Abstract
This study investigates consonant devoicing in Brazilian Portuguese (BP), in order to assess whether an ongoing sound change is taking place. We examine plural forms consisting of a stop consonant followed by a word-final sibilant, such as in redes [hedz] ~ [heds] ~ [hets] and sedes [sɛdz] ~ [sɛds] ~ [sɛts], focusing on the emergence of voiceless sibilants before word-initial vowels (e.g., redes amarelas, ‘yellow hammocks’). If sibilants remain voiceless despite a following vowel, this challenges the expected regressive voicing assimilation in BP and raises the question of the conditions under which this devoicing occurs. Data were collected through recordings of oral production from twenty Brazilian speakers, using reading and picture naming tasks. Sibilant voicing was quantified using harmonics-to-noise ratio (HNR). A linear mixed-effects model—including random intercepts and slopes for both speakers and words—reveals that sibilants are significantly more voiced before a vowel than before a pause, but this voicing is substantially reduced when the sibilant is preceded by voiceless consonants. These findings indicate an ongoing devoicing process at pre-vocalic word boundaries in BP, affecting clusters [pz, tz, kz] and [bz, dz, gz] alike. Spectrographic analyses indicate that not only the sibilants but also their preceding stop may exhibit devoicing. Moreover, minimal-pair considerations suggest that speakers potentially maintain sibilant voicing in certain lexical items to preserve intelligibility (e.g., gra[dz] ‘grades’ and se[dz] ‘headquarters’ vs. grá[ts] ‘free’ and se[ts] ‘sets’). Drawing on Exemplar Theory, we propose a competition between the influence of the phonological environment and word-final devoicing: sibilants are sometimes voiced due to a following vowel (e.g., botes argentinos [bɔtz ah.ʒẽ.’tʃi.nus] ‘Argentine boats’), but they often emerge as voiceless due to consonantal devoicing (e.g., [bɔts ah.ʒẽ.’tʃi.nus]), resulting in both expected and unexpected forms. We suggest that fine phonetic detail, whether associated with allophonic or emergent sound patterns, contributes to the construction of phonological representations.
1. Introduction
This study aims to investigate pre-vocalic consonant devoicing in Brazilian Portuguese (BP), in order to ascertain whether an ongoing sound change is taking place. Consonant devoicing (CD) is a linguistic phenomenon where voiced consonants such as /b, d, g/ are pronounced as voiceless segments such as [p, t, k]. In Brazilian Portuguese (BP), certain patterns suggest that formerly reliably voiced sibilants may now be undergoing a process of devoicing, even in contexts where voicing would be expected. For example, the plural form redes ‘hammocks’ is typically pronounced [hedz] before a word-initial vowel, but speakers may also be producing [heds] or [hets]. This variability raises questions about whether BP is experiencing a sound change affecting its word-final sibilants, particularly in environments previously associated with voicing.
In BP, /s/ and /z/ are distinct phonemes, occurring in minimal pairs of words such as casa /’kazɐ/ (‘house’) and caça /’kasɐ/ (‘hunt’). However, the contrast between /s/ and /z/ is neutralized word-finally, such that a final /z/ does not typically occur. For example, the plural marker in BP, spelled -s, is realized as either [s] or a neutralized sibilant segment depending on the phonological context. When followed by a vowel or a voiced consonant, this segment undergoes regressive assimilation, as in casas amarelas [’kazɐzamaɾɛlɐs] (‘yellow houses’), where the plural marker /s/ in casas becomes voiced [z] due to the following voiced segment [ɐ] in amarelas (Cristófaro-Silva & Mendes, 2022).
Traditionally, this assimilation results in a voiced realization [z], mirroring processes observed in other Romance languages. Catalan, for example, neutralizes voiced and voiceless obstruents word-finally (e.g., amiga [ə’miɡə] ‘female friend’ vs. amic [ə’mik] ‘male friend’) but voices them before vowels or voiced consonants. In cas (‘case’), the final /s/ is voiceless when followed by a pause [’kas], but it is realized as [z] when followed by a vowel-initial word, as in cas obert (‘open case’) [‘kaz u’βɛrt] (Carbonell & Llisterri, 2009).
However, if the sibilants in (stop + sibilant) clusters (e.g., [ts], [ps]) surface as voiceless in Brazilian Portuguese even when followed by a word-initial vowel—for instance, in phrases like botes amarelos (“yellow boats”) or envelopes azuis (“blue envelopes”)—this might suggest that a devoicing phenomenon is taking place. Here, the sibilant remains voiceless despite the following vowel, indicating a resistance to the expected assimilation observed elsewhere.1 Preliminary spectrographic analyses (Mendes, 2023) provide evidence for such voiceless realizations, which contrasts with the general trend of regressive voicing in BP. This behavior warrants further investigation into the phonetic and phonological factors governing such devoicing.
Consonant Devoicing (CD), especially in word-final positions, is a common pattern in sound change phenomena confirmed by numerous cross-linguistic studies and consistently appears in both first and second language acquisition contexts (Blevins, 2006; Albuquerque, 2011; Broselow, 2018; Jatteau et al., 2019a). Various motivations for final devoicing have been proposed in the literature. These include the absence of clear transitions between consonants and vowels essential for perceiving voicing contrasts (Jatteau et al., 2019a); anticipatory glottal opening for respiratory purposes (Myers, 2012; Hutin et al., 2020); reduction in subglottal pressure toward the end of utterances leading to voicing cessation before obstruent release (Westbury & Keating, 1986); and difficulties in voicing production and perception during final lengthening (Blevins, 2006; Ohala, 1997). While these explanations account for devoicing in pre-pausal environments, the pattern observed in Brazilian Portuguese occurs in pre-vocalic contexts, raising the question of what might have led to this pattern.
When stop + sibilant clusters undergo devoicing in BP, one might initially attribute the sibilant’s devoicing to the influence of a preceding voiceless segment. However, pre-vocalic sibilant devoicing also appears in contexts with a preceding voiced stop—for instance, in bodes amarelos ‘yellow goats’ ([‘bɔds.a.ma.’ɾɛ.lus] ~ [‘bɔdz.a.ma.’ɾɛ.lus]) and jegues argentinos ‘Argentine mules’ ([‘ʒɛgs.ah.ʒẽ.’tʃi.nʊs] ~ [‘ʒɛgz.ah.ʒẽ.’tʃi.nʊs]), where the devoiced sibilant follows [d] or [g].2 Such examples indicate that devoicing cannot be explained solely by the preceding stop’s voicelessness; rather, the broader preceding phonological environment—including both voiced and voiceless stops—must be evaluated to fully understand the conditions under which sibilant devoicing occurs.
CD may also interact with the following phonological environment. The study of Strycharczuk (2012) highlights how the following phonological context can either implement or inhibit word-final devoicing in West Flemish. In this dialect, word-final obstruents typically undergo devoicing in isolation or when followed by a voiceless segment. However, when a sonorant consonant or vowel follows, devoicing may be blocked, and instead, pre-sonorant voicing emerges, maintaining or introducing voicing in the obstruent. For example, in dat mens (‘that person’), the final fricative in mens would usually devoice to [mɛns], but in the context of the voiced sonorant /ɪ/ in dat mens is (‘that person is’), the fricative surfaces as voiced, yielding [mɛn.zɪs]. This shows that the following phonological environment, particularly the presence of a sonorant, can prevent word-final devoicing.
Another factor involves the influence of orthographic representations on CD. Hayes-Harb et al. (2018) explored this by exposing native English speakers to German-like words (e.g., /ʃtɑit/ and /ʃtɑid/, both pronounced [ʃtɑit]), paired with pictures and, in some cases, their written forms (e.g., steit and steid). During the test, participants who had seen the written forms were more likely to produce final voiced obstruents when naming the pictures. This suggests that visual access to the written forms interfered with their ability to acquire target-like pronunciations.
The influence of word frequency on CD has also been explored. De Schryver et al. (2008) found that Dutch low-frequency words, like plonzen [plɔnzən] ~ [plɔnsən] (to splash) and omhelzen [ɔm’ɦɛl.zən] ~ [ɔm’ɦɛlsən] (to embrace), were more susceptible to /z/ devoicing than high-frequency words. The study showed that less frequent words, which have weaker mental representations, are more likely to deviate from standard pronunciation patterns. For instance, low-frequency words were more often produced with devoiced fricatives compared to high-frequency words like reizen (to travel) or blozen (to blush), which resisted devoicing due to their frequent use.
Nevertheless, the literature presents two opposing views on the role of word frequency in lenition processes like final devoicing. On the one hand, Bybee (2010) underscores that frequent usage promotes segmental weakening, whereby words become more streamlined. For example, in English, high-frequency phrases such as “gonna” (going to) and “wanna” (want to) demonstrate how frequent words undergo phonological reduction to facilitate faster and more efficient speech. On the other hand, the aforementioned De Schryver et al. (2008) view emphasizes that high-frequency words maintain stronger lexical representations, which can shield them from undergoing devoicing.
