Experimental Study of Suppressing the Thermoacoustic Instabilities in a Rijke Tube Using Microsecond Discharge Plasma
Abstract
1. Background
2. Theoretical Background
2.1. Energy Analysis in the Rijke Tube
2.2. Acoustic Field in the Rijke Tube
- 1
- The boundary conditions at open ends are described by the reflection coefficients and , defined by
- 2
- At the position of heat source, the pressure is continuous, so :
- 3
- At the position of heat source, there is a velocity jump that can be qualified by [33]:
3. Experiments Setup
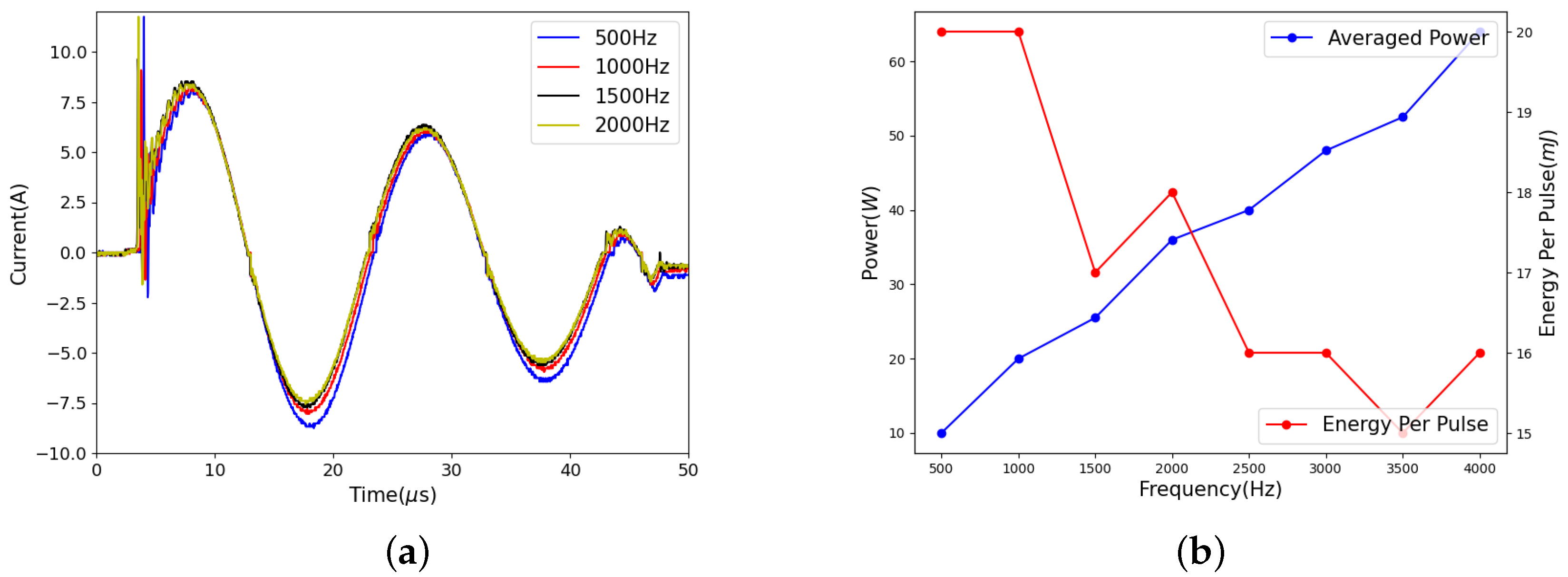
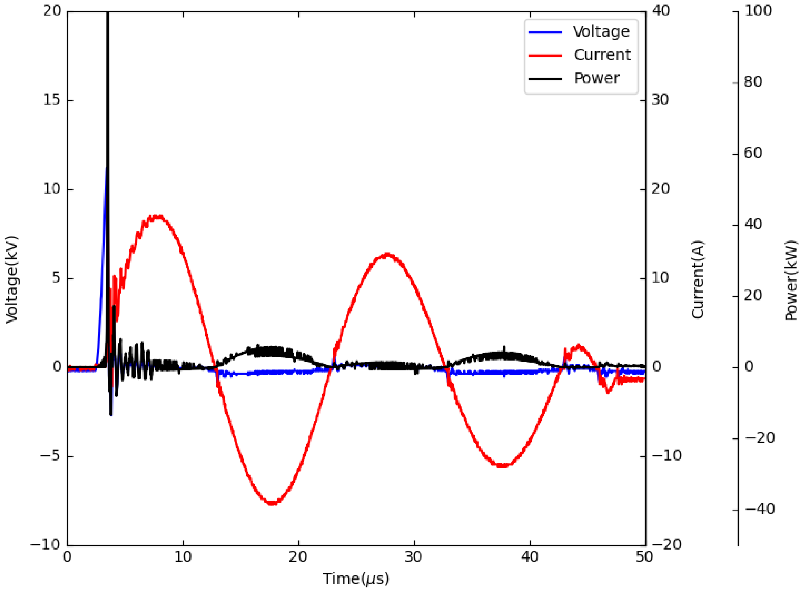
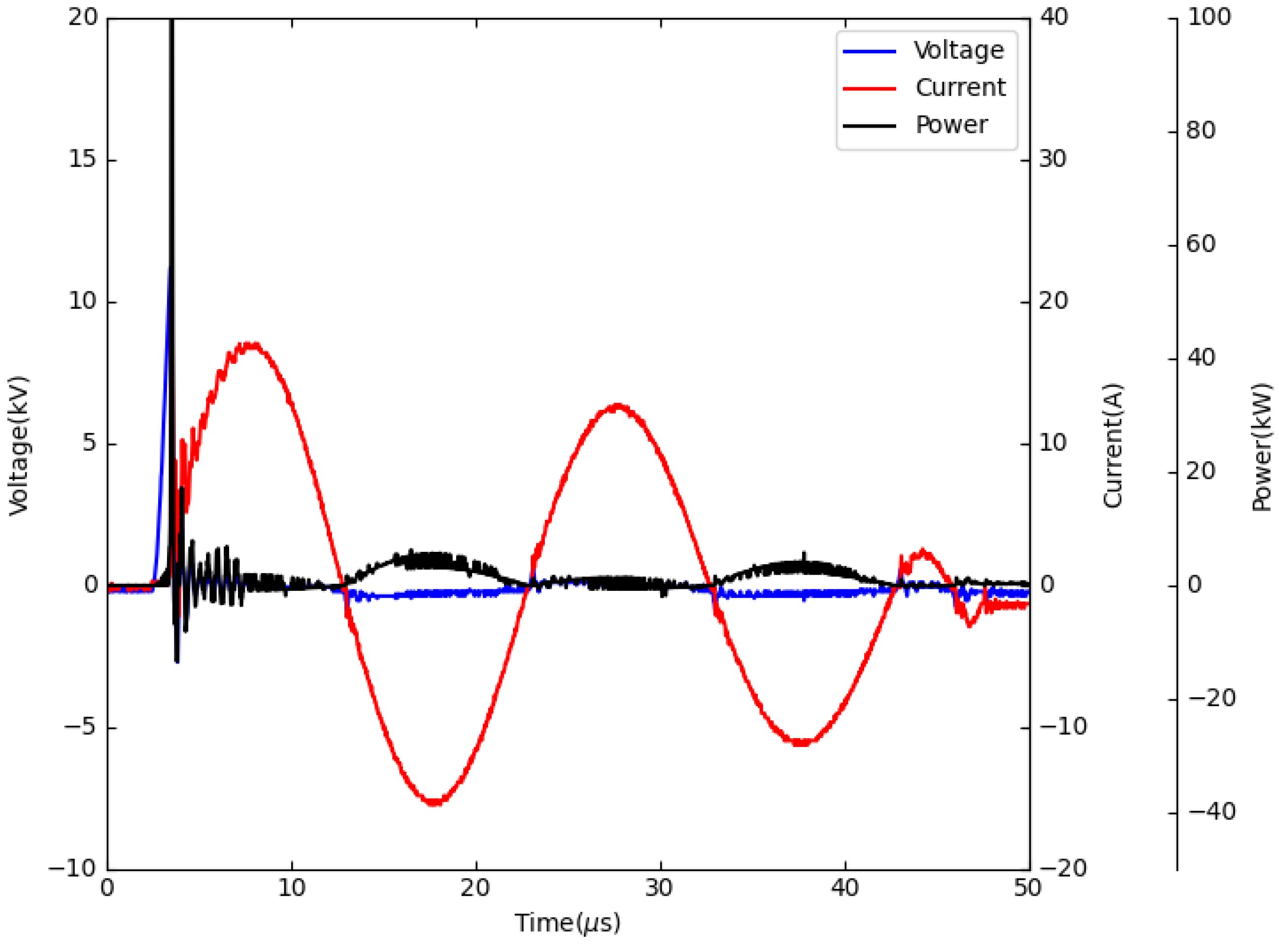
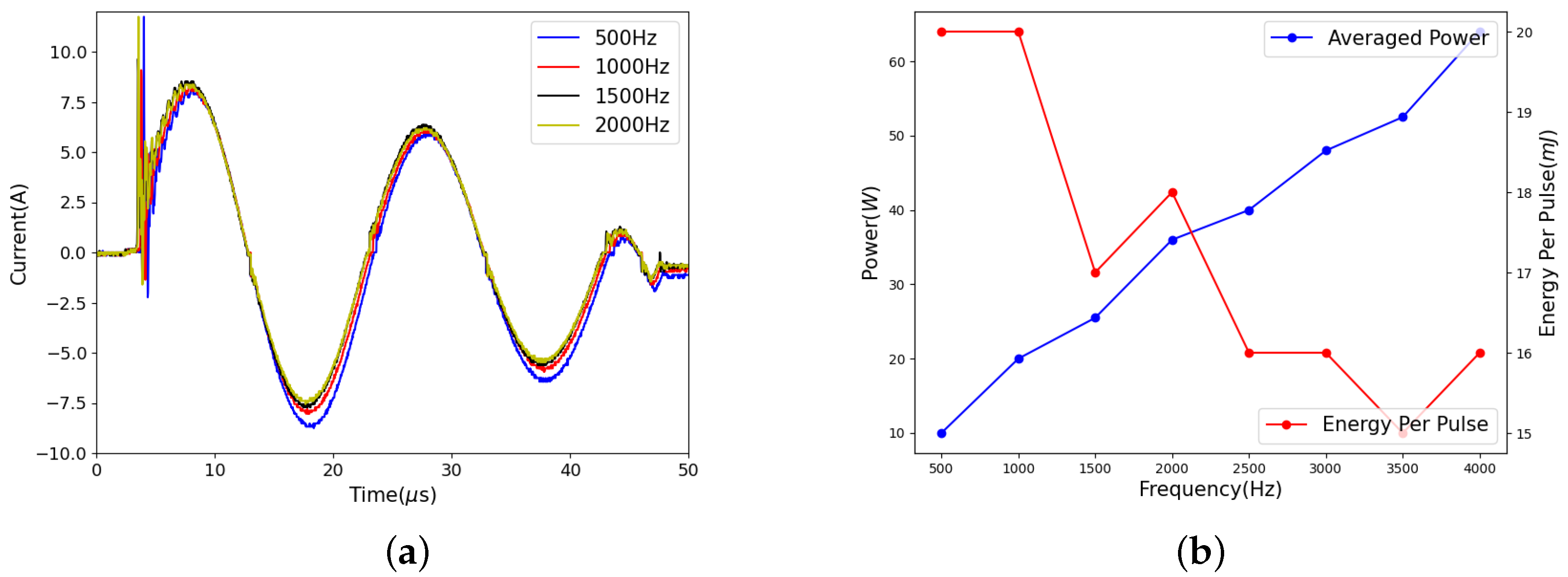
4. Properties of Plasma Discharge
5. Results and Analysis
5.1. Control Results
5.2. Acoustic Characterisctics in the Rijke Tube during Plasma Operating
6. Discussion and Conclusions
Author Contributions
Funding
Data Availability Statement
Conflicts of Interest
References
- Hawthorne, W.R. Theory of Combustion Instability in Liquid Propellant Rocket Motors. J. Fluid Mech. 1957, 2, 100–104. [Google Scholar] [CrossRef]
- Hegde, U.; Reuter, D.; Zinn, B.; Daniel, B. Fluid mechanically coupled combustion instabilities in ramjet combustors. In Proceedings of the 25th AIAA Aerospace Sciences Meeting, Reno, NV, USA, 24–26 March 1987; p. 0216. [Google Scholar] [CrossRef]
- Langhorne, P.J. Reheat buzz: An acoustically coupled combustion instability. Part 1. Experiment. J. Fluid Mech. 1988, 193, 417–443. [Google Scholar] [CrossRef]
- Mongia, H.C.; Held, T.J.; Hsiao, G.C.; Pandalai, R.P. Challenges and Progress in Controlling Dynamics in Gas Turbine Combustors. J. Propuls. Power 2003, 19, 822–829. [Google Scholar] [CrossRef]
