scholar] [CrossRef]
  42. Ricciardelli, Lina A. 1993. Two components of metalinguistic awareness: Control of linguistic processing and analysis of linguistic knowledge. Applied Psycholinguistics 14: 349–67. [Google Scholar] [CrossRef]
  43. Riehl, Claudia Maria. 2013. Multilingual discourse competence in minority children. Exploring the factors of transfer and variation. European Journal of Applied Linguistics 1: 254–92. [Google Scholar] [CrossRef]
  44. Riehl, Claudia Maria. 2020. Multiliteracy: The interdependence of L1 and L2 and extra-linguistic factors. Heritage Language Journal 17: 377–408. [Google Scholar] [CrossRef]
  45. Riehl, Claudia Maria, and Teresa Barberio. Forthcoming. Speaking and writing in two languages: Language contact in second generation Italian immigrants in Munich. In Italian(s) Abroad: Italian Language and Migration in Cities of the World. Edited by John Hajek and Francesco Goglia. Berlin: De Gruyter.
  46. Riehl, Claudia Maria, Seda Yilmaz Woerfel, Teresa Barberio, and Eleni Tasiopoulou. 2018. Mehrschriftlichkeit: Zur Wechselwirkung von Sprachkompetenzen in Erst- und Zweitsprache und außersprachlichen Faktoren [Multiliteracy: The interdependence of linguistic competences in L1 and L2 and extra-linguistic factors]. In Potenziale von Herkunftssprachen: Sprachliche und außersprachliche Einflussfaktoren [Potentials of Heritage Languages: The Impact of Linguistic and Extra-Linguistic Factors]. Edited by Grit Mehlhorn and Bernhard Brehmer. Tübingen: Stauffenburg, pp. 93–116. [Google Scholar] [CrossRef]
  47. Simard, Daphnée, and Xavier Gutiérrez. 2018. The Study of Metalinguistic Constructs in Second Language Acquisition Research. In The Routledge Handbook of Language Awareness. Edited by Peter Garrett and Joseph M. Cots. New York: Routledge, pp. 205–21. [Google Scholar] [CrossRef]
  48. Siouti, Irini. 2019. New Migrations from Greece to Germany in Times of the Financial Crisis: Biographical Research Perspectives. In New Migrations from Greece to Germany in Times of the Financial Crisis. Edited by Julie A. Panagiotopoulou. Wiesbaden: Springer, pp. 57–72. [Google Scholar] [CrossRef]
  49. So, Youngsoon, Sung-Ock Sohn, and Jieun Kim. 2018. An Analysis of Korean Heritage Learners’ Writing across Different Discourse Types. The Heritage Language Journal 15: 319–40. [Google Scholar] [CrossRef]
  50. Soltero-González, Lucinda, Katy Escamilla, and Susan Hopewell. 2012. Changing teachers’ perceptions about the writing abilities of emerging bilingual students: Towards a holistic bilingual perspective on writing assessment. International Journal of Bilingual Education & Bilingualism 15: 71–94. [Google Scholar] [CrossRef]
  51. Sparrow, Wendy, Sandra Butvilofsky, Kathy Escamilla, Susan Hopewell, and Teresa Tolento. 2014. Examining the Longitudinal Biliterate Trajectory of Emerging Bilingual Learners in a Paired Literacy Instructional Model. Bilingual Research Journal 37: 24–42. [Google Scholar] [CrossRef]
  52. Statistisches Amt München. 2019. Bevölkerungsbestand [Population STATISTICS]. Available online: https://www.muenchen.de/rathaus/Stadtinfos/Statistik/Bev-lkerung/Bev-lkerungsbestand.html (accessed on 1 November 2020).
  53. Ullman, Michael T. 2016. The Declarative/Procedural Model: A Neurobiological Model of Language Learning, Knowledge and Use. In Neurobiology of Language. Edited by Gregory Hickok and Steven L. Small. San Diego: Elsevier, pp. 953–68. [Google Scholar] [CrossRef]