These phonological insights underline that even in languages like contemporary Brazilian Portuguese, where certain consonantal contrasts (such as /s/-/z/) are already neutralized word-finally, variable final devoicing can still emerge. In BP, consonant devoicing might reflect an ongoing sound change. Earlier research, referred to here as ‘Stage 1’ (Cristófaro-Silva, 2003; Bisol, 2005; Seara et al., 2017), characterizes the expected realizations of word-final stops followed by /s/ as follows:
a. Voiced stop + /s/ before pause → [s], e.g., /bs/## → [bs]##
b. Voiced stop + /s/ before a vowel → [z], e.g., /bs/#V → [bz]#V
c. Voiceless stop + /s/ before pause → [s], e.g., /ps/## → [ps]##
d. Voiceless stop + /s/ before a vowel → [z], e.g., /ps/#V → [pz]#V
In other words, for a form like clubes, the expected surface pattern would be [klubs] (with no laryngeal assimilation from [b] to [s]) if followed by a pause. Under this Stage 1 description, there was no devoicing reported in the position of the prevocalic voiced sibilant (i.e., the /s/ following a voiced stop was realized as [z] before a vowel).3
However, the current study suggests a ‘Stage 2’, in which devoicing now affects precisely those environments where the literature predicted voiced realizations. Specifically, we observe that (1) instead of the expected [bz]#V in (b), speakers increasingly produce [bs]#V or even [ps]#; and (2) instead of the expected [pz]#V in (d), speakers now frequently realize [ps]#V. This shift might indicate that BP is in the midst of a sound change.
Building upon the phonetic and phonological factors discussed above, this study aims to determine which mechanisms might be driving consonant devoicing in Brazilian Portuguese. By examining the phonetic properties of CD in BP and assessing predictors such as adjacent phonological context, orthographic input (task type), and word frequency—as well as incorporating lexical item and individual speaker variation as random effects—we aim to determine whether BP is undergoing a sound change. This investigation will not only shed light on the specific dynamics of CD in BP but also contribute to the broader understanding of how phonetic tendencies interact with language-specific phonological systems.
2. Consonant Devoicing in Brazilian Portuguese
To the best of our knowledge, prior investigations into the phenomenon of obstruent devoicing in L1 BP are lacking. However, some studies have provided insights into the devoicing of BP vowels (Meneses, 2012, 2016), as well as the devoicing of L2 English consonants by BP speakers (Albuquerque, 2011; Cristófaro-Silva & Mendes, 2022). These studies will be described below, as they may shed light on the potential occurrence of CD in BP.
Meneses (2012) examined the devoicing of the high vowels /i/ and /u/ in BP, exemplified by words such as [kus]tódia for ‘custódia’ and [bis]coito for ‘biscoito’, respectively. The author states that, in phonetic terms, devoicing can be understood as a result of coarticulation between adjacent segments during everyday speech: an increase in the overlap of articulatory gestures, influenced by structural factors, may lead to the compression of the vocalic gesture relative to the glottal gesture. Meneses (2012) found that total vowel devoicing occurred in 38% of the data, with partial devoicing observed in 23%, suggesting that the phenomenon is not categorical and may represent an ongoing sound change in BP. Furthermore, the findings imply a tendency for vowel devoicing when followed by a voiceless consonant, indicating a phonetic assimilation between the unstressed vowel and the adjacent voiceless segment.
Subsequently, Meneses (2016) also investigated devoicing in BP, focusing on the reduction of post-stressed vowels (e.g., lance ‘bid’ [lã.si] ~ [lã.si] ~ [lãs]). The study suggests that post-stressed vowels undergo a reduction process that leads to devoicing rather than outright deletion, challenging traditional views that consider this process as apocope. The findings indicate that vowel devoicing is facilitated by an extreme overlap between consonant and vowel gestures, which results in insufficient time to maintain voicing during the vowel segment. This articulatory overlap creates a narrow oral aperture, reducing the ability to sustain voicing, thus leading to devoicing. This pattern is not merely epiphenomenal but arises from specific phonetic conditions that involve adjustments in the motor program of speech.
Other studies have investigated devoicing processes in the development of L2 English consonants by BP speakers. Albuquerque’s (2011) study, for instance, unveiled challenges encountered by BP speakers in perceiving contrasts such as ‘cap /kæp/ vs. cab /kæb/’, ‘bat /bæt/ vs. bad /bæd/’, and ‘back [bæk] vs. bag [bæg]’. The findings indicated a common tendency among participants to misperceive voiced stops as voiceless ones, prompting inquiries into whether this challenge could be attributed to cross-linguistic interference. Results also showcased greater accuracy in discriminating the voiced–voiceless contrast for bilabials compared to alveolars and velars, regardless of the participants’ proficiency level.
Still within the domain of L2, but this time concerning production, the study conducted by Cristófaro-Silva and Mendes (2022) assessed devoicing patterns of voiced alveolar fricatives among BP speakers of L2 English. Their research examined the pronunciation of word-final /z/ in English plural forms—such as in labs, sides, and bags—employing visual identification of the voicing bar as a method to evaluate voicing. Results showed that only 14% of words with underlying /z/ were produced as being voiced when the fricative was followed by a pause. When the word was followed by a word-initial vowel, voicing rates were higher (41%), reflecting a regressive assimilation rule from BP. The authors then ponder whether the tendency to devoice in the L2 could stem from their own L1, as opposed to being a result of mimicking English input, where word-final fricatives are only partially voiced (Maniwa et al., 2009).
The present study aims to address the gap highlighted by Cristófaro-Silva and Mendes (2022) by investigating whether BP word-final sibilants tend to devoice before a vowel and which factors influence this. To comprehend the potential devoicing of word-final obstruents, one must also consider another emerging phenomenon that interacts with CD: the weakening of high-front vowels in BP.
An integral aspect of BP phonology involves the strategic insertion of a high-front vowel to prevent the formation of illicit consonant clusters, typically represented in spelling by two consecutive consonant letters (Collischonn, 1996). This phonetic tactic applies across the native lexicon and loanwords, typically involving vowel insertion between two consonants. For instance, in native words like dogma [‘dɔ.gi.mə] ‘dogma’ and afta [‘a.fi.tə] ‘cold sore’, and in loanwords like podcast [pɔ.dʒi.’kɛs.tʃi],4 the inserted vowel, most often [i] but sometimes [e], surfaces between the consonants to resolve marked clusters. In the case of #sC- clusters such as in Skype [is.’kaj.pi], the vowel is instead introduced at the onset of the word, effectively breaking up the initial cluster. However, recent studies indicate a gradual decline in the usage of high-front vowels within word-final post-tonic syllables in BP (Soares, 2016). Consequently, formerly illicit consonant clusters are beginning to emerge and alternate with sequences that still retain the vowel (e.g., [duks] ~ [‘du.kis] for duques, meaning “dukes”). To fully understand the phenomenon of BP devoicing, we should also acknowledge this ongoing sound alternation in BP, which will be formalized as [Cs] ~ [Cis].5 Please refer to Table 1 for illustrative examples of this phenomenon.
Table 1.
[Cs] ~ [Cis] alternations in Brazilian Portuguese.
Table 1 exhibits BP nouns in their singular orthographic form in the first column, followed by their corresponding transcriptions in the second column, which include an unstressed high-front vowel word-finally. The third column displays the plural forms, appending the letter <s> to the singular form. Our primary interest, shown in the fourth column, demonstrates the alternation between [Cs] and [Cis] word-finally. As mentioned earlier, the alternation between [Cs] ~ [Cis] in BP stems from the reduction and eventual disappearance of unstressed high-front vowels when flanked between a consonant and a final sibilant (Cristófaro-Silva & Leite, 2015; Soares, 2016). The fluctuation between the presence and absence of an unstressed high vowel between consonants signifies an emerging phonetic pattern in BP undergoing gradual stabilization (Cristófaro-Silva, 2016; Mendes, 2023).6
Furthermore, as also outlined in Section 1, a more recent development—what we label “Stage 2”—manifests when a voiceless alveolar fricative appears even before a word-initial vowel, contrary to the more conventional expectation of a voiced fricative. For instance, [hets.ah.ʒẽ.’tʃi.nəs] is produced instead of [hedz.ah.ʒẽ.’tʃi.nəs] for “redes argentinas” (Argentine hammocks). Consider Figure 1.
Figure 1.
Spectrographic analysis of the phrase “redes argentinas” by three different speakers. In (a), speaker 1 pronounces the final /s/ as fully voiced [z]. In (b), speaker 2 pronounces the final /s/ with partial voicing. In (c), speaker 3 pronounces the final /s/ as fully voiceless [s].
Figure 1 displays spectrograms and waveforms of the string [hedza] from the phrase “redes argentinas” (Argentine hammocks) as produced by three participants. In all panels, there is no vowel between the stop and the sibilant, visible in the continuous closure and frication without intervening periodic energy. In Figure 1a, a pronounced voicing bar indicates a fully voiced cluster [dz]. Figure 1b reveals partial voicing, with a faint voicing bar present. By contrast, Figure 1c shows no clear voicing bar at all, indicating a voiceless cluster [ts] in a context where a voiced cluster might typically be expected.