- Koshigoe, S.; Komatsuzaki, T.; Yang, V. Adaptive Control of Combustion Instability with On-Line System Identification. J. Propuls. Power 1999, 15, 383–389. [Google Scholar] [CrossRef]
- Giuliani, F.; Gajan, P.; Diers, O.; Ledoux, M. Influence of pulsed entries on a spray generated by an air-blast injection device: An experimental analysis on combustion instability processes in aeroengines. Proc. Combust. Inst. 2002, 29, 91–98. [Google Scholar] [CrossRef]
- Raun, R.; Beckstead, M.; Finlinson, J.; Brooks, K. Review of Rijke tubes, Rijke burners and related devices. Prog. Energy Combust. Sci. 1993, 19, 313–364. [Google Scholar] [CrossRef]
- Rayleigh, J.S.W. The Theory of Sound, 2nd ed.; Dover Publications: New York, NY, USA, 1945. [Google Scholar]
- Culick, F. Nonlinear behavior of acoustic waves in combustion chambers—I. Acta Astronaut. 1976, 3, 715–734. [Google Scholar] [CrossRef]
- Zhao, D.; Li, X. A review of acoustic dampers applied to combustion chambers in aerospace industry. Prog. Aerosp. Sci. 2015, 74, 114–130. [Google Scholar] [CrossRef]
- Zhao, D.; Lu, Z.; Zhao, H.; Li, X.; Wang, B.; Liu, P. A review of active control approaches in stabilizing combustion systems in aerospace industry. Prog. Aerosp. Sci. 2018, 97, 35–60. [Google Scholar] [CrossRef]
- Richards, G.A.; Straub, D.L.; Robey, E.H. Passive Control of Combustion Dynamics in Stationary Gas Turbines. J. Propuls. Power 2003, 19, 795–810. [Google Scholar] [CrossRef]
- Park, I.S.; Sohn, C.H. Nonlinear acoustic damping induced by a half-wave resonator in an acoustic chamber. Aerosp. Sci. Technol. 2010, 14, 442–450. [Google Scholar] [CrossRef]
- Sohn, C.H.; Park, J.H. A comparative study on acoustic damping induced by half-wave, quarter-wave, and Helmholtz resonators. Aerosp. Sci. Technol. 2011, 15, 606–614. [Google Scholar] [CrossRef]
