Aircraft Emissions, Their Plume-Scale Effects, and the Spatio-Temporal Sensitivity of the Atmospheric Response: A Review
Abstract
1. Introduction
2. Aircraft Emissions
2.1. The Generation of Aircraft Emissions
2.1.1. Primary Jet Fuel Combustion Products
2.1.2. Secondary Jet Fuel Combustion Products
2.2. Aircraft Emissions Modelling
2.2.1. Fuel Burn Estimation
2.2.2. Calculating Aircraft Emissions at Reference Conditions
2.2.3. Calculating Aircraft Emissions at Non-Reference Conditions
2.2.4. Emissions Inventories and Integration into Large-Scale Climate Models
3. The Dispersion of Aircraft Emissions and the Aircraft Exhaust Plume
3.1. Plume-Scale Dynamical Regimes
3.2. Plume-Scale Modelling
3.2.1. Empirical Dilution Model
3.2.2. Single and Multi-Layered Plume Models
3.2.3. Aircraft Plume Chemistry, Emissions, and Microphysics Model (APCEMM)
3.2.4. Large Eddy Simulations (LESs)
4. Air Traffic and Emissions Distribution
4.1. Air Traffic Management
4.1.1. Air Traffic Safety
4.1.2. Air Traffic Order
- airports/aerodromes—an area of land or water intended to be used for the arrival, departure and surface movement of aircraft;
- waypoints—a specified geographical location used to define the flight path of an aircraft, representing either a navigational aid (navaid) or a reference coordinate that the aircraft must fly by or fly over;
- airways—a controlled portion of airspace established in the form of a corridor (usually 8–10 NM wide) between two waypoints;
- sectors—a region of airspace managed by a single ATC team, stratified into various levels to accommodate a wide variety of traffic.
4.1.3. Air Traffic Efficiency
4.1.4. Airspace Capacity
4.2. Global Air Traffic and Emissions Distribution
4.3. Local Air Traffic and Emissions Distribution
5. The Global Climate Impact of Aviation
5.1. Aircraft Emissions in the Upper Troposphere and Lower Stratosphere
5.2. Radiative Forcing of Aircraft Emissions
5.2.1. CO2
5.2.2. Contrail Cirrus
5.2.3. Net-NOx
5.2.4. Water Vapour
5.2.5. Aerosol Effects
5.3. Global Climate Modelling
6. Nonlinear Plume-Scale Climate Effects
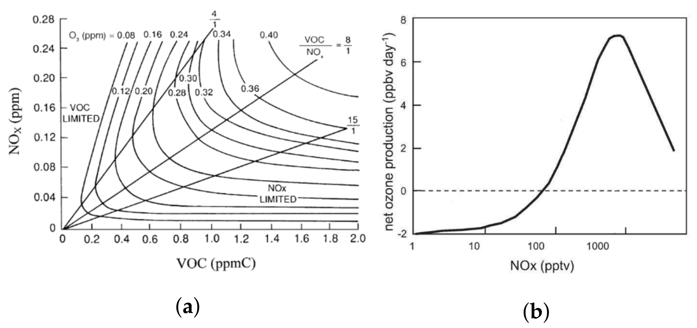
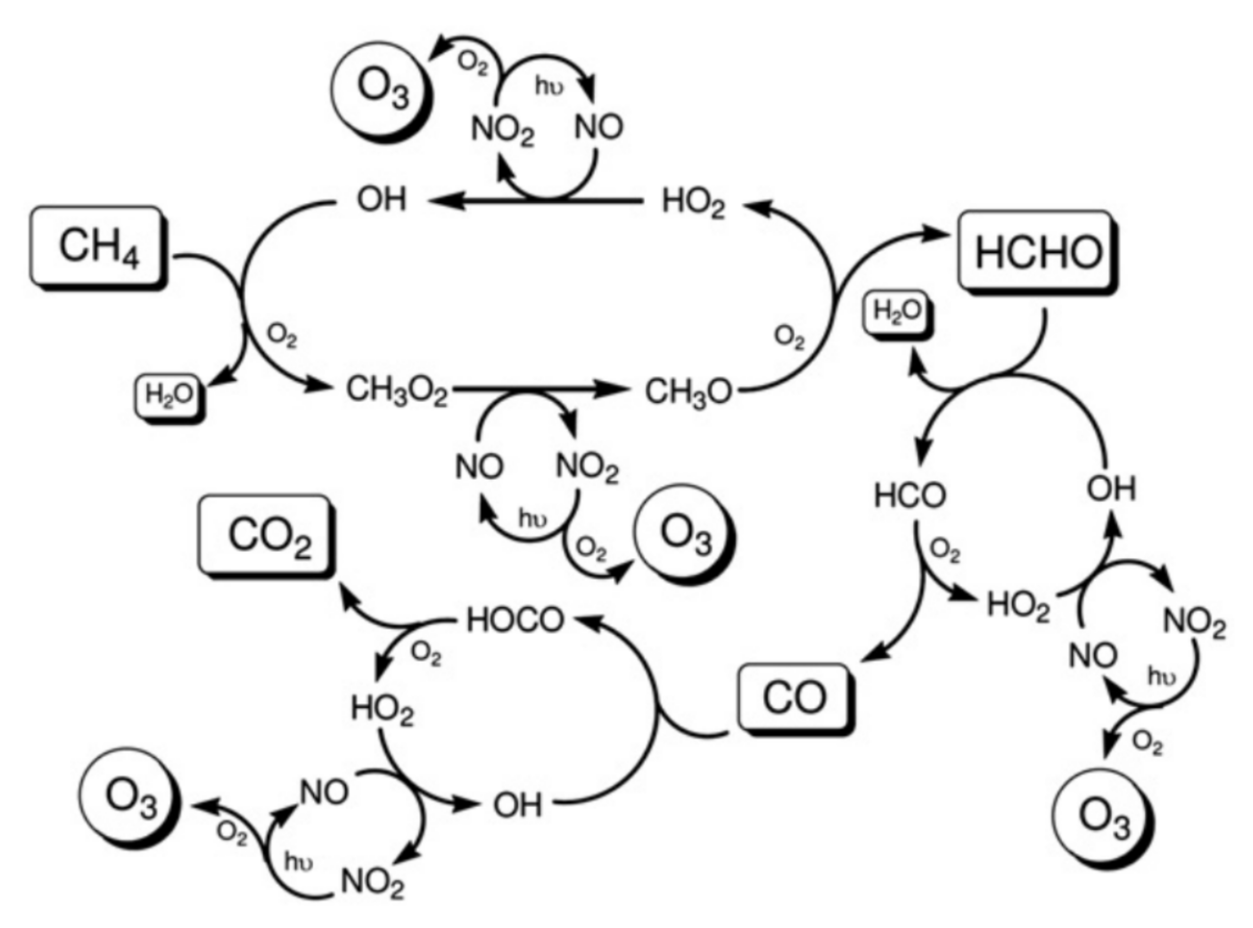
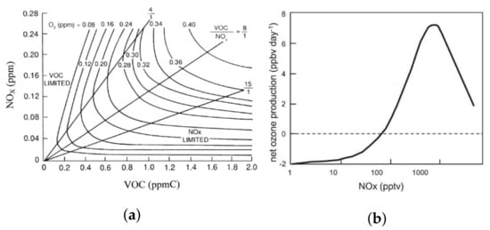
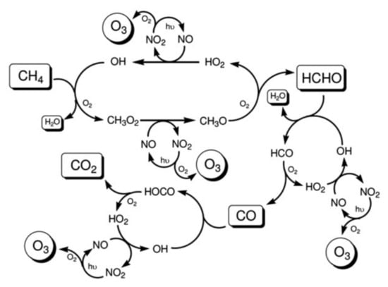
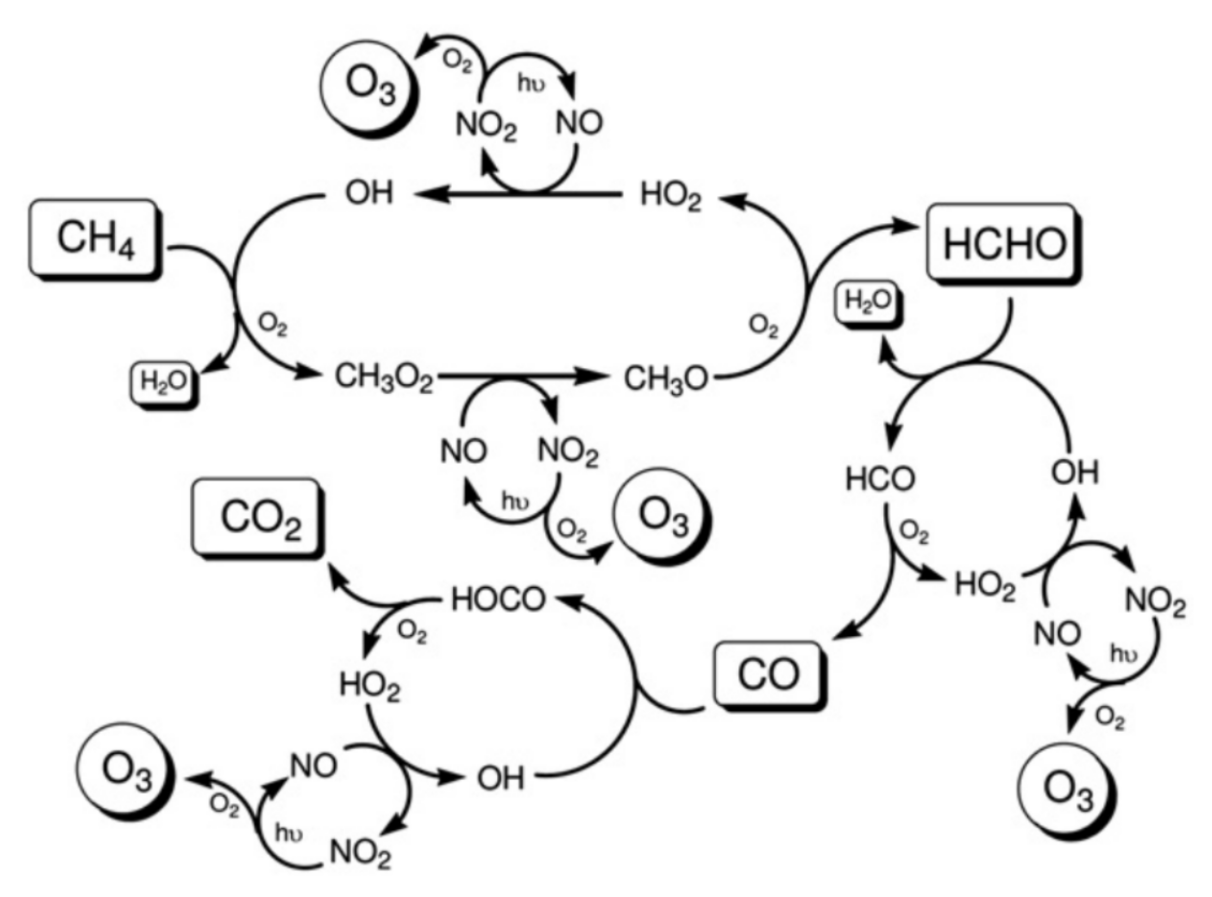
6.1. Gas-Phase Photochemistry
6.1.1. Low-NOx Regime
6.1.2. NOx-Limited Regime
6.1.3. NOx-Saturated Regime
6.2. Heterogeneous Chemistry
6.3. Aerosol and Contrail Microphysics
6.3.1. The Microphysical Formation of Aerosols and Contrails
- The condensation of two distinct gas phase molecules to form a liquid phase droplet through what is known as binary homogeneous nucleation. This is the case for reactive sulphur emissions that get chemically oxidised into sulphuric acid (H2SO4), which then condenses with water vapour to form H2SO4 / H2O droplets [153].
- The gas-to-particle conversion occurring on the surface of foreign particles is known as binary heterogeneous nucleation, often leading to a liquid coating that forms on the particle. For example, H2SO4 / H2O droplets can form a partial liquid coating around chemically activated soot in the aircraft exhaust plume through heterogeneous nucleation, leading to soot aerosol formation; a process that plays an important role in the formation of contrails [154].
6.3.2. Contrail Microphysical Properties
6.4. The Saturation of Aircraft Emissions in High-Density Airspace Regions
6.4.1. NOx-Saturated Conditions
6.4.2. Dehydration Effects Due to Contrail Formation
6.5. Parametrisation of Plume-Scale Effects into Global Models
6.5.1. Parametrisation of Gas-Phase Chemical Conversions
6.5.2. Parametrisation of Heterogeneous Chemistry and Microphysics
7. Aviation Climate Impact Mitigation
7.1. Conventional CO2-Centric Mitigation Approach
7.2. Alternative Non-CO2-Focused Mitigation Approach
7.2.1. Climate-Optimal Aircraft Routing
