Abstract
Children learn linguistic structures from the input they receive. Their learning may depend on several factors such as children’s sensitivity to structure in the input, prior language experience, and the consistency of linguistic structures in the input. In this study, we investigated how inconsistent input (i.e., substitution errors) in an artificial language affects 7 to 11-year-old Dutch-speaking children’s learning of words and rules. Using a cross-situational statistical learning task (CSL task), we assessed children’s learning of label–referent pairs (word learning) and their generalization of two morphophonological rules. Eighty-nine children were randomly allocated to three input conditions: a fully consistent input condition (n = 31), a 12.5% inconsistent input condition (n = 32), and a 25% inconsistent input condition (n = 26). In the inconsistent input conditions, children were exposed to substitution errors, respectively, 12.5% and 25% of the time. We found evidence that substitution errors in children’s language input hindered their cross-situational statistical language learning. While we have evidence that children learned the words in our artificial language, we have no evidence that children—regardless of input condition—detected the morphophonological rules. This study eventually may inform us on how differences in the quality of children’s language environments (arising from, e.g., speaker variability and language proficiency) affect their language learning.
1. Introduction
First language acquisition is a complex process, and it takes most children well into puberty to achieve full proficiency in their native language. During this process, children need to extract relevant parts of the speech stream, learn how these parts co-occur at various linguistic levels, and what meanings they carry. For example, at the word level, children need to learn that the label “car” refers to the object “car”. At the morphosyntactic level, they need to learn that the morpheme -ed in “he walked” refers to an event that occurred in the past. Over the past decades, empirical, computational, and corpus studies have shown that children’s language acquisition is facilitated by “statistical learning”—a cognitive capacity that is sensitive to distributional and structural regularities in a variety of input sources, including language (Saffran & Kirkham, 2018).
Language acquisition is not only facilitated by children’s statistical learning ability, it also depends on the availability or presence of the relevant structures in the language input (i.e., the quality and quantity of the language input; e.g., Anderson et al., 2021; Hoff, 2006; Rowe, 2012). A pattern that seems to emerge from studies that look at the interplay between children’s statistical learning ability and their language input is that the input can either hinder or enhance children’s statistical learning, depending on specific characteristics of the input. More specifically, these studies investigated how different types of variability in the language input (e.g., high referential ambiguity, contextual diversity, variable distributional patterns, and “noisy” or “inconsistent” input), as well as the language domain tested (phonology, vocabulary, (morpho)syntax), impact statistical language learning. The present study contributes to this series of studies by further investigating what characteristics of the language input influence children’s statistical learning in an artificial language. Teaching an artificial language allows us to observe the effects of the input on children’s learning while assuring that they do not have previous experience with the stimuli. We focus on the effects of inconsistent input on children’s learning of (a) words and (b) morphophonological rules in a cross-situational statistical learning paradigm (Yu & Smith, 2007). As noted above, while inconsistent input in the language input may occur at various degrees of variability and various linguistic levels, in this study, we operationalize inconsistent input as morphophonological “errors”. To the best of our knowledge, we are the first to investigate inconsistent input effects on word and rule learning as well as extend this study to primary school-aged children (7–11 years) using a cross-situational statistical learning design. The study has the potential to contribute to a better understanding of how different language environments may influence children’s language learning.
By design, cross-situational statistical learning studies are a good test case to investigate the interaction between characteristics of the language input and a learner’s ability to learn from this input. Cross-situational statistical learning tasks have been widely used to mimic word learning (for an overview, see Isbilen & Christiansen, 2022). In natural language environments, labels and their referents often appear in highly ambiguous contexts where there are multiple potential referents for one label or, vice versa, multiple labels for one referent (Poepsel & Weiss, 2016). This is known as the problem of referential uncertainty (Quine, 1960). It has been established that children (at least partly) solve this problem of referential ambiguity via cross-situational statistical learning. That is, children (and adults) are sensitive to the distributional statistics across labels (i.e., words), referents, and across the co-occurrences of labels and referents at multiple moments, so that the appropriate association between a label and a referent can be made (K. Smith et al., 2011; L. Smith & Yu, 2008; Yu & Smith, 2007).
The classic cross-situational statistical learning paradigm designed by Yu and Smith (2007) is an auditory–visual experiment during which participants hear a label while they see two potential referents on a screen. During a single trial, the mapping between the auditorily presented label and the visually presented referents is ambiguous. However, because each label co-occurs with the correct referent more often than with the other referents across trials, the learner can disambiguate between referents, and can thereby form correct label–referent mappings by tracking their statistical co-occurrence across trials (Yu & Smith, 2007; Yurovsky et al., 2014).
Recently, studies have also used the cross-situational statistical learning task to study morphological rule learning. For example, Spit et al. (2022) showed that 5-year-old Dutch children keep track of the distribution of morphological elements to acquire number marking in a cross-situational statistical learning task. The Dutch kindergarteners were presented with auditory sentences corresponding to a visual scene depicting either singular or plural referents. The auditory signal for plural referents consistently included a morpheme for plurality (pli). In addition, another auditory signal was present (tra) that referred to both singular and plural referents. As expected, based on the distributional statistics of the input, children learned the plural marker (pli) better than the other marker (tra) that was used for both plural and singular marking. The present study will use a cross-situational statistical learning task to study children’s word and rule learning at the same time, as well as the influence of inconsistent input on children’s learning.
1.1. Input Variability and Statistical Language Learning
Since the original experiments by Yu and Smith (2007), the cross-situational statistical learning paradigm has been employed to investigate the effects of variable input on participants’ learning of word–referent pairings in different ways. For example, a series of studies investigated the impact of referential uncertainty on cross-situational statistical learning. They did so by increasing either the number of possible referents for a given label (Kachergis et al., 2009; K. Smith et al., 2011) or the number of labels for a given referent (Benitez & Li, 2023). Overall, these studies show that high degrees of referential uncertainty negatively impact word learning. Another set of studies assessed how context diversity (i.e., the number of different sets of stimuli with which each label–referent pair co-occurs across trials; Suanda et al., 2014) impacts word learning. Here, it was shown that high context diversity led to better learning of the pairs in both adults (Kachergis et al., 2009), and primary school-aged children (Suanda et al., 2014). Participants’ cross-situational statistical learning of label–referent pairs was relatively successful, even in conditions of high referential uncertainty and low contextual diversity, suggesting that cross-situational statistical learning strategies are robust to inconsistent input to a certain extent (Suanda & Namy, 2012).