- Zhao, D.; Morgans, A.S.; Dowling, A.P. Tuned Passive Control of Acoustic Damping of Perforated Liners. AIAA J. 2011, 49, 725–734. [Google Scholar] [CrossRef]
- Zhao, D.; Morgans, A. Tuned passive control of combustion instabilities using multiple Helmholtz resonators. J. Sound Vib. 2009, 320, 744–757. [Google Scholar] [CrossRef]
- Olgac, N.; Zalluhoglu, U.; Kammer, A.S. A New Perspective in Designing Delayed Feedback Control for Thermo-Acoustic Instabilities (TAI). Combust. Sci. Technol. 2015, 187, 697–720. [Google Scholar] [CrossRef]
- Zalluhoglu, U.; Kammer, A.; Olgac, N. Delayed Feedback Control Laws for Rijke Tube Thermoacoustic Instability, Synthesis, and Experimental Validation. IEEE Trans. Control. Syst. Technol. 2016, 24, 1861–1868. [Google Scholar] [CrossRef]
- Deshmukh, N.N.; Sharma, S. Suppression of thermo-acoustic instability using air injection in horizontal Rijke tube. J. Energy Inst. 2017, 90, 485–495. [Google Scholar] [CrossRef]
- Niederberger, A.; Fritsche, D.; Boulouchos, K.; Guzzella, L. Thermoacoustic instability suppression by gain-delay and Hinf controllers designed for secondary fuel injection. IEEE Trans. Control. Syst. Technol. 2009, 17, 1028–1042. [Google Scholar] [CrossRef]
- Gutmark, E.; Wilson, K.; Yu, K.; Smith, R.; Schadow, K. Active control of a liquid fuel combustor/incinerator using pulsed injection. In Proceedings of the 33rd Aerospace Sciences Meeting and Exhibit, Reno, NV, USA, 9–12 January 1995. Chapter 95-0809. [Google Scholar] [CrossRef]
- D’Entremont, J.; Gejji, R.M.; Venkatesh, P.; Bane, S.P. Plasma Control of Combustion Instability in a Lean Direct Injection Gas Turbine Combustor. In Proceedings of the 52nd Aerospace Sciences Meeting, National Harbor, MD, USA, 13–17 January 2014; pp. 13–17. [Google Scholar] [CrossRef]