The gradient nature of the spectrographic findings in Figure 1 raises the question of how best to model such variable patterns. In a traditional model of phonology, such as Generative Phonology, CD would be seen as a categorical transformational rule: an underlying voiced obstruent becomes voiceless in word-final position. However, contemporary models such as Exemplar Theory (ET) (Johnson, 1997; Pierrehumbert, 2001; Bybee, 2010) provide a more dynamic perspective by emphasizing the role of frequency in shaping speech sounds. According to ET, sounds are not governed solely by abstract rules but are stored as numerous detailed instances (exemplars) in memory. Crucially, the frequency with which specific exemplars are encountered plays a significant role in determining their prominence in shaping speech perception and production. More frequent exemplars become stronger and more easily accessed. In this sense, the process of devoicing is not a categorical rule but emerges from the accumulation of frequent instances of word-final voiceless obstruents.
ET refines the notion of phonemic categories by proposing that they emerge from clusters of stored exemplars along a continuum of variation. While traditional binary distinctions (e.g., voiced vs. voiceless consonants, tense vs. lax vowels) remain relevant as points of contrast, ET posits that phonemes are better understood as distributions of related exemplars rather than strictly discrete entities. These gradient distributions can influence both the perception and production of speech sounds, emphasizing that a single “phoneme” may encompass significant internal variability.
Furthermore, ET provides a framework for understanding how phonetic detail can be influenced by a wide range of linguistic and non-linguistic factors. Factors such as word frequency, orthography, lexical robustness, speech rate, and speaker identity can all shape the distribution of exemplars and, consequently, affect the realization of speech sounds (Bybee, 2001). This holistic approach to phonetic variation and change highlights the dynamic nature of language use and challenges the notion of a fixed set of phonological rules governing speech production. Such premises will serve as the focal point of our analysis.
3. Methodology
3.1. Participants
This study included twenty Brazilian speakers, comprising an equal split of ten males and ten females. The participants’ ages ranged from 15 to 17 years old during the data collection phase.7 We selected individuals who met the following conditions: (a) resided in Belo Horizonte (state of Minas Gerais) or the surrounding region for at least four years;8 (b) did not report any hearing or speech problems; (c) did not wear orthodontic appliances during the experiment; and (d) were non-smokers. During data collection, all participants were enrolled in one of the technical courses offered by the Federal Center for Technological Education of Minas Gerais, located in the city of Belo Horizonte.
3.2. Cluster Types and Words
Since this study assesses the voicing property of (stop + fricative) sequences, we selected the following cluster types as targets: /ps/, /ts/, /ks/, /bs/, /ds/, and /gs/.9 When followed by a vowel, these clusters are expected to surface as [pz], [tz], [kz], [bz], [dz] and [gz], respectively. After outlining the cluster types, we defined the criteria used for selecting the target words, as detailed in Table 2.
Table 2.
Target words.
Table 2 displays the distribution of chosen words in BP, categorized by cluster type and alphabetically organized. We opted to control for grammatical category, number of syllables, and lexical stress. Consequently, we primarily selected disyllabic and paroxytone nouns. We also prioritized lexical items that were visually straightforward to identify in the picture-naming task. However, a limitation arose during the selection process due to the difficulty of finding disyllabic words that both fit the required phonological clusters and could be easily depicted in the picture-naming task. As a result, five non-disyllabic words (underlined items) were included, as it was challenging to represent other disyllabic words with the necessary cluster types in a visually comprehensible manner (e.g., torpes, sebes, brigues, and naipes).
3.3. Experimental Protocol
This section presents the experimental protocol adopted in the study. Due to the COVID-19 pandemic, all interactions with participants were conducted remotely. Initially, participants were briefed on the research’s nature and ethics standards, and they digitally signed the Informed Consent Form (ICF). Following this, they completed the Experimental Group Data Collection Form via the Google Forms Platform. Subsequently, each participant joined an online meeting on Google Meet with the researcher, which lasted approximately 40 min. Uniform instructions and timeframes were provided to ensure consistency across participants.
The data collection process encompassed three distinct stages: a familiarization task, picture naming, and sentence reading. All these stages included one distractor per target word10. During the familiarization task, participants were asked to identify lexical items corresponding to displayed images. This initial phase served to acquaint participants with the stimuli and was not subjected to analysis.
For the picture-naming task, participants were prompted to count and name the objects shown, with the instruction: “Conte e diga o nome de cada elemento que você vê”, meaning “Count and say the name of each object you see”. This allowed participants to enumerate and pronounce the target words in isolation (see Table 3). In this study, the experimental design contrasts two following phonological contexts: pause and vowel.11 Due to this reason, participants repeated the picture-naming task with the target words embedded in a carrier phrase. The carrier phrase “[number] [target word] [adjective] são vistos” (“[number] [target word] [adjective] are seen”), was used to assess whether a following word-initial vowel would influence voicing properties in BP, as well as to ensure natural and consistent usage of the target words within a controlled context. Table 3 exemplifies this task.
Table 3.
Examples of stimuli and expected answers.
The second experiment involved reading controlled sentences, ensuring a fixed syllable count, along with consistent morphological classes and intonation patterns. When the target words were followed by a pause, participants read a number followed by a plural noun, with the total syllable count restricted to 3 or 4, depending on the presence or absence of the post-tonic vowel [i] in the target word (e.g., Cinco alpes, meaning “five Alps”). When the target words were followed by a vowel, the syllable count was restricted to 12 or 13, depending on the presence or absence of [i] (e.g., Os alpes italianos são belíssimos, meaning “the Italian Alps are stunning”). In this latter case, the sentences were structured as follows: [determiner] [target word] [adjective] [linking verb] [adjective or participle]. Criteria such as avoiding rhymes, alliterations, and cacophonies were also considered. By the end, participants produced each target word four times, considering two different tasks and two phonological contexts. Data containing misidentified target words or background noise were excluded from the analysis. Table 4 summarizes our data.
Table 4.
Data summary.
Data were recorded using Open Broadcaster Software Studio (version 28.1) and processed using Adobe Premiere 2020 (version 14.0) and Praat software (version 6.3; Boersma & Weenink, 2023).
3.4. Measurement and Variables
To determine whether a consonant is voiced or voiceless, acoustic analysis often involves examining spectrograms using software like Praat (Boersma & Weenink, 2023). In a spectrogram, voicing is indicated by periodic striations and the presence of low-frequency energy resulting from vocal fold vibrations. However, visual inspection alone can be insufficient due to variations in recording quality and potential background noise that may obscure these features. Therefore, quantitative acoustic measures are essential for accurately assessing voicing. Several parameters can be used for this purpose, including pulse-based methods, low frequency-to-total intensity ratio, segment duration, and spectral properties like center of gravity. For this study, we employed the Harmonics-to-Noise Ratio (HNR), as validated by Gradoville (2011), because it offers reliable quantification of voicing, particularly in noisy recordings where other methods may be less effective.
According to Bjorndahl (2022), the Harmonics-to-Noise Ratio is defined as the ratio between the harmonic force of periodic components and the noise in an acoustic signal, expressed in decibels (dB). Lower HNR values, close to 0 dB, are typically linked to voiceless sounds, whereas values between 5 and 20 dB suggest a higher degree of voicing. Although commonly used in detecting speech pathologies, HNR has also proven useful in discriminating between various sounds, notably fricative consonants (Hamann & Sennema, 2005; Maniwa et al., 2009; Gradoville, 2011).
Of particular relevance to this study, Maniwa et al. (2009) noted that voiceless English fricatives (e.g., [s] and [ʃ]) in intervocalic contexts did not surpass the 5 dB threshold, whereas voiced intervocalic fricatives (e.g., [z] and [ʒ]) typically ranged between 5 and 10 dB. These findings provide a reference for assessing the degrees of voicing observed in the fricatives of BP in our study. Thus, we determined the voicing of the final sibilant as our dependent variable, expressed by continuous levels of Harmonics-to-Noise Ratio (HNR) values. HNR values were automatically extracted using Silva’s (2022) script in Praat (Boersma & Weenink, 2023).
We pose the overarching hypothesis that devoicing of final sibilants is a systematic phenomenon in BP. The predictions regarding the independent variables are outlined as follows:
1. Preceding phonological context: We predict higher sibilant voicing rates when the final sibilant is preceded by a voiced stop or a high-front vowel, as part of a potential progressive assimilation. As previously noted, pre-vocalic devoicing of sibilants may occur not only when the preceding segment is a voiceless stop (e.g., botes amarelos [‘bɔts.a.ma.’ɾɛ.lus] instead of [‘bɔtz.a.ma.’ɾɛ.lus] ‘yellow boats’) but also when it is a voiced stop (e.g., sedes amarelas [‘sɛds.a.ma.’ɾɛ.lɐs] instead of [‘sɛdz.a.ma.’ɾɛ.lɐs] ‘yellow headquarters’). Moreover, although the high-front vowel is inserted only infrequently in this dialect (see Note 7), it remains a potential conditioning factor. The precise role of these preceding segments in Brazilian Portuguese, therefore, remains to be fully explored.
2. Following phonological context: It is anticipated that sibilant voicing will be higher when the final sibilant is followed by a vowel, as opposed to when it is followed by a pause. In this latter environment, it is expected that consonant devoicing will be favored. This projection is based on phonological studies of BP, which propose that the following environment serves as a categorical trigger for the voicing of the final sibilant within word boundaries (Bisol, 2005; Seara et al., 2017). Moreover, studies that assessed consonant devoicing in other Romance languages, such as French (Jatteau et al., 2019a, 2019b) and Catalan (Carbonell & Llisterri, 2009) found an effect of this variable.