Input variability has also been manipulated to study its effects on children’s word learning by varying the distributional properties (or reliability) with which informative cues are present in the input. For example, in a recent cross-situational learning study with infants, Dunn et al. (2024) took into account that in naturalistic word learning situations, words and objects rarely occur in isolation, but are often accompanied by additive information such as prosodic and gestural cues. Dunn et al. (2024) concluded that this environmental variation may be key to enhancing 14-month-old infants’ exploration of new information. Specifically, variability in the availability of an additional cue, such as a head-turn gesture, increases children’s attention to this cue as opposed to when the cue is available all the time. Other studies examined how variability in the presence or absence of artificial morphological markers in children’s (artificial) language input impacts their word and/or grammar learning. Most of these studies used other experimental designs than cross-situational statistical learning. For example, studies investigated how variability in distributional properties of artificial grammatical elements (e.g., determiners) affects children’s and adults’ generalization at the grammatical level. Hudson Kam and Newport (2005) and Hudson Kam (2015) showed that changing the consistency with which determiners occurred in an artificial language during training (e.g., 45% vs. 75% of the time) influenced the consistency with which adults and children (5 to 7 years old) applied the determiners to novel instances during the test phase. Similarly, Austin et al. (2022) demonstrated that children’s regularization tendencies are affected by the inconsistent nature of the input. Specifically, when exposed to an artificial language with two determiners appearing inconsistently at different ratios (67% vs. 33% of the time), children regularized the predominant determiner. However, when the determiners were presented with the same ratios, but were also lexically bound to mimic a gender system, children had no difficulty learning the respective occurrence of each determiner.
Taking it one step further, some have also examined what broader cognitive and/or sociolinguistic factors explain participant’ ability to learn from distributional properties in the input. For example, Samara et al. (2017) show that children’s tendency to regularize is influenced by sociolinguistic factors since children’s productions of particles during test reflected how the particles were used by different speakers during training. Further, Lany (2014) demonstrated that toddlers’ abilities to learn from the distributional properties of words is related to their vocabulary and grammatical development.
Finally, another series of studies has looked at the effects of “noisy” or “inconsistent” input on children’s statistical language learning. In these studies, participants are exposed to language input that violates the rules or patterns of the artificial language that participants are learning. Gómez and Lakusta (2004) examined how noisy input affects 12-month-old infants’ ability to learn abstract marking features in an artificial language. Infants were exposed to auditory strings presenting adjacent dependencies of the aX/bY kind, where a-elements always co-occurred with disyllabic words (e.g., alt fengle) and b-elements always co-occurred with monosyllabic words (e.g., ong jic). Exposure to the artificial language was interleaved with strings from another artificial language at varying ratios (referred to as 17% noise and 33% noise conditions, respectively). Interestingly, infants’ generalization of the abstract marking rules was only impacted in the 33% noise condition, suggesting that children’s statistical learning of abstract marking rules can tolerate some level of noise in their input. De Bree et al. (2017) extended these findings by demonstrating that bilingual toddlers can detect non-adjacent dependencies from an inconsistent input stream that included 14% “errors”, i.e., deviations from a learned pattern in an artificial language. Interestingly, while there was no evidence of learning in the consistent condition for either group, bilingual children successfully learned the non-adjacent dependencies in the artificial language with inconsistent input.
1.2. The Present Study
The present study capitalizes on the final series of studies described above by investigating how inconsistent (or noisy) input affects cross-situational statistical learning in Dutch-speaking primary school-aged children. To the best of our knowledge, we are the first to extend the study of inconsistent input effects on word and rule learning to primary school-aged children (7–11 years) using a cross-situational statistical learning design. We choose this age range based on work by Raviv and Arnon (2018), who showed that age effects in auditory statistical learning in primary school aged children (5–12 years) are driven by the youngest group of children (5–6 years old). From 6.5 years onwards, they found no evidence for improvement in children’s auditory statistical learning. Therefore, by setting the lower limit of our age range at 7 years of age, we minimize the likelihood of substantial age-related differences in statistical learning ability across the children within our groups. The benefit of using a cross-situational statistical learning design is that it allows us to study the effects of inconsistent input at multiple linguistic levels simultaneously. C. Chen et al. (2017) showed that the cross-situational statistical learning paradigm can be used to track adult’s learning of distributional regularities for label–referent mappings and semantic categories simultaneously. The rules express ‘animacy’ by morphophonological markers. We operationalize inconsistent input as substitution errors at the morphophonological level (i.e., incorrect use of the animacy marker—for more details, see Materials). More specifically we aim to answer the following research questions:
- (1)
- Does inconsistent language input hinder children’s cross-situational statistical language learning, and does this depend on (a) the amount of inconsistent input (12.5% or 25% inconsistent input), and (b) the linguistic level (words vs. rules) at which learning takes place?
- (2)
- Do different levels of inconsistent input affect the type of errors (i.e., random errors vs. substitution errors that may have occurred in the input) that children make in their generalization of the morphophonological rules?
We expect to find a word and rule learning advantage for children exposed to fully consistent input compared to children exposed to substitution errors 12.5% and 25% of the time in the inconsistent conditions. Although we do not rule out the possibility that children in the inconsistent input conditions regularize their inconsistent input, and thus may not be affected by the inconsistencies in their input (De Bree et al., 2017; Gómez & Lakusta, 2004; Hudson Kam & Newport, 2005). Further, we also expect that children in the inconsistent conditions provide more “substitution error” responses (vs. “random error”) compared to children in the consistent condition during their generalization of the morphophonological rules.
Outcomes of this study will deepen our understanding of how the nature of children’s language input affects their statistical learning. Further, the findings may be of interest for educational purposes. Primary school-aged children are likely to receive diverse language input because they interact with peers who may differ in linguistic proficiency due to factors such as age, multilingualism, socio-economic status, parental educational level, and language problems (Hoff, 2006). This diversity may impact the quality of children’s linguistic input at different levels (phonetic, morphological, syntactic, semantic, lexical, pragmatic; e.g., J. Chen et al., 2020; Hoff et al., 2020). Since children acquire language based on the input they receive, it is important to understand what role their input plays in their detection of linguistic structure.
2. Materials and Methods
2.1. Participants
A total of 129 Dutch-speaking children aged between seven and eleven years old participated in the cross-situational statistical learning task (CSL task; see Table 1 for more details). The children that participated in the experiment were recruited via the personal network of students from Utrecht University. Before children could take part in the study, parents were informed about the study and signed a consent form. Forty children were excluded from analysis, because their parents reported that their child had reading or spelling difficulties (n = 11)1 or because the child was raised multilingual2 (n = 29). This means that the final dataset contained data from 89 children (31 children in the consistent input condition, 32 children in the 12.5% inconsistent condition and 26 children in the 25% inconsistent condition, Table 1). The study was approved by the Ethics Committee of the faculty of Humanities at the University of Amsterdam (2021-FGW_FLA-14226) and Ethics Committee of the faculty of Social and Behavioral Sciences at Utrecht University (FETC23-0100).
Table 1.
Biographic characteristics of the participating children.
