The Contributions of Crosslinguistic Influence and Individual Differences to Nonnative Speech Perception
Abstract
1. Introduction
1.1. Crosslinguistic Influence in Speech Learning
1.2. Individual Differences in Speech Learning
1.3. Korean Phonological Contrasts
1.3.1. Stop Laryngeal Contrasts in Korean
1.3.2. Vowel Contrasts in Korean
1.4. The Present Study
2. Methods
2.1. Participants and Groups
2.2. L2 Learning Context
2.3. Materials
2.4. Procedure
2.4.1. Pretest: Oddball Discrimination
2.4.2. Posttest: Forced-Choice Identification
2.5. Statistical Analysis
3. Results
3.1. Individual Differences at Pretest
3.2. Study 1: Stop Perception
3.3. Study 2: Vowel Perception
4. Discussion
5. Conclusions
Author Contributions
Funding
Acknowledgments
Conflicts of Interest
Appendix A





References
- Baker, Wendy, and Pavel Trofimovich. 2006. Perceptual paths to accurate production of L2 vowels: The role of individual differences. International Review of Applied Linguistics in Language Teaching 44: 231–50. [Google Scholar] [CrossRef]
- Bergier, Marcin. 2014. The influence of explicit phonetic instruction and production training practice on awareness raising in the realization of stop consonant clusters by advanced Polish learners of English. In Awareness in Action: The Role of Consciousness in Language Acquisition. Edited by Andrzej Łyda and Konrad Szcześniak. Heidelberg: Springer, pp. 103–20. [Google Scholar] [CrossRef]
- Best, Catherine T. 1994. The emergence of native-language phonological influences in infants: A perceptual assimilation model. In The Development of Speech Perception: The Transition from Speech Sounds to Spoken Words. Edited by Judith C. Goodman and Howard C. Nusbaum. Cambridge: MIT Press, pp. 167–224. [Google Scholar]
- Best, Catherine T. 1995. A direct realist view of cross-language speech perception. In Speech Perception and Linguistic Experience: Issues in Cross-Language Research. Edited by Winifred Strange. Baltimore: York Press, pp. 171–204. [Google Scholar]
- Best, Catherine T., and Michael D. Tyler. 2007. Nonnative and second-language speech perception: Commonalities and complementarities. In Language Experience in Second Language Speech Learning: In Honor of James Emil Flege. Edited by Ocke-Schwen Bohn and Murray J. Munro. Amsterdam: John Benjamins Publishing, pp. 13–34. [Google Scholar] [CrossRef]
- Boersma, Paul, and David Weenink. 2013. Praat: Doing Phonetics by Computer. Version 5.3.48. Available online: http://www.praat.org (accessed on 1 May 2013).
- Bohn, Ocke-Schwen, and Catherine T. Best. 2012. Native-language phonetic and phonological influences on perception of American English approximants by Danish and German listeners. Journal of Phonetics 40: 109–28. [Google Scholar] [CrossRef]
- Bowles, Anita R., Charles B. Chang, and Valerie P. Karuzis. 2016. Pitch ability as an aptitude for tone learning. Language Learning 66: 774–808. [Google Scholar] [CrossRef]
- Bradlow, Ann R. 1995. A comparative acoustic study of English and Spanish vowels. Journal of the Acoustical Society of America 97: 1916–24. [Google Scholar] [CrossRef] [PubMed]
- Byon, Andrew Sangpil. 2008. Korean as a foreign language in the USA: The instructional settings. Language, Culture and Curriculum 21: 244–55. [Google Scholar] [CrossRef]
- Byon, Andrew Sangpil, and Danielle Ooyoung Pyun, eds. 2012. Teaching and Learning Korean as a Foreign Language: A Collection of Empirical Studies. Columbus: Ohio State University Press. [Google Scholar]
- Carroll, John B. 1981. Twenty-five years of research on foreign language aptitude. In Individual Differences and Universals in Language Learning Aptitude. Edited by Karl C. Diller. Rowley: Newbury House, pp. 83–118. [Google Scholar]
- Champely, Stephane. 2018. Pwr: Basic Functions for Power Analysis [R package]. Version 1.2-2. Available online: http://cran.r-project.org/web/packages/pwr/index.html (accessed on 1 April 2018).