3. Task type: We predict that the reading task will elicit lower rates of sibilant voicing compared to the picture-naming task. This expectation is based on the premise that visual exposure to the grapheme <s> encourages participants to associate it with the [s] sound, which typically has lower voicing rates than [z]. Consistent with Hayes-Harb et al. (2018), who demonstrated that written forms can influence learners’ productions, the orthographic cues in the reading task are expected to reduce voicing rates. Conversely, the picture-naming task lacks explicit written prompts, potentially resulting in higher rates of sibilant voicing.
4. Word Frequency: We expect that high-frequency words will exhibit a greater degree of devoicing, reflected in a lower harmonics-to-noise ratio, as compared to their low-frequency counterparts. According to Bybee (2010), high-frequency lexical items tend to exhibit greater phonetic reduction and segmental changes over time, as they are stored and retrieved more frequently, reinforcing lenition processes like devoicing. Conversely, low-frequency items, having fewer stored exemplars, may resist such phonological shifts. Word frequency values were retrieved using the search tool provided by Corpus do Português: Web/Dialects (Brazilian Corpus: Web/Dialects) (Davies & Ferreira, 2016).
3.5. Data Analysis
An automatic segmentation of the audio signals was performed using a native function of Praat (Boersma & Weenink, 2023). In the Praat Objects window, the option Annotate → To TextGrid (Silences) was selected. To delimit the boundaries of the words analyzed in this study, the following parameters were applied: minimum pitch: 70 Hz; time step: 0 (auto); silence threshold: −35 dB; minimum silent interval: −35 s; minimum sounding interval: 0.1 s; sounding interval label: 0. Following that, we applied an automatic segmentation Python script (version 1.0) adapted from Silva (2022) to identify potential stops, sibilants, and [i]-occurrence based on acoustic features like silence intervals, release bursts, and frication noise. To focus on significant vowel productions, we established a duration threshold: only high-front vowels longer than a specific, low millisecond value—such as 10 milliseconds—were segmented and included in the analysis. This approach helped differentiate genuine [i]-occurrence from brief transitional sounds. We then manually reviewed and adjusted the automatically segmented boundaries for accuracy.
A linear mixed-effects model was specified to assess how the predictors influence HNR values. The model included an interaction between preceding phonological context (voiced stops, voiceless stops, or high-front vowels) and following context (pause or vowel), allowing direct assessment of whether and how sibilant voicing is jointly modulated by these environments. Additional fixed effects were included for task type (reading vs. picture-naming) and word frequency (rescaled).
To account for individual variability, random intercepts and slopes were specified for both participants and words. Each participant and word had a varying overall HNR baseline (intercept) as well as a varying HNR change magnitude between a following pause and a following vowel (slope). The decision to include the following context as a random slope reflected its significance as a categorical phonological factor (Cristófaro-Silva, 2003; Bisol, 2005; Seara et al., 2017).
All analyses were performed in R (R Core Team, 2022) using the lmer() function from the lme4 package (Bates et al., 2015). The model was fit via restricted maximum likelihood (REML) to obtain stable estimates of variance components. Instead of stepwise selection or other model comparison procedures, this single, full model was retained with all hypothesized fixed and random effects. Standard diagnostic checks—including residual plots and convergence assessments—were conducted to confirm appropriate model fit.
4. Results
This section explores the voicing rates of word-final sibilants in BP, in order to account for a possible ongoing devoicing process. The data include target words produced with and without the presence of orthographic input, and in two contexts: plural nouns with a final sibilant followed by a pause (e.g., cidades [sidads#] ‘cities’) and plural nouns with a final sibilant followed by a vowel (e.g., cidades azuis [sidadzazuɪs] ‘blue cities’).
Given that the production of final sibilants in BP is variable, we investigated the impact of fixed effects—namely, preceding and following phonological contexts, task type, and word frequency—on HNR values. We also treated individual behavior and lexical item as random effects to capture speaker-specific variation and idiosyncrasies tied to particular words. These factors will be addressed in the following subsections.
4.1. Following Phonological Context
Table 5 displays the number of tokens, mean, median, and standard deviation rates of word-final sibilants in BP, utilizing the harmonics-to-noise ratio (HNR) measurement, expressed in dB.
Table 5.
Voicing rates of word-final sibilants in BP.
As described in the Methodology section, higher HNR values are associated with the production of segments with a higher degree of voicing. According to Table 5, sibilants before a pause (e.g., cheques [ʃɛks#], ‘cheques’), which are expected to be produced as [s], have a mean value of 2.8 dB and a median of 2.6 dB. On the other hand, sibilants before a vowel (e.g., cheques amarelos [ʃɛkz a.ma.’ɾɛ.lʊs], ‘yellow cheques’), which are expected to be produced as [z], have a mean value of 7.9 dB and a median of 7.4 dB.
Analyzing the standard deviation values in Table 5, it can be seen that there is greater dispersion around the mean values of [z] than of [s]. In terms of ET, we can assume that currently, exemplars that incorporate the phonetic detail of the voiceless sibilant are more robust (i.e., consistent) in BP. On the other hand, exemplars associated with the production of the voiced sibilant show greater phonetic gradience, thus being more variable. This alternation contradicts the premises of traditional phonological literature, where there would be the categorical production of either voiced or voiceless sibilants.
As established in Section 1 (Bisol, 2005; Seara et al., 2017), the alveolar fricative /s/ in BP is typically voiceless in word-final or syllable-final position but becomes voiced before a vowel or voiced consonant. Consequently, we predict higher HNR indices when sibilants are followed by vowels. Refer to Figure 2.
Figure 2.
Voicing rates of final sibilants per following phonological context.
Figure 2 provides a visual complement to the data reported in Table 5 by displaying how final sibilant voicing varies according to the following phonological context. The results support the earlier observation that voicing levels increase in pre-vocalic environments (e.g., potes [pɔts#] ‘pots’ vs. potes azuis [pɔtzazuɪs] ‘blue pots’). Analysis from the linear mixed-effects model confirmed this factor as statistically significant, showing a substantial positive effect of 5.04 dB for sibilants preceding vowels (t ≈ 28.76, p < 0.0001) (see Table A1 in Appendix A for the entire regression output).
This pattern parallels observations by Cristófaro-Silva and Mendes (2022), who reported that L2 English voiced sibilants produced by Brazilian speakers exhibit significant variability when followed by vowels, being produced both with and without voicing. In order to understand the variability observed in the production of these sibilants in BP, we revisited our spectrographic analysis. Refer to Figure 3.
Figure 3.
Spectrographic analysis of the phrase “os alpes italianos”.
Figure 3 displays the spectrogram and waveform of the phrase “os alpes italianos [...]” (the Italian alps), produced by a male participant during the reading task. Notice the presence of the voicing bar during the production of the sibilant in the target word. That is, the form [awpzitaljənʊs] was produced due to the influence of the following vowel, as predicted by the principle of regressive assimilation in BP. However, the results reported in Figure 2 indicate that many sibilants remain voiceless at word boundaries even when followed by a vowel, as a significant amount of tokens concentrate in the bottommost part of the violin plot. In order to illustrate such tokens, refer to Figure 4.
Figure 4.
Spectrographic analysis of the phrase “duas redes argentinas”.
Figure 4 displays the spectrogram and waveform of the phrase “duas redes argentinas [...]” (two argentine hammocks), produced by a male participant. Notice the absence of the voicing bar during the production of the sibilant in the target word. Also note the absence of the dark voicing bar during the production of the stop consonant. This indicates that not only did the sibilant remain voiceless, but the preceding stop also assimilated the voicelessness property.12 Thus, there was the production of the form [‘hetsah.ʒẽ.’tʃi.nəs] instead of the traditionally expected [‘hedizah.ʒẽ.’tʃi.nəs]. It is worth noting that such behavior was observed in all cluster types followed by vowels evaluated in this paper: [pz#V], [tz#V], [kz#V], [bz#V], [dz#V], [gz#V] became [ps#V], [ts#V], [ks#V] or [bs#V], [ds#V], [gs#V]. Although infrequently, this behavior was observed even in words where consonantal devoicing results in a loss of phonemic contrast (cf. Section 4.5). For instance, “grades” (fences) and “grátis” (free) were sometimes pronounced the same ([’gɾats]). Similar cases included pairs like “sedes” (headquarters) and “setes” (sets) [’sɛts], “ringues” (boxing rings) and “rinques” (ice rinks) [’hĩks], and “tardes” (afternoons) and “tartes” (pies) [’tahts].
Hence, the data reported above suggest that the devoicing of (stop + sibilant) sequences in BP may represent a gradually unfolding sound change. Notably, devoicing processes have also been documented in other Romance languages, including European Portuguese (Jesus & Shadle, 2002), Catalan (Carbonell & Llisterri, 2009), French (Jatteau et al., 2019a, 2019b), and Romanian (Hutin et al., 2020).
4.2. Preceding Phonological Context
This section investigates whether the preceding phonological environments influence sibilant (de)voicing in BP. We begin by examining the presence or absence of a high-front vowel [i] before /s/.