2.2. Materials
We used a CSL task to teach children a miniature artificial language where the semantic category ‘animacy’ was marked by two distinct morphophonological rules: labels ending in -ek referred to inanimate referents (e.g., patek, diesek, lupek, moefek) whereas labels with duplicated vowels and ending in -r referred to animate referents (e.g., joekoer; tumur, nomor, noesoer). The CSL task was programmed in Experiment Design (ED; Vet, 2024) and consisted of three different block types. Please see Figure 1 for a visual representation of the design. The first two block types (10 blocks in total) were part of the training phase of the experiment. During blocks 1, 2, 3, 4, 6, 7, 8, and 9 of this training phase, children were repeatedly exposed to the same set of label–referent pairs, and we refer to these blocks as “learning blocks”. Because children are repeatedly exposed to the same set of label–referent pairs, an increase in accuracy across the blocks may simply reflect children’s label–referent learning (i.e., word learning) and not necessarily their detection and generalization of the morphophonological rules. Therefore, we added two additional blocks during the training phase (blocks 5 and 10) that we used to assess children’s generalization of the morphophonological rules during training. In these two blocks, children were exposed to 16 novel (i.e., untrained) label–referent pairs (8 per block; 4 animate, 4 inanimate), and we refer to these blocks as “rule generalization blocks”. Finally, the third block type, which was no longer part of the training and which had a slightly different design from the first 10 blocks, provided us with more insight as to what type of errors children make during generalization of the morphophonological rule (“error types block”; research question 2).
Figure 1.
Design of the cross-situational statistical learning task, illustrated with one example trial for animate and inanimate referents per block. 2AFC = two-alternative forced choice task. 3AFC = three-alternative forced choice task. Diff = difference trials. Same = Same trials.
Children were first presented to the eight learning blocks (blocks 1–4 and blocks 6–9) intermixed with the two rule generalization blocks (blocks 5 and 10, Figure 1A). In both block types, children saw two visual referents on the screen, and they were auditorily presented with a label. The children were then asked to choose the visual referent that corresponded to the auditorily presented label (i.e., a two-alternative forced-choice task: 2AFC). We explicitly told children that choosing the correct referent was hard at the beginning, because they had not (yet) learned the words, but that it would become easier towards the end of the training phase. If children did not respond within eight seconds, the next trial appeared, and their response was recorded as an incorrect response. After every 22 trials, there was a short break.
In the learning blocks (blocks 1–4 and blocks 6–9), children were repeatedly exposed to a core set of eight labels and visual referents. In each individual learning block, every label was presented once and every visual referent was presented twice: serving once as the target referent (i.e., the visual referent that corresponded to the auditorily presented label) and once as a distractor referent. Furthermore, in each block, half of the trials (n = 4) were so-called “same” trials—trials in which both visual referents were animate or inanimate, while the other half of the items (n = 4) were so-called “different” trials, with one animate and one inanimate visual referent. Across the total learning blocks (n = 8), we randomized and counterbalanced the number of times that each target reference occurred in “same” and “different” trials (see Figure 1A), as well as its position on the left (n = 4) and right (n = 4) side of the screen.
In the rule generalization blocks (blocks 5 and 10) that targeted generalization of the morphophonological rules, children were exposed to sixteen novel (i.e., untrained) labels and visual referents, with eight novel labels (4 animate and 4 inanimate) per block. In each rule generalization block, every label was presented once, and every visual referent was presented twice: once as the target referent and once as the distractor referent. The rule generalization blocks only included “different” trials.
During the second part of the experiment, children were exposed to the third and final block type, which provided more insight in the type of errors that children made during generalization of the morphophonological rule (Figure 1B). In this block, children were exposed to another set of novel (untrained) referents (8 inanimate and 8 animate; 16 in total) one-by-one on the screen. Each novel referent came with three possible labels (three-alternative forced-choice task: 3AFC), and these labels were presented both auditory and visually (written out) to the participants. We asked the children to choose the label that they would use to describe the novel referent in the newly learned fantasy language. There was no time limit: the next trial appeared after the child selected an answer. On each trial, one of the three labels was phonologically marked for animate referents, one of the labels was phonologically marked for inanimate referents, and one label contained phonological marking that children had not been trained on (no vowel duplication, ending in -r). Dependent on the animacy status of the visual referent children’s answers were thus coded as correct, substitution error, or random error. The order (and position on the screen) in which the correct label and the two incorrect labels were played and visually presented to the children was randomized, as well as the order in which the inanimate and animate referents appeared. Across learning and test blocks, children completed a total of 96 trials.
The artificial lexicon that we used for the CSL task was composed of 40 CVCVC words. These words were selected from the larger set of 48 words (see Rispens et al., 2023). The words were used to label 20 simple objects (NOUN Database, Horst & Hout, 2016) and 20 aliens created by Albert Ziganshin, downloaded via https://www.123rf.com. The labels for the novel animate and inanimate nouns were matched on phonotactic frequency (based on bigram frequencies that were obtained from the Dutch phonotactic probability database; see Rispens et al., 2023, for more details) and recorded by a native female speaker of Dutch. A core set of eight label–referent pairs (4 inanimate, 4 animate) was used to (implicitly) train children on the animacy markers during the training blocks. The remaining 32 label–referent pairs (16 inanimate and 16 animate) were used to test children’s generalization of the markers to novel items during the rule generalization block and error types block.
To avoid item-specific learning or test effects, we created four different versions of the experiment (Version Q, R, S, T). These four different versions were created for all three input conditions (more details on the input conditions follow below). While all 40 label–referent pairs occurred in each of the experiment versions, the versions differed in how the label–referent pairs were distributed over the different blocks of the experiment. For example, label referent pair A1 occurred in the training blocks for Version R, a rule generalization block for the Versions S and T, and the error block for Version Q of the experiment (see our Radboud Data Sharing Collection (Savarino et al., 2025) for an overview of the stimuli lists per Version).
Finally, to test how inconsistent input affects children’s learning of label–referent pairs (words) and morphophonological rules, we created three different input conditions: (1) a consistent input condition, (2) an inconsistent 12.5% condition, and (3) an inconsistent 25% condition. The three conditions differed in the consistency with which the morphophonological rules for animacy were used during the learning blocks of the experiment. That is, in the consistent input conditions, all labels that ended with the suffix -ek always referred to inanimate referents, whereas all labels that ended with -r and that had duplicated vowels always referred to animate referents. Children in the inconsistent input conditions, however, were sometimes (12.5% and 25% of the time, respectively) exposed to labels ending in -ek referring to animate referents (instead of inanimate) and labels with duplicated vowels ending in -r referring to inanimate referents (instead of animate). See Table A1 at our Radboud Data Sharing Collection (Savarino et al., 2025) for more details.
2.3. Procedure
The test session took place at children’s homes or schools. Task instructions were presented both written (on the laptop screen) and auditorily (read out loud by the experimenter). During the test session, the experimenter sat beside the child and provided encouragement to the child, but never provided informative feedback. We asked all parents of participating children to fill out a short online questionnaire on their child’s language background and environment. The language questionnaire was programmed in Qualtrics (https://www.qualtrics.com/), and the questions were a subset of the Q-BEx questionnaire (de Cat et al., 2021).