- The accuracy and robustness in determining eco-efficient flight trajectories must be improved, and this must be possible near real time.
- Consensus must be achieved on determining the extent to which cooling effects should be exploited (e.g., intentionally flying a route that generates a cooling contrail could be seen as unnecessary intervention in nature).
- The implications of fleet-wide climate-optimal routing on the air traffic management system must be assessed rigorously, to ensure safety, order and efficiency is maintained.
- A non-CO2 market-based measure or policy pathway must be adopted to incentivise this transition towards a climate-optimised air traffic network.
7.2.2. Formation Flight
8. Conclusions
Author Contributions
Funding
Acknowledgments
Conflicts of Interest
Correction Statement
Abbreviations
| PM | Particulate matter |
| ID | Instantaneous dispersion |
| EI | Emission index |
| SLS | Sea level static |
| HC | Unburnt hydrocarbons |
| VOC | Volatile organic compound |
| BADA | Base of Aircraft DAta |
| AEDT | Aviation Environment Design Tool |
| ICAO | International Civil Aviation Organisation |
| LTO | Landing and take-off cycle |
| ISA | International Standard Atmosphere |
| BFFM2 | Boeing fuel flow method 2 |
| FAR | Fuel-air ratio |
| NMHC | Non-methane hydrocarbons |
| SP | Single Plume |
| MP | Multi-layered Plume |
| APCEMM | Aircraft Plume Chemistry, Emissions, and Microphysics Model |
| LES | Large eddy simulation |
| ATM | Air traffic management |
| ATC | Air traffic control |
| NAFC | North Atlantic flight corridor |
| UTC | Universal Time Coordinated |
| POLINAT | Pollution from Aircraft Emissions in the North Atlantic Flight Corridor |
| SONEX | Subsonic Assessment Ozone and Nitrogen Oxide Experiment |
| CCN | Cloud condensation nuclei |
| SW | Short-wave |
| LW | Long-wave |
| RF | Radiative forcing |
| ERF | Effective radiative forcing |
| UTLS | Upper Troposphere and Lower Stratosphere |
| RH | Relative humidity |
| ISSR | Ice-supersaturated region |
| SWV | Stratospheric water vapour |
| GWP | Global Warming Potential |
| GTP | Global Temperature Potential |
| GCM | General circulation model |
| CTM | Chemistry-transport model |
| ECHAM | European Centre for HAmburg Model |
| CAM5 | Community Atmosphere Model 5 |
| CRI | Common Representative Intermediates |
| US EPA | United States Environmental Protection Agency |
| SZA | Solar zenith angle |
| EEI | Effective emission index |
| ECF | Effective conversion factor |
| ERR | Effective reaction rate |
| CCMod | Contrail cirrus module |
| IATA | International Air Transport Association |
| SAF | Sustainable aviation fuel |
| CORSIA | Carbon Offsetting and Reduction Scheme for International Aviation |
| aCCF | Algorithmic climate change function |
| MUAC | Maastricht Upper Area Control |
| EU ETS | European Union emissions trading scheme |
| FAA | Federal Aviation Administration |
| NASA | National Aeronautics and Space Administration |
| NCAR | National Centre for Atmospheric research |
| AIAA | American Institute for Aeronautics and Astronautics |
| IEEE | Institute of Electrical and Electronic Engineers |
References
- Lee, D.; Fahey, D.; Skowron, A.; Allen, M.; Burkhardt, U.; Chen, Q.; Doherty, S.; Freeman, S.; Forster, P.; Fuglestvedt, J.; et al. The contribution of global aviation to anthropogenic climate forcing for 2000 to 2018. Atmos. Environ. 2021, 244, 117834. [Google Scholar] [CrossRef] [PubMed]
- Kraabøl, A.G.; Konopka, P.; Stordal, F.; Schlager, H. Modelling chemistry in aircraft plumes 1: Comparison with observations and evaluation of a layered approach. Atmos. Environ. 2000, 34, 3939–3950. [Google Scholar] [CrossRef][Green Version]
- U.S. Environmental Protection Agency. Workbook for Plume Visual Impact Screening and Analysis (Revised); Technical Report; Office of Air Quality Standards, United States Environmental Protection Agency (EPA): Triangle Park, NC, USA, 1992.