From the total of 2833 tokens collected after filtering, 64% represent stop + sibilant sequences without any production of an intrusive high-front vowel, as in cheques pronounced [ʃɛks]. Conversely, 36% of the tokens include gradient productions of an intrusive [i], as in cheques pronounced [‘ʃɛ.kis]. This distribution indicates that while [i]-occurrence remains, a significant portion of speakers are omitting it, reflecting the reported gradual decline of this vowel insertion in unstressed positions in BP (see Soares, 2016; Cristófaro-Silva & Mendes, 2022). Consider Figure 5.
Figure 5.
Voicing rates of final sibilants per preceding phonological context.
Figure 5 illustrates the voicing rates of final sibilants per preceding phonological context. Sibilants preceded by a high-front vowel [i] (left violin plot) exhibit an average HNR of 6 dB. Sibilants preceded by voiced consonants (middle violin plot) show an average of 6.2 dB. In contrast, sibilants preceded by voiceless consonants (right violin plot) display a lower average HNR of 4 dB.
Although these descriptive means suggest that sibilants are somewhat more voiced when preceded by a vowel or a voiced consonant, the model does not reveal a statistically significant main effect of the preceding environment in isolation (voiced consonant: Estimate = −0.1538, t = −0.648, p = 0.5170; voiceless consonant: Estimate = −0.2364, t = −1.007, p = 0.3143) (cf. Appendix A, Table A1).
However, when we re-leveled the factor so that ‘voiced consonant’ became the reference rather than ‘vowel’, the model did uncover a significant difference between ‘voiceless consonant’ and ‘voiced consonant’ (Estimate = −0.506, t = −2.537, p < 0.05). This direct comparison aligns with the descriptive means in Figure 5, where voiceless consonants show lower HNR values. The effect also emerges more clearly when we take into account the following phonological context. Let us now focus on the results regarding the interaction between the preceding and following phonological environments.
4.3. Interaction Between Adjacent Contexts
To capture whether sibilant voicing differs depending on both the preceding and following phonological environments, the analysis was fit to include an interaction between the adjacent contexts. The model reveals a highly significant effect (β ≈ −2.15, t ≈ −7.69, p < 0.0001) indicating that, in pre-vocalic contexts, sibilants preceded by voiceless stops are realized with notably lower voicing levels than those preceded by voiced stops (see Table A1 in Appendix A for the entire regression output).
Because the LME model selected [i] as the reference level for the preceding context variable, the estimates for voiceless and voiced consonants are compared to the effect of the [i] vowel. Results indicate that when the following context is a pause (baseline), neither a preceding voiced consonant (Estimate = −0.1538, t = −0.648) nor a preceding voiceless consonant (Estimate = −0.2364, t = −1.007) significantly affects HNR relative to the [i] baseline. In contrast, in a pre-vocalic environment, the interaction term for voiceless consonants is highly significant (Estimate = −2.1465, t = −7.694, p < 0.001), indicating a substantial decrease in sibilant voicing compared to [i].
Post-hoc pairwise comparisons (see Table A2 in Appendix A) confirm this pattern in two ways. First, when the following context is a vowel (i.e., in pre-vocalic position), sibilants preceded by voiceless stops have significantly lower HNR than those preceded by the [i]-vowel baseline, and those preceded by voiced stops (difference ≈ 2.71 dB, p < 0.0001). By contrast, when the following context is a pause, neither a preceding voiceless stop nor a preceding voiced stop leads to a significant HNR difference relative to the [i] baseline (both p > 0.05).
These results regarding the interaction between preceding and following environments also allow us to compare two situations originally labeled (b) and (d) in Section 1, where we discussed four possible outcomes for stop + /s/ sequences. Specifically, (b) is the case of a voiced stop + /s/ before a vowel, hypothesized to devoice from [bz] to [bs], and (d) is the case of a voiceless stop + /s/ before a vowel, realized as [ps] instead of [pz]. The interactions (cf. Appendix A, Table A1) show that sibilants following voiceless consonants remain significantly less voiced in pre-vocalic contexts. Crucially, however, the data do not provide strong evidence that sibilants after voiced stops are devoicing before a word-initial vowel: the average HNR for /voiced C + s/ #V remains relatively high (i.e., closer to [z]-like voicing). This asymmetry suggests that the situation described in (d)—the shift toward voiceless realizations (e.g., /ps/#V → [ps]#V)—is robustly supported by the current findings, whereas the situation proposed in (b)—devoicing /bs/#V → [bs]#V—does not receive equivalent statistical support. In other words, progressive voiceless assimilation from a preceding voiceless stop (as in (d)) appears to override the vowel’s regressive voicing effect on the adjacent sibilant, whereas a preceding voiced stop still preserves the expected voicing (as in [bz]#V). Notably, the post-hoc comparisons further indicate that HNR after a voiceless stop in a pre-vocalic context remains significantly lower than in the pause condition (see Table A2), reinforcing that progressive voiceless assimilation is robust across these contexts.
4.4. Task Type
Regarding task type, we predicted that the reading task would elicit lower rates of sibilant voicing compared to the picture-naming task. This assumption stemmed from the notion that visual exposure to the grapheme <s> might prompt participants to associate it with the phoneme /s/, which has lower voicing rates compared to [z], and, by extension, potentially link it to patterns of word-final devoicing. Consider Figure 6, which displays sibilant voicing rates per task type.
Figure 6.
Voicing rates per task type.
Figure 6 displays the voicing rates of final sibilants by task type. Sibilants produced in the picture-naming task (with no orthographic input) showed an average HNR of 5.4 dB, whereas those produced in the reading task (with orthographic input) averaged 5.5 dB. Statistical analysis confirmed that this difference was not significant (Estimate = 0.13, SE = 0.12, t = 1.03, p = 0.30).
This indicates that additional variables, such as phonetic context, lexical properties, and individual linguistic behavior, may exert greater influence on the manifestation of consonant devoicing patterns than orthographic input. Having considered the potential impact of phonetic and orthographic factors on sibilant voicing, the focus now shifts towards examining the influence of lexical properties, particularly the characteristics of individual words.
4.5. Word Frequency, Lexical Item and Homophony Avoidance
In ET, word frequency is regarded as an important factor shaping phonetic variation. Consider Figure 7.
Figure 7.
Voicing rates per word and lexical frequency.
Figure 7 presents a polar plot illustrating the relationship between Log Word Frequency and Mean HNR for different lexical items. Each word is positioned radially according to its log-transformed frequency—the farther from the center, the more frequent the word. The color gradient, ranging from blue (lower HNR values) to red (higher HNR values), represents the mean HNR for each word. Although some frequent words (e.g., “cidades”, “redes”) appear toward the red end of the spectrum and some infrequent words (e.g., “chopes”, “leques”) appear in the blue, the overall distribution shows no consistent pattern. Indeed, the LME model indicates that word frequency does not significantly affect HNR values (β = −0.11, t = −0.96, p = 0.34), confirming that frequency exerts negligible influence on voicing in these data.
Given that ET posits that individual words serve as the primary locus of representation, it was also anticipated that each word would exhibit varying levels of sibilant voicing. Consider Figure 8.
Figure 8.
Voicing rates per word.
Figure 8 exhibits the voicing rates of final sibilants in BP per lexical item. The results are grouped as follows: nouns with a final sibilant followed by a pause are located in the upper part and are represented by yellow boxplots; nouns with a final sibilant followed by a vowel are located in the lower part and are represented by green boxplots. The distribution of lexical items is displayed in descending order considering the average values of HNR in both production contexts (i.e., sibilant followed by pause or vowel).
A closer inspection of Figure 8 shows that the words with the highest HNR were ‘plebes’ [plɛbz], ‘caribes’ [ka.’ɾibz], ‘sangues’ [sgz], and ‘jegues’ [ʒɛgz]. We highlight the fact that these words are constituted of a voiced stop preceding the sibilant. Conversely, the words with the lowest HNR values—“cliques” [kliks], “botes” [bɔts], “artes” [ahts], and “chutes” [ʃuts]—contain a voiceless stop preceding the sibilant, and cluster on the right side of the graph. These findings corroborate the earlier observation that sibilants tend to exhibit a higher degree of voicing when preceded by a voiced stop. Furthermore, they also confirm that HNR values are highest in intervocalic contexts: as shown in the lower part of the graph, sibilants preceded by a voiced stop and followed by a vowel display the most elevated HNR values. This pattern underscores how the surrounding phonological environment—particularly the presence of adjacent vowels or voiced segments—fosters greater sibilant voicing at word boundaries.
An examination of the random effects from the LME model indicates that the random intercept for words (i.e., (1 ∣ word)) has a variance of approximately 0.038, suggesting that different lexical items contribute relatively little variability to baseline HNR values. However, the random slope of the following phonological environment by word (i.e., (1 + following environment ∣ word)) shows a larger variance of about 0.754, indicating that some words exhibit a bigger difference in voicing (HNR) depending on whether the sibilant is followed by a pause or a vowel. The correlation between the random intercept and slope is 1.00, suggesting an overlap in how those random effects are being estimated—possibly due to specific lexical properties or data limitations.
In practical terms, these findings imply that while the overall contribution of individual words to HNR baseline (the intercept) is relatively small, how much an item’s final sibilant voicing increases in vowel environments versus pause environments can differ substantially across lexical items. This variability could stem from word-level factors such as phonotactic constraints, word similarity, or lexical frequency.
