Theoretical and Experimental Investigation of Geomagnetic Energy Effect for LEO Debris Deorbiting
Abstract
:1. Introduction
- A novel GME propellant approach to LEO debris rapid deorbiting is first proposed based on the time-cumulative effect of torque produced by a magnetic moment of spacecraft interacting with the Earth’s magnetic field. It can significantly reduce removal costs. Additionally, the method is characterized by low dependence on spatial scale and effective control mechanism and strategies.
- A mechanism of on-orbit directional GME storage is built for the deorbiting spacecraft. Two energy storage strategies are further developed, and they can be flexibly selected according to the orbit of space debris for obtaining .
- The GME harvesting, exchange, and storage are experimentally achieved with a novel self-developed ground system, and the LEO GME utilization in space is elementarily verified. It demonstrates that the proposed GME propellant approach has remarkable engineering realizability.
2. Geomagnetic Energy Propulsion Approach
2.1. Definition of Coordinates and Orbital Parameters
2.2. Deorbiting Principle
2.3. Geomagnetic Field Model and Its Torque Effect
2.4. Directional Energy Storage Mechanism and Strategy
2.5. Energy Storage and Deorbiting Capability
3. Simulation Results and Discussion
- The GME propellant approach can be applied to the region of LEO below 1000 km with different altitudes and inclinations, and it is consistent with the analysis results in Section 2.5. As seen in Figure 6 or Figure 7b, the strategy at the -axis, Equation (12) or (14), has an obvious advantage on the orbit with a large inclination, but does not have the energy storage capacity for equatorial orbit. From Figure 8 or Figure 9c, the strategy at the -axis, Equation (13), can be used for the entire LEO below 1000 km. With the combination of Figure 6, Figure 7b, Figure 8 and Figure 9c, we know that when , the strategy of GME storage at -axis is adopted; otherwise, the choice of strategy at the -axis is reasonable. So the Figure 10 is presented to show the energy storage capability of the GME propellant approach.
- The GME propellant approach has a potent capability of angular momentum accumulation (see Figure 10). Under a magnetic moment of , it can accumulate the angular momentum at the level of to in one period (about 100 min) and more than in one day. At the same power consumption, the approach can provide much higher energy storage capability than the maximum to level of typical energy storage/exchange devices including control moment gyroscopes and reaction wheels, etc., for a spacecraft [40], and has no momentum saturation due to the continuous accumulation of external magnetic torque.
- Compared with the existing propellantless deorbiting methods, the proposed approach has higher efficiency and lower dependence on the scale for the LEO debris deorbiting [41,42]. To deorbit a LEO (product of debris mass and scale of deorbiting mechanism) debris, days to weeks (tens to hundreds of orbital period) of preparation is required with the existent magnetorquer technology, as depicted in Table 1.
4. Development of Ground Experimental System
4.1. Modeling and Control
4.2. Simulation
- The system can be well controlled with good robustness, and has great performance in both steady and transient responses. As seen in Figure 13a, the angular velocity of part two (debris) increases with time, and does not oscillate, finally converging to a constant.
- The attitude holding of part one (spacecraft body) is well satisfied, which is in good agreement with our expectations. As depicted in Figure 13b,d, the peak of angular velocity and acceleration occurs only at the initial time, and the angular displacement is approximately from to , shown in Figure 13c.
4.3. Ground Experimental System
5. Proof-of-Principle Experiment
5.1. GME Harvesting Experiment
5.2. GME Storage Experiment
5.2.1. Disturbance Torque Calibration
5.2.2. GME Storage Experiment
- The principle of GME storage is feasible. The GME harvesting, exchange, and storage can be achieved by the ground system based on electrical energy. That is to say, the proposed GME propulsion approach, the conversion of rotational angular momentum into linear momentum, can realize the system energy storage.