- Paoli, R.; Cariolle, D.; Sausen, R. Review of effective emissions modeling and computation. Geosci. Model Dev. 2011, 4, 643–667. [Google Scholar] [CrossRef]
- Jaeglé, L.; Jacob, D.J.; Brune, W.H.; Faloona, I.C.; Tan, D.; Kondo, Y.; Sachse, G.W.; Anderson, B.; Gregory, G.L.; Vay, S.; et al. Ozone production in the upper troposphere and the influence of aircraft during SONEX: Approach of NOx-saturated conditions. Geophys. Res. Lett. 1999, 26, 3081–3084. [Google Scholar] [CrossRef]
- Schumann, U.; Penner, J.E.; Chen, Y.; Zhou, C.; Graf, K. Dehydration effects from contrails in a coupled contrail–climate model. Atmos. Chem. Phys 2015, 15, 11179–11199. [Google Scholar] [CrossRef]
- Niklaß, M.; Lührs, B.; Grewe, V.; Dahlmann, K.; Luchkova, T.; Linke, F.; Gollnick, V. Potential to reduce the climate impact of aviation by climate restricted airspaces. Transp. Policy 2019, 83, 102–110. [Google Scholar] [CrossRef]
- Bangash, Z.A.; Sanchez, R.P.; Ahmed, A.; Khan, M.J. Aerodynamics of formation flight. J. Aircr. 2004, 43, 907–912. [Google Scholar] [CrossRef]
- Kent, T.E.; Richards, A.G. Potential of Formation Flight for Commercial Aviation: Three Case Studies. J. Aircr. 2020, 58, 320–333. [Google Scholar] [CrossRef]
- Dahlmann, K.; Matthes, S.; Yamashita, H.; Unterstrasser, S.; Grewe, V.; Marks, T. Assessing the climate impact of formation flights. Aerospace 2020, 7, 172. [Google Scholar] [CrossRef]
- Gössling, S.; Humpe, A. The global scale, distribution and growth of aviation: Implications for climate change. Glob. Environ. Change 2020, 65, 102194. [Google Scholar] [CrossRef]
- Hemighaus, G.; Boval, T.; Bacha, J.; Barnes, F.; Franklin, M.; Gibbs, L.; Hogue, N.; Jones, J.; Lesnini, D.; Lind, J.; et al. Aviation Fuels Technical Review; Technical Report; Chevron USA: San Ramon, CA, USA, 2007. [Google Scholar]
- Holladay, J.; Abdullah, Z.; Heyne, J. Sustainable Aviation Fuel: Review of Technical Pathways; Technical Report; U.S. Department of Energy: Washington, DC, USA, 2020.
- Penner, J.; Lister, D.; Griggs, D.; Dokken, D.; McFarland, M. Aviation and the Global Atmosphere; Cambridge University Press: Cambridge, UK, 1999; Chapter 2. [Google Scholar]
- Celikel, A.; Jelinek, F. Forecasting Civil Aviation Fuel Burn and Emissions in Europe; Technical Report; EUROCONTROL Experimental Centre: Brétigny-sur-Orge, France, 2001. [Google Scholar]
- Brasseur, G.; Cox, R.; Hauglustaine, D.; Isaksen, I.; Lelieveld, J.; Lister, D.; Sausen, R.; Schumann, U.; Wahner, A.; Wiesen, P. European scientific assessment of the atmospheric effects of aircraft emissions. Atmos. Environ. 1998, 32, 2329–2418. [Google Scholar] [CrossRef]
- Deidewig, F.; Dopelheuer, A.; Lecht, M. Methods to Assess Aircraft Engine Emissions in Flight; International Council on Aeronautical Sciences: Sorrento, Italy, 1996; pp. 131–141. [Google Scholar]
- Döpelheuer, A. Aircraft emission parameter modelling. Air Space Eur. 2000, 2, 34–37. [Google Scholar] [CrossRef]
- Dopelheuer, A.; Lecht, M. Influence of Engine Performance on Emission Characteristics; The Research and Technology Organization (RTO) of NATO: Lisbon, Portugal, 1998; pp. 20-1–20-11. [Google Scholar]
- Gettelman, A.; Chen, C. The climate impact of aviation aerosols. Geophys. Res. Lett. 2013, 40, 2785–2789. [Google Scholar] [CrossRef]
- Aircraft fuels and their effect upon engine emissions. Air Space Eur. 2001, 3, 101–103. [CrossRef]
- Bockhorn, H. Soot Formation in Combustion; Springer: Berlin, Germany, 1994. [Google Scholar]
- Wayson, R.L.; Fleming, G.G.; Iovinelli, R. Methodology to Estimate Particulate Matter Emissions from Certified Commercial Aircraft Engines Methodology to Estimate Particulate Matter Emissions from Certified Commercial Aircraft Engines. J. Air Waste Manag. Assoc. 2012, 59, 91–100. [Google Scholar] [CrossRef]
- Schumann, U.; Arnold, F.; Busen, R.; Curtius, J.; Ka, B.; Kiendler, A.; Petzold, A.; Wohlfrom, K. Influence of fuel sulfur on the composition of aircraft exhaust plumes: The experiments SULFUR 1–7. J. Geophys. Res. 2002, 107, 2-1–2-27. [Google Scholar] [CrossRef]
- Masiol, M.; Harrison, R.M. Aircraft engine exhaust emissions and other airport-related contributions to ambient air pollution: A review Aircraft Particle Emissions eXperiment. Atmos. Environ. 2014, 95, 409–455. [Google Scholar] [CrossRef]
- Nuic, A.; Poles, D.; Mouillet, V. BADA: An advanced aircraft performance model for present and future ATM systems. Int. J. Adapt. Control Signal Process. 2010, 24, 850–866. [Google Scholar] [CrossRef]
- Lissys Ltd. Piano-X Aircraft Emissions and Performance User’s Guide; Technical Report; Lissys Ltd.: Loughborough, UK, 2008. [Google Scholar]
- Lee, C.; Thrasher, T.; Hwang, S.; Shumway, M.; Zubrow, A.; Hansen, A.; Koopmann, J.; Solman, G. Aviation Environment Design Tool (AEDT) 2a: Technical Manual, Version 3c; Technical Report; U.S. Department of Transportation: Cambridge, MA, USA, 2020.