Children were randomly allocated to an input condition (consistent, inconsistent 12.5%, and inconsistent 25%), and experiment version (Q, R, S, T; see Materials). The entire CSL task took about 12–15 min to complete. In addition to the CSL task, children also completed a nonadjacent dependency learning task (Lammertink et al., 2020, 2024), a sentence recall task (CELF-4-NL; Semel et al., 2003), the Peabody picture vocabulary task (PPVT-III-NL; Schlichting, 2005), and a digit span task (CELF-4-NL; Semel et al., 2003). Together, these other tasks took about 50–60 min to complete. These other tasks are part of a different study (see the nonadjacent dependency learning task in Lammertink et al., 2024), and therefore not reported in the present paper. To control for possible fatigue or saturation effects on children’s performance, we counterbalanced the order in which children performed the test. Approximately half of the children in each input condition started with the CSL task (consistent input: 18 children; inconsistent 12.5%: 15 children; inconsistent 25%: 13 children), while the other half completed the CSL task at the end of the test session.
2.4. Data Analysis
All data, scripts, and full model outcomes are publicly accessible on our Radboud Data Sharing Collection (Savarino et al., 2025). We ran two different generalized linear mixed effects models to answer our research questions. In both models, we used contrast-coding for our predictors of interest (see Table 2 and the R-markdown scripts at our Radboud Data Sharing Collection [Savarino et al., 2025]).
Table 2.
Summary and overview of the contrast-coding and operationalization of our model predictors.
We used the first model two answer research questions 1, 1a, and 1b. This model fitted data from training blocks 4, 5, 9, and 10, which allowed us to investigate whether inconsistent input hinders children’s overall cross-situational statistical language learning (research question 1), as well as whether the effect of inconsistent input depends (1a) on the amount of inconsistent input (inconsistent 12.5% vs. inconsistent 25% condition) and/or (1b) the linguistic level at which learning takes place (words [blocks 4 and 9] versus rules [blocks 5 and 10]). The model fitted children’s accuracy scores (1 or 0) as a function of the fixed effects for Input (consistent, inconsistent 12.5%, inconsistent 25%); ItemType (words vs. rules), Time (first part of training: blocks 4 and 5 vs. second part of training: blocks 9 and 10), and Animacy (animate vs. inanimate). All predictors were entered as main effects and in interaction with each other. The random-effects structure contained by-subject and by-item (target picture) random intercepts as well as by-subject random slopes for the interaction between ItemType and Animacy and a by-item random slope of Input. This was the maximum random-effects structure supported by the data. Including a random slope for Time resulted in model overfitting (see R-Markdown scripts at our Radboud Data Sharing Collection (Savarino et al., 2025) for further details).
We used the second model to fit the data of the errors that children made during the 3AFC generalization test, which allowed us to investigate whether input consistency affects the type of error (substitution vs. random error) that children made (research question 2). This model fitted children’s error type (with substitution error coded as 1 and random error coded as 0) as a function of the predictors of Input (consistent, inconsistent 12.5%, inconsistent 25%) and Animacy (animate vs. inanimate), as well as the interaction between these two predictors. The random-effects structure contained by-subject and by-item (target picture) random intercepts. We excluded random slopes to prevent overfitting of the model.
3. Results
3.1. Background Measures: Group Comparisons in Language Proficiency
Table 3 presents the mean and standard deviation of the standardized norm scores on our measures of language proficiency and phonological memory for the children in the three different input conditions. Between-group analyses of variances showed that we have no evidence that children’s scores on these measures differed between the groups: sentence recall task (F[2, 84] = 0.38; p = .69; η2 = 0.0093), receptive vocabulary (F[2, 84] = 0.23; p = .79; η2 = 0.0055) and digit span (F[2, 84] = 1.4; p = .25; η2 = 0.032). Given that we have no evidence that the groups of children differed in their language proficiency and/or phonological memory skills (and because these are not variables of interest), we excluded these variables from our statistical models to reduce the risk of overfitting3.
Table 3.
Children’s norm scores for our measures of language proficiency and phonological memory.
3.2. Research Question 1: Confirmatory Results
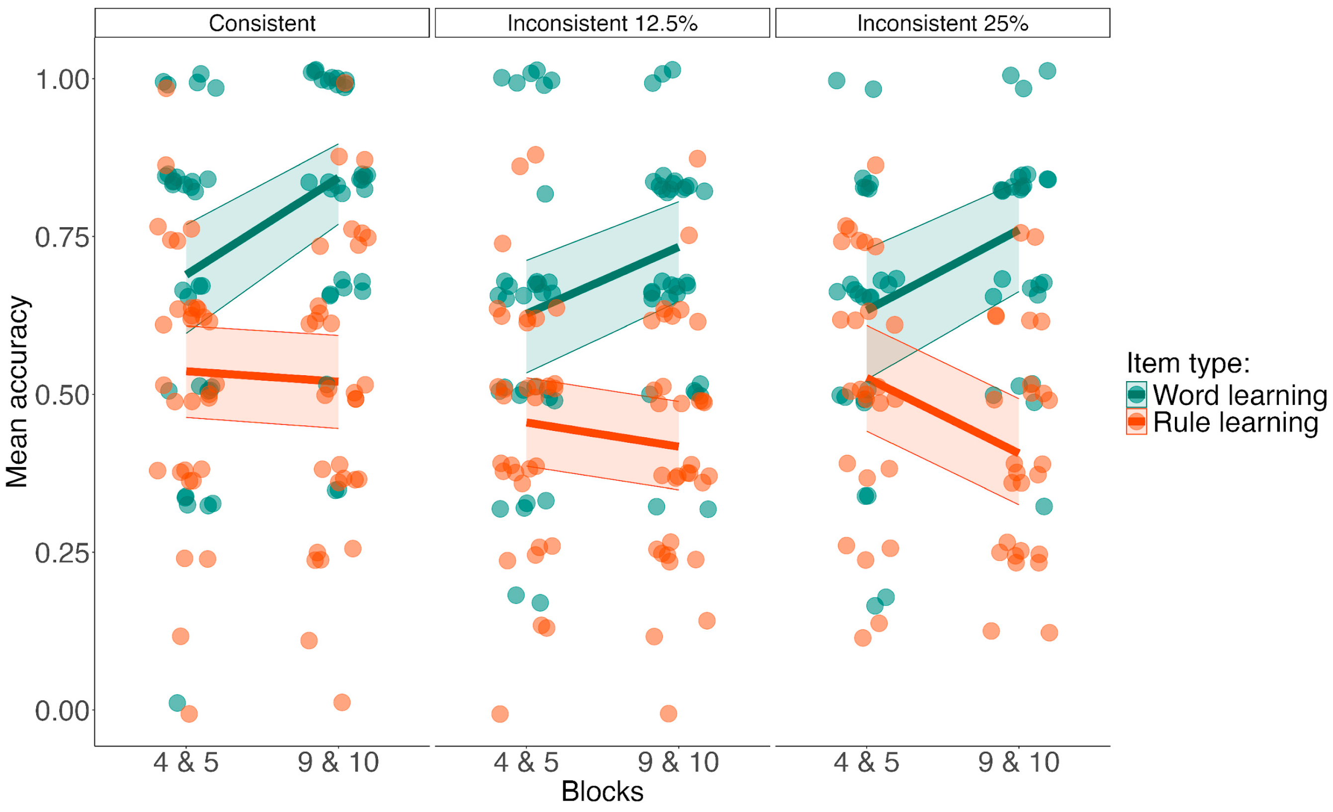
We first present the model outcomes that relate to research question 1. Figure 2 displays children’s accuracy scores for items that assess word learning vs. items that assess rule learning during the first part of the training phase (blocks 4, 5) and the second part of the training phase (blocks 9, 10) across the three input conditions. The generalized linear mixed model estimated that children score on average 61% correct. This estimate exceeded chance performance of 50% (intercept log-odds = 0.43; probability = 61%; p < .001; 95% CI probability = [56%, 64%]). The model also estimated that the likelihood that children picked a correct answer was smaller in the inconsistent conditions (inconsistent 12.5% and inconsistent 25% combined) as compared to the consistent input condition (estimate log-odds = −0.37, odds ratio = 0.69; p = .0022; 95% Wald CI odds ratio = [0.5, 0.9]). This means that inconsistent input hindered children’s cross-situational statistical language learning (research question 1). The model estimate for the second contrast of input condition was not statistically significantly different from zero (estimate log-odds = 0.10; odds ratio = 1.1; p = .48; 95% CI odds ratio [0.8, 1.5]), which means that we have no evidence that higher degrees of input consistency (25% vs. 12.5%) hinders children’s cross-situational statistical language learning more (research question 1a). Furthermore, the interaction between input condition and ItemType was not statistically significantly different from zero either (estimate log-odds: −0.12; odds-ratio = 0.89; p = .64; 95% Wald CI odds ratio [0.5, 1.5]). Thus, we have no evidence that inconsistent versus consistent input affects children’s learning of words differently from their learning of rules (research question 1b).