- Chandrasekaran, Bharath, Padma D. Sampath, and Patrick C. M. Wong. 2010. Individual variability in cue-weighting and lexical tone learning. Journal of the Acoustical Society of America 128: 456–65. [Google Scholar] [CrossRef] [PubMed]
- Chang, Charles B. 2010. The implementation of laryngeal contrast in Korean as a Second Language. Harvard Studies in Korean Linguistics 13: 91–104. [Google Scholar]
- Chang, Charles B. 2012. Rapid and multifaceted effects of second-language learning on first-language speech production. Journal of Phonetics 40: 249–68. [Google Scholar] [CrossRef]
- Chang, Charles B. 2013. The production and perception of coronal fricatives in Seoul Korean: The case for a fourth laryngeal category. Korean Linguistics 15: 7–49. [Google Scholar] [CrossRef]
- Chang, Charles B. 2016. Bilingual perceptual benefits of experience with a heritage language. Bilingualism: Language and Cognition 19: 791–809. [Google Scholar] [CrossRef]
- Chang, Charles B. 2018. Perceptual attention as the locus of transfer to nonnative speech perception. Journal of Phonetics 68: 85–102. [Google Scholar] [CrossRef]
- Cho, Taehong, Sun-Ah Jun, and Peter Ladefoged. 2002. Acoustic and aerodynamic correlates of Korean stops and fricatives. Journal of Phonetics 30: 193–228. [Google Scholar] [CrossRef]
- Clynes, Adrian, and David Deterding. 2011. Standard Malay (Brunei). Journal of the International Phonetic Association 41: 259–68. [Google Scholar] [CrossRef]
- Cruz-Ferreira, Madalena. 1995. European Portuguese. Journal of the International Phonetic Association 25: 90–94. [Google Scholar] [CrossRef]
- Darcy, Isabelle, Hanyong Park, and Chung-Lin Yang. 2015. Individual differences in L2 acquisition of English phonology: The relation between cognitive abilities and phonological processing. Learning and Individual Differences 40: 63–72. [Google Scholar] [CrossRef]
- Dewaele, Jean-Marc, and Adrian Furnham. 2000. Personality and speech production: A pilot study of second language learners. Personality and Individual Differences 28: 355–65. [Google Scholar] [CrossRef]
- Díaz, Begoña, Cristina Baus, Carles Escera, Albert Costa, and Núria Sebastián-Gallés. 2008. Brain potentials to native phoneme discrimination reveal the origin of individual differences in learning the sounds of a second language. Proceedings of the National Academy of Sciences of the United States of America 105: 16083–88. [Google Scholar] [CrossRef]
- Díaz, Begoña, Holger Mitterer, Mirjam Broersma, and Núria Sebastián-Gallés. 2012. Individual differences in late bilinguals’ L2 phonological processes: From acoustic-phonetic analysis to lexical access. Learning and Individual Differences 22: 680–89. [Google Scholar] [CrossRef]
- Dörnyei, Zoltán, and Peter Skehan. 2003. Individual differences in second language learning. In The Handbook of Second Language Acquisition. Edited by Catherine J. Doughty and Michael H. Long. Malden: Blackwell Publishing, pp. 589–630. [Google Scholar] [CrossRef]
- Dörnyei, Zoltán. 2006. Individual differences in second language acquisition. AILA Review 19: 42–68. [Google Scholar] [CrossRef]
- Duanmu, San. 2007. The Phonology of Standard Chinese, 2nd ed. Oxford: Oxford University Press. [Google Scholar]
- Eckman, Fred R., Abdulla Elreyes, and Gregory K. Iverson. 2001. Allophonic splits in L2 phonology: The question of learnability. International Journal of English Studies 1: 21–51. [Google Scholar]
- Eklund, Ingegerd, and Hartmut Traunmüller. 1997. Comparative study of male and female whispered and phonated versions of the long vowels of Swedish. Phonetica 54: 1–21. [Google Scholar] [CrossRef]
- Escudero, Paola, Paul Boersma, Andréia Schurt Rauber, and Ricardo A. H. Bion. 2009. A cross-dialect acoustic description of vowels: Brazilian and European Portuguese. Journal of the Acoustical Society of America 126: 1379–93. [Google Scholar] [CrossRef] [PubMed]
- Eychenne, Julien, and Tae-Yeoub Jang. 2015. On the merger of Korean mid front vowels: Phonetic and phonological evidence. Malsoriwa Eumseong Gwahak [Phonetics and Speech Sciences] 7: 119–29. [Google Scholar] [CrossRef]
- Eychenne, Julien, and Tae-Yeoub Jang. 2018. On the role of contrastivity in the development of the /e∼ɛ/ merger in Korean. Journal of East Asian Linguistics 27: 111–39. [Google Scholar] [CrossRef]
- Flege, James Emil. 1995. Second language speech learning: Theory, findings, and problems. In Speech Perception and Linguistic Experience: Issues in Cross-Language Research. Edited by Winifred Strange. Baltimore: York Press, pp. 233–72. [Google Scholar]
- Fougeron, Cécile, and Caroline L. Smith. 1993. French. Journal of the International Phonetic Association 23: 73–76. [Google Scholar] [CrossRef]
- Golestani, Narly, and Robert J. Zatorre. 2009. Individual differences in the acquisition of second language phonology. Brain and Language 109: 55–67. [Google Scholar] [CrossRef]
- Gordon, Larry. 2015. Korean-Language Classes Are Growing in Popularity at U.S. Colleges. Los Angeles Times. April 1. Available online: https://lat.ms/1GjgEjG (accessed on 1 August 2018).