- Sun, J.; Hoekstra, J.M.; Ellerbroek, J. OpenAP: An Open-Source Aircraft Performance Model for Air Transportation Studies and Simulations. Aerospace 2020, 7, 104. [Google Scholar] [CrossRef]
- ICAO Committee on Aviation Environmental Protection (CAEP). ICAO Aircraft Engine Emissions Databank; Technical Report; ICAO Committee on Aviation Environmental Protection (CAEP): Montreal, QC, Canada, 2021. [Google Scholar]
- ICAO. Annex 16 to the Convention on International Civil Aviation–Volume I–Aircraft Noise; Technical Report 5; ICAO: Montreal, QC, Canada, 2008. [Google Scholar]
- SAE Aerospace. Procedure for the Calculation of Aircraft Emissions; Technical Report; SAE Aerospace: Reading, UK, 2009. [Google Scholar]
- Brink, L. Modeling the Impact of Fuel Composition on Aircraft Engine NOx, CO and Soot Emissions. Master’s Thesis, Massachusetts Institute of Technology, Cambridge, MA, USA, 2020. [Google Scholar]
- DuBois, D.; Paynter, G.C. Fuel Flow Method 2 for Estimating Aircraft Emissions; Technical Report SAE Technical Paper Series 2006-01-1987; Society of Automotive Engineers: Washington, DC, USA, 2006. [Google Scholar] [CrossRef]
- Wasiuk, D.K. Modelling Aircraft Emissions and Their Impact on Atmospheric Composition and Ozone. Ph.D. Thesis, University of Bristol, Bristol, UK, 2014. [Google Scholar]
- Wasiuk, D.K.; Khan, A.H.; Shallcross, D.E.; Lowenberg, M.H. A Commercial Aircraft Fuel Burn and Emissions Inventory for 2005–2011. Atmosphere 2016, 7, 78. [Google Scholar] [CrossRef]
- Jacobson, M.Z. Fundamentals of Atmospheric Modeling, 2nd ed.; Cambridge University Press: Cambridge, UK, 2005. [Google Scholar]
- Petry, H.; Hendricks, J.; Möllhoff, M.; Lippert, E.; Meier, A.; Ebel, A.; Sausen, R. Chemical conversion of subsonic aircraft emissions in the dispersing plume: Calculation of effective emission indices. J. Geophys. Res. Atmos. 1998, 103, 5759–5772. [Google Scholar] [CrossRef]
- Cariolle, D.; Caro, D.; Paoli, R.; Hauglustaine, D.A.; Cuénot, B.; Cozic, A.; Paugam, R. Parameterization of plume chemistry into large-scale atmospheric models: Application to aircraft NOx emissions. J. Geophys. Res. Atmos. 2009, 114, D19302. [Google Scholar] [CrossRef]
- Danilin, M.Y.; Ebel, A.; Elbern, H.; Petry, H. Evolution of the concentrations of trace species in an aircraft plume: Trajectory study. J. Geophys. Res. 1994, 99, 18951–18972. [Google Scholar] [CrossRef]
- Paoli, R.; Shariff, K. Contrail Modeling and Simulation. Annu. Rev. Fluid Mech. 2016, 48, 393–427. [Google Scholar] [CrossRef]
- Gerz, T.; Dürbeck, T.; Konopka, P. Transport and effective diffusion of aircraft emissions. J. Geophys. Res. Atmos. 1998, 103, 25905–25913. [Google Scholar] [CrossRef]
- Crow, S.C. Stability Theory for a Pair of Trailing Vortices. AIAA J. 1970, 8, 2172–2179. [Google Scholar] [CrossRef]
- Unterstrasser, S.; Paoli, R.; Sölch, I.; Kühnlein, C.; Gerz, T. Dimension of aircraft exhaust plumes at cruise conditions: Effect of wake vortices. Atmos. Chem. Phys. 2014, 14, 2713–2733. [Google Scholar] [CrossRef]
- Schumann, U.; Konopka, P.; Baumann, R.; Busen, R.; Gerz, T.; Schlager, H.; Schulte, P.; Volkert, H. Estimate of diffusion parameters of aircraft exhaust plumes near the tropopause from nitric oxide and turbulence measurements. J. Geophys. Res. 1995, 100, 14147–14162. [Google Scholar] [CrossRef]
- Schumann, U.; Schlager, H.; Arnold, F.; Baumann, R.; Haschberger, P.; Klemm, O. Dilution of aircraft exhaust plumes at cruise altitudes. Atmos. Environ. 1998, 32, 3097–3103. [Google Scholar] [CrossRef]
- Konopka, P. Analytical Gaussian Solutions for Anisotropic Diffusion in a Linear Shear Flow. J. Non-Equil. Thermody. 1995, 20, 78–91. [Google Scholar] [CrossRef]
- Vohralik, P.F.; Randeniya, L.K.; Plumb, I.C.; Baughcum, S.L. Effect of plume processes on aircraft impact. J. Geophys. Res. Atmos. 2008, 113, D05312. [Google Scholar] [CrossRef]
- Dürbeck, T.; Gerz, T. Large-eddy simulation of aircraft exhaust plumes in the free atmosphere: Effective diffusivities and cross-sections. Geophys. Res. Lett. 1995, 22, 3203–3206. [Google Scholar] [CrossRef]
- Fritz, T.M.; Eastham, S.D.; Speth, R.L.; Barrett, S.R. The role of plume-scale processes in long-term impacts of aircraft emissions. Atmos. Chem. Phys. 2020, 20, 5697–5727. [Google Scholar] [CrossRef]
- Meijer, E. Modelling the Impact of Subsonic Aviation on the Composition of the Atmosphere. Ph.D. Thesis, Technische Universiteit Eindhoven, Eindhoven, The Netherlands, 2001. [Google Scholar] [CrossRef]
- Melo, O.T.; Lusis, M.A.; Stevens, R.D.S. Mathematical modelling of dispersion and chemical reactions in a plume—Oxidation of NO to NO2 in the plume of a power plant. Atmos. Environ. 1978, 12, 1231–1234. [Google Scholar] [CrossRef]
- Dürbeck, T.; Gerz, T. Dispersion of aircraft exhausts in the free atmosphere. J. Geophys. Res. Atmos. 1996, 101, 26007–26015. [Google Scholar] [CrossRef]
- Schlager, H.; Konopka, P.; Schulte, P.; Schumann, U.; Ziereis, H.; Arnold, F.; Klemm, M.; Hagen, D.E.; Whitefield, P.D.; Ovarlez, J. In situ observations of air traffic emission signatures in the North Atlantic flight corridor. J. Geophys. Res. 1997, 102, 10739–10750. [Google Scholar] [CrossRef]
- Fritz, T.M. Micro-Physical Modeling of Aircraft Exhaust Plumes and Condensation Trails. Master’s Thesis, Massachusetts Institute of Technology, Cambridge, MA, USA, 2018. [Google Scholar]
- Fritz, T.M. (Massachusetts Institute of Technology, Cambridge, MA, USA). Personal Communication, 2022.
- Lewellen, D.C.; Lewellen, W.S.; Poole, L.R.; DeCoursey, R.J.; Hansen, G.M.; Hostetler, C.A.; Kent, G.S. Large-eddy simulations and lidar measurements of vortex-pair breakup in aircraft wakes. AIAA J. 1998, 36, 1439–1445. [Google Scholar] [CrossRef]
- Paoli, R. Large-eddy simulation of a turbulent jet and a vortex sheet interaction: Particle formation and evolution in the near field of an aircraft wake. Meteorol. Z. 2008, 17, 131–144. [Google Scholar] [CrossRef]
- Secretariat General. Annex 11 to the Convention on International Civil Aviation–Air Traffic Services, 15th ed.; ICAO: Montreal, QC, Canada, 2018. [Google Scholar]
- Zhang, W.; Kamgarpour, M.; Sun, D.; Tomlin, C.J. A hierarchical flight planning framework for air traffic management. Proc. IEEE 2012, 100, 179–194. [Google Scholar] [CrossRef]
- Baumgartner, M.; Cook, A.; Dennis, N.; Houtte, B.V.; Majumdar, A.; Pilon, N.; Tanner, G.; Williams, V. European Air Traffic Management: Principles, Practice and Research; Routledge: Abingdon, UK, 2007. [Google Scholar]
- Mitchell, J.S.; Polishchuk, V.; Krozel, J. Airspace throughput Analysis Considering Stochastic Weather. J. Air Transp. 2006, 8, 5070–5088. [Google Scholar] [CrossRef]
- Krozel, J.; Mitchell, J.S.; Polishchuk, V.; Prete, J. Capacity Estimation for Airspaces with Convective Weather Constraints; AIAA, Inc.: Hilton Head, SC, USA, 2007; Volume 2, pp. 1518–1532. [Google Scholar] [CrossRef]
- FAA. FAQ: Weather Delay. 2021. Available online: https://www.faa.gov/nextgen/programs/weather/faq/#faq1 (accessed on 9 August 2021).
- ICAO. Doc 4444—Air Traffic Management—Procedures for Air Navigation Services; Technical Report; ICAO: Montreal, QC, Canada, 2016. [Google Scholar]
- Odoni, A.R. The Flow Management Problem in Air Traffic Control. In Flow Control of Congested Networks; Springer: Capri, Italy, 1987; pp. 269–288. [Google Scholar]
- Bilimoria, K.D.; Sridhar, B.; Chatterji, G.B. Effects of Conflict Resolution Maneuvers and Traffic Density on Free Flight; AIAA, Inc.: San Diego, CA, USA, 1996. [Google Scholar]
- FAA. En route operations. In Instrument Procedures Handbook; FAA: Washington, DC, USA, 2017; Chapter 2. Available online: https://www.faa.gov/regulations_policies/handbooks_manuals/aviation/instrument_procedures_handbook/ (accessed on 3 January 2022).
- Soler, M.; Olivares, A.; Staffetti, E. Multiphase optimal control framework for commercial aircraft four-dimensional flight-planning problems. J. Aircr. 2015, 52, 274–286. [Google Scholar] [CrossRef]
- Altus, S. Effective Flight Plans Can Help Airlines Economize. Aero Quarterly—Boeing. pp. 27–30. Available online: https://www.boeing.com/commercial/aeromagazine/articles/qtr_03_09/pdfs/AERO_Q309_article08.pdf (accessed on 15 March 2022).