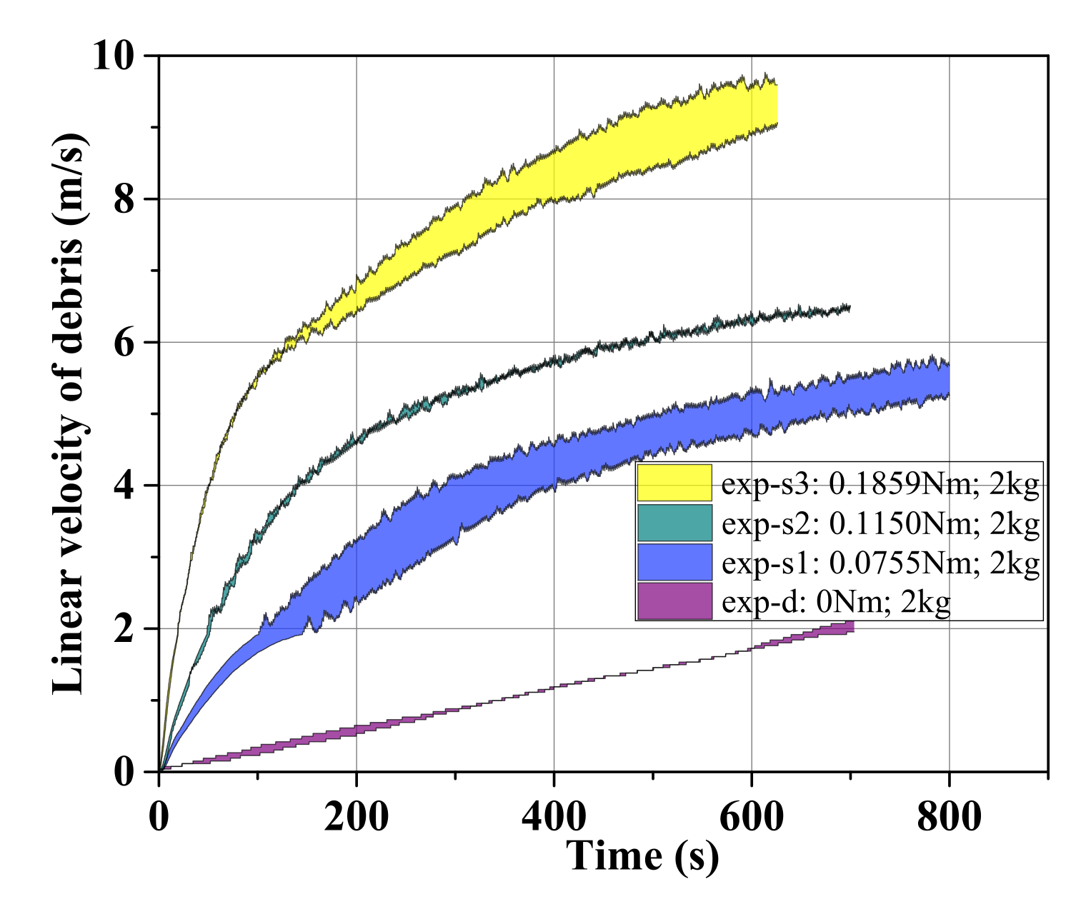
- The effect of continuous GME storage is noticeable. After the coils and momentum exchange device are electrified, there is a clear sustained acceleration tendency of debris, and the tendency is apparently different under different DC current (magnetic torque), as seen in Figure 19. In about 10 min, the linear velocity of the two debris reaches the final of with a total debris.
- The attitude holding of the spacecraft body and magnetic moment is well satisfied, consistent with the simulation results. It indicates that the proposed GME propellant approach has remarkable engineering realizability. Taking the experiment of exp-s3 as an example, the angle changes of spacecraft body attitude are about between the initial position and the final position, as given in Figure 20, and is in good agreement with the simulation result of . The angle changes can be avoided by debugging a better control system or the active attitude adjustment of the spacecraft.
- The measured value of velocity increment coincides well with the theoretical calculation, and the mechanism of directional energy storage is verified. At the beginning of each experiment, the velocity of the debris is relatively little, and the effect of the disturbance torque and air aerodynamic torque on the angular momentum accumulation of the system is negligible compared with that of the magnetic torque. Hence, the measured in the initial 60s is taken out here to compare with the theoretical value (see Table 4 and Figure 21). The experimental is in well accordance with the theoretical result, and with the increase in velocity, the deviation of them gradually appears due to the effect of the disturbance torque and air aerodynamic torque.
- The LEO GME utilization in space is elementarily verified.
6. Conclusions
Author Contributions
Funding
Institutional Review Board Statement
Informed Consent Statement
Data Availability Statement
Conflicts of Interest
References
- Serebryanskiy, A.; Akniyazov, C.; Demchenko, B.; Komarov, A.; Omarov, C.; Reva, I.; Krugov, M.; Voropaev, V. Statistical analysis of object congestion in the geostationary region. Acta Astronaut. 2021, 182, 424–431. [Google Scholar] [CrossRef]
- Shan, M.; Shi, L. Comparison of Tethered Post-Capture System Models for Space Debris Removal. Aerospace 2022, 9, 33. [Google Scholar] [CrossRef]
- Feng, G.; Li, W.; Zhang, H. Geomagnetic Energy Approach to Space Debris Deorbiting in a Low Earth Orbit. Int. J. Aerosp. Eng. 2019, 2019, 5876861. [Google Scholar] [CrossRef]
- Liou, J.C.; Johnson, N.L. Instability of the present LEO satellite populations. Adv. Space Res. 2008, 41, 1046–1053. [Google Scholar] [CrossRef]
- Anz-Meador, P.D. Orbital Debris Quarterly News. 2020. Available online: https://orbitaldebris.jsc.nasa.gov/quarterly-news/ (accessed on 28 June 2022).