In light of Exemplar Theory (ET), the results suggest that learners store multiple phonetic representations for words, encompassing varying degrees of voicing in (stop + sibilant) clusters. ET posits that these exemplars reflect different voicing patterns shaped by prior exposure, which may explain the observed variability in voicing rates across words. Although frequency does not significantly affect HNR values, individual lexical items still exhibit distinct voicing tendencies, likely due to the strength and recurrence of particular exemplar-based representations. Indeed, some exemplars capture fully devoiced clusters preceding vowels, illustrating how phonetic details can spread among related words. In the next section, we will explore how these exemplar-driven patterns are further shaped by individual experience, leading to variation across speakers.
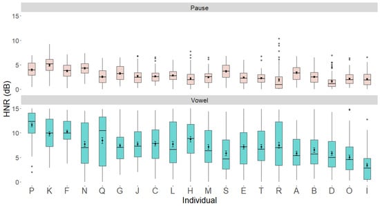
4.6. Individual Behavior
It is expected that different individuals exhibit varying rates of sibilant voicing. This is because, according to the ET, interindividual variation in a linguistic system is dynamic and typically unpredictable, given that speakers have individual learning experiences with the language (Bybee, 2010). Consider Figure 9.
Figure 9.
Voicing rates per individual.
From the mixed-effects model, the random intercept variance for participants is approximately 0.59, indicating that some speakers consistently produce higher or lower HNR overall, possibly due to individual voice quality or habitual articulatory settings. More importantly, the random slope variance for the following context (pause vs. vowel) is about 3.21, which underscores that speakers differ substantially in how strongly they voice sibilants in pre-vocalic environments. In other words, some participants exhibit a large boost in HNR before vowels, while others show a smaller or even negligible difference between the two contexts.
Looking at the specific HNR ranges in Figure 9 helps illustrate these findings. When the sibilant precedes a pause, HNR values across individuals cluster in a relatively narrow band (approximately 1.6 to 4.9 dB), reflecting the robust stability of the voiceless [s] in BP before a pause. By contrast, when a sibilant is expected to be voiced [z] before a vowel, HNR values span a much wider range (about 3.4 to 11.7 dB). This substantial inter-speaker variability is captured statistically by the large random slope variance mentioned above: some participants produce near-categorical voicing, whereas others barely increase their HNR from the pause baseline, resulting in a rather dynamic pattern of voicing.
For instance, participant P, a 16-year-old from Belo Horizonte, demonstrates one of the highest mean HNR values (11.7 dB) in the vowel context, whereas participant I—also 16 and from Belo Horizonte—shows a much lower mean value (3.4 dB). These extremes highlight how individuals can diverge in their phonetic realization of sibilants, even within the same dialect community.
Taken together, these observations reinforce two key points. First, the voiceless sibilant [s] remains categorically stable before a pause for most speakers. Second, the voiced sibilant [z] before a vowel shows extensive phonetic variability, driven both by the phonological environment and by ongoing processes of devoicing. Within ET (Bybee, 2010), such variability reflects a competition between established patterns (fully voiced clusters before vowels) and emerging realizations (devoiced sibilants)—ultimately underscoring how sound changes may unfold differently across speakers.
5. Discussion and Conclusions
This study sheds light on the occurrence of consonant devoicing in Brazilian Portuguese. Our study introduces methodological innovations by assessing sibilant voicing in a gradient manner, utilizing the harmonics-to-noise ratio measurement. This approach allows for the observation of fine phonetic detail, contributing significantly to our understanding of sibilant variation in BP.
Our results indicate that the [z] sibilant, which typically occurs in BP when followed by vowels and voiced consonants (e.g., cheques amarelos [ʃɛkz a.ma.’ɾɛ.lʊs] ‘yellow checks’), now exhibits significant rates of pre-vocalic devoicing. These findings suggest that a sound change could be taking place in the Belo Horizonte dialect of Brazilian Portuguese. Sibilant devoicing appears to be more frequent than previously reported in earlier studies (e.g., Cristófaro-Silva, 2003; Bisol, 2005; Seara et al., 2017), indicating a possible shift in this particular dialect. However, our current data do not allow for broader generalizations regarding Brazilian Portuguese as a whole. Additional research is needed to determine whether this devoicing pattern is limited to a synchronic variation in the Belo Horizonte dialect or reflects a more widespread phonological development in BP.
By employing a Linear Mixed-Effects model, we investigated multiple predictors of sibilant voicing, including adjacent phonological contexts, task type, and word frequency. The model incorporated random slopes for speaker and word, capturing variability in how individual participants and lexical items responded to the presence or absence of a following vowel.
Results of the LME model indicate that sibilant voicing depends on both the preceding and following phonological environments, as shown by a significant interaction in the statistical model. In particular, when the following context is a vowel, sibilants preceded by voiceless stops exhibit substantially lower voicing levels than those preceded by voiced stops. Post-hoc pairwise comparisons confirm that these pre-vocalic sibilants maintain a robust voiceless realization when following a voiceless stop, suggesting strong progressive devoicing (e.g., /ps/ → [ps] before a vowel).
In contrast, pre-vocalic sibilants following a voiced stop generally exhibit relatively high HNR values, indicating a tendency toward [z]-like voicing—for example, /bs/#V often surfaces as [bz]#V. However, it should be noted that there is still some overlap in HNR values across voiced- and voiceless-stop contexts, so these sibilants are not categorically fully voiced in every token. Although progressive assimilation leading to voicelessness is clearly observed after voiceless stops, there is no comparably strong evidence for devoicing when the sibilant follows a voiced stop; nonetheless, some degree of partial devoicing may occur in certain cases. This discrepancy highlights an asymmetry: a preceding voiceless stop consistently overrides the vowel’s regressive voicing effect, whereas a preceding voiced stop tends to preserve higher levels of sibilant voicing before a word-initial vowel—albeit with variability in individual tokens.
Our analysis of task type revealed that visual exposure to the grapheme <s> did not significantly influence participants’ production of the sibilant, as no statistically significant differences were found between the reading and picture-naming tasks. Similarly, lexical frequency showed no significant effect on voicing rates.
In analyzing different lexical items, we found that while the overall influence of each word on baseline voicing remained relatively modest, some words displayed substantial shifts in sibilant voicing across pause and vowel environments. This variation likely reflects word-specific properties—such as phonotactic constraints or segmental composition—that can either enhance or suppress voicing in final sibilants.
At the speaker level, participants showed little variability in producing expected pre-pausal voiceless [s] sibilants, but significant variability occurred with expected pre-vocalic voiced [z], as many tokens were devoiced. Speakers also varied considerably in how strongly they voice sibilants before vowels versus pauses. Some showed a large difference (high HNR in vowel contexts), whereas others were more uniform across contexts.
Our findings highlight the competitive dynamics between phonetic variants within the mental lexicon, showing that Exemplar Theory offers an insightful framework for investigating the kind of phonetic variation under study (Johnson, 1997; Pierrehumbert, 2001; Bybee, 2010). Specifically, exemplars associated with traditionally categorical sound patterns—such as the production of voiced clusters followed by vowels—are competing with an emerging sound pattern characterized by the devoicing of word-final clusters. The competition between progressive voiceless assimilation from the preceding stop and regressive voicing assimilation from the following vowel necessitates a dynamic, stochastic model of sound change, as outlined in Exemplar Theory, where phonological representations are continually reshaped by language use and exposure to variable exemplars.
According to Exemplar Theory, fine phonetic detail plays a crucial role in shaping phonological representations. The complex relationship between sibilant voicing and the voicing of their preceding stops in BP suggests an ongoing sound change influenced by multiple phonological and aerodynamic factors, consistent with cross-linguistic findings (De Schryver et al., 2008; Strycharczuk, 2012; Hayes-Harb et al., 2018; Hutin et al., 2020). Moreover, the variability we observed—both across speakers and across lexical items—fits well with the notion that each individual’s mental lexicon stores a multitude of exemplars, and that phonological categories are continually updated as speakers encounter both traditional and emerging patterns.
In conclusion, our gradient, variable, and mixed-effects approach provides a richer understanding of consonant devoicing in BP than previously available. By examining sibilant voicing in detail with HNR measures, we demonstrate that devoicing patterns are not limited to a single context but arise from the interplay of multiple phonological and aerodynamic factors. The statistical modeling incorporating random slopes shows that (1) contextual (preceding and following) environments remain the strongest predictors of devoicing, and (2) individual and lexical variation are substantial, suggesting that phonological change may be spreading unevenly through the speech community and the lexicon.
Future research could examine whether devoicing extends beyond word-final sibilants to other segments, including the occasional devoicing of preceding stops observed in this paper through spectrographic analyses (e.g., redes argentinas produced as [’hets ah.ʒẽ.’tʃi.nəs] rather than [’hedʒiz ah.ʒẽ.’tʃi.nəs]). Additionally, it would be important to investigate how the presence of a following voiced consonant might influence such patterns, in order to provide a more complete picture of devoicing in Brazilian Portuguese. Investigating additional cluster types (e.g., fricative + stop, nasal + stop, or liquids + sibilants) and dialects of BP could further clarify whether these patterns reflect a broader phenomenon, and shed light on the role of fine phonetic detail in shaping phonological representations.