- Murrieta-Mendoza, A.; Botez, R. Lateral Navigation Optimization Considering Winds and Temperatures for Fixed Altitude Cruise Using Dijsktra’s Algorithm; American Society of Mechanical Engineers: Montreal, QC, Canada, 2014. [Google Scholar] [CrossRef]
- Ng, H.K.; Sridhar, B.; Grabbe, S. A Practical Approach for Optimizing Aircraft Trajectories in Winds; IEEE: Picataway, NJ, USA, 2012; pp. 3D6-1–3D6-14. [Google Scholar]
- Majumdar, A.; Ochieng, W.Y.; McAuley, G.; Lenzi, J.M.; Lepadatu, C. The factors affecting airspace capacity in Europe: A cross-sectional time-series analysis using simulated controller workload data. J. Navig. 2004, 57, 385–405. [Google Scholar] [CrossRef]
- Welch, J.D.; Andrews, J.W.; Martin, B.D.; Sridhar, B. Macroscopic Workload Model for Estimating en Route Sector Capacity; The European Organisation for Safety of Air Navigation (EUROCONTROL): Barcelona, Spain, 2007; pp. 94–103. [Google Scholar]
- Andrews, J.W.; Welch, J.D. Workload Implications of Free Flight Concepts. In Proceedings of the 1st USA/EUROCONTROL ATM Seminar; EUROCONTROL: Saclay, France, 1997. [Google Scholar]
- Gardi, A.; Sabatini, R.; Ramasamy, S. Multi-objective optimisation of aircraft flight trajectories in the ATM and avionics context. Prog. Aerosp. Sci. 2016, 83, 1–36. [Google Scholar] [CrossRef]
- Olsen, S.C.; Wuebbles, D.J.; Owen, B. Comparison of global 3-D aviation emissions datasets. Atmos. Chem. Phys 2013, 13, 429–441. [Google Scholar] [CrossRef]
- Houghton, J.; Ding, Y.; Griggs, D.; Noguer, M.; van der Linden, P.; Dai, X.; Maskell, M.; Johnson, C. Chapter 1: The Climate System: An Overview. In Climate Change 2001: The Scientific Basis; Cambridge University Press: Cambridge, UK, 2001; pp. 87–98. [Google Scholar]
- Inness, A.; Baier, F.; Benedetti, A.; Bouarar, I.; Chabrillat, S.; Clark, H.; Clerbaux, C.; Coheur, P.; Engelen, R.J.; Errera, Q.; et al. The MACC reanalysis: An 8 yr data set of atmospheric composition. Atmos. Chem. Phys. 2013, 13, 4073–4109. [Google Scholar] [CrossRef]
- Emmons, L.K.; Hauglustaine, D.A.; Müller, J.F.; Carroll, M.A.; Brasseur, G.P.; Brunner, D.; Staehelin, J.; Thouret, V.; Marenco, A. Data composites of airborne observations of tropospheric ozone and its precursors. J. Geophys. Res. Atmos. 2000, 105, 20497–20538. [Google Scholar] [CrossRef]
- Schanz, A.; Hocke, K.; Kämpfer, N.; Chabrillat, S.; Inness, A.; Palm, M.; Notholt, J.; Boyd, I.; Parrish, A.; Kasai, Y. The Diurnal Variation in Stratospheric Ozone from MACC Reanalysis, ERA-Interim, WACCM, and Earth Observation Data: Characteristics and Intercomparison. Atmosphere 2021, 12, 625. [Google Scholar] [CrossRef]
- North Atlantic Tracks—Flight Plan Database. Available online: https://flightplandatabase.com/nav/NATS (accessed on 20 September 2021).
- Kärcher, B.; Meilinger, S.K. Perturbation of the aerosol layer by aviation-produced aerosols: A parametrization of plume processes. Geophys. Res. Lett. 1998, 25, 4465–4468. [Google Scholar] [CrossRef]
- Brunton, J. North Atlantic Skies—The Gateway to Europe. 2014. Available online: https://nats.aero/blog/2014/06/north-atlantic-skies-gateway-europe/ (accessed on 12 December 2021).
- Air Transport, Passengers Carried. Available online: https://data.worldbank.org/indicator/IS.AIR.PSGR (accessed on 2 December 2021).
- Schumann, U.; Schlager, H.; Arnold, F.; Ovarlez, J.; Kelder, H.; Hov, Ø.; Hayman, G.; Isaksen, I.S.; Staehelin, J.; Whitefield, P.D. Pollution from aircraft emissions in the North Atlantic flight corridor: Overview on the POLINAT projects. J. Geophys. Res. Atmos. 2000, 105, 3605–3631. [Google Scholar] [CrossRef]
- Thompson, A.M.; Singh, H.B.; Schlager, H. Introduction to special section: Subsonic assessment ozone and nitrogen oxide experiment (SONEX) and Pollution from aircraft emissions in the north atlantic flight corridor (POLINAT 2). J. Geophys. Res. Atmos. 2000, 105, 3595–3603. [Google Scholar] [CrossRef]
- Intergovernmental Panel on Climate Change. Anthropogenic and natural radiative forcing. In Climate Change 2013—The Physical Science Basis: Working Group I Contribution to the Fifth Assessment Report of the Intergovernmental Panel on Climate Change; Cambridge University Press: Cambridge, UK, 2014; pp. 659–740. [Google Scholar] [CrossRef]
- Gettelman, A.; Pan, L.L.; Randel, W.J.; Hoor, P.; Birner, T.; Hegglin, M.I. the Extratropical Upper Troposphere and Lower Stratosphere. Rev. Geophys. 2011, 49, 1–31. [Google Scholar] [CrossRef]
- Hoinka, K.P.; Reinhardt, M.E. North Atlantic Air Traffic Within the Lower Stratosphere: Cruising Times and Corresponding Emissions. J. Geophys. Res. 1993, 98, 23113–23131. [Google Scholar] [CrossRef]
- Schumann, U. The impact of nitrogen oxides emissions from aircraft upon the atmosphere at flight altitudes - Results from the aeronox project. Atmos. Environ. 1997, 31, 1723–1733. [Google Scholar] [CrossRef]
- Johnson, C.; Henshaw, J.; Mclnnest, G. Impact of aircraft and surface emissions of nitrogen oxides on tropospheric ozone and global warming. Nature 1992, 355, 69–71. [Google Scholar] [CrossRef]
- Lee, D.; Pitari, G.; Grewe, V.; Gierens, K.; Penner, J.; Petzold, A.; Prather, M.; Schumann, U.; Bais, A.; Berntsen, T. Transport impacts on atmosphere and climate: Aviation. Atmos. Environ. 2010, 44, 4678–4734. [Google Scholar] [CrossRef] [PubMed]
- Grewe, V.; Dameris, M.; Fichter, C.; Sausen, R. Impact of aircraft NOx emissions. Part 1: Interactively coupled climate-chemistry simulations and sensitivities to climate-chemistry feedback, lightning and model resolution. Meteorol. Z. 2002, 11, 177–186. [Google Scholar] [CrossRef]
- Forster, C. The residence times of aircraft emissions in the stratosphere using a mean emission inventory and emissions along actual flight tracks. J. Geophys. Res. 2003, 108, 8524. [Google Scholar] [CrossRef]
- Fuglestvedt, J.S.; Berntsen, T.K.; Godal, O.; Sausen, R.; Shine, K.P.; Skodvin, T. Metrics of climate change: Assessing radiative forcing and emission indices. Clim. Chang. 2003, 58, 267–331. [Google Scholar] [CrossRef]
- Schneider, S.H. The Greenhouse Effect: Science and Policy. Science 1989, 243, 771–781. [Google Scholar] [CrossRef]
- Archer, D.; Brovkin, V. The millennial atmospheric lifetime of anthropogenic CO2. Clim. Chang. 2008, 90, 283–297. [Google Scholar] [CrossRef]
- Schumann, U. Formation, properties and climatic effects of contrails. C. R. Phys. 2005, 6, 549–565. [Google Scholar] [CrossRef]
- Kärcher, B. Formation and radiative forcing of contrail cirrus. Nat. Commun. 2018, 9, 1824. [Google Scholar] [CrossRef] [PubMed]
- Minnis, P.; Young, D.F.; Garber, D.P.; Nguyen, L.; Smith, W.L.; Palikonda, R. Transformation of contrails into cirrus during SUCCESS. Geophys. Res. Lett. 1998, 25, 1157–1160. [Google Scholar] [CrossRef]