- Qi, R.; Misra, A.K.; Zuo, Z. Active debris removal using double-tethered space-tug system. J. Guid. Control. Dyn. 2017, 40, 722–730. [Google Scholar] [CrossRef]
- Zhang, Z.; Li, X.; Wang, X.; Zhou, X.; An, J.; Li, Y. TDE-Based Adaptive Integral Sliding Mode Control of Space Manipulator for Space-Debris Active Removal. Aerospace 2022, 9, 105. [Google Scholar] [CrossRef]
- Shan, M.; Guo, J.; Gill, E. Review and comparison of active space debris capturing and removal methods. Prog. Aerosp. Sci. 2016, 80, 18–32. [Google Scholar] [CrossRef]
- Hakima, H.; Emami, M.R. Assessment of active methods for removal of LEO debris. Acta Astronaut. 2018, 144, 225–243. [Google Scholar] [CrossRef]
- Mark, C.P.; Kamath, S. Review of active space debris removal methods. Space Policy 2019, 47, 194–206. [Google Scholar] [CrossRef]
- Li, S.; She, Y. Recent advances in contact dynamics and post-capture control for combined spacecraft. Prog. Aerosp. Sci. 2021, 120, 100678. [Google Scholar] [CrossRef]
- Aglietti, G.S.; Taylor, B.; Fellowes, S.; Salmon, T.; Retat, I.; Hall, A.; Chabot, T.; Pisseloup, A.; Cox, C.; Mafficini, A.; et al. The active space debris removal mission RemoveDebris. Part 2: In orbit operations. Acta Astronaut. 2020, 168, 310–322. [Google Scholar] [CrossRef]
- Aglietti, G.; Taylor, B.; Fellowes, S.; Ainley, S.; Tye, D.; Cox, C.; Zarkesh, A.; Mafficini, A.; Vinkoff, N.; Bashford, K.; et al. RemoveDEBRIS: An in-orbit demonstration of technologies for the removal of space debris. Aeronaut. J. 2020, 124, 1–23. [Google Scholar] [CrossRef]
- Schaub, H.; Jasper, L.E.; Anderson, P.V.; McKnight, D.S. Cost and risk assessment for spacecraft operation decisions caused by the space debris environment. Acta Astronaut. 2015, 113, 66–79. [Google Scholar] [CrossRef]
- Lv, S.; Zhang, H.; Zhang, Y.; Ning, B.; Qi, R. Design of an integrated platform for active debris removal. Aerospace 2022, 9, 339. [Google Scholar] [CrossRef]
- Takeichi, N.; Tachibana, N. A tethered plate satellite as a sweeper of small space debris. Acta Astronaut. 2021, 189, 429–436. [Google Scholar] [CrossRef]
- Chen, Y.; Huang, R.; Ren, X.; He, L.; He, Y. History of the tether concept and tether missions: A review. Int. Sch. Res. Not. 2013, 2013, 502973. [Google Scholar] [CrossRef]
- Spencer, D.A.; Johnson, L.; Long, A.C. Solar sailing technology challenges. Aerosp. Sci. Technol. 2019, 93, 105276. [Google Scholar] [CrossRef]
- Rhatigan, J.L.; Lan, W. Drag-enhancing deorbit devices for spacecraft self-disposal: A review of progress and opportunities. J. Space Saf. Eng. 2020, 7, 340–344. [Google Scholar] [CrossRef]
- Lu, H.; Li, A.; Wang, C.; Zabolotnov, Y.M. Stability analysis and motion control of spinning electrodynamic tether system during transition into spin. Acta Astronaut. 2020, 177, 871–881. [Google Scholar] [CrossRef]
- Aslanov, V.; Yudintsev, V. Dynamics of large space debris removal using tethered space tug. Acta Astronaut. 2013, 91, 149–156. [Google Scholar] [CrossRef]
- Fu, B.; Sperber, E.; Eke, F. Solar sail technology—A state of the art review. Prog. Aerosp. Sci. 2016, 86, 1–19. [Google Scholar] [CrossRef]
- Zhao, P.; Liu, J.; Wu, C. Survey on research and development of on-orbit active debris removal methods. Sci. China Technol. Sci. 2020, 63, 2188–2210. [Google Scholar] [CrossRef]