Figure 2.
Children’s mean accuracy score to items that assessed word learning (green) and rule learning (orange) items during the first part (blocks 4 and 5) and second part (blocks 9 and 10) of the training phase across the three input conditions. Dots represent children’s individual accuracy scores, and the shaded areas represent the 95% confidence interval.
3.3. Research Question 1: Exploratory Results
It should be noted, however, that the model estimate for the main effect of ItemType was statistically significantly different from zero (estimate = 1.0; odds ratio = 2.8; p < .001, 95% Wald CI odds ratio = [2.2, 3.7]), indicating that children learned words better than rules. In other words, they show a word learning advantage. The model also estimated that this word learning advantage was larger in the second part of the training phase, as compared to the first part of the training phase as indicated by a statistically significantly different from zero interaction between ItemType and Time (Estimate log-odds: 0.90; odds-ratio: 2.5; p < .001, 95% Wald CI odds ratio = [1.7, 3.6]). To further explore to what extent the main effect of ItemType provides evidence that children learned words, but not rules, we fitted two additional models in which we re-referenced the contrast coding such that we obtained estimates for children’s word and rule learning separately. For children’s word learning (with words coded as 0 and rules coded as +1), the model estimated that children scored on average 72% correct and this estimate exceeded chance performance of 50%. (intercept log-odds = 0.95; probability = 72%; p < .001; 95% Wald CI probability = [67%, 77%]. For children’s rule learning (words coded as +1 and rules coded as 0), the model estimated that children scored on average 48% correct and this estimate did not exceed chance performance of 50% (intercept log-odds = −0.088; probability = 48%; p = .29; 95% Wald CI probability = [44%, 52%). This means that we have evidence that children learned the words (i.e., the label–referent pairings for trained items), but we have no evidence that they generalized the morphophonological rules to novel, untrained items4.
Finally, children showed an overall animacy advantage as indicated by the main effect of Animacy, which was statistically significantly different from zero (estimate log-odds: −0.31; odds-ratio: 0.73; p = .048, 95% Wald CI odds ratio = [0.5, 1.0]). This means that children, averaged across input conditions and item types, reached higher accuracy scores for animate label–referent pairs as compared to inanimate label referent pairs. Furthermore, the statistically significant interaction between Animacy and Time indicated that this animacy advantage (regardless of input condition) became larger over time (estimate log-odds: −0.44; odds-ratio: 0.64; p = .022, 95% Wald CI odds ratio = [0.4, 0.9]). For a visualization of these animacy effects, see Figure 3.
Figure 3.
Children’s mean accuracy scores for items that assessed learning of animate label–referents (yellow) and inanimate label–referents (blue) during the first part (blocks 4 and 5) and second part (blocks 9 and 10) of the training phase. Dots represent children’s individual accuracy scores, and the shaded areas represent the 95% confidence interval. Note that this visualization represents data from three input conditions combined, because we had no evidence that the animacy effects differed per input condition.
3.4. Research Question 2: Confirmatory Results
For research question 2, we investigated whether input consistency impacts the type of errors (substitution errors versus random errors) that children made during the 3AFC generalization test. In doing so, we ran a second generalized linear mixed effects model on children’s incorrect responses during the 3AFC generalization test. The model estimated that on average, 61% of children’s incorrect responses were substitution errors. This proportion is statistically significantly different from chance of 50% (log-odds estimate intercept = 0.43; p < .001; 95% CI probability = [56%; 66%]). The model estimate for the first contrast of the predictor Input (consistent versus inconsistent conditions) was not statistically significantly different from zero, meaning that we have no evidence that the actual presence of substitution errors in the input leads to more substitution than random errors (estimate = −0.35; odds-ratio = 0.70; p = .072; 95% Wald CI odds ratio [0.5, 1.0])5. The model estimate for the second contrast of the predictor Input (inconsistent 25% condition versus inconsistent 12.5%) was not statistically significantly different from zero either, meaning that we have no evidence that relatively more substitution errors in the input lead to relative more substitution errors in children’s generalization of the rules (estimate = −0.097; odds-ratio = 0.91; p = .67; 95% Wald CI [0.6, 1.4]).
3.5. Research Question 2: Exploratory Results
Finally, the model estimate for the interaction between Input and Animacy was statistically significantly different from zero (estimate = −0.97; odds-ratio = 0.38; p = .0012, 96% Wald CI [0.2, 0.7]), meaning that children in the consistent input condition made relatively more substitution errors for inanimate than animate referents, whereas the opposite pattern was observed for children in the inconsistent conditions: they made relatively more substitution errors for animate than inanimate referents.
4. Discussion
The present study investigated the effect of inconsistent input on children’s cross-situational statistical learning of words and morphophonological rules in an artificial language. Previous studies investigated the effects of inconsistent (or variable) input mostly via referential uncertainty (e.g., Benitez & Li, 2023; Kachergis et al., 2009; K. Smith et al., 2011; Suanda & Namy, 2012; Suanda et al., 2014), or by manipulating the distributional properties with which rules or additional cues were present in the input (e.g., Austin et al., 2022; Dunn et al., 2024; Hudson Kam, 2015; Hudson Kam & Newport, 2005; Lany, 2014; Spit et al., 2022). In the present study, we operationalized inconsistent input in terms of substitution errors. More specifically, it was investigated whether the presence of substitution errors in Dutch primary school-aged children’s artificial language input hinders their word and morphophonological rule learning, as well as the type of errors they made during generalization of the rules. We expected to find a word and rule learning advantage for children exposed to fully consistent input compared to children exposed to substitution errors 12.5% and 25% of the time in the inconsistent conditions. Further, we also expected that children in the inconsistent conditions would provide more “substitution error” responses (vs. “random error”) compared to children in the consistent condition during their generalization of the morphophonological rules.