  54. Uluçam-Wegmann, Işıl, Sinan Akın, Nur Akkuş, Christine Enzenbach, Erkan Gürsoy, Paul Haller, Jana Kaulvers, Heike Roll, and Christian Steck. 2019. Schreiben und Mehrschriftlichkeit—Eine Analyse schriftsprachlicher Fähigkeiten im Deutschen und Türkischen in der Sekundarstufe I und Ansätze für eine koordinierte Förderung mehrsprachiger Literarität. [Writing and multiliteracy: An analysis of writing abilities in German and Turkish and approaches to a coordinate promotion of multiliteracy]. In Schreiben im Fachunterricht der Sekundarstufe I unter Einbeziehung des Türkischen. Empirische Befunde aus den Fächern Geschichte, Physik, Technik, Politik, Deutsch und Türkisch. Edited by Heike Roll, Markus Bernhardt, Christine Enzenbach, Hans E. Fischer, Erkan Gürsoy, Heiko Krabbe, Martin Lang, Sabine Manzel and Işıl Uluçam-Wegmann. Münster: Waxmann, pp. 51–127. [Google Scholar]
  55. Usanova, Irina, and Birger Schnoor. 2021. Exploring multiliteracies in multilingual students: Profiles of multilingual writing skills. Bilingual Research Journal. [Google Scholar] [CrossRef]
  56. Verspoor, Marjolijn, and Hana Smiskova. 2012. Foreign language writing development from a dynamic usage based perspective. In L2 Writing Development: Multiple Perspectives. Edited by Rosa María Manchón. Berlin: Mouton de Gruyter, pp. 17–46. [Google Scholar] [CrossRef]
  57. Woerfel, Till, Nikolas Koch, Seda Yilmaz Woerfel, and Claudia Maria Riehl. 2014. Mehrschriftlichkeit bei mehrsprachig aufwachsenden Kindern: Wechselwirkungen und außersprachliche Einflußfaktoren [Growing Up with Two Languages: What About Literacy?]. Lili Zeitschrift für Literaturwissenschaft und Linguistik 174: 44–65. [Google Scholar] [CrossRef]
  58. Wokusch, Susanne. 2013. Objectives in language learning and teaching. In Routledge Encyclopedia of Language Teaching and Learning. Edited by Michael Byram and Adelheid Hu. London: Routledge, pp. 519–22. [Google Scholar] [CrossRef]
1
In the following I will therefore use the notions “writing abilities” and “text competence(s)” interchangeably.
2
In Germany, persons are considered to have a “migration background” (Migrationshintergrund) if they themselves or at least one of their parents did not have German citizenship from birth.
3
The lower number of Italian and Greek subjects is due to the difficulty to recruit respondents from these groups, since the total numbers of students are much higher in the Turkish community.
4
We assume that bilingual and multilingual speakers have a dynamic multilingual system that enables them to acquire and develop skills, abilities, and proficiencies in ways in which a monolingual learner cannot (Herdina and Jessner 2002; Hufeisen and Jessner 2019). These skills encompass abilities related to language and its typology as well as sociocognitive skills used in language learning, management, and maintenance. Thus, we did not include monolingual controls.
5
For definitions of aggregative and integrative syntactic patterns, see Raible (1992). While aggregative patterns mean the addition of propositions in successive clauses, integration specifies the incorporation of propositions in one clause, either by subordination or nominalization strategies.
6
This can be explained by the fact that argumentative text writing is not explicitly taught in the heritage language.
7
Total LAT: 75.3 in L2, CI 95% [73.89; 76.74] and 71.2 in L1, CI [69.54; 72.76]; pragmatic awareness: 83.1, CI 95% [81.70; 84.52] vs. 80.9, CI 95% [79.58; 82.23]; semantic awareness: 72.10 in L1, CI 95% [69.83; 74.37] vs. 83.78 in L2, CI 95% 82.16; 85.39]; textual awareness: 53.1 in L1, CI 95% [50.56; 55.73] and 53.0 in L2, CI 95% [50.30; 55.77].
Figure 1. Total text competence scores in L1 and L2 across text types.
Figure 1. Total text competence scores in L1 and L2 across text types.
Languages 06 00094 g001
Figure 2. LAT scores in L1 and L2.
Figure 2. LAT scores in L1 and L2.
Languages 06 00094 g002
Figure 3. Correlations between subtests of the LAT.
Figure 3. Correlations between subtests of the LAT.
Languages 06 00094 g003
Figure 4. Total LAT scores across the language groups.
Figure 4. Total LAT scores across the language groups.
Languages 06 00094 g004