- Hanulíková, Adriana, Dan Dediu, Zhou Fang, Jana Bašnaková, and Falk Huettig. 2012. Individual differences in the acquisition of a complex L2 phonology: A training study. Language Learning 62: 79–109. [Google Scholar] [CrossRef]
- Hattori, Kota, and Paul Iverson. 2009. English /r/-/l/ category assimilation by Japanese adults: Individual differences and the link to identification accuracy. Journal of the Acoustical Society of America 125: 469–79. [Google Scholar] [CrossRef]
- Helgason, Pétur, and Catherine Ringen. 2008. Voicing and aspiration in Swedish stops. Journal of Phonetics 36: 607–28. [Google Scholar] [CrossRef]
- Herrity, Peter. 2000. Slovene: A Comprehensive Grammar. London: Routledge. [Google Scholar]
- Hillenbrand, James, Laura A. Getty, Michael J. Clark, and Kimberlee Wheeler. 1995. Acoustic characteristics of American English vowels. Journal of the Acoustical Society of America 97: 3099–111. [Google Scholar] [CrossRef]
- Holliday, Jeffrey J. 2014. The perceptual assimilation of Korean obstruents by native Mandarin listeners. Journal of the Acoustical Society of America 135: 1585–95. [Google Scholar] [CrossRef]
- Holliday, Jeffrey J. 2015. A longitudinal study of the second language acquisition of a three-way stop contrast. Journal of Phonetics 50: 1–14. [Google Scholar] [CrossRef]
- Holliday, Jeffrey J. 2016. Second language experience can hinder the discrimination of nonnative phonological contrasts. Phonetica 73: 33–51. [Google Scholar] [CrossRef] [PubMed]
- Idemaru, Kaori, Lori L. Holt, and Howard Seltman. 2012. Individual differences in cue weights are stable across time: The case of Japanese stop lengths. Journal of the Acoustical Society of America 132: 3950–64. [Google Scholar] [CrossRef]
- Iivonen, Antti, and Huhe Harnud. 2005. Acoustical comparison of the monophthong systems in Finnish, Mongolian and Udmurt. Journal of the International Phonetic Association 35: 59–71. [Google Scholar] [CrossRef]
- Jilka, Matthias, Volha Anufryk, Henrike Baumotte, Natalie Lewandowska, Giuseppina Rota, and Susanne Reiterer. 2008. Assessing individual talent in second language production and perception. In New Sounds 2007: Proceedings of the 5th International Symposium on the Acquisition of Second Language Speech. Edited by Andréia Schurt Rauber, Michael Alan Watkins and Barbara O. Baptista. Florianópolis: Federal University of Santa Catarina, pp. 243–58. [Google Scholar]
- Johnson, Keith, and Molly Babel. 2010. On the perceptual basis of distinctive features: Evidence from the perception of fricatives by Dutch and English speakers. Journal of Phonetics 38: 127–36. [Google Scholar] [CrossRef]
- Jung, Miji, and Sungmi Kwon. 2010. A study on the phonetic discrimination and acquisition ability of Korean language learners. Malsoriwa Eumseong Gwahak [Phonetics and Speech Sciences] 2: 23–32. [Google Scholar]
- Jurgec, Peter. 2005. Formant frequencies of standard Slovene vowels. Govor 22: 127–44. [Google Scholar]
- Kagaya, Ryohei. 1974. A fiberscopic and acoustic study of the Korean stops, affricates and fricatives. Journal of Phonetics 2: 161–80. [Google Scholar] [CrossRef]
- Kang, Yoonjung. 2014. Voice Onset Time merger and development of tonal contrast in Seoul Korean stops: A corpus study. Journal of Phonetics 45: 76–90. [Google Scholar] [CrossRef]