During training, we found that inconsistent input hindered children’s learning. That is, the likelihood that children picked the incorrect visual referent given an auditory label was higher for children in the inconsistent versus children in the consistent input conditions. Simultaneously, we also observed that, independent of input condition, children learned the words (i.e., label–referent pairs for trained items) better than the rules (i.e., label–referent pairs for untrained items). This outcome suggests that the children may have not detected the morphophonological rules and, thus, that the observed effects of input inconsistency may only be of relevance to children’s learning of words in the current experimental design. Using a comparable design, but different stimuli, C. Chen et al. (2017) observed similar results in adults: many participants successfully learned label–referent pairs but ignored or failed to keep track of syllable-to-category associations. Chen and colleagues argue that the multi-level features might have interfered with one another by competing for attention and processing. Therefore, it is possible that children in our study found the word-level regularities easier to track or recall than the category-level regularities, and that their high sensitivity to word-level regularities interfered with their noticing and/or processing of category-level features, resulting in low generalization abilities. The latter is also consistent with findings from our post hoc study of Dutch adult’s cross-situational learning of words and morphophonological rules (see Note 3 and the outcomes of the adult experiment on our Radboud Data Sharing Collection [Savarino et al., 2025]).
Even though we counterbalanced the order in which children performed the different tasks in our task battery, it is still possible that the absence of evidence for children’s detection of the morphophonological rule was influenced by fatigue or saturation effects. Approximately half of the children completed the CSL task at the end of their session, that is, after approximately 45 min of other tests. However, we found no evidence that adding task order as a fixed effect improved the model fit (χ2(1) = 0.11, p = .742; AIC original model = 3253.7, BIC original model = 3486.6; AIC model with TaskFirst = 3255.6, BIC = 3494.3). This means that we have no evidence that task order explains variance in children’s performance and, therefore, we consider it less likely that fatigue impacted our results.
Our second research question addressed whether inconsistent input—thus input with substitution errors—affected the type of error (substitution vs. random error) that children made during trials that assessed their generalization of the morphophonological rule. As expected, across all conditions, children made more substitution errors than random errors. We found no evidence, however, that the actual presence or an increase in the number of substitution errors in the input (i.e., in the inconsistent conditions) leads to an increase in the relative number of substitution errors that children make during generalization of the rule. Although we had expected to find relatively more substitution errors in children’s generalization of the rules for the inconsistent versus consistent conditions (see also Gómez & Lakusta, 2004; Hudson Kam & Newport, 2005), it is hard to draw any conclusions on this null result, particularly given that we have no evidence that children (in any of the input conditions) learned the morphophonological rules at all. Furthermore, in our post hoc adult experiment, we did find that adult’s substitution errors increased in inconsistent as compared to consistent input conditions (see Note 4 and the outcomes of the adult experiment on our Radboud Data Sharing Collection [Savarino et al., 2025]).
Limitations and Future Directions
While this study provides valuable insights into the negative effect of substitution errors in children’s language input on their statistical learning of novel words, we have no evidence that children picked up the morphophonological rules. Above, we already discussed that the category-level regularities (as reflected by the morphophonological rules) may have been more difficult to detect than the word-level regularities. This may have to do with our decision to use suffixes (-ek, -r) as our morphophonological cues or rules to indicate animacy. Recent findings by Keogh and Lupyan (2024) suggest that a suffix may be less optimal for learning as compared to a separate prenominal marker. In their study, they assessed participants learning of noun-class membership using separate prenominal markers (gae) and suffix (-po) markers and they found that the majority of their (adult) participants relied more heavily on the separate prenominal marker than on the suffix marker in their learning of noun-classes. Following these outcomes, it is thus possible that our set of cues was not salient enough to be detected by our child participants.
A second limitation of our study is that we found effects of animacy (i.e., children learned animate label–referent pairs better than inanimate label–referent pairs), but that we do not know whether this is a general effect of animacy that fits with the advantage in children’s language learning as commonly reported on in the literature (for an overview, see, for example, Lhoste et al., 2024) or whether it is an effect of the phonological forms of our markers of animacy themselves. For future studies it might be therefore interesting to also test a group of children for whom the morphophonological markers are mirrored, such that the suffix -ek refers to animate label–referent pairs and the vowel-harmony + -r to inanimate label–referent pairs.
Another limitation that we would like to discuss has to do with the generalizability of our input effects to real life language environments. We decided to mimic inconsistent input by using morphophonological substitutions errors. Rispens and de Bree (2014), however, showed that morphophonological substitution errors (i.e., selecting the incorrect Dutch past-tense allomorph -te instead of -de or vice versa) are rare in naturalistic productions of the past tense in monolingual Dutch children. Consequently, substitution errors may not be very representative of the type of errors that children are exposed to in their naturalistic environment.
Finally, in real-world language learning situations, inconsistent language input may not go unnoticed. That is, children of the age tested in this study may ask for clarification questions or even correct errors in their input, which may further reduce any negative impact of such errors on their learning. The latter is still an empirical question that we are exploring in a separate ongoing project beyond the scope of this paper (Lammertink, 2021).
5. Conclusions
To conclude, using a cross-situational statistical learning task, we found evidence that substitution errors in children’s language input hindered their language learning. Given the diverse language input that children are likely to receive because they interact with others who differ in linguistic proficiency it might be important to see how the effects of inconsistent language input can be studied and extended to more ecologically valid daily life language learning situations.
Supplementary Materials
The following supporting information can be downloaded at: https://doi.org/10.34973/jamm-x417.
Author Contributions
Conceptualization, M.v.W., J.V., J.R. and I.L.; Data curation, I.L.; Formal analysis, M.S. and I.L.; Funding acquisition, J.V., J.R. and I.L.; Investigation, M.v.W. and I.L.; Methodology, J.R. and I.L.; Project administration, M.S. and I.L.; Supervision, I.L.; Writing—original draft, M.S. and I.L.; Writing—review & editing, M.S., M.v.W., J.V., J.R. and I.L. All authors have read and agreed to the published version of the manuscript.
Funding
This research was funded by “Amsterdam Brain and Cognition, ABC Talent Grant 2021” and by “NWO Talent Scheme 2021, VI.Veni.211C.054”.
Institutional Review Board Statement
The study was conducted in accordance with the Declaration of Helsinki, and approved by the Institutional Ethics Committee of the faculty of Humanities at the University of Amsterdam (2021-FGW_FLA-14226) and by the Ethics Committee of the faculty of Social and Behavioral Sciences at Utrecht University (FETC23-0100).
Informed Consent Statement
Informed consent was obtained from all parents of the participating children and adult subjects involved in the study.
Data Availability Statement
The data, analyses scripts, materials (incl. stimuli) and Supplementary Materials used and described in this manuscript are open available at our Radboud Data Sharing Collection (Savarino et al., 2025): https://doi.org/10.34973/jamm-x417.