Figure 5. LAT scores in L1 and L2 across the language groups.
Figure 5. LAT scores in L1 and L2 across the language groups.
Languages 06 00094 g005
Figure 6. Total LAT scores across school types.
Figure 6. Total LAT scores across school types.
Languages 06 00094 g006
Figure 7. LAT scores in L1 and L2 across school types.
Figure 7. LAT scores in L1 and L2 across school types.
Languages 06 00094 g007
Figure 8. Total LAT scores across school types and language groups.
Figure 8. Total LAT scores across school types and language groups.
Languages 06 00094 g008
Table 1. Demographic data of the sample.
Table 1. Demographic data of the sample.
Language GroupItalianGreekTurkish
Total number of participants545566
Mean age15.114.914.6
Female313242
Male232324
Realschule221840
Gymnasium142826
Bilingual School189-
Table 2. Mean (SD) text level scores across language groups and languages in argumentative and narrative texts (scores between 1 and 5).
Table 2. Mean (SD) text level scores across language groups and languages in argumentative and narrative texts (scores between 1 and 5).
Language GroupArgumentative TextsNarrative Texts
L1 L2L1L2
Turkish (n = 66)1.94 (0.820)2.48 (0.980)2.45 (1.070)3.09 (1.063)
Italian (n = 54)1.87 (0.972)2.24 (1.164)2.54 (1.193)2.96 (1.098)
Greek (n = 55)2.06 (1.008)2.96 (1.300)2.40 (1.080)3.38 (1.274)
Table 3. Total LAT scores across the different language groups.
Table 3. Total LAT scores across the different language groups.
Total LAT ScoresMeanSDMedianIQRMin.Max.
Turkish group (n = 66)70.077.3367.8710.954.982.79
Greek group (n = 55)78.946.8280.1711.163.5889.66
Italian group (n = 54)70.899.3370.1813.8247.889.85
Table 4. LAT scores in L1 and L2 across language groups.
Table 4. LAT scores in L1 and L2 across language groups.
LAT Scores L1MeanSDMedianIQRMin.Max.
Turkish group (n = 66)67.718.2667.8713.350.8382.08
Greek group (n = 55)76.1111.2878.4714.837.0391.2
Italian group (n = 54)69.8712.2370.2620.841.6691.7
LAT Scores L2MeanSDMedianIQRMin.Max.
Turkish group (n = 66)72.38.8272.8112.953.4692.39
Greek group (n = 55)81.367.6881.958.957.6694.35
Italian group (n = 54)71.99.3872.4414.341.4393
Table 5. Total LAT scores across school types.
Table 5. Total LAT scores across school types.
LAT Scores TotalMeanSDMedianIQRMin.Max.
Realschule (n = 80)687.6768.0410.8047.885.49
Bilingual School (n = 27)79.217.7880.159.6557.589.85
Gymnasium (n = 68)76.217.3676.9710.5457.4289.66
Table 6. LAT scores in L1 and L2 across school types.
Table 6. LAT scores in L1 and L2 across school types.
LAT Scores L1MeanSDMedianIQRMin.Max.
Realschule (n = 80)65.7410.6866.3915.537.0390.43
Bilingual School (n = 27)808.6182.418.860.7291.7
Gymnasium (n = 68)73.199.873.5313.946.7690.4
LAT Scores L2MeanSDMedianIQRMin.Max.
Realschule (n = 80)709.3969.4512.5741.4393
Bilingual School (n = 27)78.898.979.811.2754.2993
Gymnasium (n = 68)79.087.7380.479.157.0694.35
Publisher’s Note: MDPI stays neutral with regard to jurisdictional claims in published maps and institutional affiliations.

Share and Cite

MDPI and ACS Style

Riehl, C.M. The Interplay of Language Awareness and Bilingual Writing Abilities in Heritage Language Speakers. Languages 2021, 6, 94. https://doi.org/10.3390/languages6020094

AMA Style

Riehl CM. The Interplay of Language Awareness and Bilingual Writing Abilities in Heritage Language Speakers. Languages. 2021; 6(2):94. https://doi.org/10.3390/languages6020094

Chicago/Turabian Style

Riehl, Claudia Maria. 2021. "The Interplay of Language Awareness and Bilingual Writing Abilities in Heritage Language Speakers" Languages 6, no. 2: 94. https://doi.org/10.3390/languages6020094

APA Style

Riehl, C. M. (2021). The Interplay of Language Awareness and Bilingual Writing Abilities in Heritage Language Speakers. Languages, 6(2), 94. https://doi.org/10.3390/languages6020094

Article Metrics

Back to TopTop