- Kartushina, Natalia, and Ulrich Hans Frauenfelder. 2013. On the role of L1 speech production in L2 perception: Evidence from Spanish learners of French. In Proceedings of the 14th Annual Conference of the International Speech Communication Association (INTERSPEECH-2013), Lyon, France, 25–29 August 2013. Edited by Frédéric Bimbot, Christophe Cerisara, Cécile Fougeron, Guillaume Gravier, Lori Lamel, François Pellegrino and Pascal Perrier. BAIXAS: ISCA Archive, pp. 2118–22. [Google Scholar]
- Kartushina, Natalia, and Ulrich Hans Frauenfelder. 2014. On the effects of L2 perception and of individual differences in L1 production on L2 pronunciation. Frontiers in Psychology 5: 1246. [Google Scholar] [CrossRef] [PubMed]
- Keating, Patricia A. 1984. Phonetic and phonological representation of stop consonant voicing. Language 60: 286–319. [Google Scholar] [CrossRef]
- Kiliç, Mehmet Akif, Fatih Öğüt, Gürsel Dursun, Erdoğan Okur, Ilhami Yildirim, and Raşit Midilli. 2004. The effect of vowels on voice perturbation measures. Journal of Voice 18: 318–24. [Google Scholar] [CrossRef] [PubMed]
- Kilman, Lisa, Adriana Zekveld, Mathias Hällgren, and Jerker Rönnberg. 2014. The influence of non-native language proficiency on speech perception performance. Frontiers in Psychology 5: 651. [Google Scholar] [CrossRef]
- Kim-Renaud, Young-Key. 1974. Korean Consonantal Phonology. Ph.D. dissertation, University of Hawai’i, Honolulu, HI, USA. [Google Scholar]
- Kim-Renaud, Young-Key. 2012. Modern Korean. In The Languages of Japan and Korea. Edited by Nicolas Tranter. Abingdon: Routledge, pp. 123–67. [Google Scholar] [CrossRef]
- Ko, Insung. 2009. The merger of ey /e/ and ay /ɛ/ of Seoul Korean. Eoneo Jeongbo [Language Information] 10: 73–89. [Google Scholar]
- Kuhl, Patricia K., and Paul Iverson. 1995. Linguistic experience and the “perceptual magnet effect”. In Speech Perception and Linguistic Experience: Issues in Cross-Language Research. Edited by Winifred Strange. Baltimore: York Press, pp. 121–54. [Google Scholar]
- Kuhl, Patricia K., Barbara T. Conboy, Sharon Coffey-Corina, Denise Padden, Maritza Rivera-Gaxiola, and Tobey Nelson. 2008. Phonetic learning as a pathway to language: New data and native language magnet theory expanded (NLM-e). Philosophical Transactions of the Royal Society B 363: 979–1000. [Google Scholar] [CrossRef]
- Kuhl, Patricia K., Karen A. Williams, Francisco Lacerda, Kenneth N. Stevens, and Björn Lindblom. 1992. Linguistic experience alters phonetic perception in infants by 6 months of age. Science 255: 606–8. [Google Scholar] [CrossRef]
- Kwon, Sungmi. 2013. A study on the phonetic sensitivity in the acquisition of non-native language speech sound. Saegugeo Gyoyuk [Korean Education] 97: 209–32. [Google Scholar] [CrossRef]
- Labov, William, Sharon Ash, and Charles Boberg. 2006. The Atlas of North American English: Phonetics, Phonology and Sound Change. Berlin: Mouton de Gruyter. [Google Scholar] [CrossRef]
- Ladefoged, Peter. 1999. American English. In Handbook of the International Phonetic Association. Edited by the International Phonetic Association. Cambridge: Cambridge University Press, pp. 41–44. [Google Scholar]
- Lee, Hyun Bok. 1993. Korean. Journal of the International Phonetic Association 23: 28–31. [Google Scholar] [CrossRef]
- Lee, Wai-Sum, and Eric Zee. 2003. Standard Chinese (Beijing). Journal of the International Phonetic Association 33: 109–12. [Google Scholar] [CrossRef]
- Levy, Erika S., and Winifred Strange. 2008. Perception of French vowels by American English adults with and without French language experience. Journal of Phonetics 36: 141–57. [Google Scholar] [CrossRef]