- Pardini, C.; Hanada, T.; Krisko, P.H. Benefits and risks of using electrodynamic tethers to de-orbit spacecraft. Acta Astronaut. 2009, 64, 571–588. [Google Scholar] [CrossRef]
- Patera, R.P. Method for calculating collision probability between a satellite and a space tether. J. Guid. Control. Dyn. 2002, 25, 940–945. [Google Scholar] [CrossRef]
- Cartmell, M.; McKenzie, D. A review of space tether research. Prog. Aerosp. Sci. 2008, 44, 1–21. [Google Scholar] [CrossRef]
- Huang, P.; Zhang, F.; Chen, L.; Meng, Z.; Zhang, Y.; Liu, Z.; Hu, Y. A review of space tether in new applications. Nonlinear Dyn. 2018, 94, 1–19. [Google Scholar] [CrossRef]
- Wang, C.; Huan, T.; Li, A.; Lu, H. Mission analysis and optimal control for cislunar mission with spinning tether system in hyperbolic orbits. Acta Astronaut. 2020, 177, 862–870. [Google Scholar] [CrossRef]
- Kuo, H.; Pan, K.; Lee, W. A propellant-free superconducting solenoid thruster driven by geomagnetic field. J. Adv. Res. 2021, 28, 269–275. [Google Scholar] [CrossRef]
- Psiaki, M.L. Nanosatellite attitude stabilization using passive aerodynamics and active magnetic torquing. J. Guid. Control. Dyn. 2004, 27, 347–355. [Google Scholar] [CrossRef]
- Liu, K. Research on Magnetism Propulsion for LEO Spacecraft. Ph.D. Thesis, University of Chinese Academy of Sciences, Beijing, China, 2013. [Google Scholar]
- Bischof, B. ROGER-Robotic geostationary orbit restorer. In Proceedings of the 54th International Astronautical Congress of the International Astronautical Federation, The International Academy of Astronautics, and the International Institute of Space Law, Bremen, Germany, 29 September–3 October 2003; pp. IAA–5. [Google Scholar] [CrossRef]
- Biesbroek, R.; Innocenti, L.; Wolahan, A.; Serrano, S.M. e.Deorbit-ESA’s active debris removal mission. In Proceedings of the 7th European Conference on Space Debris, Darmstadt, Germany, 18–21 April 2017; Volume 10. [Google Scholar] [CrossRef]
- Luo, C.; Huang, L.; Wen, H.; Kang, J.; Jin, D. Model predictive control for spin-up maneuver of an electrodynamic tether system. Acta Astronaut. 2021, 189, 55–62. [Google Scholar] [CrossRef]
- Knudsen, J.M.; Hjorth, P.G. The Angular Momentum Theorem. In Elements of Newtonian Mechanics: Including Nonlinear Dynamics; Springer: Berlin/Heidelberg, Germany, 2000; pp. 219–235. [Google Scholar] [CrossRef]
- Liu, K.; Zhang, H.; Li, W.; Xiao, X.; Guo, Z. The characteristics of geomagnetic field’s gradient distribution and the magnetic force effects in near-earth space. Spacecr. Environ. Eng. 2012, 29, 493–498. [Google Scholar] [CrossRef]
- Matteo, N.A.; Morton, Y.T. Ionosphere geomagnetic field: Comparison of IGRF model prediction and satellite measurements 1991–2010. Radio Sci. 2011, 46, 1–10. [Google Scholar] [CrossRef]
- Gurnett, D.; Kurth, W.; Roux, A.; Bolton, S.; Kennel, C. Evidence for a magnetosphere at Ganymede from plasma-wave observations by the Galileo spacecraft. Nature 1996, 384, 535–537. [Google Scholar] [CrossRef]
- Odstrcil, D.; Pizzo, V.J. Distortion of the interplanetary magnetic field by three-dimensional propagation of coronal mass ejections in a structured solar wind. J. Geophys. Res. Space Phys. 1999, 104, 28225–28239. [Google Scholar] [CrossRef]
- Votel, R.; Sinclair, D. Comparison of control moment gyros and reaction wheels for small earth-observing satellites. In Proceedings of the 26th AIAA/USU Conference on Small Satellites, Logan, UT, USA, 13–16 August 2012; pp. 1–7. [Google Scholar]