- Starikovskiy, A.; Aleksandrov, N. Plasma-assisted ignition and combustion. Prog. Energy Combust. Sci. 2013, 39, 61–110. [Google Scholar] [CrossRef]
- Ju, Y.; Sun, W. Plasma assisted combustion: Dynamics and chemistry. Prog. Energy Combust. Sci. 2015, 48, 21–83. [Google Scholar] [CrossRef]
- Ju, Y.; Sun, W. Plasma assisted combustion: Progress, challenges, and opportunities. Combust. Flame 2015, 162. [Google Scholar] [CrossRef]
- Lacoste, D.A.; Moeck, J.P.; Durox, D.; Laux, C.O.; Schuller, T. Effect of Nanosecond Repetitively Pulsed Discharges on the Dynamics of a Swirl-Stabilized Lean Premixed Flame. J. Eng. Gas Turbines Power 2013, 135, 101501. [Google Scholar] [CrossRef]
- Zhou, S.; Nie, W.; Tian, Y. High frequency combustion instability control by discharge plasma in a model rocket engine combustor. Acta Astronaut. 2021, 179, 391–406. [Google Scholar] [CrossRef]
- Guo, C. Research on Plasma Assisted Suppression of Combustion Oscillation. Master’s Thesis, Harbin Institute of Technology, Harbin, China, 2019. [Google Scholar]
- Zhang, M.; Li, J.; Cheng, W.; Li, T. Active control of thermoacoustic instability using microsecond plasma discharge. J. Appl. Phys. 2020, 127, 033301. [Google Scholar] [CrossRef]
- Matveev, K. Energy consideration of the nonlinear effects in a Rijke tube. J. Fluids Struct. 2003, 18, 783–794. [Google Scholar] [CrossRef]
- Zhang, Y.; Huang, L. Electroacoustic control of Rijke tube instability. J. Sound Vib. 2017, 409, 131–144. [Google Scholar] [CrossRef]
- Howe, M.S. Acoustics of Fluid-Structure Interactions; Cambridge Monographs on Mechanics; Cambridge University Press: Cambridge, UK, 1998. [Google Scholar] [CrossRef]