- Maddieson, Ian. 1984. Patterns of Sounds. Cambridge: Cambridge University Press. [Google Scholar]
- Major, Roy C. 2001. Foreign Accent: The Ontogeny and Phylogeny of Second Language Phonology. Mahwah: Lawrence Erlbaum Associates. [Google Scholar]
- Major, Roy C. 2008. Transfer in second language phonology: A review. In Phonology and Second Language Acquisition. Edited by Jette G. Hansen Edwards and Mary L. Zampini. Amsterdam: John Benjamins Publishing, pp. 63–94. [Google Scholar] [CrossRef]
- Martínez-Celdrán, Eugenio, Ana Ma Fernández-Planas, and Josefina Carrera-Sabaté. 2003. Castilian Spanish. Journal of the International Phonetic Association 33: 255–59. [Google Scholar] [CrossRef]
- Milovanov, Riia, Minna Huotilainen, Vesa Välimäki, Paulo A. A. Esquef, and Mari Tervaniemi. 2008. Musical aptitude and second language pronunciation skills in school-aged children: Neural and behavioral evidence. Brain Research 1194: 81–89. [Google Scholar] [CrossRef] [PubMed]
- Milovanov, Riia, Päivi Pietilä, Mari Tervaniemi, and Paulo A. A. Esquef. 2010. Foreign language pronunciation skills and musical aptitude: A study of Finnish adults with higher education. Learning and Individual Differences 20: 56–60. [Google Scholar] [CrossRef]
- Munro, Miles. 2008. CVC syllables for investigating the phonetic sensitivity of Mandarin and English speakers. Behavior Research Methods 40: 147–53. [Google Scholar] [CrossRef]
- Myers, Emily B. 2014. Emergence of category-level sensitivities in non-native speech sound learning. Frontiers in Neuroscience 8: 238. [Google Scholar] [CrossRef]
- Odlin, Terence. 1989. Language Transfer: Cross-Linguistic Influence in Language Learning. Cambridge: Cambridge University Press. [Google Scholar]
- Öğüt, Fatih, Mehmet Akif Kiliç, Erkan Zeki Engin, and Raşit Midilli. 2006. Voice onset times for Turkish stop consonants. Speech Communication 48: 1094–99. [Google Scholar] [CrossRef]
- Oh, Eunjin. 2011. Effects of speaker gender on voice onset time in Korean stops. Journal of Phonetics 39: 59–67. [Google Scholar] [CrossRef]
- Park, Hansang. 2002a. The time courses of F1 and F2 as a descriptor of phonation types. Eoneohak [Linguistics] 33: 87–108. [Google Scholar]
- Park, Hansang. 2002b. Temporal and Spectral Characteristics of Korean Phonation Types. Ph.D. dissertation, University of Texas at Austin, Austin, TX, USA. [Google Scholar]
- Perrachione, Tyler K., Jiyeon Lee, Louisa Y. Y. Ha, and Patrick C. M. Wong. 2011. Learning a novel phonological contrast depends on interactions between individual differences and training paradigm design. Journal of the Acoustical Society of America 130: 461–72. [Google Scholar] [CrossRef] [PubMed]
- Piske, Thorsten. 2008. Phonetic awareness, phonetic sensitivity and the second language learner. In Encyclopedia of Language and Education, 2nd ed. Edited by Jasone Cenoz and Nancy H. Hornberger. Boston: Springer, vol. 6 (Knowledge about Language). pp. 155–66. [Google Scholar] [CrossRef]
- Polka, Linda, and Janet F. Werker. 1994. Developmental changes in perception of nonnative vowel contrasts. Journal of Experimental Psychology: Human Perception and Performance 20: 421–35. [Google Scholar] [CrossRef] [PubMed]
- R Development Core Team. 2020. R: A Language and Environment for Statistical Computing. Version 4.0.2. Available online: http://www.r-project.org (accessed on 22 June 2020).