- Spichtinger, P.; Leschner, M. Horizontal scales of ice-supersaturated regions. Tellus B Chem. Phys. Meteorol. 2016, 68, 29020. [Google Scholar] [CrossRef]
- Dickson, N.C.; Gierens, K.; Rogers, H.L.; Jones, R.L. Vertical spatial scales of ice supersaturation and probability of ice supersaturated layers in low resolution profiles of relative humidity. In Proceedings of the International Conference on Transport, Atmosphere and Climate (TAC-2), Aachen, Germany and Maastricht, The Netherlands, 22–25 June 2009; Volume 10, pp. 239–243. [Google Scholar]
- Schumann, U.; Graf, K.; Mannstein, H. Potential to Reduce the Climate Impact of Aviation by Flight Level Changes; AIAA, Inc.: Honolulu, HI, USA, 2011; pp. 1–22. [Google Scholar] [CrossRef]
- Burkhardt, U.; Kärcher, B. Global radiative forcing from contrail cirrus. Nat. Clim. Chang. 2011, 1, 54–58. [Google Scholar] [CrossRef]
- Schumann, U.; Heymsfield, A.J. On the Life Cycle of Individual Contrails and Contrail Cirrus. Meteorol. Monogr. 2017, 58, 3.1–3.24. [Google Scholar] [CrossRef]
- Newinger, C.; Burkhardt, U. Sensitivity of contrail cirrus radiative forcing to air traffic scheduling. J. Geophys. Res. Atmos. 2012, 117, 10205. [Google Scholar] [CrossRef]
- Schmidt, E. Die Entstehung von Eisnebel aus den Auspuffgasen von Flugmotoren. Schriften Der Dtsch. Akad. Der Luftfahrtforsch. 1941, 5, 1–15. [Google Scholar]
- Appleman, H. The Formation of Exhaust Condensation Trails by Jet Aircraft. Bull. Am. Meteorol. Soc. 1953, 34, 14–20. [Google Scholar] [CrossRef]
- Schumann, U. Contrails—A prototype of cirrus cloud studies since 80 years. Meteorol. Z. 1997, 6, 304–305. [Google Scholar] [CrossRef]
- Kärcher, B.; Burkhardt, U.; Bier, A.; Bock, L.; Ford, I.J. The microphysical pathway to contrail formation. J. Geophys. Res. Atmos. 2015, 120, 893. [Google Scholar] [CrossRef]
- Kraabøl, A.G.; Stordal, F. Modelling chemistry in aircraft plumes 2: The chemical conversion of NOx to reservoir species under different conditions. Atmos. Environ. 2000, 34, 3951–3962. [Google Scholar] [CrossRef]
- Stevenson, D.S.; Doherty, R.M.; Sanderson, M.G.; Collins, W.J.; Johnson, C.E.; Derwent, R.G. Radiative forcing from aircraft NOx emissions: Mechanisms and seasonal dependence. J. Geophys. Res. D Atmos. 2004, 109, D17307. [Google Scholar] [CrossRef]
- Wild, O.; Prather, M.J.; Akimoto, H. Indirect from long-term global radiative emissions cooling. Geophys. Res. Lett. 2001, 28, 1719–1722. [Google Scholar] [CrossRef]
- Myhre, G.; Shine, K.; Rädel, G.; Gauss, M.; Isaksen, I.; Tang, Q.; Prather, M.; Williams, J.; van Velthoven, P.; Dessens, O.; et al. Radiative forcing due to changes in ozone and methane caused by the transport sector. Atmos. Environ. 2011, 45, 387–394. [Google Scholar] [CrossRef]
- Holmes, C.D.; Tang, Q.; Prather, M.J. Uncertainties in climate assessment for the case of aviation NO. Proc. Natl. Acad. Sci. USA 2011, 108, 10997–11002. [Google Scholar] [CrossRef]
- Myhre, G.; Nilsen, J.S.; Gulstad, L.; Shine, K.P.; Rognerud, B.; Isaksen, I.S. Radiative forcing due to stratospheric water vapour from CH4 oxidation. Geophys. Res. Lett. 2007, 34, 1–5. [Google Scholar] [CrossRef]
- Jensen, E.J.; Toon, O.B.; Pfister, L.; Selkirk, H.B. Dehydration of the upper troposphere and lower stratosphere by subvisible cirrus clouds near the tropical tropopause. Geophys. Res. Lett. 1996, 23, 825–828. [Google Scholar] [CrossRef]
- Stenke, A.; Grewe, V. Simulation of stratospheric water vapor trends: Impact on stratospheric ozone chemistry. Atmos. Chem. Phys. 2005, 5, 1257–1272. [Google Scholar] [CrossRef]
- Miake-Lye, R.C.; Martinez-Sanchez, M.; Brown, R.C.; Kolb, C.E. Plume and wake dynamics, mixing, and chemistry behind a high speed civil transport aircraft. J. Aircr. 1993, 30, 467–479. [Google Scholar] [CrossRef]
- Grooß, J.u.; Brühl, C.; Peter, T. Impact of aircraft emissions on tropospheric and stratospheric ozone. Part I. Atmos. Environ. 1998, 32, 3173–3184. [Google Scholar] [CrossRef]
- Kawa, S.R.; Anderson, J.G.; Baughcum, S.L.; Brock, C.A.; Brune, W.H.; Cohen, R.C.; Kinnison, D.E.; Newman, P.A.; Rodriguez, J.M.; Stolarski, R.S.; et al. Assessment of the Effects of High-Speed Aircraft in the Stratosphere: 1998; Technical Report; NASA, Goddard Space Flight Center: Greenbelt, MD, USA, 1999.
- Gauss, M.; Isaken, I.S.; Wong, S.; Wang, W.C. Impact of H2O emissions from cryoplanes and kerosene aircraft on the atmosphere. J. Geophys. Res. Atmos. 2003, 108, 21239. [Google Scholar] [CrossRef]
- Bond, T.C.; Doherty, S.J.; Fahey, D.W.; Forster, P.M.; Berntsen, T.; DeAngelo, B.J.; Flanner, M.G.; Ghan, S.; Kärcher, B.; Koch, D.; et al. Bounding the role of black carbon in the climate system: A scientific assessment. J. Geophys. Res. Atmos. 2013, 118, 5380–5552. [Google Scholar] [CrossRef]
- Brown, R.C.; Anderson, M.R.; Miake-Lye, R.C.; Kolb, C.E.; Sorokin, A.A.; Buriko, Y.Y. Aircraft exhaust sulfur emissions. Geophys. Res. Lett. 1996, 23, 3603–3606. [Google Scholar] [CrossRef]
- Penner, J.E.; Zhou, C.; Garnier, A.; Mitchell, D.L. Anthropogenic Aerosol Indirect Effects in Cirrus Clouds. J. Geophys. Res. Atmos. 2018, 123, 11652–11677. [Google Scholar] [CrossRef]
- Randall, D.; Wood, R.; Bony, S.; Colman, R.; Fichefet, T.; Fyfe, J.; Kattsov, V.; Pitman, A.; Srinivasan, J.; Ronald, S.; et al. Climate Models and Their Evaluation; Cambridge University Press: Cambridge, UK, 2007; pp. 590–662. [Google Scholar]
- Wilkerson, J.T.; Jacobson, M.Z.; Malwitz, A.; Balasubramanian, S.; Wayson, R.; Fleming, G.; Naiman, A.D.; Lele, S.K. Analysis of emission data from global commercial aviation: 2004 and 2006. Atmos. Chem. Phys. 2010, 10, 6391–6408. [Google Scholar] [CrossRef]
- Fuglestvedt, J.; Shine, K.; Berntsen, T.; Cook, J.; Lee, D.; Stenke, A.; Skeie, R.; Velders, G.; Waitz, I. Transport impacts on atmosphere and climate: Metrics. Atmos. Environ. 2010, 44, 4648–4677. [Google Scholar] [CrossRef]
- Cain, M.; Lynch, J.; Allen, M.R.; Fuglestvedt, J.S.; Frame, D.J.; Macey, A.H. Improved calculation of warming-equivalent emissions for short-lived climate pollutants. NPJ Clim. Atmos. Sci. 2019, 2, 29. [Google Scholar] [CrossRef]
- Stevens, B.; Giorgetta, M.; Esch, M.; Mauritsen, T.; Crueger, T.; Rast, S.; Salzmann, M.; Schmidt, H.; Bader, J.; Block, K.; et al. Atmospheric component of the MPI-M earth system model: ECHAM6. J. Adv. Model. Earth Syst. 2013, 5, 146–172. [Google Scholar] [CrossRef]
- Bock, L.; Burkhardt, U. Contrail cirrus radiative forcing for future air traffic. Atmos. Chem. Phys. 2019, 19, 8163–8174. [Google Scholar] [CrossRef]