- Aslanov, V.; Ledkov, A. Dynamics of Tethered Satellite Systems; Elsevier: Amsterdam, The Netherlands, 2012. [Google Scholar]
- Sarego, G.; Olivieri, L.; Valmorbida, A.; Brunello, A.; Lorenzini, E.C.; Tarabini Castellani, L.; Urgoiti, E.; Ortega, A.; Borderes-Motta, G.; Sánchez-Arriaga, G. Deployment requirements for deorbiting electrodynamic tether technology. CEAS Space J. 2021, 13, 567–581. [Google Scholar] [CrossRef]
- Zhao, M.; Mao, J.; Xi, Y. Research on drag characteristic of flow around finite circular cylinder at high Reynolds numbers. J. Mech. Eng. 2015, 51, 176–182. [Google Scholar] [CrossRef]




















| Altitude/km | /(m/s) | Required Time/Days (from to ) | Comment | 
|---|---|---|---|
| 300 | 44 | 2.70–1.23 | 10 kg · 10 m | 
| 400 | 73 | 4.65–2.13 | |
| 500 | 101 | 6.75–3.09 | |
| 600 | 127 | 8.84–4.04 | |
| 700 | 154 | 11.22–5.13 | |
| 800 | 179 | 13.57–6.20 | |
| 900 | 204 | 16.16–7.39 | |
| 1000 | 229 | 18.84–9.61 | 
| DC Current/A | Magnetic Moment/ | Geomagnetic Field Intensity/nT | /Nm | 
|---|---|---|---|
| 4 | 3600 | 20645.8565 | 0.0755 | 
| 6 | 5400 | 0.1115 | |
| 10 | 9000 | 0.1859 | 
| No. | Current/A | /Nm | Debris/kg | / | Comment | 
|---|---|---|---|---|---|
| exp-s1 | 4 | 0.0755 | 2 | 5.8 | |
| exp-s2 | 6 | 0.1115 | 2 | 6.5 | |
| exp-s3 | 10 | 0.1859 | 2 | 9.6 | |
| exp-d | 0 | 0 | 2 (700s) | 2 | Disturbance torque calibration | 
| Time/s | 0.0755 Nm | 0.1115 Nm | 0.1859 Nm | |||
|---|---|---|---|---|---|---|
| Experimental Value/(m/s) | Theoretical Value/(m/s) | Experimental Value/(m/s) | Theoretical Value/(m/s) | Experimental Value/(m/s) | Theoretical Value/(m/s) | |
| 10 | 0.272 | 0.265 | 0.326 | 0.391 | 0.667 | 0.653 | 
| 20 | 0.562 | 0.530 | 0.825 | 0.783 | 1.388 | 1.305 | 
| 30 | 0.798 | 0.795 | 1.191 | 1.174 | 1.992 | 1.958 | 
| 40 | 1.016 | 1.060 | 1.549 | 1.566 | 2.477 | 2.611 | 
| 50 | 1.225 | 1.325 | 1.877 | 1.957 | 2.976 | 3.263 | 
| 60 | 1.400 | 1.590 | 2.272 | 2.349 | 3.378 | 3.916 | 
| Publisher’s Note: MDPI stays neutral with regard to jurisdictional claims in published maps and institutional affiliations. | 
© 2022 by the authors. Licensee MDPI, Basel, Switzerland. This article is an open access article distributed under the terms and conditions of the Creative Commons Attribution (CC BY) license (https://creativecommons.org/licenses/by/4.0/).
Share and Cite
Feng, G.; Zhang, C.; Zhang, H.; Li, W. Theoretical and Experimental Investigation of Geomagnetic Energy Effect for LEO Debris Deorbiting. Aerospace 2022, 9, 511. https://doi.org/10.3390/aerospace9090511
Feng G, Zhang C, Zhang H, Li W. Theoretical and Experimental Investigation of Geomagnetic Energy Effect for LEO Debris Deorbiting. Aerospace. 2022; 9(9):511. https://doi.org/10.3390/aerospace9090511
Chicago/Turabian StyleFeng, Guanhua, Chen Zhang, Heng Zhang, and Wenhao Li. 2022. "Theoretical and Experimental Investigation of Geomagnetic Energy Effect for LEO Debris Deorbiting" Aerospace 9, no. 9: 511. https://doi.org/10.3390/aerospace9090511
APA StyleFeng, G., Zhang, C., Zhang, H., & Li, W. (2022). Theoretical and Experimental Investigation of Geomagnetic Energy Effect for LEO Debris Deorbiting. Aerospace, 9(9), 511. https://doi.org/10.3390/aerospace9090511
 
        _Zhu.png)


 
       
       