- Raizada, Rajeev D. S., Feng-Ming Tsao, Huei-Mei Liu, and Patricia K. Kuhl. 2010. Quantifying the adequacy of neural representations for a cross-language phonetic discrimination task: Prediction of individual differences. Cerebral Cortex 20: 1–12. [Google Scholar] [CrossRef]
- Roach, Peter. 2004. British English: Received Pronunciation. Journal of the International Phonetic Association 34: 239–45. [Google Scholar] [CrossRef]
- Robinson, Peter. 2001. Individual differences, cognitive abilities, aptitude complexes and learning conditions in second language acquisition. Second Language Research 17: 368–92. [Google Scholar] [CrossRef]
- Schertz, Jessamyn, Taehong Cho, Andrew Lotto, and Natasha Warner. 2015. Individual differences in phonetic cue use in production and perception of a non-native sound contrast. Journal of Phonetics 52: 183–204. [Google Scholar] [CrossRef]
- Schertz, Jessamyn, Taehong Cho, Andrew J. Lotto, and Natasha Warner. 2016. Individual differences in perceptual adaptability of foreign sound categories. Attention, Perception, and Psychophysics 78: 355–67. [Google Scholar] [CrossRef]
- Schmidt, Anna Marie. 2007. Cross-language consonant identification: English and Korean. In Language Experience in Second Language Speech Learning: In Honor of James Emil Flege. Edited by Ocke-Schwen Bohn and Murray J. Munro. Amsterdam: John Benjamins Publishing, pp. 185–200. [Google Scholar] [CrossRef]
- Sebastián-Gallés, Núria, Carles Soriano-Mas, Cristina Baus, Begoña Díaz, Volker Ressel, Christophe Pallier, Albert Costa, and Jesús Pujol. 2012. Neuroanatomical markers of individual differences in native and non-native vowel perception. Journal of Neurolinguistics 25: 150–62. [Google Scholar] [CrossRef]
- Seoul National University Language Education Institute. 2010. Active Korean 1. Seoul: Munjin Media. [Google Scholar]
- Shahidi, A. H., and Rahim Aman. 2011. An acoustical study of English plosives in word initial position produced by Malays. 3L: The Southeast Asian Journal of English Language Studies 17: 23–33. [Google Scholar]
- Silva, David J. 2006a. Acoustic evidence for the emergence of tonal contrast in contemporary Korean. Phonology 23: 287–308. [Google Scholar] [CrossRef]
- Silva, David J. 2006b. Variation in voice onset time for Korean stops: A case for recent sound change. Korean Linguistics 13: 1–16. [Google Scholar] [CrossRef]
- Skehan, Peter. 1989. Individual Differences in Second-Language Learning. London: Edward Arnold. [Google Scholar]
- Skehan, Peter. 1991. Individual differences in second language learning. Studies in Second Language Acquisition 13: 275–98. [Google Scholar] [CrossRef]
- Skehan, Peter. 1998. A Cognitive Approach to Language Learning. Oxford: Oxford University Press. [Google Scholar]
- Skehan, Peter. 2002. Theorizing and updating aptitude. In Individual Differences and Instructed Language Learning. Edited by Peter Robinson. Amsterdam: John Benjamins Publishing, pp. 69–93. [Google Scholar] [CrossRef]
- Sohn, Ho-Min. 1999. The Korean Language. Cambridge: Cambridge University Press. [Google Scholar]
- Strange, Winifred, Andrea Weber, Erika S. Levy, Valeriy Shafiro, Miwako Hisagi, and Kanae Nishi. 2007. Acoustic variability within and across German, French and American English vowels: Phonetic context effects. Journal of the Acoustical Society of America 122: 1111–29. [Google Scholar] [CrossRef] [PubMed]
- Strange, Winifred. 2011. Automatic selective perception (ASP) of first and second language speech: A working model. Journal of Phonetics 39: 456–66. [Google Scholar] [CrossRef]
- Suomi, Kari, Juhani Toivanen, and Riikka Ylitalo. 2008. Finnish Sound Structure: Phonetics, Phonology, Phonotactics and Prosody. Oulu: Oulu University Press. [Google Scholar]