Funding
This research received no external funding.
Institutional Review Board Statement
This research was approved by the Ethics Committee of the Federal University of Minas Gerais (Universidade Federal de Minas Gerais) under reference number 15116119.9.0000.5149, on 20 August 2019.
Informed Consent Statement
Informed consent was obtained from all subjects involved in the study.
Data Availability Statement
The data presented in this study are available on request from the corresponding author (restrictions due to ethical considerations apply).
Acknowledgments
I am grateful to the anonymous reviewers of Languages, the Editor of this special issue, and the journal’s editorial team for their valuable comments and constructive criticism. My heartfelt thanks to Thaïs Cristófaro Silva, whose insights significantly enriched the theoretical discussions in this paper. I also extend my appreciation to the organizers of the 75th StuTS Conference at the University of Graz, Austria, where I presented an earlier version of this article in May 2024. Additionally, I acknowledge the contributions of my team members from the Laboratory of Applied Linguistics at the University of Groningen and the Laboratório de Fonologia at the Federal University of Minas Gerais for their indispensable support in this research.
Conflicts of Interest
The author declares no conflict of interest.
Appendix A
Table A1 summarizes fixed and random effects for the linear mixed-effects model predicting HNR, with “picture-naming” as the baseline task, “pause” as the following context, and “vowel” as the preceding context. p-values, calculated with lmerTest degrees of freedom. The following significance codes are used: *** (p < 0.001), “n.s.” (not significant), and “marg.” (marginal).
Table A1.
LME model summary.
Table A1.
LME model summary.
| Fixed Effect | Estimate | Std. Error | t-Value | p-Value |
|---|---|---|---|---|
| (Intercept) | 2.9461 | 0.3329 | 8.850 | <0.0001 *** |
| Task type: reading | 0.1287 | 0.1245 | 1.034 | 0.3015 (n.s.) |
| Following context: vowel | 5.6177 | 0.1953 | 28.764 | <0.0001 *** |
| Preceding context: voiced consonant | −0.1538 | 0.2375 | −0.648 | 0.5170 (n.s.) |
| Preceding context: voiceless consonant | −0.2364 | 0.2347 | −1.007 | 0.3143 (n.s.) |
| Word frequency | −0.1087 | 0.1127 | −0.964 | 0.3350 (n.s.) |
| Following context: vowel: Preceding context: voiced consonant | 0.4839 | 0.2935 | 1.649 | 0.0994 (marg.) |
| Following context: vowel: Preceding context: voiceless consonant | −2.1465 | 0.2790 | −7.694 | <0.0001 *** |
| Random Effect (By word) | Variance | Std. Dev. | Corr. | |
| (Intercept) | 0.03793 | 0.1948 | – | |
| Following context: vowel | 0.75373 | 0.8682 | +1.00 | |
| Random Effect (By speaker) | Variance | Std. Dev. | Corr. | |
| (Intercept) | 0.59196 | 0.7694 | – | |
| Following context: vowel | 3.21057 | 1.7918 | +0.10 | |
Table A2 summarizes Bonferroni-adjusted pairwise contrasts, comparing preceding and following context levels. Negative estimates indicate lower HNR (less voicing) in the first condition. The following significance codes are used: *** (p < 0.001), “n.s.” (not significant), and “marg.” (marginal).
Table A2.
Post-hoc pairwise comparisons (Bonferroni-adjusted).
Table A2.
Post-hoc pairwise comparisons (Bonferroni-adjusted).
| Contrast | Estimate | SE | df | t-Ratio | p-Value |
|---|---|---|---|---|---|
| Pause ([i] vowel baseline)–Vowel ([i] vowel baseline) | −5.6177 | 0.195 | 2783 | −28.739 | <0.0001 *** |
| Pause [i]–Pause, voiced C | 0.1538 | 0.239 | 2665 | 0.645 | 1.0000 (n.s.) |
| Pause [i]–Vowel, voiced C | −5.9479 | 0.226 | 2639 | −26.374 | <0.0001 *** |
| Pause [i]–Pause, voiceless C | 0.2364 | 0.237 | 1614 | 0.998 | 1.0000 (n.s.) |
| Pause [i]–Vowel, voiceless C | −3.2348 | 0.234 | 1611 | −13.826 | <0.0001 *** |
| Vowel [i]–Pause, voiced C | 5.7715 | 0.231 | 2509 | 24.939 | <0.0001 *** |
| Vowel [i]–Vowel, voiced C | −0.3301 | 0.224 | 2441 | −1.471 | 1.0000 (n.s.) |
| Vowel [i]–Pause, voiceless C | 5.8542 | 0.225 | 1737 | 26.036 | <0.0001 *** |
| Vowel [i]–Vowel, voiceless C | 2.3829 | 0.225 | 1759 | 10.569 | <0.0001 *** |
| Pause voiced C–Vowel, voiced C | −6.1016 | 0.213 | 2771 | −28.658 | <0.0001 *** |
| Pause voiced C–Pause, voiceless C | 0.0827 | 0.251 | 595 | 0.329 | 1.0000 (n.s.) |
| Pause voiced C–Vowel, voiceless C | −3.3886 | 0.253 | 631 | −13.372 | <0.0001 *** |
| Vowel voiced C–Pause, voiceless C | 6.1843 | 0.250 | 577 | 24.769 | <0.0001 *** |
| Vowel voiced C–Vowel, voiceless C | 2.7131 | 0.250 | 594 | 10.844 | <0.0001 *** |
| Pause voiceless C–Vowel, voiceless C | −3.4713 | 0.195 | 2751 | −17.782 | <0.0001 *** |
Notes
| 1 | Our analysis assumes that the final alveolar fricative in plural forms is underlyingly voiceless (/s/). In contexts where regressive voicing assimilation is expected—before a vowel or a voiced consonant—traditional accounts predict a fully voiced output ([z]). However, in these pre-vocalic environments, voicing may fail to occur, resulting in a voiceless realization. While this can be framed as the absence of expected assimilation rather than the active devoicing of a previously voiced segment, we view these as complementary perspectives of the same emergent phenomenon. |
| 2 | In these contexts, the historically expected epenthesis of [i] frequently fails to apply (See Section 2). |
| 3 | Cristófaro-Silva (2003) and Bisol (2005) discuss sibilant voicing patterns in BP without instrumental or acoustic measurements, relying on phonetically trained observation. Seara et al. (2017) similarly do not quantify the extent of voicing, but rather note that the default realization of the word-final sibilant before a vowel is voiced. While we acknowledge that these earlier works do not offer numerical evidence to confirm a near-100% voicing rate, their categorical impressionistic accounts strongly suggest that any devoicing—if present—was negligible or unreported. |
| 4 | Alveopalatal affricates [tʃ, dʒ] may occur in BP when followed by a high-front vowel, reflecting a palatalization process: tia [tia] ~ [tʃia] (aunt), dia [dia] ~ [dʒia] (day). When the high-front vowel is deleted, a stop + sibilant cluster is produced instead, reflecting the situation addressed in this paper. |
| 5 | Acknowledging the [Cs] ~ [Cis] alternation is relevant in this context, as the absence of the high-front vowel in [Cs] results in a consonantal cluster that promotes /s/ devoicing, whereas vowel retention in [Cis] potentially disrupts the cluster formation, thereby weakening the conditions for devoicing. |
| 6 | Linking Meneses’ (2012, 2016) insights on the devoicing and eventual deletion of high-front vowels to sibilant devoicing highlights a potential shared phonetic tendency in BP: the weakening of segmental content in post-tonic environments and in highly coarticulated speech contexts. |
| 7 | The 15–17 age group was chosen to capture potential linguistic changes in progress, as younger speakers are often at the forefront of sound shifts (Labov, 1994). |
| 8 | Participants were recruited from the same metropolitan area to ensure dialect consistency and minimize regional linguistic variation. |
| 9 | In the Portuguese dialect examined in this study (Belo Horizonte), the insertion of a high-front vowel between a stop consonant and a sibilant (e.g., [pis], [tis], [kis], [bis], [dis], and [gis]) occurs, albeit infrequently (cf. Mendes, 2023). This infrequency makes the dialect ideal for studying vowelless realizations. While the primary focus of this research is consonant devoicing rather than vowel insertion (henceforth [i]-occurrence), it is relevant to acknowledge the variability in BP vowel production. |
| 10 | Distractors consisted of 36 singular nouns that did not have a consonant cluster in word-final position: abelha (bee), avenida (avenue), bambu (bamboo), banana (banana), batata (potato), bingo (bingo), bolo (cake), brinquedo (toy), cadeira (chair), caminho (path), caneta (pen), carteira (wallet), cobra (snake), copo (cup), corvo (crow), estátua (statue), família (family), festa (party), flecha (arrow), foto (photo), gato (cat), gravata (tie), lago (lake), lenço (handkerchief), logotipo (logotype), menino (boy), mesa (table), metrô (metro), mochila (backpack), pizza (pizza), sapo (frog), sapato (shoe), sofá (sofa), tornado (tornado), torta (pie) and vulcão (volcano). |
| 11 | While the literature on BP reports that both voiced and voiceless consonants as following environments can influence the voicing of final sibilants (Bisol, 2005; Seara et al., 2017), these contexts were not included in the present experiment. Future studies could extend this analysis by examining the effects of voiceless and voiced consonants. |
| 12 | It should be noted that stop devoicing—apparently triggered by the following voiceless sibilant—constitutes a separate phenomenon of regressive voiceless assimilation. Since this process was not part of our original research questions and was not included in our statistical model, we present it here only as an anecdotal observation that warrants further investigation. |
References
- Albuquerque, J. (2011). Dessonorização terminal: Dados de informantes paranaenses falantes de inglês como L2. Revista l@ el em (dis-) curso, 3(1), 54–69. [Google Scholar]
- Bates, D., Mächler, M., Bolker, B., & Walker, S. (2015). Fitting linear mixed-effects models using lme4. Journal of Statistical Software, 67(1), 1–48. [Google Scholar] [CrossRef]
- Bisol, L. (Ed.). (2005). Introdução a estudos de fonologia do português brasileiro. EdiPUCRS. [Google Scholar]
- Bjorndahl, C. (2022). Voicing and frication at the phonetics-phonology interface: An acoustic study of Greek, Serbian, Russian, and English. Journal of Phonetics, 92, 101136. [Google Scholar] [CrossRef]
- Blevins, J. (2006). Phonetically-based sound patterns: Typological tendencies or phonological universals. Available online: https://www.degruyter.com/document/doi/10.1515/9783110224917.2.201/pdf?licenseType=restricted (accessed on 3 March 2025).