Acknowledgments
We would like to thank all BA and MA students from Utrecht University as well as Lotte Arendsen, Liselotte van Eck, Marijke Koelewijn, Renske Sakalis, Charlotte Schravendijk for their help with recruitment and testing (Liselotte, Marijke and Charlotte) and data-checking (Lotte and Renske). Furthermore, we would like to thank the NEMO science museum for providing test space during the pilot study of this project. Finally, we are very grateful for Dirk-Jan Vet and his help with the technical implementation and programming of the experiment.
Conflicts of Interest
The authors declare no conflicts of interest. The funders had no role in the design of the study; in the collection, analyses, or interpretation of data; in the writing of the manuscript; or in the decision to publish the results.
Notes
| 1 | The second part of cross-situational statistical task requires reading. |
| 2 | That is, for these children, at least one of their parents was a native speaker of another language than Dutch and, during a regular week, this parent used their native language at least 10% of the time with their child. We originally planned to explore the differences between multilingual and monolingual children as well, but because of difficulties with the recruitment, we ended up with a relatively low number of multilingual children, and decided not to explore this question further. |
| 3 | Reviewers noted an unequal distribution of boys and girls across our three input conditions, and wondered whether this may have impacted the group comparisons, given that girls may have relatively higher language proficiencies than boys. We therefore first checked for differences in language proficiency and phonological memory skills between the children in our three input conditions. If differences in language proficiencies and phonological memory were found between our three groups, then we would have controlled for these differences by adding children’s scores on the tasks that measure these variables to our statistical models. |
| 4 | To check whether our cross-situational statistical learning task can be used to learn this type of rule, we (post hoc) decided to run the experiment in adults as well. A total of 97 adults participated (consistent condition: n = 31; inconsistent 12.5%: n = 33; inconsistent 25% condition: n = 32). For adults, the re-referenced models estimated that adults learned the morphophonoligical marking rules. That is, for both the word learning model (estimate log-odds = 1.6; probability = 83%; p-value < .001; 95% Wald CI probability = [78%, 86%]) and rule generalization model (estimate log-odds = 0.43; probability = 60%; p-value = .0040, 95% Wald CI probability = [52%, 68%]), the intercepts were statistically significantly different from chance performance of 50%. Furthermore, the main model estimated that adults’ accuracy was lower for the inconsistent input conditions and compared to the consistent input condition (estimate log-odds = −0.46, odds ratio = 0.62, p = .039, 95% Wald CI odds ratio = [0.4,1.0]). This difference became larger in the second part of the training (blocks 9, 10) as compared to the first part of the training (blocks 10, 11; estimate log-odds = −0.55, odds ratio = 0.58, p = .011, 95% Wald CI odds ratio = [0.4, 0.9]). The complete set of outcomes for the adult data can be found at our Radboud Data Sharing Collection (Savarino et al., 2025). |
| 5 | For adults (see also Note 3), the model estimated that the likelihood that adults made a substitution error as compared to a random error was higher for adults in the inconsistent input conditions as compared to adults in the consistent input condition (estimate log-odds = 1.1, odds ratio = 3.1, p = .0018, 95% Wald CI odds ratio = [1.5, 6.2]). Please see the Supplementary Materials at our Radboud Data Sharing Collection (Savarino et al., 2025) for more details. |
References
- Anderson, N. J., Graham, S. A., Prime, H., Jenkins, J. M., & Madigan, S. (2021). linking quality and quantity of parental linguistic input to child language skills: A meta-analysis. Child Development, 92(2), 484–501. [Google Scholar] [CrossRef] [PubMed]
- Austin, A. C., Schuler, K. D., Furlong, S., & Newport, E. L. (2022). Learning a language from inconsistent input: Regularization in child and adult learners. Language Learning and Development, 18(3), 249–277. [Google Scholar] [CrossRef]
- Benitez, V. L., & Li, Y. (2023). Cross-situational word learning in children and adults: The case of lexical overlap. Language Learning and Development, 20(3), 195–218. [Google Scholar] [CrossRef]
- Chen, C., Gershkoff-Stowe, L., Wu, C.-Y., Cheung, H., & Yu, C. (2017). Tracking multiple statistics: Simultaneous learning of object names and categories in English and Mandarin speakers. Cognitive Science, 41(6), 1485–1509. [Google Scholar] [CrossRef] [PubMed]
- Chen, J., Justice, L. M., Tambyraja, S. R., & Sawyer, B. (2020). Exploring the mechanism through which peer effects operate in preschool classrooms to influence language growth. Early Childhood Research Quarterly, 53, 1–10. [Google Scholar] [CrossRef]
- De Bree, E., Verhagen, J., Kerkhoff, A., Doedens, W., & Unsworth, S. (2017). Language learning from inconsistent input: Bilingual and monolingual toddlers compared. Infant and Child Development, 26(4), e1996. [Google Scholar] [CrossRef]
- de Cat, C., Kašćelan, D., Prevost, P., Serratrice, L., Tuller, L., & Unsworth, S. (2021). Manual and design documentation for the Q-BEx questionnaire (dataset and materials). Available online: https://osf.io/v7ec8/ (accessed on 4 March 2025). [CrossRef]
- Dunn, K. J., Frost, R. L. A., & Monaghan, P. (2024). Infants’ attention during cross-situational word learning: Environmental variability promotes novelty preference. Journal of Experimental Child Psychology, 241, 105859. [Google Scholar] [CrossRef] [PubMed]
- Gómez, R. L., & Lakusta, L. (2004). A first step in form-based category abstraction by 12-month-old infants. Developmental Science, 7(5), 567–580. [Google Scholar] [CrossRef]
- Hoff, E. (2006). How social contexts support and shape language development. Developmental Review, 26(1), 55–88. [Google Scholar] [CrossRef]
- Hoff, E., Core, C., & Shanks, K. F. (2020). The quality of child-directed speech depends on the speaker’s language proficiency. Journal of Child Language, 47(1), 132–145. [Google Scholar] [CrossRef]
- Horst, J. S., & Hout, M. C. (2016). The Novel Object and Unusual Name (NOUN) Database: A collection of novel images for use in experimental research. Behavior Research Methods, 48(4), 1393–1409. [Google Scholar] [CrossRef] [PubMed]
- Hudson Kam, C. L. (2015). The impact of conditioning variables on the acquisition of variation in adult and child learners. Language, 91(4), 906–937. [Google Scholar] [CrossRef]
- Hudson Kam, C. L., & Newport, E. L. (2005). Regularizing unpredictable variation: The roles of adult and child learners in language formation and change. Language Learning and Development, 1(2), 151–195. [Google Scholar] [CrossRef]
- Isbilen, E. S., & Christiansen, M. H. (2022). Statistical learning of language: A meta-analysis into 25 years of research. Cognitive Science, 46(9), e13198. [Google Scholar] [CrossRef] [PubMed]
- Kachergis, G., Yu, C., & Shiffrin, R. M. (2009). Frequency and contextual diversity effects in cross-situational word learning. Proceedings of the Annual Meeting of the Cognitive Science Society, 31(31), 2220–2225. Available online: https://escholarship.org/uc/item/1jh968zh (accessed on 4 March 2025).