- Tyler, Michael D., Catherine T. Best, Alice Faber, and Andrea G. Levitt. 2014. Perceptual assimilation and discrimination of non-native vowel contrasts. Phonetica 71: 4–21. [Google Scholar] [CrossRef]
- Verhoeven, Ludo, and Anne Vermeer. 2002. Communicative competence and personality dimensions in first and second language learners. Applied Psycholinguistics 23: 361–474. [Google Scholar] [CrossRef]
- Vokic, Gabriela. 2010. L1 allophones in L2 speech production: The case of English learners of Spanish. Hispania 93: 430–52. [Google Scholar]
- Wanrooij, Karin, Paola Escudero, and Maartje E. J. Raijmakers. 2013. What do listeners learn from exposure to a vowel distribution? An analysis of listening strategies in distributional learning. Journal of Phonetics 41: 307–19. [Google Scholar] [CrossRef]
- Werker, Janet F. 1994. Cross-language speech perception: Development change does not involve loss. In The Development of Speech Perception: The Transition from Speech Sounds to Spoken Words. Edited by Judith C. Goodman and Howard C. Nusbaum. Cambridge: MIT Press, pp. 93–120. [Google Scholar]
- Werker, Janet F. 1995. Age-related changes in cross-language speech perception: Standing at the crossroads. In Speech Perception and Linguistic Experience: Issues in Cross-Language Research. Edited by Winifred Strange. Baltimore: York Press, pp. 155–70. [Google Scholar]
- Werker, Janet F., and Judith E. Pegg. 1992. Infant speech perception and phonological acquisition. In Phonological Development: Models, Research, Implications. Edited by Charles A. Ferguson, Lise Menn and Carol Stoel-Gammon. Timonium: York Press, pp. 285–311. [Google Scholar]
- Werker, Janet F., and Richard C. Tees. 1984. Cross-language speech perception: Evidence for perceptual reorganization during the first year of life. Infant Behavior and Development 7: 49–63. [Google Scholar] [CrossRef]
- Werker, Janet F., and Suzanne Curtin. 2005. PRIMIR: A developmental framework of infant speech processing. Language Learning and Development 1: 197–234. [Google Scholar] [CrossRef]
- White, Lydia. 2003. Second Language Acquisition and Universal Grammar. Cambridge: Cambridge University Press. [Google Scholar]
- Yang, Byunggon. 1992. An acoustical study of Korean monophthongs produced by male and female speakers. Journal of the Acoustical Society of America 91: 2280–83. [Google Scholar] [CrossRef] [PubMed]
- Yoon, Kyuchul, and Soonok Kim. 2015. A comparative study on the male and female vowel formants of the Korean Corpus of Spontaneous Speech. Malsoriwa Eumseong Gwahak [Phonetics and Speech Sciences] 7: 131–38. [Google Scholar] [CrossRef][Green Version]
- Yoon, Tae-Jin, and Yoonjung Kang. 2014. Monophthong analysis on a large-scale speech corpus of read-style Korean. Malsoriwa Eumseong Gwahak [Phonetics and Speech Sciences] 6: 139–45. [Google Scholar] [CrossRef][Green Version]
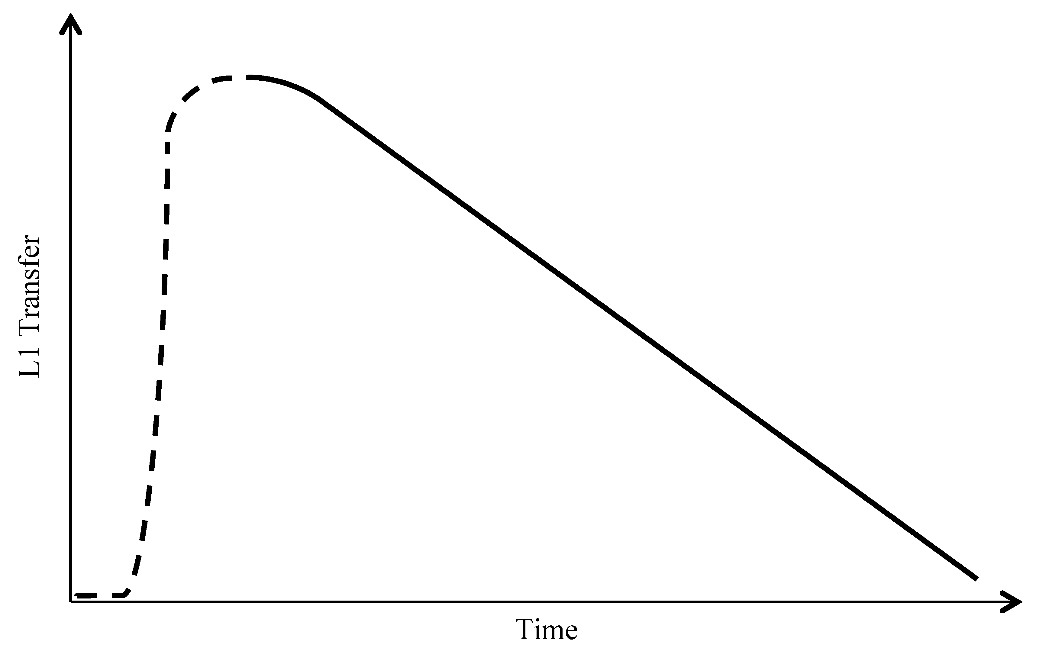
| 1 | To be more specific, the timescale for the ramp-up is hypothesized to correspond to how long it takes to develop phonological knowledge of the target L2, which is likely to differ depending on the L2 as well as the L1 background of the learner (i.e., the particular pattern of phonological alignment between the L1 and L2). However, in general, we believe that the timescale of the ramp-up to high L1 transfer will be short—less than the five-week interval of L2 learning we observed (see Section 2.2)—because, especially in an instructed L2 context, the phonological system of the L2 (at least, the basic phonological inventory) is one of the first aspects of the language to be acquired, supported by learning the orthographic system in the case of alphabetic orthographies. This is why in Figure 1 the ramp-up is represented as a steep, as opposed to a shallow, incline. |