- Neale, R.B.; Chen, C.C.; Lauritzen, P.H.; Williamson, D.L.; Conley, A.J.; Smith, A.K.; Mills, M.; Morrison, H. Description of the NCAR Community Atmosphere Model (CAM 5.0); Technical Report; NCAR: Leeds, UK, 2004. [Google Scholar]
- Cooke, M. Global Modelling of Atmospheric Trace Gases Using the CRI Mechanism. Ph.D. Thesis, University of Bristol, Bristol, UK, 2010. [Google Scholar]
- Jenkin, M.; Watson, L.; Utembe, S.; Shallcross, D. A Common Representative Intermediates (CRI) mechanism for VOC degradation. Part 1: Gas phase mechanism development. Atmos. Environ. 2008, 42, 7185–7195. [Google Scholar] [CrossRef]
- Emmons, L.K.; Walters, S.; Hess, P.G.; Lamarque, J.F.; Pfister, G.G.; Fillmore, D.; Granier, C.; Guenther, A.; Kinnison, D.; Laepple, T.; et al. Description and evaluation of the Model for Ozone and Related chemical Tracers, version 4 (MOZART-4). Geosci. Model Dev. 2010, 3, 43–67. [Google Scholar] [CrossRef]
- Freeman, S.J.; Lim, L.L.; Lee, D.S. Examining the Effect of Aviation NOx Emissions as a Short-Lived Climate-Forcer: Assessing the Linearity of the NOx -O3 Chemical System. Ph.D. Thesis, Manchester Metropolitan University, Manchester, UK, 2017. [Google Scholar]
- Roelofs, G.J. Intercomparison of tropospheric ozone models: Ozone transport in a complex tropopause folding event. J. Geophys. Res. 2003, 108, 8529. [Google Scholar] [CrossRef]
- Stone, D.; Whalley, L.K.; Heard, D.E.; Stone, D. Tropospheric OH and HO2 radicals: Field measurements and model comparisons. Chem. Soc. Rev. 2012, 41, 6348–6404. [Google Scholar] [CrossRef] [PubMed]
- Monks, P.S. Gas-phase radical chemistry in the troposphere. Chem. Soc. Rev. 2005, 34, 376. [Google Scholar] [CrossRef]
- Prinn, R.G. The Cleansing Capacity of the Atmosphere. Annu. Rev. Environ. Resour. 2003, 28, 29–57. [Google Scholar] [CrossRef]
- Jenkin, M.E.; Clemitshaw, K.C. Ozone and other secondary photochemical pollutants: Chemical processes governing their formation in the planetary boundary layer. Atmos. Environ. 2000, 34, 2499–2527. [Google Scholar] [CrossRef]
- Dodge, M. Combined use of modeling techniques and smog chamber data to derive ozone-precursor relationship. In Proceedings of the International Conference on Photochemical Oxidant Pollution and Its Control; U.S. Environmental Protection Agency: Research Triangle Park, NC, USA, 1977; Volume 2, pp. 881–889. [Google Scholar]
- Thompson, A.M. The oxidizing capacity of the Earth’s atmosphere: Probable past and future changes. Science 1992, 256, 1157–1165. [Google Scholar] [CrossRef]
- Jacob, D.J. Introduction to Atmospheric Chemistry; Princeton University Press: Princeton, NJ, USA, 1999; Chapter 11 Oxidising Power of the Troposphere. [Google Scholar]
- Gunz, D.W.; Hoffmann, M.R. Atmospheric chemistry of peroxides: A review. Atmos. Environ. A Gen. Top. 1990, 24, 1601–1633. [Google Scholar] [CrossRef]
- Khan, M.A.H.; Miles, B.; Jenkin, M.E.; Derwent, R.G.; Percival, C.J.; Shallcross, D.E. Investigating the Impacts of Nonacyl Peroxy Nitrates on the Global Composition of the Troposphere Using a 3-D Chemical Transport Model, STOCHEM-CRI. ACS Earth Space Chem. 2020, 4, 1201–1212. [Google Scholar] [CrossRef]
- Song, C.H.; Chen, G.; Hanna, S.R.; Crawford, J.; Davis, D.D. Dispersion and chemical evolution of ship plumes in the marine boundary layer: Investigation of O3/NOy/HOx chemistry. J. Geophys. Res. 2003, 108, 4143. [Google Scholar] [CrossRef]
- Kraabøl, A.G.; Berntsen, T.K.; Sundet, J.K.; Stordal, F. Impacts of NOx emissions from subsonic aircraft in a global three-dimensional chemistry transport model including plume processes. J. Geophys. Res. Atmos. 2002, 107, 4655. [Google Scholar] [CrossRef]
- Meijer, E.W.; Van Velthoven, P.F.; Wauben, W.M.; Beck, J.P.; Velders, G.J. The effects of the conversion of nitrogen oxides in aircraft exhaust plumes in global models. Geophys. Res. Lett. 1997, 24, 3013–3016. [Google Scholar] [CrossRef]
- Jacob, D.J. Heterogeneous chemistry and tropospheric ozone. Atmos. Environ. 2000, 34, 2131–2159. [Google Scholar] [CrossRef]
- Meilinger, S.K.; Kärcher, B.; Peter, T. Microphysics and heterogeneous chemistry in aircraft plumes—High sensitivity on local meteorology and atmospheric composition. Atmos. Chem. Phys. 2005, 5, 533–545. [Google Scholar] [CrossRef]
- Perry, K.D.; Hobbs, P.V. Further evidence for particle nucleation in clear air adjacent to marine cumulus clouds. J. Geophys. Res. 1994, 99, 22803–22818. [Google Scholar] [CrossRef]
- Kärcher, B.; Hirschberg, M.M.; Fabian, P. Small-scale chemical evolution of aircraft exhaust species at cruising altitudes. J. Geophys. Res. Atmos. 1996, 101, 15169–15190. [Google Scholar] [CrossRef]
- Kärcher, B.; Peter, T.; Biermann, U.M.; Schumann, U. The initial composition of jet condensation trails. J. Atmos. Sci. 1996, 53, 3066–3083. [Google Scholar] [CrossRef]
- Heymsfield, A.; Baumgardner, D.; DeMott, P.; Forster, P.; Gierens, K.; Kärcher, B. Contrail Microphysics. Bull. Am. Meteorol. Soc. 2010, 91, 465–472. [Google Scholar] [CrossRef]
- Meerkötter, R.; Schumann, U.; Doelling, D.R.; Minnis, P.; Nakajima, T.; Tsushima, Y. Radiative forcing by contrails. Ann. Geophys. 1999, 17, 1080–1094. [Google Scholar] [CrossRef]
- Schumann, U. A contrail cirrus prediction model. Geosci. Model Dev. 2012, 5, 543–580. [Google Scholar] [CrossRef]
- Bickel, M.; Ponater, M.; Bock, L.; Burkhardt, U.; Reineke, S. Estimating the Effective Radiative Forcing of Contrail Cirrus. J. Clim. 2020, 33, 1991–2005. [Google Scholar] [CrossRef]
- Kärcher, B. Aviation-produced aerosols and contrails. Surv. Geophys. 1999, 20, 113–167. [Google Scholar] [CrossRef]
- Schumann, U.; Mayer, B.; Graf, K.; Mannstein, H. A parametric radiative forcing model for contrail cirrus. J. Appl. Meteorol. Climatol. 2012, 51, 1391–1406. [Google Scholar] [CrossRef]
- Wennberg, P.O.; Hanisco, T.F.; Jaeglé, L.; Jacob, D.J.; Hintsa, E.J.; Lanzendorf, E.J.; Anderson, J.G.; Gao, R.S.; Keim, E.R.; Donnelly, S.G.; et al. Hydrogen Radicals, Nitrogen Radicals, and the Production of O3 in the Upper Troposphere. Science 1998, 279, 49–53. [Google Scholar] [CrossRef]
- Jaeglé, L. Chemistry of HOx radicals in the upper troposphere. Atmos. Environ. 2001, 35, 469–489. [Google Scholar] [CrossRef]
- Unterstrasser, S.; Gierens, K. Numerical simulations of contrail-to-cirrus transition—Part 1: An extensive parametric study. Atmos. Chem. Phys. 2010, 10, 2017–2036. [Google Scholar] [CrossRef]
- Unterstrasser, S. The contrail mitigation potential of aircraft formation flight derived from high-resolution simulations. Aerospace 2020, 7, 170. [Google Scholar] [CrossRef]
- Flightradar24 AB. Live Flight Tracker—Real-Time Flight Tracker Map. 2022. Available online: https://www.flightradar24.com/data/statistics (accessed on 24 November 2021).