- Keogh, A., & Lupyan, G. (2024). Who benefits from redundancy in learning noun class systems? In J. Nölle, L. Raviv, K. E. Graham, S. Hartmann, Y. Jadoul, M. Josserand, T. Matzinger, K. Mudd, M. Pleyer, A. Slonimska, S. Wacewicz, & S. Watson (Eds.), The evolution of language: Proceedings of the 15th international conference (EVOLANG XV). The Evolution of Language Conferences. [Google Scholar] [CrossRef]
- Lammertink, I. (2021). Stats and structure: Their presence and role in the peer language environment of children with developmental language disorder. (Project No. VI.Veni.211C.054) [Grant]. Dutch Research Council Talent Programme. Available online: https://www.nwo.nl/en/researchprogrammes/nwo-talent-programme/projects-veni/veni-2021 (accessed on 4 March 2025).
- Lammertink, I., Boersma, P., Wijnen, F., & Rispens, J. (2020). Children with developmental language disorder have an auditory verbal statistical learning deficit: Evidence from an online measure. Language Learning, 70(1), 137–178. [Google Scholar] [CrossRef]
- Lammertink, I., Van Witteloostuijn, M., Verhagen, J., & Rispens, J. (2024, July 15–19). The effects of input consistency on children’s statistical language learning [Poster presentation]. International Congress for the Study of Child Language (IASCL), Prague, Czech. Available online: https://iascl2024.com/program/schedule/ (accessed on 4 March 2025).
- Lany, J. (2014). Judging words by their covers and the company they keep: Probabilistic cues support word learning. Child Development, 85(4), 1727–1739. [Google Scholar] [CrossRef]
- Lhoste, E., Bonin, P., Bard, P., Poulin-Charronnat, B., & Vinter, A. (2024). A processing advantage in favor of animate entities in incidental word learning in young children. Journal of Experimental Child Psychology, 243, 105913. [Google Scholar] [CrossRef]
- Poepsel, T. J., & Weiss, D. J. (2016). The influence of bilingualism on statistical word learning. Cognition, 152, 9–19. [Google Scholar] [CrossRef]
- Quine, W. (1960). Word and object: An inquiry into the linguistic mechanisms of objective reference. John Wiley. [Google Scholar]
- Raviv, L., & Arnon, I. (2018). The developmental trajectory of children’s auditory and visual statistical learning abilities: Modality-based differences in the effect of age. Developmental Science, 21(4), e12593. [Google Scholar] [CrossRef]
- Rispens, J. E., Abrahamse, R., Broedelet, I., & Monaghan, P. (2023, September 6–9). Linguistic rule learning through cross-situational word learning in DLD and typical language development [Paper presentation]. 23th Conference on the European Society for Cognitive Psychology (Escop), Porto, Portugal. Available online: https://boa.unimib.it/retrieve/dfceab10-51a3-4542-96fe-d23ad11fdc38/Maisto-2023-ESCop-VoR.pdf (accessed on 4 March 2025).
- Rispens, J. E., & de Bree, E. (2014). Past tense productivity in Dutch children with and without SLI: The role of morphophonology and frequency. Journal of Child Language, 41(1), 200–225. [Google Scholar] [CrossRef]
- Rowe, M. L. (2012). A Longitudinal investigation of the role of quantity and quality of child-directed speech in vocabulary development. Child Development, 83(5), 1762–1774. [Google Scholar] [CrossRef]
- Saffran, J. R., & Kirkham, N. Z. (2018). Infant statistical learning. Annual Review of Psychology, 69(1), 181–203. [Google Scholar] [CrossRef]
- Samara, A., Smith, K., Brown, H., & Wonnacott, E. (2017). Acquiring variation in an artificial language: Children and adults are sensitive to socially conditioned linguistic variation. Cognitive Psychology, 94, 85–114. [Google Scholar] [CrossRef]
- Savarino, M., van Witteloostuijn, M., Verhagen, J., Rispens, J., & Lammertink, I. (2025). Effects of input consistency on children’s cross-situational statistical language learning (Version 1) [dataset]. Radboud University. Available online: https://data.ru.nl/collections/ru/cls/effects_input_consistency_children_cross-situational_statistical_language_learning_dsc_167 (accessed on 4 March 2025). [CrossRef]
- Schlichting, L. (2005). PPVT-III-NL: Peabody picture vocabulary test-III-NL. Harcourt test Publishers. [Google Scholar]
- Semel, E., Wiig, E., & Secord, W. (2003). Clinical evaluation of language fundamentals: Dutch version (W. Kort, E. Compaan, M. Schittekatte, & P. Dekker, Trans.; 4th ed.). [Measurement instrument]. Pearson. [Google Scholar]
- Smith, K., Smith, A. D. M., & Blythe, R. A. (2011). Cross-situational learning: An experimental study of word-learning mechanisms. Cognitive Science, 35(3), 480–498. [Google Scholar] [CrossRef]
- Smith, L., & Yu, C. (2008). Infants rapidly learn word-referent mappings via cross-situational statistics. Cognition, 106(3), 1558–1568. [Google Scholar] [CrossRef] [PubMed]
- Spit, S., Andringa, S., Rispens, J., & Aboh, E. O. (2022). Kindergarteners use cross-situational statistics to infer the meaning of grammatical elements. Journal of Psycholinguistic Research, 51(6), 1311–1333. [Google Scholar] [CrossRef] [PubMed]
- Suanda, S. H., Mugwanya, N., & Namy, L. L. (2014). Cross-situational statistical word learning in young children. Journal of Experimental Child Psychology, 126, 395–411. [Google Scholar] [CrossRef]
- Suanda, S. H., & Namy, L. L. (2012). Detailed behavioral analysis as a window into cross-situational word learning. Cognitive Science, 36(3), 545–559. [Google Scholar] [CrossRef] [PubMed]
- Vet, D. J. (2024). ED—Experiment designer. Available online: https://www.fon.hum.uva.nl/dirk/ed.php (accessed on 4 March 2025).
- Yu, C., & Smith, L. B. (2007). Rapid word learning under uncertainty via cross-situational statistics. Psychological Science, 18(5), 414–420. [Google Scholar] [CrossRef]
- Yurovsky, D., Fricker, D. C., Yu, C., & Smith, L. B. (2014). The role of partial knowledge in statistical word learning. Psychonomic Bulletin & Review, 21(1), 1–22. [Google Scholar] [CrossRef]
Disclaimer/Publisher’s Note: The statements, opinions and data contained in all publications are solely those of the individual author(s) and contributor(s) and not of MDPI and/or the editor(s). MDPI and/or the editor(s) disclaim responsibility for any injury to people or property resulting from any ideas, methods, instructions or products referred to in the content. |
© 2025 by the authors. Licensee MDPI, Basel, Switzerland. This article is an open access article distributed under the terms and conditions of the Creative Commons Attribution (CC BY) license (https://creativecommons.org/licenses/by/4.0/).