| 2 | A more complex random-effects structure including random slopes was not used in either stage of modelling because models with such a random-effects structure failed to converge or, alternatively, showed signs of overparameterization and/or less stable fit. |










| Place of Articulation | Fortis | Lenis | Aspirated |
|---|---|---|---|
| bilabial | 10 | 27 | 92 |
| denti-alveolar | 11 | 34 | 94 |
| velar | 18 | 45 | 122 |
| Vowel | F1 | F2 | F3 |
|---|---|---|---|
| /u/ | 367 | 800 | 3149 |
| /ɨ/ | 376 | 1628 | 3056 |
| /o/ | 390 | 821 | 3302 |
| /ʌ/ | 761 | 1113 | 3545 |
| Group (L1 VOT Type) | n | Mage (yr) | L1s Represented |
|---|---|---|---|
| lead-short | 15 (9f, 6m) | 23.5 | Finnish, French, Malay, Portuguese, Slovenian, Spanish |
| short-long | 36 (29f, 7m) | 20.6 | English, Mandarin |
| lead-long | 6 (4f, 2m) | 21.8 | Swedish, Turkish |
| Group (L1 Inventory Type) | n | Mage (yr) | L1s Represented |
|---|---|---|---|
| no contrast | 26 (21f, 5m) | 22.3 | Finnish, Mandarin, Spanish, Swedish |
| some contrast | 31 (21f, 10m) | 20.8 | English, French, Malay, Portuguese, Slovenian, Turkish |
| Predictor | β | SE | z | p | |
|---|---|---|---|---|---|
| (Intercept) | 0.421 | 0.321 | 1.309 | 0.191 | |
| Contrast: fortis-aspirated | 1.730 | 0.416 | 4.162 | <0.001 | *** |
| Contrast: lenis-aspirated | 1.477 | 0.414 | 3.565 | <0.001 | *** |
| Predictor | β | SE | z | p | |
|---|---|---|---|---|---|
| (Intercept) | 0.630 | 0.346 | 1.822 | 0.069 | |
| Category: fortis | −1.394 | 0.288 | −4.847 | <0.001 | *** |
| Category: aspirated | 0.163 | 0.287 | 0.568 | 0.570 | |
| Group: short-long | 0.617 | 0.414 | 1.492 | 0.136 | |
| Group: lead-long | −0.792 | 0.642 | −1.234 | 0.217 | |
| Category: fortis × Group: short-long | 0.860 | 0.340 | 2.530 | 0.011 | * |
| Category: aspirated × Group: short-long | −0.810 | 0.339 | −2.388 | 0.017 | * |
| Category: fortis × Group: lead-long | −0.310 | 0.583 | −0.532 | 0.594 | |
| Category: aspirated × Group: lead-long | 0.223 | 0.522 | 0.428 | 0.669 |
| Predictor | β | SE | z | p | |
|---|---|---|---|---|---|
| (Intercept) | 1.611 | 0.474 | 3.395 | <0.001 | *** |
| Category: /ɨ/ | 2.090 | 0.482 | 4.336 | <0.001 | *** |
| Category: /o/ | −0.276 | 0.333 | −0.829 | 0.407 | |
| Category: /ʌ/ | −0.768 | 0.326 | −2.356 | 0.018 | * |
| Group: some-contrast | 1.210 | 0.579 | 2.091 | 0.037 | * |
Publisher’s Note: MDPI stays neutral with regard to jurisdictional claims in published maps and institutional affiliations. |
© 2020 by the authors. Licensee MDPI, Basel, Switzerland. This article is an open access article distributed under the terms and conditions of the Creative Commons Attribution (CC BY) license (http://creativecommons.org/licenses/by/4.0/).
Share and Cite
Chang, C.B.; Kwon, S. The Contributions of Crosslinguistic Influence and Individual Differences to Nonnative Speech Perception. Languages 2020, 5, 49. https://doi.org/10.3390/languages5040049
Chang CB, Kwon S. The Contributions of Crosslinguistic Influence and Individual Differences to Nonnative Speech Perception. Languages. 2020; 5(4):49. https://doi.org/10.3390/languages5040049
Chicago/Turabian StyleChang, Charles B., and Sungmi Kwon. 2020. "The Contributions of Crosslinguistic Influence and Individual Differences to Nonnative Speech Perception" Languages 5, no. 4: 49. https://doi.org/10.3390/languages5040049
APA StyleChang, C. B., & Kwon, S. (2020). The Contributions of Crosslinguistic Influence and Individual Differences to Nonnative Speech Perception. Languages, 5(4), 49. https://doi.org/10.3390/languages5040049