- Paoli, R. Modeling Emissions from Concentrated Sources into Large-Scale Models: Theory and apriori Testing. Atmosphere 2020, 11, 863. [Google Scholar] [CrossRef]
- Burkhardt, U.; Karcher, B. Process-based simulation of contrail cirrus in a global climate model. J. Geophys. Res. Atmos. 2009, 114, D16201. [Google Scholar] [CrossRef]
- Meilinger, S.K.; Kärcher, B.; Peter, T. Suppression of chlorine activation on aviation-produced volatile particles. Atmos. Chem. Phys. 2002, 2, 307–312. [Google Scholar] [CrossRef]
- Burkhardt, U.; Kärcher, B.; Schumann, U. Global Modeling of the Contrail and Contrail Cirrus Climate Impact. Bull. Am. Meteorol. Soc. 2010, 91, 479–484. [Google Scholar] [CrossRef]
- Lee, D.S.; Fahey, D.W.; Forster, P.M.; Newton, P.J.; Wit, R.C.; Lim, L.L.; Owen, B.; Sausen, R. Aviation and global climate change in the 21st century. Atmos. Environ. 2009, 43, 3520–3537. [Google Scholar] [CrossRef] [PubMed]
- Bock, L.; Burkhardt, U. The temporal evolution of a long-lived contrail cirrus cluster: Simulations with a global climate model. J. Geophys. Res. Atmos. 2016, 121, 3548–3565. [Google Scholar] [CrossRef]
- Peeters, P.; Higham, J.; Kutzner, D.; Cohen, S.; Gössling, S. Are technology myths stalling aviation climate policy? Transp. Res. D Transp. Environ. 2016, 44, 30–42. [Google Scholar] [CrossRef]
- Mikosz, S. Airline Commitment to Net Zero 2050. 2021. Available online: https://www.iata.org/en/iata-repository/pressroom/presentations/environment-net-zero-carbon-at-iata-agm-2021/ (accessed on 18 March 2022).
- Blanshard, A.; McCurdy, M.; Reid-Kay, A.; Chokhani, S. Fueling Net Zero; Technical Report; ICF International: Washington, DC, USA, 2021. [Google Scholar]
- Asher, F.; Hughes, G.; Ernesting, A.; Kapfinger, M.; Munnion, O.; Lutsky, K. Producing Fuel for Other People’s Planes; Technical Report; HEÑÓI, Stay Grounded, Biofuelwatch & Global Forest Coalition: Vienna, Austria, 2022. [Google Scholar]
- Dardenne, J. Corsia: Worst Option for the Climate; Technical Report; Transport & Environment: Brussels, Belgium, 2021. [Google Scholar]
- Assessment of ICAO’s Global Market-Based Measure (CORSIA) Pursuant to Article 28b and for Studying Cost Pass-through Pursuant to Article 3d of the EU ETS Directive; Technical Report; European Commission: London, UK, 2020.
- Grewe, V.; Champougny, T.; Matthes, S.; Frömming, C.; Brinkop, S.; Søvde, O.A.; Irvine, E.A.; Halscheidt, L. Reduction of the air traffic’s contribution to climate change: A REACT4C case study. Atmos. Environ. 2014, 94, 616–625. [Google Scholar] [CrossRef]
- Lührs, B.; Niklaß, M.; Frömming, C.; Grewe, V.; Gollnick, V. Cost-benefit assessment of 2D and 3D climate and weather optimized trajectories. In Proceedings of the 16th AIAA Aviation Technology, Integration, and Operations Conference, Washington, DC, USA, 13–17 June 2016. [Google Scholar] [CrossRef]
- Teoh, R.; Schumann, U.; Majumdar, A.; Stettler, M.E. Mitigating the Climate Forcing of Aircraft Contrails by Small-Scale Diversions and Technology Adoption. Environ. Sci. Technol. 2020, 54, 2941–2950. [Google Scholar] [CrossRef]
- Grewe, V.; Matthes, S.; Frömming, C.; Brinkop, S.; Jöckel, P.; Gierens, K.; Champougny, T.; Fuglestvedt, J.; Haslerud, A.; Irvine, E.; et al. Feasibility of climate-optimized air traffic routing for trans-Atlantic flights. Environ. Res. Lett. 2017, 12, 034003. [Google Scholar] [CrossRef]
- Matthes, S.; Lührs, B.; Dahlmann, K.; Grewe, V.; Linke, F.; Yin, F.; Klingaman, E.; Shine, K.P. Climate-optimized trajectories and robust mitigation potential: Flying ATM4E. Aerospace 2020, 7, 156. [Google Scholar] [CrossRef]
- Ehrmanntraut, R. Mitigating the Climate Impact of Non-CO2: EUROCONTROL MUAC Live Trials 2021. 2021. Available online: https://www.eurocontrol.int/press-release/mitigating-climate-impact-non-co2-emissions (accessed on 20 March 2022).
- Niklaß, M.; Dahlmann, K.; Grewe, V. Integration of Non-CO2 Effects of Aviation in the EU ETS and under CORSIA; Technical Report; German Environment Agency: Dessau-Roßlau, Germany, 2019.
- Simorgh, A.; Soler, M.; González-Arribas, D.; Matthes, S.; Grewe, V.; Dietmüller, S.; Baumann, S.; Yamashita, H.; Yin, F.; Castino, F.; et al. A Comprehensive Survey on Climate Optimal Aircraft Trajectory Planning. Aerospace 2022, 9, 146. [Google Scholar] [CrossRef]
- Venkataramanan, S.; Dogan, A. Nonlinear Control for Reconfiguration of UAV Formation. In Proceedings of the AIAA Guidance, Navigation, and Control Conference and Exhibit; AIAA, Inc.: Austin, TX, USA, 2003. [Google Scholar] [CrossRef]
- Hanson, C.; Ryan, J.; Allen, M.; Jacobson, S. An Overview of Flight Test Results for a Formation Flight Autopilot. In Proceedings of the AIAA Guidance, Navigation, and Control Conference and Exhibit; AIAA, Inc.: Monterey, CA, USA, 2002. [Google Scholar] [CrossRef][Green Version]
- Bower, G.; Flanzer, T.; Kroo, I. Formation Geometries and Route Optimization for Commercial Formation Flight. In Proceedings of the 27th AIAA Applied Aerodynamics Conference, San Antonio, TX, USA, 22–25 June 2009; AIAA, Inc.: San Antonio, TX, USA, 2009. [Google Scholar] [CrossRef]
- Marks, T.; Dahlmann, K.; Grewe, V.; Gollnick, V.; Linke, F.; Matthes, S.; Stumpf, E.; Swaid, M.; Unterstrasser, S.; Yamashita, H.; et al. Climate Impact Mitigation Potential of Formation Flight. Aerospace 2021, 8, 14. [Google Scholar] [CrossRef]
- Fello’fly Wake Energy Retrieval: Concept of Operations; Technical Report; Airbus: New York, NY, USA, 2021.
- Xu, J.; Andrew Ning, S.; Bower, G.; Kroo, I. Aircraft Route Optimization for Formation Flight. J. Aircr. 2014, 51, 490–501. [Google Scholar] [CrossRef]




















| CO2 | H2O | SO2 |
|---|---|---|
| 3.149 g/kg fuel | 1.230 g/kg fuel | 0.84 g/kg fuel |
| Parameter | Take-Off | Climb Out | Approach | Idle |
|---|---|---|---|---|
| Fuel flow [kg/s] | 2.605 | 2.157 | 0.720 | 0.255 |
| EI NOx [g/kg] | 38.29 | 29.42 | 12.09 | 5.44 |
| EI CO [g/kg] | 0.32 | 0.31 | 1.16 | 13.38 |
| EI HC [g/kg] | 0.02 | 0.12 | 0.08 | 0.04 |
Publisher’s Note: MDPI stays neutral with regard to jurisdictional claims in published maps and institutional affiliations. |
© 2022 by the authors. Licensee MDPI, Basel, Switzerland. This article is an open access article distributed under the terms and conditions of the Creative Commons Attribution (CC BY) license (https://creativecommons.org/licenses/by/4.0/).
Share and Cite
Tait, K.N.; Khan, M.A.H.; Bullock, S.; Lowenberg, M.H.; Shallcross, D.E. Aircraft Emissions, Their Plume-Scale Effects, and the Spatio-Temporal Sensitivity of the Atmospheric Response: A Review. Aerospace 2022, 9, 355. https://doi.org/10.3390/aerospace9070355
Tait KN, Khan MAH, Bullock S, Lowenberg MH, Shallcross DE. Aircraft Emissions, Their Plume-Scale Effects, and the Spatio-Temporal Sensitivity of the Atmospheric Response: A Review. Aerospace. 2022; 9(7):355. https://doi.org/10.3390/aerospace9070355
Chicago/Turabian StyleTait, Kieran N., Mohammad Anwar H. Khan, Steve Bullock, Mark H. Lowenberg, and Dudley E. Shallcross. 2022. "Aircraft Emissions, Their Plume-Scale Effects, and the Spatio-Temporal Sensitivity of the Atmospheric Response: A Review" Aerospace 9, no. 7: 355. https://doi.org/10.3390/aerospace9070355
APA StyleTait, K. N., Khan, M. A. H., Bullock, S., Lowenberg, M. H., & Shallcross, D. E. (2022). Aircraft Emissions, Their Plume-Scale Effects, and the Spatio-Temporal Sensitivity of the Atmospheric Response: A Review. Aerospace, 9(7), 355. https://doi.org/10.3390/aerospace9070355