- Boersma, P., & Weenink, D. (2023). Praat: Doing phonetics by computer [Computer software]. Phonetic Sciences, University of Amsterdam. Available online: http://www.praat.org/ (accessed on 3 March 2025).
- Broselow, E. (2018). Laryngeal contrasts in second language phonology. In Phonological typology (pp. 312–340). De Gruyter Mouton. [Google Scholar]
- Bybee, J. (2001). Phonology and language use. Cambridge University Press. [Google Scholar]
- Bybee, J. (2010). Language, use and cognition. Cambridge University Press. [Google Scholar]
- Carbonell, J. F., & Llisterri, J. (2009). Catalan. Journal of the International Phonetic Association, 22(1–2), 53–56. [Google Scholar] [CrossRef]
- Collischonn, G. (1996). Um estudo da epêntese à luz da teoria da sílaba de Junko Ito (1986). Letras de hoje, 104(1), 149–158. [Google Scholar]
- Cristófaro-Silva, T. (2003). Fonética e fonologia do português: Roteiro de estudos e guia de exercícios. Cortez. [Google Scholar]
- Cristófaro-Silva, T. (2016). Trajetórias fonológicas: Evolução e complexidade (pp. 215–229). Revista LinguíStica—Revista do Programa de Pós-Graduação em Linguística, Special Volume. Available online: http://www.letras.ufmg.br/padrao_cms/documentos/profs/thaiscristofaro/2016_ART_Trajetorias_fonologicas_evolucao_e_%20complexidade.pdf (accessed on 25 February 2025).
- Cristófaro-Silva, T., & Leite, C. (2015). Padrões sonoros emergentes: (oclusiva alveolar + sibilante) no português brasileiro. Caderno de Letras, 24, 15–36. [Google Scholar] [CrossRef]
- Cristófaro-Silva, T., & Mendes, W., Jr. (2022). Plural formation in English: A Brazilian Portuguese case study. In Second language pronunciation: Different approaches to teaching and training. De Gruyter Mouton. [Google Scholar]
- Davies, M., & Ferreira, M. (2016). Corpus do português: Web/dialects. Available online: http://www.corpusdoportugues.org/web-dial (accessed on 3 March 2025).
- De Schryver, J., Neijt, A., Ghesquière, P., & Ernestus, M. (2008). Analogy, frequency, and sound change. The case of Dutch devoicing. Journal of Germanic Linguistics, 20(2), 159–195. [Google Scholar] [CrossRef]
- Gradoville, M. (2011). Voiceless sibilant devoicing in spontaneous American English. Journal of Phonetics, 39(4), 550–564. [Google Scholar]
- Hamann, S., & Sennema, A. (2005). Analysis and resynthesis of sibilant fricatives: Perceptual evaluation of devoicing. Journal of the Acoustical Society of America, 118(3), 1668–1677. [Google Scholar]
- Hayes-Harb, R., Brown, K., & Smith, B. (2018). Orthographic input and the acquisition of German final devoicing by native speakers of English. Language and Speech, 61, 547–564. [Google Scholar] [CrossRef] [PubMed]
- Hutin, M., Niculescu, O., Vasilescu, I., Lamel, L., & Adda-Decker, M. (2020, May 11–12). Lenition and fortition of stop codas in Romanian. 1st Joint SLTU and CCURL Workshop (SLTU-CCURL 2020)-LREC, Marseille, France. [Google Scholar]
- Jatteau, A., Vasilescu, I., Lamel, L., & Adda-Decker, M. (2019a, August 5–9). Final devoicing of fricatives in French: Studying variation in large-scale corpora with automatic alignment. 19th International Congress of Phonetic Sciences (pp. 295–299), Melbourne, Australia. [Google Scholar]
- Jatteau, A., Vasilescu, I., Lamel, L., Adda-Decker, M., & Audibert, N. (2019b). “Gra [f] e!” Word-final devoicing of obstruents in standard French: An acoustic study based on large corpora. ISCA. [Google Scholar]
- Jesus, L. M., & Shadle, C. H. (2002). A parametric study of the spectral characteristics of European Portuguese fricatives. Journal of Phonetics, 30(3), 437–464. [Google Scholar] [CrossRef]
- Johnson, K. (1997). Speech perception without speaker normalization: An exemplar model. In J. L. Morgan, & K. Demuth (Eds.), Signal to syntax: Bootstrapping from speech to grammar in early acquisition (pp. 121–134). Erlbaum. [Google Scholar]
- Labov, W. (1994). The study of nonstandard English. In Language (pp. 555–562). Macmillan Education UK. [Google Scholar]
- Maniwa, K., Jongman, A., & Wade, T. (2009). The role of consonant voicing in distinguishing English word-final sibilants: An acoustic and perceptual study. Journal of the Acoustical Society of America, 125(3), 1694–1704. [Google Scholar]
- Mendes, W., Jr. (2023). Variabilidade fonética na produção de formas de plural do Inglês como Segunda Língua = Phonetic Variability in the production of plural forms of English as a Second Language [Doctoral dissertation, Universidade Federal de Minas Gerais]. [Google Scholar]
- Meneses, F. (2012). As vogais desvozeadas no Português Brasileiro: Investigação acústico-articulatória = Devoiced vowels in Brazilian portuguese: An acoustic-articulatory investigation [Doctoral dissertation, Universidade de Campinas]. [Google Scholar]
- Meneses, F. (2016). Uma visão dinâmica dos processos de apagamento de vogais no português brasileiro = A dynamic account of vowel deletion processes in Brazilian Portuguese [Doctoral dissertation, Universidade de Campinas]. [Google Scholar]
- Myers, S. (2012). Final devoicing: Production and perception studies. In Prosody matters: Essays in honor of Elisabeth Selkirk (pp. 148–180). University of Toronto Press. [Google Scholar]
- Ohala, J. J. (1997, August 12). Aerodynamics of phonology. The Seoul International Conference on Linguistics (vol. 92, p. 97), Seoul, Republic of Korea. [Google Scholar]
- Pierrehumbert, J. (2001). Exemplar dynamics: Word frequency, lenition, and contrast. In J. Bybee, & P. Hopper (Eds.), Frequency effects and the emergence of linguistic structure (pp. 137–157). John Benjamins. [Google Scholar]
- R Core Team. (2022). R: A language and environment for statistical computing [Software]. R Foundation for Statistical Computing. Available online: https://www.R-project.org/ (accessed on 3 March 2025).
- Seara, I. C., Nunes, V. G., & Lazzarotto-Volcão, C. (2017). Para conhecer fonética e fonologia do português brasileiro. Editora Contexto. [Google Scholar]
- Silva, A. (2022). Compute fricative features: A script for automating tasks [Python script]. GitHub. Available online: https://github.com/adelinocpp/Compute_Fricative_Features (accessed on 3 March 2025).
- Soares, V. H. (2016). Encontros consonantais em final de palavra no português brasileiro [Master’s thesis, Universidade Federal de Minas Gerais]. [Google Scholar]
- Strycharczuk, P. (2012). Phonetics-phonology interactions in pre-sonorant voicing [Doctoral Thesis, The University of Manchester]. [Google Scholar]
- Westbury, J. R., & Keating, P. A. (1986). On the naturalness of stop consonant voicing. Journal of Linguistics, 22(1), 145–166. [Google Scholar] [CrossRef]
Disclaimer/Publisher’s Note: The statements, opinions and data contained in all publications are solely those of the individual author(s) and contributor(s) and not of MDPI and/or the editor(s). MDPI and/or the editor(s) disclaim responsibility for any injury to people or property resulting from any ideas, methods, instructions or products referred to in the content. |
© 2025 by the author. Licensee MDPI, Basel, Switzerland. This article is an open access article distributed under the terms and conditions of the Creative Commons Attribution (CC BY) license (https://creativecommons.org/licenses/by/4.0/).