- Poinsot, T.; Candel, S. A Nonlinear Model for Ducted Flame Combustion Instabilities. Combust. Sci. Technol. 1988, 61, 121–153. [Google Scholar] [CrossRef]
- Harrje, D.J.; Reardon, F.H.E. Liquid Propellant Rocket Combustion Instability; Report No. NASA SP-194; NASA: Washington, DC, USA, 1972.
- Sutton, Y. Electro-Acoustic Coupling in a Plasma Gas. Ph.D. Thesis, The Open University, Milton Keynes, UK, 2012. [Google Scholar]











Publisher’s Note: MDPI stays neutral with regard to jurisdictional claims in published maps and institutional affiliations. |
© 2022 by the authors. Licensee MDPI, Basel, Switzerland. This article is an open access article distributed under the terms and conditions of the Creative Commons Attribution (CC BY) license (https://creativecommons.org/licenses/by/4.0/).
Share and Cite
Deng, J.; Li, T.; Wang, J.; Gao, C. Experimental Study of Suppressing the Thermoacoustic Instabilities in a Rijke Tube Using Microsecond Discharge Plasma. Aerospace 2022, 9, 836. https://doi.org/10.3390/aerospace9120836
Deng J, Li T, Wang J, Gao C. Experimental Study of Suppressing the Thermoacoustic Instabilities in a Rijke Tube Using Microsecond Discharge Plasma. Aerospace. 2022; 9(12):836. https://doi.org/10.3390/aerospace9120836
Chicago/Turabian StyleDeng, Jiangge, Ting Li, Jinkui Wang, and Chicheng Gao. 2022. "Experimental Study of Suppressing the Thermoacoustic Instabilities in a Rijke Tube Using Microsecond Discharge Plasma" Aerospace 9, no. 12: 836. https://doi.org/10.3390/aerospace9120836
APA StyleDeng, J., Li, T., Wang, J., & Gao, C. (2022). Experimental Study of Suppressing the Thermoacoustic Instabilities in a Rijke Tube Using Microsecond Discharge Plasma. Aerospace, 9(12), 836. https://doi.org/10.3390/aerospace9120836

